ОБЩАЯ ЧАСТЬ
РАЗДЕЛ 1. ОБЩИЕ ПОЛОЖЕНИЯ
Глава 1. ОСНОВНЫЕ ПОЛОЖЕНИЯ
Статья 1. Сфера, регулируемая настоящим Кодексом
Настоящий Кодекс устанавливает основополагающие принципы налогообложения, регулирует властные отношения по установлению, введению, изменению, отмене, порядку исчисления и уплаты налогов и других обязательных платежей в бюджет, а также общественные отношения, связанные с исполнением налогового обязательства.
Параграф 1. Основные понятия, используемые в настоящем Кодексе
Статья 2. Общие положения по основным понятиям, используемым для целей налогообложения
1. В настоящем Кодексе для целей налогообложения используются основные понятия в значениях, определяемых в настоящем параграфе.
Другие специальные понятия и термины налогового законодательства Республики Казахстан используются в значениях, определяемых в соответствующих статьях настоящего Кодекса.
2. В целях настоящего Кодекса положения, предусмотренные для банков второго уровня, страховых (перестраховочных) организаций, страховых брокеров, распространяются на филиалы банков - нерезидентов Республики Казахстан, филиалы страховых (перестраховочных) организаций - нерезидентов Республики Казахстан, филиалы страховых брокеров - нерезидентов Республики Казахстан, открытые на территории Республики Казахстан и осуществляющие деятельность на основании лицензии уполномоченного органа по регулированию, контролю и надзору финансового рынка и финансовых организаций.
3. Для целей настоящего Кодекса счет, открытый в центральном уполномоченном органе по исполнению бюджета или его территориальных подразделениях, приравнивается к банковскому счету, а центральный уполномоченный орган по исполнению бюджета и его территориальные подразделения приравниваются к организациям, осуществляющим отдельные виды банковских операций.
4. Понятия гражданского и других отраслей законодательства Республики Казахстан, используемые в настоящем Кодексе, применяются в том значении, в каком они используются в этих отраслях законодательства Республики Казахстан, если иное не предусмотрено настоящим Кодексом.
5. Наименование «Кодекс Республики Казахстан «О налогах и других обязательных платежах в бюджет» (Налоговый кодекс)», применяемое в нормативных правовых актах, идентично наименованию «Налоговый кодекс Республики Казахстан».
Статья 3. Понятия, связанные с субъектами налоговых правоотношений
Понятия, связанные с субъектами налоговых правоотношений:
1) организация органа Международного финансового центра «Астана» - юридическое лицо, зарегистрированное в соответствии с действующим правом Международного финансового центра «Астана» (далее - МФЦА), 50 и более процентов долей участия (голосующих акций) которого прямо или косвенно принадлежат органу МФЦА.
Косвенное владение означает владение органом МФЦА через другое юридическое лицо, которое прямо принадлежит органу МФЦА;
2) банковская организация - созданные в Республике Казахстан банк второго уровня, Банк Развития Казахстана и организация, осуществляющая отдельные виды банковских операций;
3) юридическое лицо - нерезидент - организация, созданная в соответствии с законодательством иностранного государства, за исключением организации, место эффективного управления (место нахождения фактического органа управления) которой находится в Республике Казахстан.
Под юридическим лицом - нерезидентом также понимаются компания, партнерство, организация или другое корпоративное образование, созданные в соответствии с законодательством иностранного государства, которые рассматриваются в качестве самостоятельных юридических лиц независимо от того, обладают ли они статусом юридического лица иностранного государства, где они созданы;
4) организация, наделенная функциями по реализации ограниченного в распоряжении (заложенного) имущества, - юридическое лицо, определенное уполномоченным органом, в сфере реализации ограниченного в распоряжении и (или) заложенного в соответствии с настоящим Кодексом имущества налогоплательщика (налогового агента) и (или) третьего лица;
5) юридическое лицо, ранее являвшееся банком, - юридическое лицо, ранее являвшееся банком, в отношении которого по судебному акту проведена реструктуризация, более 90 процентов голосующих акций которого на 31 декабря 2013 года принадлежали национальному управляющему холдингу;
6) лицо, занимающееся частной практикой, - частный нотариус, частный судебный исполнитель, адвокат, профессиональный медиатор;
7) физическое лицо - гражданин Республики Казахстан, иностранец, кандас или лицо без гражданства;
8) работник:
физическое лицо, состоящее в трудовых отношениях с работодателем и непосредственно выполняющее работу по трудовому договору (контракту);
государственный служащий;
член совета директоров или иного органа управления налогоплательщика, не являющегося высшим органом управления, за исключением государственных служащих;
иностранец или лицо без гражданства, предоставленные для работы по контракту на предоставление персонала нерезидентом, деятельность которого не образует постоянного учреждения, резиденту или иному нерезиденту, осуществляющему деятельность в Республике Казахстан через постоянное учреждение;
9) юридическое лицо - юридическое лицо - резидент, юридическое лицо - нерезидент;
10) структурное подразделение юридического лица - филиал, представительство;
11) иностранная компания, осуществляющая деятельность посредством интернет-площадки на территории Республики Казахстан, - юридическое лицо - нерезидент, осуществляющее реализацию товаров и (или) оказывающее услуги посредством интернет-площадки на территории Республики Казахстан;
12) юридическое лицо - резидент - организация, созданная в соответствии с законодательством:
Республики Казахстан;
иностранного государства, место эффективного управления (место нахождения фактического органа управления) которого находится в Республике Казахстан;
13) налоговый агент - физическое лицо, индивидуальный предприниматель, лицо, занимающееся частной практикой, юридическое лицо, структурное подразделение юридического лица, оператор интернет-платформы, которые в случаях и порядке, которые установлены настоящим Кодексом, признаются налоговым агентом;
14) налогоплательщик - лицо, структурное подразделение юридического лица, являющиеся плательщиками налогов и других обязательных платежей в бюджет;
15) налогоплательщик, состоящий на налоговом мониторинге, - участник горизонтального мониторинга, участник мониторинга крупных налогоплательщиков;
16) лицо - физическое лицо, юридическое лицо;
17) регистрирующий орган - уполномоченные государственные органы и Государственная корпорация «Правительство для граждан» (далее - Государственная корпорация), осуществляющие государственную регистрацию (перерегистрацию) юридических лиц и учетную регистрацию (перерегистрацию) их филиалов и представительств и (или) объектов налогообложения и объектов, связанных с налогообложением, в том числе:
прав на недвижимое имущество;
залога движимого имущества и ипотеки судна;
радиоэлектронных средств и высокочастотных устройств;
космических объектов и прав на них;
транспортных средств;
лекарственных средств и медицинских изделий;
прав на произведения и объекты смежных прав, лицензионных договоров на использование произведений и объектов смежных прав;
а также постановку на учет средств массовой информации;
18) уполномоченные государственные органы - государственные органы Республики Казахстан, за исключением налоговых органов и местных исполнительных органов, осуществляющие руководство в отдельной отрасли или сфере государственного управления, в том числе исчисление и (или) сбор других обязательных платежей в бюджет;
19) уполномоченный орган - государственный орган, осуществляющий руководство в сфере обеспечения поступлений налогов и других обязательных платежей в бюджет;
20) участник мониторинга крупных налогоплательщиков - налогоплательщик, включенный в перечень участников мониторинга крупных налогоплательщиков, утвержденный уполномоченным органом.
Статья 4. Понятия, связанные с налогами и другими платежами
Понятия, связанные с налогами и другими платежами:
1) социальные платежи - обязательные пенсионные взносы, обязательные профессиональные пенсионные взносы, обязательные пенсионные взносы работодателя, социальные отчисления, уплачиваемые в соответствии с Социальным кодексом Республики Казахстан, отчисления и взносы на обязательное социальное медицинское страхование, уплачиваемые в соответствии с Законом Республики Казахстан «Об обязательном социальном медицинском страховании»;
2) другие обязательные платежи в бюджет (далее - платежи в бюджет) - обязательные отчисления денег в бюджет в виде плат, сборов, пошлин, за исключением таможенных платежей, производимые в размерах и случаях, установленных настоящим Кодексом;
3) налог - законодательно установленный государством в одностороннем порядке обязательный денежный платеж в бюджет, за исключением случаев, предусмотренных настоящим Кодексом, производимый в определенном размере, носящий безвозвратный и безвозмездный характер.
Статья 5. Понятия, связанные с налоговой задолженностью
Понятия, связанные с налоговой задолженностью:
1) недоимка - не уплаченные в срок исчисленные и начисленные суммы налогов и платежей в бюджет, а также авансовых и текущих платежей по ним, за исключением сумм, отраженных в уведомлении о результатах налоговой проверки, в период обжалования в установленном законодательством Республики Казахстан порядке в обжалуемой части;
2) пени - денежные суммы, исчисляемые в размере, кратном базовой ставке Национального Банка Республики Казахстан (далее - Национальный Банк), действовавшей на каждый день просрочки, и начисляемые на:
неуплаченную налогоплательщиком (налоговым агентом) в срок сумму налога и платежа в бюджет, в том числе авансового и (или) текущего платежа, начиная со дня, следующего за днем срока исполнения налогового обязательства по уплате, включая день уплаты в бюджет;
сумму уплаченного и (или) излишне уплаченного налога, платежа в бюджет и (или) сумму превышения налога на добавленную стоимость, по которым налоговым органом нарушен срок проведения зачета и (или) возврата по налоговому заявлению налогоплательщика, начиная со дня, следующего за днем окончания срока проведения зачета и (или) возврата, включая день возврата.
Кратность базовой ставки Национального Банка, предусмотренная настоящим подпунктом, составляет:
0,65 - для участника горизонтального мониторинга;
1,25 - для иных налогоплательщиков (налоговых агентов).
3) налоговая задолженность - сумма недоимки, неуплаченные суммы пеней и штрафов.
В налоговую задолженность не включаются сумма пеней, отраженная в уведомлении о результатах налоговой проверки, а также сумма штрафов, отраженная в постановлении о наложении административного взыскания, в период обжалования в порядке, определенном законодательством Республики Казахстан, в обжалуемой части;
4) предельный размер налоговой задолженности - размер налоговой задолженности, определенный уполномоченным органом, при превышении которого налоговый орган применяет способ обеспечения налогового обязательства и (или) меру принудительного взыскания налоговой задолженности, предусмотренные статьями 86 и 87 и статьями 185, 186, 187, 188 и 189 настоящего Кодекса, к налогоплательщику - юридическому лицу, структурному подразделению юридического лица, нерезиденту, осуществляющему деятельность в Республике Казахстан через постоянное учреждение, индивидуальному предпринимателю, лицу, занимающемуся частной практикой.
Предельный размер налоговой задолженности определяется в размере не менее 20-кратного месячного расчетного показателя, действующего на 1 января соответствующего финансового года, отдельно для каждого способа обеспечения налогового обязательства и (или) каждой меры принудительного взыскания налоговой задолженности.
Статья 6. Понятия, связанные с порядком исчисления, уплаты налогов и платежей в бюджет
Понятия, связанные с порядком исчисления, уплаты налогов и платежей в бюджет:
1) специальный налоговый режим - порядок исчисления, уплаты отдельных налогов и платежей в бюджет, а также представления налоговой отчетности по ним для отдельных категорий налогоплательщиков, отличный от общеустановленного порядка налогообложения, при соблюдении налогоплательщиком условий, установленных настоящим Кодексом;
2) общеустановленный порядок налогообложения - базовый порядок исчисления, уплаты налогов и платежей в бюджет, установленный Особенной частью настоящего Кодекса.
Статья 7. Роялти
1. Если иное не установлено пунктом 2 настоящей статьи, роялти - платеж за:
1) право пользования недрами в процессе добычи полезных ископаемых и переработки техногенных образований;
2) использование или право на использование авторских прав, чертежей или моделей;
3) использование или право на использование патентов, товарных знаков или других подобных прав;
4) использование или право на использование программного обеспечения, включая услуги по обновлению версии такого программного обеспечения, исключая версии, предназначенные для исправления ошибок, дефектов, осуществления доработок такого программного обеспечения, не относящиеся к развитию программного обеспечения;
5) использование «ноу-хау».
«Ноу-хау» - конфиденциальная информация технического, технологического, организационного или иного характера, обладающая коммерческой ценностью и используемая в профессиональной или предпринимательской деятельности;
6) использование или право использования кинофильмов, видеофильмов, звукозаписи или иных средств записи;
7) использование или право использования торгового, научно-исследовательского и (или) промышленного оборудования, в том числе морских судов или воздушных судов (за исключением судов, арендуемых без экипажа).
2. Не признается роялти платеж за полную реализацию имущественных (исключительных) прав на объект интеллектуальной собственности.
Статья 8. Понятия, связанные с некоторыми видами услуг и операций
Понятия, связанные с некоторыми видами услуг и операций:
1) услуги по обработке информации - услуги по осуществлению сбора и обобщению информации, систематизации информационных массивов (данных) и (или) предоставлению в распоряжение пользователя результатов обработки информации, в том числе рейтинговые услуги.
При этом под рейтинговыми услугами понимаются услуги анализа и оценки, отображающие числовой или порядковый показатель важности или значимости определенного объекта или явления;
2) дизайнерские услуги - услуги по проектированию художественных форм, внешнего вида изделий, фасадов зданий, интерьеров помещений; художественное конструирование;
3) инжиниринговые услуги - инженерно-консультационные услуги, работы исследовательского, проектно-конструкторского, расчетно-аналитического характера, подготовка технико-экономических обоснований проектов, выработка рекомендаций в области организации производства и управления, реализации продукции;
4) интернет-площадка - интернет-магазин и (или) торговая площадка, предназначенные для продажи товаров, оказания услуг, предложений об оказании услуг посредством сети телекоммуникаций общего пользования и Интернета, в том числе оказания посреднических услуг по предоставлению возможности для продажи и оказания услуг, оформления заказа и оплаты иным лицам путем предоставления доступа к интернет-магазину и (или) торговой площадке;
5) консультационные услуги - услуги по предоставлению разъяснений, рекомендаций, советов и иных форм консультаций, включая определение и (или) оценку проблем и (или) возможностей лица, в целях решения управленческих, экономических, финансовых, инвестиционных вопросов, в том числе вопросов стратегического планирования, организации и осуществления предпринимательской деятельности, управления персоналом;
6) маркетинговая услуга - любая возмездная услуга, связанная с:
исследованием, анализом, планированием, прогнозированием в сфере производства и (или) обращения товаров, работ, услуг в целях определения мер по созданию лучших экономических условий;
комплексом мероприятий и решений, направленных на продвижение товаров, работ, услуг или бренда, привлечение целевой аудитории, повышение продаж, достижение установленных показателей и (или) целей в области продаж;
7) реализация:
отгрузка и (или) передача товаров либо иного имущества, выполнение работ, оказание услуг с целью продажи, обмена, безвозмездной передачи;
передача имущества по договору лизинга;
передача заложенных товаров залогодержателю при неисполнении должником обеспеченного залогом обязательства;
8) электронная торговля товарами - предпринимательская деятельность по реализации товаров физическим лицам, осуществляемая посредством интернет-площадки;
9) импорт товаров - ввоз товаров:
на таможенную территорию Евразийского экономического союза (далее - ЕАЭС), осуществляемый в соответствии с таможенным законодательством ЕАЭС и (или) таможенным законодательством Республики Казахстан;
на территорию Республики Казахстан с территории другого государства - члена ЕАЭС;
10) услуги в электронной форме - услуги, оказываемые посредством интернет-площадки.
Статья 9. Понятия, связанные с безвозмездной передачей имущества
Понятия, связанные с безвозмездной передачей имущества:
1) грант - имущество, предоставляемое на безвозмездной основе для достижения определенных целей (задач):
государствами, правительствами государств - Республике Казахстан, Правительству Республики Казахстан, физическим, а также юридическим лицам;
международными и государственными организациями, зарубежными и казахстанскими неправительственными общественными организациями и фондами, чья деятельность носит благотворительный и (или) международный характер и не противоречит Конституции Республики Казахстан, включенными в перечень, устанавливаемый Правительством Республики Казахстан по заключениям государственных органов, - Республике Казахстан, Правительству Республики Казахстан, физическим, а также юридическим лицам;
иностранцами и лицами без гражданства - Республике Казахстан и Правительству Республики Казахстан;
2) гуманитарная помощь - имущество, предоставляемое на безвозмездной основе Республике Казахстан в виде продовольствия, товаров народного потребления, техники, снаряжения, оборудования, лекарственных средств и медицинских изделий, иного имущества, направленных из зарубежных стран и международных организаций, для улучшения условий жизни и быта населения, а также предупреждения и ликвидации чрезвычайных ситуаций социального, природного и техногенного характера, распределяемое Правительством Республики Казахстан через уполномоченные организации;
3) спонсорская помощь - имущество, предоставляемое на безвозмездной основе с целью распространения информации о лице, оказывающем данную помощь:
физическим лицам в виде финансовой (кроме социальной) поддержки для участия в соревнованиях, конкурсах, выставках, смотрах и развития творческой, научной, научно-технической, изобретательской деятельности, повышения уровня образования и спортивного мастерства;
некоммерческим организациям для реализации их уставных целей;
4) социальная поддержка физического лица - безвозмездная передача налоговым агентом за год имущества в пределах 647-кратного размера месячного расчетного показателя, действующего на начало соответствующего финансового года, физическому лицу, отнесенному к отдельной категории таких лиц, имеющих право на социальную защиту, в соответствии с законодательством Республики Казахстан.
Перечень отдельных категорий физических лиц, предусмотренных частью первой настоящего подпункта, утверждается центральным уполномоченным органом по государственному планированию по согласованию с уполномоченным органом и центральным исполнительным органом в сфере социальной защиты населения;
5) благотворительная помощь - имущество, предоставляемое на безвозмездной основе:
в виде спонсорской помощи;
в виде социальной поддержки физического лица;
физическому лицу, пострадавшему в результате чрезвычайной ситуации;
некоммерческой организации с целью поддержки ее уставной деятельности;
организации, осуществляющей деятельность в социальной сфере;
специализированной организации лиц с инвалидностью в соответствии с Социальным кодексом Республики Казахстан.
Статья 10. Понятия, связанные с недропользованием
Понятия, связанные с недропользованием:
1) контракт на недропользование - договор между компетентным органом или уполномоченным органом по изучению недр или местным исполнительным органом области, города республиканского значения, столицы в соответствии с компетенцией, установленной законодательством Республики Казахстан о недрах и недропользовании, и физическим и (или) юридическим лицом на проведение разведки, добычи, совмещенной разведки и добычи полезных ископаемых либо строительство и (или) эксплуатацию подземных сооружений, не связанных с разведкой и (или) добычей, либо на государственное геологическое изучение недр.
К контракту на недропользование также относятся лицензии на недропользование и другие виды предоставления права недропользования и (или) водопользования в соответствии с законодательством Республики Казахстан.
При этом термины «контракт на разведку», «контракт на добычу», «контракт на совмещенную разведку и добычу» и «лицензия на разведку или добычу», используемые в настоящем Кодексе, идентичны понятию «контракт на недропользование», термин «контракт на разведку и добычу» идентичен понятию «контракт на совмещенную разведку и добычу»;
2) недропользователи - физические или юридические лица, обладающие правом проведения операций по недропользованию, включая нефтяные операции, и (или) водопользованию на территории Республики Казахстан в соответствии с законами Республики Казахстан.
При этом:
операциями по недропользованию признаются работы, относящиеся к геологическому изучению недр, разведке и (или) добыче полезных ископаемых, в том числе связанные с разведкой и добычей подземных вод, лечебных грязей, разведкой недр для сброса сточных вод, а также по строительству и (или) эксплуатации подземных сооружений, не связанные с разведкой и (или) добычей;
нефтяными операциями признаются работы по разведке, добыче углеводородов, строительству и (или) эксплуатации необходимых технологических и производственных объектов;
3) внеконтрактная деятельность - деятельность недропользователя, не предусмотренная прямо положениями контракта на недропользование, любая иная деятельность;
4) контрактная деятельность - деятельность недропользователя, осуществляемая в соответствии с положениями контракта на недропользование;
5) подготовка углеводородов - комплекс технологических процессов подготовки углеводородов, в том числе сбор, доставка для подготовки, поступление скважинной жидкости в замерные установки, дегазация, обезвоживание, обессоливание, стабилизация, демеркаптанизация;
6) получатель от имени государства - юридическое лицо, определенное Правительством Республики Казахстан, действующее от имени государства в качестве получателя полезных ископаемых, передаваемых в натуральной форме недропользователем в счет исполнения налогового обязательства, предусмотренного налоговым законодательством Республики Казахстан и (или) соглашениями (контрактами) о разделе продукции, контрактом на недропользование, утвержденным Президентом Республики Казахстан, предусмотренными статьей 755 настоящего Кодекса;
7) минеральное сырье - извлеченная на поверхность часть недр (горная порода, рудное сырье и другие), содержащая полезное ископаемое (полезные ископаемые), без учета разубоживания;
8) первичная переработка (обогащение) минерального сырья - вид горнопромышленной деятельности, который:
включает сбор на месте, дробление или измельчение, классификацию (сортировку), брикетирование, агломерацию и обогащение физико-химическими методами (без качественного изменения минеральных форм полезных ископаемых, их агрегатно-фазового состояния, кристаллохимической структуры);
может включать перерабатывающие технологии, являющиеся специальными видами работ по добыче полезных ископаемых (подземная газификация и выплавление, химическое и бактериальное выщелачивание, дражная и гидравлическая разработка россыпных месторождений);
9) оператор - юридическое лицо, создаваемое или определяемое в соответствии с законами Республики Казахстан недропользователями, осуществляющими операции по недропользованию, в составе простого товарищества (консорциума) в рамках соглашения (контракта) о разделе продукции;
10) добыча - весь комплекс работ (операций), непосредственно связанных с извлечением углеводородов, минерального сырья или твердых полезных ископаемых из недр на поверхность и (или) отделением полезных ископаемых из мест их залегания, в том числе из техногенных минеральных образований, а также связанных с забором подземных вод;
11) полезные ископаемые - содержащиеся в недрах природные минеральные образования, углеводороды и подземные воды, а также содержащие полезные компоненты природные минеральные образования и органические вещества, химический состав и физические свойства которых позволяют использовать их в сфере материального производства и (или) потребления, и (или) иных нужд непосредственно или после переработки.
Статья 11. Понятия, связанные с местом нахождения налогоплательщика (налогового агента)
Местом нахождения налогоплательщика (налогового агента) (далее - место нахождения) признаются следующие места, в зависимости от категорий субъекта, к которым относится налогоплательщик (налоговый агент):
1) место жительства физического лица - место регистрации гражданина в соответствии с законодательством Республики Казахстан в области миграции населения;
2) место жительства гражданина Республики Казахстан, проживающего за пределами Республики Казахстан, не имеющего места регистрации в Республике Казахстан, - место последней регистрации гражданина в Республике Казахстан в соответствии с законодательством Республики Казахстан в области миграции населения;
3) место нахождения индивидуального предпринимателя и лица, занимающегося частной практикой, - место преимущественного осуществления их деятельности, заявленное при налоговой регистрации в Республике Казахстан;
4) место нахождения юридического лица - резидента, его структурного подразделения, структурного подразделения юридического лица - нерезидента - место нахождения его постоянно действующего органа, внесенное в Национальный реестр бизнес-идентификационных номеров при регистрации в Республике Казахстан;
5) место нахождения юридического лица - нерезидента, осуществляющего деятельность через постоянное учреждение без открытия структурного подразделения, - место осуществления деятельности в Республике Казахстан, заявленное при налоговой регистрации в Республике Казахстан;
6) место нахождения юридического лица, созданного в соответствии с законодательством иностранного государства, место эффективного управления которого находится в Республике Казахстан, - место нахождения фактического органа управления в Республике Казахстан, определенное собранием совета директоров или аналогичным органом управления, заявленное при налоговой регистрации в Республике Казахстан и указанное в соответствующем протоколе органа управления;
7) место пребывания иностранца или лица без гражданства - место временного пребывания иностранца или лица без гражданства, заявленное при государственной регистрации в Республике Казахстан;
8) место пребывания иностранца или лица без гражданства, не пребывающего в Республике Казахстан, у которого возникает налоговое обязательство по уплате индивидуального подоходного налога с доходов, полученных из источников в Республике Казахстан от лица, не являющегося налоговым агентом, - место жительства (нахождения) лица, выплачивающего такому иностранцу или лицу без гражданства доходы из источников в Республике Казахстан.
Статья 12. Вознаграждение
1. Вознаграждением признаются:
1) вознаграждение по кредитам (займам, микрокредитам);
2) вознаграждение по договору финансового лизинга;
3) вознаграждение по вкладу (депозиту);
4) вознаграждение по договору накопительного страхования;
5) вознаграждение по векселю;
6) вознаграждение по операциям репо;
7) вознаграждение по долговым ценным бумагам;
8) вознаграждение по исламским арендным сертификатам;
9) вознаграждение по договору банковского счета.
2. Вознаграждением по кредитам (займам, микрокредитам) являются все выплаты, связанные с кредитом (займом, микрокредитом), в случаях, когда такие выплаты осуществляются:
1) заимодателю;
2) юридическому лицу, указанному в законах Республики Казахстан «О банках и банковской деятельности в Республике Казахстан» и «О микрофинансовой деятельности», которому уступлено право требования по кредиту (займу, микрокредиту);
3) лицу, которое является для заемщика взаимосвязанной стороной.
При этом не являются вознаграждением по кредитам (займам, микрокредитам):
1) подлежащая выплате (полученная) сумма кредита (займа, микрокредита);
2) корректировка (индексация) суммы кредита (займа, микрокредита), подлежащего выплате (полученного) в тенге, в связи с изменением курса валюты;
3) комиссия за перевод денег банками второго уровня.
3. Вознаграждением по договору финансового лизинга являются все выплаты, связанные с передачей имущества по договору финансового лизинга, в случаях, когда такие выплаты осуществляются:
1) лизингодателю;
2) лицу, которое является для лизингополучателя взаимосвязанной стороной.
При этом не являются вознаграждением по договору финансового лизинга:
1) стоимость, по которой такое имущество получено (передано) в финансовый лизинг;
2) выплаты в связи с изменением размера лизинговых платежей при применении коэффициента (индекса) в соответствии с условиями договора финансового лизинга.
4. Вознаграждением по вкладу (депозиту) являются все выплаты по вкладу (депозиту) в случаях, когда такие выплаты осуществляются:
1) вкладчику (депозитору);
2) лицу, являющемуся взаимосвязанной стороной для лица, принявшего вклад (депозит).
При этом не является вознаграждением по вкладу (депозиту) сумма вклада (депозита).
5. Вознаграждением по договору накопительного страхования являются все выплаты, связанные с договором накопительного страхования, в случаях, когда такие выплаты осуществляются:
1) страховщику;
2) лицу, являющемуся для страхователя взаимосвязанной стороной.
При этом не является вознаграждением по договору накопительного страхования размер страховой суммы.
6. Вознаграждением по долговым ценным бумагам являются выплаты в виде дисконта по долговым ценным бумагам либо купона по долговым ценным бумагам (с учетом дисконта по долговым ценным бумагам либо премии от стоимости первичного размещения и (или) стоимости приобретения) в случаях, когда такие выплаты осуществляются:
1) держателю долговых ценных бумаг;
2) лицу, являющемуся взаимосвязанной стороной для лица, выплачивающего вознаграждение.
7. Вознаграждением по векселю являются все выплаты по векселю в случаях, когда такие выплаты осуществляются:
1) держателю векселей;
2) лицу, являющемуся для векселедателя взаимосвязанной стороной.
При этом не является вознаграждением по векселю сумма, указанная в векселе.
8. Вознаграждением по операциям репо являются выплаты в виде разницы между ценой закрытия и ценой открытия репо.
9. Вознаграждением по исламским арендным сертификатам являются все выплаты по исламским арендным сертификатам.
10. Вознаграждением, выплачиваемым по договору банковского счета, являются расходы банка по выплате дохода, предусмотренного договором банковского счета.
11. Определение вознаграждения, установленное настоящей статьей, применяется независимо от того, в соответствии с законодательством какого государства оно возникает.
Статья 13. Дивиденды
1. Дивидендами признаются следующие виды дивидендов:
1) дивиденды от распределения дохода;
2) конструктивные дивиденды.
2. Дивидендом от распределения дохода является доход:
1) в виде чистого дохода или его части, подлежащих выплате по акциям, в том числе по акциям, являющимся базовыми активами депозитарных расписок;
2) подлежащий выплате по паям паевого инвестиционного фонда, за исключением дохода по паям при их выкупе управляющей компанией фонда;
3) в виде чистого дохода или его части, распределяемых юридическим лицом между его учредителями, участниками;
4) подлежащий выплате по исламским сертификатам участия;
5) от распределения имущества при ликвидации юридического лица или уменьшении уставного капитала, а также выкупе юридическим лицом у учредителя, участника доли участия или ее части в этом юридическом лице, выкупе юридическим лицом - эмитентом у акционера акций, выпущенных этим эмитентом, при выходе адвоката, являющегося партнером адвокатской конторы, из такой адвокатской конторы, прекращении адвокатской деятельности через такую адвокатскую контору либо ликвидации адвокатской конторы;
6) в виде увеличения вклада в уставный капитал юридического лица путем увеличения размера уставного капитала юридического лица за счет собственного капитала такого юридического лица, кроме:
дополнительно оплаченного капитала в виде превышения стоимости имущества, полученного эмитентом от размещения выпущенных им акций, над номинальной стоимостью таких акций;
дополнительных взносов участника юридического лица в имущество такого юридического лица;
прироста стоимости от переоценки.
3. Конструктивным дивидендом является доход:
1) получаемый акционером, участником, учредителем или взаимосвязанной стороной от юридического лица, возникаемый при корректировке объектов налогообложения и (или) объектов, связанных с налогообложением, производимой в случаях и порядке, которые установлены законодательством Республики Казахстан о трансфертном ценообразовании.
При расчете данного дохода взаимосвязанные стороны определяются в соответствии с законодательством Республики Казахстан о трансфертном ценообразовании;
2) получаемый акционером, участником, учредителем или их взаимосвязанной стороной от юридического лица в виде:
стоимости расходов или обязательств, не связанных с предпринимательской деятельностью юридического лица, возникающих у его акционера, участника, учредителя или их взаимосвязанной стороны перед третьим лицом, погашаемой юридическим лицом без ее возмещения акционером, учредителем, участником или их взаимосвязанной стороной юридическому лицу;
любого имущества и материальной выгоды, предоставляемых юридическим лицом своему акционеру, участнику, учредителю или их взаимосвязанной стороне, за исключением доходов работника и доходов от реализации товаров, работ, услуг.
Для целей части первой настоящего подпункта взаимосвязанные стороны определяются в соответствии со статьей 14 настоящего Кодекса.
Доход, получаемый акционером, участником, учредителем или их взаимосвязанной стороной от юридического лица в виде роялти за использование или права на использование в коммерческой деятельности запатентованных объектов промышленной собственности, не признается конструктивным дивидендом.
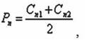
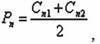
4. Доход от распределения имущества, указанный в подпункте 5) пункта 2 настоящей статьи, определяется в следующем порядке:
Д = Сп - Су,
где:
Д - доход от распределения имущества;
Сп - балансовая стоимость имущества, получаемого (полученного) акционером, участником, учредителем, партнером адвокатской конторы при распределении имущества, в том числе получаемого (полученного) взамен ранее внесенного, на дату передачи, подлежащая отражению (отраженная) в бухгалтерском учете передающего лица, без учета переоценки и обесценения;
Су:
размер оплаченного уставного капитала, приходящийся на количество акций, на которые осуществляется распределение имущества, с учетом дополнительно оплаченного капитала в виде превышения стоимости имущества, полученного эмитентом от размещения выпущенных им акций, над номинальной стоимостью таких акций;
размер оплаченного уставного капитала, приходящийся на долю участия, на которую осуществляется распределение имущества, с учетом дополнительных взносов участника юридического лица в имущество такого юридического лица и увеличения размера уставного капитала за счет собственного капитала юридического лица, но не более первоначальной стоимости такой доли участия, в порядке, определяемом настоящим Кодексом, у участника, в пользу которого осуществляется распределение имущества;
стоимость имущества, переданного адвокатом, являющимся партнером адвокатской конторы, в собственность такой адвокатской конторы.
Статья 14. Взаимосвязанные стороны
1. Взаимосвязанными сторонами признаются физические и (или) юридические лица, имеющие взаимоотношения, которые соответствуют одному либо нескольким из следующих условий:
1) одно лицо признается аффилированным лицом другого лица в соответствии с законами Республики Казахстан;
2) одно лицо является крупным участником другого лица;
3) лица связаны договором, в соответствии с которым одно из них вправе определять решения, принимаемые другим;
4) юридическое лицо находится под контролем крупного участника или должностного лица другого юридического лица;
5) крупный акционер, крупный участник или должностное лицо одного юридического лица являются крупным акционером, крупным участником либо должностным лицом другого юридического лица;
6) юридическое лицо совместно с другим юридическим лицом находится под контролем третьего лица;
7) лицо совместно со своими аффилированными лицами владеет, пользуется, распоряжается десятью и более процентами долей участия юридического лица либо юридических лиц, указанных в подпунктах 2) - 6) части первой настоящего пункта;
8) физическое лицо является должностным лицом юридического лица, указанного в подпунктах 2) - 7) части первой настоящего пункта, за исключением независимого директора акционерного общества;
9) физическое лицо является супругом (супругой), близким родственником либо свойственником (брат, сестра, родитель, сын или дочь супруга (супруги) крупного участника либо должностного лица юридического лица.
Под крупным участником в целях настоящего пункта понимается участник, доля которого в имуществе юридического лица, за исключением акционерных обществ, составляет десять и более процентов.
Под контролем над юридическим лицом понимается возможность определять решения, принимаемые юридическим лицом.
2. При корректировке объектов налогообложения и (или) объектов, связанных с налогообложением, в рамках трансфертного ценообразования взаимосвязанные стороны определяются в соответствии с законодательством Республики Казахстан о трансфертном ценообразовании.
Статья 15. Организация, осуществляющая деятельность в социальной сфере
1. Организацией, осуществляющей деятельность в социальной сфере, признается юридическое лицо, осуществляющее один или несколько видов деятельности в социальной сфере, указанных в пункте 2 настоящей статьи, доходы от которых с учетом доходов, предусмотренных пунктом 3 настоящей статьи, составляют не менее 90 процентов совокупного годового дохода.
2. К деятельности в социальной сфере относятся следующие виды деятельности:
1) оказание медицинских услуг, в том числе оказываемых в комплексе, в соответствии с законодательством Республики Казахстан субъектом здравоохранения, имеющим лицензию на медицинскую деятельность;
2) оказание услуг в сфере образования:
осуществляемых по лицензиям на занятие образовательной деятельностью;
дошкольное воспитание и обучение;
дополнительное образование, осуществляемое организацией образования, имеющей лицензию на занятие образовательной деятельностью;
3) научная и (или) научно-техническая деятельность (включая проведение научных исследований, использование, в том числе реализацию, объектов интеллектуальной собственности), осуществляемая субъектами научной и (или) научно-технической деятельности, аккредитованными уполномоченным органом в области науки.
К доходам, указанным в части первой настоящего подпункта, также относятся доходы субъектов научной и (или) научно-технической деятельности, аккредитованных уполномоченным органом в области науки, в виде финансирования на создание научных центров при исследовательских университетах;
4) деятельность в области спорта;
5) деятельность в области культуры, осуществляемая организациями культуры;
6) оказание услуг по сохранению объектов историко-культурного наследия, занесенных в Государственный список памятников истории и культуры, в соответствии с законодательством Республики Казахстан (за исключением распространения информации и пропаганды);
7) оказание помощи лицам (семьям), признанным нуждающимися в специальных социальных услугах;
8) библиотечное обслуживание;
9) деятельность автономных организаций образования:
по установленным законами Республики Казахстан следующим уровням образования: начальная школа (включая дошкольное воспитание и обучение), основная школа, старшая школа, послесреднее образование, высшее образование, послевузовское образование;
по дополнительному образованию;
научно-техническая, инновационная, научно-исследовательская деятельность (включая фундаментальные и прикладные научные исследования).
3. В целях применения пункта 1 настоящей статьи также учитываются следующие виды доходов:
1) доход в виде безвозмездно полученного имущества (включая благотворительную и спонсорскую помощь);
2) вступительные, членские взносы и иные поступления на безвозмездной и невозвратной основе от учредителя, участника, члена;
3) вознаграждения по депозитам;
4) превышение суммы положительной курсовой разницы над суммой отрицательной курсовой разницы.
4. К организациям, осуществляющим деятельность в социальной сфере, не относятся организации, получающие доходы от деятельности по производству и реализации подакцизных товаров.
Статья 16. Сельскохозяйственный кооператив
1. Сельскохозяйственным кооперативом признается юридическое лицо, созданное в соответствии с законодательством Республики Казахстан о сельскохозяйственных кооперативах, занимающееся одним и (или) несколькими видами деятельности:
1) производство сельскохозяйственной продукции (за исключением подакцизной продукции) и ее реализация;
2) заготовка, хранение и реализация сельскохозяйственной продукции, произведенной членами такого кооператива;
3) переработка сельскохозяйственной продукции (за исключением подакцизной) собственного производства и (или) произведенной членами такого кооператива, а также реализация продукции, полученной в результате такой переработки;
4) выполнение работ и оказание услуг для членов такого кооператива в целях производства и переработки сельскохозяйственной продукции собственного производства, включая вспомогательные работы и услуги;
5) реализация членам такого кооператива товаров в целях производства и переработки сельскохозяйственной продукции собственного производства.
Перечень товаров, работ и услуг, предусмотренный подпунктами 4) и 5) части первой настоящего пункта, утверждается уполномоченным органом в области развития агропромышленного комплекса по согласованию с центральным уполномоченным органом по государственному планированию.
2. Положения настоящего Кодекса, предусмотренные для сельскохозяйственных кооперативов, применяются при наличии земельных участков на правах частной собственности и (или) землепользования (включая право вторичного землепользования).
Требование части первой настоящего пункта не распространяется на сельскохозяйственные кооперативы, осуществляющие деятельность в области производства продуктов пчеловодства, а также переработки и реализации указанной продукции собственного производства.
Статья 17. Участник «Астана Хаб»
1. К участнику «Астана Хаб» относится юридическое лицо, одновременно соответствующее следующим условиям:
1) зарегистрирован в автономном кластерном фонде «Астана Хаб» в качестве участника в соответствии с законодательством Республики Казахстан об инновационном кластере;
2) не менее 90 процентов совокупного годового дохода такого юридического лица составляют доходы от осуществления приоритетных видов деятельности в области информационно-коммуникационных технологий;
3) в случае производства и реализации товаров такие товары соответствуют критериям собственного производства.
При определении дохода, предусмотренного подпунктом 2) части первой настоящего пункта, также учитываются следующие доходы, если они связаны с получением дохода от осуществления приоритетных видов деятельности в области информационно-коммуникационных технологий:
доход в виде безвозмездно полученного имущества,
вознаграждение по депозитам,
превышение суммы положительной курсовой разницы над суммой отрицательной курсовой разницы,
доход по сомнительным обязательствам, включая пени и штрафы по таким обязательствам.
2. Перечень приоритетных видов деятельности в области информационно-коммуникационных технологий и критерии собственного производства утверждаются уполномоченным органом в сфере информатизации по согласованию с центральным уполномоченным органом по государственному планированию, уполномоченным органом в области технического регулирования, уполномоченным органом в области государственной поддержки инновационной деятельности и уполномоченным органом.
Статья 18. Понятия, связанные с ценными бумагами
Понятия, связанные с ценными бумагами:
1) долговые ценные бумаги - ценные бумаги, удостоверяющие обязательство эмитента (должника) по выплате основной суммы долга на условиях выпуска данных ценных бумаг, в том числе государственные эмиссионные ценные бумаги, облигации;
2) дисконт по долговым ценным бумагам (далее - дисконт) - положительная разница между номинальной стоимостью и стоимостью первичного размещения (без учета купона) или стоимостью приобретения (без учета купона) долговых ценных бумаг;
3) купон по долговым ценным бумагам (далее - купон) - сумма, выплачиваемая (подлежащая выплате) эмитентом сверх номинальной стоимости долговых ценных бумаг в соответствии с условиями выпуска;
4) премия по долговым ценным бумагам - положительная разница между стоимостью первичного размещения (без учета купона) или стоимостью приобретения (без учета купона) и номинальной стоимостью долговых ценных бумаг, условиями выпуска которых предусматривается выплата купона;
5) исламские ценные бумаги - исламские арендные сертификаты и исламские сертификаты участия.
Статья 19. Понятия, связанные с денежными расчетами и контрольно-кассовыми машинами
Понятия, связанные с денежными расчетами и контрольно-кассовыми машинами:
1) денежные расчеты - расчеты, осуществляемые за приобретение товара, выполнение работ, оказание услуг посредством наличных денег и (или) расчетов с использованием платежных карточек и (или) мобильных платежей;
2) государственный реестр контрольно-кассовых машин (далее - реестр кассовых машин) - перечень моделей контрольно-кассовых машин, разрешенных уполномоченным органом к использованию на территории Республики Казахстан;
3) контрольно-кассовая машина - электронное устройство с блоком фискальной памяти и аппаратно-программный комплекс без функции передачи данных, электронное устройство и аппаратно-программный комплекс с функцией фиксации и (или) передачи данных, обеспечивающие регистрацию и отображение информации о денежных расчетах;
4) регистрационная карточка контрольно-кассовой машины - учетный документ, подтверждающий факт регистрации (снятия с учета) в налоговом органе контрольно-кассовой машины;
5) чек контрольно-кассовой машины - первичный учетный документ контрольно-кассовой машины, подтверждающий факт осуществления между продавцом (поставщиком товара, работы, услуги) и покупателем (клиентом) денежного расчета, выданный бумажным либо электронным способом;
6) терминал оплаты услуг - электронно-механическое устройство для приема наличных денег либо расчетов с использованием платежных карточек и (или) мобильных платежей за оказанные услуги;
7) торговый автомат - электронно-механическое устройство, осуществляющее реализацию товаров посредством наличных денег либо расчетов с использованием платежных карточек и (или) мобильных платежей в автоматическом режиме;
8) товарный чек - первичный учетный документ, подтверждающий факт осуществления денежного расчета, используемый в случаях технической неисправности контрольно-кассовой машины или отсутствия электроэнергии;
9) книга товарных чеков - совокупность товарных чеков, объединенных в книгу;
10) трехкомпонентная интегрированная система - интегрированная система, состоящая из контрольно-кассовой машины с функцией фиксации и передачи данных, системы (устройства) для приема безналичных платежей, а также оборудования (устройства), оснащенного системой автоматизации управления торговлей, оказания услуг, выполнения работ и учета товаров, или программно-аппаратного комплекса, заменяющего все три компонента интегрированной системы;
11) фискальный признак - отличительный символ, отражаемый на чеках контрольно-кассовой машины в качестве подтверждения работы контрольно-кассовой машины в фискальном режиме;
12) фискальные данные - информация о денежных расчетах с фискальным признаком, фиксируемая в фискальной памяти контрольно-кассовой машины с блоком фискальной памяти либо накопителе фискальных данных контрольно-кассовой машины с функцией фиксации и (или) передачи данных и переданная в налоговые органы;
13) накопитель фискальных данных - комплекс программно-аппаратных средств, обеспечивающих некорректируемую регистрацию и энергонезависимое долговременное хранение информации о произведенных денежных расчетах в контрольно-кассовой машине с функцией фиксации и (или) передачи данных;
14) оператор фискальных данных - юридическое лицо, обеспечивающее передачу сведений о денежных расчетах в оперативном режиме в налоговые органы по сетям телекоммуникаций общего пользования, включенное в перечень операторов фискальных данных;
15) фискальный режим - режим функционирования контрольно-кассовой машины, обеспечивающий некорректируемую регистрацию и энергонезависимое долговременное хранение информации в фискальной памяти либо накопителе фискальных данных с одновременной передачей сведений о денежных расчетах в налоговые органы посредством оператора фискальных данных.
Статья 20. Государство с льготным налогообложением
1. Государством с льготным налогообложением признается иностранное государство или территория, которое или которая отвечает одному из следующих условий:
1) в таком государстве или на такой территории установлена ставка налога на прибыль в размере менее 10 процентов;
2) в таком государстве или на такой территории имеются законы о конфиденциальности финансовой информации или законы, позволяющие сохранять тайну о фактическом владельце имущества, дохода или фактических владельцах, участниках, учредителях, акционерах юридического лица (компании).
Положения подпункта 2) части первой настоящего пункта не применяются в отношении иностранного государства или территории, с которым или которой у Республики Казахстан действует международный договор, предусматривающий положение об обмене информацией между компетентными органами по вопросам налогообложения, за исключением иностранного государства или территории, не обеспечивающих обмен информацией с уполномоченным органом для целей налогообложения.
2. Иностранное государство или территория признается как не обеспечивающее или не обеспечивающая обмен информацией с уполномоченным органом для целей налогообложения при выполнении одного из следующих условий:
1) уполномоченным органом получен от компетентного или уполномоченного органа иностранного государства или территории письменный отказ в представлении сведений, обмен которыми предусмотрен международным договором;
2) компетентный или уполномоченный орган иностранного государства или территории не представил требуемые сведения в течение более чем двух лет после направления уполномоченным органом соответствующего запроса.
3. Перечень государств с льготным налогообложением, определенных в соответствии с пунктами 1 и 2 настоящей статьи, утверждается уполномоченным органом.
Статья 21. Прочие понятия
Прочие понятия:
1) месячный расчетный показатель - месячный расчетный показатель, установленный законом о республиканском бюджете на соответствующий финансовый год и действующий на дату, определенную настоящим Кодексом;
2) социальное обязательство - обязанности по исчислению, удержанию и перечислению социальных платежей;
3) официальный курс валюты - официальный курс национальной валюты Республики Казахстан к иностранным валютам, установленный Национальным Банком в соответствии с Законом Республики Казахстан «О Национальном Банке Республики Казахстан»;
4) минимальная заработная плата - минимальный размер заработной платы, установленный законом о республиканском бюджете на соответствующий финансовый год и действующий на дату, определенную настоящим Кодексом;
5) сведения об отсутствии (наличии) задолженности, учет по которой ведется в налоговом органе (далее - сведения об отсутствии (наличии) задолженности) - документ, который подтверждает наличие или отсутствие задолженности по налогам и платежам в бюджет, социальным платежам, пеней и штрафов, учет которых осуществляется налоговым органом.
Форма сведений об отсутствии (наличии) задолженности устанавливается в порядке ведения лицевого счета (далее - порядок ведения лицевого счета), определенном уполномоченным органом;
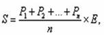
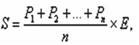
6) среднеарифметический официальный курс валюты за период - курс, определенный по следующей формуле:
R = (R1 + R2 +... + Rn)/n,
где:
R - среднеарифметический официальный курс валюты за период;
R1, R2.,Rn - официальный курс соответствующей валюты, установленный на каждый рабочий день периода в течение периода;
n - количество рабочих дней в периоде.
При этом термин «среднеарифметический официальный курс валюты за период», используемый в настоящем Кодексе, соответствует публикуемому Национальным Банком среднему официальному курсу валют за период;
7) доля участия - долевое участие физического и (или) юридического лица в совместной деятельности, уставном капитале юридического лица, за исключением акционерных обществ и паевых инвестиционных фондов;
8) классификатор основных фондов - классификация основных фондов, утвержденная уполномоченным органом в области технического регулирования в соответствии с Законом Республики Казахстан «О стандартизации» с целью учета основных фондов в сферах бухгалтерского и статистического учета;
9) информационная система налогового органа - информационная система, принадлежащая на праве собственности уполномоченному органу и предназначенная для налогового администрирования;
10) идентификационные данные налогового органа - наименование, код, адрес налогового органа;
11) государственная база данных налогоплательщиков (далее - база налогоплательщиков) - информационная система, предназначенная для осуществления налоговой регистрации налогоплательщиков;
12) лицевой счет налогоплательщика (налогового агента) (далее - лицевой счет) - документ для учета исчисленных, начисленных (уменьшенных), перечисленных и уплаченных (с учетом зачтенных и возвращенных) сумм налогов и платежей в бюджет, социальных платежей, а также сумм пеней и штрафов;
13) идентификационные данные налогоплательщика (налогового агента) - фамилия, имя и отчество (если оно указано в документе, удостоверяющем личность) (далее - фамилия, имя и отчество) или наименование, идентификационный номер, место нахождения, а также в случаях, когда налогоплательщик (налоговый агент) является юридическим лицом, - фамилия, имя и отчество руководителя;
14) налоговое мобильное приложение - программный продукт, установленный и запущенный на абонентском устройстве сотовой связи для получения налогоплательщиком электронных налоговых услуг и исполнения им налоговых обязательств;
15) национальные реестры идентификационных номеров (далее - реестры номеров) - государственные базы данных, предназначенные для осуществления регистрационного учета индивидуальных идентификационных номеров физических лиц и бизнес-идентификационных номеров юридических лиц (филиалов и представительств), индивидуальных предпринимателей, осуществляющих деятельность в виде совместного предпринимательства;
16) сопроводительная накладная на товары - товаросопроводительный документ для контроля за движением товаров, в том числе подтверждающий отгрузку товаров налогоплательщику;
17) выигрыш - доход в натуральном и денежном выражении, полученный налогоплательщиком на конкурсах, соревнованиях (олимпиадах), фестивалях по лотереям, розыгрышам, включая розыгрыши по вкладам и долговым ценным бумагам, а также доход в виде имущественной выгоды, полученной в азартной игре и (или) пари;
18) информационная система электронных счетов-фактур - информационная система налогового органа, посредством которой осуществляются выписка счетов-фактур в электронной форме, прием, обработка, регистрация, передача и хранение электронных счетов-фактур и актов выполненных работ, оказанных услуг, сопроводительных накладных на товары, выписанных в электронной форме.
При этом термин «электронный счет-фактура», используемый в настоящем Кодексе, идентичен понятию «счет-фактура, выписанный в электронной форме».
Параграф 2. Правовые основы налогообложения
Статья 22. Налоговое законодательство Республики Казахстан
1. Налоговое законодательство Республики Казахстан основывается на Конституции Республики Казахстан, состоит из настоящего Кодекса, а также нормативных правовых актов, принятие которых предусмотрено настоящим Кодексом.
2. Ни на кого не может быть возложена обязанность по уплате налогов и платежей в бюджет, не предусмотренных настоящим Кодексом.
3. При наличии противоречия между настоящим Кодексом и другими законами Республики Казахстан в целях налогообложения действуют нормы настоящего Кодекса.
4. Запрещается включение в неналоговое законодательство Республики Казахстан норм, регулирующих налоговые отношения, кроме случаев, предусмотренных настоящим Кодексом.
5. Международные договоры, ратифицированные Республикой Казахстан, имеют приоритет перед настоящим Кодексом. Порядок и условия действия на территории Республики Казахстан международных договоров, участницей которых является Республика Казахстан, определяются законодательством Республики Казахстан.
Статья 23. Действие налогового законодательства Республики Казахстан
1. Налоговое законодательство Республики Казахстан действует на всей территории Республики Казахстан и распространяется на всех физических лиц, юридических лиц и их структурные подразделения, которые определены настоящим Кодексом в качестве плательщиков налогов и платежей в бюджет, а также в качестве участников соответствующих налоговых и иных процедур по взиманию и администрированию налогов и платежей в бюджет.
2. Законы, вносящие изменения и дополнения в настоящий Кодекс в части установления нового налога и (или) платежа в бюджет, повышения ставки, изменения объекта налогообложения и (или) налоговой базы, увеличения категорий налогоплательщиков (налоговых агентов), отмены или уменьшения вычета или льготы по уплате налогов и платежей в бюджет, могут быть приняты не позднее 1 июля текущего года и введены в действие не ранее 1 января года, следующего за годом их принятия.
3. Внесение изменений и (или) дополнений в настоящий Кодекс осуществляется законом, не предусматривающим внесение изменений и дополнений в другие законодательные акты Республики Казахстан.
При этом при внесении изменений и (или) дополнений в настоящий Кодекс в порядке законодательной инициативы Правительства Республики Казахстан проект такого закона разрабатывается уполномоченным органом в области налоговой политики и (или) центральным уполномоченным органом по исполнению бюджета.
4. Положения законов, устанавливающие новые виды налогов и (или) платежей в бюджет, повышающие ставки, устанавливающие новые обязанности, а также ухудшающие положение налогоплательщика (налогового агента), обратной силы не имеют.
Статья 24. Основные цель и задача налогового законодательства Республики Казахстан
1. Основной целью налогового законодательства Республики Казахстан является установление налогов и платежей в бюджет, действующих на территории Республики Казахстан, а также прав и обязанностей сторон налоговых правоотношений для обеспечения исполнения налоговых обязательств на основе принципов налогообложения.
2. Основной задачей налогового законодательства Республики Казахстан является создание правовых основ для исчисления и уплаты налогов и платежей в бюджет, исполнения налоговых обязательств.
Статья 25. Принципы налогообложения
Налоговое законодательство Республики Казахстан основывается на принципах налогообложения, установленных настоящим Кодексом.
К принципам налогообложения относятся принципы обязательности, определенности налогообложения, справедливости налогообложения, прозрачности налогообложения, добросовестности налогоплательщика (налогового агента), единства налоговой системы и гласности налогового законодательства Республики Казахстан.
Положения налогового законодательства Республики Казахстан не должны противоречить принципам налогообложения.
Статья 26. Принцип обязательности налогообложения
Налогоплательщик (налоговый агент) обязан исполнять налоговое обязательство в соответствии с налоговым законодательством Республики Казахстан в полном объеме и в установленные сроки.
Статья 27. Принцип определенности налогообложения
Налоги и платежи в бюджет Республики Казахстан должны быть определенными. Определенность налогообложения означает установление в налоговом законодательстве Республики Казахстан всех оснований и порядка возникновения, исполнения и прекращения налогового обязательства налогоплательщика (налогового агента).
Статья 28. Принцип прозрачности налогообложения
1. Налогообложение в Республике Казахстан осуществляется на основе принципа прозрачности, предполагающего обеспечение для всех субъектов налоговых правоотношений открытости, ясности и доступности информации о налогах и платежах в бюджет, порядке их исчисления, уплаты, контроля за их поступлением при проведении налоговых проверок.
2. Налоговые органы при осуществлении налогового администрирования обязаны действовать открыто, объективно и в строгом соответствии с требованиями законодательства Республики Казахстан.
3. Налогоплательщик (налоговый агент) вправе получать мотивированное, четкое и исчерпывающее разъяснение по вопросам применения налогового законодательства Республики Казахстан, а также по действиям (бездействию) налоговых органов, осуществляемых в рамках налогового администрирования.
4. Нарушение принципа прозрачности налогообложения является основанием для обжалования действий (бездействия) налоговых органов в порядке, установленном настоящим Кодексом.
Статья 29. Принцип справедливости налогообложения
1. Налогообложение в Республике Казахстан является всеобщим и обязательным.
2. Запрещается предоставление налоговых льгот индивидуального характера.
3. Никто не может быть подвергнут повторному обложению одним и тем же видом налога, одним и тем же видом платежа в бюджет по одному и тому же объекту обложения за один и тот же период.
Статья 30. Принцип добросовестности налогоплательщиков (налоговых агентов)
1. Добросовестность осуществления налогоплательщиком (налоговым агентом) действий (бездействия) по исполнению налогового обязательства предполагается.
2. Не допускается уменьшение налогоплательщиком налогового обязательства в результате:
искажения сведений о фактах хозяйственной деятельности (совокупности таких фактов), об объектах налогообложения, подлежащих отражению в налоговом и (или) бухгалтерском учете либо налоговой отчетности налогоплательщика;
совершения сделок с целью неуплаты (неполной уплаты) суммы налога;
исполнения обязательства по сделке (операции) лицом, не являющимся стороной договора.
Занижение сумм налогов и платежей в бюджет в налоговой отчетности и (или) их неуплата поставщиком не могут являться единственным обоснованием для неподтверждения факта взаиморасчетов с этим поставщиком.
3. Если налоговое обязательство, исполненное налогоплательщиком (налоговым агентом) в соответствии с предварительно полученным индивидуальным письменным разъяснением уполномоченного органа, которое впоследствии отозвано, признано ошибочным или направлено новое, иное по смыслу разъяснение, то налоговое обязательство подлежит корректировке (исправлению) при рассмотрении жалобы на уведомление о результатах налоговой проверки без начисления налогоплательщику штрафов и пеней.
4. Нарушение налогового законодательства Республики Казахстан и иного законодательства Республики Казахстан, связанного с исполнением налогового обязательства, допущенное налогоплательщиком (налоговым агентом), должно быть описано в ходе проведения налоговых проверок.
Обоснование доводов и раскрытие обстоятельств, свидетельствующих о факте нарушения налогового законодательства Республики Казахстан и иного законодательства Республики Казахстан, возлагаются на налоговые органы.
5. При рассмотрении жалобы на уведомление о результатах налоговой проверки все неопределенности и неурегулированные вопросы налогового законодательства Республики Казахстан толкуются в пользу налогоплательщика (налогового агента).
6. При определении налоговых обязательств не допускается учет активов, доходов и расходов, полученных (понесенных) в результате уголовного правонарушения (деяния), которые признаны взяткой и (или) иным незаконным материальным вознаграждением на основании вступившего в законную силу судебного акта или постановления о прекращении уголовного дела по нереабилитирующим основаниям.
Статья 31. Принцип единства налоговой системы
Налоговая система Республики Казахстан является единой на всей территории Республики Казахстан в отношении всех налогоплательщиков (налоговых агентов).
Статья 32. Принцип гласности налогового законодательства Республики Казахстан
Нормативные правовые акты, регулирующие вопросы налогообложения, подлежат обязательному официальному опубликованию.
Параграф 3. Общие положения по налоговой политике
Статья 33. Налоговая политика
Налоговой политикой является совокупность мер по установлению новых и отмене действующих налогов и платежей в бюджет, изменению ставок, объектов налогообложения и объектов, связанных с налогообложением, налоговой базы по налогам и платежам в бюджет в целях обеспечения финансовых потребностей государства на основе соблюдения баланса экономических интересов государства и налогоплательщиков.
Статья 34. Налоговые льготы
1. Налоговая льгота - преимущество, предоставленное в соответствии с нормами налогового законодательства Республики Казахстан налогоплательщикам в виде понижения ставки, полного освобождения от уплаты одного или нескольких налогов, вычетов, корректировок из налогооблагаемой базы.
2. Уполномоченным органом в области налоговой политики в соответствии с Бюджетным кодексом Республики Казахстан ежегодно составляется аналитический отчет о налоговых расходах, содержащий оценку эффективности налоговых льгот и целесообразности их дальнейшего применения.
3. Основанием для рассмотрения вопроса о предоставлении налоговой льготы уполномоченным органом в области налоговой политики являются обращения уполномоченных государственных органов.
4. Уполномоченные государственные органы в случае возникновения необходимости в предоставлении (продлении) налоговой льготы по курируемым отраслям направляют в уполномоченный орган в области налоговой политики обоснования необходимости в указанной льготе в порядке, определенном Правительством Республики Казахстан.
Уполномоченные государственные органы до обращения в уполномоченный орган в области налоговой политики согласовывают предлагаемую (продлеваемую) налоговую льготу с антимонопольным органом и центральным уполномоченным органом по исполнению бюджета.
Уполномоченные государственные органы при обращении в уполномоченный орган в области налоговой политики представляют заключение на предмет соответствия законодательству Республики Казахстан в области защиты конкуренции, выданное антимонопольным органом, и заключение, выданное центральным уполномоченным органом по исполнению бюджета.
5. Уполномоченный орган в области налоговой политики совместно с центральным уполномоченным органом по исполнению бюджета инициирует предложения по предоставлению или отказу в налоговой льготе, продлению или отмене налоговой льготы, сроку предоставления налоговой льготы.
6. Уполномоченные государственные органы обязаны осуществлять мониторинг и контроль по налоговым льготам по курируемым отраслям.
7. В случае недостижения социально-экономических целей, заявленных при введении налоговой льготы, а также с учетом ее влияния на бюджет уполномоченный орган в области налоговой политики совместно с центральным уполномоченным органом по исполнению бюджета инициирует уточнение или отмену налоговой льготы.
При этом критерии достижения социально-экономических целей применения налоговых льгот и порядок их установления определяются Правительством Республики Казахстан.
8. Налоговые льготы не могут быть предоставлены в случае, если по сумме имеющихся налоговых льгот достигнут порог в десять процентов от валового внутреннего продукта за календарный год, предшествующий текущему году.
Статья 35. Методологический совет по вопросам налогообложения
1. В целях выработки предложений по устранению неясностей, неточностей и противоречий, которые могут возникнуть в ходе исполнения налоговых обязательств, создается Методологический совет по вопросам налогообложения.
2. Положение о Методологическом совете по вопросам налогообложения и его состав утверждаются Премьер-Министром Республики Казахстан.
Глава 2. ПРАВА И ОБЯЗАННОСТИ НАЛОГОПЛАТЕЛЬЩИКА И НАЛОГОВОГО АГЕНТА. ПРЕДСТАВИТЕЛЬСТВО В НАЛОГОВЫХ ОТНОШЕНИЯХ
Параграф 1. Права и обязанности налогоплательщика и налогового агента
Статья 36. Права и обязанности налогоплательщика (налогового агента)
1. Налогоплательщик (налоговый агент) вправе:
1) получать от налогового органа информацию о действующих налогах и платежах в бюджет, изменениях в налоговом законодательстве Республики Казахстан;
2) получать от налогового органа разъяснение и комментарии по возникновению, исполнению и прекращению своего налогового обязательства в пределах представленных им сведений и документов.
Для участника горизонтального мониторинга осуществление разъяснений и предоставление комментариев, предусмотренных частью первой настоящего подпункта, а также предварительное разъяснение в отношении планируемых сделок (операций) производятся уполномоченным органом;
3) представлять свои интересы в отношениях, регулируемых налоговым законодательством Республики Казахстан, лично или через представителя;
4) заключать договор на проведение аудита по налогам в соответствии с законодательством Республики Казахстан;
5) получать результаты налогового контроля в случаях, установленных настоящим Кодексом;
6) обратиться в налоговый орган для изменения срока исполнения налогового обязательства по уплате налогов и (или) плат в порядке, определенном настоящим Кодексом;
7) обжаловать уведомление о результатах налоговой проверки, уведомление об итогах рассмотрения жалобы налогоплательщика (налогового агента) на уведомление о результатах налоговой проверки, а также действия (бездействие) должностного лица налогового органа;
8) не предоставлять информацию и документы, не относящиеся к объектам налогообложения и (или) объектам, связанным с налогообложением.
2. Налогоплательщик (налоговый агент) обязан:
1) своевременно и в полном объеме исполнять налоговые обязательства;
2) представлять по требованию налогового органа договор на проведение аудита по налогам и заключение аудита по налогам в случае заключения такого договора;
3) предоставлять информацию и документы, запрашиваемые налоговым органом, в случаях, предусмотренных настоящим Кодексом и иным законодательством Республики Казахстан, контроль за соблюдением которого возложен на налоговые органы;
4) обеспечить сохранность имущества, ограниченного в распоряжении, в неизменном состоянии до снятия ограничения, за исключением изменений такого имущества вследствие естественного износа и (или) естественной убыли при нормальных условиях хранения.
3. Налогоплательщик обязан:
1) соблюдать требования, предъявляемые при применении контрольно-кассовых машин;
2) хранить книги товарных чеков контрольно-кассовой машины в течение срока исковой давности с даты полного заполнения таких книг;
3) при применении контрольно-кассовой машины без функции передачи данных хранить сменные отчеты, книги учета наличных денег, а также чеки аннулирования, возврата и чеки, по которым проведены операции аннулирования и возврата, в течение срока исковой давности;
4) проходить биометрическую идентификацию в случаях, установленных настоящим Кодексом.
4. Налогоплательщик, осуществляющий деятельность в сферах общественного питания и торговли, обязан разместить паспорт налогоплательщика в местах непосредственного нахождения контрольно-кассовых машин и общедоступных местах для информирования населения.
Паспортом налогоплательщика в целях настоящей статьи является формируемая налоговым органом информационная карта субъекта предпринимательства, не являющаяся налоговой тайной и содержащаяся в штрих-коде.
Паспорт налогоплательщика размещается на интернет-ресурсе уполномоченного органа.
Перечень сведений, содержащихся в паспорте налогоплательщика, порядок и сроки его формирования и размещения на интернет-ресурсе устанавливаются уполномоченным органом.
5. Налогоплательщик (налоговый агент) имеет иные права и выполняет иные обязанности, установленные настоящим Кодексом и иными законами Республики Казахстан.
Статья 37. Обеспечение и защита прав налогоплательщика (налогового агента)
1. Налогоплательщику (налоговому агенту) гарантируется защита его прав и законных интересов.
2. Защита прав и законных интересов налогоплательщика (налогового агента) осуществляется в порядке, определенном настоящим Кодексом и иными законами Республики Казахстан.
3. Налоговому органу и должностному лицу налогового органа запрещается требовать от налогоплательщика (налогового агента) выполнения обязанностей, не предусмотренных настоящим Кодексом и иными законами Республики Казахстан.
Параграф 2. Представительство в налоговых отношениях
Статья 38. Представительство в налоговых отношениях
1. Налогоплательщик (налоговый агент) вправе участвовать в отношениях, регулируемых налоговым законодательством Республики Казахстан, через:
1) законного представителя физического лица;
2) уполномоченного представителя, в том числе оператора.
2. Личное участие налогоплательщика (налогового агента) в отношениях, регулируемых налоговым законодательством Республики Казахстан, не лишает его права иметь представителя, равно как участие представителя не лишает налогоплательщика (налогового агента) права на личное участие в указанных отношениях.
Статья 39. Законный представитель физического лица
Законный представитель физического лица - лицо, уполномоченное представлять физическое лицо в соответствии с законами Республики Казахстан.
Действия (бездействие) законного представителя физического лица, совершенные от имени этого физического лица, признаются действиями (бездействием) законного представителя физического лица.
Статья 40. Уполномоченный представитель налогоплательщика (налогового агента)
1. Уполномоченный представитель налогоплательщика (налогового агента) - лицо, уполномоченное представлять в отношениях с налоговым органом и иными участниками отношений, регулируемых настоящим Кодексом, интересы налогоплательщика (налогового агента), являющегося:
1) физическим лицом, в том числе индивидуальным предпринимателем или лицом, занимающимся частной практикой, - на основании нотариально удостоверенной или приравненной к ней доверенности, выданной в соответствии с гражданским законодательством Республики Казахстан, в которой указываются соответствующие полномочия представителя;
2) юридическим лицом либо его структурным подразделением - на основании учредительных документов и (или) доверенности, выданной в соответствии с гражданским законодательством Республики Казахстан, в которой указываются соответствующие полномочия представителя.
Налогоплательщик (налоговый агент) вправе определить уполномоченного представителя путем оформления электронного документа налогоплательщика (налогового агента) посредством объекта информатизации налогового органа, в котором указываются соответствующие полномочия представителя.
2. Действия (бездействие) уполномоченного представителя налогоплательщика (налогового агента), совершенные от имени налогоплательщика (налогового агента), признаются действиями (бездействием) налогоплательщика (налогового агента).
Статья 41. Особенности представительства при совершении операции по недропользованию
1. Недропользователи, осуществляющие операции по недропользованию в составе простого товарищества (консорциума) в рамках соглашения (контракта) о разделе продукции, вправе участвовать в отношениях, регулируемых налоговым законодательством Республики Казахстан, через оператора.
Полномочия оператора в отношениях, регулируемых налоговым законодательством Республики Казахстан, определяются в соответствии с соглашением (контрактом) о разделе продукции в части, не противоречащей настоящему Кодексу.
При исполнении налоговых обязательств в соответствии с подпунктом 2) пункта 3 статьи 755 настоящего Кодекса оператор обладает всеми правами и обязанностями, предусмотренными настоящим Кодексом для налогоплательщиков (налоговых агентов).
К оператору применяется порядок налогового администрирования, предусмотренный настоящим Кодексом для налогоплательщиков (налоговых агентов).
2. Действия (бездействие) оператора, совершенные от имени и (или) по поручению недропользователей, признаются действиями (бездействием) таких недропользователей и оператора, выступающего от их имени и (или) по их поручению.
Глава 3. НАЛОГОВЫЕ ОРГАНЫ. ВЗАИМОДЕЙСТВИЕ В НАЛОГОВЫХ ОТНОШЕНИЯХ
Параграф 1. Налоговые органы, их задачи, система, права и обязанности
Статья 42. Налоговые органы, их задачи и система
1. Налоговые органы выполняют следующие задачи:
1) обеспечение соблюдения налогового законодательства Республики Казахстан и иного законодательства Республики Казахстан, контроль за соблюдением которого возложен на налоговые органы;
2) участие в реализации налоговой политики Республики Казахстан;
3) обеспечение в пределах своей компетенции экономической безопасности Республики Казахстан;
4) формирование, обеспечение развития объектов информатизации налогового органа и доступности электронных услуг для налогоплательщиков;
5) выполнение иных задач, предусмотренных законодательством Республики Казахстан.
Налоговым органом является орган государственных доходов - государственный орган, в пределах своей компетенции осуществляющий обеспечение поступлений налогов и платежей в бюджет, таможенное регулирование в Республике Казахстан, полномочия по предупреждению, выявлению, пресечению и раскрытию административных правонарушений, отнесенных законодательством Республики Казахстан к ведению этого органа, а также выполняющий иные полномочия, предусмотренные законодательством Республики Казахстан.
2. Система налоговых органов состоит из:
1) уполномоченного органа;
2) территориальных подразделений по областям, городам республиканского значения и столице, районам, городам и районам в городах;
3) межрайонных территориальных подразделений;
4) территориальных подразделений на территориях специальных экономических зон;
5) специализированного государственного учреждения.
Специализированное государственное учреждение - учебно-методический центр, созданный по решению Правительства Республики Казахстан, осуществляющий подготовку, переподготовку и повышение профессиональной квалификации должностных лиц налогового органа, а также функции, связанные с повышением налоговой культуры населения.
Уполномоченный орган осуществляет руководство налоговыми органами.
3. Налоговые органы имеют коды, утвержденные уполномоченным органом.
4. Налоговый орган имеет символ, описание и порядок использования которого определяются уполномоченным органом.
Статья 43. Права и обязанности налогового органа
1. Налоговый орган вправе:
1) осуществлять международное сотрудничество по вопросам налогообложения, в том числе обмениваться информацией с уполномоченными органами иностранных государств;
2) требовать от налогоплательщика (налогового агента) в случаях, предусмотренных настоящим Кодексом:
представления документов, подтверждающих правильность исчисления и своевременность уплаты (удержания и перечисления) налоговых обязательств по уплате налогов и платежей в бюджет, а также социального обязательства;
письменных пояснений по составленным им налоговым формам, а также его финансовой отчетности, в том числе консолидированной финансовой отчетности, включая финансовую отчетность его дочерних организаций, расположенных за пределами Республики Казахстан, с приложением аудиторского отчета в случае, если для такого лица законами Республики Казахстан установлено обязательное проведение аудита;
3) запрашивать и (или) получать от уполномоченных государственных и местных исполнительных органов, Государственной корпорации, финансовых и платежных организаций, коллекторских агентств, банковских организаций, а также иных лиц сведения в порядке и целях, которые определены настоящим Кодексом;
4) осуществлять проверку физического лица в части достоверности сведений о доходах и имуществе, отраженных в налоговой отчетности физического лица, на факт полноты исполнения налоговых обязательств;
5) привлекать к налоговым проверкам и иным формам контроля специалистов;
6) осуществлять фото- и видеосъемку, опрос третьих лиц в случаях, установленных настоящим Кодексом;
7) подавать в суды иски о признании сделок недействительными, ликвидации юридического лица по основаниям, предусмотренным подпунктами 1), 2), 3) и 4) пункта 2 статьи 49 Гражданского кодекса Республики Казахстан, а также иные иски в соответствии с компетенцией и задачами, установленными законодательством Республики Казахстан;
8) обратиться в суд с заявлением о признании налогоплательщика банкротом в соответствии с законодательством Республики Казахстан о реабилитации и банкротстве;
9) проводить подготовку, переподготовку и повышение профессиональной квалификации должностных лиц налоговых органов;
10) осуществлять в порядке, установленном законодательством Республики Казахстан, учебную и издательскую деятельность для повышения налоговой культуры налогоплательщиков Республики Казахстан;
11) удостоверять посредством электронной цифровой подписи информационной системы налогового органа решения, принимаемые в соответствии с настоящим Кодексом;
12) применять средство биометрической идентификации в информационных системах налоговых органов при налоговом администрировании;
13) проводить мероприятия, направленные на повышение налоговой культуры и усиление налоговой дисциплины.
2. Налоговый орган обязан:
1) соблюдать права налогоплательщика (налогового агента);
2) защищать интересы государства;
3) предоставлять налогоплательщику (налоговому агенту) информацию о действующих налогах и платежах в бюджет, об изменениях в налоговом законодательстве Республики Казахстан;
4) в пределах своей компетенции осуществлять разъяснение и давать комментарии налогоплательщику (налоговому агенту) по возникновению, исполнению и прекращению его налогового обязательства в пределах представленных им сведений и документов.
Для участника горизонтального мониторинга осуществление разъяснений и предоставление комментариев, предусмотренных частью первой настоящего подпункта, а также предварительное разъяснение в отношении планируемых сделок (операций) производятся уполномоченным органом;
5) обеспечивать в течение срока исковой давности сохранность сведений, подтверждающих факт уплаты налогов и платежей в бюджет;
6) рассматривать жалобу налогоплательщика (налогового агента) на действия (бездействие) должностных лиц налоговых органов, а также на уведомление о результатах налоговой проверки;
7) по факту совершения административных правонарушений, установленному в ходе налогового контроля, принимать меры, предусмотренные Кодексом Республики Казахстан об административных правонарушениях, или передавать материалы по такому факту в соответствующий орган по подведомственности;
8) направлять в правоохранительный орган по подследственности материалы по выявленным в ходе налогового контроля фактам уклонения от уплаты налогов и платежей в бюджет и (или) преднамеренного банкротства, указывающим на признаки уголовного правонарушения, для принятия процессуального решения в соответствии с законами Республики Казахстан;
9) предоставлять в соответствии с законами Республики Казахстан доступ к информационной системе налогового органа уполномоченному государственному органу, осуществляющему финансовый мониторинг и принимающему иные меры по противодействию легализации (отмыванию) доходов, уполномоченному органу по возврату активов и органам национальной безопасности Республики Казахстан;
10) применять способы обеспечения исполнения налогового обязательства и взыскивать налоговую задолженность налогоплательщика (налогового агента) в принудительном порядке.
3. Налоговый орган обязан размещать на интернет-ресурсе уполномоченного органа в порядке и случаях, которые определены настоящим Кодексом, сведения о налогоплательщике (налоговом агенте):
1) имеющем налоговую задолженность;
2) физическом лице, которому налоговым органом исчислены суммы налоговых обязательств по налогу на имущество, земельному налогу;
3) включенном в реестр бездействующих налогоплательщиков;
4) которому приостановлена выписка электронных счетов-фактур;
5) регистрация которого признана недействительной на основании вступившего в законную силу судебного акта;
6) включенном в реестр иностранных компаний - плательщиков налога на добавленную стоимость, осуществляющих деятельность посредством интернет-площадки на территории Республики Казахстан;
7) отсутствие которого по месту нахождения установлено актом налогового обследования;
8) снятом с регистрационного учета индивидуального предпринимателя или лица, занимающегося частной практикой, и которому отказано в снятии с такого учета;
9) представившем ликвидационную налоговую отчетность в связи с ликвидацией или прекращением деятельности;
10) представившем налоговую отчетность о доходах и имуществе и об активах и обязательствах;
11) содержащиеся в паспорте налогоплательщика;
12) включенном в базу данных о лицах и структурных подразделениях юридических лиц, получивших и расходовавших деньги и (или) иное имущество, полученные от иностранных государств, международных и иностранных организаций, иностранцев, лиц без гражданства;
13) применяющем (применявшем) специальный налоговый режим на основе упрощенной декларации, с указанием дат начала и (или) прекращения применения такого режима.
4. Налоговый орган ежеквартально обязан публиковать в масс-медиа сведения об:
1) индивидуальных предпринимателях, лицах, занимающихся частной практикой, юридических лицах и структурных подразделениях юридического лица, имеющих налоговую задолженность в сумме, превысившей предельный размер налоговой задолженности;
2) иностранных компаниях, осуществляющих деятельность посредством интернет-площадки на территории Республики Казахстан и не исполнивших уведомление о постановке на регистрационный учет в налоговом органе.
Перечень сведений, подлежащих опубликованию в масс-медиа, а также порядок и сроки их опубликования устанавливаются соответственно в:
1) порядке принудительного взыскания налоговым органом налоговой задолженности налогоплательщика (налогового агента), предусмотренном статьей 183 настоящего Кодекса;
2) порядке осуществления условной постановки на регистрационный учет плательщика налога на добавленную стоимость, предусмотренном статьей 102 настоящего Кодекса.
5. Налоговый орган имеет иные права и выполняет иные обязанности, установленные законами Республики Казахстан.
Статья 44. Материальное обеспечение, правовая и социальная защита должностного лица налогового органа
1. Должностное лицо налогового органа при исполнении служебных обязанностей охраняется законом.
2. Неисполнение законных требований должностного лица налогового органа, оскорбление, угроза, насилие или посягательство на его жизнь, здоровье, имущество или членов его семьи в связи с его служебной деятельностью, другие действия, препятствующие выполнению им служебных обязанностей, влекут установленную законами Республики Казахстан ответственность.
3. При получении средней тяжести вреда здоровью в связи с осуществлением служебной деятельности должностному лицу налогового органа выплачивается единовременная компенсация в размере пяти минимальных заработных плат из средств бюджета.
4. При получении тяжкого вреда здоровью в связи с осуществлением служебной деятельности, исключающего дальнейшую возможность заниматься профессиональной деятельностью, должностному лицу налогового органа выплачиваются единовременная компенсация в размере пятилетнего денежного содержания из средств бюджета, а также разница между размерами его должностного оклада и пенсии (пожизненно).
5. В случае гибели должностного лица налогового органа при исполнении им служебных обязанностей семье погибшего или его иждивенцам (наследникам):
1) выплачивается единовременное пособие в размере десятилетнего денежного содержания по последней занимаемой должности погибшего из средств бюджета;
2) назначается государственное социальное пособие по случаю потери кормильца в размерах и порядке, которые установлены законодательством Республики Казахстан о социальной защите.
6. Вред, причиненный жизни и здоровью, и ущерб, причиненный имуществу должностного лица налогового органа, а также членам его семьи и его близким родственникам в связи с выполнением им служебных обязанностей, возмещаются в соответствии с законодательством Республики Казахстан.
Статья 45. Налоговая тайна
1. Налоговая тайна - любые полученные налоговым органом сведения о налогоплательщике (налоговом агенте), если иное не установлено настоящей статьей.
2. Налоговой тайной не являются следующие сведения о налогоплательщике (налоговом агенте) - юридическом лице, структурном подразделении юридического лица, нерезиденте, осуществляющем деятельность в Республике Казахстан через постоянное учреждение, индивидуальном предпринимателе, лице, занимающемся частной практикой:
1) о сумме налогов и платежей в бюджет, уплаченных (перечисленных) налогоплательщиком (налоговым агентом), начисленной налогоплательщику (налоговому агенту);
2) о сумме возврата налогоплательщику из бюджета превышения суммы налога на добавленную стоимость, относимого в зачет, над суммой начисленного налога на добавленную стоимость;
3) о сумме налоговой задолженности;
4) о следующих регистрационных сведениях:
идентификационный номер;
фамилия, имя и отчество руководителя;
наименование;
дата включения сведений о таком налогоплательщике в базу налогоплательщиков или постановке на регистрационный учет;
дата и основание исключения сведений о таком налогоплательщике из базы налогоплательщиков и снятия с регистрационного учета;
вид деятельности;
дата начала и окончания приостановления срока представления налоговой отчетности;
резидентство;
регистрационный номер контрольно-кассовой машины в налоговом органе;
место использования контрольно-кассовой машины;
применяемый порядок налогообложения;
5) о численности наемных работников, отраженной в налоговой отчетности;
6) о коэффициенте налоговой нагрузки, рассчитываемом в порядке, определенном уполномоченным органом, включая коэффициент налоговой нагрузки, используемый для аналитических целей, который определяется в виде соотношения общей суммы исчисленных налогоплательщиком налогов и платежей в бюджет за налоговый период к сумме налогооблагаемого дохода без учета расходов по вознаграждениям и амортизационных отчислений;
7) о мерах ответственности, примененных за нарушение налогового законодательства Республики Казахстан;
8) о налоговых льготах;
9) подлежащие размещению на интернет-ресурсе уполномоченного органа в случаях, предусмотренных настоящим Кодексом;
10) не являющиеся конфиденциальной информацией в соответствии с законодательством Республики Казахстан о реабилитации и банкротстве.
3. Налоговой тайной не являются следующие сведения о налогоплательщике (налоговом агенте) - физическом лице:
1) о сумме налоговой задолженности;
2) о следующих регистрационных сведениях:
фамилия, имя и отчество физического лица;
идентификационный номер;
дата включения сведений о таком налогоплательщике в базу налогоплательщиков;
дата и основание исключения сведений о таком налогоплательщике из базы налогоплательщиков;
резидентство;
3) о мерах ответственности, примененных за нарушение налогового законодательства Республики Казахстан;
4) подлежащие опубликованию в соответствии с Законом Республики Казахстан «О противодействии коррупции»;
5) о налоговых льготах;
6) подлежащие размещению на интернет-ресурсе уполномоченного органа в случаях, предусмотренных настоящим Кодексом;
7) не являющиеся конфиденциальной информацией в соответствии с законодательством Республики Казахстан о восстановлении платежеспособности и банкротстве граждан Республики Казахстан.
4. Налоговой тайной также не являются сведения о налогоплательщике (налоговом агенте), применяющем налоговые льготы, в том числе для целей формирования и представления аналитического отчета о налоговых расходах, предусмотренного Бюджетным кодексом Республики Казахстан.
5. Сведения о налогоплательщике (налоговом агенте), являющиеся налоговой тайной, а также документы, содержащие такие сведения, не могут быть представлены налоговым органом другому лицу без согласия налогоплательщика (налогового агента), за исключением случаев, предусмотренных пунктами 4 и 6 настоящей статьи.
6. Налоговый орган представляет сведения о налогоплательщике (налоговом агенте), составляющие налоговую тайну, без получения согласия налогоплательщика (налогового агента):
1) правоохранительным органам и Службе государственной охраны Республики Казахстан в пределах их компетенции, установленной законодательством Республики Казахстан.
Сведения представляются на основании мотивированного запроса, санкционированного следственным судьей, прокурором. Санкция не требуется при запросе таких сведений следственным судьей, прокурором.
Запрос направляется на бумажном носителе либо в форме электронного документа;
2) в суд и судьям на основании их обращения (распоряжения, требования, поручения, запроса), направленного при отправлении правосудия в случаях, если налогоплательщик является стороной по рассматриваемому делу;
3) судебному исполнителю в пределах его компетенции, установленной законодательством Республики Казахстан, по находящимся в его производстве делам исполнительного производства на основании постановления, заверенного печатью частного судебного исполнителя либо территориального отдела;
4) в центральный уполномоченный орган по государственному планированию, уполномоченный орган, осуществляющий финансовый мониторинг и принимающий иные меры по противодействию легализации (отмыванию) доходов, уполномоченный орган по возврату активов, уполномоченный орган внешнего государственного аудита и финансового контроля, уполномоченный орган по внутреннему государственному аудиту и орган национальной безопасности Республики Казахстан в случаях, предусмотренных законами Республики Казахстан.
Уполномоченные государственные органы, указанные в части первой настоящего подпункта, утверждают перечень должностных лиц, имеющих доступ к таким сведениям;
5) в уполномоченные государственные органы, Национальный Банк для выполнения задач и осуществления функций, возложенных на них законами Республики Казахстан.
Перечень сведений, составляющих налоговую тайну, и порядок их представления устанавливаются правилами взаимодействия, утвержденными совместным актом с уполномоченным органом;
6) в банковские организации, платежные организации, местные исполнительные органы, органы местного самоуправления, Государственную корпорацию для выполнения задач и осуществления функций, возложенных на них законами Республики Казахстан.
Перечень сведений, составляющих налоговую тайну, и порядок их представления устанавливаются правилами взаимодействия, утвержденными совместным актом уполномоченного органа и уполномоченного государственного органа, осуществляющего руководство в соответствующей сфере, или Национального Банка, в пределах компетенции;
7) специалисту, привлеченному к проведению налоговой проверки и иным формам контроля (далее - специалист);
8) в налоговые или правоохранительные органы других государств, международные организации в соответствии с международными договорами, ратифицированными Республикой Казахстан;
9) членам апелляционной комиссии по рассматриваемым в пределах компетенции обращениям;
10) членам Консультативного совета по рассмотрению вопросов, связанных с горизонтальным мониторингом (далее - Консультативный совет), по рассматриваемым в пределах компетенции вопросам;
11) членам Методологического совета по вопросам налогообложения по рассматриваемым в пределах компетенции обращениям;
12) структурному подразделению уполномоченного органа, осуществляющему рассмотрение жалоб на уведомление о результатах налоговой проверки, по рассматриваемым в пределах компетенции обращениям;
13) налогоплательщикам, предъявившим требование о возврате суммы превышения налога на добавленную стоимость, в части выявленных нарушений их поставщиков по аналитическому отчету «Пирамида по поставщикам» в рамках тематической налоговой проверки.
7. Сведения в целях реализации положений настоящей статьи представляются посредством интеграции информационных систем в соответствии с Законом Республики Казахстан «Об информатизации». В случае отсутствия интеграции сведения могут представляться на бумажном носителе либо в иной электронной форме.
В случае обмена сведениями путем интеграции информационных систем установление отдельного порядка представления сведений не требуется.
8. Положения пункта 6 настоящей статьи не распространяются на сведения о налогоплательщике, полученные налоговым органом в соответствии с Законом Республики Казахстан «Об амнистии граждан Республики Казахстан, оралманов и лиц, имеющих вид на жительство в Республике Казахстан, в связи с легализацией ими имущества».
9. Налоговая тайна не подлежит разглашению лицами, имеющими доступ к налоговой тайне, как в период исполнения ими своих обязанностей, так и после завершения их исполнения.
10. Утрата документов, содержащих сведения, составляющие налоговую тайну, либо разглашение таких сведений влечет ответственность, установленную законами Республики Казахстан.
11. Не являются разглашением налоговой тайны:
1) передача налоговым органом на хранение резервной копии электронного информационного ресурса на единую платформу резервного хранения электронных информационных ресурсов в соответствии с Законом Республики Казахстан «Об информатизации».
При этом использование таких данных, переданных на хранение, осуществляется только налоговым органом;
2) передача сведений, полученных в порядке и на условиях, которые предусмотрены законодательством Республики Казахстан о регулировании торговой деятельности, а также специальных защитных, антидемпинговых и компенсационных мерах по отношению к третьим странам:
в компетентный орган третьей страны и (или) союза третьих стран при проведении в отношении товаров, происходящих из Республики Казахстан, специальных защитных, антидемпинговых, компенсационных расследований;
в компетентный орган государства - члена ЕАЭС и (или) Евразийской экономической комиссии (далее - ЕЭК) в случае проведения в отношении товаров, происходящих из Республики Казахстан, компенсационного расследования;
ЕЭК для целей расследований в соответствии с законодательством Республики Казахстан о специальных защитных, антидемпинговых и компенсационных мерах по отношению к третьим странам;
3) передача налоговым органом в банковские организации сведений о налогоплательщике (налоговом агенте), необходимых для исполнения:
налогоплательщиком (налоговым агентом) своих налоговых обязательств по уплате налогов и платежей в бюджет, а также социального обязательства;
банковскими организациями обязанностей, предусмотренных настоящим Кодексом;
4) передача уполномоченным органом в сфере информатизации оператору информационно-коммуникационной инфраструктуры «электронного правительства» сведений, полученных для формирования системы оценки рисков, в целях проведения государственного контроля и надзора, а также для осуществления аналитики данных в соответствии с требованиями по управлению данными;
5) передача сведений в информационные системы субъектов информатизации, необходимых для учета и обработки государственных электронных информационных ресурсов. Использование таких сведений осуществляется только налоговым органом;
6) передача налоговым органом Национальной палате предпринимателей Республики Казахстан (далее - НПП) сведений, указанных в пункте 16 статьи 56 настоящего Кодекса;
7) передача налоговым органом оператору интернет-платформы сведений об исчисленных суммах налогов и социальных платежей по физическим лицам, применяющим специальный налоговый режим для самозанятых и осуществляющим деятельность с использованием интернет-платформы.
Параграф 2. Взаимодействие налогового органа с налогоплательщиком (налоговым агентом)
Статья 46. Общие положения взаимодействия налогового органа с налогоплательщиком (налоговым агентом)
1. Налоговый орган в целях эффективного взаимодействия с налогоплательщиком (налоговым агентом) вправе организовать мероприятия по:
1) созданию условий для исполнения налогоплательщиком (налоговым агентом) налогового обязательства;
2) обеспечению своевременного исполнения налогоплательщиком (налоговым агентом) налогового обязательства.
2. Налоговый орган:
1) бесплатно предоставляет налогоплательщику (налоговому агенту) бланки форм налоговой отчетности, налоговых заявлений и (или) программное обеспечение, необходимые для представления налоговой отчетности и налогового заявления в форме электронного документа, в том числе веб-приложение;
2) размещает ежегодно не позднее 31 декабря года, предшествующего году представления налоговой отчетности, структуру электронного формата налоговой отчетности и требований форматно-логического контроля на интернет-ресурсе уполномоченного органа;
3) представляет налогоплательщику-нерезиденту, налоговому агенту справки о суммах полученных нерезидентом доходов из источников в Республике Казахстан и удержанных (уплаченных) налогов;
4) представляет налогоплательщику (налоговому агенту) посредством веб-приложения выписки из лицевого счета о состоянии расчетов с бюджетом по всем или отдельным видам налогов, платежей в бюджет, социальных платежей, пеней, штрафов и сведений об отсутствии (наличии) задолженности по ним.
Форма выписки из лицевого счета о состоянии расчетов с бюджетом по всем или отдельным видам налогов, платежей в бюджет, социальных платежей, пеней и штрафов определяется в порядке ведения лицевого счета;
5) размещает на интернет-ресурсе уполномоченного органа информацию об административно-территориальных единицах Республики Казахстан, на территории которых отсутствуют сети телекоммуникаций общего пользования.
3. Налогоплательщик (налоговый агент) для информирования по вопросам исполнения налоговых обязательств:
1) представляет в налоговый орган по месту нахождения сведения о своих абонентских номерах сотовой связи и адресах электронной почты в случае, когда налогоплательщик (налоговый агент) является юридическим лицом - руководителем юридического лица и (или) работника, осуществляющего расчеты с бюджетом (при наличии), и обеспечивает их актуальность;
2) регистрируется в веб-приложении или ином объекте информатизации налогового органа.
Статья 47. Мероприятия по созданию условий для исполнения налогоплательщиком (налоговым агентом) налоговых обязательств
Налоговый орган создает условия для исполнения налогоплательщиком (налоговым агентом) налоговых обязательств путем:
1) обучения вновь зарегистрированных налогоплательщиков порядку исполнения налоговых обязательств, в том числе с использованием объектов информатизации налогового органа;
2) обеспечения оказания государственных услуг налоговых органов, в том числе приема сервисными группами налоговых органов деклараций:
лиц с инвалидностью первой или второй группы;
лиц, имеющих заболевания, при которых может устанавливаться срок временной нетрудоспособности более двух месяцев;
престарелых старше восьмидесяти лет, которые нуждаются в постороннем уходе и помощи;
физических лиц, проживающих в отдаленных населенных пунктах, на территории которых отсутствуют сети телекоммуникаций общего пользования.
Под сервисной группой налогового органа понимается выездная группа, состоящая из должностных лиц налоговых органов, оказывающих:
информационно-разъяснительную поддержку налогоплательщикам по исполнению налоговых обязательств, в том числе по составлению и представлению деклараций физических лиц;
иные государственные услуги налоговых органов согласно положению сервисной группы налогового органа.
Типовое положение о сервисной группе налогового органа утверждается уполномоченным органом.
Состав сервисной группы и положение о сервисной группе налогового органа утверждаются руководителем налогового органа на основании типового положения о сервисной группе;
3) предварительного заполнения форм налоговой отчетности на основании имеющихся в налоговом органе сведений для представления:
декларации для налогоплательщиков, применяющих специальный налоговый режим на основе упрощенной декларации;
деклараций об активах и обязательствах, о доходах и имуществе физических лиц;
декларации по налогу на добавленную стоимость для вновь зарегистрированных плательщиков налога на добавленную стоимость.
Проверка правильности сведений, отраженных в предварительно заполненной налоговым органом налоговой отчетности, возлагается на налогоплательщика;
4) предоставления налогоплательщику (налоговому агенту) посредством телефонной связи разъяснения по вопросам, связанным с исполнением налогового обязательства.
Статья 48. Мероприятия по обеспечению своевременного исполнения налогоплательщиком (налоговым агентом) налогового обязательства
К мероприятиям по обеспечению своевременного исполнения налогоплательщиком (налоговым агентом) налогового обязательства относятся:
1) извещение налогоплательщика (налогового агента) о наступлении сроков исполнения налогового обязательства посредством видео-, аудио- и других технических средств, не противоречащих законодательству Республики Казахстан;
2) направление налогоплательщику (налоговому агенту) посредством объектов информатизации информационных сообщений по вопросам налогового обязательства.
Статья 49. Общие положения по предоставлению налоговым органом и налогоплательщиком (налоговым агентом) документов и информации
1. Документы и (или) информация налоговым органом и налогоплательщиком (налоговым агентом) предоставляются в порядке, определенном статьями 50 и 51 настоящего Кодекса.
К документам в целях настоящего параграфа также относятся решения налогового органа.
2. Документ и (или) информация предоставляются с соблюдением требований к форме и содержанию, которые установлены законодательством Республики Казахстан.
Предоставление документов и (или) информации электронным способом осуществляется с соблюдением требований законодательства Республики Казахстан об электронном документе и электронной цифровой подписи.
3. Решения налогового органа принимаются в следующих формах:
1) извещение;
2) уведомление;
3) заключение;
4) рекомендация;
5) требование;
6) решение;
7) приказ;
8) распоряжение;
9) акт;
10) постановление;
11) справка;
12) свидетельство;
13) протокол;
14) предписание;
15) сертификат;
16) документ, подтверждающий резидентство.
Порядок принятия решения налогового органа, сроки представления и исполнения устанавливаются в соответствии с настоящим Кодексом.
4. Если иное не установлено частью второй настоящего пункта, решение налогового органа обязательно должно содержать следующую информацию:
1) номер и дату;
2) заголовок;
3) идентификационные данные налогового органа;
4) идентификационные данные налогоплательщика (налогового агента);
5) основание принятия;
6) вывод налогового органа с обоснованием доводов и раскрытием обстоятельств, свидетельствующих о факте нарушения налогового законодательства Республики Казахстан;
7) порядок и срок исполнения такого решения в случаях, предусмотренных настоящим Кодексом;
8) последствия нарушения порядка и срока исполнения, предусмотренные настоящим Кодексом.
Информация, определенная подпунктами 6), 7) и 8) части первой настоящего пункта, может не отражаться в решениях налогового органа в форме справки, свидетельства, протокола, предписания, сертификата и документа, подтверждающего резидентство.
Решения налогового органа могут содержать дополнительную информацию в случаях, предусмотренных настоящим Кодексом.
Формы решений налогового органа утверждаются уполномоченным органом, если иное не установлено настоящим Кодексом.
Решения налогового органа, принимаемые с использованием автоматизированной информационной системы налогового органа, могут удостоверяться посредством электронной цифровой подписи такой информационной системы.
5. Положения настоящего параграфа в части обмена документами и информацией не распространяются на решения налогового органа, по которым настоящим Кодексом определен особый порядок представления или установлен запрет на их распространение.
Статья 50. Порядок представления налогоплательщиком (налоговым агентом) документа в налоговый орган
1. Документ налогоплательщика (налогового агента) представляется в налоговый орган одним из следующих способов:
1) на бумажном носителе - в явочном порядке (в том числе через Государственную корпорацию) или посредством почтовой или иной организации связи заказным письмом с уведомлением. Представление налоговой отчетности по налогу на добавленную стоимость через Государственную корпорацию и посредством почтовой или иной организации связи заказным письмом с уведомлением не допускается;
2) в форме электронного документа - электронным способом (в электронной форме, допускающей компьютерную обработку информации).
2. В зависимости от способа представления датой представления документа в налоговый орган является дата:
1) регистрации документа налоговым органом или Государственной корпорацией - в явочном порядке;
2) отметки о приеме почтовой или иной организацией связи - посредством такой организации заказным письмом с уведомлением;
3) принятия центральным узлом информационной системы налогового органа налоговой отчетности - электронным способом (в электронной форме, допускающей компьютерную обработку информации);
4) отправки посредством веб-портала «электронного правительства» (далее - веб-портал) или иного объекта информатизации, обеспечивающего в соответствии с налоговым законодательством Республики Казахстан обмен документами, - электронным способом.
Подписание и заверение налоговых форм допускаются с использованием одноразовых паролей в соответствии с законодательством Республики Казахстан.
Статья 51. Порядок представления налоговым органом документа налогоплательщику (налоговому агенту)
1. Документ налогоплательщику (налоговому агенту) представляется должностным лицом налогового органа путем вручения лично под роспись на бумажном носителе или направления иным способом, подтверждающим факт отправки и получения.
2. Документ считается врученным, если иное не установлено настоящим Кодексом, при направлении следующими способами, подтверждающими факт отправки и получения:
1) посредством почтовой или иной организации связи заказным письмом с уведомлением - с даты отметки налогоплательщиком (налоговым агентом) в уведомлении почтовой или иной организации связи.
При этом почтовой или иной организацией связи доставка документа на бумажном носителе осуществляется в срок не позднее десяти рабочих дней с даты отметки об его приеме;
2) электронным способом - с даты доставки электронного документа в:
веб-приложение, специальное мобильное приложение и (или) налоговое мобильное приложение;
кабинет пользователя на веб-портале с отправлением короткого текстового сообщения на абонентский номер сотовой связи, зарегистрированный на веб-портале;
иной объект информатизации налогового органа.
Данный способ распространяется на налогоплательщика (налогового агента), зарегистрированного на соответствующем объекте информатизации;
3) через Государственную корпорацию - с даты получения документа на бумажном носителе в явочном порядке.
3. При возврате почтовой или иной организацией связи документа, направленного налогоплательщику (налоговому агенту) по почте заказным письмом с уведомлением, датой вручения такого документа является дата проведения налогового обследования.
4. При возврате почтовой или иной организацией связи уведомления о результатах налоговой проверки или уведомления о суммах, начисленных в период ликвидации, направленного по итогам налоговой проверки, завершенной на основании акта налогового обследования, датой вручения считается дата такого возврата.
5. Должностное лицо налогового органа в случае отказа налогоплательщика (налогового агента) составляет акт об отказе в получении решения налогового органа (в подписи на экземпляре решения налогового органа) (далее - акт об отказе).
Акт об отказе составляется при участии понятых.
6. В акте об отказе указываются:
1) место и дата составления;
2) номер, дата решения налогового органа, в получении которого или в подписи на экземпляре которого налогоплательщиком (налоговым агентом) отказано;
3) фамилия, имя и отчество, вид и номер документа, удостоверяющего личность, идентификационный номер и адрес места жительства каждого понятого;
4) причины отказа налогоплательщика (налогового агента).
Акт об отказе подписывается должностным лицом налогового органа, составившим его, и понятыми.
К акту об отказе должностное лицо налогового органа вправе приложить фотографические снимки и негативы, видеозаписи или другие материалы, выполненные при совершении действия.
7. Положения настоящей статьи применяются также при представлении налоговым органом решения иным лицам в целях обеспечения исполнения настоящего Кодекса и иного законодательства Республики Казахстан, контроль за соблюдением которого возложен на налоговый орган.
Параграф 3. Взаимодействие с уполномоченными государственными органами, местными исполнительными органами и иными лицами
Статья 52. Взаимодействие налогового органа с уполномоченными государственными органами, местными исполнительными органами и Государственной корпорацией
1. Налоговый орган взаимодействует с уполномоченными государственными органами, местными исполнительными органами и Государственной корпорацией при осуществлении налогового администрирования.
Представление сведений в рамках взаимодействия осуществляется путем интеграции информационных систем. До интеграции информационных систем сведения могут представляться на бумажном носителе либо иным электронным способом.
2. Уполномоченные государственные органы, местные исполнительные органы и Государственная корпорация обязаны:
1) оказывать содействие налоговому органу в выполнении задач по осуществлению налогового администрирования;
2) обеспечить интеграцию информационных систем с информационной системой налогового органа;
3) представлять налоговому органу необходимые для выполнения задач и осуществления возложенных на них функций в пределах своей компетенции сведения, в том числе содержащие персональные данные, согласно перечню, сроку, порядку и формам, которые установлены в правилах взаимодействия, утвержденных совместным актом уполномоченного органа и соответствующего уполномоченного государственного органа.
Представление сведений Государственной корпорацией осуществляется в соответствии с правилами взаимодействия, утвержденными совместным актом уполномоченного органа и уполномоченного органа в сфере оказания государственных услуг.
В случае обмена сведениями путем интеграции информационных систем установление отдельного порядка представления сведений не требуется.
3. Акимы городов районного значения, поселков, сел, сельских округов:
1) организуют сбор налогов на имущество, транспортные средства, уплачиваемых физическими лицами;
2) обеспечивают представление физическим лицам уведомлений о сумме исчисленного налога на имущество не позднее десяти рабочих дней, следующих за днем исчисления налоговым органом.
4. Государственная корпорация и уполномоченные государственные органы, осуществляющие сбор платежей в бюджет, учет и (или) регистрацию объектов налогообложения и объектов, связанных с налогообложением, обязаны указывать в представляемых сведениях идентификационный номер налогоплательщика.
5. Уполномоченный орган по регулированию, контролю и надзору финансового рынка и финансовых организаций по запросу налогового органа представляет заключение о страховых обязательствах в отношении проверяемого налогоплательщика по соответствию требованиям, установленным законодательством Республики Казахстан о страховании и страховой деятельности.
Форма заключения, указанного в настоящем пункте, порядок и срок его представления устанавливаются в правилах взаимодействия, утвержденных совместным актом уполномоченного органа и уполномоченного органа по регулированию, контролю и надзору финансового рынка и финансовых организаций.
6. Министерство иностранных дел Республики Казахстан (далее - Министерство иностранных дел) обязано представить в налоговый орган по месту нахождения дипломатического и приравненного к нему представительства иностранного государства, консульского учреждения иностранного государства, аккредитованных в Республике Казахстан (далее - дипломатическое представительство), документы, подтверждающие аккредитацию и место нахождения, в течение десяти рабочих дней с даты аккредитации такого дипломатического представительства.
7. Уполномоченный орган в области охраны окружающей среды и его территориальные подразделения представляют налоговым органам по месту своего нахождения сведения о фактических объемах негативного воздействия на окружающую среду, установленных в ходе осуществления проверок по соблюдению экологического законодательства Республики Казахстан (государственный экологический контроль).
Сведения о фактических объемах негативного воздействия на окружающую среду представляются с учетом обжалования результатов проверок в соответствии с законами Республики Казахстан в срок не позднее десяти рабочих дней со дня вступления в законную силу судебного акта или истечения сроков обжалования результатов таких проверок, предусмотренных законами Республики Казахстан.
Форма сведений, указанных в части первой настоящего пункта, и порядок их представления устанавливаются в правилах взаимодействия, утвержденных совместным актом уполномоченного органа и уполномоченного органа в области охраны окружающей среды.
Статья 53. Взаимодействие налогового органа с Национальным Банком
1. Налоговый орган взаимодействует с Национальным Банком при осуществлении налогового администрирования.
Представление сведений в рамках взаимодействия осуществляется путем интеграции информационных систем. До интеграции информационных систем сведения могут представляться на бумажном носителе либо иным электронным способом.
2. Национальный Банк обязан:
1) оказывать содействие налоговому органу в выполнении задач по осуществлению налогового администрирования;
2) обеспечить интеграцию информационных систем с информационной системой налогового органа;
3) представлять налоговому органу необходимые для выполнения задач и осуществления возложенных на них функций в пределах своей компетенции сведения, в том числе содержащие персональные данные, согласно перечню, сроку, порядку и формам, которые установлены в правилах взаимодействия, утвержденных совместным актом уполномоченного органа и Национального Банка (далее - правила взаимодействия уполномоченного органа и Национального Банка).
В случае обмена сведениями путем интеграции информационных систем установление отдельного порядка представления сведений не требуется.
3. Национальный Банки банковские организации представляют в налоговый орган заключение о поступлении валютной выручки.
Форма заключения о поступлении валютной выручки, порядок и сроки представления такого заключения устанавливаются правилами взаимодействия уполномоченного органа и Национального Банка.
4. Национальный Банк:
1) предоставляет уполномоченному органу полученную от уполномоченных банков информацию о платежах и (или) переводах денег из Республики Казахстан и в Республику Казахстан физического лица (физическому лицу), юридического лица (юридическому лицу), а также структурного подразделения (структурному подразделению) юридического лица по валютным операциям на сумму от 50 000 долларов США в эквиваленте, проведенным через уполномоченные банки, по сделкам (контрактам), в том числе по безтоварным операциям;
2) представляет в налоговый орган сведения об операциях, признаваемых доходами нерезидента из источников в Республике Казахстан, в соответствии с подпунктом 39) пункта 1 статьи 679 настоящего Кодекса;
3) представляет в уполномоченный орган сведения, полученные от Комитета МФЦА по регулированию финансовых услуг о проведенных участниками МФЦА валютных операциях на территории МФЦА.
Информации и сведения, предусмотренные частью первой настоящего пункта, предоставляются в порядке, по форме и в сроки, которые установлены правилами взаимодействия уполномоченного органа и Национального Банка.
Статья 54. Взаимодействие налогового органа с финансовыми и платежными организациями, коллекторскими агентствами
1. Финансовые и платежные организации, коллекторские агентства обязаны оказывать содействие налоговому органу в выполнении задач по осуществлению налогового администрирования.
Представление сведений в рамках взаимодействия осуществляется путем интеграции информационных систем. До интеграции информационных систем сведения могут представляться на бумажном носителе либо иным электронным способом.
В случае обмена сведениями путем интеграции информационных систем установление отдельного порядка представления сведений не требуется.
2. Коллекторские агентства обязаны представлять в налоговый орган по месту своего нахождения не позднее 25 числа месяца, следующего за отчетным кварталом, сведения по:
1) договорам, содержащим условия перехода права (требования) к коллекторскому агентству;
2) налогоплательщикам, реализующим права кредитора в отношении уступленного ему права (требования) по договору банковского займа, в рамках договора доверительного управления, заключенного с коллекторским агентством.
3. Кастодианы, центральный депозитарий, брокеры и (или) дилеры, обладающие правом ведения счетов клиентов в качестве номинальных держателей ценных бумаг, обязаны представлять в налоговый орган:
1) сведения о наличии счетов для учета ценных бумаг, открытых физическим лицам - нерезидентам, юридическим лицам - нерезидентам, юридическим лицам, бенефициарными собственниками которых являются нерезиденты, а также об остатках и движении ценных бумаг на этих счетах;
2) сведения о наличии лицевых счетов для учета ценных бумаг, открытых физическим и юридическим лицам, указанным в запросе уполномоченного органа иностранного государства, направленном в соответствии с международным договором Республики Казахстан (далее - международный договор) об обмене информацией, а также об остатках и движении ценных бумаг на этих счетах и иную информацию, относящуюся к заключенному такими лицами договору с физическим или юридическим лицом.
4. Кастодианы, управляющие инвестиционным портфелем, обязаны предоставлять в налоговый орган:
1) сведения о наличии иных активов, за исключением ценных бумаг, принадлежащих физическим лицам - нерезидентам, юридическим лицам - нерезидентам, а также юридическим лицам, бенефициарными собственниками которых являются нерезиденты;
2) сведения о наличии иных активов, за исключением указанных в подпункте 1) настоящего пункта, принадлежащих физическим и юридическим лицам, указанным в запросе уполномоченного органа иностранного государства, направленном в соответствии с международным договором об обмене информацией, а также иную информацию, относящуюся к заключенному такими лицами договору с физическим или юридическим лицом.
5. Страховые организации, осуществляющие деятельность по отрасли «страхование жизни», обязаны представлять в налоговый орган:
1) сведения о заключенных договорах накопительного страхования, выгодоприобретателями по которым являются физические лица - нерезиденты;
2) сведения о заключенных договорах накопительного страхования, выгодоприобретателями по которым являются физические лица, указанные в запросе уполномоченного органа иностранного государства, направленном в соответствии с международным договором об обмене информацией, а также иную информацию, относящуюся к данным договорам накопительного страхования.
6. Страховые (перестраховочные) организации, страховые брокеры обязаны представлять в налоговый орган сведения по заключенным физическими лицами договорам страхования.
7. Формы сведений, предусмотренных пунктами 1-6 настоящей статьи, порядок и сроки их представления устанавливаются уполномоченным органом по согласованию с уполномоченным органом по регулированию, контролю и надзору финансового рынка и финансовых организаций.
8. Брокеры обязаны представлять в налоговый орган сведения по сделкам с ценными бумагами, совершенным по итогам торгов, а товарные биржи и (или) клиринговые центры товарных бирж - сведения о сделках лиц с биржевыми товарами, реализованными на товарной бирже, посредством интеграции информационных систем.
Форма сведений, предусмотренных частью первой настоящего пункта, устанавливается уполномоченным органом.
9. Платежные организации обязаны представлять в налоговый орган сведения об итоговых суммах платежей и переводов за календарный квартал, осуществленных в пользу и в разрезе иностранных компаний, осуществляющих деятельность посредством интернет-площадки на территории Республики Казахстан.
Формы сведений, предусмотренных частью первой настоящего пункта, порядок и сроки их представления устанавливаются уполномоченным органом по согласованию с Национальным Банком.
Статья 55. Взаимодействие налогового органа с банковскими организациями
1. Банковские организации обязаны оказывать содействие налоговому органу в выполнении задач по осуществлению налогового администрирования.
Обмен сведениями в рамках взаимодействия осуществляется посредством сети телекоммуникаций, в случаях возникновения технического сбоя сведения направляются на бумажном носителе.
2. Банковские организации обязаны:
1) уведомить налоговый орган об открытии, закрытии банковских счетов юридическим лицом, его структурным подразделением, индивидуальным предпринимателем, лицом, занимающимся частной практикой, иностранцем, лицом без гражданства либо изменении индивидуального идентификационного кода банковского счета в случаях, предусмотренных Законом Республики Казахстан «О банках и банковской деятельности в Республике Казахстан», с указанием идентификационного номера таких лиц не позднее двух рабочих дней, следующих за днем их открытия, закрытия либо изменения.
Уведомление не требуется:
по банковским счетам, предназначенным для хранения пенсионных активов единого накопительного пенсионного фонда и добровольных накопительных пенсионных фондов, активов фонда социального медицинского страхования, активов Государственного фонда социального страхования (далее - ГФСС), активов, являющихся обеспечением выпуска облигаций специальной финансовой компании, и активов инвестиционного фонда;
по сберегательным счетам юридических лиц - нерезидентов, иностранцев и лиц без гражданства, корреспондентским счетам иностранных банков-корреспондентов;
по банковским счетам, предназначенным для получения пособий и социальных выплат, выплачиваемых из государственного бюджета и (или) ГФСС;
по текущим счетам, предназначенным для зачисления денег на условиях депозита нотариуса;
по текущему счету частного судебного исполнителя, предназначенному для хранения взысканных сумм в пользу взыскателей, эскроу-счетам;
по банковским счетам по договору об образовательном накопительном вкладе, заключенному в соответствии с Законом Республики Казахстан «О Государственной образовательной накопительной системе»;
2) предоставлять в налоговый орган в порядке, сроки и по форме, которые установлены уполномоченным органом по согласованию с Национальным Банком:
в соответствии с международным договором об обмене информацией сведения о наличии банковских счетов и их номерах, об остатках денег на этих счетах, о наличии, виде и стоимости иного имущества, в том числе размещенного на металлических счетах или находящегося в управлении физических лиц - нерезидентов, юридических лиц - нерезидентов, юридических лиц, бенефициарными собственниками которых являются нерезиденты;
сведения об итоговых суммах платежей, поступивших на счет физического лица, индивидуального предпринимателя, применяющего специальный налоговый режим и (или) являющегося пользователем специального мобильного приложения для осуществления предпринимательской деятельности, за календарный месяц, за исключением сумм платежей, сведения по которым поступают в специальное мобильное приложение;
сведения об итоговых суммах платежей и переводов за квартал, осуществленных в пользу и в разрезе иностранных компаний, осуществляющих деятельность посредством интернет-площадки на территории Республики Казахстан;
3) предоставлять по запросу налогового органа информацию, указанную в запросе уполномоченного органа иностранного государства, направленном в соответствии с международным договором об обмене информацией, в том числе включая:
сведения о наличии банковских счетов и их номерах, об остатках и движении денег на этих счетах;
иную информацию, относящуюся к заключенному договору между физическим или юридическим лицом и банковской организацией, предусматривающему оказание банковских услуг, а также сведения о наличии, виде и стоимости иного имущества, в том числе размещенного на металлических счетах или находящегося в управлении физических и юридических лиц;
4) отказать в исполнении платежного документа в уплату налогов и платежей в бюджет, социальных платежей, за исключением уплачиваемых иностранцем и лицом без гражданства платежей в бюджет, в которых:
отсутствуют идентификационные номера;
указаны идентификационные номера, несоответствующие данным реестров номеров;
5) отказать в исполнении платежного документа по уплате налога на транспортные средства физических лиц при несоответствии идентификационного номера легковых и грузовых автомобилей, автобусов, указанного в платежном документе, данным, представленным уполномоченным органом по обеспечению безопасности дорожного движения, за исключением случая отсутствия идентификационного номера транспортного средства в данных, представленных указанным органом;
6) уведомить налоговый орган о прекращении признания доходов в виде вознаграждения по выданному кредиту (займу) путем приостановления начисления такого вознаграждения индивидуальному предпринимателю или юридическому лицу не позднее 31 марта года, следующего за отчетным налоговым периодом, в котором прекращено такое признание.
Форма уведомления о прекращении признания доходов в виде вознаграждения по выданному кредиту (займу) путем приостановления начисления такого вознаграждения индивидуальному предпринимателю или юридическому лицу устанавливается уполномоченным органом;
7) исполнять в первоочередном порядке платежные поручения налогоплательщика по уплате налогов и платежей в бюджет с банковского счета при достаточности денег клиента на банковских счетах для удовлетворения всех требований, предъявляемых к клиенту;
8) исполнять распоряжение о приостановлении расходных операций по банковским счетам налогоплательщика (налогового агента) и исполнять инкассовое распоряжение налогового органа (далее - инкассовое распоряжение) в порядке очередности, установленной Гражданским кодексом Республики Казахстан;
9) исполнять инкассовое распоряжение при достаточности денег клиента на банковских счетах для удовлетворения всех требований, предъявляемых к клиенту, не позднее одного операционного дня, следующего за днем получения такого распоряжения;
10) исполнять инкассовое распоряжение с учетом требований Социального кодекса Республики Казахстан;
11) производить изъятие денег в счет погашения налоговой задолженности в порядке очередности, определенном Гражданским кодексом Республики Казахстан, при отсутствии или недостаточности денег на банковских счетах для удовлетворения всех требований, предъявляемых к клиенту;
12) производить при отсутствии денег на банковском счете налогоплательщика (налогового агента) в национальной валюте взыскание налоговой задолженности с банковских счетов в иностранной валюте на основании инкассового распоряжения в национальной валюте;
13) перечислять суммы налогов, платежей в бюджет и социальных платежей:
в день их инициирования налогоплательщиком, за исключением осуществления платежа с использованием платежной карточки;
не позднее одного операционного дня со дня списания денег с банковского счета налогоплательщика при осуществлении платежа с использованием платежной карточки;
в течение операционного дня, но не позднее следующего операционного дня со дня внесения наличных денег в кассы либо посредством электронных терминалов банковских организаций;
14) допускать при наличии предписания должностное лицо налоговых органов к проверке наличия денег и совершаемых операций по банковским счетам проверяемого индивидуального предпринимателя или лица, занимающегося частной практикой, или юридического лица;
15) приостановить по распоряжению о приостановлении расходных операций по банковским счетам налогоплательщика (налогового агента) все расходные операции на банковских счетах, за исключением корреспондентских, в порядке, определенном законами Республики Казахстан;
16) уведомить в течение тридцати календарных дней со дня прекращения в соответствии с гражданским законодательством Республики Казахстан обязательств по договорам банковского займа, выданным заемщику, являющемуся индивидуальным предпринимателем или юридическим лицом, за исключением прекращения обязательства путем его исполнения, налоговый орган по месту нахождения заемщика о размере прекращенного обязательства;
17) представлять в течение десяти рабочих дней со дня получения запроса налогового органа сведения о наличии банковских счетов и их номерах, об остатках и движении денег на этих счетах:
проверяемого юридического лица и (или) его структурного подразделения по вопросам, связанным с налогообложением;
физического лица, у которого возникла обязанность по представлению декларации о доходах и имуществе в соответствии с подпунктом 6) пункта 1 статьи 417 настоящего Кодекса;
проверяемого физического лица, в том числе индивидуального предпринимателя или лица, занимающегося частной практикой, по вопросам, связанным с налогообложением;
индивидуального предпринимателя, лица, занимающегося частной практикой, юридического лица, находящихся на стадии ликвидации (прекращения деятельности);
индивидуального предпринимателя или лица, занимающегося частной практикой, юридического лица и (или) его структурного подразделения, фактическое отсутствие которых по месту нахождения подтверждено проведенным налоговым обследованием, и самостоятельно не представивших налоговую отчетность до истечения шести месяцев после установленного настоящим Кодексом срока ее представления;
индивидуального предпринимателя, прекратившего деятельность в упрощенном порядке, за период времени, не превышающий срок исковой давности;
индивидуального предпринимателя, юридического лица, структурного подразделения юридического лица, имеющих налоговую задолженность, не погашенную в течение двух месяцев со дня ее возникновения, в размере более 2 500-кратного месячного расчетного показателя, действующего на 1 января соответствующего финансового года;
индивидуального предпринимателя и юридического лица, включенных в реестр бездействующих налогоплательщиков;
лица, зарегистрированного в порядке, определенном законом Республики Казахстан, в качестве кандидата в Президенты Республики Казахстан, депутаты Парламента Республики Казахстан и маслихата, а также в члены органов местного самоуправления, и его супруги (супруга);
лица, являющегося кандидатом на государственную должность либо на должность, связанную с выполнением государственных или приравненных к ним функций, и его супруги (супруга);
лица, занимающего государственную должность, в период выполнения им своих полномочий, и его супруги (супруга) в этот же период;
лица, освобожденного условно-досрочно от отбывания наказания;
юридического лица, деятельностью которого являются организация и проведение азартных игр и (или) пари;
лиц, в отношении которых проводится сопоставительный контроль выписки электронных счетов-фактур.
Представлять в течение десяти рабочих дней со дня получения запроса налогового органа сведения о наличии банковских счетов и их номерах, об остатках денег на этих счетах физических лиц, у которых возникла обязанность по представлению декларации об активах и обязательствах, декларации о доходах и имуществе, за исключением лиц, указанных в подпунктах 8) и 9) пункта 1 статьи 417 настоящего Кодекса.
Формы сведений, предусмотренных настоящим подпунктом, за исключением абзаца восьмого части первой настоящего подпункта, устанавливаются уполномоченным органом по согласованию с Национальным Банком. При этом сведения, предусмотренные абзацем третьим настоящего подпункта, представляются по запросу налогового органа с указанием оснований и периода возникновения обязанности по представлению декларации об активах и обязательствах и декларации о доходах и имуществе;
18) представлять в налоговый орган в течение десяти рабочих дней со дня получения запроса сведения о предоставленных кредитах физическому лицу, у которого возникла обязанность по представлению деклараций об активах и обязательствах, о доходах и имуществе, с указанием сумм погашения, включая вознаграждение.
Форма сведений, предусмотренных частью первой настоящего подпункта, устанавливается уполномоченным органом по согласованию с уполномоченным органом по регулированию, контролю и надзору финансового рынка и финансовых организаций;
19) отказать в открытии банковских счетов, за исключением корреспондентских счетов, а также банковских счетов, предназначенных для получения пособий и социальных выплат, выплачиваемых из государственного бюджета и ГФСС, пенсий, выплачиваемых из государственного бюджета и (или) единого накопительного пенсионного фонда, и (или) добровольного накопительного пенсионного фонда, алиментов (денег, предназначенных на содержание несовершеннолетних и нетрудоспособных совершеннолетних детей), а также банковских счетов по договору об образовательном накопительном вкладе, заключенному в соответствии с Законом Республики Казахстан «О Государственной образовательной накопительной системе», банковских счетов, предназначенных для зачисления платежей и субсидий в целях оплаты за арендованное жилище в частном жилищном фонде, единовременных пенсионных выплат, зачисляемых из единого накопительного пенсионного фонда в целях улучшения жилищных условий и (или) оплаты лечения»:
налогоплательщику, включенному в реестр бездействующих налогоплательщиков;
налогоплательщику, имеющему в данных банковских организациях открытый банковский счет, на который выставлено налоговым органом инкассовое распоряжение или распоряжение о приостановлении расходных операций по банковским счетам налогоплательщика (налогового агента);
налогоплательщику, имеющему налоговую задолженность, задолженность по социальным платежам.
При этом при согласии налогоплательщика, имеющего налоговую задолженность, задолженность по социальным платежам, банковские организации вправе открыть банковский счет при условии осуществления расходных операций по такому банковскому счету после полного погашения, в том числе путем перечисления налогоплательщиком сумм в счет погашения такой задолженности с указанного банковского счета.
Положения части первой настоящего подпункта не применяются:
при открытии банковских счетов родительским банком взамен банковских счетов, переданных банком второго уровня в рамках операций по одновременной передаче активов и обязательств банков второго уровня в соответствии с банковским законодательством Республики Казахстан, и банковских счетов, открываемых банком-правопреемником взамен переданных банком второго уровня в случае его присоединения в рамках их реорганизации;
при открытии банковских счетов налогоплательщиком, в отношении которого вступил в законную силу судебный акт о признании его банкротом и ликвидации с возбуждением процедуры банкротства;
при оплате налогоплательщиком суммы задолженности, предусмотренной абзацем четвертым части первой настоящего подпункта, в день обращения в банковские организации для открытия банковского счета;
20) представлять не позднее 25 числа месяца, следующего за отчетным кварталом, в налоговый орган по месту нахождения налогоплательщиков сведения по налогоплательщикам:
осуществляющим коллекторскую деятельность в рамках договора, содержащего условия перехода права (требования);
реализующим права кредитора в отношении уступленного ему права (требования) по договору банковского займа в рамках договора доверительного управления, заключенного с коллекторским агентством.
Формы сведений, предусмотренных частью первой настоящего подпункта, устанавливаются уполномоченным органом по согласованию с уполномоченным органом по регулированию, контролю и надзору финансового рынка и финансовых организаций;
21) представлять в налоговый орган сведения о наличии у налогоплательщиков, осуществляющих электронную торговлю товарами, банковских счетов и их номерах, об остатках и движении денег на этих счетах в порядке и сроки, которые установлены уполномоченным органом по согласованию с Национальным Банком;
22) представлять в налоговый орган по отдельным категориям налогоплательщиков - индивидуальных предпринимателей или лиц, занимающихся частной практикой, юридических лиц сведения по итоговым суммам платежей за календарный год, поступившим на текущий счет посредством применения терминала оплаты услуг.
Категории налогоплательщиков, по которым представляются сведения, предусмотренные частью первой настоящего подпункта, форма, порядок и сроки их представления устанавливаются уполномоченным органом по согласованию с Национальным Банком;
23) представлять в налоговый орган сведения и (или) документы в соответствии с правилами снятия субъектами предпринимательства наличных денег с банковских счетов, утвержденными совместным актом Национального Банка, уполномоченного органа и уполномоченного органа по регулированию, контролю и надзору финансового рынка и финансовых организаций;
24) представлять сведения по итоговой сумме денег, поступивших от иных физических лиц на банковский счет физического лица, на котором выявлено проведение операций, имеющих признаки получения дохода от осуществления предпринимательской деятельности.
Сведения по итоговой сумме денег, поступивших на банковский счет физического лица от иных физических лиц, представляются за период, в котором выявлено проведение операций, определенных частью первой настоящего подпункта.
Критерии отнесения операций, проводимых на банковских счетах физического лица, к операциям, имеющим признаки получения дохода от осуществления предпринимательской деятельности, перечень и порядок представления сведений, предусмотренных частью первой настоящего подпункта, устанавливаются уполномоченным органом по согласованию с Национальным Банком;
25) представлять в налоговый орган заключение о поступлении валютной выручки.
Форма заключения о поступлении валютной выручки, порядок и сроки представления такого заключения устанавливаются уполномоченным органом по согласованию с Национальным Банком.
3. Банковские организации вправе:
1) возобновить расходные операции по банковским счетам при погашении налогоплательщиком (налоговым агентом) суммы налоговой задолженности, указанной в распоряжении о приостановлении расходных операций по банковским счетам, до отмены такого распоряжения налоговым органом;
2) возвратить при закрытии банковского счета налогоплательщика (налогового агента) в соответствии с законодательством Республики Казахстан инкассовое распоряжение, распоряжение о приостановлении расходных операций по банковским счетам в соответствующий налоговый орган вместе с уведомлением о закрытии банковского счета налогоплательщика (налогового агента).
При указании в распоряжении о приостановлении расходных операций по банковским счетам более одного банковского счета банковские организации возвращают такое распоряжение в соответствующий налоговый орган не позднее одного рабочего дня, следующего за днем закрытия последнего из банковских счетов, указанных в таком распоряжении;
3) возвратить в налоговый орган без исполнения инкассовые распоряжения, выставленные на банковские счета налогоплательщика (налогового агента), при условии полного исполнения инкассового распоряжения путем списания денег с одного или нескольких банковских счетов налогоплательщика (налогового агента) на общую сумму, указанную в инкассовом распоряжении, выставленном на другие банковские счета, открытые налогоплательщиком (налоговым агентом) в той же банковской организации той же датой, на ту же сумму и по тому же виду задолженности.
4. Уведомление, отчеты и сведения, предусмотренные подпунктами 1), 6), 16) и 17) пункта 2 настоящей статьи, представляются посредством сети телекоммуникаций.
5. Налоговый орган представляет в банковские организации сведения о налогоплательщике (налоговом агенте), необходимые для исполнения:
1) налогоплательщиком (налоговым агентом) своих налоговых обязательств по уплате налогов, платежей в бюджет и социальных платежей;
2) банковскими организациями обязанностей, предусмотренных настоящей статьей.
6. Налоговый орган вправе провести налоговую проверку исполнения банковскими организациями обязанностей, установленных:
настоящим Кодексом;
Социальным кодексом Республики Казахстан;
Законом Республики Казахстан «Об обязательном социальном медицинском страховании»;
иным законодательством Республики Казахстан, контроль за соблюдением которого возложен на налоговые органы.
7. Сведения, представляемые банковскими организациями в соответствии с настоящим Кодексом, используются налоговым органом исключительно в целях налогового администрирования.
Статья 56. Взаимодействие налогового органа с иными лицами
1. Нотариус посредством интеграции информационных систем налогового органа и Министерства юстиции Республики Казахстан представляет в налоговый орган следующие сведения по лицам о:
1) сделках и договорах по имуществу, подлежащему государственной или иной регистрации, а также имуществу, по которому права и (или) сделки подлежат государственной или иной регистрации;
2) выданных свидетельствах о праве на наследство;
3) договорах займа;
4) других сделках и договорах, не подлежащих государственной или иной регистрации, а также отдельно, по которым цена превышает 1000-кратный размер месячного расчетного показателя, действующего на 1 января соответствующего финансового года.
Перечень и формы сведений, предусмотренных частью первой настоящего пункта, и порядок их представления устанавливаются уполномоченным органом по согласованию с Министерством юстиции Республики Казахстан.
2. Палата оценщиков представляет ежегодно не позднее 25 февраля года, следующего за отчетным, в налоговый орган по месту нахождения оцениваемого объекта налогообложения сведения по отчетам об оценке, подписанным за отчетный период, с указанием даты составления отчета и его порядкового номера, субъекта и объекта оценки с указанием их идентификационных номеров, определенной рыночной стоимости.
Перечень и формы сведений, предусмотренных настоящим пунктом, и порядок их представления устанавливаются уполномоченным органом.
3. Юридическое лицо, созданное по решению Правительства Республики Казахстан, обеспечивающее в соответствии с законодательством Республики Казахстан учет пенсионных взносов, социальных отчислений и социальных выплат, взносов и отчислений на обязательное социальное медицинское страхование, представляет в налоговый орган посредством интеграции информационных систем имеющиеся сведения о физических лицах.
Форма сведений, предусмотренных частью первой настоящего пункта, устанавливается уполномоченным органом по согласованию с уполномоченным органом в сфере оказания государственных услуг.
4. Организация, осуществляющая деятельность по ведению системы реестров держателей ценных бумаг, представляет в налоговый орган в течение десяти рабочих дней со дня получения запроса сведения о лицах - держателях ценных бумаг, а также о сделках лиц с ценными бумагами.
Форма сведений, предусмотренных частью первой настоящего пункта, и порядок их представления устанавливаются уполномоченным органом по согласованию с уполномоченным органом по регулированию, контролю и надзору финансового рынка и финансовых организаций.
5. Владельцы интернет-площадки ежемесячно не позднее 5 числа месяца, следующего за отчетным месяцем, представляют в налоговый орган сведения о реализованных товарах, оказанных услугах (работах) и (или) выплатах физическим лицам - резидентам Республики Казахстан.
Форма сведений, предусмотренных частью первой настоящего пункта, и порядок их представления устанавливаются уполномоченным органом.
6. Организации, оказывающие услуги водоснабжения, водоотведения, канализации, газоснабжения, электроснабжения, теплоснабжения, сбора отходов (мусороудаления), обслуживания лифтов и (или) услуги в сфере перевозок, представляют в налоговый орган по месту своего нахождения не позднее 10 числа месяца, следующего за отчетным кварталом, в электронной форме сведения о предоставленных услугах третьим лицам.
Форма сведений, предусмотренных частью первой настоящего пункта, и порядок их представления устанавливаются уполномоченным органом.
7. Управляющие компании специальных экономических и индустриальных зон, управляющие компании, осуществляющие деятельность по управлению активами инвестиционных фондов, и иных фондов, автономный кластерный фонд «Астана Хаб» и субъекты квазигосударственного сектора обязаны представлять в уполномоченный орган сведения, необходимые для налогового администрирования.
Форма сведений, предусмотренных частью первой настоящего пункта, порядок и сроки их представления устанавливаются уполномоченным органом.
8. Лицо, осуществляющее пересылку, перевозку, доставку товаров при электронной торговле товарами, представляет в налоговый орган в течение десяти рабочих дней со дня получения запроса сведения о пересылаемых, перевозимых и доставляемых товарах.
Форма сведений, предусмотренных частью первой настоящего пункта, устанавливается уполномоченным органом.
9. Лицо и (или) структурное подразделение юридического лица:
1) уведомляют налоговый орган о получении денег и (или) иного имущества от иностранных государств, международных и иностранных организаций, иностранцев, лиц без гражданства в размере, превышающем установленный уполномоченным органом размер, если деятельность такого налогоплательщика направлена на:
оказание юридической помощи, в том числе правовое информирование, защиту и представительство интересов граждан и организаций, а также их консультирование;
изучение и проведение опросов общественного мнения, социологических опросов, за исключением опросов общественного мнения и социологических опросов, проводимых в коммерческих целях, а также распространение и размещение их результатов;
сбор, анализ и распространение информации, за исключением случаев, когда указанная деятельность осуществляется в коммерческих целях;
2) представляют в налоговые органы сведения о получении и расходовании указанных в подпункте 1) настоящего пункта денег и (или) иного имущества.
Сведения, предусмотренные подпунктом 2) части первой настоящего пункта, включаются в базу данных о лицах и структурных подразделениях юридических лиц, получивших и расходовавших деньги и (или) иное имущество, полученные от иностранных государств, международных и иностранных организаций, иностранцев, лиц без гражданства (далее - база данных), формируемую налоговым органом.
Формирование базы данных предусматривает:
1) включение лиц и структурных подразделений юридических лиц;
2) исключение лиц и структурных подразделений юридических лиц;
3) размещение на интернет-ресурсе уполномоченного органа реестра лиц и структурных подразделений юридических лиц, включенных в базу данных.
Формы уведомления и сведений, предусмотренных частью первой настоящего пункта, порядок и сроки их представления, а также порядок формирования базы данных устанавливаются уполномоченным органом.
Требования, предусмотренные настоящим пунктом, не распространяются на:
1) государственные учреждения;
2) лиц, занимающих ответственные государственные должности, лиц, уполномоченных на выполнение государственных функций, депутатов Парламента Республики Казахстан и маслихатов, за исключением депутатов маслихатов, осуществляющих свою деятельность на неосвобожденной основе, военнослужащих, сотрудников правоохранительных и специальных государственных органов при выполнении должностных обязанностей;
3) банковские организации, страховые организации;
4) налогоплательщиков, состоящих на налоговом мониторинге;
5) организации образования;
6) деньги и (или) иное имущество, полученные в связи с осуществлением деятельности лиц, занимающихся частной практикой, арбитров, оценщиков, аудиторов;
7) субъекты квазигосударственного сектора;
8) дипломатические представительства, а также на их сотрудников;
9) деньги и (или) иное имущество, направленные на развитие национальных, технических и прикладных видов спорта, поддержку и стимулирование физической культуры и спорта, а также предназначенные для проведения спортивных мероприятий, в том числе международных спортивных соревнований, спортивно-массовых мероприятий;
10) деньги и (или) иное имущество, получаемые на основании международных договоров, ратифицированных Республикой Казахстан;
11) деньги и (или) иное имущество, получаемые в целях оплаты лечения или прохождения оздоровительных, профилактических процедур;
12) деньги и (или) иное имущество, получаемые в виде выручки по внешнеторговым контрактам;
13) деньги и (или) иное имущество, получаемые за организацию и осуществление международных перевозок, оказание услуг международной почтовой связи;
14) деньги и (или) иное имущество, получаемые в рамках заключенных в соответствии с законодательством Республики Казахстан инвестиционных контрактов;
15) суммы дивидендов, вознаграждений, выигрышей, ранее обложенные индивидуальным подоходным налогом у источника выплаты, при наличии документов, подтверждающих удержание такого налога у источника выплаты;
16) иные установленные Правительством Республики Казахстан случаи.
Налоговый орган вправе провести налоговую проверку исполнения лицом и (или) структурным подразделением юридического лица требований, установленных настоящим пунктом, при получении, расходовании денег и (или) иного имущества от иностранных государств, международных и иностранных организаций, иностранцев, лиц без гражданства в отдельных случаях.
10. Цифровой майнинговый пул ежемесячно не позднее 25 числа месяца, следующего за отчетным месяцем, представляет в налоговый орган сведения о распределенных им цифровых активах между лицами, осуществляющими деятельность по цифровому майнингу.
Форма сведений, предусмотренных частью первой настоящего пункта, устанавливается уполномоченным органом.
11. Биржи цифровых активов, а также иные участники МФЦА не позднее 15 числа второго месяца, следующего за отчетным кварталом, представляют в налоговый орган сведения о проведенных резидентами Республики Казахстан и нерезидентами операциях на биржах цифровых активов и выплаченных вознаграждениях резидентам и нерезидентам от осуществления деятельности, связанной с цифровыми активами.
Форма сведений, предусмотренных частью первой настоящего пункта, и порядок их представления устанавливаются уполномоченным органом.
12. Организаторы игорного бизнеса, осуществляющие деятельность букмекерской конторы и (или) тотализатора, представляют в налоговый орган сведения посредством интеграции аппаратно-программных комплексов с информационными системами налогового органа.
Перечень и форма сведений, предусмотренных частью первой настоящего пункта, устанавливаются уполномоченным органом.
13. Профессиональные участники рынка ценных бумаг представляют в течение тридцати рабочих дней со дня получения запроса налогового органа сведения о сделках с ценными бумагами, производными финансовыми инструментами, а товарные биржи и (или) клиринговые центры товарных бирж - сведения о сделках физических лиц с биржевыми товарами, реализованными на товарной бирже.
Формы запроса и сведений, предусмотренных частью первой настоящего пункта, устанавливаются уполномоченным органом по согласованию с уполномоченным органом по регулированию, контролю и надзору финансового рынка и финансовых организаций и уполномоченным органом в области регулирования торговой деятельности.
14. Лицо (арендодатель), предоставляющее (предоставляющий) во временное владение и пользование торговые объекты, торговые места в торговых объектах, в том числе на торговых рынках, составляет и представляет в налоговый орган по месту нахождения реестр договоров имущественного найма (аренды) в срок не позднее 31 марта года, следующего за отчетным годом.
Форма реестра договоров имущественного найма (аренды), порядок его составления и представления устанавливаются уполномоченным органом.
15. Участник МФЦА, имеющий лицензию на осуществление деятельности по управлению заемной краудфандинговой платформой, представляет в уполномоченный орган сведения о заключенных договорах на краудфандинговых платформах, а также выплаченных вознаграждениях резидентам и нерезидентам ежегодно не позднее 25 числа второго месяца, следующего за отчетным годом.
Форма сведений, предусмотренных частью первой настоящего пункта, и порядок их представления устанавливаются уполномоченным органом.
16. Лицо, располагающее информацией о нарушениях применения контрольно-кассовой машины и оборудования (устройства), предназначенного для приема платежей с использованием платежных карточек, вправе сообщить в налоговый орган об известных ему фактах нарушений, подтвержденных одним из следующих способов:
видеофиксацией фактов невыдачи чеков контрольно-кассовых машин;
фотофиксацией выданных чеков контрольно-кассовых машин, не соответствующих форме, утвержденной уполномоченным органом;
банковскими квитанциями о переводе денег посредством мобильных переводов.
Лицо, сообщившее о факте нарушения, указанного в части первой настоящего пункта, при его подтверждении подлежит вознаграждению в порядке, определяемом Правительством Республики Казахстан.
Положения части второй настоящего пункта не распространяются на лицо, сообщившее заведомо ложную информацию о фактах совершенных правонарушений. При этом лицо, сообщившие заведомо ложную информацию, несет ответственность, установленную законами Республики Казахстан.
17. Налоговый орган ежегодно по запросу НПП представляет сведения о наименовании и идентификационном номере налогоплательщиков, отнесенных Предпринимательским кодексом Республики Казахстан к субъектам предпринимательства, совокупный годовой доход которых соответствует критериям, установленным Законом Республики Казахстан «О Национальной палате предпринимателей Республики Казахстан».
18. Операторы интернет-платформ по запросу налогового органа представляют в налоговый орган сведения по физическим лицам, осуществляющим деятельность с использованием интернет-платформы, а также являющимся исполнителями в соответствии с Социальным кодексом Республики Казахстан.
Правила взаимодействия и форма сведений, предусмотренных частью первой настоящего пункта, устанавливаются уполномоченным органом.
19. Кредитные бюро обязаны представлять сведения из кредитного отчета по задолженности физических лиц, у которых возникла обязанность по представлению деклараций об активах и обязательствах, о доходах и имуществе, перед коллекторскими и (или) микрофинансовыми организациями.
Формы сведений, предусмотренных частью первой настоящего пункта, и порядок представления таких сведений устанавливаются уполномоченным органом по согласованию с уполномоченным органом по регулированию, контролю и надзору финансового рынка и финансовых организаций.
Положение части первой настоящего пункта не распространяется на сведения, представляемые в кредитные бюро банковскими организациями для формирования кредитной истории физического лица.
20. Фондовые биржи представляют в налоговый орган сведения по сделкам, совершенным по итогам проведенных торгов посредством интеграции торговых систем с информационной системой налогового органа.
Форма сведений, предусмотренных частью первой настоящего пункта, устанавливается уполномоченным органом.
РАЗДЕЛ 2. НАЛОГОВОЕ ОБЯЗАТЕЛЬСТВО
Глава 4. НАЛОГОВОЕ ОБЯЗАТЕЛЬСТВО
Статья 57. Налоговое обязательство
Налоговое обязательство - обязательство налогоплательщика (налогового агента) перед государством, возникающее в соответствии с настоящим Кодексом.
Статья 58. Объекты налогообложения и (или) объект, связанный с налогообложением
1. Объектами налогообложения являются имущество и действие, с наличием и (или) на основании которых у налогоплательщика возникает налоговое обязательство.
2. Объектом, связанным с налогообложением, являются имущество, использование которого и (или) действие, совершение которого влияют на возникновение у налогоплательщика налогового обязательства.
Статья 59. Налоговая база
Налоговая база представляет собой стоимостную, физическую или иные характеристики объекта налогообложения, на основании которых определяются подлежащие уплате в бюджет суммы налогов и платежей.
Статья 60. Налоговая ставка
1. Налоговая ставка - величина налогового обязательства по исчислению налога и платежа в бюджет на единицу измерения объекта налогообложения или налоговой базы.
2. Налоговая ставка устанавливается в процентах или абсолютной сумме.
Статья 61. Налоговый период
Налоговый период - период времени, установленный применительно к отдельным видам налогов и платежей в бюджет, по окончании которого определяются объект налогообложения, налоговая база, исчисляются подлежащие уплате в бюджет суммы налогов и платежей.
Глава 5. ИСПОЛНЕНИЕ НАЛОГОВОГО ОБЯЗАТЕЛЬСТВА
Статья 62. Исполнение налогового обязательства
1. Исполнение налогового обязательства осуществляется налогоплательщиком самостоятельно, если иное не установлено настоящим Кодексом.
2. Во исполнение налогового обязательства налогоплательщик совершает следующие действия:
1) встает на регистрационный учет в налоговом органе;
2) ведет учет объектов налогообложения и (или) объектов, связанных с налогообложением;
3) исчисляет суммы налогов и платежей, подлежащие уплате в бюджет, исходя из объектов налогообложения и (или) объектов, связанных с налогообложением, налоговой базы и налоговых ставок;
4) исчисляет авансовые и текущие платежи по налогам и платежам в бюджет;
5) составляет и представляет налоговым органам налоговые формы и иные формы, установленные настоящим Кодексом;
6) уплачивает исчисленные и начисленные суммы налогов и платежей в бюджет, авансовые и текущие платежи по налогам и платежам в бюджет;
7) уплачивает в случаях, предусмотренных настоящим Кодексом, начисленные суммы пеней и штрафов.
3. Во исполнение налогового обязательства налоговый агент совершает следующие действия:
1) исчисляет суммы налогов, удерживаемые у источника выплаты;
2) составляет и представляет налоговым органам налоговую отчетность и иные формы, установленные настоящим Кодексом;
3) удерживает и перечисляет исчисленные и начисленные суммы налогов, удерживаемые у источника выплаты;
4) ведет учет начисленных и выплаченных доходов, удержанных и перечисленных в бюджет налогов, удерживаемых у источника выплаты, по каждому налогоплательщику;
5) уплачивает в случаях, предусмотренных настоящим Кодексом, начисленные суммы пеней и штрафов.
4. Налоговое обязательство по уплате налогов, платежей в бюджет, пеней и штрафов исполняется налогоплательщиком (налоговым агентом) в порядке и сроки, которые установлены настоящим Кодексом, в национальной валюте, за исключением случаев, когда законодательством Республики Казахстан прямо предусмотрена натуральная форма уплаты или уплата в иностранной валюте.
5. Налоговое обязательство налогоплательщика по уплате налогов, платежей в бюджет, пеней и штрафов, а также налогового агента по перечислению (уплате) налога считается исполненным:
1) в безналичной форме со дня:
получения банковской организацией к исполнению платежного поручения на сумму обязательства;
осуществления платежа, в том числе путем зачета, посредством платежного инструмента, не предусмотренного абзацем вторым настоящего подпункта;
2) в наличной форме - со дня внесения указанных сумм в:
банковские организации;
уполномоченный государственный орган или местный исполнительный орган.
6. Несмотря на положения, предусмотренные пунктом 5 настоящей статьи, налоговое обязательство налогоплательщика по уплате налога, исполняемое налоговым агентом путем удержания налога, считается исполненным со дня удержания налога.
Налоговое обязательство налогоплательщика по уплате подлежащего удержанию налога, исполняемое налоговым агентом за счет собственных средств без его удержания, считается исполненным в соответствии с пунктом 5 настоящей статьи.
7. При исполнении налогового обязательства по уплате налогов и платежей в бюджет и социального обязательства уполномоченным представителем налогоплательщика в платежных документах отправитель денег указывает фамилию, имя и отчество или наименование, а также идентификационный номер налогоплательщика.
8. Налоговое обязательство по уплате налогов, платежей в бюджет, пеней и штрафов может быть исполнено путем проведения зачетов в соответствии с настоящим Кодексом.
9. Днем уплаты налога, платежа в бюджет, социального платежа, пеней и штрафа признается день, определяемый в соответствии с пунктом 5 настоящей статьи.
10. Погашение налоговой задолженности производится в следующей очередности:
1) сумма недоимки;
2) начисленные пени;
3) сумма штрафов.
Статья 63. Особенности исполнения налогового обязательства по исчислению налогов и платежей в бюджет
Обязанность по исчислению суммы отдельных видов налогов и платежей в бюджет в случаях, предусмотренных Особенной частью настоящего Кодекса, возлагается на налоговый орган и (или) уполномоченные государственные органы.
Статья 64. Сроки исполнения налогового обязательства
1. Сроки исполнения налогового обязательства устанавливаются настоящим Кодексом.
Течение срока исполнения налогового обязательства, начало которого определено указанием на событие, юридическое действие или дату, начинается со дня, следующего за днем, в котором, соответственно, произошло такое событие, юридическое действие или наступила дата.
2. Налоговое обязательство может исполняться:
1) на бумажном носителе - до конца рабочего времени налогового органа или Государственной корпорации последнего дня установленного срока;
2) электронным способом - до двадцати четырех часов последнего дня установленного срока.
При этом если последний день срока приходится на нерабочий день, то днем окончания установленного срока исполнения налогового обязательства считается ближайший следующий за таким днем рабочий день.
3. Налогоплательщик (налоговый агент) вправе исполнить налоговое обязательство по уплате налогов, платежей в бюджет, пеней и штрафов досрочно.
4. Налоговое обязательство по представлению налоговой отчетности, если иное не установлено настоящим Кодексом, исполняется налогоплательщиком (налоговым агентом) по окончании налогового периода.
Статья 65. Сроки исковой давности по налоговому обязательству и требованию
1. Исковой давностью по налоговому обязательству и требованию признается период времени, в течение которого:
1) налоговый орган вправе исчислить, начислить или пересмотреть исчисленную, начисленную сумму налогов и платежей в бюджет;
2) налогоплательщик (налоговый агент):
обязан представить налоговую отчетность;
вправе внести изменения и дополнения в налоговую отчетность;
вправе потребовать зачет и (или) возврат налогов и платежей в бюджет, пеней.
2. Срок исковой давности составляет:
1) пять лет для следующих категорий налогоплательщиков:
отнесенных Предпринимательским кодексом Республики Казахстан к субъектам крупного предпринимательства;
осуществляющих деятельность в соответствии с контрактом на недропользование;
резидентов Республики Казахстан, у которых возникают обязательства по соблюдению требований, установленных главой 33 настоящего Кодекса;
плательщиков налога на добавленную стоимость в части сумм налога на добавленную стоимость на импортируемые товары, который уплачен методом зачета;
2) три года для налогоплательщиков, не указанных в подпункте 1) настоящего пункта.
3. Течение срока исковой давности, если иное не предусмотрено пунктами 4-7 настоящей статьи, начинается после окончания соответствующего налогового периода.
4. Налогоплательщик вправе исчислить, а налоговый орган вправе исчислить и начислить сумму налогов:
1) при применении инвестиционных налоговых преференций методом вычета до признания объекта преференций - в течение применения инвестиционных налоговых преференций и пяти лет со дня признания объекта преференций;
2) по которым предусмотрено применение налоговых преференций и льгот в соответствии с разделом 17 настоящего Кодекса, за период действия соответствующего соглашения (договора, контракта) - в течение периода действия такого соглашения (договора, контракта) и пяти лет:
с даты истечения срока действия такого соглашения (договора, контракта);
с первого января года, следующего за годом иного прекращения действия соглашения (договора, контракта).
5. По налогоплательщикам, осуществляющим деятельность в соответствии с контрактом на недропользование, налоговый орган в течение периода действия и пяти лет после завершения срока действия такого контракта вправе начислить и (или) пересмотреть исчисленную, начисленную сумму:
налога на сверхприбыль;
доли Республики Казахстан по разделу продукции;
налогов и платежей в бюджет, в методике расчета которых используется показатель внутренней нормы рентабельности или показатель внутренней нормы прибыли либо R-фактор (показатель доходности).
6. Течение срока исковой давности начинается в случаях:
1) применения подпункта 2) пункта 2 статьи 129 настоящего Кодекса по налоговому обязательству и требованию о возврате суммы превышения налога на добавленную стоимость за период строительства зданий и сооружений производственного назначения, впервые вводимых в эксплуатацию на территории Республики Казахстан, - после окончания налогового периода, в котором введены в эксплуатацию такие здания и сооружения;
2) применения порядка возврата, предусмотренного подпунктом 1) пункта 2 статьи 129 настоящего Кодекса, по налоговому обязательству и требованию о возврате суммы превышения налога на добавленную стоимость за период проведения геологоразведочных работ и обустройства месторождения - после окончания налогового периода, на который приходится начало экспорта полезных ископаемых, добытых в рамках соответствующего контракта на недропользование, за исключением общераспространенных полезных ископаемых, подземных вод и лечебных грязей;
3) проведения зачета (или) возврата подтвержденной суммы превышения налога на добавленную стоимость в порядке, предусмотренном статьями 122 и 126 настоящего Кодекса, -после окончания налогового периода, в котором подтверждена достоверность такой суммы, в том числе по результатам обжалования результатов налоговой проверки в соответствии с законодательством Республики Казахстан.
7. Течение срока исковой давности для зачета и (или) возврата излишне (ошибочно) уплаченной суммы налога, платежа в бюджет, пеней определяется в соответствии с пунктом 5 статьи 122 настоящего Кодекса.
8. Срок исковой давности продлевается:
1) на один календарный год в части начисления и (или) пересмотра исчисленной суммы налогов и платежей в бюджет -при представлении налогоплательщиком (налоговым агентом) дополнительной налоговой отчетности или налоговой отчетности по уведомлению за период, по которому срок исковой давности истекает менее чем через один календарный год;
2) на три календарных года в части начисления и (или) пересмотра исчисленной суммы корпоративного подоходного налога в бюджет - при представлении налогоплательщиком (налоговым агентом) дополнительной налоговой отчетности в части переноса убытков за период, по которому срок исковой давности истекает менее чем через один календарный год;
3) до исполнения решения, вынесенного по результатам рассмотрения налогового заявления нерезидента на возврат подоходного налога из бюджета на основании международного договора, ратифицированного Республикой Казахстан;
4) до исполнения решения, принятого по итогам процедуры взаимного согласования, проведенной в соответствии со статьей 232 настоящего Кодекса;
5) до исполнения уведомления о расхождениях, выявленных по результатам камерального контроля, уведомления о подтверждении фактического совершения оборота по реализации товаров, выполнению работ и оказанию услуг, направленных и врученных до истечения срока исковой давности, - в части выявленных нарушений;
6) до исполнения уведомления о погашении налоговой задолженности и уведомления о погашении налоговой задолженности физического лица;
7) на пять лет после завершения арбитражного разбирательства, инициированного инвестором в международном арбитраже, - в части начисления и (или) пересмотра налоговым органом исчисленных, начисленных сумм налогов и платежей в бюджет, являвшихся предметом разбирательства, за период с начала налогового периода, обжалуемого инвестором, и до вынесения окончательного решения по такому разбирательству;
8) на три календарных года, начиная с года, следующего за годом, в котором завершено оказание услуги по коллекторской деятельности по договору о взыскании задолженности, установленной законодательством Республики Казахстан, - в части начисления и (или) пересмотра налоговым органом исчисленной, начисленной налогоплательщиком, осуществляющим коллекторскую деятельность, суммы налогов и платежей в бюджет по указанному договору.
9. Срок исковой давности в части начисления и (или) пересмотра исчисленной, начисленной суммы налогов и платежей в бюджет приостанавливается на период:
1) со дня начала налоговой проверки до дня исполнения уведомления о результатах налоговой проверки;
2) со дня подачи жалобы на действия (бездействие) должностных лиц налогового органа до дня вынесения решения вышестоящим налоговым органом и (или) вступления в законную силу судебного акта.
В случае завершения налоговой проверки после истечения срока исковой давности налогового периода, до истечения которого на дату начала налоговой проверки оставалось менее тридцати календарных дней, приостановление срока исковой давности к указанному налоговому периоду не применяется. По остальным налоговым периодам, охваченным этой же налоговой проверкой, срок исковой давности по проверяемому периоду приостанавливается с налогового периода, следующего за налоговым периодом, в котором начата налоговая проверка.
Параграф 1. Исполнение налогового обязательства при передаче имущества в доверительное управление
Статья 66. Общие положения по исполнению налогового обязательства при передаче имущества в доверительное управление
1. Для целей настоящего Кодекса под налоговым обязательством по деятельности по передаче имущества в доверительное управление понимается налоговое обязательство, возникающее в результате учреждения доверительного управления имуществом, в процессе его осуществления и (или) прекращения.
Исполнение налогового обязательства по корпоративному и индивидуальному подоходным налогам по деятельности по доверительному управлению осуществляется:
1) учредителем доверительного управления по договору доверительного управления имуществом, акту об учреждении доверительного управления имуществом или выгодоприобретателем в иных случаях возникновения доверительного управления имуществом (далее по тексту настоящего Кодекса - учредитель доверительного управления) по:
переданным в доверительное управление доле участия и (или) акциям;
переданному в доверительное управление Национальному Банку имуществу, за исключением активов Национального фонда Республики Казахстан;
имуществу, переданному в доверительное управление по акту об учреждении доверительного управления имуществом;
доходу, полученному юридическим лицом, индивидуальным предпринимателем от банка второго уровня по доверительным операциям;
составлению и представлению декларации в соответствии с Конституционным законом Республики Казахстан «О выборах в Республике Казахстан», Уголовно-исполнительным кодексом Республики Казахстан и Законом Республики Казахстан «О противодействии коррупции», если учредитель доверительного управления является физическим лицом, на которого возложена такая обязанность.
Для целей настоящего Кодекса под актом об учреждении доверительного управления имуществом понимается документ, который служит основанием возникновения доверительного управления имуществом, по которому доверительными управляющими являются физическое лицо - нерезидент или юридическое лицо - нерезидент, не осуществляющее деятельность в Республике Казахстан;
2) доверительным управляющим - в иных случаях возникновения доверительного управления имуществом. При этом налоговое обязательство по доходу, полученному физическим лицом, кроме индивидуального предпринимателя, и юридическим лицом - нерезидентом, осуществляющим деятельность в Республике Казахстан без образования постоянного учреждения, от доверительных операций, осуществляемых банком второго уровня, являющимся налоговым агентом, исполняется таким банком второго уровня в виде исполнения обязанностей налогового агента.
Доверительный управляющий исполняет налоговые обязательства, возникающие с даты:
государственной регистрации права доверительного управления имуществом, - в случае, если в соответствии с законодательством Республики Казахстан такое право подлежит государственной регистрации;
заключения договора доверительного управления имуществом или документа, подтверждающего наступление иного случая возникновения доверительного управления имуществом, - в случае, если в соответствии с законодательством Республики Казахстан право доверительного управления не подлежит государственной регистрации.
2. Исполнение налогового обязательства, возникающего по налогу на добавленную стоимость по деятельности по доверительному управлению, осуществляется доверительным управляющим в порядке, определенном разделом 7 и статьями 99 - 101 настоящего Кодекса.
3. Исполнение налогового обязательства, возникающего по налогам, не указанным в пунктах 1 и 2 настоящей статьи, и платежам в бюджет, осуществляется лицом, признаваемым плательщиком такого налога, платежа в бюджет в соответствии с настоящим Кодексом, если иное не установлено статьей 67 настоящего Кодекса.
4. Доверительный управляющий - физическое лицо, являющийся резидентом, должен встать на регистрационный учет в налоговом органе в качестве индивидуального предпринимателя в порядке, определенном статьей 97 настоящего Кодекса, кроме случаев получения в доверительное управление имущества в виде доли участия и акций.
5. Положения настоящего параграфа не применяются к налоговым обязательствам, возникающим в результате учреждения, осуществления и (или) прекращения управляющей компанией доверительного управления активами инвестиционного фонда в соответствии с законодательством Республики Казахстан об инвестиционных и венчурных фондах.
Статья 67. Особенности исполнения налогового обязательства при передаче государственными учреждениями имущества в доверительное управление
1. При передаче государственными учреждениями имущества в доверительное управление налоговые обязательства по налогу на имущество, земельному налогу и налогу на транспортные средства подлежат исполнению доверительным управляющим, если иное не установлено договором доверительного управления имуществом или актом об учреждении доверительного управления имуществом, за исключением электрических сетей, находящихся на праве хозяйственного ведения или оперативного управления государственных юридических лиц, переданных в доверительное управление или безвозмездное пользование энергопередающим организациям, непосредственно к электрическим сетям которых они подключены, в соответствии со статьей 13-1 Закона Республики Казахстан «Об электроэнергетике».
2. Доверительный управляющий исполняет налоговые обязательства, если иное не установлено договором доверительного управления имуществом или актом об учреждении доверительного управления имуществом, по исчислению и уплате налогов, составлению и представлению налоговой отчетности с даты:
государственной регистрации права доверительного управления - в случае, если в соответствии с законодательством Республики Казахстан требуется государственная регистрация такого права;
заключения договора доверительного управления имуществом или акта об учреждении доверительного управления имуществом - в случае, если в соответствии с законодательством Республики Казахстан не требуется государственная регистрация права доверительного управления.
3. Доверительный управляющий:
исполняет налоговые обязательства, если иное не установлено договором доверительного управления имуществом или актом об учреждении доверительного управления имуществом, по исчислению и уплате налогов, составлению и представлению налоговой отчетности от своего имени, по ставкам и в порядке, которые установлены Особенной частью настоящего Кодекса для лиц, к числу которых относится такой доверительный управляющий;
обязан в целях исполнения налогового обязательства при передаче имущества в доверительное управление вести раздельный налоговый учет в соответствии со статьей 210 настоящего Кодекса.
4. В случае если при передаче государственными учреждениями имущества в доверительное управление имущество государственного учреждения не учитывается у доверительного управляющего в составе основных средств, инвестиций в недвижимость в соответствии с международными стандартами финансовой отчетности и (или) требованиями законодательства Республики Казахстан о бухгалтерском учете и финансовой отчетности, то в акте приема-передачи такого имущества должна быть отражена балансовая стоимость такого имущества на дату его составления.
Статья 68. Общие положения по учету доходов, затрат и имущества, возникающих в результате доверительного управления имуществом, по корпоративному и индивидуальному подоходным налогам
1. Для целей настоящего Кодекса под доходами, затратами и имуществом от доверительного управления имуществом понимаются возникающие в процессе осуществления доверительным управляющим обязанностей по доверительному управлению имуществом от своего имени и в интересах учредителя доверительного управления соответственно:
подлежащие получению (полученные) доходы;
подлежащие выплате (произведенные) затраты, возмещение которых предусмотрено договором доверительного управления имуществом, актом об учреждении доверительного управления имуществом и ли в иных случаях возникновения доверительного управления имуществом, в том числе вознаграждение;
имущество, приобретенное и (или) полученное доверительным управляющим в процессе осуществления обязанностей по доверительному управлению имуществом от своего имени и в интересах учредителя доверительного управления.
2. Доверительный управляющий в целях исполнения налогового обязательства по корпоративному и индивидуальному подоходным налогам по деятельности по договору доверительного управления обязан вести раздельный налоговый учет в соответствии со статьями 210 и 211 настоящего Кодекса.
3. Передача доверительному управляющему имущества учредителем доверительного управления не является для данного учредителя реализацией такого имущества и не признается доходом доверительного управляющего.
4. Возврат или частичный возврат доверительным управляющим имущества или части имущества учредителю доверительного управления, в том числе при прекращении действия договора доверительного управления имуществом, акта об учреждении доверительного управления имуществом или в иных случаях возникновения доверительного управления имуществом не является для данного управляющего реализацией такого имущества и не признается доходом (убытком) учредителя доверительного управления.
Передача доверительным управляющим (национальной компанией в области углеводородов или урана) имущества новому недропользователю в случаях, установленных законодательством Республики Казахстан о недрах и недропользовании, не является для данного управляющего реализацией такого имущества.
5. Положительная разница между доходами и затратами от доверительного управления за налоговый период, определяемая на основании предусмотренного гражданским законодательством Республики Казахстан отчета доверительного управляющего о своей деятельности, является чистым доходом от доверительного управления учредителя доверительного управления.
6. В случаях, когда в соответствии с пунктом 1 статьи 66 настоящего Кодекса исполнение налоговых обязательств по корпоративному и индивидуальному подоходным налогам по деятельности по доверительному управлению имуществом осуществляется доверительным управляющим, учредитель доверительного управления не вправе относить на вычеты сумму вознаграждения, предусмотренного договором доверительного управления имуществом или иным случаем возникновения доверительного управления имуществом и выплачиваемого доверительному управляющему.
Статья 69. Особенности налогового учета доверительного управляющего, исполняющего налоговое обязательство по корпоративному и индивидуальному подоходным налогам
1. В случае, когда исполнение налогового обязательства по корпоративному и индивидуальному подоходным налогам по деятельности по доверительному управлению в соответствии со статьей 66 настоящего Кодекса осуществляется доверительным управляющим, доходы, затраты и имущество от доверительного управления имуществом являются для целей налогового учета доходами, затратами и имуществом доверительного управляющего.
Вознаграждение, предусмотренное договором доверительного управления имуществом или иным случаем возникновения доверительного управления имуществом, включается в совокупный годовой доход доверительного управляющего, учитываемый раздельно от доходов от доверительного управления имуществом.
Доверительный управляющий при определении объекта обложения по деятельности по доверительному управлению относит на вычеты сумму вознаграждения, включенную в его совокупный годовой доход, учитываемый раздельно от доходов от доверительного управления имуществом.
2. Доверительный управляющий составляет и представляет единую декларацию по корпоративному подоходному налогу в целом по всей деятельности, включая деятельность, осуществляемую в интересах учредителя доверительного управления, и приложения к декларации - по деятельности по доверительному управлению отдельно по каждому договору доверительного управления имуществом или иному случаю возникновения доверительного управления имуществом и прочей деятельности.
3. Доверительный управляющий - юридическое лицо исполняет обязательства по корпоративному подоходному налогу в порядке, определенном настоящим Кодексом, с учетом следующих особенностей:
применяет ставку корпоративного подоходного налога по деятельности по доверительному управлению имуществом, указанную в пункте 1 статьи 357 настоящего Кодекса;
не применяет положения главы 34 и раздела 17 настоящего Кодекса по деятельности по доверительному управлению имуществом;
не применяет специальные налоговые режимы по деятельности по доверительному управлению имуществом.
4. Доверительный управляющий - физическое лицо в случаях, когда учредителем доверительного управления является юридическое лицо:
исполняет налоговое обязательство по исчислению индивидуального подоходного налога по деятельности по доверительному управлению имуществом по ставке, указанной в статье 357 настоящего Кодекса, без применения положений статьи 400 настоящего Кодекса;
не вправе применять специальные налоговые режимы по деятельности по доверительному управлению имуществом;
исполняет прочие налоговые обязательства по индивидуальному подоходному налогу в порядке, который определен Особенной частью настоящего Кодекса для лиц, к числу которых относится доверительный управляющий.
5. Доверительный управляющий - физическое лицо в случаях, когда учредителем доверительного управления является физическое лицо - резидент:
исполняет налоговое обязательство по исчислению индивидуального подоходного налога по деятельности по доверительному управлению имуществом без применения положений статьи 400 настоящего Кодекса;
не вправе применять специальный налоговый режим по деятельности по доверительному управлению;
исполняет прочие налоговые обязательства по индивидуальному подоходному налогу в порядке, который определен Особенной частью настоящего Кодекса для лиц, к числу которых относится доверительный управляющий.
6. Доверительный управляющий - физическое лицо в случаях, когда учредителем доверительного управления является физическое лицо - нерезидент, исполняет налоговые обязательства по индивидуальному подоходному налогу в порядке, определенном настоящим Кодексом, с учетом следующих особенностей:
применяет ставку, указанную в подпункте 1) части первой пункта 1 статьи 682 настоящего Кодекса, по деятельности по доверительному управлению имуществом;
не применяет положения статьи 400 настоящего Кодекса;
не применяет специальные налоговые режимы.
Статья 70. Особенности налогового учета по корпоративному и индивидуальному подоходным налогам при доверительном управлении имуществом в виде доли участия и акций
1. Для целей налогового учета:
доход в виде дивидендов по доле участия и акциям, находящимся в доверительном управлении, уменьшенный на сумму затрат, произведенных доверительным управляющим, возмещенных (подлежащих возмещению) на основании договора доверительного управления имуществом, акта об учреждении доверительного управления имуществом или иных случаев возникновения доверительного управления имуществом и отчета доверительного управляющего о своей деятельности, является доходом учредителя доверительного управления;
имущество от доверительного управления долей участия и акциями является имуществом учредителя доверительного управления.
Вознаграждение, предусмотренное договором доверительного управления имуществом, актом об учреждении доверительного управления имуществом или иным случаем возникновения доверительного управления имуществом, подлежащее выплате доверительному управляющему, является затратами учредителя доверительного управления.
В доход доверительного управляющего от доверительного управления долей участия и акциями включаются:
вознаграждение, предусмотренное актом об учреждении доверительного управления имуществом;
сумма затрат, произведенных доверительным управляющим, возмещение которых предусмотрено договором доверительного управления имуществом, актом об учреждении доверительного управления имуществом или иным случаем возникновения доверительного управления имуществом и отчетом доверительного управляющего о своей деятельности.
Затраты от доверительного управления долей участия и акциями, произведенные доверительным управляющим, возмещение которых предусмотрено договором доверительного управления имуществом, актом об учреждении доверительного управления имуществом или иным случаем возникновения доверительного управления имуществом и отчетом доверительного управляющего о своей деятельности, являются для целей налогового учета затратами такого доверительного управляющего.
Такие затраты уменьшают доход учредителя доверительного управления в виде дивидендов по доле участия и акциям, находящимся в доверительном управлении, и не учитываются в качестве затрат, расходов у учредителя доверительного управления.
2. Учредитель доверительного управления исполняет налоговое обязательство по корпоративному и индивидуальному подоходным налогам в порядке, определенном настоящим Кодексом.
3. Доверительный управляющий исполняет налоговое обязательство по корпоративному и индивидуальному подоходным налогам по доходам, затратам и имуществу от доверительного управления долей участия и акциями в порядке, который определен Особенной частью настоящего Кодекса для лиц, к числу которых относится такой управляющий.
Статья 71. Особенности налогового учета по корпоративному и индивидуальному подоходным налогам по актам об учреждении доверительного управления имуществом, кроме доли участия и акций
1. Для целей налогового учета:
доход по имуществу, находящемуся в доверительном управлении, кроме доли участия и акций, уменьшенный на сумму затрат, произведенных доверительным управляющим - нерезидентом, возмещенных (подлежащих возмещению) на основании акта об учреждении доверительного управления имуществом и отчета доверительного управляющего о своей деятельности, является доходом учредителя доверительного управления;
имущество от доверительного управления таким имуществом является имуществом учредителя доверительного управления;
вознаграждение, предусмотренное актом об учреждении доверительного управления имуществом, подлежащее выплате доверительному управляющему, является затратами учредителя доверительного управления.
В доход доверительного управляющего от доверительного управления имуществом, кроме доли участия и акций, включаются:
вознаграждение, предусмотренное актом об учреждении доверительного управления имуществом;
сумма затрат, произведенных доверительным управляющим, возмещение которых предусмотрено актом об учреждении доверительного управления имуществом и отчетом доверительного управляющего о своей деятельности.
Затраты от доверительного управления имуществом, кроме доли участия и акций, произведенные доверительным управляющим, возмещение которых предусмотрено актом об учреждении доверительного управления имуществом и отчетом доверительного управляющего о своей деятельности, являются затратами такого доверительного управляющего.
Такие затраты уменьшают доход учредителя доверительного управления по имуществу, находящемуся в доверительном управлении, и не учитываются в качестве затрат у учредителя доверительного управления.
2. Учредитель доверительного управления исполняет налоговое обязательство по корпоративному и индивидуальному подоходным налогам по доходу от доверительного управления и имуществу от доверительного управления в порядке, определенном настоящим Кодексом для лиц, к числу которых относится такой учредитель.
3. Доверительный управляющий исполняет налоговое обязательство по корпоративному и индивидуальному подоходным налогам по доходам, затратам и имуществу от доверительного управления в порядке, определенном настоящим Кодексом для лиц, к числу которых относится такой управляющий.
Параграф 2. Исполнение налогового обязательства умершего физического лица и физического лица, признанного безвестно отсутствующим
Статья 72. Исполнение налогового обязательства физического лица, признанного безвестно отсутствующим
1. Налоговое обязательство физического лица, признанного судом безвестно отсутствующим, в случае:
1) отсутствия на праве собственности имущества, которое является объектом налогообложения и (или) объектом, связанным с налогообложением, подлежит приостановлению;
2) наличия на праве собственности имущества, которое является объектом налогообложения и (или) объектом, связанным с налогообложением, исполняется лицом, на которого возложена обязанность по опеке над имуществом физического лица, признанного судом безвестно отсутствующим (далее - опекун имущества).
Налоговое обязательство физического лица, признанного судом безвестно отсутствующим, приостанавливается или исполняется опекуном имущества в период со дня вступления в законную силу судебного акта о признании его безвестно отсутствующим до дня:
1) принятия наследства либо признания имущества такого лица выморочным;
2) отмены судебного акта о признании его безвестно отсутствующим.
2. Опекун имущества исполняет налоговое обязательство по уплате налога из имущества физического лица, признанного судом безвестно отсутствующим.
3. Если имущества физического лица, признанного безвестно отсутствующим, недостаточно для погашения его налоговой задолженности, то непогашенная часть налоговой задолженности списывается согласно решению о списании налоговой задолженности.
Решение о списании налоговой задолженности выносится налоговым органом на основании вступившего в законную силу судебного акта о недостаточности имущества.
4. При отмене судебного акта о признании лица безвестно отсутствующим действие ранее списанной налоговой задолженности возобновляется налоговым органом независимо от срока исковой давности согласно решению об отмене решения о списании налоговой задолженности и подлежит взысканию.
Решение об отмене решения о списании налоговой задолженности выносится налоговым органом на основании вступившего в законную силу судебного акта об отмене решения о признании лица безвестно отсутствующим.
Статья 73. Погашение налоговой задолженности умершего физического лица, индивидуального предпринимателя или лица, занимавшегося частной практикой
1. Налоговая задолженность умершего физического лица, образовавшаяся на день его смерти или на дату вступления в законную силу судебного акта об объявлении его умершим, если иное не установлено настоящей статьей, погашается наследником (наследниками) в пределах стоимости наследуемого имущества и пропорционально доле в наследстве на дату его принятия.
Погашение налоговой задолженности, образовавшейся на день смерти или на дату вступления в законную силу судебного акта об объявлении умершим индивидуального предпринимателя или лица, занимавшегося частной практикой, осуществляется в порядке, предусмотренном настоящей статьей.
2. Если ребенок-сирота, ребенок, оставшийся без попечения родителей, является наследником умершего физического лица, не состоявшего на регистрационном учете индивидуального предпринимателя и (или) лица, занимавшегося частной практикой, то такой наследник освобождается от погашения налоговой задолженности наследодателя, а налоговая задолженность наследодателя списывается на основании решения о списании налоговой задолженности.
Решение о списании налоговой задолженности выносится налоговым органом на основании документа, подтверждающего статус ребенка-сироты, ребенка, оставшегося без попечения родителей, и данных о регистрационном учете в налоговом органе и налоговой задолженности на день смерти.
3. Если наследником умершего индивидуального предпринимателя и (или) лица, занимавшегося частной практикой, является ребенок-сирота, ребенок, оставшийся без попечения родителей, то обязательство по погашению налоговой задолженности наследодателя возлагается на такого наследника только на основании вступившего в законную силу судебного акта о взыскании налоговой задолженности.
Налоговый орган обращается с иском о взыскании налоговой задолженности в суд на основании документа, подтверждающего статус ребенка-сироты, ребенка, оставшегося без попечения родителей, и данных о регистрационном учете в налоговом органе и налоговой задолженности на день смерти.
При отказе в удовлетворении иска о взыскании налоговой задолженности налоговая задолженность наследодателя списывается согласно решению о списании налоговой задолженности.
Решение о списании налоговой задолженности выносится налоговым органом на основании вступившего в законную силу судебного акта об отказе в удовлетворении иска о взыскании налоговой задолженности.
4. Если имущества умершего физического лица недостаточно для погашения налоговой задолженности, то непогашенная часть налоговой задолженности списывается согласно решению о списании налоговой задолженности.
Решение о списании налоговой задолженности выносится налоговым органом на основании вступившего в законную силу судебного акта о недостаточности имущества.
5. При отсутствии наследников или отказе всех наследников от наследства и передаче имущества в коммунальную собственность налоговая задолженность умершего физического лица списывается согласно решению о списании налоговой задолженности.
Решение о списании налоговой задолженности выносится налоговым органом на основании вступившего в законную силу судебного акта о признании имущества умершего физического лица выморочным.
6. При отмене судебного акта об объявлении физического лица умершим действие ранее списанной налоговой задолженности такого физического лица независимо от срока исковой давности возобновляется налоговым органом согласно решению об отмене решения о списании налоговой задолженности и подлежит взысканию.
Решение об отмене решения о списании налоговой задолженности выносится налоговым органом на основании вступившего в законную силу судебного акта об отмене судебного акта об объявлении физического лица умершим.
Параграф 3. Исполнение отдельных налоговых обязательств при ликвидации, реорганизации и прекращении деятельности
Статья 74. Общие положения исполнения налогового обязательства при ликвидации, реорганизации и прекращении деятельности
1. Для целей настоящей статьи лицом, прекращающим деятельность, признаются:
ликвидируемое юридическое лицо - резидент;
прекращающее деятельность в Республике Казахстан структурное подразделение юридического лица - нерезидента;
прекращающее деятельность в Республике Казахстан постоянное учреждение юридического лица - нерезидента;
прекращающее деятельность структурное подразделение юридического лица - резидента;
прекращающий деятельность индивидуальный предприниматель;
прекращающее деятельность лицо, занимающееся частной практикой;
реорганизуемое путем выделения, слияния, разделения или присоединения юридическое лицо;
постоянное учреждение без открытия структурного подразделения юридического лица - нерезидента, передающее права и обязанности иностранному юридическому лицу - резиденту.
2. Ликвидационная налоговая отчетность составляется по видам налогов, платежей в бюджет и социальным платежам, по которым лицо, прекращающее деятельность, является плательщиком и (или) налоговым агентом, за период с начала налогового периода, в котором возникло обязательство по представлению ликвидационной налоговой отчетности, до даты представления в налоговый орган такой отчетности.
Если срок представления очередной налоговой отчетности за налоговый период, предшествующий налоговому периоду, в котором возникло обязательство по представлению такой очередной налоговой отчетности, наступает после представления ликвидационной налоговой отчетности, представление такой очередной налоговой отчетности производится не позднее даты представления ликвидационной налоговой отчетности.
3. Уплата налогов, платежей в бюджет и социальных платежей, отраженных в очередной налоговой отчетности, представленной в соответствии с частью второй пункта 2 настоящей статьи, и ликвидационной налоговой отчетности, производится не позднее десяти календарных дней со дня представления в налоговый орган ликвидационной налоговой отчетности.
4. При прекращении осуществления деятельности, связанной с денежными расчетами, лицо, прекращающее деятельность, обязано представить в налоговый орган по месту нахождения налоговое заявление о снятии с учета контрольно-кассовой машины (при наличии) в порядке, определенном настоящим Кодексом.
5. Лицо, прекращающее деятельность, со дня представления в соответствующий регистрирующий орган заявления о прекращении деятельности, признается налоговым органом налогоплательщиком, находящимся на стадии ликвидации (прекращения деятельности).
Сведения о таком налогоплательщике в течение трех рабочих дней, следующих за днем представления заявления, указанного в части первой настоящего пункта, включаются в список налогоплательщиков, находящихся на стадии ликвидации (прекращения деятельности), подлежащий размещению на интернет-ресурсе уполномоченного органа.
6. Надлежащее исполнение лицом, прекращающим деятельность, налогового обязательства проверяется путем осуществления налогового администрирования, в том числе проведения налоговой проверки, в соответствии с настоящим Кодексом.
Налоговая проверка не проводится при прекращении деятельности в упрощенном порядке.
Порядки исполнения налогового обязательства при ликвидации, реорганизации и прекращении деятельности налогоплательщиками (налоговыми агентами), в том числе отдельными категориями налогоплательщиков (налоговых агентов), упрощенный порядок исполнения налогового обязательства при прекращении деятельности, а также условия отнесения налогоплательщиков к отдельным категориям налогоплательщиков определяются уполномоченным органом.
7. Исключение налогоплательщика из списка налогоплательщиков, находящихся на стадии ликвидации (прекращения деятельности), производится налоговым органом в течение трех рабочих дней, следующих за днем:
1) получения сведений об исключении из реестров номеров;
2) снятия с регистрационного учета индивидуального предпринимателя или лица, занимающегося частной практикой;
3) вынесения решения об отказе в снятии с регистрационного учета индивидуального предпринимателя или лица, занимающегося частной практикой;
4) обращения налогоплательщика об изменении решения о ликвидации (прекращении деятельности).
Статья 75. Особенности исполнения налогового обязательства при ликвидации
1. Для целей настоящей статьи ликвидируемым налогоплательщиком признаются:
ликвидируемое юридическое лицо - резидент;
прекращающее деятельность в Республике Казахстан структурное подразделение юридического лица - нерезидента;
прекращающее деятельность в Республике Казахстан постоянное учреждение юридического лица - нерезидента;
прекращающее деятельность структурное подразделение юридического лица - резидента.
2. Обязательство по представлению ликвидационной налоговой отчетности, предусмотренной пунктом 2 статьи 74 настоящего Кодекса, возникает в течение трех рабочих дней со дня утверждения промежуточного ликвидационного баланса у следующих лиц:
ликвидируемого юридического лица - резидента;
прекращающего деятельность в Республике Казахстан структурного подразделения или постоянного учреждения юридического лица - нерезидента;
прекращающего деятельность структурного подразделения юридического лица - резидента в случае, когда такое структурное подразделение признано самостоятельным плательщиком налогов, платежей в бюджет.
Представление ликвидационной налоговой отчетности, предусмотренной пунктом 2 статьи 74 настоящего Кодекса, является основанием для осуществления налогового администрирования, в том числе проведения налоговой проверки.
3. Налоговая задолженность ликвидируемого налогоплательщика погашается за счет денег таких лиц, в том числе полученных от реализации их имущества, в порядке очередности, установленной законами Республики Казахстан.
Налоговая задолженность прекращающего деятельность структурного подразделения юридического лица - резидента, структурных подразделений юридического лица - нерезидента через прекращающее деятельность постоянное учреждение или структурное подразделение погашается за счет денег создавшего их юридического лица.
Если имущества ликвидируемого налогоплательщика недостаточно для погашения в полном объеме налоговой задолженности, оставшаяся часть налоговой задолженности погашается учредителями (участниками) ликвидируемого налогоплательщика в случаях, установленных законами Республики Казахстан.
4. Излишне (ошибочно) уплаченные ликвидируемым налогоплательщиком суммы налогов, платежей в бюджет и пеней, штрафов, а также излишне уплаченные и (или) излишне взысканные суммы таможенных пошлин, таможенных сборов, налогов и пеней подлежат в порядке и с учетом условий, установленных законодательством Республики Казахстан, зачету в счет погашения его задолженности, а оставшаяся часть - возврату ликвидируемому налогоплательщику.
В случаях, если ликвидируемый налогоплательщик является юридическим лицом, имеющим структурное подразделение, суммы, указанные в части первой настоящего пункта, подлежат зачету также в счет погашения задолженности структурного подразделения такого налогоплательщика.
В случае, если ликвидируемый налогоплательщик на дату снятия с регистрационного учета плательщика налога на добавленную стоимость имеет сумму превышения по налогу на добавленную стоимость, относимого в зачет, над суммой начисленного налога, подлежащей возврату, указанное превышение подлежит возврату в порядке, определенном настоящим Кодексом.
5. При возникновении у ликвидируемого налогоплательщика в течение периода со дня представления ликвидационной налоговой отчетности до даты завершения налогового администрирования налоговых обязательств по исчислению и уплате налогов и платежей в бюджет, социального обязательства такое лицо обязано исполнить указанные обязательства в полном объеме на основании уведомления о суммах, начисленных в период ликвидации.
При этом уплата налогов и платежей в бюджет, социальных платежей, отраженных в дополнительной налоговой отчетности, представленной в соответствии с частью первой настоящего пункта, производится не позднее десяти календарных дней со дня представления в налоговый орган такой дополнительной налоговой отчетности.
6. При возникновении доходов физических лиц и нерезидентов, подлежащих налогообложению у источника выплаты, в виде дивидендов в течение периода со дня, следующего за днем завершения налогового администрирования, до дня утверждения ликвидационного баланса ликвидируемое юридическое лицо обязано представить в налоговый орган по месту нахождения дополнительную налоговую отчетность к ликвидационной налоговой отчетности по такому налоговому обязательству и исполнить его в полном объеме.
7. Основанием для представления ликвидируемым налогоплательщиком ликвидационного баланса в налоговый орган по месту нахождения является одновременное соблюдение следующих условий:
1) отсутствие налоговой задолженности, задолженности по социальным платежам, в том числе по итогам осуществленного налогового администрирования;
2) отсутствие излишне (ошибочно) уплаченных сумм налогов, платежей в бюджет, пеней и штрафов, превышения налога на добавленную стоимость, относимого в зачет, над суммой начисленного налога, а также излишне уплаченных и (или) излишне взысканных сумм таможенных пошлин, таможенных сборов, налогов и пеней, подлежащих возврату в порядке и случаях, которые определены законодательством Республики Казахстан.
8. Ликвидационный баланс, представленный в соответствии с пунктом 7 настоящей статьи ликвидируемым налогоплательщиком, является основанием для направления налоговым органом в регистрирующий орган сведений об отсутствии (наличии) задолженности, предусматривающих отсутствие у ликвидируемого налогоплательщика задолженности, с извещением об этом такого налогоплательщика.
9. Ликвидируемый налогоплательщик обязан обратиться в регистрирующий орган для завершения процедуры прекращения деятельности не позднее трех рабочих дней с даты получения извещения налогового органа о направлении в регистрирующий орган сведений об отсутствии (наличии) задолженности, предусматривающих отсутствие у него задолженности.
Статья 76. Особенности исполнения налогового обязательства индивидуальным предпринимателем и лицом, занимающимся частной практикой, при прекращении деятельности
1. Индивидуальный предприниматель или лицо, занимающееся частной практикой, не позднее тридцати календарных дней со дня принятия решения о прекращении деятельности одновременно представляет в налоговый орган по месту нахождения:
1) заявление о прекращении деятельности;
2) ликвидационную налоговую отчетность в соответствии с пунктом 2 статьи 74 настоящего Кодекса.
2. Налоговая задолженность прекращающего деятельность индивидуального предпринимателя или лица, занимающегося частной практикой, погашается за счет денег такого лица, в том числе полученных от реализации их имущества, в порядке очередности, установленной законами Республики Казахстан.
3. Индивидуальный предприниматель или лицо, занимающееся частной практикой, признается прекратившим деятельность при снятии таких лиц с регистрационного учета в налоговом органе.
Основанием для снятия индивидуального предпринимателя или лица, занимающегося частной практикой, с регистрационного учета является одновременное соблюдение следующих условий:
1) отсутствие налоговой задолженности, задолженности по социальным платежам, в том числе по итогам осуществленного налогового администрирования;
2) отсутствие излишне (ошибочно) уплаченных сумм налогов, платежей в бюджет, пеней и штрафов, а также излишне уплаченных и (или) излишне взысканных сумм таможенных пошлин, таможенных сборов, налогов и пеней, подлежащих возврату в порядке и случаях, которые определены законодательством Республики Казахстан.
4. Несоответствие индивидуального предпринимателя или лица, занимающегося частной практикой, условиям, установленным пунктом 3 настоящей статьи по итогам проведенного налогового администрирования, является основанием для отказа в снятии с регистрационного учета.
5. Информация о снятии и об отказе в снятии с регистрационного учета индивидуального предпринимателя и лица, занимающегося частной практикой, подлежит размещению на интернет-ресурсе уполномоченного органа.
6. Налоговый орган вправе проводить налоговое администрирование деятельности индивидуального предпринимателя или лица, занимающегося частной практикой, после прекращения физическим лицом такой деятельности в упрощенном порядке в пределах срока исковой давности.
При выявлении налоговым органом расхождений (нарушений) по деятельности, указанной в части первой настоящего пункта, физическое лицо:
1) исчисляет налоговые обязательства по налогам, платежам в бюджет и социальное обязательство в соответствии с законодательством Республики Казахстан, действовавшим на момент осуществления такой деятельности;
2) исполняет налоговые обязательства и социальное обязательство в соответствии с законодательством Республики Казахстан.
Статья 77. Особенности исполнения налогового обязательства при реорганизации юридического лица
1. Исполнение налогового обязательства реорганизуемого юридического лица, за исключением представления ликвидационной налоговой отчетности при реорганизации путем разделения и выделения, возлагается на его правопреемника.
Установление правопреемника, а также доли его участия в погашении налоговой задолженности реорганизуемого юридического лица осуществляется в соответствии с гражданским законодательством Республики Казахстан.
2. Реорганизация юридического лица не является основанием изменения сроков исполнения налогового обязательства по уплате налогов, платежей в бюджет правопреемником.
3. Излишне (ошибочно) уплаченные реорганизуемым юридическим лицом суммы налогов, платежей в бюджет и пеней, штрафов, превышения налога на добавленную стоимость, а также излишне уплаченные и (или) излишне взысканные суммы таможенных пошлин, таможенных сборов, налогов и пеней подлежат в порядке и с учетом условий, установленных законодательством Республики Казахстан, зачету в счет погашения задолженности такого лица и (или) его структурного подразделения, а оставшаяся часть - возврату правопреемнику реорганизуемого юридического лица пропорционально доле в имуществе, полученном им при реорганизации.
4. Реорганизуемое путем слияния или присоединения юридическое лицо в течение трех рабочих дней со дня утверждения передаточного акта одновременно представляет в налоговый орган по месту нахождения:
1) ликвидационную налоговую отчетность, предусмотренную пунктом 2 статьи 74 настоящего Кодекса;
2) передаточный акт.
5. Юридическое лицо в течение трех рабочих дней со дня принятия решения о реорганизации путем:
1) разделения представляет в налоговый орган по месту нахождения ликвидационную налоговую отчетность, предусмотренную пунктом 2 статьи 74 настоящего Кодекса, и налоговое заявление о проведении налоговой проверки;
2) выделения представляет в налоговый орган по месту нахождения налоговое заявление о проведении налоговой проверки.
6. Основанием для представления юридическим лицом, реорганизуемым путем разделения или выделения, разделительного баланса в налоговый орган по месту нахождения является одновременное соответствие такого юридического лица по итогам проведенной налоговой проверки следующим условиям:
1) отсутствие налоговой задолженности, задолженности по социальным платежам;
2) отсутствие излишне (ошибочно) уплаченных сумм налогов, платежей в бюджет, пеней и штрафов, а также излишне уплаченных и (или) излишне взысканных сумм таможенных пошлин, таможенных сборов, налогов и пеней, подлежащих возврату в порядке и случаях, которые определены законодательством Республики Казахстан.
7. Разделительный баланс, представленный в соответствии с пунктом 6 настоящей статьи реорганизуемым путем разделения и выделения юридическим лицом, является основанием для направления налоговым органом в регистрирующий орган сведений об отсутствии (наличии) задолженности, предусматривающих отсутствие у реорганизуемого юридического лица задолженности, с извещением об этом такого юридического лица.
8. Налоговый орган после получения сведений реестров номеров о реорганизации юридического лица передает сальдо по лицевым счетам такого юридического лица в соответствующий налоговый орган.
Статья 78. Особенности исполнения налогового обязательства при передаче постоянным учреждением без открытия структурного подразделения юридического лица - нерезидента прав и обязанностей в связи с наличием места эффективного управления (места нахождения фактического органа управления) в Республике Казахстан
1. Для целей настоящей статьи:
под постоянным учреждением нерезидента понимается постоянное учреждение без открытия структурного подразделения юридического лица - нерезидента под;
юридическим лицом - нерезидентом понимается юридическое лицо - нерезидент, осуществляющее деятельность через постоянное учреждение без открытия структурного подразделения;
иностранным юридическим лицом - резидентом понимается юридическое лицо, созданное по законодательству иностранного государства, место эффективного управления (место нахождения фактического органа управления) которого находится в Республике Казахстан и к которому переходят права и обязанности постоянного учреждения нерезидента.
2. В случае принятия юридическим лицом - нерезидентом решения о переносе места эффективного управления (места нахождения фактического органа управления) из иностранного государства в Республику Казахстан, постоянное учреждение такого лица обязано передать свои права и обязанности указанному юридическому лицу - нерезиденту в соответствии с передаточным актом.
При этом юридическое лицо - нерезидент в течение трех рабочих дней, следующих за днем представления таким лицом налогового заявления о постановке на регистрационный учет, обязано известить налоговый орган по месту нахождения постоянного учреждения нерезидента о передаче прав и обязанностей таким постоянным учреждением иностранному юридическому лицу - резиденту.
3. Постоянное учреждение нерезидента в течение пятнадцати календарных дней со дня постановки юридического лица - нерезидента на регистрационный учет в качестве налогоплательщика - иностранного юридического лица - резидента обязано представить в налоговый орган:
1) налоговое заявление о прекращении деятельности через постоянное учреждение;
2) ликвидационную налоговую отчетность;
3) передаточный акт.
4. Исполнение налогового обязательства постоянного учреждения нерезидента, передавшего права и обязанности иностранному юридическому лицу - резиденту, возлагается на иностранное юридическое лицо - резидента.
5. Передача прав и обязанностей постоянным учреждением нерезидента иностранному юридическому лицу - резиденту не является основанием изменения сроков исполнения налогового обязательства по уплате налогов, платежей в бюджет правопреемником.
6. Излишне (ошибочно) уплаченные постоянным учреждением нерезидента суммы налогов, платежей в бюджет и пеней, штрафов, а также излишне уплаченные и (или) излишне взысканные суммы таможенных пошлин, таможенных сборов, налогов и пеней подлежат в порядке и с учетом условий, которые установлены законодательством Республики Казахстан, зачету в счет погашения задолженности такого постоянного учреждения, а оставшаяся часть - возврату иностранному юридическому лицу - резиденту.
7. Прекращением деятельности через постоянное учреждение признается снятие такого постоянного учреждения с регистрационного учета юридического лица - нерезидента.
Налоговый орган после получения документов постоянного учреждения нерезидента, указанных в пункте 3 настоящей статьи, передает сальдо по лицевому счету в налоговый орган по месту нахождения иностранного юридического лица - резидента.
Статья 79. Основания прекращения налогового обязательства
1. Налоговое обязательство юридического лица прекращается после:
1) ликвидации такого лица;
2) реорганизации такого лица путем присоединения (в отношении присоединившегося юридического лица), слияния и разделения.
2. Налоговое обязательство индивидуального предпринимателя, лица, занимающегося частной практикой, прекращается после прекращения такими лицами деятельности в порядке, определенном законодательством Республики Казахстан.
3. Налоговое обязательство физического лица прекращается в случае смерти или объявления его умершим на основании вступившего в законную силу судебного акта с учетом положений статьи 73 настоящего Кодекса.
Параграф 4. Обеспечение исполнения налогового обязательства
Статья 80. Предварительные меры, связанные с обеспечением исполнения налогового обязательства
Налоговый орган до применения способов обеспечения исполнения налогового обязательства в случаях, предусмотренных настоящим Кодексом, осуществляет предварительные меры обеспечения исполнения налогового обязательства путем представления:
1) извещений налогового органа;
2) уведомлений налогового органа информационно-предупредительного характера;
3) уведомлений налогового органа обязательного характера.
Статья 81. Извещения налогового органа
1. Налоговый орган извещает налогоплательщика (налогового агента):
1) о наличии налоговой задолженности в сумме, не превышающей предельный размер налоговой задолженности.
В целях настоящего подпункта под налогоплательщиком (налоговым агентом) понимается юридическое лицо, структурное подразделение юридического лица, нерезидент, осуществляющий деятельность в Республике Казахстан через постоянное учреждение, индивидуальный предприниматель, лицо, занимающееся частной практикой;
2) о совершении взаиморасчетов с налогоплательщиком, не исполнившим уведомление о подтверждении фактического совершения оборота по реализации товаров, выполнению работ и оказанию услуг;
3) о совершении взаиморасчетов с налогоплательщиком, уведомление о подтверждении фактического совершения оборота по реализации товаров, выполнению работ и оказанию услуг которого признано неисполненным.
2. Извещение о наличии налоговой задолженности представляется налоговым органом налогоплательщику (налоговому агенту) не позднее пяти рабочих дней со дня образования налоговой задолженности в сумме, не превышающей предельный размер налоговой задолженности.
3. Извещения, указанные в подпунктах 2) и 3) пункта 1 настоящей статьи, представляются контрагенту налогоплательщика, который является получателем товаров, работ, услуг по электронному счету-фактуре, отраженному в уведомлении, предусмотренном подпунктом 5) пункта 1 статьи 82 настоящего Кодекса, в течение одного рабочего дня, следующего за днем приостановления выписки электронных счетов-фактур налогоплательщику.
Такие извещения содержат сведения об указанных электронных счетах-фактурах.
Статья 82. Уведомления налогового органа информационно-предупредительного характера
1. К уведомлениям налогового органа информационно-предупредительного характера относятся:
1) уведомление о сумме исчисленного налога на имущество.
Уведомление о сумме исчисленного налога на имущество содержит сведения о сумме исчисленного налога и предельном сроке исполнения налогового обязательства.
Уведомление о сумме исчисленного налога на имущество представляется налогоплательщику (налоговому агенту) не позднее десяти рабочих дней со дня исчисления налоговым органом налога на имущество с указанием суммы исчисленного налога и предельного срока исполнения налогового обязательства;
2) уведомление о сумме налогов и (или) плат, исчисленных налоговым органом.
Уведомление о сумме налогов и (или) плат, исчисленных налоговым органом, содержит сведения о сумме исчисленных налогов, плат и предельном сроке исполнения налогового обязательства, кроме налога на имущество.
Уведомление о сумме налогов и (или) плат, исчисленных налоговым органом, представляется налогоплательщику (налоговому агенту) не позднее десяти рабочих дней со дня исчисления налоговым органом на основании сведений, полученных от уполномоченных государственных органов, в пределах компетенций с указанием суммы исчисленного налога и (или) плат и предельного срока исполнения налогового обязательства;
3) уведомление о начисленной сумме платы за негативное воздействие на окружающую среду.
Уведомление о начисленной сумме платы за негативное воздействие на окружающую среду содержит сведения о сумме начисленной платы и предельном сроке исполнения налогового обязательства.
Уведомление о начисленной сумме платы за негативное воздействие на окружающую среду представляется налогоплательщику (налоговому агенту) не позднее десяти рабочих дней со дня получения сведений о начисленной сумме платы от уполномоченного органа в области охраны окружающей среды и его территориальных подразделений о фактических объемах негативного воздействия на окружающую среду;
4) уведомление о расхождениях, выявленных по результатам камерального контроля.
Уведомление о расхождениях, выявленных по результатам камерального контроля, содержит описание выявленных расхождений и период, в котором эти расхождения выявлены, для самостоятельного устранения их налогоплательщиком (налоговым агентом) или представления пояснения.
Уведомление о расхождениях, выявленных по результатам камерального контроля, представляется налогоплательщику (налоговому агенту) в течение тридцати рабочих дней, следующих за днем завершения камерального контроля;
5) уведомление о подтверждении фактического совершения оборота по реализации товаров, выполнению работ и оказанию услуг.
Уведомление о подтверждении фактического совершения оборота по реализации товаров, выполнению работ и оказанию услуг содержит описание операций по реализации товаров, выполнению работ и оказанию услуг, по которым у налогового органа имеются сомнения в фактическом их совершении, и период, в котором они совершены, для самостоятельного устранения их налогоплательщиком (налоговым агентом) или представления пояснения, подтверждающего фактическое совершение такого оборота.
Уведомление о подтверждении фактического совершения оборота по реализации товаров, выполнению работ и оказанию услуг представляется налогоплательщику (налоговому агенту) в течение тридцати рабочих дней, следующих за днем выявления операций по реализации товаров, выполнению работ и оказанию услуг, по которым у налогового органа имеются сомнения в фактическом их совершении;
6) уведомление о постановке на регистрационный учет в налоговом органе.
Уведомление о постановке на регистрационный учет в налоговом органе содержит описание признаков нарушения требований налоговой регистрации и период возникновения таких признаков для самостоятельной постановки на регистрационный учет налогоплательщика (налогового агента) или представления пояснения.
Уведомление о постановке на регистрационный учет в налоговом органе представляется налогоплательщику (налоговому агенту) по итогам мониторинга соблюдения требований налоговой регистрации;
7) уведомление о сумме превышения налога на добавленную стоимость, подтвержденной к возврату в упрощенном порядке.
Уведомление о сумме превышения налога на добавленную стоимость, подтвержденной к возврату в упрощенном порядке, содержит сведения о сумме превышения налога на добавленную стоимость, подтвержденной к возврату, и извещает о необходимости представления налогового заявления на возврат суммы превышения налога на добавленную стоимость.
Уведомление о сумме превышения налога на добавленную стоимость, подтвержденной к возврату в упрощенном порядке, представляется налогоплательщику (налоговому агенту) в течение двух рабочих дней, следующих за днем представления требования о возврате суммы превышения налога на добавленную стоимость;
8) уведомление о получении заявления о ввозе товаров и уплате косвенных налогов.
Уведомление о получении заявления о ввозе товаров и уплате косвенных налогов представляется налогоплательщику Республики Казахстан, осуществившему экспорт товаров в государства - члены ЕАЭС, в случае получения от налоговых органов государств - членов ЕАЭС, налогоплательщиками которых импортированы товары, заявления о ввозе товаров и уплате косвенных налогов в электронной форме.
Уведомление о получении заявления о ввозе товаров и уплате косвенных налогов представляется в течение десяти рабочих дней со дня поступления такого заявления.
2. Срок исполнения уведомлений информационно-предупредительного характера составляет тридцать рабочих дней, следующих за днем вручения, если иное не установлено настоящим пунктом.
Срок исполнения уведомления о подтверждении фактического совершения оборота по реализации товаров, выполнению работ и оказанию услуг составляет десять рабочих дней, следующих за днем вручения.
Уведомления о сумме превышения налога на добавленную стоимость, подтвержденной к возврату в упрощенном порядке, и о получении заявления о ввозе товаров и уплате косвенных налогов не имеют срока исполнения.
Статья 83. Уведомления налогового органа обязательного характера
1. К уведомлениям налогового органа обязательного характера относятся:
1) уведомление о результатах налоговой проверки.
Уведомление о результатах налоговой проверки представляется налогоплательщику (налоговому агенту) не позднее пяти рабочих дней со дня вручения акта налоговой проверки при выявлении по итогам проведенной налоговой проверки нарушений, приводящих к начислению сумм налогов и платежей в бюджет, уменьшению убытков, неподтверждению к возврату сумм превышения налога на добавленную стоимость и (или) корпоративного (индивидуального) подоходного налога, удержанного у источника выплаты с доходов нерезидентов;
2) уведомление об итогах рассмотрения жалобы налогоплательщика (налогового агента) на уведомление о результатах налоговой проверки.
Уведомление об итогах рассмотрения жалобы налогоплательщика (налогового агента) на уведомление о результатах налоговой проверки представляется налогоплательщику (налоговому агенту) не позднее пяти рабочих дней со дня принятия решения по результатам рассмотрения жалобы в случае отмены обжалуемого уведомления о результатах налоговой проверки в части;
3) уведомление об устранении нарушений налогового законодательства Республики Казахстан.
Уведомление об устранении нарушений налогового законодательства Республики Казахстан представляется налогоплательщику (налоговому агенту) не позднее пяти рабочих дней со дня выявления нарушений налогового законодательства Республики Казахстан при выявлении налоговым органом фактов несоблюдения налогоплательщиком (налоговым агентом) требований, установленных настоящим Кодексом;
4) уведомление о суммах, начисленных в период ликвидации.
Уведомление о суммах, начисленных в период ликвидации, содержит сведения о сумме начисленных налогов, платежей в бюджет и социальных платежей в период ликвидации и предельном сроке исполнения налогового обязательства.
Уведомление о суммах, начисленных в период ликвидации, представляется ликвидируемому налогоплательщику (налоговому агенту) не позднее пяти рабочих дней со дня вручения акта ликвидационной налоговой проверки при возникновении в течение периода со дня представления ликвидационной налоговой отчетности до даты завершения налогового администрирования обязательств по исчислению и уплате налогов, платежей в бюджет и социальных платежей;
5) уведомление о подтверждении места нахождения (отсутствия) налогоплательщика.
Уведомление о подтверждении места нахождения (отсутствия) налогоплательщика представляется налогоплательщику (налоговому агенту) в течение одного рабочего дня, следующего за днем составления акта налогового обследования, при отсутствии на момент налогового обследования налогоплательщика (налогового агента) по месту нахождения, указанному в регистрационных данных;
6) уведомление о погашении налоговой задолженности.
Уведомление о погашении налоговой задолженности представляется налогоплательщику (налоговому агенту) не позднее пяти рабочих дней, следующих за днем образования налоговой задолженности у юридического лица, структурного подразделения юридического лица, нерезидента, осуществляющего деятельность в Республике Казахстан через постоянное учреждение, индивидуального предпринимателя, лица, занимающегося частной практикой, в сумме, превышающей предельный размер налоговой задолженности;
7) уведомление о подтверждении дебиторской задолженности.
Уведомление о подтверждении дебиторской задолженности представляется дебитору налогоплательщика (налогового агента) при непогашении налогоплательщиком (налоговым агентом) налоговой задолженности после принятия мер принудительного взыскания за счет денег, находящихся на его банковских счетах, не позднее чем за десять рабочих дней до обращения взыскания;
8) уведомление о погашении налоговой задолженности физических лиц.
Уведомление о погашении налоговой задолженности физических лиц представляется налогоплательщику при образовании налоговой задолженности у физического лица по налоговым обязательствам, не связанным с осуществлением предпринимательской деятельности и частной практики.
Уведомление о погашении налоговой задолженности физических лиц представляется налогоплательщику не позднее двадцати рабочих дней со дня образования налоговой задолженности.
2. Срок исполнения уведомлений обязательного характера составляет тридцать рабочих дней, следующих за днем вручения, если иное не установлено настоящим пунктом.
Срок исполнения уведомления о:
1) погашении налоговой задолженности составляет десять рабочих дней, следующих за днем вручения;
2) подтверждении дебиторской задолженности составляет двадцать рабочих дней, следующих за днем вручения;
3) подтверждении места нахождения (отсутствия) налогоплательщика составляет двадцать рабочих дней, следующих за днем вручения.
Статья 84. Обеспечение исполнения налогового обязательства
1. Налоговый орган в случаях, определенных настоящим Кодексом, применяет способы обеспечения исполнения налогового обязательства (далее - способ обеспечения)
2. Способы обеспечения - меры имущественного и (или) ограничительного характера, стимулирующие надлежащее исполнение налогового обязательства налогоплательщиком (налоговым агентом).
3. Способами обеспечения являются:
1) начисление пеней;
2) приостановление расходных операций;
3) ограничение в распоряжении имуществом;
4) приостановление выписки электронных счетов-фактур;
5) ограничение доступа к интернет-ресурсам и (или) интернет-площадке иностранной компании, осуществляющей деятельность посредством интернет-площадки на территории Республики Казахстан (далее - ограничение доступа к интернет-ресурсам и (или) интернет-площадке).
4. Способы обеспечения, указанные в подпунктах 2) и 3) пункта 3 настоящей статьи, подлежат отмене:
1) со дня вступления в законную силу судебного акта о признании налогоплательщика банкротом в части сумм, включенных в реестр требований кредиторов;
2) со дня утверждения судом соглашения об утверждении плана реабилитационной процедуры в части сумм, включенных в реестр требований кредиторов;
3) со дня вступления в законную силу судебного акта об утверждении соглашения о реструктуризации задолженности в части сумм, включенных в такое соглашение;
4) со дня принятия уполномоченным органом по регулированию, контролю и надзору финансового рынка и финансовых организаций решения о лишении лицензии филиала банка - нерезидента Республики Казахстан, филиала страховой (перестраховочной) организации - нерезидента Республики Казахстан на проведение банковских операций;
5) со дня вступления в законную силу судебного акта о принудительной ликвидации банка второго уровня, страховой (перестраховочной) организации;
6) в случаях, предусмотренных пунктом 7 статьи 86 и пунктом 5 статьи 87 настоящего Кодекса.
5. Применение способов обеспечения, указанных в подпунктах 1), 2) и 4) пункта 3 настоящей статьи, приостанавливается:
1) в случае обжалования уведомления о результатах налоговой проверки в уполномоченный орган:
до вынесения уполномоченным органом решения по результатам рассмотрения жалобы;
на пятнадцать рабочих дней с момента вынесения по результатам рассмотрения жалобы решения об оставлении без удовлетворения;
2) в случае обжалования уведомления о результатах налоговой проверки в суд - до вступления в законную силу судебного акта по результатам рассмотрения жалобы.
Статья 85. Пени
1. Пени начисляются независимо от применения других способов обеспечения, мер принудительного взыскания и иных мер ответственности за нарушение налогового законодательства Республики Казахстан.
2. Пени начисляются банковской организации за:
1) несоблюдение очередности списания сумм с банковских счетов;
2) неперечисление (незачисление) их в бюджет;
3) несвоевременное перечисление в бюджет:
списанных сумм с банковских счетов налогоплательщиков (налоговых агентов);
внесенных наличных денег в кассы банковской организации в счет уплаты налогов и платежей в бюджет, в том числе авансовых и (или) текущих платежей по ним, пеней, штрафов;
начисленных банковских вознаграждений.
3. Пени не начисляются:
1) кредитору принудительно ликвидируемого банка второго уровня или прекращающего деятельность филиала банка - нерезидента Республики Казахстан в случае, если единственной причиной возникновения налоговой задолженности явились ликвидация или прекращение деятельности дебитора, - с даты принятия уполномоченным органом по регулированию, контролю и надзору финансового рынка и финансовых организаций решения о лишении лицензии;
2) по налогу на сверхприбыль за период, предшествующий пяти налоговым периодам до календарного года, в котором выявлено нарушение налогового законодательства Республики Казахстан;
3) при исчислении или пересмотре налоговым органом исчисленных сумм налогов на имущество и транспортные средства с физических лиц после срока уплаты данных налогов за соответствующий налоговый период;
4) при принудительном выпуске объявленных акций - со дня подачи иска в суд о принудительном выпуске объявленных акций и до окончания их размещения;
5) при признании физического лица безвестно отсутствующим - со дня вступления в законную силу судебного акта о признании его безвестно отсутствующим;
6) при возбуждении в соответствии с Законом Республики Казахстан «О восстановлении платежеспособности и банкротстве граждан Республики Казахстан» или «О реабилитации и банкротстве» производства по делу о применении процедуры восстановления платежеспособности или судебного банкротства, или банкротства, или реабилитации - со дня вынесения судом соответствующего судебного акта в части суммы, включенной в реестр требований кредиторов;
7) при применении процедуры реструктуризации задолженности - со дня вынесения судебного акта о применении такой процедуры в части суммы, включенной в соглашение о реструктуризации задолженности;
8) в период введенного чрезвычайного положения и (или) объявленной чрезвычайной ситуации в соответствии с законодательством Республики Казахстан;
9) на сумму исчисленных (начисленных) налогов и платежей в бюджет, возникшую при нарушении участником горизонтального мониторинга налогового законодательства Республики Казахстан в результате исполнения им налоговых обязательств в соответствии с полученным предварительным разъяснением, за исключением установления ранее неизвестных обстоятельств.
Для целей части первой настоящего подпункта ранее неизвестными обстоятельствами признаются обстоятельства, влияющие на позицию уполномоченного органа, отраженную в предварительном разъяснении, представленном по запросу участника горизонтального мониторинга, которые прежде не были доведены до сведения уполномоченного органа:
1) в указанном запросе;
2) в письменных пояснениях налогоплательщика (налогового агента), представленных в уполномоченный орган или его должностным лицам в рамках рассмотрения такого запроса.
4. Начисление пеней возобновляется в следующих случаях:
1) вступления в законную силу судебного акта об отказе в признании налогоплательщика банкротом или применении в отношении него реабилитационной процедуры или процедуры восстановления платежеспособности или судебного банкротства - со дня вынесения судебного акта о возбуждении соответствующего производства;
2) незаключения налогоплательщиком соглашения о реструктуризации задолженности либо вынесения судебного акта об отказе в утверждении такого соглашения - со дня принятия судебного акта о применении процедуры реструктуризации задолженности;
3) при отмене судебного акта о признании физического лица безвестно отсутствующим - со дня вступления в законную силу судебного акта о признании физического лица безвестно отсутствующим.
Статья 86. Приостановление расходных операций
1. Приостановление расходных операций производится путем вынесения налоговым органом распоряжения о приостановлении расходных операций по банковским счетам и (или) кассе налогоплательщика (налогового агента).
2. Приостановление расходных операций по банковским счетам (за исключением корреспондентских) производится в следующих случаях:
1) непогашения налогоплательщиком (налоговым агентом) налоговой задолженности в сумме, превышающей предельный размер налоговой задолженности;
2) неисполнения уведомления о постановке на регистрационный учет в налоговом органе;
3) недопуска должностных лиц налогового органа к налоговой проверке и обследованию объектов налогообложения и (или) объектов, связанных с налогообложением, кроме случаев нарушения ими установленного настоящим Кодексом порядка проведения налоговой проверки;
4) неисполнения уведомления о расхождениях, выявленных по результатам камерального контроля;
5) неисполнения уведомления о подтверждении дебиторской задолженности;
6) неисполнения уведомления о подтверждении фактического совершения оборота по реализации товаров, выполнению работ и оказанию услуг.
3. Приостановление расходных операций по кассе налогоплательщика (налогового агента) производится при непогашении налогоплательщиком (налоговым агентом) налоговой задолженности в сумме, превышающей предельный размер налоговой задолженности.
4. Приостановление расходных операций распространяется на все расходные операции налогоплательщика (налогового агента), если иное не установлено частью второй настоящего пункта.
Приостановление расходных операций не распространяется на:
1) операции по уплате и сдаче наличных денег в банковские организации для последующего их перечисления в счет уплаты:
налогов и платежей в бюджет, предусмотренных настоящим Кодексом;
таможенных платежей, предусмотренных законодательством Республики Казахстан;
социальных платежей;
пеней, начисленных за их несвоевременную уплату;
штрафов, подлежащих внесению в бюджет;
2) изъятие денег по исполнительным документам о возмещении вреда, причиненного жизни и здоровью, взыскании алиментов, заработной платы, пенсий, пособий, выплате выходных пособий и оплате труда с лицами, работающими по трудовому договору, выплате вознаграждения по авторскому договору, перечислении социальных платежей, взыскании в доход государства, а также по погашению налоговой задолженности, задолженности по социальным платежам;
3) операций по выдаче банковской организацией наличных денег клиентов, когда распоряжение о приостановлении операций по кассе вынесено в отношении банковской организации.
5. Распоряжение о приостановлении расходных операций:
1) по банковским счетам вступает в силу со дня получения банковской организацией и подлежит безусловному исполнению;
2) по кассе подлежит безусловному исполнению налогоплательщиком (налоговым агентом) путем перечисления в бюджет поступающих наличных денег не позднее одного рабочего дня, следующего за днем их поступления.
6. Форма распоряжения о приостановлении расходных операций по банковским счетам устанавливается уполномоченным органом по согласованию с Национальным Банком.
7. Распоряжение о приостановлении расходных операций отменяется налоговым органом, вынесшим такое распоряжение, не позднее одного рабочего дня, следующего за днем устранения причин приостановления расходных операций.
Статья 87. Ограничение в распоряжении имуществом налогоплательщика (налогового агента)
1. Ограничение в распоряжении имуществом налогоплательщика (налогового агента) производится налоговым органом в случаях:
1) непогашения налогоплательщиком (налоговым агентом) налоговой задолженности в сумме, превышающей предельный размер налоговой задолженности, - в пределах суммы налоговой задолженности;
2) обжалования налогоплательщиком (налоговым агентом), за исключением участника горизонтального мониторинга, уведомления о результатах налоговой проверки - в пределах обжалуемой суммы, отраженной в уведомлениях о результатах налоговой проверки.
Опись ограниченного в распоряжении имущества производится в присутствии налогоплательщика (налогового агента).
В случае отсутствия налогоплательщика (налогового агента) по месту нахождения, указанному в регистрационных данных, подтвержденного актом налогового обследования, опись ограниченного в распоряжении имущества производится без участия налогоплательщика (налогового агента).
2. Не подлежат ограничению в распоряжении:
объекты жизнеобеспечения;
электрическая, тепловая и иные виды энергии;
продукты питания или сырье, срок хранения и (или) годности которых не превышает одного года.
3. Ограниченное в распоряжении имущество налогоплательщика (налогового агента), переданное (полученное) в финансовый лизинг либо предоставленное в залог до прекращения действия договора лизинга и (или) залога, не подлежит изъятию.
Единственное жилище подлежит изъятию только на основании вступившего в законную силу судебного акта.
4. Налогоплательщику (налоговому агенту) запрещается изменение условий договора (продление срока действия договора, сублизинг и (или) перезалог) со дня ограничения налоговым органом распоряжения имуществом и до его отмены.
5. Налоговый орган отменяет ограничение в распоряжении имуществом в случаях:
1) погашения налогоплательщиком (налоговым агентом) сумм налоговой задолженности путем уплаты;
2) отмены уведомления о результатах налоговой проверки решением уполномоченного органа или вступившим в законную силу судебным актом полностью;
3) обращения регистрирующего органа для государственной регистрации имущества, обращенного (поступившего) в собственность государства;
4) принятия решения уполномоченным органом по управлению государственным имуществом о приеме в государственную собственность.
6. Решение об ограничении в распоряжении имуществом налогоплательщика (налогового агента), акт описи ограниченного в распоряжении имущества, решение об отмене ограничения в распоряжении имуществом направляются в регистрирующий орган и представляются налогоплательщику (налоговому агенту).
Статья 88. Приостановление выписки электронных счетов-фактур
1. Приостановление выписки электронных счетов-фактур производится налоговым органом в течение одного рабочего дня, следующего за днем:
1) неисполнения или вынесения решения налоговым органом о признании неисполненным уведомления о подтверждении фактического совершения оборота по реализации товаров, выполнению работ и оказанию услуг;
2) неисполнения уведомления о подтверждении места нахождения налогоплательщика (налогового агента);
3) истечения срока представления налоговой отчетности по налогу на добавленную стоимость плательщиком налога на добавленную стоимость, самостоятельно не представлявшим такую налоговую отчетность в течение шести предыдущих месяцев;
4) приостановления плательщиком налога на добавленную стоимость представления налоговой отчетности по такому налогу до даты возобновления представления такой налоговой отчетности;
5) вступления в законную силу судебного акта о признании недействительной регистрации индивидуального предпринимателя или юридического лица;
6) вступления в законную силу судебного акта о признании недействительной перерегистрации юридического лица;
7) вступления в законную силу судебного акта о признании физического лица, являющегося первым руководителем юридического лица или индивидуальным предпринимателем, недееспособным или ограниченно дееспособным;
8) вступления в законную силу судебного акта о признании физического лица, являющегося первым руководителем юридического лица или индивидуальным предпринимателем, безвестно отсутствующим;
9) поступления сведений с реестра номеров о смерти или признания физического лица, являющегося первым руководителем юридического лица или индивидуальным предпринимателем, умершим;
10) вступления в законную силу судебного акта, которым физическое лицо, являющееся первым руководителем или единственным учредителем (участником) юридического лица или индивидуальным предпринимателем, признано виновным в совершении уголовного правонарушения по деятельности данного юридического лица или индивидуального предпринимателя по статьям 216,238 или 245 Уголовного кодекса Республики Казахстан;
11) вынесения постановления о розыске физического лица, являющегося первым руководителем юридического лица или индивидуальным предпринимателем;
12) поступления сведений о том, что цель пребывания не связана с осуществлением трудовой деятельности в Республике Казахстан либо разрешенный срок пребывания на территории Республики Казахстан физического лица - иностранца или лица без гражданства, являющегося первым руководителем или единственным учредителем (участником) юридического лица или индивидуальным предпринимателем, истек;
13) включения индивидуального предпринимателя в реестр бездействующих налогоплательщиков;
14) включения в реестр бездействующих налогоплательщиков налогоплательщика, первым руководителем или единственным учредителем (участником) которого является первый руководитель или единственный учредитель (участник) юридического лица - плательщика налога на добавленную стоимость;
15) неисполнения налогоплательщиком уведомления о предполагаемых расхождениях по результатам камерального контроля.
2. Приостановление выписки электронных счетов-фактур отменяется налоговым органом в течение одного рабочего дня, следующего за днем:
1) устранения причин такого приостановления в случаях, указанных в подпунктах 1) - 4) и 12) - 14) пункта 1 настоящей статьи;
2) прекращения соответствия условиям, предусмотренным подпунктами 7) - 12) пункта 1 настоящей статьи.
3. Решения о приостановлении и отмене приостановления выписки электронных счетов-фактур принимаются налоговым органом в информационной системе электронных счетов-фактур в течение одного рабочего дня, следующего за днем возникновения основания для принятия.
Решения о приостановлении и отмене приостановления выписки электронных счетов-фактур представляются налогоплательщику в течение одного рабочего дня, следующего за днем принятия.
4. Сведения о налогоплательщиках, которым приостановлена выписка электронных счетов-фактур, размещаются на интернет-ресурсе уполномоченного органа в течение одного рабочего дня, следующего за днем вынесения решения о приостановлении выписки электронных счетов-фактур.
Данные сведения подлежат исключению с интернет-ресурса уполномоченного органа в течение одного рабочего дня с даты отмены решения о приостановлении выписки электронных счетов-фактур.
Статья 89. Ограничение доступа к интернет-ресурсам и (или) интернет-площадке
1. Ограничение доступа к интернет-ресурсам и (или) интернет-площадке производится на основании решения налогового органа об ограничении доступа к интернет-ресурсам и (или) интернет-площадке.
2. Решение об ограничении доступа к интернет-ресурсам и (или) интернет-площадке выносится налоговым органом в случаях неисполнения иностранной компанией, осуществляющей деятельность посредством интернет-площадки на территории Республики Казахстан:
1) уведомления о постановке на регистрационный учет в налоговом органе в течение одного рабочего дня, следующего за днем истечения срока исполнения указанного уведомления;
2) уведомления о расхождениях, выявленных по результатам камерального контроля, в течение одного рабочего дня, следующего за днем истечения срока исполнения указанного уведомления.
3. Налоговый орган представляет решение об ограничении доступа к интернет-ресурсам и (или) интернет-площадке в уполномоченный орган в области масс-медиа в течение трех рабочих дней, следующих за днем вынесения такого решения.
4. Уполномоченный орган в области масс-медиа в течение трех рабочих дней, следующих за днем поступления решения об ограничении доступа к интернет-ресурсам и (или) интернет-площадке, принимает меры по ограничению такого доступа.
5. Ограничение доступа к интернет-ресурсам и (или) интернет-площадке отменяется при устранении иностранной компанией, осуществляющей деятельность посредством интернет-площадки на территории Республики Казахстан, причин, послуживших основанием для такого ограничения.
6. Налоговый орган:
1) выносит решение о снятии ограничения доступа к интернет-ресурсам и (или) интернет-площадке в течение одного рабочего дня, следующего за днем устранения причин такого ограничения;
2) представляет решение о снятии ограничения доступа к интернет-ресурсам и (или) интернет-площадке в уполномоченный орган в области масс-медиа в течение трех рабочих дней, следующих за днем вынесения такого решения.
7. Уполномоченный орган в области масс-медиа в течение трех рабочих дней, следующих за днем поступления решения о снятии ограничения доступа к интернет-ресурсам и (или) интернет-площадке, принимает меры по снятию такого ограничения.
РАЗДЕЛ 3. НАЛОГОВОЕ АДМИНИСТРИРОВАНИЕ
Глава 6. НАЛОГОВОЕ АДМИНИСТРИРОВАНИЕ
Статья 90. Понятие и виды налогового администрирования
1. Налоговое администрирование - комплекс мероприятий налогового органа и иных уполномоченных государственных органов, направленных на обеспечение соблюдения налогового законодательства Республики Казахстан и иного законодательства Республики Казахстан, контроль за соблюдением которого возложен на налоговые органы, и на создание условий для уплаты налогов и платежей в бюджет.
Налоговое администрирование осуществляется в том числе с применением системы управления налоговыми рисками.
2. Налоговое администрирование основывается на принципах создания сервисных процедур и применения предупредительных мер по минимизации налогового риска до применения контрольных мер по минимизации налогового риска и принудительного взыскания налоговой задолженности.
В целях настоящего Кодекса под сервисными процедурами понимается извещение и (или) уведомление налогоплательщика (налогового агента), в том числе посредством объектов информатизации, о наступлении сроков представления налоговых форм, уплаты налогов и платежей в бюджет, постановки на регистрационный учет и (или) необходимости исполнения иных налоговых обязательств.
3. Налоговое администрирование включает:
1) налоговую регистрацию;
2) применение контрольно-кассовых машин;
3) прием налоговых форм;
4) учет исполнения налогового обязательства, обязанности по перечислению социальных платежей, штрафов и пеней;
5) изменение сроков исполнения налогового обязательства;
6) применение способов обеспечения;
7) камеральный контроль;
8) контроль выписки электронных счетов-фактур;
9) налоговый мониторинг;
10) налоговый контроль;
11) прочие формы контроля;
12) принудительное взыскание налоговой задолженности.
4. Таможенные органы осуществляют в пределах своей компетенции налоговый контроль, применяют способы обеспечения и меры принудительного взыскания по налогам, подлежащим уплате в связи с перемещением товаров через таможенную границу ЕАЭС, в соответствии с настоящим Кодексом, таможенным законодательством ЕАЭС и (или) таможенным законодательством Республики Казахстан.
Статья 91. Особенности налогового администрирования в период введения чрезвычайного положения и чрезвычайной ситуации
1. В период введения чрезвычайного положения или объявления чрезвычайной ситуации в соответствии с законодательством Республики Казахстан налоговое администрирование осуществляется с особенностями, предусмотренными настоящей статьей.
2. Пени не начисляются в период введенного чрезвычайного положения и (или) объявленной чрезвычайной ситуации, а также в период действия отсрочки (рассрочки) по уплате налогов и (или) плат, предоставленной налогоплательщику, место нахождения которого расположено в местности, где введено чрезвычайное положение или объявлена чрезвычайная ситуация, и (или) пострадавшему в результате обстоятельств, послуживших основанием для их введения.
3. Налоговым органом отменяются распоряжения о приостановлении расходных операций в отношении налогоплательщиков, пострадавших в результате обстоятельств, послуживших основанием для введения чрезвычайного положения или объявления чрезвычайной ситуации, не позднее одного рабочего дня, следующего за днем получения от местных исполнительных органов перечня таких налогоплательщиков.
4. Приостанавливаются:
1) применение способов обеспечения, а также сроки исполнения уведомлений, предусмотренных статьями 82 и 83 настоящего Кодекса;
2) представление налоговой отчетности;
3) течение срока проведения налоговой проверки.
Приостановление действий, предусмотренных частью первой настоящего пункта, осуществляется в отношении налогоплательщика (налогового агента):
1) место нахождения которого расположено в местности, где введено чрезвычайное положение или объявлена чрезвычайная ситуация, - на период их действия;
2) пострадавшего в результате обстоятельств, послуживших основанием для введения чрезвычайного положения или объявления чрезвычайной ситуации, - на срок не более одного месяца со дня завершения периода их действия.
5. Основанием для приостановления действий, предусмотренных частью первой пункта 4 настоящей статьи, является представленный местным исполнительным органом перечень налогоплательщиков, определенных частью второй пункта 4 настоящей статьи.
Сведения о приостановлении (или) возобновлении представления налоговой отчетности, течения срока проведения налоговой проверки публикуются на интернет-ресурсе уполномоченного органа не позднее даты представления местным исполнительным органом перечня налогоплательщиков, определенных частью второй пункта 4 настоящей статьи.
6. Налоговый орган приостанавливает срок исковой давности в части начисления и (или) пересмотра исчисленной, начисленной суммы налогов и платежей в бюджет в отношении налогоплательщиков и на периоды, определенные частью второй пункта 4 настоящей статьи.
Статья 92. Пилотные проекты по совершенствованию налогового администрирования
1. В целях совершенствования налогового администрирования налоговые органы вправе осуществлять реализацию пилотного проекта, предусматривающего иной порядок налогового администрирования и исполнения налоговых обязательств налогоплательщиками, в том числе с возложением функций налогового агента.
При реализации пилотного проекта налоговый орган взаимодействует с иными уполномоченными государственными органами и организациями.
Правила реализации пилотного проекта определяются уполномоченным органом.
Правила реализации пилотного проекта должны содержать:
1) цели и задачи пилотного проекта;
2) порядок реализации пилотного проекта;
3) срок реализации пилотного проекта;
4) категории налогоплательщиков (налоговых агентов), на которых будет распространяться пилотный проект;
5) территорию (участок) распространения пилотного проекта.
Правила реализации пилотного проекта подлежат исполнению налоговыми органами, участниками пилотного проекта, уполномоченными государственными органами и организациями.
В период реализации пилотного проекта участники пилотного проекта исполняют обязательства, аналогичные налоговым обязательствам, установленным настоящим Кодексом, в порядке, определенном правилами реализации пилотного проекта.
2. Пилотный проект реализуется по итогам анализа законодательства Республики Казахстан с соответствующим обоснованием необходимости совершенствования налогового администрирования и исполнения налоговых обязательств налогоплательщиками.
Анализ подлежит опубликованию на интернет-ресурсе уполномоченного органа.
3. Решение о реализации пилотного проекта принимается при одновременном соблюдении следующих условий:
1) обоснованность, под которой понимается, что модернизация и совершенствование налогового администрирования осуществляются в целях облегчения исполнения налоговых обязательств, пресечения нелегальной экономической деятельности и схем уклонения от уплаты налогов, а также защиты прав и законных интересов добросовестных налогоплательщиков;
2) открытость, под которой понимается доступность информации о вводимом пилотном проекте, ясность мотивов его введения, с учетом ограничений, установленных налоговым законодательством Республики Казахстан в отношении налоговой тайны;
3) исполнимость, под которой понимается возможность исполнения налогоплательщиками условий вводимого пилотного проекта;
4) соразмерность и рациональность, под которыми понимается соответствие уровня воздействия пилотного проекта степени риска наступления неблагоприятных событий.
4. Дата начала пилотного проекта и категории налогоплательщиков, на которых будет распространяться пилотный проект, подлежат опубликованию в масс-медиа не менее чем за тридцать календарных дней до начала.
5. Участие налогоплательщика в пилотном проекте является добровольным в случаях, если правила реализации пилотных проектов:
1) устанавливают для налогоплательщика необходимость дополнительных расходов, связанных с реализацией такого пилотного проекта, а именно самостоятельной закупкой материально-технических средств, программного обеспечения и связанных с ними продуктов (за исключением компьютерного оборудования), дополнительным наймом работников, подтвержденным наличием трудовых договоров;
2) распространяются на налоговые обязательства, исполненные налогоплательщиком за налоговые периоды, предшествующие дате реализации пилотных проектов;
3) связаны с вопросами налоговой регистрации, приемом форм налоговой отчетности.
Добровольное участие налогоплательщика в вышеуказанных пилотных проектах и исполнение правил их реализации не освобождают такого налогоплательщика от исполнения налоговых обязательств, предусмотренных настоящим Кодексом, с учетом условия, предусмотренного частью шестой пункта 1 настоящей статьи.
К налогоплательщикам, участвующим в пилотных проектах на добровольной основе, за нарушение правил их реализации в случае, если нарушение связано с техническими и (или) методологическими ошибками в пилотируемой информационной системе уполномоченного органа и (или) ошибками налогоплательщика, допущенными при оформлении операций в рамках пилотного проекта, не применяются:
приостановление расходных операций по банковским счетам налогоплательщика;
административные взыскания и меры административно-правового воздействия, предусмотренные Кодексом Республики Казахстан об административных правонарушениях.
6. Участник пилотного проекта, включая права и обязанности, предусмотренные настоящим Кодексом:
1) вправе:
получать от налоговых органов информацию о пилотном проекте, за исключением конфиденциальной информации;
направлять запросы и получать разъяснения по вопросам, возникающим в ходе реализации пилотного проекта;
получать разъяснения по устранению нарушений по вопросам исполнения налогового обязательства, установленных в рамках реализации пилотного проекта;
самостоятельно устранять причины и условия нарушений, выявленных в рамках реализуемого пилотного проекта, по вопросам исполнения налогового обязательства;
2) обязан:
представлять на бумажных и (или) электронных носителях сведения и документы, а также письменные пояснения;
предоставлять доступ к автоматизированной системе бухгалтерского учета;
предоставлять доступ к имуществу, являющемуся объектом налогообложения и (или) объектом, связанным с налогообложением, независимо от его места нахождения, для проведения инвентаризации имущества, в том числе на соответствие сведениям, указанным в документах, в случаях, которые предусмотрены правилами реализации пилотного проекта.
7. Налоговый орган, включая права и обязанности, предусмотренные настоящим Кодексом:
1) вправе:
запрашивать и получать на бумажном носителе и (или) в форме электронного документа сведения, документы и письменные пояснения по вопросам, возникающим в ходе пилотного проекта, в случаях, предусмотренных правилами реализации пилотного проекта;
ограничить доступ к информационной системе налогового органа по основаниям и в случаях, предусмотренных правилами реализации пилотного проекта;
2) обязан:
заблаговременно публиковать в масс-медиа информацию о пилотном проекте, планируемом к реализации;
предоставлять информацию о действующих пилотных проектах;
представлять разъяснения по вопросам, возникающим в ходе реализации пилотного проекта;
представлять разъяснения по устранению нарушений по вопросам исполнения налогового обязательства в рамках реализации пилотного проекта.
8. По итогам проведения пилотного проекта налоговый орган составляет анализ, содержащий решение о внедрении (прекращении) усовершенствованного налогового администрирования и (или) исполнении налоговых обязательств налогоплательщиками, в том числе возложении функций налогового агента.
При этом пилотный проект анализируется на эффективность внедрения, в том числе с учетом:
1) уровня исполнения налоговых обязательств налогоплательщиком (налоговым агентом);
2) снижения административных и финансовых издержек для налогоплательщика (налогового агента) и налогового органа;
3) поступлений налогов и платежей в бюджет.
Анализ подлежит опубликованию в масс-медиа не позднее тридцати календарных дней после завершения пилотного проекта.
9. Налоговые органы вправе начать в течение календарного года не более пяти пилотных проектов с продолжительностью каждого пилотного проекта до трех лет.
Положение настоящего пункта не распространяется на пилотные проекты, предусматривающие добровольное участие налогоплательщиков.
Статья 93. Система управления налоговыми рисками
1. Система управления налоговыми рисками - комплекс мероприятий, проводимых налоговым органом при налоговом администрировании с целью выявления налоговых рисков, определения мер по их минимизации.
Налоговый риск - вероятность неисполнения налогового законодательства Республики Казахстан и иного законодательства Республики Казахстан, контроль за соблюдением которого возложен на налоговые органы.
2. Меры по минимизации налогового риска при налоговом администрировании подразделяются на предупредительные и контрольные.
Предупредительные меры по минимизации налогового риска осуществляются путем информирования налогоплательщиков (налоговых агентов) о наступлении сроков представления налоговых форм, уплаты налогов и платежей в бюджет, налоговой регистрации и (или) необходимости исполнения иных налоговых обязательств.
Контрольные меры по минимизации налогового риска осуществляются путем проведения камерального контроля, контроля выписки электронных счетов-фактур, налогового контроля и прочих форм контроля.
Применение мер по минимизации налогового риска к налогоплательщику (налоговому агенту) определяется в том числе с использованием автоматизированной информационной системы налогового органа.
Порядок организации управления налоговыми рисками определяется уполномоченным органом.
3. Информация, полученная при управлении налоговыми рисками, а также порядок организации управления налоговыми рисками являются конфиденциальной информацией, доступ к которой ограничен законодательством Республики Казахстан.
Должностные лица налоговых органов используют полученную информацию исключительно для выполнения задач и функций, возложенных на налоговый орган, и не вправе распространять ее как в период исполнения ими своих обязанностей, так и после завершения их выполнения.
Предоставление указанной информации иным лицам, в том числе налогоплательщикам, запрещается.
Глава 7. НАЛОГОВАЯ РЕГИСТРАЦИЯ
Статья 94. Общие положения по налоговой регистрации
1. Налоговая регистрация налогоплательщиков, за исключением иностранных компаний, осуществляющих деятельность посредством интернет-площадки на территории Республики Казахстан, осуществляется путем формирования базы налогоплательщиков.
Иностранные компании, осуществляющие деятельность посредством интернет-площадки на территории Республики Казахстан, подлежат условной постановке на регистрационный учет плательщика налога на добавленную стоимость, осуществляемой в соответствии со статьей 102 настоящего Кодекса.
2. Формирование базы налогоплательщиков заключается:
1) в регистрации физического лица в том числе иностранца или лица без гражданства, юридического лица - резидента, а также структурного подразделения такого лица, структурного подразделения юридического лица - нерезидента;
2) в регистрационном учете:
юридического лица - нерезидента, дипломатического представительства (далее для целей настоящей главы - юридическое лицо - нерезидент);
индивидуального предпринимателя;
лица, занимающегося частной практикой;
плательщика налога на добавленную стоимость, за исключением подлежащего условной постановке на регистрационный учет;
налогоплательщика, осуществляющего отдельные виды деятельности.
3. База налогоплательщиков формируется путем включения и исключения сведений о налогоплательщиках, внесения изменений и (или) дополнений в такие сведения, а также постановки на регистрационный учет и снятия с такого учета.
Действия, указанные в части первой настоящего пункта, производятся налоговым органом на основании сведений реестров номеров уполномоченных государственных органов, банков-резидентов, а также налогового заявления или уведомления налогоплательщика, предусмотренного законодательством Республики Казахстан о разрешениях и уведомлениях.
4. Снятие налоговым органом с регистрационного учета, если иное не установлено настоящей главой, производится по следующим основаниям:
1) смерти или объявления умершим физического лица;
2) выезда физического лица из Республики Казахстан на постоянное место жительства и прекращения гражданства при условии отсутствия неисполненных налоговых обязательств либо объектов налогообложения и (или) объектов, связанных с налогообложением, находящихся на территории Республики Казахстан;
3) прекращения иностранцем или лицом без гражданства деятельности в Республике Казахстан;
4) исключения юридических лиц - резидентов, их структурных подразделений из реестра номеров или снятия с учетной регистрации структурных подразделений юридических лиц - нерезидентов;
5) изменения места эффективного управления (места нахождения фактического органа управления) в Республике Казахстан юридического лица, созданного в соответствии с законодательством иностранного государства.
5. Налоговый орган снимает налогоплательщика, осуществляющего отдельные виды деятельности, на основании решения налогового органа в случаях, предусмотренных настоящим Кодексом.
Информация о налогоплательщике, осуществляющем отдельные виды деятельности, снятом с регистрационного учета по решению налогового органа, подлежит размещению на интернет-ресурсе уполномоченного органа в течение одного рабочего дня, следующего за днем принятия решения.
6. Налоговый орган проверяет соблюдение требований настоящей главы путем проведения мониторинга.
7. Порядок налоговой регистрации налогоплательщиков определяется уполномоченным органом.
Параграф 1. Особенности регистрационного учета юридического лица - нерезидента
Статья 95. Особенности постановки на регистрационный учет и изменения регистрационных сведений юридического лица - нерезидента
1. Регистрационный учет юридического лица - нерезидента, за исключением иностранных компаний, осуществляющих деятельность посредством интернет-площадки на территории Республики Казахстан, производится налоговым органом на основании налогового заявления юридического лица - нерезидента, сведений уполномоченных государственных органов, местных исполнительных органов или банков-резидентов.
2. Обязанность по постановке на регистрационный учет на основании налогового заявления возникает у следующих юридических лиц - нерезидентов:
1) юридического лица - нерезидента, осуществляющего деятельность через постоянное учреждение без открытия структурного подразделения,- в течение тридцати календарных дней с даты начала осуществления деятельности в Республике Казахстан через постоянное учреждение;
2) юридического лица - нерезидента, место эффективного управления (место нахождения фактического органа управления) которого находится в Республике Казахстан, - в течение тридцати календарных дней со дня принятия решения о признании местом эффективного управления (местом нахождения фактического органа управления) Республику Казахстан;
3) юридического лица - нерезидента, являющегося налоговым агентом, на которого возлагаются обязанность и ответственность по исчислению, удержанию и перечислению подоходного налога у источника выплаты в бюджет, и приобретающего (реализующего) имущество в Республике Казахстан, - до приобретения (реализации) имущества;
4) страховой организации (страхового брокера) или зависимого агента, деятельность которых в соответствии с настоящим Кодексом рассматривается как постоянное учреждение нерезидента, за исключением деятельности, осуществляемой через работников или другой персонал, нанятый нерезидентом для таких целей, в период более ста восьмидесяти трех календарных дней в пределах любого последовательного двенадцатимесячного периода с даты начала осуществления предпринимательской деятельности в рамках одного проекта или связанных проектов, - в течение тридцати календарных дней с даты начала осуществления определенной в соответствии с пунктом 2 статьи 231 настоящего Кодекса деятельности;
5) юридического лица - нерезидента - участника договора о совместной деятельности, заключенного с резидентом, деятельность которого приводит к образованию постоянного учреждения, - в течение тридцати календарных дней с даты начала осуществления деятельности, определенной в соответствии с пунктом 2 статьи 231 настоящего Кодекса;
6) юридического лица - нерезидента, открывающего текущий счет в банках-резидентах, - до открытия текущего счета в банках-резидентах;
7) юридического лица-нерезидента, являющегося налоговым агентом, выплачивающим доход, на которого возложена обязанность и ответственность по исчислению, удержанию и перечислению подоходного налога у источника выплаты в бюджет, или получающего доход в виде прироста стоимости, указанного в пункте 1 настоящей статьи, от лица, не являющегося налоговым агентом и приобретающего (реализующего) акции, доли участия, указанные в подпунктах 3), 4) и 5) пункта 1 статьи 687 настоящего Кодекса, - до приобретения акций, долей участия, указанных в подпунктах 3), 4) и 5) пункта 1 статьи 687 настоящего Кодекса;
8) юридического лица - нерезидента, приобретающего ценные бумаги, доли участия, в случае невыполнения условий, установленных подпунктом 9) статьи 681 настоящего Кодекса;
9) дипломатического представительства.
В случае, предусмотренном подпунктом 7) части первой настоящего пункта, регистрационный учет также производится на основании сведений уполномоченных государственных и местных исполнительных органов, осуществляющих государственное регулирование в пределах компетенции в сфере недропользования в соответствии с законодательством Республики Казахстан о недрах и недропользовании, о приобретении юридическим лицом - нерезидентом акций, долей участия, указанных в подпунктах 3), 4) и 5) пункта 1 статьи 687 настоящего Кодекса.
При регистрационном учете юридического лица - нерезидента, за исключением регистрационного учета в целях открытия текущего счета в банке-резиденте, налоговым органом выдается регистрационное свидетельство.
3. Изменения и (или) дополнения вносятся в регистрационные сведения юридического лица - нерезидента:
1) структурного подразделения юридического лица - нерезидента - на основании:
сведений реестра номеров;
налогового заявления о постановке на регистрационный учет в качестве юридического лица, созданного в соответствии с законодательством иностранного государства, место эффективного управления (место нахождения фактического органа управления) которого находится в Республике Казахстан;
2) юридического лица - нерезидента, осуществляющего деятельность в Республике Казахстан через постоянное учреждение без открытия структурного подразделения, - на основании налогового заявления о постановке на регистрационный учет такого юридического лица;
3) юридического лица - нерезидента, являющегося налоговым агентом, на которого возлагаются обязанность и ответственность по исчислению, удержанию и перечислению подоходного налога у источника выплаты в бюджет, при изменении места нахождения лица, обладающего правом недропользования в Республике Казахстан, указанного в подпунктах 3), 4) и 5) пункта 1 статьи 687 настоящего Кодекса, - на основании:
налогового заявления о постановке на регистрационный учет такого юридического лица;
сведений уполномоченных государственных и местных исполнительных органов, осуществляющих государственное регулирование в пределах компетенции в сфере недропользования в соответствии с законодательством Республики Казахстан о недрах и недропользовании, о приобретении юридическим лицом - нерезидентом акций, долей участия, указанных в подпунктах 3), 4) и 5) пункта 1 статьи 687 настоящего Кодекса;
4) юридического лица - нерезидента, приобретающего ценные бумаги, доли участия, - на основании сведений реестра номеров о таком резиденте;
5) дипломатического представительства - на основании налогового заявления таких лиц;
6) юридического лица - нерезидента, осуществляющего деятельность через зависимого агента, который рассматривается как постоянное учреждение юридического лица - нерезидента в соответствии с подпунктом 3) пункта 1 статьи 226 настоящего Кодекса, - на основании налогового заявления такого юридического лица - нерезидента, осуществляющего деятельность через зависимого агента;
7) юридического лица - нерезидента, имеющего текущий счет в банке-резиденте, - на основании уведомления банка-резидента.
4. Юридическое лицо - нерезидент при представлении в налоговый орган налогового заявления в целях постановки на регистрационный учет или снятия с такого учета одновременно представляет документы, предусмотренные порядком осуществления налоговой регистрации.
Копии документов, представляемые в целях, указанных в части первой настоящего пункта, должны быть нотариально засвидетельствованными.
Статья 96. Особенности снятия юридического лица - нерезидента с регистрационного учета
1. Налоговые органы снимают юридическое лицо - нерезидента с регистрационного учета по налоговому заявлению в случаях:
1) прекращения нерезидентом деятельности через постоянное учреждение;
2) прекращения прав на имущество, акции и (или) доли участия нерезидента в случае, если такой нерезидент не имеет иного объекта налогообложения в Республике Казахстан;
3) прекращения деятельности нерезидента через зависимого агента в Республике Казахстан, который рассматривается как постоянное учреждение такого нерезидента;
4) прекращения деятельности дипломатического представительства;
5) закрытия счета такому юридическому лицу - нерезиденту, зарегистрированному в качестве налогоплательщика в целях открытия текущего счета в банке-резиденте при условии отсутствия у такого нерезидента текущего счета в банках-резидентах, а также отсутствия сведений об открытии текущего счета в течение шести месяцев со дня получения уведомления банка-резидента.
2. Налоговый орган снимает с регистрационного учета юридическое лицо - нерезидента на основании налогового заявления, за исключением:
1) дипломатического представительства - на основании сведений уполномоченного государственного органа в области внешнеполитической деятельности о прекращении деятельности таких лиц;
2) юридического лица - нерезидента, осуществляющего деятельность через зависимого агента, который рассматривается как постоянное учреждение юридического лица - нерезидента в соответствии с подпунктом 3) пункта 1 статьи 226 настоящего Кодекса, - на основании налогового заявления зависимого агента;
3) юридического лица - нерезидента, имеющего текущий счет в банке - резиденте, - на основании уведомления банка - резидента о закрытии текущего счета нерезиденту.
Параграф 2. Особенности регистрационного учета индивидуального предпринимателя и лица, занимающегося частной практикой
Статья 97. Особенности постановки на регистрационный учет и изменения регистрационных сведений индивидуального предпринимателя и лица, занимающегося частной практикой
1. Постановка на регистрационный учет индивидуального предпринимателя и лица, занимающегося частной практикой, осуществляется на основании уведомления о начале деятельности.
2. Физическое лицо, которому законами Республики Казахстан запрещено осуществлять индивидуальное предпринимательство, не подлежит постановке на регистрационный учет индивидуального предпринимателя.
3. Изменение регистрационных сведений производится налоговым органом на основании уведомления о начале деятельности индивидуального предпринимателя или лица, занимающегося частной практикой, представленного не позднее десяти рабочих дней со дня изменения регистрационных данных, в том числе данных об участниках (членах) совместного предпринимательства.
Статья 98. Особенности снятия с регистрационного учета индивидуального предпринимателя и лица, занимающегося частной практикой
1. Снятие физического лица с регистрационного учета индивидуального предпринимателя или лица, занимающегося частной практикой, производится налоговым органом в порядке, определенном параграфом 3 главы 5 настоящего Кодекса и (или) в соответствии с Предпринимательским кодексом Республики Казахстан.
Снятие с регистрационного учета, указанного в части первой настоящего пункта, производится налоговым органом при условии отсутствия неисполненных налоговых обязательств, за исключением случаев, предусмотренных Предпринимательским кодексом Республики Казахстан.
2. Физическое лицо вправе получать в налоговом органе на бумажном носителе или посредством объектов информатизации налогового органа подтверждение о снятии (отказе в снятии) его с регистрационного учета индивидуального предпринимателя или лица, занимающегося частной практикой.
Параграф 3. Регистрационный учет плательщика налога на добавленную стоимость
Статья 99. Общие положения по постановке на регистрационный учет плательщика налога на добавленную стоимость
1. Постановка на регистрационный учет плательщика налога на добавленную стоимость (далее в целях настоящего параграфа - налог) осуществляется в виде:
1) добровольной постановки на регистрационный учет плательщика налога;
2) обязательной постановки на регистрационный учет плательщика налога;
3) условной постановки на регистрационный учет плательщика налога.
2. Обязательная и добровольная постановка на регистрационный учет плательщика налога осуществляется в базе налогоплательщиков.
3. Постановке на регистрационный учет плательщика налога не подлежат:
1) государственное учреждение;
2) структурное подразделение юридического лица - резидента;
3) лицо, занимающееся частной практикой;
4) налогоплательщик, применяющий специальный налоговый режим;
5) физическое лицо.
4. Для целей постановки на регистрационный учет плательщика налога:
1) оборот определяется как сумма оборотов, указанных в подпунктах 1) и 2) пункта 1 статьи 449 настоящего Кодекса, с нарастающим итогом с даты, установленной статьей 101 настоящего Кодекса;
2) предельный порог оборота - оборот, равный 10 000-кратному размеру месячного расчетного показателя, действующего на 1 января соответствующего финансового года.
5. Постановка на регистрационный учет плательщика налога осуществляется на основании налогового заявления, представленного в налоговый орган по месту нахождения налогоплательщика, с даты представления такого заявления.
6. После постановки на регистрационный учет плательщика налога руководитель и (или) лицо, ответственное за расчеты с бюджетом, обязаны пройти в налоговых органах ознакомление с информационной системой электронных счетов-фактур и порядком выписки электронных счетов-фактур.
При постановке на регистрационный учет и (или) изменении регистрационных данных юридического лица, а также смене руководителя производится биометрическая идентификация руководителя в информационной системе электронных счетов-фактур.
7. В случаях признания перерегистрации юридического лица вступившим в законную силу судебным актом недействительной по иску государственных органов указанное юридическое лицо не признается плательщиком налога в период с даты такой перерегистрации до внесения соответствующего изменения в реестр номеров.
8. Положения настоящей статьи, за исключением подпункта 3) пункта 1 настоящей статьи, не распространяются на иностранную компанию, осуществляющую деятельность посредством интернет-площадки на территории Республики Казахстан (далее в целях настоящего параграфа - иностранная компания), подлежащую условной постановке на регистрационный учет.
Условная постановка на регистрационный учет плательщика налога иностранной компании осуществляется в соответствии со статьей 102 настоящего Кодекса.
Статья 100. Добровольная постановка на регистрационный учет плательщика налога
Налогоплательщики, не указанные в пункте 3 статьи 99 и статье 102 настоящего Кодекса, имеют право на добровольную постановку на регистрационный учет плательщика налога до достижения предельного порога оборота.
Статья 101. Обязательная постановка на регистрационный учет плательщика налога
1. Обязательной постановке на регистрационный учет плательщика налога подлежат налогоплательщики, оборот которых превышает предельный порог оборота в течение календарного года, а также в случаях, предусмотренных настоящей статьей.
2. Оборот определяется:
1) с даты государственной (учетной) регистрации в регистрирующем органе - вновь созданным юридическим лицом - резидентом, структурным подразделением, через который нерезидент осуществляет деятельность в Республике Казахстан;
2) с даты постановки на регистрационный учет индивидуального предпринимателя - физическим лицом, вновь вставшим в налоговых органах на регистрационный учет индивидуального предпринимателя;
3) с даты перехода на общеустановленный порядок налогообложения - налогоплательщиком, применявшим специальный налоговый режим;
4) с 1 января текущего календарного года - иным налогоплательщиком.
3. Налоговое заявление подается при превышении предельного порога оборота, но не позднее пяти рабочих дней со дня превышения предельного порога оборота.
4. В случае совершения сделки, превышающей предельный порог оборота, налогоплательщик подает налоговое заявление до совершения оборота по такой сделке.
5. Доверительный управляющий подает налоговое заявление:
1) в случае, если учредитель по договору доверительного управления (либо выгодоприобретатель в иных случаях возникновения доверительного управления) является плательщиком налога, - в явочном порядке не позднее пяти рабочих дней с даты заключения такого договора (иного документа);
2) в иных случаях обязательная постановка такого учредителя или выгодоприобретателя, а также доверительного управляющего осуществляется в соответствии с положениями настоящей статьи.
6. Оборот, превышающий предельный порог оборота и совершенный в период до даты постановки на регистрационный учет плательщика налога, признается облагаемым оборотом за период непостановки на учет для привлечения к ответственности, установленной законами Республики Казахстан.
Статья 102. Условная постановка на регистрационный учет плательщика налога
1. Условная постановка на регистрационный учет плательщика налога осуществляется в порядке, определенном уполномоченным органом (далее - порядок осуществления условной постановки), путем формирования реестра иностранных компаний - плательщиков налога.
В реестр иностранных компаний - плательщиков налога налоговым органом включаются данные об иностранной компании согласно перечню, определенному порядком осуществления условной постановки.
Сведения об иностранных компаниях - плательщиках налога, включенных в реестр иностранных компаний - плательщиков налога, размещаются на интернет-ресурсе уполномоченного органа в соответствии с порядком осуществления условной постановки.
2. Иностранная компания для условной постановки на регистрационный учет плательщика налога представляет в налоговый орган письмо-подтверждение о постановке на регистрационный учет плательщика налога (далее - письмо-подтверждение) с указанием данных, подлежащих включению в реестр иностранных компаний - плательщиков налога.
3. Письмо-подтверждение представляется иностранной компанией в налоговый орган не позднее одного месяца с даты осуществления первого платежа покупателем товара и (или) услуг.
Иностранная компания обязана уведомить налоговый орган об изменении и (или) дополнении данных, подлежащих включению в реестр иностранных компаний - плательщиков налога, не позднее десяти рабочих дней, следующих за днем внесения изменений и (или) дополнений данных.
4. Иностранная компания признается плательщиком налога с даты осуществления первого платежа покупателем товара и (или) услуг.
Статья 103. Снятие с регистрационного учета плательщика налога
1. Плательщик налога снимается с регистрационного учета плательщика налога при:
1) переходе с общеустановленного порядка налогообложения на специальный налоговый режим;
2) прекращении деятельности или ликвидации плательщика налога.
При переходе с общеустановленного порядка налогообложения на специальный налоговый режим налогоплательщик одновременно с уведомлением о применяемом режиме налогообложения, предусмотренным законодательством Республики Казахстан о разрешениях и уведомлениях, представляет в налоговый орган ликвидационную налоговую отчетность по налогу.
2. Снятие с регистрационного учета плательщика налога производится в случае:
1) прекращения деятельности или ликвидации плательщика налога, за исключением прекращения деятельности или ликвидации по причине банкротства, - с даты представления заявления (налогового заявления) о прекращении деятельности в соответствующий регистрирующий орган;
2) прекращения деятельности или ликвидации плательщика налога по причине банкротства - с даты снятия с регистрационного учета индивидуального предпринимателя или исключения юридического лица из реестров номеров;
3) прекращения деятельности или ликвидации плательщика налога по причине признания вступившим в законную силу судебным актом регистрации индивидуального предпринимателя или юридического лица недействительной - с даты постановки на регистрационный учет плательщика налога;
4) реорганизации юридических лиц путем слияния, присоединения - с даты представления ликвидационной налоговой отчетности и передаточного акта;
5) реорганизации юридического лица путем разделения - с даты представления ликвидационной налоговой отчетности и разделительного акта;
6) смерти физического лица, состоявшего на регистрационном учете индивидуального предпринимателя, - с даты исключения из базы налогоплательщиков;
7) перехода с общеустановленного порядка налогообложения на специальный налоговый режим - с даты начала применения специального налогового режима.
3. Положения настоящей статьи не распространяются на плательщиков налога, подлежащих условной постановке на регистрационный учет плательщика налога.
Параграф 4. Регистрационный учет налогоплательщика, осуществляющего отдельные виды деятельности
Статья 104. Постановка на регистрационный учет налогоплательщика, осуществляющего отдельные виды деятельности
1. Постановке на регистрационный учет налогоплательщика, осуществляющего отдельные виды деятельности, подлежат налогоплательщики, осуществляющие следующие виды деятельности:
1) производство бензина (кроме авиационного), дизельного топлива, газохола, бензанола, нефраса, смеси легких углеводородов, экологического топлива;
2) оптовая и (или) розничная реализация бензина (кроме авиационного), дизельного топлива, газохола, бензанола, нефраса, смеси легких углеводородов, экологического топлива;
3) производство этилового спирта и (или) алкогольной продукции;
4) оптовая и (или) розничная реализация алкогольной продукции;
5) производство и (или) оптовая реализация табачных изделий;
6) игорный бизнес;
7) производство, сборка (комплектация) подакцизных товаров, предусмотренных подпунктом 6) части первой статьи 536 настоящего Кодекса, за исключением импорта подакцизных товаров, по которым произведена уплата в соответствии с таможенным законодательством Республики Казахстан, также при наличии соглашения о промышленной сборке;
8) электронная торговля товарами.
2. Постановка на регистрационный учет налогоплательщика, осуществляющего отдельные виды деятельности, производится в налоговых органах по месту нахождения объектов налогообложения и (или) объектов, связанных с налогообложением, используемых при осуществлении отдельных видов деятельности.
Для целей подпунктов 1) - 5) пункта 1 настоящей статьи под объектами, связанными с налогообложением, понимаются производственный объект производителя нефтепродуктов, база нефтепродуктов, резервуар, заправочная станция, объемы нефти и (или) газового конденсата и выхода нефтепродуктов, указанные в договоре переработки нефти и (или) газового конденсата или приложении (спецификации) к договору с производителем нефтепродуктов (для поставщиков нефти), стационарное и (или) складское помещения, которые используются для осуществления видов деятельности, указанных в подпунктах 1) - 5) пункта 1 настоящей статьи.
3. Постановка на регистрационный учет налогоплательщика, осуществляющего отдельные виды деятельности, подлежащие лицензированию, при условии наличия соответствующей лицензии производится на срок, не превышающий срока действия лицензии.
4. Постановка на регистрационный учет налогоплательщика, осуществляющего отдельные виды деятельности, указанные в подпунктах 1), 2) и 5) (за исключением производства табачных изделий), 6) - 8) пункта 1 настоящей статьи, производится на основании уведомления о начале или прекращении деятельности в порядке, определяемом законодательством Республики Казахстан о разрешениях и уведомлениях (далее в целях настоящего параграфа - уведомление о начале или прекращении деятельности).
5. Уведомление о начале или прекращении деятельности с документами, установленными в порядке формирования базы налогоплательщиков, определенном уполномоченным органом, представляется в налоговый орган не позднее трех рабочих дней до начала осуществления отдельного вида деятельности.
6. При наличии у налогоплательщика нескольких объектов налогообложения и объектов, связанных с налогообложением, используемых при осуществлении видов деятельности, указанных в подпунктах 1) - 5) пункта 1 настоящей статьи, регистрационный учет каждого объекта налогообложения и объекта, связанного с налогообложением, производится отдельно.
7. В случае наличия у налогоплательщика нескольких игорных заведений постановка на регистрационный учет осуществляется по каждому игорному заведению отдельно.
Запрещаются использование и нахождение на территории игорного заведения объектов налогообложения и объектов, связанных с налогообложением, не зарегистрированных в налоговых органах.
Статья 105. Снятие с регистрационного учета налогоплательщика, осуществляющего отдельные виды деятельности
1. Налогоплательщик подлежит снятию налоговым органом с регистрационного учета налогоплательщика, осуществляющего отдельные виды деятельности, не подлежащие лицензированию, на основании уведомления о начале или прекращении деятельности в случаях:
1) прекращения осуществления видов деятельности, указанных в пункте 1статьи 104 настоящего Кодекса;
2) снятия с учета всех объектов налогообложения и объектов, связанных с налогообложением, указанных в регистрационных данных.
2. Снятие налогоплательщика с регистрационного учета налогоплательщика, осуществляющего отдельные виды деятельности, подлежащие лицензированию, производится налоговым органом на основании сведений из государственного электронного реестра разрешений и уведомлений о прекращении действия лицензии.
3. Снятие налогоплательщика с регистрационного учета налогоплательщика, осуществляющего отдельные виды деятельности, производится на основании решения налогового органа в случаях:
1) прекращения действия договора налогоплательщика, осуществляющего виды деятельности, указанные в подпунктах 1), 2) и 5) пункта 1 статьи 104 настоящего Кодекса:
аренды производственного объекта производителя нефтепродуктов;
аренды базы нефтепродуктов (резервуара), автозаправочной станции;
поручения с владельцем автозаправочной станции, согласно которому владелец автозаправочной станции (поверенный) по договору поручения осуществляет розничную реализацию бензина (кроме авиационного) и (или) дизельного топлива от имени и по поручению заявителя (доверителя);
переработки нефти поставщика нефти с производителем нефтепродуктов;
аренды складского помещения при оптовой реализации табачных изделий;
2) отсутствия налогоплательщика, осуществляющего вид деятельности, указанный в подпункте 4) пункта 1 статьи 104 настоящего Кодекса, по адресу, указанному в лицензии;
3) непредставления декларации и (или) расчета по акцизу налогоплательщиком, осуществляющим виды деятельности, указанные в подпунктах 1), 2), 3), 5) и 7) пункта 1 статьи 104 настоящего Кодекса, в течение трехмесячного периода со дня, следующего за днем установленного настоящим Кодексом срока их представления.
Параграф 5. Мониторинг соблюдения требований налоговой регистрации
Статья 106. Мониторинг соблюдения требований налоговой регистрации
Мониторинг соблюдения требований налоговой регистрации - сбор и анализ сведений о деятельности налогоплательщика, имеющихся в налоговом органе, и иных сведений уполномоченных государственных органов, банковских организаций с целью контроля соблюдения требований настоящего Кодекса в части соблюдения положений о налоговой регистрации.
Статья 107. Порядок проведения мониторинга за соблюдением налоговой регистрации
1. В случае установления по итогам изучения и анализа сведений о налогоплательщике признаков нарушения требований настоящего Кодекса налогоплательщику представляется уведомление о постановке на регистрационный учет в налоговом органе (далее в целях настоящей статьи - уведомление).
При представлении уведомления иностранной компании, осуществляющей деятельность посредством интернет-площадки в Республике Казахстан, налоговый орган любым не запрещенным законами Республики Казахстан способом извещает население Республики Казахстан о последствиях неисполнения такой компанией уведомления.
2. Налогоплательщик в случае:
1) согласия с уведомлением исполняет требование о налоговой регистрации, указанное в уведомлении;
2) несогласия с уведомлением представляет пояснение с обоснованием такого несогласия (далее в целях настоящей статьи - пояснение).
3. Пояснение представляется в произвольной форме и должно содержать:
1) идентификационные данные налогоплательщика и налогового органа, направившего уведомление;
2) номер и дату уведомления;
3) обоснование несогласия с уведомлением.
Налогоплательщик вправе приложить копии документов, подтверждающих его обоснование.
При исполнении уведомления путем представления пояснения требование документов, не относящихся к нарушениям, указанным в уведомлении, не допускается.
4. Уведомление признается неисполненным в случае, если представленное пояснение не содержит обоснование и (или) обоснование не подтверждено документами.
5. Налоговый орган в течение двадцати рабочих дней, следующих за днем поступления пояснения, в случае, указанном в пункте 4 настоящей статьи, выносит решение о признании уведомления неисполненным.
Решение о признании уведомления неисполненным (далее в целях настоящей статьи - решение) представляется налогоплательщику в течение двух рабочих дней, следующих за днем вынесения такого решения.
6. По уведомлению, признанному неисполненным, проводится налоговая проверка налогоплательщика, за исключением иностранной компании, осуществляющей деятельность посредством интернет-площадки в Республике Казахстан.
7. Налоговый орган при неисполнении в срок, установленный настоящим Кодексом, уведомления:
1) налогоплательщиком, за исключением иностранной компании, осуществляющей деятельность посредством интернет-площадки в Республике Казахстан, - выносит решение о приостановлении расходных операций по банковским счетам налогоплательщика в течение одного рабочего дня, следующего за днем истечения срока исполнения уведомления;
2) иностранной компанией, осуществляющей деятельность посредством интернет-площадки в Республике Казахстан, - выносит решение об ограничении доступа к интернет-ресурсам и (или) интернет-площадке такой компании в течение одного рабочего дня, следующего за днем истечения срока исполнения уведомления.
Способы обеспечения, предусмотренные частью первой настоящего пункта, если иное не установлено указанной частью, применяются в порядке и сроки, которые установлены параграфом 4 главы 5 настоящего Кодекса.
Параграф 6. Реестр бездействующих налогоплательщиков. Прекращение деятельности налогоплательщика в принудительном порядке
Статья 108. Реестр бездействующих налогоплательщиков
1. Налоговый орган ведет реестр бездействующих налогоплательщиков.
В реестр бездействующих налогоплательщиков включается налогоплательщик, самостоятельно не представляющий налоговую отчетность в течение двенадцати месяцев после представления последней налоговой отчетности.
Положения настоящей статьи применяются в отношении юридического лица - резидента, юридического лица - нерезидента, осуществляющего деятельность в Республике Казахстан через постоянное учреждение или структурное подразделение, индивидуального предпринимателя, за исключением налогоплательщиков, приостановивших представление налоговой отчетности в соответствии с настоящим Кодексом.
2. Налоговый орган ежегодно не позднее 30 апреля выносит решение о включении налогоплательщика в реестр бездействующих налогоплательщиков.
Реестр бездействующих налогоплательщиков размещается на интернет-ресурсе уполномоченного органа не позднее даты вынесения такого решения.
3. Налогоплательщик исключается из реестра бездействующих налогоплательщиков при представлении дополнительной налоговой отчетности за налоговый период, по которой налоговая отчетность автоматически признана представленной с нулевыми показателями.
Решение налогового органа об исключении из реестра бездействующих налогоплательщиков выносится налоговым органом не позднее трех рабочих дней, следующих за днем представления дополнительной налоговой отчетности.
Обновленный реестр бездействующих налогоплательщиков размещается на интернет-ресурсе уполномоченного органа не позднее даты вынесения налоговым органом решения об исключении налогоплательщика из реестра бездействующих налогоплательщиков.
4. В случае исключения налогоплательщика из реестров номеров или снятия с регистрационного учета индивидуального предпринимателя такие налогоплательщики одновременно исключаются из реестра бездействующих налогоплательщиков.
Статья 109. Прекращение деятельности налогоплательщика в принудительном порядке
1. Прекращению деятельности в принудительном порядке подлежит налогоплательщик, включенный в реестр бездействующих налогоплательщиков и соответствующий в течение срока исковой давности одновременно следующим условиям:
1) самостоятельно не представлявший налоговую отчетность;
2) не совершавший экспортно-импортные операции;
3) не осуществлявший платежи и (или) переводы денег по банковским счетам;
4) не состоявший на регистрационном учете в качестве плательщика налога на добавленную стоимость;
5) не являющийся руководителем и (или) учредителем другого юридического лица, участником совместного предпринимательства;
6) не приостановивший представление налоговой отчетности;
7) не имеющий на праве собственности объекты обложения налогами на имущество, транспортные средства, земельным налогом, за исключением объектов обложения указанными налогами с физических лиц;
8) не имеющий задолженность по социальным платежам;
9) не имеющий задолженность по налогам и платежам в бюджет, таможенным платежам и налогам в размере более 6-кратного месячного расчетного показателя, действующего на 1 января соответствующего финансового года.
Положения части первой настоящего пункта не распространяются на налогоплательщика:
1) подлежащего налоговому мониторингу;
2) осуществляющего деятельность в соответствии с контрактом на недропользование;
3) имеющего неисполненное или исполненное путем представления пояснения уведомление об устранении нарушений по результатам камерального контроля, налоговым проверкам -при наличии таких нарушений;
4) в отношении которого применены меры (аресты, ограничения) судебными исполнителями и (или) другими уполномоченными органами;
5) является или являлся стороной валютного договора по экспорту или импорту, по которому не завершены процедуры валютного контроля для целей репатриации национальной и (или) иностранной валюты;
6) осуществлявшего платежи и (или) переводы денег по банковским счетам в течение срока исковой давности.
Срок, учтенный при включении налогоплательщика в реестр бездействующих налогоплательщиков, включается в период, рассматриваемый при принудительном прекращении деятельности.
2. Прекращение деятельности налогоплательщика в принудительном порядке производится налоговым органом на основании вступившего в законную силу судебного акта в соответствии с требованиями законов Республики Казахстан.
Налогоплательщик, деятельность которого прекращена в принудительном порядке, на основании вступившего в законную силу судебного акта снимается с регистрационного учета налогового органа в порядке налоговой регистрации.
Глава 8. ПРИМЕНЕНИЕ КОНТРОЛЬНО-КАССОВЫХ МАШИН
Статья 110. Общие положения по применению контрольно-кассовой машины
1. На территории Республики Казахстан денежные расчеты производятся с обязательным применением контрольно-кассовой машины с функцией фиксации и (или) передачи данных, модели которых включены в реестр кассовых машин, если иное не установлено настоящей статьей.
2. От применения контрольно-кассовой машины освобождены:
1) физическое лицо;
2) частный судебный исполнитель, адвокат и профессиональный медиатор;
3) лицо в части оказания услуг населению по перевозкам в общественном городском транспорте с выдачей билетов.
Форма билетов общественного городского транспорта утверждается уполномоченным государственным органом, осуществляющим реализацию государственной политики в области транспорта, по согласованию с уполномоченным органом;
4) Национальный Банк;
5) банк второго уровня;
6) религиозное объединение;
7) Национальный оператор почты, за исключением денежных расчетов, осуществляемых в местах отсутствия сети телекоммуникаций общего пользования;
8) лицо, осуществляющее расчеты посредством специального мобильного приложения.
3. Налогоплательщик, деятельность которого находится в местах отсутствия сети телекоммуникаций общего пользования, при осуществлении денежных расчетов применяет контрольно-кассовые машины без передачи данных.
4. Торговые автоматы и терминалы оплаты услуг, осуществляющие денежные расчеты при торговых операциях или оказании услуг посредством наличных денег, подлежат оснащению контрольно-кассовой машиной с функцией фиксации и (или) передачи данных.
Статья 111. Применение контрольно-кассовой машины
1. При применении контрольно-кассовой машины предъявляются следующие требования:
1) осуществляется постановка контрольно-кассовой машины на учет в налоговом органе до начала деятельности, связанной с денежными расчетами;
2) осуществляется выдача чека контрольно-кассовой машины или товарного чека на сумму, оплаченную за реализованный товар, выполненную работу, оказанную услугу;
3) обеспечивается доступ должностных лиц налоговых органов к контрольно-кассовой машине.
2. Применение контрольно-кассовой машины предусматривает:
1) включение модели контрольно-кассовой машины в реестр кассовых машин;
2) постановку контрольно-кассовой машины на учет в налоговом органе;
3) соблюдение требований к содержанию чека контрольно-кассовой машины;
4) изменение сведений в регистрационной карточке контрольно-кассовой машины;
5) снятие с учета контрольно-кассовой машины в налоговом органе;
6) прием, хранение сведений с контрольно-кассовых машин с функцией фиксации и (или) передачи данных о денежных расчетах, осуществляемых при реализации товаров, выполнении работ, оказании услуг, а также их передачу в налоговые органы.
Порядок применения контрольно-кассовой машины и перечень требований к содержанию чека контрольно-кассовой машины устанавливаются уполномоченным органом.
3. Постановке на учет в налоговых органах по месту использования подлежат технически исправные контрольно-кассовые машины.
Постановка на учет, изменение сведений регистрационной карточки контрольно-кассовой машины и снятие с учета контрольно-кассовой машины осуществляются налоговым органом по одному из следующих оснований:
1) сведения оператора фискальных данных - по контрольно-кассовой машине с функцией фиксации и (или) передачи данных;
2) налогового заявления о постановке контрольно-кассовой машины на учет в налоговом органе - по контрольно-кассовой машине без функции передачи данных.
4. Снятие контрольно-кассовой машины с учета в налоговом органе производится в случаях:
1) прекращения осуществления деятельности, связанной с денежными расчетами, производимыми при торговых операциях, выполнении работ, оказании услуг;
2) ликвидации, реорганизации и прекращения деятельности налогоплательщика;
3) невозможности дальнейшего применения в связи с технической неисправностью контрольно-кассовой машины;
4) исключения контрольно-кассовой машины из реестра кассовых машин;
5) замены технически исправной модели контрольно-кассовой машины на новую модель контрольно-кассовой машины;
6) кражи, утери контрольно-кассовой машины при наличии копии заявления о краже в органах внутренних дел и (или) копии объявления об утере, опубликованного в периодических печатных изданиях, распространяемых на всей территории Республики Казахстан.
5. Уполномоченным органом по согласованию с уполномоченным органом в сфере информатизации устанавливаются:
1) квалификационные требования, предъявляемые к потенциальному оператору фискальных данных;
2) порядок включения в перечень и исключения из перечня оператора фискальных данных;
3) перечень операторов фискальных данных.
6. Уполномоченным органом по согласованию с уполномоченным органом в сфере информатизации и Национальным Банком устанавливаются:
1) требования к трехкомпонентной интегрированной системе и ее учету;
2) порядок ее установки и применения.
Глава 9. НАЛОГОВЫЕ ФОРМЫ
Статья 112. Налоговые формы
1. Налогоплательщик (налоговый агент) в целях исполнения налоговых обязательств составляет и представляет в налоговый орган налоговые формы.
К налоговым формам относятся:
1) налоговое заявление;
2) налоговая отчетность.
В случаях и порядке, которые определены законодательством Республики Казахстан, налогоплательщик (налоговый агент) представляет в налоговый орган уведомление, предусмотренное законодательством Республики Казахстан о разрешениях и уведомлениях.
2. Налоговые формы составляются на казахском или русском языке и представляются на бумажном носителе или в форме электронного документа.
Налоговые формы заверяются печатью в случаях, установленных законодательством Республики Казахстан.
3. Налоговые формы хранятся в течение срока исковой давности.
При реорганизации налогоплательщика (налогового агента), оператора - юридического лица обязательство по хранению налоговых форм за реорганизованное лицо возлагается на его правопреемника.
Статья 113. Налоговое заявление
1. Налоговое заявление - документ налогоплательщика (налогового агента), представляемый в налоговый орган с целью реализации его прав и исполнения обязанностей в случаях, установленных настоящим Кодексом.
2. Формы налоговых заявлений утверждаются уполномоченным органом.
Статья 114. Налоговая отчетность, виды налоговой отчетности
1. Налоговая отчетность - документ налогоплательщика (налогового агента), который содержит сведения о налогоплательщике (налоговом агенте), объектах налогообложения и (или) объектах, связанных с налогообложением, об активах и обязательствах, о доходах и имуществе, а также об исчислении налоговых обязательств и социальных платежей.
2. К налоговой отчетности относятся декларации, в том числе заявление о ввозе товаров и уплате косвенных налогов, а также расчеты по видам налогов, платежей в бюджет, социальным платежам.
Декларация состоит из самой декларации и приложений, расчет - из самого расчета и приложений.
3. Если иное не предусмотрено пунктом 5 статьи 422 настоящего Кодекса, налоговая отчетность, за исключением заявления о ввозе товаров и уплате косвенных налогов, подразделяется на следующие виды:
1) первоначальная - налоговая отчетность, представляемая за налоговый период, в котором произведена налоговая регистрация налогоплательщика (налогового агента), впервые возникли налоговое обязательство по определенным видам налогов и платежей в бюджет, а также социальное обязательство;
2) очередная - налоговая отчетность, представляемая за последующие налоговые периоды после представления первоначальной налоговой отчетности;
3) дополнительная - налоговая отчетность, представляемая при внесении изменений и (или) дополнений в ранее представленную налоговую отчетность;
4) по уведомлению - налоговая отчетность, представляемая за налоговый период, по которому налоговым органом направлено решение в форме уведомления.
По уведомлению может быть представлена первоначальная или дополнительная налоговая отчетность;
5) ликвидационная - налоговая отчетность, представляемая при прекращении деятельности, ликвидации или реорганизации налогоплательщика (налогового агента), а также при снятии с регистрационного учета плательщика налога на добавленную стоимость.
4. Не требуется представление:
1) налоговой отчетности - физическими лицами, применяющими специальный налоговый режим для самозанятых;
2) налоговой отчетности, за исключением налоговой отчетности, предусматривающей отражение выплат, не являющихся доходами и (или) связанных с доходами, не подлежащими налогообложению, - при отсутствии объекта налогообложения и (или) объекта, связанного с налогообложением;
3) приложений к декларациям и (или) расчетам - при отсутствии данных, подлежащих отражению в приложениях к декларациям и (или) расчетам.
5. Запрещается представление:
1) налоговой отчетности индивидуальным предпринимателем или юридическим лицом, регистрация которого признана недействительной на основании вступившего в законную силу судебного акта;
2) дополнительной налоговой отчетности в части отражения сумм по сделкам с ликвидированным или прекратившим деятельность налогоплательщиком, приводящей к уменьшению налоговых обязательств по корпоративному подоходному налогу и (или) налогу на добавленную стоимость.
Статья 115. Основные положения по представлению налоговой отчетности
1. Представление налоговой отчетности предусматривает:
1) представление налогоплательщиком (налоговым агентом);
2) прием налоговым органом;
3) внесение изменения и дополнения налогоплательщиком (налоговым агентом);
4) приостановление, возобновление представления налогоплательщиком (налоговым агентом).
2. Налогоплательщик (налоговый агент) после налоговой регистрации указывает в веб-приложении формы налоговой отчетности, подлежащие представлению.
В случае изменения видов деятельности, предусматривающих необходимость предоставления других форм налоговой отчетности, налогоплательщик (налоговый агент) до истечения срока представления налоговой отчетности указывает в веб-приложении формы налоговой отчетности, подлежащие представлению.
Налогоплательщик (налоговый агент) вправе признать структурное подразделение юридического лица самостоятельным плательщиком налогов и платежей в бюджет, за исключением корпоративного подоходного налога и налога на добавленную стоимость.
Для признания структурного подразделения самостоятельным плательщиком налогов и платежей в бюджет налогоплательщик (налоговый агент) обязан уведомить налоговый орган в электронном виде и указать в веб-приложении формы налоговой отчетности, подлежащие представлению таким структурным подразделением.
3. Налоговая отчетность представляется налогоплательщиком (налоговым агентом) на бумажном носителе или в форме электронного документа.
Налоговая отчетность представляется в форме электронного документа посредством:
1) веб-приложения;
2) налогового мобильного приложения;
3) внешних информационных систем, подключенных к информационной системе налогового органа в соответствии с Законом Республики Казахстан «Об информатизации».
Формы налоговой отчетности с пояснением по их составлению и порядок их представления (далее - порядок представления налоговой отчетности) устанавливаются уполномоченным органом.
Сотрудники органов, осуществляющие в соответствии с Законом Республики Казахстан «Об оперативно-розыскной деятельности» оперативно-розыскную деятельность, представляют налоговую отчетность в особом порядке.
Особый порядок представления налоговой отчетности определяется уполномоченным органом совместно со специальными государственными органами, органами военной разведки Министерства обороны Республики Казахстан, правоохранительными органами.
4. Особенной частью настоящего Кодекса устанавливаются особенности составления и представления налоговой отчетности:
по специальным платежам;
по налогам недропользователей;
участниками мониторинга крупных налогоплательщиков;
при ведении раздельного налогового учета;
при применении специального налогового режима.
5. Налоговая отчетность подлежит форматно-логическому контролю полноты и корректности заполнения налоговой отчетности.
Форматно-логический контроль - автоматизированный процесс проверки данных, отраженных в налоговой отчетности, на соответствие заданным параметрам и логическим правилам составления налоговой отчетности, включая выявление ошибок, таких как неправильные форматы, пропущенные значения, суммы или несоответствия.
При этом форматно-логический контроль налоговой отчетности, представленной налогоплательщиком (налоговым агентом):
1) в электронной форме, допускающей компьютерную обработку информации, осуществляется при заполнении, приеме и (или) обработке информационной системой налогового органа;
2) на бумажном носителе, осуществляется после внесения должностным лицом налогового органа в информационную систему налогового органа в соответствии с порядком представления налоговой отчетности.
Обязательным условием признания налоговой отчетности представленной является присвоение такой налоговой отчетности по итогам форматно-логического контроля статуса «Документ принят».
В случае присвоения по итогам форматно-логического контроля налоговой отчетности, представленной в форме, предусмотренной подпунктом 2) части третьей настоящего пункта, статуса «Документ не принят», такая налоговая отчетность признается непредставленной.
6. По истечении срока представления первоначальной или очередной налоговой отчетности, установленного настоящим Кодексом, информационной системой налогового органа автоматически формируется соответствующая налоговая отчетность с нулевыми показателями за данный налоговый период (далее - автоматическая налоговая отчетность).
Положения настоящего пункта не распространяются на представление налоговой отчетности физическими лицами по деятельности, не связанной с деятельностью индивидуального предпринимателя.
Информационной системой налогового органа не принимается налоговая отчетность за тот же налоговый период по такому же виду налога, платежа в бюджет, что и сформированная автоматическая налоговая отчетность, за исключением дополнительной налоговой отчетности, а также налоговой отчетности на бумажном носителе в пределах срока ее представления, установленного настоящим Кодексом.
После внесения в информационную систему налогового органа первоначальной или очередной налоговой отчетности на бумажном носителе и присвоения статуса «Документ принят» сформированная автоматическая налоговая отчетность за данный налоговый период аннулируется.
7. Налогоплательщик обязан представить дополнительную налоговую отчетность к автоматической налоговой отчетности за налоговый период при наличии объекта налогообложения и (или) объекта, связанного с налогообложением, подлежащего отражению в такой отчетности.
8. Налоговая отчетность не подлежит приему налоговым органом в следующих случаях:
1) налоговая отчетность не соответствует форме, установленной уполномоченным органом;
2) в налоговой отчетности не указаны или неправильно указаны обязательные идентификационные данные налогоплательщика (налогового агента) и (или) налогового органа и (или) дата составления, и (или) вид налоговой отчетности;
3) налоговая отчетность не подписана и (или) в случаях, установленных законодательством Республики Казахстан, не заверена своей печатью;
4) налоговая отчетность по налогу на добавленную стоимость составлена без реестров счетов-фактур по приобретенным и (или) реализованным товарам, работам и услугам в течение налогового периода - в случае выписки бумажных счетов-фактур по причине отсутствия сети связи;
5) налоговая отчетность по индивидуальному подоходному налогу и социальному налогу составлена без отражения исчисленных налогов и социальных платежей с доходов физических лиц в разрезе каждого физического лица.
9. Налоговая отчетность, за исключением заявления о ввозе товаров и уплате косвенных налогов, не подлежит отзыву.
Отзыв заявления о ввозе товаров и уплате косвенных налогов производится в порядке, определенном статьей 532 настоящего Кодекса.
Статья 116. Основные положения, связанные с представлением дополнительной налоговой отчетности и налоговой отчетности по уведомлению
1. Изменение и (или) дополнение сведений, отраженных в ранее представленной налоговой отчетности, производится путем представления дополнительной налоговой отчетности и (или) налоговой отчетности по уведомлению.
Отражение изменений и (или) дополнений сведений, предусмотренных частью первой настоящего пункта, производится следующим образом:
1) при изменении сумм, отраженных в налоговой отчетности, в соответствующей строке налоговой отчетности указывается разница между фактической суммой и суммой, отраженной в налоговой отчетности;
2) при изменении иного, не относящегося к сумме значения, отраженного в налоговой отчетности, в соответствующей строке налоговой отчетности указывается новое значение.
При представлении дополнительной налоговой отчетности и (или) налоговой отчетности по уведомлению суммы налогов, платежей в бюджет, социальных платежей подлежат уплате без привлечения налогоплательщика (налогового агента) к ответственности, установленной законами Республики Казахстан.
2. После представления ликвидационной налоговой отчетности налогоплательщиком (налоговым агентом) допускается представление налоговой отчетности по уведомлению.
Ликвидационная налоговая отчетность, представленная налогоплательщиком (налоговым агентом) за незавершенный налоговый период, приравнивается к очередной налоговой отчетности за налоговый период в случаях:
1) изменения решения о прекращении деятельности или ликвидации, реорганизации путем разделения после завершения налоговой проверки;
2) изменения индивидуальным предпринимателем решения о прекращении деятельности до снятия с регистрационного учета;
3) отказа в снятии с регистрационного учета индивидуального предпринимателя.
3. Не допускается представление дополнительной налоговой отчетности к налоговой отчетности:
1) за проверяемый налоговый период - в период проведения (с учетом приостановления) налоговых проверок по налогам, платежам в бюджет, социальным платежам, указанным в предписании;
2) за обжалуемый налоговый период - в период срока подачи и рассмотрения жалобы налогоплательщика (налогового агента) на уведомление о результатах налоговой проверки с учетом восстановленного срока подачи жалобы по видам налогов, платежей в бюджет, социальным платежам, указанным в жалобе;
3) в которой указано требование о возврате налога на добавленную стоимость;
4) по авансовым платежам по корпоративному подоходному налогу, подлежащим уплате за второй, третий и четвертый кварталы отчетного налогового периода - не позднее последнего рабочего дня текущего налогового периода;
5) об активах и обязательствах - лицами, которые представили декларацию об активах и обязательствах в соответствии с требованиями Конституционного закона Республики Казахстан «О выборах в Республике Казахстан».
Статья 117. Основные положения, связанные с приостановлением и возобновлением представления налоговой отчетности
1. Налогоплательщик (налоговый агент) вправе:
1) приостановить представление налоговой отчетности;
2) возобновить представление налоговой отчетности до истечения срока приостановления.
Налогоплательщик в обязательном порядке возобновляет представление налоговой отчетности при возобновлении деятельности.
Общий срок приостановления представления налоговой отчетности не должен превышать срок исковой давности.
В период с даты приостановления до даты возобновления представления налоговой отчетности плательщику налога на добавленную стоимость приостанавливается выписка электронных счетов-фактур.
При наличии объектов налогообложения представление налоговой отчетности налогоплательщика (налогового агента) не приостанавливается.
2. Сведения о приостановлении (или) возобновлении представления налоговой отчетности публикуются на интернет-ресурсе уполномоченного органа не позднее даты принятия налоговым органом соответствующего решения.
Публикация на интернет-ресурсе уполномоченного органа сведений о приостановлении и (или) возобновлении представления налоговой отчетности является основанием для непредставления налоговой отчетности за период, указанный в налоговом заявлении или обращении местного исполнительного органа.
3. Отказ в приостановлении представления налоговой отчетности налогоплательщика (налогового агента) принимается в случае:
1) наличия налоговой задолженности, задолженности по социальным платежам;
2) если налогоплательщик включен в реестр бездействующих налогоплательщиков;
3) наличия неисполненных уведомлений налогового органа.
4. Налоговый орган признает представление налоговой отчетности возобновленным в случае:
1) представления налогоплательщиком (налоговым агентом) налоговой отчетности с даты представления налоговой отчетности;
2) обнаружения факта возобновления налогоплательщиком (налоговым агентом) деятельности в период приостановления или с даты возобновления деятельности.
Для целей настоящей статьи возобновлением деятельности признается начало осуществления налогоплательщиком (налоговым агентом) деятельности, приводящей к возникновению налогового обязательства по исчислению, уплате налогов, платежей в бюджет и социального обязательства.
Глава 10. УЧЕТ ИСПОЛНЕНИЯ НАЛОГОВОГО ОБЯЗАТЕЛЬСТВА, СОЦИАЛЬНОГО ОБЯЗАТЕЛЬСТВА
Статья 118. Общие положения по учету исполнения налогового обязательства, социального обязательства
1. Налоговый орган ведет лицевой счет в соответствии с настоящей главой и порядком ведения лицевого счета. Лицевой счет ведется в национальной валюте, а также в натуральной форме, когда налоговым законодательством Республики Казахстан прямо предусмотрено исполнение налогового обязательства по уплате в натуральной форме.
2. Ведение лицевого счета предусматривает:
1) учет исчисленных, начисленных, уплаченных сумм налогов и платежей в бюджет, социальных платежей, пеней и штрафов, в том числе осуществление сверки расчетов по налогам, платежам в бюджет и социальным платежам, представление сведений об отсутствии (наличии) задолженности и выписки из лицевого счета налогоплательщика о состоянии расчетов с бюджетом по всем или отдельным видам налогов, платежей в бюджет, социальных платежей, пеней, штрафов;
2) зачет излишне (ошибочно) уплаченной суммы налога, платежа в бюджет, пеней и штрафов;
3) возврат излишне (ошибочно) уплаченной суммы налога, платежа в бюджет, пеней и штрафов;
4) списание налога, платежа в бюджет, пеней и штрафов;
5) формирование сальдо расчетов;
6) действия, связанные с лицевым счетом.
3. Положения настоящей главы распространяются на штрафы, налагаемые за совершение административных правонарушений, производство по которым отнесено к компетенции налогового органа в соответствии с Кодексом Республики Казахстан об административных правонарушениях.
Статья 119. Определение исчисленных, начисленных, уплаченных сумм налога, платежа в бюджет и социального платежа
1. Исчисленной суммой налога, платежа в бюджет и социального платежа является сумма, определенная:
1) налогоплательщиком (налоговым агентом) в налоговой отчетности;
2) налоговым органом на основании сведений уполномоченных государственных органов при исчислении сумм налога на транспортные средства и налога на имущество физических лиц;
3) налоговым органом при исчислении сумм авансовых платежей по корпоративному подоходному налогу за 1 квартал отчетного налогового периода;
4) уполномоченными государственными органами по основаниям, предусмотренным настоящим Кодексом.
2. Начисленной суммой налога, платежа в бюджет и социального платежа являются:
1) сумма, определенная налоговым органом:
по результатам налоговой проверки;
по результатам рассмотрения жалобы налогоплательщика (налогового агента) на уведомление о результатах налоговой проверки;
на основании сведений уполномоченных государственных органов;
2) сумма, определенная уполномоченными государственными органами в пределах компетенции, установленной настоящим Кодексом.
3. Исчисленной и начисленной суммой налога, платежа в бюджет и социального платежа является результат исчисления суммы налога, платежа в бюджет и социального платежа с учетом корректировок, льгот, вычетов или уменьшений, предусмотренных настоящим Кодексом.
4. Уплаченной суммой налога, платежа в бюджет являются:
1) уплаченная налогоплательщиком (налоговым агентом) сумма налога, платежа в бюджет, в том числе зачтенная в счет уплаты данного налога, платежа в бюджет;
2) сумма, взысканная налоговым органом или судебным исполнителем в счет погашения налоговой задолженности.
Уплаченная за определенный период времени сумма налога, платежа в бюджет рассчитывается за минусом зачтенной и возвращенной налогоплательщику (налоговому агенту) суммы налога, платежа в бюджет за такой период времени.
5. Уплаченной суммой социального платежа являются:
1) уплаченная налогоплательщиком (налоговым агентом) сумма социального платежа;
2) сумма, взысканная налоговым органом.
Уплаченная за определенный период времени сумма социального платежа рассчитывается за минусом возвращенной налогоплательщику (налоговому агенту) за такой период времени суммы социального платежа.
6. При проведении налоговой и (или) таможенной проверки пени начисляются до дня завершения такой проверки.
После отражения в лицевом счете начисленных (исчисленных) сумм, указанных в уведомлении о результатах налоговой проверки, пени налогоплательщику (налоговому агенту) начисляются в лицевом счете со дня завершения налоговой и (или) таможенной проверки, включая день уплаты.
Параграф 1. Зачет и возврат налога, платежа в бюджет, пеней и штрафа
Статья 120. Понятие излишне уплаченной суммы налога, платежа в бюджет или пеней, штрафа
1. Излишне уплаченная сумма налога, платежа в бюджет или пеней - положительная разница между уплаченной в бюджет и исчисленной, начисленной суммами по данному виду налога, платежа в бюджет, пеней, а также суммами, зачтенными в счет уплаты другого налога, платежа в бюджет, пеней и возвращенными налогоплательщику, на дату проведения зачета и (или) возврата.
Положение части первой настоящего пункта не применяется при определении излишне уплаченных сумм по налогам и платежам в бюджет, предусмотренным пунктами 2, 3 и 4 настоящей статьи.
2. Излишне уплаченная сумма налога на добавленную стоимость - положительная разница между уплаченной (поступившей) в бюджет и исчисленной, начисленной суммами налога на добавленную стоимость за налоговый период, а также суммами, зачтенными в счет уплаты другого налога, платежа в бюджет, пеней и возвращенными налогоплательщику, с учетом расчетов по налогу на добавленную стоимость за предыдущие налоговые периоды.
3. Излишне уплаченными суммами налогов или платежей в бюджет, перечисленных в настоящем пункте, признаются:
1) при подтверждении соответствующим уполномоченным государственным органом посредством электронной базы и (или) на бумажных носителях факта несовершения налогоплательщиком действий (в том числе в результате его отказа от совершения действий до подачи соответствующих документов), для осуществления которых требуется уплата платежей, - уплаченная сумма:
регистрационного сбора;
сбора за выдачу лицензий на занятие отдельными видами деятельности;
сбора за выдачу разрешения на использование радиочастотного спектра;
сбора за выдачу документа, подтверждающего резидентство иностранца или лица без гражданства, являющегося инвестиционным резидентом МФЦА;
государственной пошлины;
платы за лесные пользования;
2) при отказе иностранцу или лицу без гражданства, являющемуся инвестиционным резидентом МФЦА, в выдаче документа, подтверждающего резидентство, - уплаченная сумма сбора за выдачу указанного документа;
3) при прекращении деятельности налогоплательщика по производству подакцизных товаров, подлежащих маркировке учетно-контрольными марками, и возврате ранее полученных таких марок в налоговый орган по акту приема-передачи - уплаченная сумма акцизов за такие товары;
4) при признании аукциона на предоставление права недропользования недействительным в связи с нарушением правил его проведения, установленных законодательством Республики Казахстан о недрах и недропользовании, которое повлияло на определение победителя аукциона, -уплаченная сумма подписного бонуса;
5) подлежащая возврату налогоплательщику-нерезиденту, применяющему положения международного договора, ратифицированного Республикой Казахстан, сумма подоходного налога - уплаченная или перечисленная сумма подоходного налога.
4. Излишне уплаченной суммой для целей возврата признаются:
1) уплаченная сумма неправомерно наложенного штрафа по правонарушениям в области налогообложения, законодательства Республики Казахстан о социальной защите, об обязательном социальном медицинском страховании - при отмене штрафа или уменьшении размера штрафа;
2) излишне уплаченная сумма штрафа - при уплате штрафа в целях исполнения постановления о наложении административного взыскания;
3) уплаченная сумма налога, платежа в бюджет, пеней и штрафа - при отмене по вступившему в законную силу судебному акту, итогов электронного аукциона, проведенного организацией, наделенной функциями по реализации ограниченного в распоряжении (заложенного) имущества;
4) уплаченная сумма государственной пошлины:
при окончании дела мировым соглашением сторон, соглашением об урегулировании спора (конфликта) в порядке медиации или соглашением об урегулировании спора в порядке партисипативной процедуры:
в судах первой и апелляционной инстанций - в полном объеме;
в суде кассационной инстанции - в размере 50 процентов от суммы, уплаченной при подаче кассационной жалобы о пересмотре судебного акта в кассационном порядке;
5) уплаченная сумма государственной пошлины в полном объеме при:
передаче дела в арбитраж;
возврате иска или иного заявления (жалобы) или отказе в его (ее) принятии, а также отказе нотариусов или уполномоченных на то лиц в совершении нотариальных действий;
прекращении производства по делу или оставлении иска без рассмотрения, если дело не подлежит рассмотрению в суде, а также если истцом не соблюден установленный для данной категории дел порядок предварительного разрешения спора либо иск подан недееспособным лицом;
отказе лиц, уплативших государственную пошлину, от совершения юридически значимого действия или получения документа до обращения в орган, совершающий данное юридически значимое действие;
возвращении кассационной жалобы о пересмотре судебного акта в кассационном порядке;
наступлении иных случаев, установленных законами Республики Казахстан;
6) излишне уплаченная сумма государственной пошлины при внесении суммы в счет уплаты государственной пошлины в большем размере, чем это требуется по настоящему Кодексу, за исключением случаев уменьшения истцом своих требований при подаче иска и иных заявлений (жалоб) в суд.
Статья 121. Излишне уплаченные и уплаченные суммы налога, платежа в бюджет и пеней, не подлежащие зачету и (или) возврату
1. Излишне уплаченная сумма налога, платежа в бюджет, пеней не подлежит зачету в счет погашения налоговой задолженности другого налогоплательщика, за исключением зачета между юридическим лицом и его структурным подразделением.
2. Уплаченная сумма государственной пошлины не подлежит:
1) зачету;
2) возврату при:
отказе истца от иска;
уменьшении истцом своих требований;
отмене судебного приказа.
3. Не подлежат зачету и возврату, за исключением случаев, предусмотренных пунктами 3 и 4 статьи 120 настоящего Кодекса:
1) уплаченная сумма сбора за проезд автотранспортных средств по территории Республики Казахстан;
2) уплаченная сумма консульского сбора;
3) уплаченная сумма подписного бонуса;
4) излишне уплаченная сумма платы за пользование земельными участками за предоставление государством участка недр в соответствии с законодательством Республики Казахстан о недрах и недропользовании на основании лицензии на разведку или добычу твердых полезных ископаемых;
5) уплаченная сумма платы за пользование животным миром;
6) уплаченная сумма сбора за выдачу документа, подтверждающего резидентство иностранца или лица без гражданства, являющегося инвестиционным резидентом МФЦА;
7) излишне уплаченная сумма акцизов за подакцизные товары, подлежащие маркировке учетно-контрольными марками;
8) уплаченная сумма платы за лесные пользования;
9) уплаченная сумма регистрационного сбора;
10) уплаченная сумма сбора за выдачу лицензий на занятие отдельными видами деятельности;
11) уплаченная сумма государственной пошлины.
4. Не подлежат зачету и возврату излишне уплаченная сумма налога, платы за пользование земельными участками, пользование водными ресурсами поверхностных водных объектов, негативное воздействие на окружающую среду в период:
1) приостановления представления налоговой отчетности по таким налогам и платам до даты ее представления;
2) проведения налоговой проверки до завершения.
5. Превышение суммы налога на добавленную стоимость, относимого в зачет, над суммой начисленного налога, сложившееся по декларации, не подлежит зачету в счет уплаты налога на добавленную стоимость, предусмотренного решением о предоставлении отсрочки (рассрочки) по уплате налогов и (или) плат.
6. Излишне уплаченная сумма налога, платежа в бюджет, пеней по истечении срока исковой давности не подлежит зачету и возврату.
Излишне уплаченная сумма налога, платежа в бюджет, пеней, по которым истек срок исковой давности, подлежит списанию на основании решения налогового органа.
7. Уплаченная иностранной компанией, осуществляющей деятельность посредством интернет-площадки на территории Республики Казахстан, сумма налога на добавленную стоимость возврату не подлежат.
Статья 122. Основные положения порядка зачета и возврата излишне уплаченных и (или) уплаченных сумм налога, платежа в бюджет, пеней и штрафа
1. Зачет уплаченной и (или) излишне уплаченной суммы налога, платежа в бюджет (за исключением налогов и платежа в бюджет, не подлежащих зачету) и пеней производится налоговым органом в национальной валюте:
1) без налогового заявления налогоплательщика;
2) на основании налогового заявления налогоплательщика.
2. Зачет излишне уплаченной суммы налога, платежа в бюджет и пеней производится без налогового заявления налогоплательщика в следующей последовательности в счет:
1) уплаты исчисленных, начисленных сумм налогов и платежей в бюджет, по которым образовалась излишне уплаченная сумма и срок уплаты которых наступил;
2) погашения недоимки:
по виду налога, платежа в бюджет, по которым образовалась излишне уплаченная сумма;
по иным видам налогов, платежей в бюджет;
3) погашения пеней по налогам, платежам в бюджет в последовательности, предусмотренной подпунктом 2) настоящего пункта;
4) погашения штрафа по налогам, платежам в бюджет в последовательности, предусмотренной подпунктом 2) настоящего пункта.
3. Зачет излишне уплаченной суммы налога, платежа в бюджет и пеней по налоговому заявлению налогоплательщика производится в счет:
1) предстоящих платежей по соответствующему виду налога и (или) платежа в бюджет, указанному в таком заявлении, в случае отсутствия налоговой задолженности у налогоплательщика и (или) структурного подразделения такого налогоплательщика;
2) погашения налоговой задолженности по соответствующему виду налога и (или) платежа в бюджет, указанному в таком заявлении:
структурного подразделения такого налогоплательщика;
юридического лица - в случае, если налогоплательщик является структурным подразделением такого юридического лица.
4. Возврат уплаченной и (или) излишне уплаченной суммы налога, платежа в бюджет (за исключением налогов и платежа в бюджет, не подлежащих возврату), пеней и штрафа производится налоговым органом на основании налогового заявления налогоплательщика, путем перечисления на банковский счет налогоплательщика, указанный в таком заявлении.
В целях настоящего Кодекса под возвратом налогового органа излишне уплаченной и (или) уплаченной суммы налога, платежа в бюджет, пеней и штрафа, суммы превышения налога на добавленную стоимость понимается представление налоговым органом соответствующего платежного поручения согласно Бюджетному кодексу Республики Казахстан.
Возврат уплаченных, в том числе излишне уплаченных сумм налога, платежа в бюджет, пеней и штрафа производится налоговым органом при отсутствии налоговой задолженности у налогоплательщика и его структурного подразделения.
В случае наличия налоговой задолженности возврат производится после проведения в соответствии с подпунктом 2) пункта 3 настоящей статьи зачета суммы излишне уплаченного налога, платежа в бюджет и пеней.
Возврату в случае, указанном в части второй настоящего пункта, подлежит остаток суммы излишне уплаченного налога, платежа в бюджет, пеней и штрафа после проведения зачета.
5. Излишне (ошибочно) уплаченная сумма налога, платежа в бюджет, пеней, кроме государственной пошлины, подлежит зачету и (или) возврату в размере сумм, уплаченных в течение:
текущего года;
предыдущих календарных лет в пределах срока исковой давности, начиная с календарного года, следующего за календарным годом, в котором уплачены такие суммы.
Излишне уплаченная сумма государственной пошлины подлежит возврату при представлении документов на возврат в течение трех лет со дня уплаты такой суммы государственной пошлины в бюджет.
6. Начисленная сумма пеней при нарушении налоговым органом срока проведения зачета и (или) возврата уплаченных и (или) излишне уплаченных сумм налога, платежа в бюджет по налоговому заявлению налогоплательщика подлежит перечислению в день проведения зачета и (или) возврата излишне уплаченной суммы налога, платежа в бюджет, пеней за счет поступлений в бюджет по соответствующему коду бюджетной классификации.
Статья 123. Определение и основные положения порядка зачета и возврата ошибочно уплаченной суммы налога, платежа в бюджет, пеней
1. Ошибочно уплаченной суммой налога, платежа в бюджет, пеней является сумма, при перечислении которой допущена любая из следующих ошибок:
1) в платежном документе:
неверно указан идентификационный номер налогоплательщика или налогового органа;
текстовое назначение платежа не соответствует коду назначения платежа и (или) коду бюджетной классификации доходов;
2) ошибочное исполнение банковской организацией платежного документа налогоплательщика;
3) уплата произведена налогоплательщиком, не состоящим на регистрационном учете или не являющимся плательщиком по данному виду налога или платежа в бюджет, пеней.
2. При подтверждении наличия одной из указанных в настоящей статье ошибки налоговый орган:
1) проводит зачет ошибочно уплаченной суммы на надлежащий код бюджетной классификации и (или) в надлежащий налоговый орган;
2) производит возврат на банковский счет налогоплательщика.
3. При подтверждении факта ошибочного исполнения банковской организацией платежного документа налогоплательщика, приведшего к повторному перечислению суммы налога, платежа в бюджет, пеней по одному и тому же платежному документу, налоговый орган по заявлению банковской организации производит возврат ошибочно уплаченной суммы:
1) на банковский счет налогоплательщика - в случае списания денег с банковского счета или осуществления платежа в безналичной форме посредством электронного терминала банковской организации;
2) на банковский счет банковской организации - в случае внесения денег в банковскую организацию наличными или осуществления платежа в наличной форме посредством электронного терминала банковской организации.
4. При неподтверждении налоговым органом наличия ошибок, указанных в налоговом заявлении налогоплательщика или заявлении банковской организации, налогоплательщику или банковской организации представляется соответствующее сообщение.
Статья 124. Особенности зачета по налоговому обязательству по доле Республики Казахстан по разделу продукции в натуральной форме
1. При ведении лицевого счета в натуральной форме зачету подлежит излишне переданный объем полезных ископаемых, передаваемых недропользователем в натуральной форме в счет исполнения налогового обязательства по доле Республики Казахстан по разделу продукции в натуральной форме (далее в целях настоящей статьи - излишне переданный объем полезных ископаемых), при соблюдении требований настоящей статьи.
Излишне переданный объем полезных ископаемых - положительная разница между переданным объемом полезных ископаемых в счет исполнения налогового обязательства в натуральной форме и объемом полезных ископаемых, подлежащих передаче в счет исполнения налогового обязательства в натуральной форме, на дату проведения зачета.
2. Зачет излишне переданного объема полезных ископаемых производится налоговым органом по месту ведения лицевого счета недропользователя по доле Республики Казахстан по разделу продукции на основании сведений лицевого счета.
3. При наличии не исполненного в срок налогового обязательства недропользователя по доле Республики Казахстан по разделу продукции в натуральной форме налоговый орган без налогового заявления производит зачет излишне переданного объема полезных ископаемых в счет погашения не исполненного в срок налогового обязательства.
Параграф 2. Возврат суммы превышения налога на добавленную стоимость
Статья 125. Общие положения возврата суммы превышения налога на добавленную стоимость
1. Для целей настоящего параграфа суммой превышения налога на добавленную стоимость (далее в целях настоящего параграфа - налог) признается превышение суммы налога, относимого в зачет, над суммой начисленного налога, сложившееся по декларации с нарастающим итогом на конец отчетного налогового периода.
2. Сумма превышения налога подлежит возврату следующим плательщикам налога:
1) осуществляющим реализацию товаров, выполнение работ, оказание услуг, облагаемых по нулевой ставке;
2) осуществляющим деятельность в рамках контракта на недропользование (за исключением контрактов на разведку и (или) добычу общераспространенных полезных ископаемых, подземных вод и лечебных грязей), заключенного в порядке, определенном законодательством Республики Казахстан;
3) приобретающим товары, работы, услуги в связи со строительством по долгосрочному контракту зданий и сооружений производственного назначения, впервые вводимых в эксплуатацию на территории Республики Казахстан.
3. Не подлежит возврату сумма превышения налога:
1) отнесенная в зачет по счетам-фактурам, выписанным заготовительной организацией в сфере агропромышленного комплекса;
2) отнесенная в зачет по товарам, работам, услугам по полезным ископаемым, передаваемым в счет исполнения налогового обязательства в натуральной форме (в том числе товарам, работам, услугам, связанным с реализацией таких полезных ископаемых);
3) сложившаяся по налоговым периодам, по которым плательщик налога относил в зачет дополнительную сумму налога.
4. Плательщик налога имеет право на требование возврата суммы превышения налога в очередной налоговой декларации по налогу (далее в целях настоящего параграфа - требование о возврате) в течение срока исковой давности.
5. Основанием для возврата суммы превышения налога, подтвержденной к возврату, являются:
1) уведомление о сумме превышения налога, подтвержденной к возврату в упрощенном порядке;
2) акт налоговой проверки с учетом результатов обжалования;
3) заключение к акту налоговой проверки.
После представления налоговым органом документов, указанных в части первой настоящего пункта, плательщик налога представляет налоговое заявление в налоговый орган по месту нахождения.
6. Срок, в течение которого налоговым органом производится возврат суммы превышения налога при представлении плательщиком налога налогового заявления, установлен в пункте 4 статьи 127, пункте 5 статьи 128 и пункте 9 статьи 129 настоящего Кодекса.
При непредставлении налогового заявления в срок, установленный частью первой настоящего пункта, возврат суммы превышения налога производится в течение десяти рабочих дней, следующих за днем представления налогового заявления.
7. При наличии налоговой задолженности налоговый орган без налогового заявления производит зачет суммы превышения налога в счет погашения имеющейся налоговой задолженности плательщика налога, в том числе его структурных подразделений.
8. Возврат подтвержденных сумм превышения налога (остатка суммы превышения налога после погашения налоговой задолженности) производится налоговым органом по выбору плательщика налога по налоговому заявлению плательщика налога путем:
1) зачисления на его банковский счет;
2) зачета на другие виды налогов.
9. Сумма превышения налога, подлежащая возврату, не должна превышать сумму превышения по налогу в лицевом счете на дату составления налоговым органом платежного документа на возврат суммы превышения такого налога.
10. Сумма пеней, начисленная в пользу налогоплательщика при нарушении срока проведения возврата суммы превышения налога, подлежит перечислению на банковский счет налогоплательщика в день возврата суммы превышения налога.
В случае недостаточности средств на контрольном счете наличности, предусмотренных бюджетным законодательством Республики Казахстан, пени на сумму несвоевременного возврата суммы превышения налога не начисляются.
11. Сумма превышения налога, ранее возвращенная из бюджета, но в последующем не подтвержденная к возврату по результатам налогового контроля, подлежит уплате налогоплательщиком в бюджет с начислением пеней за каждый день с даты возврата из бюджета до даты зачисления в бюджет.
Уплате плательщиком налога в бюджет с начислением пеней за каждый день с даты возврата из бюджета до даты зачисления в бюджет подлежит также сумма пеней, выплаченная в связи с несвоевременным возвратом суммы превышения налога, но в последующем не подтвержденной к возврату по результатам налогового контроля.
12. Налоговый орган при возврате суммы превышения налога:
1) проводит тематические налоговые проверки;
2) применяет системы управления налоговыми рисками;
3) использует результаты аналитического отчета «Пирамида по поставщикам»;
4) определяет суммы превышения налога, подлежащие возврату.
Порядок возврата суммы превышения налога определяется уполномоченным органом.
Статья 126. Порядок возврата суммы превышения налога плательщикам налога, осуществляющим реализацию товаров, выполнение работ, оказание услуг, облагаемых по нулевой ставке
1. Плательщикам налога, осуществляющим реализацию товаров, выполнение работ, оказание услуг, облагаемых по нулевой ставке, возврату подлежат:
1) при постоянной реализации - сумма превышения налога;
2) при непостоянной реализации - часть суммы налога, отнесенного в зачет по товарам, работам, услугам, использованным для целей оборота по реализации, облагаемого по нулевой ставке.
2. Постоянной реализацией признается реализация товаров, выполнение работ, оказание услуг, облагаемых по нулевой ставке, при одновременном соответствии следующим условиям:
1) реализация осуществляется в трех последовательных налоговых периодах;
2) при которой облагаемый оборот, облагаемый по нулевой ставке, за налоговый период составляет не менее 70 процентов от общего облагаемого оборота по реализации.
При этом постоянной реализацией признается такая реализация в каждом из указанных налоговых периодов.
При осуществлении международных перевозок сумма превышения налога, подлежащая возврату, рассчитывается путем применения удельного веса физического объема международных перевозок в общем объеме перевозок к сумме налога, отнесенного в зачет за налоговый период, за который представлено требование о возврате.
3. Возврат суммы превышения налога производится по выбору плательщика налога:
1) в упрощенном порядке в соответствии со статьей 127 настоящего Кодекса;
2) по результатам тематической налоговой проверки в соответствии со статьей 128 настоящего Кодекса.
При выборе упрощенного порядка возврата части суммы превышения налога плательщик налога вправе требовать возврат оставшейся части суммы превышения налога по результатам тематической налоговой проверки.
4. При возврате суммы превышения налога в упрощенном порядке налоговый орган представляет плательщику налога уведомление о сумме превышения налога, подтвержденной к возврату в упрощенном порядке.
5. При возврате суммы превышения налога по результатам тематической налоговой проверки налоговый орган представляет плательщику налога:
1) акт налоговой проверки с указанием подтвержденной к возврату суммы превышения налога;
2) заключение к акту налоговой проверки в случаях, предусмотренных настоящим Кодексом.
Статья 127. Упрощенный порядок возврата суммы превышения налога
1. Упрощенный порядок возврата суммы превышения налога заключается в осуществлении возврата суммы превышения налога с применением системы управления налоговыми рисками без проведения налоговой проверки.
2. Упрощенный порядок возврата суммы превышения вправе применить плательщики налога:
1) состоящие на налоговом мониторинге, в течение календарного года совершавшие обороты по реализации, облагаемые по нулевой ставке;
2) у которых обороты по реализации, облагаемые по нулевой ставке, составляют не менее 50 процентов в общем облагаемом обороте по реализации за налоговый период.
3. Сумма превышения налога подлежит возврату плательщикам налога, указанным в пункте 1 настоящей статьи, при одновременном соответствии следующим условиям:
1) отсутствия неисполненного уведомления на дату представления требования о возврате;
2) наличия подтвержденного к возврату по результатам налоговой проверки суммы превышения налога в течение двенадцати месяцев, предшествующих дате представления требования о возврате.
4. Возврат плательщику налога суммы превышения налога в упрощенном порядке производится в течение пятнадцати рабочих дней, следующих за днем представления требования о возврате.
Статья 128. Порядок возврата суммы превышения налога по результатам тематической налоговой проверки
1. Сумма превышения налога, не возвращенная в упрощенном порядке плательщику налога, осуществляющему реализацию товаров, выполнение работ, оказание услуг, облагаемых по нулевой ставке, подлежит возврату по результатам тематической налоговой проверки.
2. Тематическая налоговая проверка проводится в соответствии с главой 15 настоящего Кодекса.
3. Налоговый орган по результатам тематической налоговой проверки составляет заключение к акту налоговой проверки при получении ответа на запрос налогового органа о результатах проверки, осуществленной в отношении покупателя продуктов переработки налоговой службой государства - члена ЕАЭС.
Заключение к акту налоговой проверки составляется и вручается налогоплательщику не позднее пяти рабочих дней со дня получения ответа на запрос.
4. При возврате суммы превышения налога по результатам тематической налоговой проверки налоговый орган составляет:
1) акт налоговой проверки по подтверждению достоверности суммы превышения налога, предъявленной к возврату, с учетом результатов его обжалования (при обжаловании налогоплательщиком);
2) заключение к акту налоговой проверки в случаях, предусмотренных настоящим Кодексом.
5. Сумма превышения налога, подтвержденная к возврату по результатам тематической налоговой проверки, подлежит возврату в течение пятидесяти пяти рабочих дней, следующих за днем истечения срока представления декларации по налогу с указанием требования о возврате.
Сумма превышения налога на основании заключения к акту налоговой проверки подлежит возврату в течение десяти рабочих дней, следующих за днем вручения заключения к акту налоговой проверки.
Статья 129. Порядок возврата суммы превышения налога отдельным категориям налогоплательщиков
1. К отдельным категориям плательщиков налога, которым подлежит возврат суммы превышения налога, относятся плательщики налога:
1) осуществляющие деятельность в рамках контракта на недропользование (за исключением контрактов на разведку и (или) добычу общераспространенных полезных ископаемых, подземных вод и лечебных грязей), заключенного в порядке, определенном законодательством Республики Казахстан;
2) приобретающие товары, работы, услуги в связи со строительством по долгосрочному контракту зданий и сооружений производственного назначения, впервые вводимых в эксплуатацию на территории Республики Казахстан.
2. Сумма превышения налога подлежит возврату в части суммы налога, отнесенного в зачет по товарам, работам, услугам, приобретенным:
1) в период проведения геологоразведочных работ и обустройства месторождения;
2) в связи со строительством зданий и сооружений производственного назначения, впервые вводимых в эксплуатацию на территории Республики Казахстан.
Положения подпункта 2) части первой настоящего пункта применяются также при строительстве «под ключ» в соответствии с законодательством Республики Казахстан.
3. Под периодом проведения геологоразведочных работ и обустройства месторождения понимается период времени между датой заключения соответствующего контракта на недропользование в порядке, определенном законодательством Республики Казахстан, и датой начала экспорта полезных ископаемых, добытых в рамках соответствующего контракта на недропользование, за исключением общераспространенных полезных ископаемых, подземных вод и лечебных грязей.
4. Под периодом строительства понимается период времени между началом строительства и датой ввода в эксплуатацию зданий, сооружений.
В целях возврата суммы превышения налога началом строительства признается наиболее ранняя из следующих дат:
1) дата заключения контракта (договора) на осуществление строительства;
2) дата заключения контракта (договора) на осуществление проектных работ.
5. К зданиям производственного назначения относятся:
1) промышленные здания и склады;
2) здания транспорта, связи и коммуникаций;
3) нежилые сельскохозяйственные здания.
К сооружениям производственного назначения относятся сооружения, кроме сооружений, предназначенных для спорта и мест отдыха, административных целей, стоянки или парковки автомобилей, а также культурно-развлекательного, гостиничного, ресторанного назначения.
Отнесение зданий и сооружений производственного назначения к зданиям и сооружениям, указанным в частях первой и второй настоящего пункта, производится в соответствии с классификатором основных фондов.
6. С целью подтверждения достоверности суммы превышения налога плательщик налога вправе представить налоговое заявление до наступления случаев, предусмотренных пунктом 7 настоящей статьи.
7. Плательщик налога представляет требование о возврате за налоговые периоды, следующие за налоговым периодом:
1) на который приходится дата начала экспорта полезных ископаемых, добытых в рамках соответствующего контракта на недропользование, за исключением общераспространенных полезных ископаемых, подземных вод и лечебных грязей, с учетом срока исковой давности, - для возврата части суммы налога, отнесенного в зачет по товарам, работам, услугам, приобретенным в период проведения геологоразведочных работ и обустройства месторождения;
2) в котором подписан акт выполненных строительно-монтажных работ, произведенных в рамках инвестиционного проекта после принятия органом, осуществляющим государственный архитектурно-строительный контроль, уведомления о начале строительно-монтажных работ, - для возврата части суммы налога, отнесенного в зачет по товарам, работам, услугам, приобретенным после 1 января 2024 года в связи со строительством зданий и сооружений производственного назначения, впервые вводимых в эксплуатацию на территории Республики Казахстан в рамках инвестиционного проекта, стоимость которых превышает 150 000 000-кратный размер месячного расчетного показателя, действующего на 1 января соответствующего финансового года;
3) в котором произведен ввод в эксплуатацию зданий, сооружений, с учетом срока исковой давности - части суммы налога, отнесенного в зачет по товарам, работам, услугам, приобретенным в связи со строительством зданий и сооружений производственного назначения, впервые вводимых в эксплуатацию на территории Республики Казахстан, по проектам, не предусмотренным подпунктом 2) настоящего пункта.
8. На основании налогового заявления и требования о возврате проводится тематическая налоговая проверка в соответствии с главой 15 настоящего Кодекса.
9. Возврат суммы превышения налога производится:
1) в течение двадцати налоговых периодов равными долями, начиная с налогового периода, следующего за налоговым периодом, в котором представлено требование о возврате в соответствии с подпунктами 1) и 3) пункта 7 настоящей статьи, и не позднее 25 числа второго месяца каждого налогового периода на основании заключения к акту налоговой проверки. Заключение к акту налоговой проверки составляется и вручается плательщику налога не позднее 5 числа второго месяца квартала, в котором представлено требование о возврате;
2) в течение пятидесяти пяти рабочих дней после истечения последней даты, установленной настоящим Кодексом для представления в налоговый орган декларации по налогу, в которой указано требование о возврате суммы превышения налога в соответствии с подпунктом 2) пункта 7 настоящей статьи.
10. Сумма превышения налога, ранее возвращенная из бюджета в соответствии с подпунктом 2) пункта 9 настоящей статьи, в случае незавершения строительства в срок, указанный в проекте, подлежит уплате налогоплательщиком в бюджет с начислением пеней за каждый день с даты возврата из бюджета до даты зачисления в бюджет.
Параграф 3. Возврат налога на добавленную стоимость по иным основаниям
Статья 130. Возврат налога на добавленную стоимость, уплаченного по товарам, работам, услугам, приобретенным за счет средств гранта
1. Налог на добавленную стоимость (далее в целях настоящего параграфа - налог), уплаченный по товарам, работам, услугам, приобретенным за счет средств гранта, подлежит возврату:
1) грантополучателю - государственному органу, являющемуся бенефициаром в соответствии с международным договором о предоставлении Республике Казахстан гранта и назначающему исполнителя, если иное не предусмотрено указанным международным договором;
2) исполнителю - лицу, назначенному грантополучателем для целей реализации гранта.
2. Возврат налога, уплаченного поставщикам товаров, работ, услуг, приобретенных за счет средств гранта, производится налоговым органом в течение тридцати рабочих дней с даты представления налогового заявления, если одновременно соблюдаются следующие условия:
1) грант, за счет средств которого приобретены товары, работы, услуги, предоставлен по линии государств, правительств государств, международных организаций;
2) товары, работы, услуги приобретены исключительно в целях, для реализации которых предоставлен грант;
3) реализация товаров, выполнение работ, оказание услуг осуществляются в соответствии с договором (контрактом), заключенным с грантополучателем либо с исполнителем, назначенным грантополучателем для осуществления целей гранта.
3. Возврат налога производится грантополучателям или исполнителям в порядке, определенном параграфом 1 настоящей главы.
4. Для возврата налога, уплаченного по товарам, работам, услугам, приобретенным за счет средств гранта, грантополучатель или исполнитель представляет в налоговый орган по месту нахождения налоговое заявление с приобщением следующих документов:
1) копия договора о предоставлении гранта между Республикой Казахстан и иностранным государством, правительством иностранного государства либо международной организацией, включенной в перечень, утвержденный Правительством Республики Казахстан;
2) копия договора (контракта), заключенного грантополучателем либо исполнителем с поставщиком товаров, работ, услуг;
3) копия документа, подтверждающего назначение исполнителя в качестве такового при его обращении с налоговым заявлением;
4) документы, подтверждающие отгрузку и получение товаров, работ, услуг;
5) счет-фактура, выписанный поставщиком, являющимся плательщиком налога, с выделением суммы указанного налога;
6) накладная, товарно-транспортная накладная;
7) документ, подтверждающий получение товара материально-ответственным лицом грантополучателя или исполнителя;
8) акты выполненных и принятых грантополучателем или исполнителем работ, услуг, оформленные в установленном порядке;
9) документы, подтверждающие оплату за полученные товары, работы, услуги, в том числе уплату налога.
Положения настоящей статьи распространяются также на грантополучателей или исполнителей, не являющихся плательщиками налога.
Статья 131. Возврат налога дипломатическим представительствам и их персоналу
1. Налог подлежит возврату за приобретенные товары, выполненные работы, оказанные услуги на территории Республики Казахстан при условии, если такой возврат предусмотрен международными договорами или документами, подтверждающими принцип взаимности при предоставлении льгот по налогу:
1) дипломатическим представительствам;
2) лицам, относящимся к дипломатическому, административно-техническому персоналу этих представительств, включая членов их семей, проживающих вместе с ними, консульским должностным лицам, консульским служащим, включая членов их семей, проживающих вместе с ними (далее в целях настоящей статьи - персонал).
Возврат налога осуществляется налоговым органом по месту нахождения дипломатических представительств, включенных в перечень, утвержденный Министерством иностранных дел.
2. В отношении некоторых дипломатических представительств, исходя из принципа взаимности, могут устанавливаться ограничения по размерам и условиям возврата налога.
Перечень дипломатических представительств, в отношении которых устанавливаются ограничения по возврату налога, утверждается Министерством иностранных дел по согласованию с уполномоченным органом.
3. Если иное не установлено пунктом 2 настоящей статьи, возврат представительствам налога производится в случаях, когда сумма приобретенных товаров, выполненных работ, оказанных услуг, включая налог, в каждом отдельном счете-фактуре и документах, подтверждающих факт оплаты, составляет или превышает 8-кратный размер месячного расчетного показателя, действующего на дату выписки счета-фактуры.
Ограничения, установленные настоящим пунктом, не распространяются на плату за услуги связи, электроэнергию, воду, газ и иные коммунальные услуги.
4. Налоговые органы осуществляют возврат налога на основании сводных ведомостей (реестров) дипломатического представительства по приобретенным товарам, выполненным работам, оказанным услугам за отчетный квартал (далее в целях настоящей статьи - сводные ведомости дипломатического представительства), и копий счетов-фактур и документов, подтверждающих уплату налога (далее в целях настоящей статьи - подтверждающие документы).
В отношении членов семьи персонала дипломатического представительства дополнительно представляются копии аккредитационных документов, выданных Министерством иностранных дел.
Сводные ведомости дипломатического представительства составляются дипломатическими представительствами ежеквартально, подписываются руководителем либо иным уполномоченным на то должностным лицом дипломатического представительства и заверяются печатью при составлении на бумажном носителе.
Форма сводной ведомости дипломатического представительства устанавливается уполномоченным органом.
Сводные ведомости дипломатического представительства и подтверждающие документы передаются в организацию по работе с дипломатическими представительствами Министерства иностранных дел в течение месяца, следующего за отчетным кварталом, за исключением случаев завершения срока пребывания в Республике Казахстан члена (членов) семьи персонала дипломатического представительства.
5. После подтверждения принципа взаимности организация по работе с дипломатическими представительствами Министерства иностранных дел представляет в налоговый орган по месту нахождения дипломатических представительств с сопроводительным документом сводные ведомости дипломатического представительства и подтверждающие документы.
Дипломатические представительства представляют документы в налоговые органы на казахском и (или) русском языках.
При наличии отдельных документов, составленных на иностранных языках, представляется перевод на казахский и (или) русский языки, заверенный печатью дипломатического представительства.
6. Возврат налога представительствам осуществляется налоговым органом в течение тридцати рабочих дней, следующих за днем получения сводных ведомостей дипломатического представительства и подтверждающих документов.
7. При выявлении в представленных дипломатическим представительством документах нарушений, в том числе невыделении сумм налога отдельной строкой, налоговый орган осуществляет встречную налоговую проверку поставщика товаров, работ, услуг.
8. Налоговые органы после проверки сводных ведомостей дипломатического представительства, подтверждающих документов и проведения встречной налоговой проверки поставщика товаров, работ, услуг извещают организацию по работе с дипломатическими представительствами Министерства иностранных дел о возврате и (или) отказе в возврате сумм налога.
При отказе в возврате сумм налога налоговые органы сообщают, какие нарушения и по каким документам они были допущены.
9. Если в течение срока возврата, установленного пунктом 6 настоящей статьи, не будут устранены нарушения, выявленные в ходе проведения встречной налоговой проверки, возврат налога производится в пределах сумм, по которым не выявлены либо устранены нарушения.
Если нарушения устранены после завершения встречной налоговой проверки, возврат налога производится на основании представленной дополнительной сводной ведомости дипломатического представительства и подтверждающих документов.
10. Сумма налога, не предъявленная к возврату за квартал, в котором приобретены товары, выполнены работы, оказаны услуги, может быть предъявлена к возврату дипломатическими представительствами на основании сводной ведомости дипломатического представительства и подтверждающих документов.
11. Возврат налога производится налоговым органом на соответствующие счета дипломатических представительств и (или) персонала дипломатических представительств, открытые в банковских организациях Республики Казахстан в порядке, определенном законодательством Республики Казахстан.
Глава 11. ИЗМЕНЕНИЕ СРОКОВ ИСПОЛНЕНИЯ НАЛОГОВОГО ОБЯЗАТЕЛЬСТВА
Статья 132. Общие положения об изменении сроков исполнения налогового обязательства по уплате
1. Изменение сроков исполнения налогового обязательства по уплате - перенос установленного настоящим Кодексом срока уплаты налогов и (или) плат на более поздний срок либо продление сроков погашения налоговой задолженности.
2. Изменение сроков исполнения налогового обязательства по уплате осуществляется в формах:
1) отсрочки (рассрочки) по уплате налогов и (или) плат;
2) изменения срока уплаты налога на добавленную стоимость по импортируемым товарам;
3) отсрочки по уплате государственной пошлины.
3. Изменение сроков исполнения налогового обязательства по уплате налогов и (или) плат не освобождает налогоплательщика от уплаты пеней за несвоевременную их уплату, за исключением случаев предоставления:
1) отсрочки налогоплательщику - производителю товаров собственного производства по налогу на добавленную стоимость по импортируемым товарам, используемым при производстве продукции на период до одного календарного года;
2) отсрочки (рассрочки) в рамках процедуры реструктуризации задолженности, предусмотренной законодательством Республики Казахстан о реабилитации и банкротстве.
Статья 133. Отсрочка (рассрочка) по уплате налогов, плат и (или) пеней
1. Отсрочка по уплате налогов, плат и (или) пеней (далее в целях настоящей главы - отсрочка) - изменение налогоплательщику срока уплаты налогов, плат и (или) пеней путем установления налоговым органом более позднего срока для единовременной уплаты в полном объеме причитающихся сумм на срок, не превышающий шести месяцев, за исключением участника горизонтального мониторинга, которому уполномоченным органом отсрочка предоставляется на срок не более двенадцати месяцев.
Рассрочка по уплате налогов, плат и (или) пеней (далее в целях настоящей главы - рассрочка) - изменение налогоплательщику срока уплаты налогов, плат и (или) путем установления налоговым органом поэтапного срока (месяц, квартал) уплаты равными долями причитающихся сумм пеней на срок не более тридцати шести месяцев, за исключением участника горизонтального мониторинга, которому уполномоченным органом рассрочка предоставляется на срок не более двенадцати месяцев.
Порядок и условия предоставления отсрочки (рассрочки) определяются уполномоченным органом.
2. Отсрочка или рассрочка по уплате налогов и (или) плат может быть предоставлена налогоплательщику, финансовое положение которого не позволяет уплатить налог и (или) плату в установленный срок, однако имеются достаточные основания полагать, что возможность их уплаты возникнет в течение срока, на который предоставляется отсрочка или рассрочка, при наличии одного из следующих оснований:
1) причинение налогоплательщику ущерба в результате непреодолимой силы (чрезвычайные ситуации социального, природного, техногенного, экологического характера, военные действия и иные обстоятельства непреодолимой силы);
2) производство и (или) реализация товаров, работ или услуг налогоплательщиком носит сезонный характер;
3) имущественное положение физического лица, не состоящего на регистрационном учете в качестве индивидуального предпринимателя (без учета имущества, на которое в соответствии с законодательством Республики Казахстан не может быть обращено взыскание), исключает возможность единовременной уплаты налога;
4) принятие судом решения о применении процедуры реструктуризации задолженности;
5) основной вид деятельности налогоплательщика относится к отрасли экономики, имеющей стратегическое значение согласно законам Республики Казахстан;
6) представление налогоплательщиком дополнительной налоговой отчетности;
7) согласие налогоплательщика с суммами начисленных налогов и (или) плат, указанными в уведомлении о результатах проверки. Положения настоящего подпункта не распространяются на налогоплательщиков, период с даты регистрации которых в качестве налогоплательщика до даты подачи заявления о предоставлении отсрочки или рассрочки составляет менее пяти лет.
3. Отсрочка (рассрочка) применяется к налогам, платам и (или) пеням, исчисленным налогоплательщиком согласно представленной налоговой отчетности, а также начисленным налоговым органом по результатам налоговых проверок, по данным уполномоченных государственных органов, за исключением следующих налогов:
1) налогов, удерживаемых у источника выплаты;
2) акцизов на товары, импортируемые с территории государств - членов ЕАЭС;
3) налога на добавленную стоимость на товары, импортируемые с территории государств - членов ЕАЭС;
4) подписного бонуса;
5) налогов, поступающих в соответствии с бюджетным законодательством Республики Казахстан в Национальный фонд Республики Казахстан.
Отсрочка (рассрочка) предоставляется по следующим платам за:
пользование земельными участками;
негативное воздействие на окружающую среду.
Отсрочка (рассрочка) предоставляется по одному или нескольким налогам и (или) платам, а также могут быть предоставлены в отношении всей подлежащей уплате суммы налога и (или) платы либо ее части.
4. Отсрочка (рассрочка) предоставляется:
1) участнику горизонтального мониторинга - без залога имущества и банковской гарантии;
2) иному налогоплательщику:
без залога имущества и банковской гарантии;
под залог имущества налогоплательщика и (или) третьего лица, и (или) под банковскую гарантию.
5. Банковская гарантия, предоставленная налогоплательщиком в обеспечение исполнения налогового обязательства по уплате налогов, плат и (или) пеней, должна соответствовать следующим требованиям:
1) выдана с соблюдением требований, установленных законодательством Республики Казахстан;
2) является безотзывной;
3) срок действия такой гарантии истекает не ранее чем через шесть месяцев со дня истечения срока уплаты налогов, плат и (или) пеней, установленного налоговым органом при изменении сроков исполнения налогового обязательства;
4) максимальная денежная сумма, подлежащая оплате по договору банковской гарантии, обеспечивает исполнение гарантом в полном объеме налогового обязательства по уплате налогов, плат и (или) пеней.
Размер максимальной денежной суммы, подлежащей оплате по договору банковской гарантии, может быть изменен с учетом уплаченных сумм налогов и (или) плат, обеспеченных такой гарантией, по письменному согласованию налогового органа, предоставившего рассрочку.
6. Имущество, предоставляемое в залог, должно соответствовать следующим условиям:
1) застраховано от утраты или повреждения, ликвидное;
2) рыночная стоимость такого имущества не меньше суммы налогов, плат и (или) пеней, срок уплаты которых переносится, с учетом пеней за период действия решения, принятого налоговым органом по изменению сроков исполнения налогового обязательства, а также расходов на его реализацию при досрочном прекращении действия решения, принятого налоговым органом по изменению сроков исполнения налогового обязательства, за исключением случая уплаты налогоплательщиком всей суммы налогов, плат и (или) пеней до истечения установленного срока.
Не могут быть предметами залога:
объекты жизнеобеспечения;
электрическая, тепловая и иные виды энергии;
арестованное имущество;
имущество, на которое наложены ограничения уполномоченными государственными органами, за исключением ограничений, наложенных налоговым органом;
имущество, обремененное правами третьих лиц;
единственное жилище физического лица, индивидуального предпринимателя, лица, занимающегося частной практикой;
скоропортящееся сырье, продукты питания.
Имущество, предоставленное в залог для обеспечения уплаты налогов, плат и (или) пеней, не подлежит перезалогу.
Договор залога имущества в обеспечение уплаты налогов, плат и (или) пеней заключается в соответствии с типовым договором залога имущества в обеспечение уплаты налогов, плат и (или) пеней, утвержденным уполномоченным органом.
7. Основанием для отказа налогоплательщику, за исключением участника горизонтального мониторинга, в предоставлении отсрочки (рассрочки) являются:
1) несоответствие основаниям и несоблюдение им требований, предусмотренных порядком предоставления отсрочки (рассрочки), определенным уполномоченным органом;
2) наличие факта досрочного прекращения действия отсрочки (рассрочки), предоставленной ему ранее, в связи с нарушением установленного налоговым органом срока уплаты налогов, плат и (или) пеней, в течение двух лет, предшествующих дню подачи им заявления.
Основанием для отказа участнику горизонтального мониторинга в предоставлении отсрочки (рассрочки) является наличие факта досрочного прекращения действия отсрочки (рассрочки), предоставленной ему ранее, в связи с нарушением установленного налоговым органом срока уплаты налогов, плат и (или) пеней в течение двух лет, предшествующих дню подачи им заявления в уполномоченный орган.
8. Действие отсрочки (рассрочки) прекращается:
1) по истечении срока действия решения о предоставлении отсрочки (рассрочки);
2) досрочно:
при уплате налогоплательщиком всей суммы налогов, плат и (или) пеней до истечения срока, установленного в решении о предоставлении отсрочки (рассрочки);
по вступившему в законную силу судебному акту;
при нарушении срока уплаты налогов, плат и (или) пеней, предусмотренного решением о предоставлении отсрочки (рассрочки), более чем на пять рабочих дней.
9. Налоговый орган при досрочном прекращении действия отсрочки (рассрочки), за исключением случая уплаты налогоплательщиком всей суммы налогов, плат и (или) пеней до истечения установленного срока:
1) извещает налогоплательщика о прекращении действия отсрочки (рассрочки);
2) направляет банку второго уровня (гаранту) требование об уплате денежной суммы по банковской гарантии.
Обязательство по банковской гарантии подлежит исполнению банком второго уровня (гарантом) в течение трех рабочих дней со дня получения им указанного требования, за исключением, когда такое требование предъявлено гаранту по истечении срока ее действия.
10. При неисполнении обязательства об уплате налогов, плат и (или) пеней по истечении трех рабочих дней со дня получения налогоплательщиком извещения о прекращении действия отсрочки (рассрочки) налоговый орган обращает взыскание на заложенное имущество налогоплательщика и (или) третьего лица.
Реализация имущества, заложенного налогоплательщиком и (или) третьим лицом, осуществляется в порядке реализации имущества, заложенного налогоплательщиком и (или) третьим лицом, а также ограниченного в распоряжении имущества налогоплательщика (налогового агента), определенном уполномоченным органом.
Статья 134. Изменение срока уплаты налога на добавленную стоимость по импортируемым товарам, за исключением товаров, импортируемых с территории государств - членов ЕАЭС
1. Изменение срока уплаты налога на добавленную стоимость по импортируемым товарам, за исключением товаров, импортируемых с территории государств - членов ЕАЭС, производство которых отсутствует на территории Республики Казахстан или не покрывает потребности Республики Казахстан, производится при условии использования таких товаров налогоплательщиком при производстве продукции.
2. Товары признаются импортированными для целей производства продукции в порядке, определенном таможенным законодательством Республики Казахстан.
Перечень импортируемых на территорию Республики Казахстан товаров, указанных в части первой настоящего пункта, предназначенных для переработки, а также налогоплательщиков Республики Казахстан, импортирующих такие товары, утверждается уполномоченным органом по государственному планированию по согласованию с уполномоченным органом.
3. Порядок и сроки изменения срока уплаты налога на добавленную стоимость по импортируемым товарам, за исключением товаров, импортируемых с территории государств -членов ЕАЭС, определяются уполномоченным органом.
Статья 135. Отсрочка по уплате государственной пошлины
1. Отсрочка по уплате государственной пошлины представляет собой изменение судебным актом об отсрочке по уплате государственной пошлины срока уплаты государственной пошлины в судах исходя из имущественного положения физического лица или финансового положения юридического лица, за исключением субъекта крупного предпринимательства.
Копия судебного акта об отсрочке по уплате государственной пошлины срока уплаты государственной пошлины подлежит направлению в налоговые органы по месту рассмотрения дела.
2. Отсрочка по уплате государственной пошлины предоставляется на срок, не превышающий одного года со дня вынесения судебного акта об отсрочке по уплате государственной пошлины, в случае, если имущественное положение физического лица или финансовое положение юридического лица не позволяет уплатить государственную пошлину при подаче иска, однако имеются достаточные основания полагать, что возможность ее уплаты возникнет в течение срока, на который предоставляется такая отсрочка при наличии одного из следующих оснований:
1) причинение ущерба в результате стихийного бедствия, технологической катастрофы;
2) несвоевременная выплата заработной платы физическому лицу;
3) постановка на учет в качестве безработного лица;
4) наличие тяжелой болезни физического лица и нахождение на лечении более трех месяцев;
5) неуплата юридическому лицу денег за поставленный товар, выполненные работы, оказанные им услуги;
6) сезонный характер производства и (или) реализации товаров, выполнения работ или оказания услуг юридическим лицом;
7) предоставление адресной социальной помощи.
При этом физическое или юридическое лицо вправе уплатить сумму государственной пошлины частично и (или) досрочно до окончания срока отсрочки по уплате государственной пошлины.
Глава 12. КАМЕРАЛЬНЫЙ КОНТРОЛЬ
Статья 136. Камеральный контроль
1. Камеральный контроль - мероприятие, осуществляемое налоговым органом на основе изучения и анализа налоговых форм, а также других документов и сведений о деятельности налогоплательщика (налогового агента).
2. Целью камерального контроля является предоставление налогоплательщику (налоговому агенту) права самостоятельного исполнения налоговых обязательств по исчислению налогов и платежей в бюджет.
Статья 137. Порядок проведения и результаты камерального контроля
1. Камеральный контроль проводится путем сопоставления данных, содержащихся в:
1) сведениях, имеющихся в налоговых органах, в том числе налоговых формах;
2) сведениях иных уполномоченных государственных органов об объектах налогообложения и (или) объектах, связанных с налогообложением;
3) сведениях о деятельности налогоплательщика (налогового агента), полученных из различных источников информации.
2. Камеральный контроль проводится налоговым органом за соответствующий налоговый период после истечения срока представления налоговой отчетности, установленного настоящим Кодексом.
Камеральный контроль за налоговый период проводится в течение срока исковой давности по такому периоду.
3. При выявлении расхождений по результатам камерального контроля налогоплательщику (налоговому агенту), за исключением участника горизонтального мониторинга, представляется уведомление о расхождениях, выявленных по результатам камерального контроля (далее в целях настоящей статьи - уведомление).
4. Исполнением уведомления признаются:
1) в случае согласия с указанными в уведомлении расхождениями - устранение налогоплательщиком (налоговым агентом) выявленных нарушений налогового законодательства Республики Казахстан путем:
представления налоговой отчетности по уведомлению за налоговый период, к которому относятся выявленные расхождения;
уплаты суммы налога на добавленную стоимость в бюджет, ранее возвращенной из бюджета по требованию налогоплательщика (налогового агента) о возврате налога на добавленную стоимость, а также пеней за каждый день с даты перечисления налогоплательщику (налоговому агенту) таких сумм до дня уплаты;
отражения данных в специальном мобильном приложении и (или) уплаты налога и социальных платежей - для налогоплательщиков, применяющих специальный налоговый режим для самозанятых;
совершения в целях перехода на соответствующий налоговый режим действий, предусмотренных статьей 716 настоящего Кодекса;
2) в случае несогласия с указанными в уведомлении расхождениями - представление налогоплательщиком (налоговым агентом) в налоговый орган, представивший уведомление, пояснения о причинах расхождений, не влекущих нарушения налогового законодательства Республики Казахстан (далее в целях настоящей статьи - пояснение), за исключением случаев, предусмотренных частью первой пункта 6 настоящей статьи.
В случае согласия с указанными в уведомлении расхождениями в части исполнения признается устранение налогоплательщиком (налоговым агентом) выявленных расхождений в части и представление пояснения отсутствия расхождений в оставшейся части.
5. Пояснение налогоплательщика (налогового агента) должно содержать:
1) идентификационные данные налогоплательщика (налогового агента) и налогового органа, представившего уведомление;
2) номер и дату уведомления, на которое представляется пояснение;
3) причины несогласия с указанными в уведомлении расхождениями;
4) дату, подпись;
5) перечень документов, подтверждающих обоснованность несогласия с уведомлением (при наличии).
Истребование документов налоговыми органами для исполнения уведомления запрещается.
6. Запрещается представление пояснения на уведомление при отнесении расходов на вычеты при исчислении корпоративного подоходного налога и в зачет суммы налога на добавленную стоимость по приобретенным товарам, работам, услугам:
1) на основании счета-фактуры и (или) иного документа, действие (действия) по выписке которых признано (признаны) вступившим в законную силу судебным актом или постановлением органа уголовного преследования о прекращении досудебного расследования по нереабилитирующим основаниям совершенным (совершенными) субъектом частного предпринимательства без фактического выполнения работ, оказания услуг, отгрузки товаров;
2) по сделкам, признанным недействительными на основании вступившего в законную силу судебного акта;
3) по операциям, совершенным без фактического выполнения работ, оказания услуг, отгрузки товаров с налогоплательщиком, руководитель и (или) учредитель (участник) которого не причастен к регистрации (перерегистрации) и (или) осуществлению финансово-хозяйственной деятельности такого юридического лица, установленным вступившим в законную силу судебным актом;
4) по сделкам (операциям) с юридическими лицами и (или) индивидуальными предпринимателями, чья регистрация (перерегистрация) признана недействительной на основании вступившего в законную силу судебного акта.
Действие части первой настоящего пункта не распространяется на сделки (операции), по которым судом установлено фактическое приобретение (получение) налогоплательщиком (налоговым агентом) товаров, работ, услуг.
7. Срок исполнения уведомления приостанавливается при подаче жалобы в суд по подтверждению фактического приобретения (получения) товаров, работ, услуг в случаях, указанных в подпунктах 3) и 4) пункта 6 настоящей статьи.
Копия судебного акта о принятии жалобы к производству представляется налогоплательщиком (налоговым агентом) в налоговый орган, представивший уведомление.
При этом приостановление действует на период со дня вынесения указанного в части второй настоящего пункта судебного акта до его вступления в законную силу.
8. В период проведения налоговой проверки налогоплательщику (налоговому агенту) не представляется уведомление за проверяемый период, при этом результаты камерального контроля подлежат использованию в ходе проводимой налоговой проверки.
9. При неисполнении уведомления:
1) доступ к интернет-ресурсам и (или) интернет-площадке иностранной компании, осуществляющей деятельность посредством интернет-площадки на территории Республики Казахстан, ограничивается;
2) расходные операции по банковским счетам налогоплательщика (налогового агента), не указанного в подпункте 1) настоящего пункта, приостанавливаются в течение одного рабочего дня, следующего за днем истечения срока исполнения уведомления;
3) выписка электронных счетов-фактур налогоплательщика приостанавливается в течение одного рабочего дня, следующего за днем истечения срока исполнения уведомления.
Способы обеспечения, предусмотренные частью первой настоящего пункта, если иное не установлено указанной частью, применяются в порядке и сроки, которые установлены параграфом 4 главы 5 настоящего Кодекса.
10. Налоговый орган для подтверждения достоверности причин, изложенных в пояснении, или при неисполнении уведомления в срок, установленный настоящим Кодексом, вправе провести налоговую проверку по расхождениям, выявленным по результатам камерального контроля.
Глава 13. КОНТРОЛЬ ВЫПИСКИ ЭЛЕКТРОННЫХ СЧЕТОВ-ФАКТУР
Статья 138. Контроль выписки электронных счетов-фактур
1. Контроль выписки электронных счетов-фактур проводится налоговым органом в целях пресечения выписки электронных счетов-фактур с высоким риском.
2. Контроль выписки электронных счетов-фактур проводится в форме:
1) автоматизированного контроля выписки электронных счетов-фактур (далее - автоматизированный контроль);
2) сопоставительного контроля выписки электронных счетов-фактур (далее - сопоставительный контроль).
Параграф 1. Автоматизированный контроль
Статья 139. Общие положения автоматизированного контроля
1. Автоматизированный контроль - автоматизированный процесс присвоения в информационной системе налогового органа регистрационного номера электронному счету-фактуре, выписанному налогоплательщиком, отнесенному к отдельной категории налогоплательщиков.
При присвоении регистрационного номера электронному счету-фактуре учитываются данные налогового счета плательщика налога на добавленную стоимость в информационной системе оператора автоматизированного контроля (далее в целях настоящего параграфа - налоговый счет).
Категории налогоплательщиков, в отношении которых проводится автоматизированный контроль, утверждаются уполномоченным органом.
2. В целях настоящего параграфа оператором автоматизированного контроля признается юридическое лицо, определенное уполномоченным органом, который ведет налоговый счет путем:
1) учета балансовой суммы налога на добавленную стоимость (далее в целях настоящего параграфа - налог);
2) обеспечения сохранности денег плательщика налога, перечисленных в счет обеспечения выписки электронных счетов-фактур;
3) обеспечения перечисления в бюджет денег плательщика налога, использованных для выписки электронного счета-фактуры;
4) возврата неиспользованных для выписки электронного счета-фактуры денег плательщика налога.
3. Правила проведения автоматизированного контроля устанавливаются уполномоченным органом и должны содержать:
1) порядок ведения налогового счета;
2) порядок учета балансовой суммы налога;
3) порядок пополнения плательщиком налога налогового счета;
4) порядок перечисления в бюджет денег плательщика налога, использованных для выписки электронного счета-фактуры;
5) порядок и сроки подачи и рассмотрения заявления плательщика налога о возврате денег;
6) порядок возврата денег плательщику налога;
7) период проведения автоматизированного контроля.
Статья 140. Порядок проведения автоматизированного контроля
1. В ходе автоматизированного контроля в информационной системе налогового органа производится расчет налога.
Расчет налога производится по следующей формуле:
Б=НДС1+НДС2+НДС3+НДС4-НДС5-НДС6, где:
Б - балансовая сумма налога;
НДС1 - общая сумма налога, указанного в электронных счетах-фактурах, полученных плательщиком налога;
НДС2 - общая сумма налога, уплаченного при импорте в соответствии с таможенным законодательством ЕАЭС и (или) таможенным законодательством Республики Казахстан;
НДС3 - общая сумма налога, уплаченного при приобретении работ, услуг от нерезидента;
НДС4 - общая сумма налога, относимого в зачет по товарам, приобретенным, созданным, построенным налогоплательщиком до даты постановки на регистрационный учет по налогу;
НДС5 - общая сумма налога, указанного в электронных счетах-фактурах, выписанных плательщиком налога;
НДС6 - общая сумма налога, начисленного при снятии с регистрационного учета по налогу по оборотам в виде остатка товаров.
Результаты расчета налога отражаются в информационной системе налогового органа и налоговом счете.
2. По итогам расчета налога в случае, если сумма налога, указанная в электронном счете-фактуре, не превышает балансовую сумму налога, то такому электронному счету-фактуре автоматически присваивается регистрационный номер.
Электронный счет-фактура, которому не присвоен регистрационный номер, считается не выписанным.
Плательщик налога вправе пополнить налоговый счет собственными деньгами для увеличения балансовой суммы налога.
3. Неиспользованные деньги для выписки электронного счета-фактуры подлежат возврату на банковский счет плательщика налога по его заявлению о возврате средств в течение одного рабочего дня.
Не заявленные к возврату деньги используются в счет обеспечения выписки электронных счетов-фактур следующего налогового периода.
4. Использованные средства для выписки электронного счета-фактуры по итогам отчетного налогового периода засчитываются в счет уплаты налога.
Параграф 2. Сопоставительный контроль
Статья 141. Сопоставительный контроль
1. Сопоставительный контроль - мероприятие, осуществляемое налоговым органом путем сопоставления выписанных налогоплательщиком электронных счетов-фактур с данными:
1) электронных счетов-фактур, выписанных его поставщиками;
2) налоговой отчетности;
3) сведений иных уполномоченных государственных органов по деятельности налогоплательщика, в том числе об объектах налогообложения и (или) объектах, связанных с налогообложением;
4) сведений банков второго уровня по банковским счетам.
Сопоставительный контроль проводится налоговым органом в целях установления фактического совершения оборота по реализации товаров, оказанию работ и услуг.
2. Сопоставительный контроль осуществляется по выписанным в пределах срока исковой давности электронным счетам-фактурам.
Статья 142. Проведение сопоставительного контроля
1. По результатам проведенного сопоставительного контроля в случае выявления операций по реализации товаров, выполнению работ и оказанию услуг, по которым у налогового органа имеются сомнения в фактическом их совершении, налогоплательщику, совершившему оборот по такой реализации, представляется уведомление о подтверждении фактического совершения оборота по реализации товаров, выполнению работ и оказанию услуг (далее в целях настоящей статьи - уведомление).
2. Уведомление исполняется налогоплательщиком в случае:
1) согласия с отсутствием факта совершения оборота по электронным счетам-фактурам, указанным в уведомлении, путем отзыва таких электронных счетов-фактур и представления пояснения об их отзыве;
2) несогласия с отсутствием факта совершения оборота по электронным счетам-фактурам, указанным в уведомлении, путем представления пояснения с обоснованием, подтверждающим фактическое совершение оборота, с обязательным приложением копий документов по операциям (сделкам) и (или) по происхождению товаров, а также любых других документов, подтверждающих фактическое выполнение работ, оказание услуг (далее в целях настоящей статьи - пояснение).
3. Пояснение представляется в произвольной форме и должно содержать:
1) идентификационные данные налогоплательщика и налогового органа, представившего уведомление;
2) номер и дату уведомления;
3) обоснование несогласия в соответствии с подпунктом 2) пункта 2 настоящей статьи.
Налогоплательщик к пояснению вправе приложить копии документов, подтверждающих его доводы.
Истребование налоговым органом документов, не относящихся к нарушениям, указанным в уведомлении, не допускается.
4. Уведомление признается неисполненным в случае, если представленное пояснение не подтверждает происхождение товаров, фактическое выполнение работ, оказание услуг по электронным счетам-фактурам, указанных в уведомлении.
5. Налоговый орган в течение десяти рабочих дней, следующих за днем поступления пояснения, выносит решение о признании уведомления неисполненным.
Решение о признании уведомления неисполненным (далее в целях настоящей статьи - решение) представляется налогоплательщику в течение двух рабочих дней, следующих за днем его вынесения.
6. Налоговый орган в течение одного рабочего дня, следующего за днем вынесения решения, приостанавливает выписку электронных счетов-фактур.
7. При неисполнении налогоплательщиком уведомления налоговый орган в течение одного рабочего дня, следующего за днем истечения срока исполнения такого уведомления:
1) выносит распоряжение о приостановлении расходных операций по банковским счетам налогоплательщика;
2) приостанавливает выписку электронных счетов-фактур.
8. Способы обеспечения, предусмотренные пунктами 5, 6 и 7 настоящей статьи, если иное не установлено указанными пунктами, применяются в порядке и сроки, которые установлены параграфом 4 главы 5 настоящего Кодекса.
9. Сведения о налогоплательщиках, которым приостановлена выписка электронных счетов-фактур, размещаются на интернет-ресурсе уполномоченного органа в течение одного рабочего дня, следующего за днем вынесения решения о приостановлении выписки электронных счетов-фактур.
10. Налоговый орган направляет извещение по взаиморасчетам, указанным в уведомлении, контрагентам налогоплательщика, уведомление которого признано неисполненным или не исполнившего уведомление.
Глава 14. НАЛОГОВЫЙ МОНИТОРИНГ
Статья 143. Общие положения налогового мониторинга
1. Налоговый мониторинг - сбор и анализ информации о деятельности отдельных категорий налогоплательщиков с целью контроля соблюдения налогового законодательства Республики Казахстан и законодательства Республики Казахстан о трансфертном ценообразовании.
2. Виды налогового мониторинга:
1) мониторинг крупных налогоплательщиков;
2) горизонтальный мониторинг, за исключением вопросов трансфертного ценообразования.
3. Мониторинг крупных налогоплательщиков осуществляется путем изучения информации и документов, представленных участником мониторинга крупных налогоплательщиков, в том числе по требованию уполномоченного органа.
Горизонтальный мониторинг осуществляется путем информационного взаимодействия между уполномоченным органом и участником горизонтального мониторинга.
В отношении участников горизонтального мониторинга, включенных в перечень участников мониторинга крупных налогоплательщиков, мониторинг крупных налогоплательщиков не осуществляется.
Параграф 1. Мониторинг крупных налогоплательщиков
Статья 144. Мониторинг крупных налогоплательщиков
1. Мониторинг крупных налогоплательщиков осуществляется в отношении налогоплательщиков, включенных в перечень участников мониторинга крупных налогоплательщиков (далее в целях настоящего параграфа - перечень участников).
2. В перечень участников включаются:
1) поверенное лицо (оператор) и (или) недропользователь (недропользователи), указанные в соглашении (контракте) о разделе продукции, заключенном между Правительством Республики Казахстан или компетентным органом и недропользователем до 1 января 2009 года и прошедшем обязательную налоговую экспертизу, и (или) осуществляющие деятельность на нефтегазоконденсатном или морском месторождении;
2) недропользователь, который на 1 октября года, предшествующего году введения в действие перечня участников, соответствует следующим условиям:
с недропользователем заключен контракт на разведку, добычу, совмещенную разведку и добычу полезных ископаемых, за исключением контрактов на разведку, добычу общераспространенных полезных ископаемых и подземных вод;
недропользователь отнесен к категории градообразующих юридических лиц в соответствии с перечнем, утверждаемым центральным уполномоченным органом в сфере региональной политики;
3) налогоплательщики, ежегодная сумма уплаченных налогов которыми составляет не менее 2 000 000-кратного размера месячного расчетного показателя, действующего на конец года, в котором подлежит утверждению перечень участников.
При этом ежегодная сумма уплаченных налогов определяется за каждый из трех календарных лет, предшествующих году, в котором подлежит утверждению перечень участников;
4) банки второго уровня и страховые организации, совокупный годовой доход без учета уменьшения, предусмотренного статьей 255 настоящего Кодекса, которых за налоговый период, предшествующий году, в котором подлежит утверждению перечень участников, превышает 3 000 000-кратный размер месячного расчетного показателя, действующего на конец года, в котором подлежит утверждению перечень участников;
5) первые триста крупных налогоплательщиков, имеющих наибольший совокупный годовой доход без учета уменьшения, предусмотренного статьей 255 настоящего Кодекса, из крупных налогоплательщиков, соответствующих условиям, установленным частью второй настоящего пункта.
Первые триста крупных налогоплательщиков, указанных в подпункте 5) части первой настоящего пункта, отбираются из числа налогоплательщиков, у которых сумма стоимостных балансов фиксированных активов на конец налогового периода составляет не менее 325 000-кратного месячного расчетного показателя, действующего на конец года, в котором подлежит утверждению перечень участников.
Для целей настоящей статьи:
1) совокупный годовой доход без учета уменьшения, предусмотренного статьей 255 настоящего Кодекса, определяется на основании данных декларации по корпоративному подоходному налогу за налоговый период, предшествующий году, в котором подлежит утверждению перечень участников;
2) сумма стоимостных балансов фиксированных активов определяется на основании налоговой отчетности за год, предшествующий году, в котором подлежит утверждению перечень участников.
3. Утвержденный перечень участников вводится в действие не ранее 1 января года, следующего за годом его утверждения, и действует в течение двух лет со дня введения его в действие.
Перечень участников формируется на основе данных налоговой отчетности, представленной по состоянию на 1 октября года, предшествующего году введения в действие перечня, предусмотренного частью первой настоящего пункта.
4. Перечень участников не подлежит пересмотру в течение периода его действия, за исключением случаев изменения условий, при которых налогоплательщики подлежат включению в перечень участников.
5. В случае, если по состоянию на 1 октября года, предшествующего году введения в действие перечня участников, налогоплательщик, подлежащий включению в перечень участников, находится на стадии ликвидации, такой налогоплательщик не подлежит включению в данный перечень.
В случае реорганизации участника мониторинга крупных налогоплательщиков его правопреемник (правопреемники) подлежит (подлежат) мониторингу крупных налогоплательщиков до введения в действие последующего перечня участников.
В случае ликвидации участника мониторинга крупных налогоплательщиков, а также со дня вступления в законную силу судебного акта о признании его банкротом, такой участник признается исключенным из перечня участников.
6. Участник мониторинга крупных налогоплательщиков на период действия соглашения о горизонтальном мониторинге не подлежит исключению из перечня участников.
Статья 145. Порядок проведения мониторинга крупных налогоплательщиков
1. В ходе проведения мониторинга крупных налогоплательщиков уполномоченный орган вправе требовать у участников мониторинга крупных налогоплательщиков представления:
1) документов и письменных пояснений, подтверждающих правильность исчисления налогов и своевременность уплаты (удержания и перечисления) налогов и платежей в бюджет;
2) финансовой отчетности участника и его дочерних организаций.
Срок исполнения участником мониторинга крупных налогоплательщиков требования составляет пятнадцать рабочих дней, следующих за днем вручения.
2. В случае выявления нарушений и расхождений по результатам мониторинга крупных налогоплательщиков уполномоченный орган представляет участнику мониторинга крупных налогоплательщиков рекомендацию по результатам мониторинга крупных налогоплательщиков (далее в целях настоящего параграфа - рекомендация) для самостоятельного устранения нарушений и расхождений.
Участник мониторинга крупных налогоплательщиков в течение пятнадцати рабочих дней, следующих за днем вручения рекомендации:
1) устраняет выявленные нарушения и расхождения - в случае согласия с указанными в рекомендации нарушениями и расхождениями;
2) представляет пояснение об отсутствии нарушений и расхождений (далее в целях настоящего параграфа - пояснение) -в случае несогласия с указанными в рекомендации нарушениями и расхождениями.
Уполномоченный орган проводит встречу с участником мониторинга крупных налогоплательщиков для обоснования нарушений и расхождений, а также доводов участника, изложенных в пояснении на рекомендацию.
3. В случае несогласия с изложенными доводами участника мониторинга крупных налогоплательщиков уполномоченный орган не позднее тридцати рабочих дней, следующих за днем получения пояснения, выносит мотивированное решение по мониторингу крупных налогоплательщиков (далее в целях настоящего параграфа - мотивированное решение).
Мотивированное решение представляется участнику мониторинга крупных налогоплательщиков в течение двух рабочих дней, следующих за днем вынесения.
Срок исполнения участником мониторинга крупных налогоплательщиков мотивированного решения составляет пять рабочих дней, следующих за днем вручения.
4. Неисполнение мотивированного решения является основанием для назначения налоговой проверки.
Параграф 2. Горизонтальный мониторинг
Статья 146. Горизонтальный мониторинг
1. Горизонтальный мониторинг - вид налогового мониторинга, осуществляемый путем информационного взаимодействия уполномоченного органа с участником горизонтального мониторинга, который:
1) основан на взаимном доверии;
2) направлен на минимизацию налоговых рисков;
3) заключается в изучении и анализе деятельности участника горизонтального мониторинга без вмешательства в его предпринимательскую деятельность и представлении следующих рекомендаций по результатам горизонтального мониторинга:
по вопросам исполнения налогового обязательства (далее - рекомендация по вопросам исполнения налогового обязательства);
по улучшению системы внутреннего контроля в сфере налогообложения (далее - рекомендация по улучшению системы внутреннего контроля в сфере налогообложения);
4) предоставляет возможность получения участником горизонтального мониторинга предварительных разъяснений.
2. Информационное взаимодействие осуществляется посредством использования витрины данных.
Витрина данных - информационная система, посредством которой осуществляется расширенное информационное взаимодействие между уполномоченным органом и налогоплательщиком в рамках горизонтального мониторинга.
Витрина данных предназначена для обмена информацией и документами, раскрытия данных налоговой отчетности путем размещения информации и документов налогового, бухгалтерского и иных видов учетов, первичных документов, а также отчетов участника горизонтального мониторинга по системе внутреннего контроля в сфере налогообложения.
Минимальные требования по организации витрины данных налогоплательщика для вступления в горизонтальный мониторинг утверждаются уполномоченным органом.
Система внутреннего контроля в сфере налогообложения включает свод правил, политик и организационных мер, применяемых налогоплательщиком в его бизнес-процессах для обеспечения достоверности налогового, бухгалтерского, производственного и иных видов учетов в целях достижения корректности исчисления налогового обязательства.
Требования к информации и отчетам по системе внутреннего контроля в сфере налогообложения утверждаются уполномоченным органом.
Порядок осуществления информационного взаимодействия устанавливается в регламенте информационного взаимодействия, являющегося неотъемлемой частью соглашения о горизонтальном мониторинге.
В регламенте информационного взаимодействия определяются также порядок и сроки предоставления уполномоченному органу удаленного доступа к просмотру данных программного обеспечения, предназначенного для автоматизации бухгалтерского и (или) налогового учетов.
3. Участник горизонтального мониторинга обеспечивает информационное взаимодействие по следующим налогам и платежам в бюджет:
1) корпоративный подоходный налог;
2) налог на добавленную стоимость;
3) индивидуальный подоходный налог;
4) социальный налог;
5) налог на имущество;
6) специальные платежи и налоги недропользователей;
7) акциз.
Указанный перечень налогов и платежей в бюджет не является исчерпывающим и может быть расширен в соглашении о горизонтальном мониторинге.
4. Налоговый контроль по налогам и платежам в бюджет, по которым не осуществляется информационное взаимодействие, проводится в общеустановленном порядке.
Статья 147. Участие в горизонтальном мониторинге
1. Участие в горизонтальном мониторинге является добровольным.
В горизонтальном мониторинге может принять участие налогоплательщик, соответствующий критериям отнесения налогоплательщика к отдельной категории налогоплательщиков, с которыми заключается соглашение о горизонтальном мониторинге.
Участие в горизонтальном мониторинге осуществляется после подписания соглашения о горизонтальном мониторинге и регламента информационного взаимодействия.
Форма соглашения о горизонтальном мониторинге, регламента информационного взаимодействия, критерии отнесения налогоплательщика к категории налогоплательщиков, с которыми заключается соглашение о горизонтальном мониторинге, устанавливаются в правилах заключения и расторжения соглашения о горизонтальном мониторинге, утверждаемых уполномоченным органом.
2. Для участия в горизонтальном мониторинге налогоплательщик представляет в уполномоченный орган заявление об участии в горизонтальном мониторинге с приложением общей информации о деятельности налогоплательщика, информации о системе внутреннего контроля в сфере налогообложения, информации о витрине данных, а также описания раскрытия показателей налоговой отчетности по налогам и платежам и их взаимосвязям с показателями налоговых, бухгалтерских регистров и иных документов, являющихся основанием для определения объектов налогообложения и (или) объектов, связанных с налогообложением.
Форма заявления об участии в горизонтальном мониторинге, а также формы приложений к заявлению, указанные в части первой настоящего пункта, сроки подачи и порядок их рассмотрения устанавливаются в правилах подачи и рассмотрения заявления об участии в горизонтальном мониторинге, которые утверждаются уполномоченным органом.
Изменения и дополнения к описанию раскрытия показателей налоговой отчетности по налогам и платежам и их взаимосвязям с показателями налоговых, бухгалтерских регистров и иных документов, являющихся основанием для определения объектов налогообложения и (или) объектов, связанных с налогообложением, после подписания соглашения о горизонтальном мониторинге вносятся путем внесения изменений и дополнений в регламент информационного взаимодействия.
Минимальные требования к раскрытию показателей налоговой отчетности, а также к их взаимосвязям с показателями налоговых, бухгалтерских регистров и иных документов, являющихся основанием для определения объектов налогообложения и (или) объектов, связанных с налогообложением, утверждаются уполномоченным органом.
3. Соглашение о горизонтальном мониторинге заключается на срок не менее трех лет с возможностью его продления и (или) расторжения.
Статья 148. Общие положения по порядку проведения горизонтального мониторинга
1. Осуществление горизонтального мониторинга начинается с первого января года, следующего за годом заключения соглашения о горизонтальном мониторинге.
Отчетным периодом, за который проводится горизонтальный мониторинг, является календарный год (далее в целях настоящего параграфа - отчетный период мониторинга).
2. Если иное не установлено пунктом 3 настоящей статьи, горизонтальный мониторинг за отчетный период мониторинга проводится как в течение указанного периода, так и после его окончания, но не позднее 30 июня второго года, следующего за годом окончания соответствующего отчетного периода мониторинга.
По окончании срока, указанного в части первой настоящего пункта, горизонтальный мониторинг в отношении отчетного периода мониторинга прекращается.
В случае представления участником горизонтального мониторинга дополнительной налоговой отчетности за налоговые периоды, входящие в отчетный период горизонтального мониторинга, менее чем за три месяца до прекращения проведения горизонтального мониторинга горизонтальный мониторинг продлевается, но не более чем на девяносто календарных дней.
3. Уполномоченный орган вправе возобновить проведение горизонтального мониторинга за отчетный период мониторинга, по которому проведение горизонтального мониторинга прекращено, на срок не более чем на сто двадцать календарных дней при:
1) представлении участником горизонтального мониторинга дополнительной налоговой отчетности за налоговые периоды, входящие в указанный отчетный период мониторинга;
2) получении ответов на запросы, направленные уполномоченным органом в период проведения горизонтального мониторинга;
3) получении сведений о деятельности участника горизонтального мониторинга, указывающих на предполагаемые нарушения налогового законодательства Республики Казахстан, подтвержденные документально.
Горизонтальный мониторинг возобновляется в рамках вопросов, отраженных в документах и сведениях, предусмотренных настоящим пунктом.
4. Горизонтальный мониторинг проводится уполномоченным органом на основе:
1) анализа информации и документов, налогового, бухгалтерского и иных видов учетов, первичных документов, размещенных в витрине данных;
2) отчетов участника горизонтального мониторинга по системе внутреннего контроля в сфере налогообложения за отчетный период мониторинга;
3) других документов и сведений о деятельности участника горизонтального мониторинга, имеющихся в налоговых органах.
Уполномоченный орган вправе запросить дополнительные информацию и документы, которые требуются для анализа в целях установления корректности налогового учета и расчета налоговых обязательств за отчетный период мониторинга.
5. В целях урегулирования разногласий между уполномоченным органом и участником горизонтального мониторинга, возникающих в ходе проведения горизонтального мониторинга, уполномоченным органом создается Консультативный совет.
Консультативный совет рассматривает вопросы:
1) отраженные в протоколе разногласий с участником горизонтального мониторинга;
2) расторжения соглашения о горизонтальном мониторинге. По итогам рассмотрения вопросов Консультативный совет выносит мотивированное решение.
Мотивированное решение о расторжении соглашения о горизонтальном мониторинге принимается в случаях, определенных в порядке проведения горизонтального мониторинга и установленных абзацем третьим пункта 6 статьи 149 настоящего Кодекса.
Состав Консультативного совета и положение о его деятельности определяются уполномоченным органом. При этом в состав Консультативного совета включаются представители уполномоченного органа и участника горизонтального мониторинга.
6. Порядок проведения горизонтального мониторинга определяется уполномоченным органом.
Статья 149. Рекомендации по результатам горизонтального мониторинга
1. В ходе проведения горизонтального мониторинга уполномоченный орган:
при выявлении нарушения налогового законодательства Республики Казахстан направляет участнику горизонтального мониторинга рекомендацию по вопросам исполнения налогового обязательства с описанием обоснований и доводов, свидетельствующих о факте нарушения налогового законодательства Республики Казахстан, для самостоятельного устранения;
вправе представлять участнику горизонтального мониторинга рекомендацию по улучшению системы внутреннего контроля в сфере налогообложения.
2. Участник горизонтального мониторинга в течение тридцати рабочих дней, следующих за днем вручения рекомендации по вопросам исполнения налогового обязательства и (или) рекомендации по улучшению системы внутреннего контроля в сфере налогообложения, в случае:
1) согласия с рекомендацией по вопросам исполнения налогового обязательства представляет дополнительную налоговую отчетность за налоговый период, к которому относятся выявленные нарушения, и информирует об этом уполномоченный орган;
2) согласия с рекомендацией по улучшению системы внутреннего контроля в сфере налогообложения представляет письмо с указанием сроков ее реализации;
3) несогласия с рекомендацией по вопросам исполнения налогового обязательства и (или) рекомендацией по улучшению системы внутреннего контроля в сфере налогообложения представляет пояснение.
3. Уполномоченный орган в течение тридцати рабочих дней, следующих за днем получения пояснения участника горизонтального мониторинга на рекомендацию по вопросам исполнения налогового обязательства и (или) рекомендации по улучшению системы внутреннего контроля в сфере налогообложения:
1) представляет участнику горизонтального мониторинга извещение о согласии с пояснением - в случае согласия с представленным пояснением;
2) проводит с участником горизонтального мониторинга дополнительное обсуждение - в случае несогласия с представленным пояснением.
В случае, если по результатам дополнительного обсуждения разногласия не устранены, уполномоченный орган составляет протокол разногласий с участником горизонтального мониторинга.
4. Консультативный совет по итогам рассмотрения вопросов, отраженных в протоколе разногласий, принимает одно из следующих мотивированных решений по горизонтальному мониторингу (далее в целях настоящего параграфа -мотивированное решение):
1) об оставлении рекомендаций по вопросам исполнения налогового обязательства и (или) улучшению системы внутреннего контроля в сфере налогообложения без изменения;
2) об отмене рекомендаций по вопросам исполнения налогового обязательства и (или) улучшению системы внутреннего контроля в сфере налогообложения полностью или в части.
Мотивированное решение вручается участнику горизонтального мониторинга в течение пяти рабочих дней, следующих за днем принятия такого решения.
5. Участник горизонтального мониторинга в случае:
1) несогласия с мотивированным решением извещает об этом уполномоченный орган в течение пяти рабочих дней, следующих за днем вручения такого решения;
2) согласия с мотивированным решением:
по вопросам исполнения налогового обязательства - исполняет такое решение в течение пятнадцати рабочих дней, следующих за днем вручения такого решения;
по улучшению системы внутреннего контроля в сфере налогообложения - исполняет такое решение с указанием сроков его реализации, о чем извещает уполномоченный орган в течение пятнадцати рабочих дней, следующих за днем вручения такого решения.
6. В случае несогласия с мотивированным решением по горизонтальному мониторингу по вопросам исполнения налогового обязательства и (или) неисполнения такого решения проводится тематическая налоговая проверка.
При этом мотивированное решение, определенное частью первой настоящего пункта, признается предварительным актом налогового органа, предусматривающим назначение налоговой проверки, а пояснения участника горизонтального мониторинга - позицией к такому предварительному решению.
В случае несогласия с мотивированным решением по горизонтальному мониторингу по вопросам улучшения системы внутреннего контроля в сфере налогообложения и (или) неисполнения такого решения уполномоченный орган выносит на Консультативный совет вопрос о расторжении соглашения о горизонтальном мониторинге.
Статья 150. Порядок представления предварительного разъяснения
1. Уполномоченный орган представляет предварительное разъяснение по запросу участника горизонтального мониторинга о представлении предварительного разъяснения (далее в целях настоящей главы - запрос) по возникновению налогового обязательства в отношении планируемых сделок (операций).
2. Запрос должен содержать:
1) идентификационные данные участника горизонтального мониторинга;
2) описание цели и условий планируемой сделки (операции), в том числе прав и обязанностей сторон;
3) позицию участника горизонтального мониторинга по вопросу исчисления налогов и платежей в бюджет в отношении планируемой сделки (операции);
4) перечень прилагаемых документов, в том числе подтверждающих сведения, указанные в запросе (при наличии);
5) дату подписания.
В запросе могут быть указаны и иные сведения, имеющие значение для подготовки предварительного разъяснения.
3. Участник горизонтального мониторинга вправе отозвать запрос до даты представления уполномоченным органом предварительного разъяснения.
4. Несоблюдение участником горизонтального мониторинга требований, установленных пунктом 2 настоящей статьи, является основанием для отказа в рассмотрении запроса.
5. Рассмотрение запроса осуществляется в порядке, определенном Административным процедурно-процессуальным кодексом Республики Казахстан.
6. В ходе подготовки предварительного разъяснения уполномоченный орган вправе приглашать участника горизонтального мониторинга для получения дополнительных сведений, имеющих значение для подготовки предварительного разъяснения.
7. Предварительное разъяснение представляется в пределах сведений и документов, представленных участником горизонтального мониторинга.
Глава 15. НАЛОГОВЫЙ КОНТРОЛЬ
Параграф 1. Общие положения налогового контроля
Статья 151. Налоговый контроль
1. Налоговый контроль - государственный контроль, осуществляемый налоговыми органами, за исполнением норм налогового законодательства Республики Казахстан и иного законодательства Республики Казахстан, контроль за соблюдением которого возложен на налоговые органы.
2. Налоговый контроль осуществляется путем проведения налоговой проверки исключительно налоговыми органами.
3. Общий порядок проведения налоговой проверки определяется настоящим Кодексом, а также Предпринимательским кодексом Республики Казахстан в части, не урегулированной настоящим Кодексом.
Статья 152. Налоговая проверка
1. Налоговая проверка осуществляется в форме комплексной, тематической, встречной налоговой проверки, хронометражного обследования.
Период, подлежащий налоговой проверке, не должен превышать срок исковой давности.
Налоговые органы вправе осуществлять налоговые проверки структурных подразделений юридического лица независимо от проведения налоговой проверки самого юридического лица.
2. Налоговая проверка в отношении сотрудников органов, осуществляющих в соответствии с Законом Республики Казахстан «Об оперативно-розыскной деятельности» оперативно-розыскную деятельность, проводится в особом порядке.
Особый порядок проведения налоговой проверки определяется уполномоченным органом совместно со специальными государственными органами, органами военной разведки Министерства обороны Республики Казахстан, правоохранительными органами.
3. При определении проверяемого периода не включается налоговый период, охваченный аудитом по налогам, при назначении:
1) комплексной налоговой проверки, за исключением назначаемых при реорганизации или ликвидации юридического лица - резидента, структурного подразделения юридического лица - нерезидента;
2) тематической налоговой проверки по налоговому заявлению или жалобе самого налогоплательщика (налогового агента), в том числе:
по налоговому заявлению в связи со снятием с регистрационного учета плательщика по налогу на добавленную стоимость;
в связи с жалобой налогоплательщика (налогового агента) на уведомление о результатах налоговой проверки.
Положение части первой настоящего пункта не распространяется на налоговые проверки в отношении:
1) налогоплательщиков, подлежащих налоговому мониторингу;
2) недропользователей;
3) налогоплательщиков, осуществляющих виды деятельности по производству и обороту отдельных видов подакцизной продукции, биотоплива.
4. Налоговая проверка назначается в соответствии с настоящим Кодексом с учетом показателя коэффициента налоговой нагрузки.
При этом комплексная налоговая проверка не назначается за налоговый период, в котором у налогоплательщика коэффициент налоговой нагрузки составляет не менее 90 процентов верхнего показателя коэффициента налоговой нагрузки по соответствующему виду деятельности и с учетом региона осуществления деятельности.
Положения части второй настоящего пункта не распространяются на случай назначения комплексной налоговой проверки по заявлению самого налогоплательщика, по основаниям, предусмотренным Уголовно-процессуальным законодательством Республики Казахстан, по требованию органов прокуратуры.
Статья 153. Случаи и основания для назначения налоговой проверки
1. Налоговая проверка назначается в случаях:
1) подачи налогоплательщиком (налоговым агентом) заявления, требования, предусмотренных настоящим Кодексом;
2) наличия оснований, предусмотренных Уголовно-процессуальным кодексом Республики Казахстан;
3) принятия налоговым органом решения о проведении налоговой проверки.
Порядок и основание принятия решения налогового органа о проведении налоговой проверки определяются уполномоченным органом;
4) истечения срока действия контракта на недропользование, за исключением случаев переоформления права недропользования на лицензионный режим недропользования.
2. Налоговая проверка проводится на основании предписания.
3. Налоговая проверка может проводиться за ранее проверенный период.
Налоговая проверка за ранее проверенный период проводится:
1) по заявлению, требованию, жалобе налогоплательщика (налогового агента);
2) по основаниям, предусмотренным Уголовно-процессуальным кодексом Республики Казахстан;
3) на основании решения уполномоченного органа.
В случае подачи налогоплательщиком (налоговым агентом) жалобы в суд на уведомление о результатах налоговой проверки налоговая проверка по обжалуемому вопросу за ранее проверенный период не проводится до вступления в законную силу судебного акта.
4. За налоговые периоды нахождения налогоплательщика в горизонтальном мониторинге налоговая проверка не проводится, за исключением:
1) встречных проверок;
2) налоговых проверок по заявлению, требованию, жалобе налогоплательщика (налогового агента);
3) налоговых проверок по основаниям, предусмотренным Уголовно-процессуальным кодексом Республики Казахстан;
4) налоговых проверок в связи с несогласием с мотивированным решением по горизонтальному мониторингу по вопросам исполнения налогового обязательства и (или) неисполнением такого решения;
5) налоговых проверок по вопросам наличия сопроводительных накладных на товары и соответствия наименования, количества (объема) товаров сведениям, указанным в сопроводительных накладных на товары:
при перемещении, реализации и (или) отгрузке товаров по территории Республики Казахстан, в том числе осуществляемых международными автомобильными перевозками между государствами - членами ЕАЭС;
при ввозе товаров на территорию Республики Казахстан с территории государств, не являющихся членами ЕАЭС, и государств - членов ЕАЭС;
при вывозе товаров с территории Республики Казахстан на территорию государств, не являющихся членами ЕАЭС, и государств - членов ЕАЭС;
6) налоговых проверок по вопросам наличия и подлинности средств идентификации и учетно-контрольных марок;
7) налоговых проверок по вопросам наличия лицензии;
8) налоговых проверок по вопросам наличия товарно-транспортных накладных на импортируемые и перемещаемые между государствами - членами ЕАЭС товары и соответствия наименования товаров сведениям, указанным в товарно-транспортных накладных;
9) налоговых проверок по вопросам соблюдения порядка применения контрольно-кассовых машин;
10) налоговых проверок по вопросам соблюдения законодательства Республики Казахстан о разрешениях и уведомлениях и условий производства, хранения и реализации отдельных видов подакцизных товаров;
11) налоговых проверок по вопросам наличия и подлинности на товаре средства идентификации по товарам, подлежащим обязательной маркировке в соответствии с международными договорами, ратифицированными Республикой Казахстан, и (или) законодательством Республики Казахстан;
12) налоговых проверок по вопросам государственного регулирования производства и оборота отдельных видов подакцизных товаров, а также оборота авиационного топлива, биотоплива, мазута;
13) налоговых проверок по вопросам определения взаиморасчетов между налогоплательщиком и его дебиторами;
14) налоговых проверок по вопросам трансфертного ценообразования.
Статья 154. Предписание налогового органа
1. Предписание налогового органа должно содержать:
1) дату и номер регистрации предписания в налоговом органе;
2) идентификационные данные налогоплательщика (налогового агента) - в случаях, когда налоговая проверка назначается непосредственно в отношении налогоплательщика (налогового агента);
3) наименование налогового органа, вынесшего предписание;
4) вид в случаях, предусмотренных Предпринимательским кодексом, и форму налоговой проверки;
5) срок налоговой проверки, проверяемые периоды, за исключением хронометражного обследования, - в случаях, когда налоговая проверка назначается непосредственно в отношении налогоплательщика (налогового агента);
6) проверяемый участок территории, вопросы, подлежащие выяснению в ходе налоговой проверки, - в случаях, когда налоговая проверка назначается не в отношении конкретного налогоплательщика (налогового агента);
7) фамилии, имена и отчества должностных лиц налогового органа, уполномоченных на проведение налоговой проверки, а также специалистов, привлекаемых для участия в проведении налоговой проверки в соответствии с настоящим Кодексом.
Предписание налогового органа может выписываться в форме электронного документа.
2. При назначении налоговых проверок, за исключением хронометражного обследования, в предписании налогового органа указываются вопросы, подлежащие проверке, в зависимости от формы налоговой проверки.
В предписании на проведение комплексной налоговой проверки виды проверяемых налогов, платежей в бюджет и социальные платежи не указываются.
3. Предписание подписывается первым руководителем налогового органа или лицом, его замещающим, если иное не установлено настоящим пунктом.
Предписание на проведение встречной налоговой проверки, а также хронометражного обследования может быть подписано заместителем руководителя налогового органа либо лицом, его замещающим.
4. Дополнительное предписание выписывается налоговым органом в случае:
1) продления сроков проведения налоговой проверки;
2) изменения количества и (или) замены должностных лиц налогового органа, проводящих налоговую проверку;
3) изменения проверяемого периода.
Дополнительное предписание должно содержать:
1) номер и дату регистрации предыдущего предписания;
2) фамилии, имена и отчества должностных лиц налогового органа и специалистов, привлекаемых к проведению налоговой проверки в соответствии с настоящим Кодексом.
Статья 155. Комплексная налоговая проверка
1. Комплексная налоговая проверка - налоговая проверка по вопросам исполнения налогового обязательства по всем видам налогов, платежей в бюджет и социального обязательства.
В комплексную налоговую проверку могут быть включены вопросы тематических налоговых проверок.
2. При ликвидации или прекращении деятельности налогоплательщика проводится исключительно комплексная налоговая проверка (далее - ликвидационная налоговая проверка).
При снятии с регистрационного учета структурного подразделения юридического лица - резидента комплексная налоговая проверка не проводится, за исключением случая представления налогоплательщиком заявления на проведение такой проверки.
Статья 156. Тематическая налоговая проверка
1. Тематическая налоговая проверка - налоговая проверка исполнения налогового обязательства по отдельным видам налогов и (или) платежей в бюджет и (или) социального обязательства и иных требований настоящего Кодекса и законодательства Республики Казахстан, контроль за соблюдением которого возложен на налоговый орган.
2. Тематическая налоговая проверка проводится по вопросам:
1) исполнения налогового обязательства по отдельным видам налогов и (или) платежей в бюджет;
2) полноты и своевременности исчисления, удержания и перечисления социальных платежей;
3) определения налогового обязательства по действию (действиям) по выписке счета-фактуры, совершение которого (которых) признано судом осуществленным (осуществленными) без фактического выполнения работ, оказания услуг, отгрузки товаров;
4) определения налогового обязательства по взаиморасчетам с налогоплательщиком (налогоплательщиками), в отношении которого (которых) проводится досудебное расследование по факту совершения действий по выписке счета-фактуры без фактического выполнения работ, оказания услуг, отгрузки товаров;
5) определения налогового обязательства по взаиморасчетам с налогоплательщиком (налогоплательщиками), в отношении которого (которых) налоговым органом применено приостановление выписки электронных счетов-фактур в соответствии с подпунктом 1) пункта 1 статьи 88 настоящего Кодекса;
6) определения взаиморасчетов между налогоплательщиком и его дебиторами;
7) наличия товарно-транспортных накладных на импортируемые и перемещаемые между государствами -членами ЕАЭС товары и соответствия наименования товаров сведениям, указанным в товарно-транспортных накладных;
8) наличия сопроводительных накладных на товары и соответствия наименования, количества (объема) товаров сведениям, указанным в сопроводительных накладных на товары:
при перемещении, реализации и (или) отгрузке товаров по территории Республики Казахстан, в том числе осуществляемых международными автомобильными перевозками между государствами - членами ЕАЭС;
при ввозе товаров на территорию Республики Казахстан с территории государств, не являющихся членами ЕАЭС, и государств - членов ЕАЭС;
при вывозе товаров с территории Республики Казахстан на территорию государств, не являющихся членами ЕАЭС, и государств - членов ЕАЭС;
9) подтверждения наличия остатков товаров, включенных в перечень товаров, к которым применяются пониженные ставки таможенных пошлин в связи с присоединением Республики Казахстан к Всемирной торговой организации;
10) правомерности применения положений международных договоров;
11) подтверждения предъявленного нерезидентом к возврату подоходного налога из бюджета в связи с применением положений международного договора, регулирующего вопросы избежания двойного налогообложения и предотвращения уклонения от уплаты налогов;
12) изложенным в обращении нерезидента, о повторном рассмотрении налогового заявления на возврат подоходного налога из бюджета в связи с применением положений международного договора, регулирующего вопросы избежания двойного налогообложения и предотвращения уклонения от уплаты налогов;
13) наличия документов, предусмотренных нормативными правовыми актами Республики Казахстан, принятыми в реализацию международных договоров при вывозе товаров с территории Республики Казахстан на территорию государств - членов ЕАЭС и соответствия товаров сведениям, указанным в документах;
14) исполнения лицом и (или) структурным подразделением юридического лица требований, установленных настоящим Кодексом, при получении, расходовании денег и (или) иного имущества от иностранных государств, международных и иностранных организаций, иностранцев, лиц без гражданства, в отдельных случаях;
15) наличия и подлинности на товаре средств идентификации по товарам, подлежащим обязательной маркировке в соответствии с международными договорами, ратифицированными Республикой Казахстан, и (или) законодательством Республики Казахстан;
16) соблюдения требований законодательств Республики Казахстан о государственном регулировании производства и оборота отдельных видов подакцизных товаров, а также оборота авиационного топлива, биотоплива, мазута;
17) наличия и подлинности средств идентификации и учетно-контрольных марок;
18) наличия лицензии;
19) постановки на регистрационный учет в налоговых органах;
20) исполнения налогового обязательства по налогу на добавленную стоимость и (или) акцизу по товарам, импортированным на территорию Республики Казахстан с территории государств - членов ЕАЭС;
21) подтверждения достоверности сумм превышения налога на добавленную стоимость, в том числе предъявленных к возврату;
22) подтверждения фактического совершения оборота по реализации товаров, выполнению работ и оказанию услуг;
23) соблюдения порядка выписки электронных счетов-фактур;
24) подтверждения наличия нарушений, указанных в уведомлении о расхождениях, выявленных по результатам камерального контроля;
25) соблюдения требований налоговой регистрации;
26) соблюдения порядка применения контрольно-кассовых машин и (или) трехкомпонентной интегрированной системы;
27) наличия контрольно-кассовых машин и (или) трехкомпонентной интегрированной системы;
28) наличия оборудования (устройства), предназначенного для осуществления платежей с использованием платежных карточек;
29) неисполнения мотивированного решения по мониторингу крупных налогоплательщиков;
30) несогласия с мотивированным решением по горизонтальному мониторингу по вопросам исполнения налогового обязательства и (или) неисполнения такого решения;
31) изложенным в жалобе налогоплательщика (налогового агента) на уведомление о результатах налоговой проверки;
32) исполнения банковскими организациями обязанностей, установленных:
настоящим Кодексом;
Социальным кодексом Республики Казахстан;
Законом Республики Казахстан «Об обязательном социальном медицинском страховании»;
иным законодательством Республики Казахстан, контроль за соблюдением которого возложен на налоговые органы;
33) соблюдения законодательства Республики Казахстан о разрешениях и уведомлениях и условий производства, хранения и реализации отдельных видов подакцизных товаров;
34) трансфертного ценообразования;
35) исполнения распоряжения о приостановлении расходных операций по кассе налогоплательщика (налогового агента).
Тематическая налоговая проверка может проводиться одновременно по нескольким вопросам.
3. Налоговые органы не вправе осуществлять тематическую налоговую проверку действий по выписке счета-фактуры, совершение которых судом признано осуществленным без фактического выполнения работ, оказания услуг, отгрузки товаров, до направления налогоплательщику (налоговому агенту) уведомления о расхождениях, выявленных по результатам камерального контроля и истечения срока его исполнения.
4. По согласованию с объединениями субъектов частного предпринимательства представители таких объединений могут быть привлечены для участия при проведении тематической налоговой проверки, назначенной не в отношении конкретного налогоплательщика (налогового агента).
Представители объединений субъектов частного предпринимательства осуществляют контроль за соблюдением прав налогоплательщика (налогового агента) при проведении указанных тематических налоговых проверок.
5. Тематическая налоговая проверка проводится одновременно по вопросам исполнения налогового обязательства по отдельным видам налогов и (или) платежей в бюджет и подтверждения достоверности сумм превышения налога на добавленную стоимость, в том числе предъявленных к возврату, при назначении по одному из следующих оснований:
1) налогового заявления налогоплательщика о возврате суммы превышения налога на добавленную стоимость для применения порядка возврата превышения суммы налога на добавленную сумму в течение двадцати налоговых периодов равными долями - по подтверждению достоверности сумм превышения налога на добавленную стоимость;
2) требования налогоплательщика о возврате суммы превышения налога на добавленную стоимость, указанной в декларации по налогу на добавленную стоимость, - по подтверждению достоверности сумм превышения налога на добавленную стоимость, предъявленных к возврату.
Статья 157. Встречная налоговая проверка
1. Встречная налоговая проверка - вспомогательная налоговая проверка лиц, осуществлявших операции с налогоплательщиком (налоговым агентом), в отношении которого проводится комплексная или тематическая налоговая проверка, с целью получения дополнительной информации о таких операциях, подтверждения факта и содержания операций по вопросам, возникающим в ходе налоговой проверки указанного налогоплательщика (налогового агента).
При этом встречная налоговая проверка проводится за период, который соответствует проверяемому периоду налогоплательщика (налогового агента) в пределах срока исковой давности.
2. Встречная налоговая проверка назначается в порядке, определяемом уполномоченным органом.
3. Встречной налоговой проверкой также признается проверка, проводимая:
1) по запросам налоговых или правоохранительных органов других государств, международных организаций в соответствии с международными договорами (соглашениями) о взаимном сотрудничестве между налоговыми или правоохранительными органами, одной из сторон которых является Республика Казахстан, а также договорами, заключенными Республикой Казахстан с международными организациями;
2) в отношении лиц, осуществлявших операции с участниками горизонтального мониторинга.
Статья 158. Хронометражное обследование
1. Хронометражное обследование - налоговая проверка, проводимая налоговым органом с целью установления фактического дохода налогоплательщика и фактических затрат, связанных с деятельностью, направленной на получение дохода, за период, в течение которого проводится обследование.
2. Результаты хронометражного обследования:
1) используются в системе управления налоговыми рисками;
2) учитываются при проведении начислений сумм налогов и платежей в бюджет по итогам комплексной или тематической налоговой проверки.
3. Решение о проведении хронометражного обследования выносится налоговым органом по месту нахождения, указанному в регистрационных данных налогоплательщика, и (или) по месту нахождения объекта налогообложения и (или) объекта, связанного с налогообложением, в порядке, определяемом уполномоченным органом.
Статья 159. Участники налоговой проверки
1. Участниками налоговой проверки являются:
1) должностные лица налогового органа, проводящие налоговую проверку;
2) специалисты, привлекаемые налоговым органом к проведению налоговой проверки в соответствии с настоящим Кодексом, указанные в предписании (далее - специалист);
3) проверяемые лица:
при тематических налоговых проверках, назначенных не в отношении конкретного налогоплательщика (налогового агента), - налогоплательщик, в том числе государств - членов ЕАЭС и государств, не являющихся членами ЕАЭС, на участке территории, указанном в предписании;
при других формах налоговых проверок - налогоплательщик (налоговый агент), указанный в предписании.
2. Для исследования вопросов, требующих специальных знаний и навыков, и получения консультаций налоговый орган вправе привлекать к налоговой проверке специалиста, обладающего такими специальными знаниями и навыками, в том числе должностных лиц иных государственных органов Республики Казахстан.
По вопросам, представленным на бумажном носителе или в форме электронного документа, поставленным должностным лицом налогового органа, специалист, привлеченный к проверке, составляет заключение, которое используется в ходе налоговой проверки.
Копии таких письменных вопросов и заключения прилагаются к акту налоговой проверки, в том числе к экземпляру, вручаемому налогоплательщику (налоговому агенту).
3. Налоговая проверка осуществляется также в отношении уполномоченного представителя участников простого товарищества (консорциума), ответственного за ведение сводного налогового учета по такой деятельности, для получения сведений о проверяемом налогоплательщике (налоговом агенте) по вопросам, связанным с предпринимательской деятельностью проверяемого налогоплательщика (налогового агента).
Статья 160. Права и обязанности должностных лиц налогового органа при проведении налоговой проверки
1. При проведении налоговой проверки за проверяемый период должностные лица налогового органа имеют право:
1) требовать и получать от банковских организаций документы и сведения о наличии и номерах банковских счетов проверяемого лица, а также документы и сведения, касающиеся остатков и движения денег по счетам налогоплательщиков (проверяемых лиц), необходимые для проведения проверки, в том числе содержащие банковскую тайну в соответствии с законодательством Республики Казахстан;
2) запрашивать и получать у государственных органов необходимые для проведения проверки документы и сведения, в том числе составляющие коммерческую, банковскую, налоговую и иную охраняемую законом тайну в соответствии с законами Республики Казахстан;
3) требовать и получать учетную документацию на бумажных и электронных носителях, а также доступ к автоматизированным базам данных (информационным системам) в соответствии с предметом налоговой проверки;
4) требовать и получать письменные пояснения от налогоплательщика, в том числе его работников, по вопросам, возникающим в ходе налоговой проверки;
5) направлять запросы государственным и иным органам (организациям) иностранных государств по вопросам, возникшим в ходе проведения налоговой проверки;
6) требовать от налогоплательщика (налогового агента) предоставления права доступа к просмотру данных программного обеспечения, предназначенного для автоматизации бухгалтерского и налогового учетов, и (или) информационной системе, используемых им и содержащих:
данные первичных учетных документов;
данные регистров бухгалтерского учета;
информацию об объектах налогообложения и (или) объектах, связанных с налогообложением.
Положение части первой настоящего подпункта, за исключением случая предъявления такого требования в ходе осуществления горизонтального мониторинга и проведения налоговой проверки в отношении доходов и расходов, не распространяется на программное обеспечение и (или) информационную систему банковских организаций, содержащие сведения, составляющие банковскую тайну в соответствии с законами Республики Казахстан;
7) обследовать имущество, являющееся объектом налогообложения и (или) объектом, связанным с налогообложением, независимо от его места нахождения, проводить инвентаризацию имущества проверяемого лица (кроме жилых помещений), в том числе на соответствие сведениям, указанным в товарно-транспортных накладных;
8) определять косвенным методом объекты налогообложения и (или) объекты, связанные с налогообложением, в порядке, определенном настоящим Кодексом;
9) осуществлять иные права в соответствии с настоящим Кодексом и законами Республики Казахстан.
2. При проведении налоговой проверки должностные лица налогового органа обязаны:
1) соблюдать права и законные интересы проверяемого лица, не допускать причинения вреда проверяемому лицу неправомерными решениями и действиями (бездействием);
2) обеспечивать сохранность документов, полученных и составленных при проведении налоговой проверки, не разглашать их содержание без согласия проверяемого лица, за исключением случаев, предусмотренных законами Республики Казахстан;
3) соблюдать служебную этику;
4) не нарушать установленный режим работы проверяемого налогоплательщика в период проведения налоговой проверки;
5) предоставлять по требованию проверяемого лица необходимую информацию о положениях настоящего Кодекса, касающихся порядка проведения налоговых проверок;
6) предъявлять при проведении налоговой проверки представителям проверяемого лица предписание, а также свои служебные удостоверения либо идентификационные карты;
7) исполнять иные обязанности, предусмотренные настоящим Кодексом.
Статья 161. Права и обязанности налогоплательщика (налогового агента) при проведении налоговой проверки
1. Налогоплательщик (налоговый агент) при проведении налоговой проверки вправе:
1) запрашивать у налогового органа и получать от них информацию о положениях настоящего Кодекса и законодательства Республики Казахстан, касающихся порядка проведения проверки;
2) требовать от должностных лиц налоговых органов, проводящих налоговую проверку, предъявления предписания о проведении налоговой проверки, а также служебных удостоверений либо идентификационных карт;
3) присутствовать при проведении налоговой проверки и давать объяснения по вопросам, относящимся к предмету налоговой проверки;
4) представлять в порядке, определенном налоговым законодательством Республики Казахстан, письменное возражение к предварительному акту налоговой проверки;
5) предоставлять стандартный файл проверки - данные бухгалтерского учета в электронном формате, позволяющем осуществлять анализ посредством информационных систем налогового органа.
Требования к стандартному файлу, порядок его составления и предоставления устанавливаются уполномоченным органом;
6) пользоваться иными правами, предусмотренными настоящим Кодексом.
2. Налогоплательщик (налоговый агент) при проведении налоговых проверок обязан:
1) представлять по требованию должностных лиц налогового органа в установленные сроки документы и сведения на бумажном и электронном носителях;
2) представлять учетную документацию, составленную налогоплательщиком (налоговым агентом);
3) обеспечить беспрепятственный доступ должностным лицам налогового органа, проводящим налоговую проверку, и должностным лицам, привлекаемым для участия в проведении такой проверки, к территории и (или) помещениям проверяемого лица и предоставить им рабочее место;
4) обеспечить проведение инвентаризации в ходе налоговых проверок;
5) представлять по требованию должностных лиц налогового органа, проводящих налоговую проверку, письменные и устные пояснения по вопросам деятельности налогоплательщика (налогового агента);
6) предоставлять доступ к просмотру данных программного обеспечения, предназначенного для автоматизации бухгалтерского и налогового учетов, и (или) информационной системе, используемых им и содержащих:
данные первичных учетных документов;
данные регистров бухгалтерского учета;
информацию об объектах налогообложения и (или) объектах, связанных с налогообложением;
7) исполнять иные обязанности, предусмотренные настоящим Кодексом и законами Республики Казахстан.
При проведении тематических проверок по вопросам, указанным в подпунктах 7), 8), 9), 13) и 15) пункта 2 статьи 156 настоящего Кодекса, расходы по разгрузке, погрузке, хранению, возникающие при проведении проверки, возмещаются проверяемыми лицами.
Параграф 2. Порядок и сроки проведения налоговой проверки
Статья 162. Начало проведения налоговой проверки
1. Датой начала проведения налоговой проверки считается дата вручения налогоплательщику (налоговому агенту) предписания налогового органа лично под роспись, если иное не установлено пунктом 6 настоящей статьи.
2. Предписание налогового органа представляется налогоплательщику (налоговому агенту) в течение трех рабочих дней, следующих за днем выписки.
Налогоплательщик (налоговый агент) на экземпляре предписания налогового органа ставит подпись об ознакомлении и получении, а также дату и время получения.
Положения частей первой и второй настоящего пункта не распространяются на тематические налоговые проверки, назначенные не в отношении конкретного налогоплательщика (налогового агента).
3. При проведении тематической налоговой проверки, назначенной не в отношении конкретного налогоплательщика (налогового агента), налогоплательщику (налоговому агенту) или его работнику, осуществляющему реализацию товаров, выполнение работ или оказание услуг, предъявляется оригинал предписания для ознакомления и вручается его копия.
В оригинале предписания налогового органа налогоплательщиком (налоговым агентом) или его работником, осуществляющим реализацию товаров, выполнение работ или оказание услуг:
вносится соответствующая запись об ознакомлении с предписанием налогового органа и получении копии;
ставятся подпись, дата и время получения копии предписания налогового органа.
4. В случае отказа налогоплательщика (налогового агента) в получении предписания налогового органа должностное лицо налогового органа:
1) производит видеофиксацию факта отказа;
2) делает на экземпляре предписания налогового органа соответствующую запись;
3) составляет акт об отказе в получении предписания налогового органа с привлечением понятых.
5. Отказ налогоплательщика (налогового агента) в получении предписания налогового органа не является основанием для отмены налоговой проверки.
Отказ налогоплательщика (налогового агента) от получения предписания налогового органа означает недопуск должностных лиц налогового органа к налоговой проверке.
Положение части второй настоящего пункта не применяется при наличии права налогоплательщика (налогового агента) отказать должностным лицам налогового органа в доступе к территории и (или) помещениям.
6. В случае отказа налогоплательщика (налогового агента) от получения предписания налогового органа датой начала проведения проверки считается дата составления акта об отказе в получении предписания.
7. В период проведения налоговой проверки не допускается прекращение данной налоговой проверки по:
1) налоговому заявлению налогоплательщика (налогового агента);
2) прекращению уголовного дела и налоговой проверки по основаниям, предусмотренным Уголовно-процессуальным кодексом Республики Казахстан, если проверка проводится в рамках досудебного расследования.
8. При обжаловании налогоплательщиком предписания налогового органа в период осуществления налоговой проверки приостановление такой налоговой проверки не допускается.
Статья 163. Срок проведения налоговых проверок
1. Срок проведения налоговой проверки, указываемый в предписании налогового органа, не должен превышать тридцать рабочих дней с даты вручения предписания, если иное не установлено настоящей статьей.
2. Срок проведения налоговой проверки в отношении юридических лиц, не имеющих структурных подразделений, индивидуальных предпринимателей и нерезидентов, осуществляющих деятельность через постоянные учреждения при наличии не более одного места нахождения в Республике Казахстан, назначенной:
1) налоговым органом, может быть продлен:
налоговым органом - до сорока рабочих дней;
вышестоящим налоговым органом - до пятидесяти рабочих дней;
2) уполномоченным органом, может быть продлен до пятидесяти рабочих дней.
3. Срок проведения налоговой проверки в отношении юридических лиц, имеющих структурные подразделения, и нерезидентов, осуществляющих деятельность через постоянные учреждения, при наличии более одного места нахождения в Республике Казахстан, назначенной:
1) налоговым органом, может быть продлен:
налоговым органом - до шестидесяти пяти рабочих дней;
вышестоящим налоговым органом - до ста шестидесяти рабочих дней;
2) уполномоченным органом, может быть продлен уполномоченным органом до ста шестидесяти рабочих дней.
Срок проведения налоговой проверки, указанной в пунктах 2 и 3 настоящей статьи, не должен превышать сто восемьдесят календарных дней со дня начала проведения такой проверки, за исключением налоговых проверок в отношении субъектов крупного предпринимательства или при направлении в иностранные государства запроса о предоставлении информации и получения по нему сведений в соответствии с международными соглашениями.
4. Срок проведения налоговой проверки в отношении налогоплательщиков, состоящих на налоговом мониторинге, назначенной:
1) налоговым органом, может быть продлен:
налоговым органом - до семидесяти пяти рабочих дней;
вышестоящим налоговым органом - до ста восьмидесяти рабочих дней;
2) уполномоченным органом, может быть продлен уполномоченным органом до ста восьмидесяти рабочих дней.
5. Общий срок проведения налоговой проверки с учетом продления, предусмотренного настоящей статьей, не должен превышать сроки, определенные пунктами 2,3 и 4 настоящей статьи.
6. Течение срока проведения налоговой проверки может приостанавливаться налоговыми органами на период:
вручения налогоплательщику (налоговому агенту) требования налогового органа о представлении сведений и (или) документов и представления налогоплательщиком (налоговым агентом) запрашиваемых при проведении налоговой проверки сведений и (или) документов;
направления запроса налогового органа в другие налоговые органы, государственные органы, банковские организации и иные организации, осуществляющие деятельность на территории Республики Казахстан, и получения сведений и (или) документов по указанному запросу;
направления в иностранные государства запроса о предоставлении информации и получения по нему сведений налоговыми органами в соответствии с международными соглашениями;
подготовки письменного возражения проверяемым налогоплательщиком (налоговым агентом) на предварительный акт налоговой проверки и его рассмотрения налоговым органом в порядке, определенном законодательством Республики Казахстан.
Налоговый орган при приостановлении или восстановлении срока проведения налоговой проверки уведомляет государственный орган, осуществляющий в пределах своей компетенции деятельность в области государственной правовой статистики и специальных учетов.
Срок приостановления по основаниям, предусмотренным настоящей статьей, не включается в срок налоговой проверки:
1) налогоплательщиков, состоящих на налоговом мониторинге;
2) проводимой в связи с ликвидацией юридического лица - резидента, структурного подразделения юридического лица - нерезидента, прекращением юридическим лицом - нерезидентом деятельности, осуществляемой в Республике Казахстан через постоянное учреждение, прекращением деятельности индивидуального предпринимателя;
3) по вопросам:
трансфертного ценообразования;
подтверждения достоверности сумм превышения налога на добавленную стоимость, предъявленных к возврату;
проверок налоговых агентов по возврату подоходного налога из бюджета на основании заявления нерезидента;
изложенным в жалобе налогоплательщика (налогового агента) на уведомление о результатах налоговой проверки;
4) проводимой по основаниям, предусмотренным Уголовно-процессуальным кодексом Республики Казахстан;
5) в случае выставления налогоплательщику (налоговому агенту) требования налогового органа о представлении документов (сведений) в ходе проведения налоговых проверок;
6) в случаях выставления налогоплательщику (налоговому агенту) предварительного акта налоговой проверки, а также рассмотрения налоговым органом письменного возражения налогоплательщика (налогового агента) к предварительному акту налоговой проверки в порядке, определенном законодательством Республики Казахстан.
Срок приостановления иных налоговых проверок, не указанных в настоящем пункте, включается в срок налоговой проверки.
7. Налоговый орган обязан представить проверяемому налогоплательщику (налоговому агенту) извещение о приостановлении или возобновлении налоговой проверки в течение трех рабочих дней с даты приостановления или возобновления путем:
1) направления электронным способом посредством веб-портала - в случае, если налогоплательщик зарегистрирован на веб-портале.
При направлении электронным способом извещение о приостановлении или возобновлении налоговой проверки считается врученным проверяемому налогоплательщику (налоговому агенту) с момента его ознакомления в личном кабинете пользователя веб-портала;
2) вручения лично под роспись или направления посредством почтовой или иной организации связи заказным письмом с уведомлением - в случае отсутствия ознакомления с таким извещением в личном кабинете пользователя веб-портала по истечении одного рабочего дня, следующего за днем направления такого извещения электронным способом.
При направлении посредством почтовой или иной организации связи заказным письмом с уведомлением извещение о приостановлении или возобновлении налоговой проверки считается врученным проверяемому налогоплательщику (налоговому агенту) с даты отметки таким лицом в уведомлении почтовой или иной организации связи.
При вручении лично извещения о приостановлении или возобновлении налоговой проверки под роспись проверяемый налогоплательщик (налоговый агент) на экземпляре налогового органа ставит подпись об ознакомлении и получении, а также дату и время получения.
8. Срок проведения, продления и приостановления тематических налоговых проверок по подтверждению достоверности сумм превышения налога на добавленную стоимость, предъявленных к возврату, устанавливается с соблюдением сроков, предусмотренных параграфом 2 главы 10 настоящего Кодекса.
9. Срок проведения хронометражного обследования не может превышать тридцать рабочих дней.
Продление и (или) приостановление течения срока налоговой проверки, предусмотренные настоящей статьей, не применяются при проведении хронометражного обследования.
Хронометражное обследование может проводиться во внеурочное время (ночное время, выходные, праздничные дни), если проверяемый налогоплательщик (налоговый агент) в указанное время осуществляет свою деятельность.
10. Не включается в срок проведения налоговой проверки период между:
1) датой направления акта налоговой проверки налогоплательщику (налоговому агенту) электронным способом и датой удостоверения такого акта посредством электронной цифровой подписи;
2) датой направления акта налоговой проверки налогоплательщику (налоговому агенту) электронным способом и датой вручения под роспись в случае отсутствия удостоверения такого акта посредством электронной цифровой подписи.
Статья 164. Требование о представлении документов
1. При вручении предписания налогового органа налогоплательщику (налоговому агенту) может вручаться требование о представлении документов.
Требование о представлении документов за время проведения проверки вручается не более двух раз, за исключением проверок налогоплательщиков, отнесенных к субъектам среднего и крупного предпринимательства.
2. Срок исполнения налогоплательщиком (налоговым агентом) требования о представлении документов составляет десять рабочих дней со дня, следующего за днем вручения.
В случаях направления налогоплательщиком (налоговым агентом) ходатайства о необходимости дополнительного срока для исполнения требования о представлении документов налоговый орган может продлить сроки исполнения до тридцати рабочих дней исходя из объема запрашиваемых документов.
Статья 165. Особенности проведения хронометражного обследования
1. Хронометражное обследование осуществляется в присутствии налогоплательщика (налогового агента) и (или) его представителя.
2. Для проведения хронометражного обследования налоговый орган самостоятельно определяет вопросы по обследуемому объекту налогообложения и (или) объекту, связанному с налогообложением.
Обязательному обследованию подлежат:
1) объекты налогообложения и (или) объекты, связанные с налогообложением. При необходимости налоговый орган имеет право проводить инвентаризацию товарно-материальных ценностей налогоплательщика;
2) наличие денег, денежных документов, бухгалтерских книг, отчетов, смет, ценных бумаг, расчетов, деклараций и иных документов, связанных с обследуемым объектом налогообложения и (или) объектом, связанным с налогообложением;
3) фискальный отчет контрольно-кассовой машины.
3. Должностное лицо налогового органа, проводящее хронометражное обследование, ежедневно обеспечивает полноту и точность внесения в хронометражно-наблюдательные карты сведений, полученных в ходе обследования.
Хронометражно-наблюдательная карта составляется на каждый объект налогообложения и (или) объект, связанный с налогообложением, а также на каждый другой источник извлечения дохода.
Хронометражно-наблюдательная карта должна содержать:
1) идентификационные данные и вид деятельности налогоплательщика;
2) дату проведения, время начала и окончания хронометражного обследования;
3) место нахождения объекта налогообложения и (или) объекта, связанного с налогообложением;
4) стоимость реализуемых товаров, выполняемых работ, оказываемых услуг;
5) данные по обследуемому объекту налогообложения и (или) объекту, связанному с налогообложением;
6) результаты обследования.
4. Ежедневно по окончании обследуемого дня составляется сводная таблица по всем обследуемым объектам налогообложения и (или) объектам, связанным с налогообложением, а также по другим источникам извлечения дохода.
5. Хронометражно-наблюдательная карта и сводная таблица в обязательном порядке подписываются должностным лицом налогового органа и налогоплательщиком или его представителем и прилагаются к акту хронометражного обследования.
К хронометражно-наблюдательной карте при необходимости прилагаются копии подтверждающих документов, расчетов и других материалов, полученных в ходе обследования.
Статья 166. Особенности проведения тематической налоговой проверки по подтверждению достоверности сумм превышения налога на добавленную стоимость
1. Тематическая налоговая проверка по подтверждению достоверности сумм превышения налога на добавленную стоимость проводится в случае:
1) представления налогового заявления по подтверждению достоверности сумм превышения налога на добавленную стоимость в части суммы налога, отнесенного в зачет по товарам, работам, услугам, приобретенным в связи со строительством зданий и сооружений производственного назначения, впервые вводимых в эксплуатацию на территории Республики Казахстан, а также в период проведения геологоразведочных работ и обустройства месторождения;
2) представления требования о возврате суммы превышения налога на добавленную стоимость;
3) проведения тематической налоговой проверки по подтверждению достоверности сумм превышения налога на добавленную стоимость, ранее возвращенных из бюджета налогоплательщику, в том числе в упрощенном порядке.
2. Тематическая налоговая проверка по возврату налога на добавленную стоимость проводится одновременно по вопросам:
1) исполнения налогового обязательства по налогу на добавленную стоимость;
2) подтверждения достоверности сумм превышения налога на добавленную стоимость, предъявленных или ранее подтвержденных к возврату.
3. В проверяемый период включаются:
1) налоговый период, указанный в налоговом заявлении, - при подаче заявления на возврат превышения налога на добавленную стоимость, образовавшегося в связи с применением статьи 129 настоящего Кодекса;
2) налоговый период, за который предъявлено налогоплательщиком требование о возврате суммы превышения налога на добавленную стоимость по налоговому периоду, за который представлена декларация по налогу на добавленную стоимость с указанием требования о возврате суммы превышения налога на добавленную стоимость, - при подаче требования о возврате суммы превышения налога на добавленную стоимость;
3) налоговые периоды, за которые не проводились проверки по данному виду налога и которые не превышают срока исковой давности, - при подаче требования о возврате суммы превышения налога на добавленную стоимость.
4) налоговые периоды, за которые ранее возвращены суммы превышения налога на добавленную стоимость, - в случае проведения тематической налоговой проверки по подтверждению достоверности сумм превышения налога на добавленную стоимость, ранее возвращенных из бюджета налогоплательщику, или комплексной налоговой проверки.
4. При проведении тематической налоговой проверки по возврату налога на добавленную стоимость с целью подтверждения достоверности предъявленной к возврату суммы превышения налога на добавленную стоимость в соответствии со статьей 129 настоящего Кодекса в проверяемый период включается период времени, начиная с налогового периода, в котором:
1) начато строительство зданий и сооружений производственного назначения;
2) заключен контракт на недропользование в порядке, определенном законодательством Республики Казахстан.
5. При подтверждении достоверности суммы превышения налога на добавленную стоимость:
1) предъявленной к возврату в соответствии со статьей 129 настоящего Кодекса, учитываются результаты налоговых проверок, проведенных по налоговому заявлению налогоплательщика по подтверждению достоверности сумм превышения налога на добавленную стоимость;
2) образованной за налоговые периоды до 1 января 2013 года, учитываются результаты ранее проведенных налоговых проверок налогоплательщика, включая встречные налоговые проверки.
6. При определении суммы налога на добавленную стоимость, подлежащей возврату в соответствии с настоящим Кодексом, учитываются сведения:
1) подтверждающие факт вывоза товаров с таможенной территории ЕАЭС в таможенной процедуре экспорта, и сведения из документов, подтверждающих экспорт товаров, - в случае экспорта товаров;
2) из документов, подтверждающих факт выполнения работ по переработке давальческого сырья налогоплательщиком Республики Казахстан, - в случае выполнения работ по переработке давальческого сырья, ввезенного на территорию Республики Казахстан с территории другого государства -члена ЕАЭС, с последующим вывозом продуктов переработки на территорию другого государства;
3) таможенного органа, подтверждающие факт вывоза продуктов переработки с таможенной территории ЕАЭС, -в случае выполнения работ по переработке давальческого сырья, ввезенного на территорию Республики Казахстан с территории одного государства - члена ЕАЭС, с последующей реализацией продуктов переработки на территорию государства, не являющегося членом ЕАЭС.
7. Поступление валютной выручки на банковские счета налогоплательщика в банках второго уровня на территории Республики Казахстан, открытые в порядке, определенном законодательством Республики Казахстан, учитывается при определении суммы налога на добавленную стоимость, подлежащей возврату, в случае:
1) экспорта товаров;
2) вывоза товаров с территории Республики Казахстан на территорию государства - члена ЕАЭС по договору (контракту) лизинга, предусматривающему переход права собственности на него к лизингополучателю - в части возмещения первоначальной стоимости товара (предмета лизинга);
3) выполнения работ по переработке давальческого сырья, ввезенного на территорию Республики Казахстан с территории другого государства - члена ЕАЭС, с последующим вывозом продуктов переработки на территорию другого государства либо на территорию государства, не являющегося членом ЕАЭС.
Требования части первой настоящего пункта по поступлению валютной выручки на банковские счета налогоплательщика в банковских организациях на территории Республики Казахстан не распространяются на налогоплательщиков:
1) осуществляющих деятельность в рамках соглашения о разделе продукции, заключенного между Правительством Республики Казахстан и недропользователем до 1 января 2009 года, реализующих добытый нестабильный конденсат с территории Республики Казахстан на территорию других государств-членов ЕАЭС;
2) осуществляющих разведку и (или) добычу углеводородов на море в рамках соглашения (контракта) о разделе продукции, предусматривающего передачу полезных ископаемых в счет исполнения недропользователем налогового обязательства по уплате роялти и (или) доли Республики Казахстан по разделу продукции в натуральной форме.
8. В случае экспорта товаров по внешнеторговым товарообменным (бартерным) операциям при определении суммы налога на добавленную стоимость, подлежащей возврату, учитывается наличие:
1) договора (контракта) по внешнеторговой товарообменной (бартерной) операции;
2) импортной декларации на товары по товарам, поставленным плательщику налога на добавленную стоимость покупателем экспортированных товаров по внешнеторговой товарообменной (бартерной) операции.
9. В случае экспорта товаров с территории Республики Казахстан на территорию государства - члена ЕАЭС по внешнеторговым товарообменным (бартерным) операциям, предоставления займа в виде вещей при определении суммы налога на добавленную стоимость, подлежащей возврату, учитывается наличие:
1) договора (контракта) по внешнеторговой товарообменной (бартерной) операции;
2) договора (контракта) по предоставлению займа в виде вещей;
3) заявления о ввозе товаров и уплате косвенных налогов по товарам, поставленным плательщику налога на добавленную стоимость покупателем экспортированных товаров по указанным операциям.
10. В целях определения достоверности суммы превышения налога на добавленную стоимость при проведении проверки используется система управления налоговыми рисками, в рамках которой формируется аналитический отчет «Пирамида по поставщикам».
Для целей настоящей статьи аналитическим отчетом «Пирамида по поставщикам» являются результаты сопоставительного контроля по выписке электронных счетов-фактур, осуществляемого налоговыми органами на основе изучения и анализа электронных счетов-фактур, налоговой отчетности по налогу на добавленную стоимость и (или) сведений объектов информатизации налогового органа.
11. По результатам тематической налоговой проверки по возврату налога на добавленную стоимость определяется сумма превышения налога на добавленную стоимость, подлежащая возврату.
Не производится возврат налога на добавленную стоимость по результатам тематической налоговой проверки в случаях, если:
1) не получены ответы на запросы на проведение встречных проверок для подтверждения достоверности взаиморасчетов с поставщиком и покупателем или не проведена встречная налоговая проверка, в том числе по причине:
отсутствия поставщика по месту нахождения;
утраты учетной документации поставщика;
2) выявлено занижение суммы налога на добавленную стоимость по реализованным товарам, выполненным работам и оказанным услугам при сопоставлении между сведениями, отраженными в налоговой отчетности по налогу на добавленную стоимость у непосредственного поставщика за налоговый период, и сведениями информационной системы электронных счетов-фактур по всем выписанным счетам-фактурам поставщика;
3) возбуждено уголовное дело по статьям 216 и 245 Уголовного кодекса Республики Казахстан, по которым проходит налогоплательщик, в отношении которого проводится налоговая проверка, или его непосредственный поставщик;
4) приостановлена выписка электронных счетов-фактур по проверяемому налогоплательщику или его непосредственному поставщику;
5) имеется недоимка по налогу на добавленную стоимость у непосредственного поставщика;
6) не поступает (поступает не в полном размере) валютная выручка;
7) не подтвержден (подтвержден не в полном размере) факт вывоза товаров при экспорте.
12. Положения настоящей статьи применяются также в случае включения налоговым органом вопроса подтверждения достоверности сумм превышения налога на добавленную стоимость, предъявленных к возврату, в комплексную проверку.
Статья 167. Особенности проведения тематической налоговой проверки по вопросу возврата подоходного налога из бюджета на основании налогового заявления нерезидента
1. Тематическая налоговая проверка по вопросу возврата подоходного налога из бюджета на основании налогового заявления нерезидента проводится в отношении налогового агента на предмет исполнения им налоговых обязательств по исчислению, удержанию и перечислению подоходного налога у источника выплаты с дохода нерезидента, подавшего такое заявление, в пределах срока исковой давности.
2. Налоговый орган назначает тематическую налоговую проверку в течение десяти рабочих дней со дня получения налогового заявления нерезидента.
3. В ходе проведения тематической налоговой проверки налоговый орган проверяет документы на предмет:
1) полноты исполнения налоговым агентом налоговых обязательств по исчислению, удержанию и перечислению подоходного налога у источника выплаты с доходов нерезидента;
2) образования постоянного учреждения нерезидентом в соответствии с настоящим Кодексом или международным договором;
3) учетной регистрации нерезидента-заявителя в соответствии с законодательством Республики Казахстан о государственной регистрации юридических лиц и учетной регистрации филиалов и представительств, регистрационного учета;
4) достоверности данных, указанных в налоговом заявлении на возврат подоходного налога из бюджета.
Статья 168. Доступ к территории и (или) помещениям для проведения налоговой проверки
1. Проверяемый налогоплательщик (налоговый агент) обязан обеспечить доступ должностных лиц налогового органа и иных лиц, привлекаемых к проведению налоговой проверки:
к территории и (или) помещениям (кроме жилых помещений), используемых для извлечения доходов;
к объектам налогообложения и (или) объектам, связанным с налогообложением, для обследования;
к просмотру данных программного обеспечения в соответствии с подпунктом 6) пункта 1 статьи 160 настоящего Кодекса.
Проверяемый налогоплательщик (налоговый агент) обязан обеспечить доступ должностных лиц налогового органа и иных лиц, привлекаемых к проведению налоговой проверки, при предъявлении:
предписания налогового органа, а также служебных удостоверений либо идентификационных карт;
специальных допусков, если в соответствии с законодательством Республики Казахстан они необходимы для допуска к территории и (или) помещениям проверяемого налогоплательщика (налогового агента).
2. Проверяемый налогоплательщик (налоговый агент) вправе отказать в доступе к территории и (или) помещениям в случаях, когда:
1) не предъявлены предписание, а также служебные удостоверения либо идентификационные карты;
2) должностные лица налогового органа и (или) лица, привлекаемые к проведению налоговой проверки, не указаны в предписании;
3) должностные лица налогового органа и (или) лица, привлекаемые к проведению налоговой проверки, не имеют специального допуска к территории и (или) помещениям налогоплательщика (налогового агента), если такой допуск необходим в соответствии с законодательством Республики Казахстан.
3. В случае необоснованного отказа и (или) воспрепятствования проверяемого налогоплательщика (налогового агента) доступу должностных лиц налоговых органов, проводящих налоговую проверку, и лиц, привлекаемых к проведению налоговой проверки, составляется акт о недопуске.
4. Акт о недопуске подписывается:
1) должностными лицами налогового органа, проводящими налоговую проверку;
2) специалистами;
3) проверяемым налогоплательщиком (налоговым агентом);
4) привлеченными понятыми в порядке, определенном статьей 182 настоящего Кодекса.
В случае отказа налогоплательщика (налогового агента), в отношении которого назначена налоговая проверка, от подписания акта о недопуске должностное лицо налогового органа, указанное в предписании на проведение налоговой проверки, делает об этом соответствующую запись в таком акте.
Статья 169. Предварительный акт налоговой проверки
1. Предварительный акт налоговой проверки - документ о предварительных результатах налоговой проверки, составленный проверяющим в соответствии с налоговым законодательством Республики Казахстан и вручаемый налогоплательщику (налоговому агенту) до составления акта налоговой проверки.
Проверяемый налогоплательщик (налоговый агент) вправе представить письменное возражение к предварительному акту налоговой проверки.
2. Порядок и сроки вручения налогоплательщику (налоговому агенту) предварительного акта налоговой проверки, представления письменного возражения к предварительному акту налоговой проверки, а также рассмотрения такого возражения утверждаются уполномоченным органом.
3. При назначении налоговой проверки, назначенной на основании поручения уполномоченного органа о назначении и проведении тематической налоговой проверки, направленного при рассмотрении жалобы налогоплательщика (налогового агента) на уведомление о результатах налоговой проверки, предварительный акт налоговой проверки не составляется и не вручается.
Статья 170. Завершение налоговой проверки
1. По завершении налоговой проверки должностным лицом налогового органа, проводившим налоговую проверку, составляется акт налоговой проверки.
Акт налоговой проверки должен содержать:
1) место и дату составления;
2) форму проверки, проверяемый период;
3) должности, фамилии, имена и отчества должностных лиц налогового органа, проводивших налоговую проверку;
4) должности, фамилии, имена и отчества представителей объединений субъектов частного предпринимательства, принимавших участие при проведении налоговой проверки;
5) наименование налогового органа;
6) идентификационные данные проверенного налогоплательщика (налогового агента);
7) банковские реквизиты проверенного налогоплательщика (налогового агента);
8) фамилии, имена и отчества руководителя и должностных лиц налогоплательщика (налогового агента), ответственных за ведение налоговой и бухгалтерской отчетности и уплату налогов и платежей в бюджет;
9) сведения о предыдущей проверке и принятых мерах по устранению ранее выявленных нарушений (при проведении комплексной или тематической налоговой проверки);
10) общие сведения о документах, представленных проверенным налогоплательщиком (налоговым агентом);
11) подробное описание выявленных нарушений с указанием соответствующих положений законодательства Республики Казахстан, требования которых нарушены;
12) результаты проверки.
К акту налоговой проверки прилагаются необходимые копии документов, расчеты, произведенные должностным лицом налогового органа, проводившим налоговую проверку, и другие материалы, полученные в ходе налоговой проверки, за исключением сведений, являющихся налоговой тайной.
2. Акт налоговой проверки составляется в количестве не менее двух экземпляров и:
1) подписывается должностными лицами налогового органа, проводившими такую проверку, - в случае его вручения лично под роспись;
2) удостоверяется посредством электронной цифровой подписи должностных лиц налогового органа, проводивших такую проверку, - в случае его вручения электронным способом.
3. Завершением срока налоговой проверки считается день вручения проверенному налогоплательщику (налоговому агенту) акта налоговой проверки.
Акт налоговой проверки представляется проверенному налогоплательщику (налоговому агенту) в порядке, определенном пунктом 7 статьи 163 настоящего Кодекса.
4. В случае невозможности вручения акта налоговой проверки лично под роспись проверенному налогоплательщику (налоговому агенту) в связи с его отсутствием по месту нахождения проводится налоговое обследование с привлечением понятых и производится соответствующая запись в акте налоговой проверки.
Датой вручения акта налоговой проверки является дата составления акта налогового обследования.
5. При отказе проверенного налогоплательщика (налогового агента) от получения акта налоговой проверки производится соответствующая запись в акте налоговой проверки и составляется акт об отказе в получении акта налоговой проверки.
Датой вручения акта налоговой проверки является дата составления акта об отказе в получении акта налоговой проверки.
6. В случае, если за период с даты получения ликвидационной налоговой отчетности до даты завершения ликвидационной налоговой проверки возникают налоговое обязательство по исчислению, уплате налогов, платежей в бюджет и социальное обязательство, такие обязательства указываются в приложении к акту налоговой проверки без начисления пеней и применения штрафных санкций.
Статья 171. Решение по результатам налоговой проверки
1. По завершении налоговой проверки в случае выявления нарушений, приводящих к начислению сумм налогов и платежей в бюджет, уменьшению убытков, неподтверждению к возврату сумм превышения налога на добавленную стоимость и (или) корпоративного (индивидуального) подоходного налога, удержанного у источника выплаты с доходов нерезидентов, налоговым органом выносится уведомление о результатах налоговой проверки.
2. Регистрация уведомления о результатах налоговой проверки и акта налоговой проверки осуществляется налоговым органом под одним номером.
3. Уведомление о результатах налоговой проверки должно содержать:
1) информацию, определенную пунктом 4 статьи 49 настоящего Кодекса;
2) дату и номер регистрации уведомления и акта налоговой проверки;
3) сумму:
начисленных налогов и платежей в бюджет, социальных платежей и пеней;
уменьшенных убытков;
превышения налога на добавленную стоимость, не подтвержденную к возврату;
корпоративного (индивидуального) подоходного налога, удержанного у источника выплаты с доходов нерезидентов, не подтвержденную к возврату;
4) реквизиты соответствующих налогов и платежей в бюджет и пеней;
5) сроки и место обжалования.
4. Уведомление о результатах налоговой проверки представляется налогоплательщику (налоговому агенту) путем:
1) направления электронным способом посредством веб-портала - в случае, когда налогоплательщик (налоговый агент) зарегистрирован на веб-портале.
При направлении электронным способом уведомление о результатах налоговой проверки считается врученным налогоплательщику (налоговому агенту) с момента его ознакомления в личном кабинете пользователя веб-портала;
2) вручения лично под роспись или направления посредством почтовой или иной организации связи заказным письмом с уведомлением - в случае отсутствия ознакомления с таким уведомлением в кабинете пользователя веб-портала по истечении трех рабочих дней, следующих за днем направления электронным способом.
При направлении посредством почтовой или иной организации связи заказным письмом с уведомлением уведомление о результатах налоговой проверки считается врученным налогоплательщику (налоговому агенту) с даты отметки налогоплательщика (налогового агента) в уведомлении почтовой или иной организации связи.
При вручении уведомления о результатах налоговой проверки лично под роспись налогоплательщик (налоговый агент) на экземпляре налогового органа ставит подпись об ознакомлении и получении, а также дату и время получения.
5. В случае возврата почтовой или иной организацией связи уведомления о результатах налоговой проверки, направленного налогоплательщику (налоговому агенту) заказным письмом с уведомлением, датой вручения такого уведомления является дата:
1) проведения налогового обследования;
2) возврата такого письма почтовой или иной организацией связи - в случае, если акт налоговой проверки вручен на основании акта налогового обследования.
6. В случае согласия налогоплательщика (налогового агента) с начисленными суммами налогов, платежей в бюджет и (или) пеней, указанными в уведомлении о результатах налоговой проверки, сроки исполнения налогового обязательства по уплате налогов, платежей в бюджет, а также обязательства по уплате пеней могут быть продлены на шестьдесят рабочих дней по заявлению налогоплательщика (налогового агента) с приложением графика уплаты.
При этом указанная сумма подлежит уплате в бюджет с начислением пеней за каждый день продления срока уплаты и уплачивается равными долями через каждые пятнадцать рабочих дней указанного периода.
Не подлежит продлению срок исполнения налогового обязательства в порядке, определенном частью первой настоящего пункта, по уплате начисленных по результатам проверки сумм акциза и налогов, удерживаемых у источника выплаты.
7. Суммы налогового обязательства по исчислению, уплате налогов, платежей в бюджет и социального обязательства, возникшие в период с даты получения ликвидационной налоговой отчетности до даты завершения ликвидационной налоговой проверки, отражаются в уведомлении о суммах, начисленных в период ликвидации.
8. Если при проведении налоговой проверки за один и тот же налоговый период по одному и тому же вопросу налоговым органом выявлен факт совершения налогоплательщиком (налоговым агентом) нарушения налогового законодательства Республики Казахстан, которое не было выявлено при проведении любой из предыдущих налоговых проверок, в отношении налогоплательщика за такое нарушение производство по делу об административном правонарушении не может быть начато, а начатое -подлежит прекращению.
Положения части первой настоящего пункта не распространяются на тематические налоговые проверки по обращению нерезидента о повторном рассмотрении налогового заявления на возврат подоходного налога из бюджета в связи с применением положений международного договора, регулирующего вопросы избежания двойного налогообложения и предотвращения уклонения от уплаты налогов.
Положение части первой настоящего пункта не распространяется на нарушения налогового законодательства Республики Казахстан, выявленные:
1) в части уменьшения налогоплательщиком (налоговым агентом) подлежащей уплате суммы налога или платежа в бюджет путем представления дополнительной налоговой отчетности за ранее проверенный налоговый период по данному виду налога или платежа в бюджет;
2) по результатам ответа на запрос налогового органа, направленного при проведении любой из предыдущих налоговых проверок одного и того же налогового периода, если указанный ответ получен после завершения такой проверки;
3) по результатам рассмотрения документов, влияющих на подлежащую уплате сумму налога или платежа в бюджет и не представленных налогоплательщиком (налоговым агентом) на запрос налогового органа в ходе проведения любой из предыдущих налоговых проверок одного и того же налогового периода по данному виду налога или платежа в бюджет;
4) в части действия по выписке счета-фактуры, совершенного субъектом частного предпринимательства без фактического выполнения работ, оказания услуг, отгрузки товаров, после вступления в законную силу судебного акта, если налоговым органом сведения о таком действии впервые получены после завершения любой из предыдущих налоговых проверок налогового периода, в котором совершено такое действие.
Параграф 3. Определение объектов налогообложения и (или) объектов, связанных с налогообложением, в отдельных случаях косвенным методом
Статья 172. Налоговые проверки при отсутствии учетных и иных документов
1. Если в ходе проведения налоговой проверки налогоплательщиком (налоговым агентом) не представлены все или часть документов, необходимых для определения объектов налогообложения и (или) объектов, связанных с налогообложением, налогоплательщику (налоговому агенту) в обязательном порядке представляются требование о представлении или восстановлении документов и (или) сведений, необходимых для определения объектов налогообложения и (или) объектов, связанных с налогообложением (далее - требование о представлении или восстановлении документов и (или) сведений), а также извещение о приостановлении налоговой проверки.
2. Требование о представлении или восстановлении документов и (или) сведений представляется налогоплательщику (налоговому агенту) в порядке, определенном пунктом 4 статьи 171 настоящего Кодекса.
3. Срок исполнения требования о представлении или восстановлении документов и (или) сведений составляет тридцать рабочих дней со дня, следующего за днем вручения.
4. Налогоплательщик (налоговый агент), не представивший документы, необходимые для определения объектов налогообложения и (или) объектов, связанных с налогообложением, по требованию о представлении или восстановлении документов и (или) сведений обязан дать письменное объяснение причин непредставления указанных документов.
Статья 173. Определение объектов налогообложения и (или) объектов, связанных с налогообложением, косвенным методом
1. В случае нарушения порядка ведения учета, при утрате или уничтожении учетной документации, при определении дохода физического лица налоговые органы определяют объекты налогообложения и (или) объекты, связанные с налогообложением, на основе косвенных методов (активов, имущества, обязательств, оборота, доходов, затрат, расходов).
Под нарушением порядка ведения учета, утратой или уничтожением учетной документации понимается отсутствие или непредставление налогоплательщиком (налоговым агентом) документов, являющихся основанием для определения объектов налогообложения и (или) объектов, связанных с налогообложением, для исчисления налоговых обязательств, запрашиваемых на основании требований налогового органа о представлении или восстановлении указанных документов.
Под косвенным методом определения объектов налогообложения и (или) объектов, связанных с налогообложением, понимается определение сумм налогов и платежей в бюджет на основе оценки активов, имущества, обязательств, доходов, оборота, расходов, а также оценки других объектов налогообложения и (или) объектов, связанных с налогообложением, принимаемых для расчета налогового обязательства относительно конкретного налога и платежа в бюджет в соответствии с настоящим Кодексом.
2. Для определения объектов налогообложения и (или) объектов, связанных с налогообложением, на основе косвенных методов налоговый орган может использовать сведения о налогоплательщике, его поставщиках и покупателях, имеющиеся в налоговых органах, в том числе полученные в рамках взаимодействия по налоговому администрированию, а также полученные по результатам прочих форм контроля и таможенного контроля.
3. Налоговые органы направляют запросы в:
1) банковские организации;
2) соответствующие уполномоченные государственные органы, местные исполнительные органы и иные организации, осуществляющие деятельность на территории Республики Казахстан;
3) другие налоговые органы о проведении встречных налоговых проверок по вопросу взаиморасчетов с поставщиками и покупателями проверяемого налогоплательщика;
4) компетентные органы иностранных государств.
Необходимая информация может быть получена также из следующих источников (подтвержденная документально) от:
1) заказчиков о стоимости оказанных проверяемым налогоплательщиком (налоговым агентом) услуг и от покупателей о стоимости и количестве приобретенной продукции;
2) физических и юридических лиц, оказывавших проверяемому налогоплательщику (налоговому агенту) услуги, осуществлявших отпуск сырья, энергоресурсов и вспомогательных материалов в сфере производства и оборота отдельных видов подакцизных товаров.
Источники информации могут различаться в каждом конкретном случае в зависимости от обстоятельств, характера и рода деятельности проверяемого налогоплательщика (налогового агента).
4. Определение дохода физического лица, подлежащего налогообложению, косвенным методом применяется в ходе осуществления налогового администрирования в отношении физического лица по сведениям, указанным им в налоговых декларациях физического лица, а также по данным уполномоченных органов (организаций) и третьих лиц, влекущих возникновение налогового обязательства по индивидуальному подоходному налогу.
5. В случае, если доходы физического лица, отраженные в налоговых декларациях, меньше расходов, произведенных на приобретение имущества, подлежащего государственной или иной регистрации, а также имущества, по которому права и (или) сделки подлежат государственной или иной регистрации в Республике Казахстан и за ее пределами, налоговые органы в ходе осуществления налогового администрирования доходов и имущества физических лиц вправе применить косвенный метод определения дохода физического лица.
Сведения, отраженные в налоговых декларациях, предусмотренных настоящим Кодексом, документы, подтверждающие получение доходов, возникновение обязательств, наличие имущества на праве собственности, данные уполномоченных органов (организаций) и третьих лиц учитываются для подтверждения доходов, направленных на осуществление расходов физического лица на приобретение имущества, подлежащего государственной или иной регистрации, а также имущества, по которому права и (или) сделки подлежат государственной или иной регистрации в Республике Казахстан и за ее пределами.
Порядок определения объектов налогообложения и (или) объектов, связанных с налогообложением, косвенным методом определяется уполномоченным органом.
Глава 16. ПРОЧИЕ ФОРМЫ КОНТРОЛЯ
Статья 174. Общие положения по прочим формам контроля
Прочие формы контроля в рамках налогового администрирования включают:
1) контроль за подакцизными товарами, произведенными в Республике Казахстан или импортированными в Республику Казахстан;
2) контроль при трансфертном ценообразовании;
3) контроль за соблюдением порядка учета, хранения, оценки, дальнейшего использования и реализации имущества, обращенного (поступившего) в собственность государства;
4) контроль за деятельностью уполномоченных государственных органов, местных исполнительных органов и Государственной корпорации;
5) контроль за соблюдением порядка оформления сопроводительных накладных на товары;
6) прослеживаемость оборота товаров, ввезенных на таможенную территорию ЕАЭС;
7) налоговое обследование.
Статья 175. Контроль за подакцизными товарами, произведенными в Республике Казахстан или импортированными в Республику Казахстан
1. Контроль за подакцизными товарами осуществляется налоговым органом в части соблюдения порядка маркировки отдельных видов подакцизных товаров, определенного настоящей статьей, перемещения подакцизных товаров на территории Республики Казахстан:
1) производителями, лицами, осуществляющими оборот подакцизных товаров;
2) банкротными и реабилитационными управляющими при реализации имущества должника.
Контроль за подакцизными товарами может также осуществляться налоговым органом путем установления акцизных постов.
2. Маркировку осуществляют:
1) производители и импортеры подакцизных товаров;
2) банкротные и реабилитационные управляющие при реализации имущества (активов) должника.
3. Если иное не установлено настоящей статьей, обязательной маркировке подлежат:
1) алкогольная продукция, за исключением вина наливом (виноматериала), пива и пивного напитка, - учетно-контрольными марками;
2) табачные изделия - средствами идентификации.
4. Запрещается оборот подакцизных товаров, подлежащих маркировке, в виде хранения, реализации и (или) транспортировки подакцизной продукции без средств идентификации и (или) учетно-контрольных марок, а также со средствами идентификации и (или) учетно-контрольными марками неустановленного образца и (или) не поддающимися идентификации, кроме случаев, предусмотренных пунктом 5 настоящей статьи.
5. При розничной реализации товаров, подлежащих обязательной маркировке, учет операций через контрольно-кассовые машины с функцией фиксации и (или) передачи данных осуществляется исключительно путем считывания средств идентификации, нанесенных на товары.
6. Не подлежат обязательной маркировке алкогольная продукция и табачные изделия:
1) экспортируемые за пределы Республики Казахстан;
2) ввозимые на территорию Республики Казахстан владельцами магазинов беспошлинной торговли, предназначенные для помещения под таможенную процедуру беспошлинной торговли;
3) ввозимые на таможенную территорию ЕАЭС в таможенных процедурах временного ввоза (допуска) и временного вывоза, в том числе временно ввозимые на территорию Республики Казахстан с территории государств - членов ЕАЭС в рекламных и (или) демонстрационных целях в единичных экземплярах;
4) перемещаемые через таможенную территорию ЕАЭС в таможенной процедуре таможенного транзита, в том числе перемещаемые транзитом через территорию Республики Казахстан из государств - членов ЕАЭС;
5) ввозимые (пересылаемые) на территорию Республики Казахстан физическим лицом, достигшим двадцати одного года, в пределах не более трех литров алкогольной продукции, а также физическим лицом, достигшим восемнадцати лет, табака и табачных изделий в пределах не более двухсот сигарет или пятидесяти сигар (сигарилл) или двухсот пятидесяти граммов табака либо указанных изделий в ассортименте общим весом не более двухсот пятидесяти граммов.
7. Лицо, осуществляющее производство алкогольной продукции в Республике Казахстан, в случае уплаты акциза в день отгрузки (передачи) алкогольной продукции, представляет обязательство об уплате акциза в день отгрузки (передачи) алкогольной продукции (далее - обязательство об уплате акциза).
Лицо, осуществляющее импорт в Республику Казахстан алкогольной продукции, представляет обязательство о целевом использовании учетно-контрольных марок при импорте в Республику Казахстан алкогольной продукции (далее -обязательство о целевом использовании учетно-контрольных марок).
8. Обязательство импортера о целевом использовании учетно-контрольных марок и обязательство об уплате акциза представляются в территориальное подразделение уполномоченного органа по областям, городам республиканского значения и столице до получения учетно-контрольных марок.
9. Учетно-контрольные марки не выдаются в случае непредставления обязательства об уплате акциза или обязательства о целевом использовании учетно-контрольных марок.
10. Обязательство об уплате акциза и обязательство о целевом использовании учетно-контрольных марок обеспечиваются следующими способами:
1) путем внесения денег на счет временного размещения денег;
2) банковской гарантией;
3) поручительством;
4) залогом имущества.
11. Счет временного размещения денег открывается центральным уполномоченным органом по исполнению бюджета территориальным подразделениям уполномоченного органа по областям, городам республиканского значения и столице.
12. Счет временного размещения денег уполномоченного органа по областям, городам республиканского значения и столице предназначен для внесения денег лицом, осуществляющим производство и (или) импорт в Республику Казахстан алкогольной продукции.
Внесение денег на счет временного размещения денег производится в национальной валюте Республики Казахстан.
13. При неисполнении производителем и (или) импортером обязательства об уплате акциза и обязательства о целевом использовании учетно-контрольных марок, обеспеченного деньгами, территориальное подразделение уполномоченного органа по областям, городам республиканского значения и столице по истечении пяти рабочих дней перечисляет деньги со счета временного размещения денег в доход бюджета, за исключением случаев, возникших в результате чрезвычайных ситуаций и (или) в период действия чрезвычайного положения.
14. Возврат (зачет) денег, внесенных на счет временного размещения денег уполномоченного органа по областям, городам республиканского значения и столице, осуществляется в течение десяти рабочих дней после представления отчета об исполнении обязательств об уплате акциза и о целевом использовании учетно-контрольных марок.
15. Уполномоченный орган устанавливает следующие порядки:
1) маркировки (перемаркировки) алкогольной продукции, за исключением вина наливом (виноматериала), пива и пивного напитка, учетно-контрольными марками, а также формы, содержание и элементы защиты учетно-контрольных марок;
2) получения, учета, хранения, выдачи учетно-контрольных марок и представления обязательства, отчета производителя об уплате акциза и (или) импортера о целевом использовании учетно-контрольных марок, а также учета и размер обеспечения такого обязательства.
16. Перечень отдельных видов подакцизных товаров, на которые распространяется обязанность по оформлению сопроводительных накладных на товары, а также порядок их оформления и документооборот устанавливаются в соответствии со статьей 179 настоящего Кодекса.
17. Налоговые органы устанавливают акцизные посты на территории налогоплательщика, осуществляющего производство этилового спирта и алкогольной продукции (кроме пива и пивного напитка), бензина (за исключением авиационного), дизельного топлива, газохола, бензанола, нефраса, смеси легких углеводородов, экологического топлива и табачных изделий.
Акцизный пост формируется из числа должностных лиц налогового органа.
Порядок организации деятельности акцизного поста определяется уполномоченным органом.
Местонахождение и состав акцизного поста, регламент его работы определяются налоговым органом.
18. Должностное лицо налогового органа, находящееся на акцизном посту, осуществляет контроль за:
1) соблюдением налогоплательщиком требований законодательства Республики Казахстан, регулирующего производство и оборот отдельных подакцизных товаров;
2) отводом и (или) отпуском подакцизных товаров исключительно через измеряющие аппараты или реализацией (розливом) через приборы учета, а также эксплуатацией таких приборов учета в опломбированном виде;
3) соблюдением налогоплательщиком порядка маркировки отдельных видов подакцизных товаров;
4) движением готовой продукции, учетно-контрольных марок или средств идентификации.
19. Должностное лицо налогового органа, находящееся на акцизном посту, вправе:
1) обследовать с соблюдением требований законодательства Республики Казахстан административные, производственные, складские, торговые, подсобные помещения налогоплательщика, используемые для производства, хранения и реализации подакцизных товаров;
2) присутствовать при реализации подакцизных товаров;
3) осматривать грузовые транспортные средства, выезжающие (въезжающие) с территории (на территорию) налогоплательщика.
Должностное лицо налогового органа, находящееся на акцизном посту, имеет иные права, предусмотренные порядком организации деятельности акцизного поста.
Статья 176. Контроль при трансфертном ценообразовании
Налоговые органы осуществляют контроль при трансфертном ценообразовании по сделкам в порядке и случаях, которые предусмотрены законодательством Республики Казахстан о трансфертном ценообразовании.
Статья 177. Контроль за соблюдением порядка учета, хранения, оценки, дальнейшего использования и реализации имущества, обращенного (поступившего) в собственность государства
1. Налоговый орган осуществляет контроль за соблюдением порядка учета, хранения, оценки, дальнейшего использования и реализации имущества, обращенного (поступившего) в собственность государства (далее в целях настоящей статьи - контроль), по вопросам:
1) соблюдения порядка учета, хранения, оценки, дальнейшего использования и реализации имущества, обращенного (поступившего) в собственность государства;
2) полноты и своевременности поступления денег в бюджет в случае его реализации;
3) соблюдения порядка передачи имущества, обращенного (поступившего) в собственность государства;
4) своевременности и достоверности представленных сведений;
5) соблюдения порядка уничтожения имущества.
2. Контроль осуществляется в отношении следующих субъектов контроля:
1) территориальных подразделений уполномоченного органа по управлению государственным имуществом;
2) местных исполнительных органов, уполномоченных управлять коммунальной собственностью;
3) государственных учреждений по вопросу наличия, полноты и своевременности передачи имущества (включая вещественные доказательства), не имеющего собственника или собственник которого неизвестен, либо вещи, от права собственности на которую собственник отказался, признанных в установленном порядке обращенными в доход государства;
4) субъектов предпринимательства, а также государственных органов, заключивших договор на хранение и реализацию имущества в соответствии с гражданским законодательством Республики Казахстан.
3. Основанием для осуществления контроля является решение налогового органа о назначении контроля (далее в целях настоящей статьи - решение).
Решение должно содержать следующую информацию:
1) дату и номер регистрации решения в налоговом органе;
2) наименование и идентификационный номер субъекта контроля;
3) обоснование назначения контроля;
4) должности, фамилии, имена и отчества должностных лиц налогового органа, уполномоченных на осуществление контроля, а также специалистов, привлекаемых к осуществлению контроля.
Специалист привлекается к осуществлению контроля для исследования вопросов, требующих специальных знаний и навыков, и получения консультаций.
В качестве специалиста привлекается лицо, в том числе должностные лица иных государственных органов Республики Казахстан, обладающее специальными знаниями и навыками.
По вопросам, представленным на бумажном носителе и (или) в форме электронного документа, поставленным должностным лицом налогового органа, осуществляющим контроль, специалист составляет заключение, которое используется в ходе контроля.
Копии таких вопросов и заключения прилагаются к акту контроля, в том числе к экземпляру, предоставляемому субъекту контроля;
5) срок осуществления контроля;
6) период контроля;
7) отметку субъекта контроля об ознакомлении и получении решения.
Решение подлежит государственной регистрации в государственном органе, осуществляющем в пределах своей компетенции деятельность в области государственной правовой статистики и специальных учетов, до начала осуществления контроля.
4. Решение представляется субъекту контроля в порядке, определенном статьей 51 настоящего Кодекса, в течение пяти дней, следующих за днем осуществления государственной регистрации такого решения.
В случае отказа субъекта контроля или руководителя (уполномоченного должностного лица) субъекта контроля в подписи на экземпляре решения должностным лицом налогового органа, осуществляющим контроль, составляется акт об отказе.
Субъект контроля или руководитель (уполномоченное должностное лицо) субъекта контроля в случае, указанном частью второй настоящего пункта, обязан дать письменное объяснение причин отказа.
Отказ субъекта контроля или руководителя (уполномоченного должностного лица) субъекта контроля от получения решения не является основанием для отмены контроля.
5. Началом осуществления контроля считается дата:
1) получения экземпляра решения субъектом контроля или руководителем (уполномоченным должностным лицом) субъекта контроля;
2) составления акта об отказе.
6. При осуществлении контроля субъект контроля и должностные лица субъекта контроля оказывают содействие должностным лицам налогового органа, осуществляющим контроль:
1) в получении документов и сведений, необходимых для осуществления контроля;
2) в допуске к объектам контроля для осуществления обследования.
При воспрепятствовании должностным лицам налогового органа, осуществляющим контроль, в совершении действий, указанных в части первой настоящего пункта, составляется акт о воспрепятствовании осуществлению контроля.
Акт о воспрепятствовании осуществлению контроля подписывается должностными лицами налогового органа, осуществляющими контроль, и субъектом контроля или руководителем (уполномоченным должностным лицом) субъекта контроля.
Отказ субъекта контроля или руководителя (уполномоченного должностного лица) субъекта контроля в подписи акта о воспрепятствовании осуществлению контроля, оформляется в порядке, определенном частями второй и третьей пункта 4 настоящей статьи.
7. Контроль в отношении субъекта контроля осуществляется не чаще одного раза в год.
8. Срок осуществления контроля не должен превышать тридцать рабочих дней с даты начала осуществления контроля.
Срок осуществления контроля может быть продлен до пятидесяти рабочих дней налоговым органом, назначившим контроль.
Течение срока осуществления контроля приостанавливается на период с даты:
1) вручения субъекту контроля или руководителю (уполномоченному должностному лицу) субъекта контроля требования налогового органа о представлении документов до даты представления документов по такому требованию;
2) направления в другие налоговые органы, уполномоченные государственные органы, банковские организации и иные организации, осуществляющие деятельность на территории Республики Казахстан, запроса о представлении сведений и (или) документов по деятельности субъекта контроля до даты получения сведений и документов по такому запросу.
9. При продлении, приостановлении срока осуществления контроля, а также при изменении периода и (или) списка должностных лиц налогового органа, осуществляющих контроль, оформляется дополнительное решение к решению.
В случаях, указанных в части первой настоящего пункта, субъекту контроля представляется извещение в порядке, определенном статьей 48 настоящего Кодекса.
10. По завершении контроля должностным лицом налогового органа, осуществлявшим контроль, составляется акт контроля.
Акт контроля должен содержать:
1) место осуществления контроля, дату составления акта контроля;
2) наименование налогового органа, осуществившего контроль;
3) должности, фамилии, имена и отчества должностных лиц налогового органа, осуществлявших контроль;
4) фамилию, имя и отчество или наименование субъекта контроля, фамилию, имя и отчество руководителя (уполномоченного должностного лица), идентификационный номер, а также адрес субъекта контроля;
5) должности, фамилии, имена и отчества должностных лиц субъекта контроля, с ведома и в присутствии которых осуществлялся контроль;
6) сведения о предыдущем контроле и принятых мерах по устранению ранее выявленных нарушений;
7) результаты осуществленного контроля.
Акт контроля представляется субъекту контроля в порядке, определенном пунктом 4 настоящей статьи, в течение трех дней, следующих за днем завершения контроля.
11. При наличии нарушений, выявленных по результатам осуществленного контроля, составляет требование об устранении нарушений, выявленных по результатам контроля.
Требование, указанное в части первой настоящего пункта, представляется в течение пяти рабочих дней, следующих за днем вручения субъекту контроля акта контроля.
12. Требование об устранении нарушений, выявленных по результатам контроля, подлежит исполнению субъектом контроля в течение тридцати рабочих дней, следующих за днем получения такого требования.
Субъект контроля в течение срока исполнения требования об устранении нарушений, выявленных по результатам контроля, извещает налоговый орган, осуществлявший контроль, об устранении нарушений, выявленных по результатам контроля, и (или) взыскании сумм от реализации имущества.
Извещение субъектом контроля представляется в налоговый орган, осуществлявший контроль, в порядке, определенном статьей 50 настоящего Кодекса.
Статья 178. Контроль за деятельностью уполномоченных государственных органов, местных исполнительных органов и Государственной корпорации
1. Налоговый орган осуществляет контроль за деятельностью уполномоченных государственных органов, местных исполнительных органов и Государственной корпорации по вопросам правильности исчисления, полноты взимания и своевременности перечисления платежей в бюджет (далее в целях настоящей статьи - контроль).
2. Контроль в отношении субъектов контроля:
1) уполномоченных государственных органов и Государственной корпорации осуществляется по вопросам правильности исчисления, полноты взимания и своевременности перечисления платежей в бюджет, а также достоверности и своевременности представления сведений в налоговый орган;
2) местных исполнительных органов осуществляется по вопросам правильности исчисления, полноты взимания и своевременности перечисления платежей в бюджет, достоверности и своевременности представления сведений по налогу на имущество, транспортные средства и платежам в налоговые органы.
3. Основанием для осуществления контроля за деятельностью субъектов контроля является решение налогового органа о назначении контроля (далее в целях настоящей статьи - решение).
Решение должно содержать информацию, предусмотренную частью второй пункта 3 статьи 177 настоящего Кодекса.
Решение подлежит государственной регистрации в государственном органе, осуществляющем в пределах своей компетенции деятельность в области государственной правовой статистики и специальных учетов, до начала осуществления контроля.
4. Решение представляется субъекту контроля в течение пяти рабочих дней, следующих за днем осуществления государственной регистрации такого решения.
В случае отказа руководителя (уполномоченного должностного лица субъекта контроля) в подписи на экземпляре решения должностным лицом налогового органа, осуществляющим такой контроль, составляется акт об отказе.
Руководитель (уполномоченное должностное лицо) субъекта контроля в случае, указанном в части второй настоящего пункта, обязан дать письменное объяснение причин отказа.
Отказ руководителя (уполномоченного должностного лица) субъекта контроля от получения решения не является основанием для отмены контроля.
5. Началом осуществления контроля считается дата:
1) получения экземпляра решения руководителем (уполномоченным должностным лицом) субъекта контроля;
2) составления акта об отказе.
6. При осуществлении контроля должностные лица субъекта такого контроля оказывают содействие должностным лицам налогового органа, осуществляющим контроль:
1) в получении документов и сведений, необходимых для осуществления такого контроля;
2) в допуске к объектам контроля для осуществления обследования.
При воспрепятствовании должностным лицам налогового органа, осуществляющим контроль, в совершении действий, указанных в части первой настоящего пункта, составляется акт о воспрепятствовании осуществлению такого контроля.
Акт о воспрепятствовании осуществлению контроля подписывается должностными лицами налогового органа, осуществляющими такой контроль, и руководителем (уполномоченным должностным лицом) субъекта контроля.
Отказ руководителя (уполномоченного должностного лица) субъекта контроля в подписи акта о воспрепятствовании осуществлению такого контроля оформляется в порядке, определенном частями второй и третьей пункта 4 статьи 177 настоящего Кодекса.
7. Контроль в отношении субъекта контроля осуществляется не чаще одного раза в год.
8. Срок осуществления контроля не должен превышать тридцать рабочих дней с даты начала осуществления такого контроля.
Срок осуществления контроля может быть продлен до пятидесяти рабочих дней налоговым органом, назначившим такой контроль.
Течение срока осуществления контроля приостанавливается на период с даты:
1) вручения руководителю (уполномоченному должностному лицу) субъекта контроля требования налогового органа о представлении документов до даты представления документов по такому требованию;
2) направления в другие налоговые органы, уполномоченные государственные органы, банковские организации и иные организации, осуществляющие деятельность на территории Республики Казахстан, запроса о представлении сведений и документов по деятельности субъекта контроля до даты получения сведений и документов по такому запросу.
9. При продлении, приостановлении срока осуществления контроля, а также при изменении периода и (или) списка должностных лиц налогового органа, осуществляющих контроль, оформляется дополнительное решение к решению.
В случаях, указанных в части первой настоящего пункта, субъекту контроля представляется извещение в порядке, определенном статьей 51 настоящего Кодекса.
10. По завершении контроля должностным лицом налогового органа, осуществлявшим контроль, составляется акт контроля.
Акт контроля должен содержать информацию, определенную частью второй пункта 10 статьи 177 настоящего Кодекса.
Акт контроля представляется субъекту контроля в порядке, определенном пунктом 4 настоящей статьи, в течение трех дней, следующих за днем завершения такого контроля.
11. При наличии нарушений, выявленных по результатам осуществленного контроля, составляется требование об устранении нарушений, выявленных по результатам контроля.
Требование, указанное в части первой настоящего пункта, представляется в течение пяти рабочих дней, следующих за днем вручения субъекту контроля акта по такому контролю.
Требование об устранении нарушений, выявленных по результатам контроля, подлежит исполнению субъектом такого контроля в течение тридцати рабочих дней, следующих за днем получения указанного требования.
12. Взыскание сумм налоговой задолженности, выявленных по результатам контроля, осуществляется субъектом контроля, ответственным за правильность исчисления, полноту взимания и своевременность перечисления налогов и платежей в бюджет.
13. Субъекты контроля несут ответственность за правильность исчисления, полноту взимания и своевременность перечисления налогов и платежей в бюджет, а также достоверность и своевременность представления сведений в налоговые органы, установленную законами Республики Казахстан.
Статья 179. Контроль за соблюдением порядка оформления сопроводительных накладных на товары
1. Налоговые органы осуществляют контроль за соблюдением порядка оформления сопроводительных накладных на товары при:
1) перемещении, реализации и (или) отгрузке товаров по территории Республики Казахстан, в том числе при осуществлении международных автомобильных перевозок между государствами - членами ЕАЭС;
2) ввозе товаров на территорию Республики Казахстан с территории государств, не являющихся членами ЕАЭС, и государств - членов ЕАЭС;
3) при вывозе товаров с территории Республики Казахстан на территорию государств, не являющихся членами ЕАЭС, и государств - членов ЕАЭС.
2. Обязательство по оформлению сопроводительных накладных на товары возникает в следующие сроки при:
1) перемещении, реализации и (или) отгрузке товаров по территории Республики Казахстан - не позднее начала перемещения, реализации и (или) отгрузки товаров;
2) ввозе товаров на территорию Республики Казахстан с территории государств - членов ЕАЭС - до пересечения Государственной границы Республики Казахстан;
3) вывозе товаров с территории Республики Казахстан на территорию государств, не являющихся членами ЕАЭС, и государств - членов ЕАЭС - не позднее начала перемещения, реализации и (или) отгрузки товаров;
4) осуществлении международных автомобильных перевозок с территории одного государства - члена ЕАЭС на территорию другого государства - члена ЕАЭС через территорию Республики Казахстан - на автомобильном пункте пропуска при пересечении Государственной границы Республики Казахстан.
3. Перечень товаров, на которые распространяется обязанность по оформлению сопроводительных накладных на товары, а также формы, порядок оформления и их документооборот определяются уполномоченным органом.
Статья 180. Прослеживаемость оборота товаров, ввезенных на таможенную территорию ЕАЭС
1. Прослеживаемость оборота товаров, ввезенных на таможенную территорию ЕАЭС, в соответствии с международным договором, ратифицированным Республикой Казахстан, осуществляется путем организации системы учета товаров, подлежащих прослеживаемости, и операций, связанных с оборотом таких товаров, с использованием национальной системы прослеживаемости.
2. Национальная система прослеживаемости - информационная система электронных счетов-фактур, которая обеспечивает сбор, учет и хранение сведений о товарах, подлежащих прослеживаемости, и операциях, связанных с оборотом таких товаров, в порядке и сроки, которые определены международным договором, ратифицированным Республикой Казахстан.
3. Налогоплательщики, осуществляющие оборот товаров, подлежащих прослеживаемости, обязаны:
1) оформлять сопроводительные документы в виде электронных документов, за исключением случая, когда оформление в виде электронных документов невозможно в связи с неисправностью информационных систем, вызванной:
техническими сбоями;
нарушениями в работе средств связи (телекоммуникационных сетей и информационно-телекоммуникационной сети Интернет);
отключением электроэнергии;
иными случаями, определенными в порядке, установленном международным договором;
2) представлять полные и достоверные сведения, подлежащие включению в национальную систему прослеживаемости.
Сопроводительным документом национальной системы прослеживаемости является электронный счет-фактура.
При этом электронный счет-фактура по товарам, при перемещении которых требуется оформление сопроводительной накладной на товары, выписывается на основе сопроводительной накладной на товары.
4. За неисполнение или ненадлежащее исполнение обязанностей по прослеживаемости оборота товаров, вытекающих из международного договора, налогоплательщики несут ответственность, установленную законами Республики Казахстан.
5. Налоговый орган обеспечивает:
1) функционирование механизма прослеживаемости оборота товаров, подлежащих прослеживаемости, в соответствии с международным договором;
2) направление содержащихся в национальной системе прослеживаемости сведений о товарах, подлежащих прослеживаемости, и связанных с оборотом таких товаров операциях в соответствующее государство - член ЕАЭС в соответствии с международным договором.
6. Правила функционирования механизма прослеживаемости товаров утверждаются уполномоченным органом.
Статья 181. Налоговое обследование
1. Налоговое обследование - мероприятие, осуществляемое налоговым органом с целью подтверждения фактического нахождения или отсутствия налогоплательщика (налогового агента) по месту нахождения, указанному в регистрационных данных.
Налоговое обследование проводится в рабочее время по месту нахождения, указанному в регистрационных данных налогоплательщика (налогового агента).
Для участия в проведении налогового обследования привлекаются понятые в порядке, определенном настоящим Кодексом.
2. Основанием для проведения налогового обследования являются:
1) невозможность вручения налогоплательщику (налоговому агенту) предписания, предварительного акта налоговой проверки, акта налоговой проверки, решения об ограничении в распоряжении имуществом и (или) акта описи ограниченного в распоряжении имущества;
2) необходимость в подтверждении фактического нахождения или отсутствия налогоплательщика (налогового агента) в связи с возвратом почтовой корреспонденции с отметкой о невозможности ее вручения ввиду отсутствия адресата по месту нахождения, указанному в регистрационных данных, а также отсутствия данных об абонентских номерах сотовой связи и адресах электронной почты или обратной связи по представленным данным.
3. Налогоплательщик (налоговый агент) заранее извещается о проведении налогового обследования посредством веб-приложения или веб-портала, но не позднее чем за три рабочих дня до проведения налогового обследования.
4. По результатам налогового обследования при установлении факта отсутствия налогоплательщика (налогового агента) по месту нахождения составляется акт налогового обследования.
Акт налогового обследования подписывается должностным лицом налогового органа, составившим его, а также понятыми.
К акту могут приобщаться фотографические снимки и негативы, видеозаписи или другие материалы, выполненные при совершении действия.
Копия акта налогового обследования представляется налогоплательщику (налоговому агенту) по его запросу посредством веб-приложения.
5. Налоговый орган не позднее дня, следующего за днем составления акта налогового обследования:
1) размещает на интернет-ресурсе уполномоченного органа сведения о налогоплательщике (налоговом агенте) с указанием идентификационного номера, фамилии, имени и отчества или наименования, даты проведения налогового обследования;
2) направляет налогоплательщику (налоговому агенту) уведомление о подтверждении места нахождения (отсутствия) налогоплательщика (далее в целях настоящей статьи -уведомление).
6. Уведомление подлежит исполнению налогоплательщиком (налоговым агентом) путем представления в явочном порядке в налоговый орган:
1) пояснения о причинах отсутствия в момент налогового обследования;
2) документа, подтверждающего место нахождения налогоплательщика (налогового агента), в зависимости от правомочия на недвижимое имущество:
копию документа, подтверждающего право собственности на недвижимое имущество или пользования им (на срок не менее одного года);
копию документа, подтверждающего право пользования (на срок менее одного года), с предъявлением для сверки оригинала или нотариально засвидетельствованной не ранее чем за десять рабочих дней до представления копии указанного документа;
нотариально удостоверенное согласие физического лица, на праве собственности которого находится недвижимое имущество, заявленное в качестве места нахождения.
7. При неисполнении уведомления в установленный настоящей статьей срок налоговый орган на следующий рабочий день после истечения срока исполнения уведомления приостанавливает выписку электронных счетов-фактур.
Способ обеспечения, предусмотренный частью первой настоящего пункта, если иное не установлено указанной частью, применяется в порядке и сроки, которые установлены в параграфе 4 главы 5 настоящего Кодекса.
Статья 182. Участие понятого
1. Должностными лицами налоговых органов по их требованию или требованию налогоплательщика (налогового агента) следующие действия осуществляются с участием не менее двух понятых:
1) вручение документов налоговых органов, предусмотренных настоящим Кодексом (при отказе налогоплательщика (налогового агента) их принять);
2) опись ограниченного в распоряжении имущества налогоплательщика (налогового агента);
3) обследование имущества, являющегося объектом налогообложения и (или) объектом, связанным с налогообложением, независимо от его места нахождения, проводимое на основании предписания;
4) проведение на основании предписания инвентаризации имущества (кроме жилых помещений) налогоплательщика (налогового агента), в том числе с применением специальных средств (фото-, аудио-, видеоаппаратуры), в порядке, определенном настоящим Кодексом;
5) налоговое обследование.
2. В качестве понятого привлекаются совершеннолетние, дееспособные граждане, не заинтересованные в исходе действий должностного лица налогового органа и налогоплательщика (налогового агента).
Не допускается участие в качестве понятого должностного лица налогового органа, уполномоченных государственных органов, работника и учредителя налогоплательщика (налогового агента), в отношении которого проводится действие, предусмотренное пунктом 1 настоящей статьи.
3. Понятой удостоверяет факт, содержание и результаты действий должностных лиц налогового органа и налогоплательщика (налогового агента), при совершении которых он присутствовал, зафиксированных в акте о совершении действия с участием понятого, составляемом должностным лицом налогового органа.
Понятой вправе делать замечания по поводу совершенных действий. Замечания понятого подлежат занесению в акт о совершении действия с участием понятого, составляемый должностным лицом налогового органа.
В акте о совершении действия с участием понятого, составляемом должностным лицом налогового органа, обязательно указываются фамилия, имя и отчество, индивидуальный идентификационный номер, место жительства, вид и номер документа, удостоверяющего личность лица, участвовавшего в качестве понятого.
Глава 17. ПРИНУДИТЕЛЬНОЕ ИСПОЛНЕНИЕ НАЛОГОВОГО ОБЯЗАТЕЛЬСТВА ПО УПЛАТЕ НАЛОГОВ И ПЛАТЕЖЕЙ В БЮДЖЕТ
Статья 183. Принудительное исполнение налогового обязательства по уплате налогов и платежей в бюджет
1. Налоговый орган в порядке и сроки, которые предусмотрены настоящим Кодексом, при образовании:
1) налоговой задолженности в сумме, превышающей предельный размер налоговой задолженности, представляет юридическому лицу, структурному подразделению юридического лица, нерезиденту, осуществляющему деятельность в Республике Казахстан через постоянное учреждение, индивидуальному предпринимателю, лицу, занимающемуся частной практикой, уведомление о погашении налоговой задолженности;
2) налоговой задолженности представляет физическому лицу уведомление о погашении налоговой задолженности физического лица.
2. Налогоплательщик (налоговый агент) при несогласии с суммой налоговой задолженности до истечения срока исполнения уведомлений, указанных в подпунктах 1) и 2) пункта 1 настоящей статьи, совместно с налоговым органом проводит сверку расчетов по налогам, платежам в бюджет.
По итогам сверки расчетов по налогам, платежам в бюджет составляется акт сверки расчетов по налогам, платежам в бюджет, который подписывается должностным лицом налогового органа и налогоплательщиком (налоговым агентом).
В случае наличия расхождений по данным налогоплательщика (налогового агента) и данным налогового органа налоговый орган принимает меры по устранению возникших расхождений в соответствии с порядком ведения лицевого счета.
3. Налогоплательщик (налоговый агент) в случае отсутствия возможности самостоятельно погасить налоговую задолженность представляет в течение срока исполнения уведомления о погашении налоговой задолженности в налоговый орган:
1) список дебиторов с указанием суммы дебиторской задолженности;
2) копию вступившего в законную силу судебного акта о взыскании с дебиторов сумм задолженности в пользу налогоплательщика (налогового агента) (при наличии).
Суммы дебиторской задолженности, оспариваемые в суде, не подлежат подтверждению.
4. Налоговый орган по истечении срока исполнения уведомления о погашении налоговой задолженности или уведомления о погашении налоговой задолженности физического лица применяет к налогоплательщику (налоговому агенту) способы обеспечения в соответствии с порядком, предусмотренным параграфом 4 главы 5 настоящего Кодекса.
Способ обеспечения в виде приостановления расходных операций, установленный подпунктом 2) пункта 3 статьи 84 настоящего Кодекса, при принудительном исполнении налогового обязательства по уплате налогов и платежей в бюджет производится в пределах налоговой задолженности.
В случае неисполнения налогоплательщиком (налоговым агентом) обеспеченного налогового обязательства по уплате налогов, платежей в бюджет налоговый орган применяет меры принудительного взыскания налоговой задолженности, предусмотренные настоящей главой.
Принудительное взыскание налоговой задолженности физического лица осуществляется судебным исполнителем в соответствии с Законом Республики Казахстан «Об исполнительном производстве и статусе судебных исполнителей».
Налоговая задолженность взыскивается с налогоплательщика (налогового агента) или в случае, предусмотренном настоящей главой, с иных лиц.
5. Порядок принудительного взыскания налоговым органом налоговой задолженности налогоплательщика (налогового агента) определяется уполномоченным органом.
Порядок принудительного взыскания налоговым органом налоговой задолженности налогоплательщика (налогового агента) должен содержать процедуры, проводимые налоговым органом в отношении налогоплательщика (налогового агента) со дня возникновения налоговой задолженности.
Статья 184. Меры принудительного взыскания налоговой задолженности
1. Меры принудительного взыскания налоговой задолженности (далее - меры принудительного взыскания) - действия налогового органа, направленные на обеспечение исполнения налогоплательщиком (налоговым агентом) налогового обязательства по уплате налогов, платежей в бюджет, не выполненного в установленный срок в добровольном порядке.
2. Мерами принудительного взыскания, применяемыми к налогоплательщику (налоговому агенту), являются:
1) взыскание за счет денег, находящихся на его банковских счетах;
2) взыскание со счетов дебиторов;
3) взыскание за счет реализации его ограниченного в распоряжении имущества;
4) принудительный выпуск объявленных акций;
5) временное ограничение на выезд из Республики Казахстан;
6) вынесение налогового приказа о взыскании задолженности физического лица.
Меры принудительного взыскания, предусмотренные подпунктами 1) - 4) части первой настоящего пункта, применяются к юридическому лицу, структурному подразделению юридического лица, нерезиденту, осуществляющему деятельность в Республике Казахстан через постоянное учреждение, индивидуальному предпринимателю, лицу, занимающемуся частной практикой.
Меры принудительного взыскания, предусмотренные подпунктами 5) - 6) части первой настоящего пункта, применяются к субъектам, определенным в статьях 189 и 190 настоящего Кодекса.
3. Меры принудительного взыскания, предусмотренные подпунктами 1) - 5) части первой пункта 2 настоящей статьи, подлежат отмене:
1) со дня вынесения судебного акта о возбуждении производства по делу о банкротстве;
2) со дня вынесения судебного акта о возбуждении производства по делу о реабилитации;
3) со дня вынесения судебного акта о применении в отношении должника процедуры реструктуризации задолженности;
4) с даты принятия уполномоченным органом по регулированию, контролю и надзору финансового рынка и финансовых организаций решения о лишении лицензии филиала банка - нерезидента Республики Казахстан, филиала страховой (перестраховочной) организации - нерезидента Республики Казахстан на проведение банковских операций;
5) со дня вступления в законную силу судебного акта о принудительной ликвидации банка второго уровня, страховой (перестраховочной) организации.
Положения данного пункта не распространяются на суммы налоговой задолженности, возникшие со дня, следующего за днем возбуждения производств по делам о банкротстве и реабилитации, а также вынесения судебного акта о применении в отношении должника процедуры реструктуризации задолженности.
4. Обжалование действий должностных лиц по принудительному взысканию налоговой задолженности не приостанавливает применение или действие мер принудительного взыскания налоговой задолженности.
Статья 185. Взыскание налоговой задолженности за счет денег, находящихся на банковских счетах налогоплательщика (налогового агента)
1. Взыскание налоговой задолженности за счет денег, находящихся на банковских счетах налогоплательщика (налогового агента), осуществляется налоговым органом в принудительном порядке при непогашении налогоплательщиком (налоговым агентом) налоговой задолженности в сумме, превышающей предельный размер налоговой задолженности.
2. Инкассовое распоряжение выставляется налоговым органом на все банковские счета налогоплательщика (налогового агента).
Положения части первой настоящего пункта не распространяются на банковские счета, по которым в соответствии с Гражданским кодексом Республики Казахстан обращение взыскания не допускается.
Данные о сумме налоговой задолженности налогоплательщика (налогового агента) учитываются на дату составления инкассового распоряжения.
3. Инкассовые распоряжения отзываются налоговым органом при полном погашении налоговой задолженности.
4. Формы инкассового распоряжения и отзыва инкассового распоряжения устанавливаются Национальным Банком.
Статья 186. Взыскание налоговой задолженности налогоплательщика (налогового агента) со счетов его дебиторов
1. Взыскание налоговой задолженности обращается на деньги, находящиеся на банковских счетах его дебиторов, в случае непогашения налогоплательщиком (налоговым агентом) налоговой задолженности в сумме, превышающей предельный размер налоговой задолженности, после принятия меры принудительного взыскания за счет денег, находящихся на его банковских счетах.
В целях настоящей статьи под дебитором понимается физическое лицо, юридическое лицо, структурное подразделение юридического лица, нерезидент, осуществляющий деятельность в Республике Казахстан через постоянное учреждение, индивидуальный предприниматель, лицо, занимающееся частной практикой, имеющее задолженность перед налогоплательщиком (налоговым агентом).
2. Налоговый орган в целях выявления дебиторов налогоплательщика (налогового агента) вправе:
1) использовать данные информационной системы налогового органа;
2) провести налоговую проверку налогоплательщика (налогового агента) по вопросу определения взаиморасчетов между ним и его дебиторами и встречную налоговую проверку дебиторов.
3. Налоговый орган направляет дебитору уведомление о подтверждении дебиторской задолженности.
4. Дебитор представляет в налоговый орган на бумажном или электронном носителе акт сверки взаиморасчетов, составленный совместно с налогоплательщиком (налоговым агентом), и (или) в случае невозможности составления акта сверки взаиморасчетов на дату получения уведомления документы, подтверждающие взаиморасчеты с налогоплательщиком.
5. При неисполнении уведомления о подтверждении суммы дебиторской задолженности налоговым органом:
1) проводится налоговая проверка дебиторов;
2) выносится распоряжение о приостановлении расходных операций по банковским счетам в течение одного рабочего дня, следующего за днем истечения срока исполнения такого уведомления.
6. Налоговый орган выставляет на банковские счета дебитора инкассовые распоряжения на сумму налоговой задолженности налогоплательщика (налогового агента) в пределах дебиторской задолженности, подтвержденной одним из следующих документов:
1) актом сверки взаиморасчетов;
2) актом налоговой проверки, подтверждающей сумму дебиторской задолженности;
3) вступившим в законную силу решением суда.
7. Инкассовые распоряжения, выставленные на банковские счета дебитора, подлежат отзыву при погашении налоговой задолженности налогоплательщиком (налоговым агентом) или дебитором.
8. Излишне списанная с банковских счетов дебитора, открытых в нескольких банках, сумма в размере, превышающем сумму, указанную в инкассовом распоряжении, подлежит возврату на тот же банковский счет дебитора без заявления налогоплательщика (налогового агента).
Статья 187. Взыскание налоговой задолженности налогоплательщика (налогового агента) за счет реализации его ограниченного в распоряжении имущества
1. Взыскание налоговой задолженности налоговым органом обращается на ограниченное в распоряжении имущество налогоплательщика (налогового агента) при непогашении налогоплательщиком (налоговым агентом) налоговой задолженности после принятия следующих мер принудительного взыскания:
1) за счет денег, находящихся на его банковских счетах;
2) со счетов его дебиторов.
2. Постановление об обращении взыскания на ограниченное в распоряжении имущество налогоплательщика (налогового агента) выносится налоговым органом без согласия налогоплательщика (налогового агента).
3. Реализация ограниченного в распоряжении имущества налогоплательщика (налогового агента) в счет налоговой задолженности осуществляется в порядке реализации имущества, заложенного налогоплательщиком и (или) третьим лицом, а также ограниченного в распоряжении имущества налогоплательщика (налогового агента), определенном уполномоченным органом.
Статья 188. Принудительный выпуск объявленных акций налогоплательщика (налогового агента)
Принудительный выпуск объявленных акций налогоплательщика (налогового агента) применяется путем обращения налогового органа в суд с иском о принудительном выпуске объявленных акций в порядке, определенном законодательством Республики Казахстан, при непогашении сумм налоговой задолженности налогоплательщиком (налоговым агентом) - акционерным обществом с участием государства в уставном капитале после принятия следующих мер принудительного взыскания:
1) за счет денег, находящихся на банковских счетах такого лица;
2) со счетов дебиторов такого лица;
3) за счет реализации ограниченного в распоряжении имущества такого лица.
Статья 189. Временное ограничение на выезд из Республики Казахстан первого руководителя (лица, его замещающего) юридического лица, структурного подразделения юридического лица, а также индивидуального предпринимателя и лица, занимающегося частной практикой
1. Временное ограничение на выезд из Республики Казахстан первого руководителя (лица, его замещающего) юридического лица, структурного подразделения юридического лица, индивидуального предпринимателя и лица, занимающегося частной практикой (далее - временное ограничение на выезд), применяется налоговым органом путем вынесения постановления о временном ограничении на выезд.
Постановление о временном ограничении на выезд выносится в случае, когда налогоплательщик (налоговый агент) не погашает налоговую задолженность в сумме, превышающей предельный размер налоговой задолженности, на протяжении более трех месяцев со дня возникновения такой задолженности и при условии применения к такому налогоплательщику (налоговому агенту) предусмотренных мер принудительного взыскания.
Постановление о временном ограничении на выезд подписывается руководителем налогового органа или его заместителем и подлежит санкционированию судом в порядке, установленном Гражданским процессуальным кодексом Республики Казахстан.
2. Лицо, выезд которого подлежит временному ограничению, определяется в зависимости от того, кто исполняет обязанности руководителя юридического лица или структурного подразделения юридического лица (далее в целях настоящей статьи - первый руководитель) на дату вынесения налоговым органом постановления о временном ограничении на выезд.
3. В случаях, когда лицо, замещающее первого руководителя, в отношении которого вынесено и направлено в суд постановление о временном ограничении на выезд, прекратил нести обязанности первого руководителя, до момента санкционирования такого постановления, налоговый орган в отношении указанного лица представляет в суд постановление об отмене временного ограничения на выезд в течение одного дня, следующего за днем когда первый руководитель приступил к своим обязанностям.
Постановление об отмене временного ограничения на выезд подписывается руководителем налогового органа или его заместителем и подлежит санкционированию судом в порядке, установленном Гражданским процессуальным кодексом Республики Казахстан.
При этом представление в суд постановления об отмене временного ограничения на выезд в случае, указанном в части первой настоящего пункта, осуществляется налоговым органом одновременно с представлением постановления о временном ограничении на выезд первого руководителя.
4. Временное ограничение на выезд при необходимости проведения за пределами Республики Казахстан лечения лица, выезд которого временно ограничен, может быть приостановлено на определенный срок постановлением о приостановлении временного ограничения на выезд, при условии, что такая необходимость подтверждена документально.
Постановление о приостановлении временного ограничения на выезд подписывается руководителем налогового органа или его заместителем и подлежит санкционированию судом в порядке, установленном Гражданским процессуальным кодексом Республики Казахстан.
5. Если, иное не установлено пунктом 3 настоящей статьи, отмена временного ограничения на выезд осуществляется налоговым органом путем вынесения постановления об отмене временного ограничения на выезд в течение одного рабочего дня, в котором:
1) погашена налоговая задолженность и (или) установлено отсутствие налоговой задолженности;
2) прекращено налоговое обязательство.
Постановление об отмене временного ограничения на выезд подписывается руководителем налогового органа или его заместителем и подлежит санкционированию судом в порядке, установленном Гражданским процессуальным кодексом Республики Казахстан.
6. Постановления о временном ограничении на выезд, о приостановлении временного ограничения на выезд и (или) об отмене временного ограничения на выезд направляются посредством информационной системы налогового органа в информационную систему Комитета национальной безопасности Республики Казахстан.
Постановления о временном ограничении на выезд, о приостановлении временного ограничения на выезд и (или) об отмене временного ограничения на выезд подлежат немедленному исполнению.
Статья 190. Взыскание налоговой задолженности физического лица
1. Взыскание налоговой задолженности физического лица осуществляется налоговым органом при непогашении налоговой задолженности в размере более 1-кратного месячного расчетного показателя, действующего на 1 января соответствующего финансового года.
Под налоговой задолженностью физического лица понимается также налоговая задолженность физического лица, состоящего на регистрационном учете индивидуального предпринимателя, или лица, занимающегося частной практикой, по налоговым обязательствам, не связанным с осуществлением предпринимательской деятельности и частной практики.
2. Налоговый орган выносит налоговый приказ о взыскании задолженности физического лица (далее в целях настоящей статьи - налоговый приказ) после истечения срока исполнения уведомления о погашении налоговой задолженности физического лица.
Срок исполнения налогового приказа составляет пять рабочих дней, следующих за днем его вручения.
3. При неисполнении налогового приказа физическим лицом налоговый орган направляет налоговый приказ в соответствующие органы юстиции по территориальности либо региональную палату частных судебных исполнителей для принудительного исполнения в порядке, определенном законодательством Республики Казахстан об исполнительном производстве и статусе судебных исполнителей.
4. Налоговый приказ отменяется в случаях:
1) погашения физическим лицом налоговой задолженности;
2) нарушения порядка вынесения налогового приказа;
3) применения в отношении физического лица процедуры судебного банкротства в соответствии с Законом Республики Казахстан «О восстановлении платежеспособности и банкротстве граждан Республики Казахстан»;
4) применения в отношении физического лица процедуры восстановления платежеспособности в соответствии с Законом Республики Казахстан «О восстановлении платежеспособности и банкротстве граждан Республики Казахстан».
Глава 18. ПОРЯДОК ОБЖАЛОВАНИЯ УВЕДОМЛЕНИЯ О РЕЗУЛЬТАТАХ НАЛОГОВОЙ ПРОВЕРКИ И ДЕЙСТВИЙ (БЕЗДЕЙСТВИЯ) ДОЛЖНОСТНЫХ ЛИЦ НАЛОГОВЫХ ОРГАНОВ
Статья 191. Общие положения по обжалованию уведомления о результатах налоговой проверки и действий (бездействия) должностных лиц налоговых органов
1. Обжалование уведомления о результатах налоговой проверки и действий (бездействия) должностных лиц налогового органа в суде производится в порядке, предусмотренном Административным процедурно-процессуальным кодексом Республики Казахстан.
2. Обжалование уведомления о результатах налоговой проверки в уполномоченном органе производится в порядке, определенном параграфом 1 настоящей главы.
Подача и рассмотрение жалобы на уведомление о результатах налоговой проверки производятся в порядке, определенном статьями 192 - 198 настоящего Кодекса.
3. Подача жалобы (заявления) налогоплательщиком (налоговым агентом) в уполномоченный орган или суд приостанавливает исполнение уведомления о результатах налоговой проверки в обжалуемой части.
В случае подачи налогоплательщиком (налоговым агентом):
1) жалобы в уполномоченный орган исполнение уведомления о результатах налоговой проверки в обжалуемой части приостанавливается до вынесения решения по жалобе;
2) иска в суд исполнение уведомления о результатах налоговой проверки в обжалуемой части приостанавливается со дня принятия судом административного дела к производству до вступления в законную силу судебного акта.
Параграф 1. Порядок обжалования уведомления о результатах налоговой проверки
Статья 192. Порядок подачи жалобы налогоплательщиком (налоговым агентом)
1. Жалоба налогоплательщика (налогового агента) на уведомление о результатах налоговой проверки подается в уполномоченный орган в течение тридцати рабочих дней, следующих за днем вручения налогоплательщику (налоговому агенту) уведомления о результатах налоговой проверки.
При этом копия жалобы должна быть представлена налогоплательщиком (налоговым агентом) в налоговые органы, проводившие налоговую проверку и рассматривавшие возражения налогоплательщика (налогового агента) к предварительному акту налоговой проверки.
Датой подачи жалобы в уполномоченный орган в зависимости от способа ее подачи являются:
1) в явочном порядке - дата регистрации жалобы уполномоченным органом;
2) посредством почтовой или иной организацией связи -дата отметки о приеме почтовой или иной организацией связи.
3) электронным способом - дата отправки через веб-портал.
2. В случае пропуска по уважительной причине срока, установленного пунктом 1 настоящей статьи, этот срок по ходатайству налогоплательщика (налогового агента), подающего жалобу, может быть восстановлен уполномоченным органом, рассматривающим жалобу.
3. В целях восстановления пропущенного срока подачи жалобы уполномоченным органом в качестве уважительной причины признается временная нетрудоспособность физического лица, в отношении которого проведена налоговая проверка, а также руководителя и (или) главного бухгалтера (при его наличии) налогоплательщика (налогового агента).
Положения настоящего пункта применяются к физическим лицам, в отношении которых проведена налоговая проверка, а также к налогоплательщикам (налоговым агентам), организационная структура которых не предусматривает наличия лиц, замещающих вышеуказанных лиц во время их отсутствия.
При этом налогоплательщиком (налоговым агентом) к ходатайству о восстановлении пропущенного срока подачи жалобы должны быть приложены документ, подтверждающий период временной нетрудоспособности лиц, указанных в части первой настоящего пункта, и документ, устанавливающий организационную структуру такого налогоплательщика (налогового агента).
4. Ходатайство налогоплательщика (налогового агента) о восстановлении пропущенного срока подачи жалобы удовлетворяется уполномоченным органом при условии, что налогоплательщиком (налоговым агентом) жалоба и ходатайство поданы не позднее десяти рабочих дней со дня окончания периода временной нетрудоспособности лиц, указанных в части первой пункта 3 настоящей статьи.
5. Налогоплательщик (налоговый агент), подавший жалобу в уполномоченный орган, до принятия решения по этой жалобе вправе ее отозвать на основании своего заявления на бумажном носителе или в форме электронного документа, за исключением случая, установленного частью третьей настоящего пункта.
Отзыв жалобы налогоплательщика (налогового агента) не лишает его права на подачу повторной жалобы при условии соблюдения сроков, установленных пунктом 1 настоящей статьи.
Налогоплательщик (налоговый агент) не вправе производить отзыв жалобы в период с даты назначения уполномоченным органом при рассмотрении жалобы тематической налоговой проверки до даты ее завершения.
Статья 193. Форма и содержание жалобы налогоплательщика (налогового агента)
1. Жалоба налогоплательщика (налогового агента) подается на бумажном и (или) электронном носителях.
2. В жалобе должны быть указаны:
1) наименование уполномоченного органа, в который подается жалоба;
2) фамилия, имя и отчество либо полное наименование налогоплательщика (налогового агента), подающего жалобу, его место нахождения;
3) идентификационный номер налогоплательщика (налогового агента), подающего жалобу;
4) наименование налогового органа, проводившего налоговую проверку;
5) обстоятельства, на которых лицо, подающее жалобу, основывает свои требования и доказательства, подтверждающие эти обстоятельства;
6) подпись и дата подачи жалобы налогоплательщиком (налоговым агентом);
7) перечень прилагаемых документов.
3. В жалобе могут быть указаны и иные сведения, имеющие значение для разрешения спора.
4. Жалоба подписывается налогоплательщиком (налоговым агентом) либо лицом, являющимся его представителем.
5. К жалобе прилагаются:
1) документы, подтверждающие обстоятельства, на которых налогоплательщик (налоговый агент) основывает свои требования;
2) доверенность в случае подачи жалобы уполномоченным представителем налогоплательщика (налогового агента);
3) иные документы, имеющие отношение к делу.
Статья 194. Отказ в рассмотрении жалобы
1. Уполномоченный орган отказывает в рассмотрении жалобы налогоплательщика (налогового агента) в следующих случаях:
1) подачи налогоплательщиком (налоговым агентом) жалобы с пропуском срока обжалования, установленного частью первой пункта 1 статьи 192 настоящего Кодекса;
2) несоответствия жалобы налогоплательщика (налогового агента) требованиям, установленным статьей 193 настоящего Кодекса;
3) подачи жалобы за налогоплательщика (налогового агента) лицом, не являющимся его представителем;
4) подачи налогоплательщиком (налоговым агентом) иска в суд по вопросам, изложенным в жалобе.
2. Уполномоченный орган извещает налогоплательщика (налогового агента) об отказе в рассмотрении жалобы с указанием причины такого отказа в течение десяти рабочих дней, следующих за днем:
1) регистрации жалобы - в случаях, предусмотренных подпунктами 1), 2) и 3) пункта 1 настоящей статьи;
2) установления факта обращения налогоплательщика (налогового агента) в суд - в случае, предусмотренном подпунктом 4) пункта 1 настоящей статьи.
3. Отказ уполномоченного органа в рассмотрении жалобы в случаях, предусмотренных подпунктами 2) и 3) пункта 1 настоящей статьи, не исключает права налогоплательщика (налогового агента) в пределах срока, установленного пунктом 1 статьи 192 настоящего Кодекса, повторно подать жалобу при устранении им допущенных нарушений.
Статья 195. Порядок и сроки рассмотрения жалобы уполномоченным органом
1. Уполномоченный орган выносит мотивированное решение по жалобе:
1) налогоплательщиков, состоящих на налоговом мониторинге, - в срок не более сорока пяти рабочих дней, следующих за днем регистрации жалобы;
2) остальных налогоплательщиков (налоговых агентов) - в срок не более тридцати рабочих дней, следующих за днем регистрации жалобы.
В указанный срок не включаются сроки продления и приостановления рассмотрения жалобы, предусмотренные статьей 196 настоящего Кодекса.
2. Уполномоченный орган при рассмотрении жалобы налогоплательщика (налогового агента) вправе назначить тематическую налоговую проверку, а также повторную тематическую налоговую проверку в порядке, определенном статьей 198 настоящего Кодекса.
3. Жалоба рассматривается в пределах обжалуемых налогоплательщиком (налоговым агентом) вопросов.
4. В случае представления налогоплательщиком (налоговым агентом) к рассмотрению жалобы документов, не представлявшихся им в ходе налоговой проверки, уполномоченный орган вправе устанавливать достоверность таких документов в ходе тематической и (или) повторной тематической налоговых проверок, назначаемых в порядке, определенном статьей 198 настоящего Кодекса.
5. Уполномоченный орган при рассмотрении жалобы налогоплательщика (налогового агента) вправе:
1) направлять запросы налогоплательщику (налоговому агенту) и (или) в налоговые органы, проводившие налоговую проверку и рассматривавшие возражения налогоплательщика (налогового агента) к предварительному акту налоговой проверки, о предоставлении в письменном виде дополнительной информации либо пояснения по вопросам, изложенным в жалобе;
2) направлять запросы в государственные органы, соответствующие органы иностранных государств и иные организации по вопросам, находящимся в компетенции таких органов и организаций;
3) проводить встречи с налогоплательщиком (налоговым агентом) по вопросам, изложенным в жалобе;
4) запрашивать у должностных лиц налогового органа, принимавших участие в проведении налоговой проверки и рассмотрении возражения налогоплательщика (налогового агента) к предварительному акту налоговой проверки, дополнительную информацию и (или) пояснения по возникшим вопросам.
6. Запрещаются при осуществлении полномочий по рассмотрению жалобы:
1) вмешательство в деятельность уполномоченного органа;
2) оказание какого-либо воздействия на должностных лиц, причастных к рассмотрению жалобы.
Статья 196. Приостановление и (или) продление срока рассмотрения жалобы
1. Срок рассмотрения жалобы, установленный пунктом 1 статьи 195 настоящего Кодекса, приостанавливается в следующих случаях:
1) проведения тематической и повторной тематической налоговых проверок - на период времени с даты назначения таких проверок в порядке, определенном статьей 198 настоящего Кодекса, до даты истечения пятнадцати рабочих дней после получения уполномоченным органом акта налоговой проверки.
При этом уполномоченный орган вправе вынести решение, предусмотренное пунктом 1 статьи 197 настоящего Кодекса, в течение указанного периода приостановления срока рассмотрения жалобы со дня получения акта налоговой проверки;
2) направления запроса в государственные органы, соответствующие органы иностранных государств и иные организации по вопросам, находящимся в компетенции таких органов и организаций, - на период времени с даты направления такого запроса до даты получения ответа.
2. О приостановлении срока рассмотрения жалобы уполномоченный орган извещает налогоплательщика (налогового агента) с указанием причин приостановления в течение трех рабочих дней, следующих за днем назначения проверки и (или) направления запроса.
3. Срок рассмотрения жалобы, установленный пунктом 1 статьи 195 настоящего Кодекса, продлевается в следующих случаях:
1) представления налогоплательщиком (налоговым агентом) дополнения (дополнений) к жалобе - на пятнадцать рабочих дней.
При этом срок, установленный пунктом 1 статьи 195 настоящего Кодекса, продлевается на срок, указанный настоящим подпунктом, в каждом случае последующей подачи дополнений к жалобе;
2) уполномоченным органом при необходимости дополнительного изучения обжалуемого вопроса - до девяноста рабочих дней.
В случае, предусмотренном частью первой настоящего подпункта, уполномоченный орган извещает налогоплательщика (налогового агента) в течение трех рабочих дней, следующих за днем продления срока рассмотрения жалобы.
Статья 197. Решение по результатам рассмотрения жалобы
1. Для рассмотрения жалобы на уведомление о результатах налоговой проверки уполномоченный орган создает апелляционную комиссию.
Состав и положение об апелляционной комиссии определяются уполномоченным органом.
По окончании рассмотрения жалобы уполномоченный орган выносит мотивированное решение с учетом решения апелляционной комиссии.
2. По итогам рассмотрения жалобы налогоплательщика (налогового агента) на уведомление о результатах налоговой проверки уполномоченным органом выносится одно из следующих решений:
1) оставить обжалуемое уведомление о результатах налоговой проверки без изменения, а жалобу - без удовлетворения;
2) отменить обжалуемое уведомление о результатах налоговой проверки полностью или в части.
3. В решении уполномоченного органа по результатам рассмотрения жалобы указываются:
1) дата принятия решения;
2) наименование уполномоченного органа, рассмотревшего жалобу;
3) фамилия, имя и отчество либо полное наименование, налогоплательщика (налогового агента), подавшего жалобу;
4) идентификационный номер налогоплательщика (налогового агента), подавшего жалобу;
5) краткое содержание обжалуемого уведомления о результатах налоговой проверки;
6) суть жалобы;
7) обоснование со ссылкой на нормы международных договоров, ратифицированных Республикой Казахстан, и (или) законодательства Республики Казахстан, которыми уполномоченный орган руководствовался при вынесении решения по жалобе;
8) принятое решение.
При этом учитывая особенности порядка рассмотрения жалобы налогоплательщика (налогового агента) на уведомление о результатах налоговой проверки уполномоченным органом, установленные настоящим Кодексом, вынесение предварительного решения по жалобе не требуется.
4. Решение уполномоченного органа по результатам рассмотрения жалобы направляется или вручается лицу, подавшему жалобу, а копия - в налоговый орган, проводивший налоговую проверку.
5. В случае отмены по результатам рассмотрения жалобы обжалуемого уведомления в части налоговый орган, проводивший налоговую проверку, выносит уведомление об итогах рассмотрения жалобы налогоплательщика (налогового агента) на уведомление о результатах налоговой проверки и направляет налогоплательщику (налоговому агенту) в срок, установленный подпунктом 2) пункта 1 статьи 83 настоящего Кодекса.
6. Решение уполномоченного органа по результатам рассмотрения жалобы налогоплательщика (налогового агента) на уведомление о результатах налоговой проверки обязательно для исполнения налоговыми органами.
Статья 198. Порядок назначения тематической налоговой проверки при рассмотрении жалобы налогоплательщика (налогового агента)
1. Уполномоченный орган при рассмотрении жалобы налогоплательщика (налогового агента) вправе направить поручение о назначении и проведении тематической налоговой проверки.
При этом по поручению о назначении и проведении тематической налоговой проверки и акту налоговой проверки, составленному по результатам такой проверки, вынесение предварительного решения не требуется.
Поручение о назначении и проведении тематической налоговой проверки оформляется с указанием вопросов, подлежащих проверке.
2. При исполнении поручения о назначении и проведении тематической налоговой проверки проведение такой проверки не может быть поручено налоговому органу, проводившему налоговую проверку, результаты которой обжалуются, за исключением случая, когда обжалуемая налоговая проверка была проведена уполномоченным налоговым органом.
3. Тематическая налоговая проверка проводится налоговым органом в порядке и сроки, которые установлены настоящим Кодексом, и должна быть начата не позднее десяти рабочих дней с даты получения поручения о назначении и проведении такой проверки.
4. При недостаточной ясности или полноте данных, а также возникновении новых вопросов в отношении ранее проверенных в ходе тематической налоговой проверки обстоятельств и документов уполномоченный орган вправе назначить ее повторно.
5. Решение уполномоченного органа по результатам рассмотрения жалобы выносится с учетом результатов тематической и (или) повторной тематической налоговых проверок. При этом в случае несогласия уполномоченного органа с результатами таких проверок он вправе не учитывать их при принятии решения по жалобе, однако такое несогласие должно быть мотивированным.
Параграф 2. Порядок обжалования действий (бездействия) должностных лиц налоговых органов
Статья 199. Право на обжалование
1. Налогоплательщик и налоговый агент имеют право обжаловать действия (бездействие) должностных лиц налоговых органов в вышестоящий налоговый орган или в суд.
2. Обжалование действий должностных лиц по обеспечению исполнения налогового обязательства, принудительному взысканию налоговой задолженности не приостанавливает применение или действие способов обеспечения и мер принудительного взыскания.
Статья 200. Порядок обжалования действий (бездействия) должностных лиц налоговых органов
Действия (бездействие) должностных лиц налоговых органов обжалуются в порядке, предусмотренном Административным процедурно-процессуальным кодексом Республики Казахстан.
ОСОБЕННАЯ ЧАСТЬ
Глава 19. ОБЩИЕ ПОЛОЖЕНИЯ
Статья 201. Виды налогов, платежей в бюджет
1. В Республике Казахстан действуют:
1) налоги:
корпоративный подоходный налог;
индивидуальный подоходный налог;
налог на добавленную стоимость;
акциз;
рентный налог на экспорт;
специальные платежи и налоги недропользователей;
социальный налог;
налог на транспортные средства;
земельный налог;
налог на имущество;
налог на игорный бизнес;
2) платежи в бюджет:
государственная пошлина;
сборы;
плата за:
пользование земельными участками;
пользование природными ресурсами;
за размещение наружной (визуальной) рекламы;
негативное воздействие на окружающую среду;
использование радиочастотного спектра;
предоставление междугородной и (или) международной телефонной связи, а также сотовой связи;
цифровой майнинг.
2. Для целей применения международных договоров косвенными налогами признаются налог на добавленную стоимость, акцизы.
3. Суммы налогов, платежей в бюджет поступают в доходы соответствующих бюджетов в порядке, определенном Бюджетным кодексом Республики Казахстан и законом о республиканском бюджете.
Глава 20. НАЛОГОВЫЙ УЧЕТ
Статья 202. Налоговый учет и учетная документация
1. Налоговым учетом является процесс ведения налогоплательщиком (налоговым агентом) учетной документации в соответствии с требованиями настоящего Кодекса в целях обобщения и систематизации информации об объектах налогообложения и (или) объектах, связанных с налогообложением, а также исчисления налогов и платежей в бюджет и составления налоговой отчетности.
Сводный налоговый учет является налоговым учетом, осуществляемым уполномоченным представителем участников договора о совместной деятельности в форме простого товарищества как в целом по такой деятельности, так и по доле участия каждого участника договора о совместной деятельности в соответствии со статьей 216 настоящего Кодекса.
2. Учетная документация включает в себя:
1) бухгалтерскую документацию - для лиц, на которых в соответствии с Законом Республики Казахстан «О бухгалтерском учете и финансовой отчетности» возложена обязанность по ее ведению;
2) стандартный файл проверки - для лиц, добровольно представляющих данный файл;
3) первичные учетные документы - для лиц, указанных в пункте 4 настоящей статьи;
4) счет-фактуру;
5) налоговые регистры;
6) налоговые формы;
7) налоговую учетную политику;
8) иные документы, являющиеся основанием для определения объектов налогообложения и (или) объектов, связанных с налогообложением, а также для исчисления налогового обязательства.
3. Если иное не установлено пунктом 4 настоящей статьи, налоговый учет основывается на данных бухгалтерского учета. Порядок ведения бухгалтерской документации устанавливается законодательством Республики Казахстан о бухгалтерском учете и финансовой отчетности.
4. Индивидуальные предприниматели, применяющие специальные налоговые режимы на основе упрощенной декларации, на которых в соответствии с Законом Республики Казахстан «О бухгалтерском учете и финансовой отчетности» не возложена обязанность по ведению бухгалтерского учета и составлению финансовой отчетности, организуют и ведут налоговый учет в соответствии с настоящей главой, главой 21 настоящего Кодекса и правилами организации и ведения налогового учета, утвержденными уполномоченным органом (далее - правила организации и ведения налогового учета).
5. Налогоплательщик (налоговый агент) самостоятельно и (или) через уполномоченного представителя участников договора о совместной деятельности, ответственного за ведение сводного налогового учета, организует налоговый учет и определяет формы обобщения и систематизации информации в виде налоговых регистров таким образом, чтобы обеспечить:
1) формирование полной и достоверной информации о порядке учета для целей налогообложения операций, осуществленных налогоплательщиком (налоговым агентом) в течение налогового периода;
2) расшифровку каждой строки форм налоговой отчетности;
3) достоверное составление налоговой отчетности;
4) предоставление информации налоговым органам для налогового контроля.
6. Порядок ведения налогового учета устанавливается налоговой учетной политикой - документом, утвержденным налогоплательщиком (налоговым агентом) самостоятельно с учетом требований настоящего Кодекса.
Налоговая учетная политика, за исключением налоговой учетной политики налогоплательщика, на которого в соответствии с Законом Республики Казахстан «О бухгалтерском учете и финансовой отчетности» не возложена обязанность по ведению бухгалтерского учета и составлению финансовой отчетности, может быть включена в виде отдельного раздела в учетную политику, разработанную в соответствии с международными стандартами финансовой отчетности и (или) требованиями законодательства Республики Казахстан о бухгалтерском учете и финансовой отчетности.
7. Индивидуальные предприниматели, применяющие специальные налоговые режимы на основе упрощенной декларации, утверждают налоговую учетную политику по форме, установленной уполномоченным органом.
Налоговая учетная политика, предусмотренная частью первой настоящего пункта, утверждается по форме, установленной в правилах организации и ведения налогового учета.
Статья 203. Требования к налоговой учетной политике
1. В налоговой учетной политике должны быть предусмотрены следующие положения:
1) формы и порядок составления налоговых регистров, разработанных налогоплательщиком (налоговым агентом) самостоятельно;
2) наименование должностей лиц, ответственных за соблюдение налоговой учетной политики;
3) порядок ведения раздельного налогового учета в случаях, когда обязанность по ведению такого учета предусмотрена настоящим Кодексом;
4) порядок ведения раздельного налогового учета в случае осуществления операций по недропользованию;
5) выбранные налогоплательщиком методы отнесения на вычеты расходов в целях исчисления корпоративного подоходного налога, а также отнесения в зачет налога на добавленную стоимость;
6) политика определения хеджируемых рисков, хеджируемые статьи и используемые в их отношении инструменты хеджирования, методика оценки степени эффективности хеджирования в случае осуществления операций хеджирования;
7) политика учета доходов по исламским ценным бумагам в случае осуществления операций с исламскими ценными бумагами;
8) нормы амортизации по каждой подгруппе, группе фиксированных активов с учетом положений пункта 2 статьи 280 настоящего Кодекса;
9) в случае выписки в соответствии с настоящим Кодексом счетов-фактур структурными подразделениями юридического лица - резидента, являющегося плательщиком налога на добавленную стоимость, код каждого из таких структурных подразделений, используемый в нумерации счетов-фактур для идентификации таких структурных подразделений;
10) максимальное количество цифр, применяемое в нумерации счетов-фактур при их выписке.
Положения подпунктов 4), 8), 9) и 10) части первой настоящего пункта не распространяются на лиц, на которых в соответствии с законодательством Республики Казахстан не возложена обязанность по ведению бухгалтерского учета и составлению финансовой отчетности.
2. Налоговая учетная политика по совместной деятельности утверждается участниками договора о совместной деятельности в порядке и по основаниям, которые установлены настоящим Кодексом.
3. При осуществлении деятельности по недропользованию в составе простого товарищества (консорциума) в рамках соглашения (контракта) о разделе продукции налоговая учетная политика наряду с требованиями пункта 1 настоящей статьи должна содержать выбранный в соответствии с пунктом 3 статьи 755 настоящего Кодекса способ исполнения участниками простого товарищества и (или) оператором налогового обязательства по каждому виду налогов и платежей в бюджет, предусмотренных налоговым законодательством Республики Казахстан.
4. Действие следующих положений налоговой учетной политики распространяется на срок не менее одного календарного года:
порядок ведения раздельного налогового учета;
выбранные налогоплательщиком методы отнесения на вычеты расходов в целях исчисления корпоративного подоходного налога.
Действие выбранных налогоплательщиком методов отнесения в зачет налога на добавленную стоимость распространяется на срок:
не менее одного налогового периода, установленного для целей исчисления налога на добавленную стоимость, - в случае, предусмотренном подпунктом 5) пункта 2 статьи 487 настоящего Кодекса;
не менее одного календарного года - в остальных случаях.
5. Изменение и (или) дополнение налоговой учетной политики осуществляются налогоплательщиком (налоговым агентом) одним из следующих способов:
1) утверждение новой налоговой учетной политики или ее нового раздела, разработанных в соответствии с международными стандартами финансовой отчетности и (или) требованиями законодательства Республики Казахстан о бухгалтерском учете и финансовой отчетности;
2) внесение изменений и (или) дополнений в действующую налоговую учетную политику или раздел действующей учетной политики, разработанных в соответствии с международными стандартами финансовой отчетности и (или) требованиями законодательства Республики Казахстан о бухгалтерском учете и финансовой отчетности.
6. Не допускается внесение налогоплательщиком (налоговым агентом) изменений и (или) дополнений в налоговую учетную политику:
1) проверяемого налогового периода - в период проведения комплексных и тематических проверок;
2) обжалуемого налогового периода - в период срока подачи и рассмотрения жалобы на уведомление о результатах проверки с учетом восстановленного срока подачи жалобы;
3) по налоговым периодам, по которым произведена налоговая проверка.
7. Недропользователь обязан отразить в своей налоговой учетной политике решение о применении положений статьи 312 настоящего Кодекса.
Статья 204. Правила налогового учета
1. Если иное не установлено настоящим Кодексом, налогоплательщик (налоговый агент) осуществляет ведение налогового учета в тенге по методу начисления в порядке и на условиях, которые установлены настоящим Кодексом.
2. Метод начисления является методом учета, согласно которому результаты операций и прочих событий признаются по факту их совершения, в том числе со дня выполнения работ, оказания услуг, отгрузки и передачи товаров покупателю или его доверенному лицу с целью реализации или оприходования имущества, а не со дня получения или выплаты денег или их эквивалента.
3. Налогоплательщик (налоговый агент) на основе налогового учета по итогам налогового периода определяет объекты налогообложения и (или) объекты, связанные с налогообложением, и исчисляет налоги и платежи в бюджет.
4. Учет курсовой разницы, в том числе определение суммы курсовой разницы, в целях налогообложения осуществляется в соответствии с международными стандартами финансовой отчетности и (или) требованиями законодательства Республики Казахстан о бухгалтерском учете и финансовой отчетности.
5. Учет запасов осуществляется в соответствии с международными стандартами финансовой отчетности и (или) требованиями законодательства Республики Казахстан о бухгалтерском учете и финансовой отчетности. При этом в целях налогообложения стоимость запасов определяется без учета изменения стоимости запасов путем ее списания до чистой возможной цены продажи и восстановления в отношении ранее проведенного списания запасов, вызванного увеличением чистой возможной цены продажи.
В случае изменения метода оценки запасов такой переход производится с начала налогового периода.
6. Сумма корректировки (индексации) обязательства (требования), подлежащего выплате (получению) в тенге, в связи с изменением курса валюты учитывается в целях налогообложения в соответствии с международными стандартами финансовой отчетности и (или) требованиями законодательства Республики Казахстан о бухгалтерском учете и финансовой отчетности, за исключением случаев, предусмотренных пунктом 4 статьи 237, статьей 256, пунктом 7 статьи 257 и статьей 288 настоящего Кодекса.
Статья 205. Налоговые регистры
1. Налоговый регистр - документ налогоплательщика (налогового агента), содержащий сведения об объектах налогообложения и (или) объектах, связанных с налогообложением, а также о полученных деньгах и (или) имуществе от иностранных государств, международных и иностранных организаций, иностранцев, лиц без гражданства, а также о расходовании указанных денег и (или) иного имущества в соответствии с пунктом 8 статьи 56 настоящего Кодекса.
Налоговые регистры предназначены для обобщения и систематизации информации для обеспечения целей налогового учета, указанных в пункте 5 статьи 202 настоящего Кодекса.
Формирование данных налогового учета осуществляется путем отражения информации, используемой для целей налогообложения, в хронологическом порядке и с обеспечением преемственности данных налогового учета между налоговыми периодами (в том числе по операциям, результаты которых учитываются в нескольких налоговых периодах, оказывают влияние на размер объекта обложения в последующие налоговые периоды либо переносятся на ряд лет).
Налогоплательщик (налоговый агент) составляет налоговые регистры в виде специальных форм. Формы налоговых регистров и порядок отражения в них данных налогового учета разрабатываются налогоплательщиком (налоговым агентом) самостоятельно с учетом положений настоящей статьи, за исключением форм налоговых регистров, установленных уполномоченным органом, и утверждаются в налоговой учетной политике.
Правильность отражения хозяйственных операций в налоговых регистрах обеспечивают лица, подписавшие их.
2. Налоговые регистры включают в себя:
1) налоговые регистры, составляемые налогоплательщиком (налоговым агентом) самостоятельно по формам, установленным налогоплательщиком (налоговым агентом) в налоговой учетной политике с учетом положений статьи 202 настоящего Кодекса;
2) налоговые регистры, составляемые налогоплательщиком (налоговым агентом), формы и правила составления которых утверждаются уполномоченным органом.
3. Налоговые регистры должны содержать следующие обязательные реквизиты:
1) наименование регистра;
2) идентификационный номер налогоплательщика (налогового агента);
3) период, за который составлен регистр;
4) фамилию, имя и отчество лица, ответственного за составление регистра.
4. Уполномоченный орган вправе устанавливать формы налоговых регистров для отражения информации по:
1) инвестиционным налоговым преференциям;
2) фиксированным активам и последующим расходам по фиксированным активам;
3) производным финансовым инструментам;
4) суммам управленческих и общеадминистративных расходов юридического лица - нерезидента, отнесенным на вычеты его постоянным учреждением в Республике Казахстан;
5) имуществу, переданному по договору лизинга;
6) учету предусмотренных подпунктами 8) - 10) пункта 2 статьи 320 настоящего Кодекса уменьшений размера требований к должникам;
7) учету закупа у лица, занимающегося личным подсобным хозяйством, сельскохозяйственной продукции заготовительной организацией в сфере агропромышленного комплекса, сельскохозяйственным кооперативом и (или) юридическим лицом, осуществляющим переработку сельскохозяйственного сырья, сельскохозяйственной продукции от личного подсобного хозяйства;
8) услугам туроператора - в разрезе выездного, внутреннего и въездного туризма;
9) получению денег и (или) иного имущества от иностранных государств, международных и иностранных организаций, иностранцев, лиц без гражданства, а также по расходованию указанных денег и (или) иного имущества;
10) обороту в виде остатков товаров для целей исчисления налога на добавленную стоимость;
11) налогу на добавленную стоимость, относимому в зачет, по остаткам товаров;
12) реализации сельскохозяйственным кооперативом товаров членам такого кооператива в целях производства и переработки сельскохозяйственной продукции собственного производства;
13) выполнению работ и оказанию услуг сельскохозяйственным кооперативом для членов такого кооператива в целях производства и переработки сельскохозяйственной продукции собственного производства.
Положения настоящего пункта не распространяются на индивидуальных предпринимателей, которые в соответствии с Законом Республики Казахстан «О бухгалтерском учете и финансовой отчетности» не осуществляют ведение бухгалтерского учета и составление финансовой отчетности.
5. Для индивидуальных предпринимателей, которые в соответствии с Законом Республики Казахстан «О бухгалтерском учете и финансовой отчетности» не осуществляют ведение бухгалтерского учета и составление финансовой отчетности, уполномоченный орган вправе устанавливать формы налоговых регистров для отражения информации по учету:
1) доходов, в том числе полученных путем безналичных расчетов;
2) приобретенных товаров, работ и услуг;
3) объектов обложения индивидуальным подоходным налогом с доходов физических лиц, подлежащих налогообложению у источника выплаты, а также социальным налогом и социальными платежами;
4) налоговых обязательств по плате за:
негативное воздействие на окружающую среду;
пользование водными ресурсами поверхностных водных объектов.
6. Для раскрытия информации о перевозчиках и (или) поставщиках работ, услуг, оказываемых в рамках договора транспортной экспедиции, а также стоимости таких работ, услуг экспедитор ведет налоговый регистр, в котором должны быть отражены следующие данные:
1) порядковый номер и дата выписки счета-фактуры перевозчика и (или) поставщика работ, услуг, являющихся плательщиками налога на добавленную стоимость;
2) идентификационный номер налогоплательщика перевозчика и (или) поставщика работ, услуг;
3) фамилия, имя и отчество или наименование перевозчика и (или) поставщика работ, услуг;
4) стоимость работ, услуг, осуществляемых перевозчиком и (или) поставщиком работ, услуг, являющимися плательщиками налога на добавленную стоимость, включаемая в размер облагаемого (необлагаемого) оборота, указанный в счете-фактуре;
5) стоимость работ, услуг, осуществляемых перевозчиком и (или) поставщиком, не являющимися плательщиками налога на добавленную стоимость, с указанием «Без налога на добавленную стоимость»;
6) стоимость работ, услуг, являющихся оборотом экспедитора по приобретению работ, услуг от нерезидента.
7. В случаях порчи, утраты товаров в результате чрезвычайных ситуаций либо в период действия чрезвычайного положения плательщик налога на добавленную стоимость составляет налоговый регистр, в котором отражаются сведения, предусмотренные пунктом 3 настоящей статьи, а также следующие данные:
1) наименование товара;
2) сумма налога на добавленную стоимость, отнесенного в зачет;
3) балансовая стоимость товара;
4) реквизиты документа, на основании которого налог на добавленную стоимость по такому товару ранее отнесен в зачет (наименование, номер, дата), а также стоимость товара без налога на добавленную стоимость (размер облагаемого оборота).
8. В случае ведения налоговых регистров на бумажных носителях исправление ошибок в таких налоговых регистрах должно быть обосновано и подтверждено подписью ответственного лица, внесшего исправление, с указанием даты и обоснованием внесенных исправлений.
9. Налоговые регистры представляются должностным лицам налоговых органов при проведении налоговых проверок на бумажных и (или) электронных носителях - по требованию должностных лиц налоговых органов, осуществляющих проверку.
Налогоплательщики, состоящие на налоговом мониторинге, представляют налоговые регистры по требованию налоговых органов или их должностных лиц.
При составлении налоговых регистров в форме электронного документа налогоплательщик (налоговый агент) обязан в ходе налоговой проверки и рамках налогового мониторинга по требованию налоговых органов или их должностных лиц представить налоговые регистры на электронных носителях и копии таких налоговых регистров на бумажных носителях, заверенные подписями руководителя и лиц (лица), ответственных (ответственного) за составление данных налоговых регистров налогоплательщика (налогового агента), а также печатью налогоплательщика (налогового агента), за исключением случаев, когда у налогоплательщика (налогового агента) печать отсутствует по основаниям, предусмотренным законодательством Республики Казахстан.
10. Плательщики специального налогового режима для крестьянских или фермерских хозяйств обязаны вести налоговые регистры, предусмотренные пунктом 5 настоящей статьи, за исключением налогового регистра по учету налоговых обязательств по плате за негативное воздействие на окружающую среду.
Статья 206. Требования к составлению и хранению учетной документации
1. Учетная документация составляется налогоплательщиком (налоговым агентом) на бумажном и (или) электронном носителях на казахском и (или) русском языках.
При наличии отдельных документов, составленных на иностранных языках, налоговый орган вправе потребовать от налогоплательщика (налогового агента) их перевода на казахский или русский язык.
2. При составлении учетной документации в электронной форме налогоплательщик (налоговый агент) обязан в ходе налоговой проверки по требованию должностных лиц налоговых органов представить копии такой документации на бумажных носителях, за исключением счетов-фактур, бухгалтерской документации и первичных учетных документов, зарегистрированных в информационной системе электронных счетов-фактур.
3. Учетная документация, относящаяся к объектам налогообложения или объектам, связанным с налогообложением, хранится налогоплательщиком (налоговым агентом) до истечения срока исковой давности, установленного статьей 65 настоящего Кодекса для каждого вида налога или платежа в бюджет, но не менее пяти лет.
Срок хранения учетной документации начинается с налогового периода, следующего за периодом, в котором на основании такой учетной документации исчислено налоговое обязательство, за исключением случаев, предусмотренных пунктами 4 и 5 настоящей статьи, если установленный ими срок хранения превышает срок, установленный настоящим пунктом.
4. Учетная документация, подтверждающая стоимость фиксированного актива группы I, отдельных групп амортизируемых активов, образованных в соответствии со статьями 303 - 313 настоящего Кодекса, в том числе по фиксированному активу, переданному (полученному) по договору имущественного найма (аренды), хранится налогоплательщиком до истечения пяти лет, начиная с налогового периода, следующего за последним налоговым периодом, в котором по такому активу исчислены амортизационные отчисления.
Учетная документация, подтверждающая стоимость фиксированного актива II, III и IV групп, в том числе по фиксированному активу, переданному (полученному) по договору имущественного найма (аренды), хранится налогоплательщиком в течение срока исковой давности, установленного статьей 65 настоящего Кодекса, но не менее пяти лет, начиная с налогового периода, следующего за налоговым периодом, в котором такой актив включен в стоимостный баланс группы фиксированных активов.
Учетная документация, подтверждающая стоимость активов, не подлежащих амортизации в целях налогообложения, хранится налогоплательщиком в течение пяти лет, начиная с налогового периода, следующего за налоговым периодом, в котором у налогоплательщика произошло выбытие актива, не подлежащего амортизации.
5. Учетная документация, относящаяся к объектам налогообложения или объектам, связанным с налогообложением, по налогам и другим обязательным платежам в бюджет, по которым предусмотрено применение налогоплательщиком (налоговым агентом) налоговых преференций и льгот в соответствии с разделом 17 настоящего Кодекса, хранится в течение срока исковой давности, установленного статьей 65 настоящего Кодекса.
6. При реорганизации налогоплательщика обязательство по хранению учетной документации реорганизованного лица возлагается на его правопреемника (правопреемников).
Параграф 1. Счет-фактура
Статья 207. Категории лиц, обязанных выписывать счет-фактуру
1. Счет-фактуру обязаны выписывать следующие налогоплательщики:
зарегистрированные в качестве плательщика налога на добавленную стоимость, - в соответствии с главой 50 настоящего Кодекса;
не являющиеся плательщиками налога на добавленную стоимость (далее - неплательщики налога на добавленную стоимость), - в соответствии со статьями 208 и 209 настоящего Кодекса.
2. Счет-фактура выписывается в порядке и по форме, которые определены уполномоченным органом с учетом положений настоящего Кодекса.
Статья 208. Выписка счета-фактуры неплательщиками налога на добавленную стоимость
1. В случаях, установленных настоящим пунктом, следующие неплательщики налога на добавленную стоимость обязаны выписывать счет-фактуру:
1) комиссионер в случаях, установленных статьей 495 настоящего Кодекса;
2) экспедитор в случаях, установленных статьей 494 настоящего Кодекса;
3) ведомство уполномоченного органа в области государственного материального резерва при выпуске им товаров из государственного материального резерва;
4) налогоплательщик - по услугам международной перевозки грузов;
5) юридическое лицо, аккредитованное в установленном порядке для осуществления деятельности по подтверждению соответствия, определенное законодательством Республики Казахстан о техническом регулировании;
6) налогоплательщик, являющийся таможенным представителем, таможенным перевозчиком, владельцем складов временного хранения, владельцем таможенных складов и уполномоченным экономическим оператором в соответствии с таможенным законодательством ЕАЭС и (или) таможенным законодательством Республики Казахстан;
7) налогоплательщик, применяющий специальный налоговый режим на основе упрощенной декларации;
8) налогоплательщик в случаях, предусмотренных нормативными правовыми актами Республики Казахстан, принятыми в целях реализации международных договоров, ратифицированных Республикой Казахстан;
9) налогоплательщик в случае реализации импортированных товаров;
10) налогоплательщик, реализующий товары, которые поступили к такому налогоплательщику и учтены при поступлении в модуле «Виртуальный склад» информационной системы электронных счетов-фактур.
Перечень товаров, по которым электронные счета-фактуры выписываются посредством модуля «Виртуальный склад» информационной системы электронных счетов-фактур, утверждается уполномоченным органом и размещается на его интернет-ресурсе;
11) налогоплательщик - по медицинским услугам, по реализации лекарственных средств, медицинских изделий, комплектующих медицинских изделий, а также технических вспомогательных (компенсаторных) средств в соответствии законодательством Республики Казахстан о социальной защите;
12) адвокатская контора по юридической помощи, оказанной адвокатом, учредившим самостоятельно или совместно с другими адвокатами адвокатскую контору, по договорам, заключенным такой адвокатской конторой.
Положения настоящего пункта не применяются при реализации личного имущества физическим лицом, в том числе физическим лицом, являющимся индивидуальным предпринимателем или лицом, занимающимся частной практикой.
2. В случаях, предусмотренных подпунктами 1) - 7) и 11) пункта 1 настоящей статьи, не требуется выписка счета-фактуры в случаях:
1) реализации товаров, работ, услуг, расчеты за которые осуществляются:
с представлением покупателю чека контрольно-кассовой машины и (или) через терминалы оплаты услуг;
с представлением покупателю товаров, работ, услуг чека специального мобильного приложения. При этом по требованию покупателя чек должен содержать идентификационный номер такого покупателя товаров, работ, услуг;
2) реализации товаров, работ, услуг физическим лицам, расчеты за которые осуществляются электронными деньгами или с использованием средств электронного платежа;
3) осуществления расчетов через банки второго уровня, оператора почты за предоставленные физическому лицу коммунальные услуги, услуги связи;
4) оформления перевозки пассажира на железнодорожном или воздушном транспорте проездным билетом на бумажном носителе, электронным билетом или электронным проездным документом;
5) безвозмездной передачи товара, безвозмездного выполнения работ, оказания услуг физическому лицу, не являющемуся индивидуальным предпринимателем или лицом, занимающимся частной практикой;
6) реализации финансовых операций, предусмотренных статьей 477 настоящего Кодекса.
Положения подпунктов 1) и 2) части первой настоящего пункта не применяются в случаях реализации товаров, выполнения работ, оказания услуг лицам, указанным в пункте 1 статьи 131 настоящего Кодекса.
3. В случаях, предусмотренных подпунктами 8) -10) пункта 1 настоящей статьи, выписка счета-фактуры не требуется при реализации товаров:
1) физическим лицам, которые используют приобретенный товар в целях личного, семейного, домашнего или иного использования, не связанного с предпринимательской деятельностью (конечное потребление);
2) физическим или юридическим лицам, являющимся субъектами микропредпринимательства в соответствии с Предпринимательским кодексом Республики Казахстан.
4. Получатель товаров, работ, услуг вправе в течение пятнадцати календарных дней с даты совершения поставщиком оборота по реализации обратиться к поставщику данных товаров, работ, услуг с требованием выписать счет-фактуру в следующих случаях, предусмотренных:
подпунктами 1) и 2) пункта 2 настоящей статьи;
пунктом 3 настоящей статьи.
Поставщик обязан выполнить такое требование с учетом положений настоящей статьи, в том числе в части указания в сведениях о получателе товаров, работ, услуг реквизитов юридического лица, через доверенное лицо которого осуществляется приобретение товаров, работ, услуг, или индивидуального предпринимателя, приобретающего товары, работы, услуги.
5. Получатель услуг вправе в течение пятнадцати календарных дней с даты совершения поставщиком оборота по реализации обратиться с требованием выписать документ, подтверждающий факт проезда физического лица, или счет-фактуру к поставщику таких услуг в случае, предусмотренном подпунктом 4) пункта 2 настоящей статьи. Поставщик обязан выполнить такое требование с учетом положений настоящей статьи, в том числе в части указания в сведениях о получателе работ, услуг реквизитов физического лица, которому оказана услуга по перевозке.
Статья 209. Требования к выписке счета-фактуры неплательщиками налога на добавленную стоимость
1. Счет-фактура выписывается в электронной форме в информационной системе электронных счетов-фактур, за исключением следующих случаев, когда налогоплательщик вправе выписывать счет-фактуру на бумажном носителе:
1) отсутствия по месту нахождения налогоплательщика в границах административно-территориальных единиц Республики Казахстан сети телекоммуникаций общего пользования;
2) подтверждения информации на интернет-ресурсе уполномоченного органа о невозможности выписки счетов-фактур в информационной системе электронных счетов-фактур по причине технических ошибок.
Счет-фактура, выписанный на бумажном носителе, подлежит введению в информационную систему электронных счетов-фактур в течение пятнадцати календарных дней с даты устранения технических ошибок;
3) при приостановлении выписки счетов-фактур в информационной системе электронных счетов-фактур в соответствии со статьей 88 настоящего Кодекса.
При этом счет-фактура, выписанный на бумажном носителе, подлежит введению в информационную систему электронных счетов-фактур в течение пятнадцати календарных дней с даты отмены приостановления выписки счетов-фактур в электронной форме в соответствии со статьей 88 настоящего Кодекса;
4) в период чрезвычайной ситуации или действия чрезвычайного положения.
При этом счет-фактура, выписанный на бумажном носителе, подлежит введению в информационную систему электронных счетов-фактур в течение тридцати календарных дней с даты завершения периода чрезвычайной ситуации или действия чрезвычайного положения.
2. Счет-фактура на бумажном носителе выписывается по форме электронного счета-фактуры в двух экземплярах, один из которых передается получателю товаров, работ, услуг.
Налогоплательщики вправе в счете-фактуре, выписываемом на бумажном носителе, указать дополнительные сведения, не предусмотренные в электронной форме счета-фактуры.
3. Стоимостные и суммовые значения в счете-фактуре указываются в национальной валюте Республики Казахстан.
4. В случае если от имени юридического лица в качестве поставщика товаров, работ, услуг выступает его структурное подразделение и по решению юридического лица выписка счетов-фактур производится таким структурным подразделением, а также в случае если от имени юридического лица структурное подразделение выступает получателем товаров, работ, услуг, то в счете-фактуре допускается указание реквизитов такого структурного подразделения.
5. Для целей выписки счета-фактуры:
дата совершения оборота определяется в соответствии с положениями статьи 460 настоящего Кодекса;
размер оборота определяется в соответствии с положениями статей 461 и 462 настоящего Кодекса.
6. Если иное не установлено настоящим пунктом, счет-фактура, выписанный в электронной форме, удостоверяется посредством электронной цифровой подписи.
Счет-фактура дополнительно заверяется биометрическими данными физического лица, осуществляющего выписку счета-фактуры в порядке, предусмотренном уполномоченным органом, при выявлении в отношении налогоплательщика риска на основе системы управления рисками в соответствии со статьей 93 настоящего Кодекса.
Счет-фактура, выписанный на бумажном носителе, заверяется:
для юридических лиц - подписями руководителя и главного бухгалтера, а также печатью, содержащей название и указание организационно-правовой формы, если данное лицо в соответствии с законодательством Республики Казахстан должно иметь печать;
для индивидуальных предпринимателей - печатью (при ее наличии), содержащей фамилию, имя и отчество и (или) наименование, а также подписью индивидуального предпринимателя.
Счет-фактура может заверяться подписью работника, уполномоченного на то приказом налогоплательщика. При этом копия приказа должна быть доступна для визуального ознакомления получателей товаров, работ, услуг.
Получатель товаров, работ, услуг вправе обратиться к поставщику данных товаров, работ, услуг с требованием представить заверенную уполномоченным на то лицом копию приказа о назначении лица, уполномоченного подписывать счета-фактуры, а поставщик обязан выполнить данное требование в день обращения получателя товаров, работ, услуг.
Структурное подразделение юридического лица, являющееся поставщиком товаров, работ, услуг, по решению налогоплательщика вправе заверять выписанные им счета-фактуры печатью такого структурного подразделения, содержащей название и указание организационно-правовой формы юридического лица, если данное лицо в соответствии с законодательством Республики Казахстан должно иметь печать.
Счет-фактура, выписанный уполномоченным представителем участников простого товарищества (консорциума), в случаях, предусмотренных пунктом 2 статьи 216 настоящего Кодекса, заверяется печатью уполномоченного представителя, содержащей название и указание организационно-правовой формы, а также подписями руководителя и главного бухгалтера такого уполномоченного представителя.
В случае, если в соответствии с требованиями законодательства Республики Казахстан о бухгалтерском учете и финансовой отчетности и учетной политикой руководитель или индивидуальный предприниматель ведет бухгалтерский учет лично, вместо подписи главного бухгалтера указывается «не предусмотрен».
7. Счет-фактура выписывается неплательщиками налога на добавленную стоимость в сроки, установленные статьей 493 настоящего Кодекса.
8. Особенности выписки счетов-фактур в отдельных случаях установлены статьями 494 - 498 настоящего Кодекса.
Статья 210. Правила ведения раздельного налогового учета
1. Раздельный налоговый учет является налоговым учетом объектов налогообложения и (или) объектов, связанных с налогообложением, для целей исчисления налоговых обязательств по определенным видам налогов отдельно по следующим выделяемым категориям, для которых настоящим Кодексом предусмотрены условия налогообложения иные, чем общеустановленные:
вид или совокупность видов деятельности;
контракт на недропользование;
месторождение (группа месторождений, часть месторождения), отнесенное (отнесенная) к категории низкорентабельных, высоковязких, обводненных, малодебитных, выработанных;
договор доверительного управления или иной случай возникновения доверительного управления;
договор о совместной деятельности;
оборот по реализации товаров, работ, услуг;
вид дохода;
объект строительства;
ставка налога.
К иным условиям налогообложения, чем общеустановленные условия налогообложения, также относятся уменьшение суммы налога, освобождение от обложения налогом, применение специального налогового режима.
Налогоплательщик (налоговый агент) не вправе объединять объекты налогообложения и (или) объекты, связанные с налогообложением, в целях исчисления налоговых обязательств по выделяемым категориям, для которых настоящим Кодексом установлены требования по ведению раздельного налогового учета.
2. Налогоплательщик (налоговый агент) обязан вести раздельный налоговый учет в случаях, предусмотренных настоящим Кодексом.
Раздельный налоговый учет объектов налогообложения и (или) объектов, связанных с налогообложением, обязан вести:
уполномоченный представитель участников договора о совместной деятельности по договору о совместной деятельности;
учредитель доверительного управления или доверительный управляющий.
3. Налогоплательщик, применяющий специальный налоговый режим на основе упрощенной декларации, при возникновении доходов, подлежащих налогообложению в общеустановленном порядке, обязан вести раздельный налоговый учет объектов налогообложения и (или) объектов, связанных с налогообложением, в целях исчисления налоговых обязательств в общеустановленном порядке отдельно от налоговых обязательств в специальном налоговом режиме на основе упрощенной декларации.
4. Налогоплательщик (налоговый агент) самостоятельно устанавливает в налоговой учетной политике порядок ведения раздельного налогового учета, в том числе перечень видов общих доходов и расходов, методы распределения таких доходов и расходов между выделяемыми категориями и прочей деятельностью, для которых настоящим Кодексом установлены различные условия налогообложения.
5. Недропользователь обязан вести раздельный налоговый учет объектов налогообложения и (или) объектов, связанных с налогообложением, в целях исчисления налоговых обязательств по контрактной деятельности отдельно от внеконтрактной деятельности в порядке, определенном статьей 757 настоящего Кодекса.
6. Операции с производными финансовыми инструментами не относятся к операциям по недропользованию (контрактной деятельности).
7. Раздельный налоговый учет ведется налогоплательщиками (налоговыми агентами) на основании данных учетной документации в соответствии с утвержденной налоговой учетной политикой и учетом положений, установленных настоящей статьей.
8. При ведении раздельного налогового учета для исчисления налогового обязательства налогоплательщик (налоговый агент) обязан обеспечить:
1) отражение в налоговом учете объектов налогообложения и (или) объектов, связанных с налогообложением, для исчисления налогов, по которым настоящим Кодексом установлено требование о ведении раздельного налогового учета, - по каждой выделяемой категории отдельно от прочей деятельности;
2) исчисление налогов и платежей в бюджет, по которым настоящим Кодексом не установлено требование о ведении раздельного налогового учета, - в целом по всей деятельности;
3) представление налоговой отчетности по налогам и платежам в бюджет - в целом по всей деятельности, за исключением:
декларации по корпоративному подоходному налогу;
декларации по индивидуальному подоходному налогу по предпринимательской деятельности;
декларации по налогу на добавленную стоимость в случае, предусмотренном подпунктом 6) настоящего пункта;
4) представление отдельно:
декларации по специальному налоговому режиму на основе упрощенной декларации - по видам доходов, по которым применяется специальный налоговый режим на основе упрощенной декларации;
декларации по специальному налоговому режиму для крестьянских или фермерских хозяйств - по доходам от деятельности, на которую распространяется специальный налоговый режим для крестьянских или фермерских хозяйств;
декларации по корпоративному или индивидуальному подоходному налогу - по прочим видам доходов;
5) представление единой декларации по корпоративному или индивидуальному подоходному налогу по предпринимательской деятельности в целом по всей деятельности и соответствующих приложений к ней по каждой выделяемой категории в случаях, не указанных в подпункте 4) настоящего пункта;
6) представление отдельно декларации по налогу на добавленную стоимость:
по деятельности, предусмотренной статьей 490 настоящего Кодекса;
по иной деятельности.
Статья 211. Общие принципы ведения раздельного налогового учета по корпоративному подоходному налогу
1. Для целей настоящей статьи применяются следующие понятия:
1) общие доходы и расходы - доходы и расходы отчетного налогового периода, включая доходы и расходы по общим фиксированным активам, которые одновременно связаны с осуществлением деятельности по выделяемой категории и прочей деятельности и подлежат распределению между ними;
2) общие фиксированные активы - фиксированные активы, которые одновременно связаны с осуществлением деятельности по выделяемой категории и прочей деятельности и в силу специфики их использования не имеют прямой причинно-следственной связи с конкретной выделяемой категорией или прочей деятельностью;
3) косвенные доходы и расходы - доходы и расходы отчетного налогового периода, в том числе доходы и расходы по фиксированным активам, которые имеют прямую причинно-следственную связь с несколькими выделяемыми категориями и подлежат распределению только между такими категориями;
4) косвенные фиксированные активы - фиксированные активы, которые в силу специфики их использования имеют прямую причинно-следственную связь с несколькими выделяемыми категориями;
5) прямые доходы и расходы - доходы и расходы отчетного налогового периода, включая доходы и расходы по фиксированным активам, которые имеют прямую причинно-следственную связь с конкретной выделяемой категорией или прочей деятельностью.
2. В целях ведения раздельного налогового учета все доходы и расходы налогоплательщика распределяются на прямые, косвенные и общие.
Классификация доходов и расходов на прямые, косвенные и общие осуществляется налогоплательщиком (налоговым агентом) самостоятельно исходя из специфики деятельности.
Прямые доходы и расходы должны быть отнесены в полном объеме только к той выделяемой категории или прочей деятельности, с которой они имеют прямую причинно-следственную связь.
Общие доходы и расходы подлежат распределению между выделяемой категорией и прочей деятельностью и в соответствующей доле относятся к доходам и расходам той выделяемой категории и прочей деятельности, с которыми они имеют причинно-следственную связь.
Косвенные доходы и расходы подлежат распределению только между выделяемыми категориями и в соответствующей доле относятся к доходам и расходам той категории, с которой они имеют причинно-следственную связь.
Распределение общих и косвенных доходов и расходов осуществляется в соответствии с методами, установленными пунктом 4 настоящей статьи, и с учетом положений пункта 3 настоящей статьи.
3. По общим и косвенным фиксированным активам распределению между выделяемой категорией и прочей деятельностью подлежат расходы, понесенные налогоплательщиком по данным фиксированным активам, в том числе расходы по амортизации и последующие расходы.
По общим и косвенным расходам по вознаграждениям распределению подлежит общая сумма вычета по таким вознаграждениям, определенная в соответствии со статьей 263 настоящего Кодекса.
Если курсовая разница не может быть отнесена по прямой причинно-следственной связи к выделяемой категории и прочей деятельности налогоплательщика, по курсовой разнице распределению подлежит полученный за налоговый период итоговый (сальдированный) результат в виде превышения суммы положительной курсовой разницы над суммой отрицательной курсовой разницы или превышения суммы отрицательной курсовой разницы над суммой положительной курсовой разницы.
Налоги, подлежащие отнесению на вычеты в качестве общих или косвенных расходов, подлежат распределению в соответствии с методами, установленными пунктом 4 настоящей статьи, без распределения соответствующих им объектов налогообложения и (или) объектов, связанных с налогообложением.
4. Распределение общих и косвенных доходов и расходов для каждой выделяемой категории и прочей деятельности производится налогоплательщиком (налоговым агентом) самостоятельно с учетом специфики деятельности на основании принятых в налоговой учетной политике одного или нескольких методов ведения раздельного налогового учета, в том числе:
1) по удельному весу прямых доходов, приходящихся на каждую выделяемую категорию и прочую деятельность, в общей сумме прямых доходов, полученных налогоплательщиком (налоговым агентом) за налоговый период;
2) по удельному весу прямых расходов, приходящихся на каждую выделяемую категорию и прочую деятельность, в общей сумме прямых расходов, произведенных налогоплательщиком (налоговым агентом) за налоговый период;
3) по удельному весу расходов, понесенных по одной из следующих статей - прямые производственные расходы, фонд оплаты труда или стоимость фиксированных активов, приходящихся на каждую выделяемую категорию и прочую деятельность, в общей сумме расходов по данной статье, произведенных налогоплательщиком (налоговым агентом) за налоговый период;
4) по удельному весу среднесписочной численности работников, участвующих в деятельности по выделяемой категории и прочей деятельности, к общей среднесписочной численности работников налогоплательщика (налогового агента);
5) иных методов.
В отношении разных видов общих и косвенных доходов и расходов могут применяться различные методы их распределения, определяемые налогоплательщиком (налоговым агентом).
Для более точного распределения общих и (или) косвенных доходов и расходов значение удельного веса, полученное в результате применения одного из вышеуказанных методов, определяется налогоплательщиком (налоговым агентом) в процентах до одной сотой доли (0,01%).
В случае если в налоговой учетной политике не установлен метод распределения общих доходов и расходов, то налоговые органы в ходе проведения налоговой проверки осуществляют распределение таких доходов и расходов на основании метода, установленного подпунктом 1) части первой настоящего пункта.
5. При исчислении корпоративного подоходного налога в целом по деятельности налогоплательщика не учитываются убытки, понесенные по какой-либо выделяемой категории, которые налогоплательщик имеет право компенсировать только за счет доходов, полученных от деятельности по такой выделяемой категории в последующие налоговые периоды, с учетом положений статьи 307 настоящего Кодекса.
Статья 212. Финансовый лизинг
1. Финансовым лизингом является передача имущества по договору лизинга, заключенному в соответствии с законодательством Республики Казахстан о финансовом лизинге, а также предоставление предмета лизинга во вторичный лизинг либо в сублизинг.
2. Если договором лизинга определено право лизингополучателя на продление срока финансового лизинга, то срок финансового лизинга определяется с учетом срока, на который фактически осуществлено продление.
3. Имуществом, передаваемым по финансовому лизингу, являются предметы лизинга, подлежащие получению лизингополучателем на основании договора лизинга.
Для целей налогового учета лизингополучатель рассматривается как покупатель предмета лизинга.
Стоимостью, по которой передан (получен) предмет лизинга, является стоимость предмета лизинга, определяемая на основании договора лизинга. Если в договоре лизинга стоимость, по которой предмет лизинга передается (подлежит получению), не выделена отдельно, то указанная стоимость определяется как сумма всех подлежащих уплате лизинговых платежей за весь период лизинга, за исключением налога на добавленную стоимость.
Для целей налогового учета передача имущества по договору имущественного найма (аренды), не соответствующему договору лизинга в соответствии с законодательством Республики Казахстан, рассматривается как оказание услуг, а подлежащие уплате арендные платежи, за исключением налога на добавленную стоимость, соответственно как плата за оказанные услуги.
Статья 213. Условия передачи имущества в финансовый лизинг для целей применения особенностей налогообложения
1. Для целей применения подпункта 1) пункта 2 статьи 337 и статьи 478 настоящего Кодекса передача имущества в финансовый лизинг должна соответствовать условиям, предусмотренным настоящей статьей.
2. Если иное не установлено настоящим пунктом и пунктом 3 настоящей статьи, финансовым лизингом является передача имущества по договору лизинга, заключенному в соответствии с законодательством Республики Казахстан на срок три года или более, если она отвечает одному из следующих условий:
1) передача имущества в собственность лизингополучателя и (или) предоставление права лизингополучателю на приобретение имущества по фиксированной цене определены договором лизинга;
2) срок финансового лизинга с даты передачи имущества превышает три года и превышает 75 процентов срока полезной службы передаваемого по финансовому лизингу имущества;
3) текущая (дисконтированная) стоимость лизинговых платежей за весь срок финансового лизинга превышает 90 процентов стоимости передаваемого по финансовому лизингу имущества.
Вторичным лизингом признается предоставление в лизинг другому (другим) лизингополучателю (лизингополучателям) предметов лизинга, оставшихся в собственности лизингодателя в случае прекращения, расторжения договора лизинга либо его изменения в связи с изменением количества предметов лизинга (далее в целях настоящей статьи - договор первичного лизинга), с одновременным соблюдением следующих условий:
дата расторжения, прекращения либо изменения договора первичного лизинга и дата заключения договора (договоров) вторичного лизинга приходятся на один налоговый период, установленный статьей 504 настоящего Кодекса;
в договоре (договорах) вторичного лизинга сохранены условия, предусмотренные договором первичного лизинга, за исключением условий для количества предметов лизинга, лизинговых платежей и срока лизинга;
во вторичный лизинг предоставляются предметы лизинга в количестве, не превышающем их общее количество по договору первичного лизинга;
стоимость предмета лизинга, передаваемого во вторичный лизинг, не превышает стоимости предмета лизинга по договору первичного лизинга, уменьшенной на сумму лизинговых платежей, за исключением вознаграждения по лизингу, оплаченную на дату расторжения договора лизинга, размер ставки вознаграждения по договору (договорам) вторичного лизинга не превышает размер ставки вознаграждения по договору первичного лизинга;
предметы лизинга предоставлены во вторичный лизинг на срок не менее трех лет.
3. Не являются финансовым лизингом для целей применения подпункта 1) пункта 2 статьи 337 и статьи 478 настоящего Кодекса:
1) лизинговые сделки в случае расторжения по ним договоров лизинга (прекращения обязательств по договору лизинга) до истечения трех лет с даты заключения таких договоров, кроме следующих случаев:
признания лизингополучателя банкротом в соответствии с законодательством Республики Казахстан о реабилитации и банкротстве и исключения его из Национального реестра бизнес-идентификационных номеров;
признания физического лица - лизингополучателя на основании вступившего в законную силу решения суда безвестно отсутствующим или объявления его умершим, недееспособным или ограниченно дееспособным, установления ему инвалидности первой, второй групп, а также в случае смерти физического лица - лизингополучателя;
вступления в законную силу постановления судебного исполнителя о возврате исполнительного документа лизингодателю в связи с отсутствием у лизингополучателя имущества, в том числе денег, ценных бумаг или доходов, на которые может быть обращено взыскание, и (или) в случае принятия судебным исполнителем предусмотренных законодательством Республики Казахстан об исполнительном производстве и статусе судебных исполнителей мер по выявлению его имущества, в том числе денег, ценных бумаг или доходов, которые оказались безрезультатными;
вступления в законную силу решения суда об отказе лизингодателю в обращении взыскания на имущество лизингополучателя, в том числе на деньги, ценные бумаги или доходы;
предоставление предметов лизинга во вторичный лизинг;
порчи, утраты имущества в результате чрезвычайных ситуаций либо в период действия чрезвычайного положения;
2) лизинговые сделки, по которым сумма лизинговых платежей (по договору и (или) фактическая) без учета вознаграждения за первый год действия договора лизинга составляет более 50 процентов от стоимости предмета лизинга;
3) лизинговые сделки, по которым до истечения трех лет с даты заключения договора лизинга сменился лизингополучатель в результате смены лиц в обязательстве, кроме случая его реорганизации;
4) лизинговые сделки, по которым сменился лизингодатель в результате смены лиц в обязательстве, кроме случая его реорганизации путем преобразования;
5) сделки по передаче имущества в сублизинг сублизингодателем сублизингополучателю по договору сублизинга.
Статья 214. Особенности исполнения налогового обязательства при совместном предпринимательстве
1. Если иное не установлено настоящим пунктом, в случае осуществления совместного предпринимательства объекты налогообложения и (или) объекты, связанные с налогообложением, учитываются и облагаются налогами в порядке, определенном настоящей статьей.
В случае осуществления совместного предпринимательства на основе договора о совместной деятельности (в форме простого товарищества) объекты налогообложения и (или) объекты, связанные с налогообложением, учитываются и облагаются налогами в порядке, определенном статьей 215 настоящего Кодекса.
Особенной частью настоящего Кодекса могут быть установлены специальные налоговые режимы в отношении крестьянских или фермерских хозяйств, предусматривающие иной порядок учета и обложения налогами объектов налогообложения и (или) объектов, связанных с налогообложением.
2. Исполнение налоговых обязательств по деятельности в рамках совместного индивидуального предпринимательства, а также в отношении общей совместной собственности, используемой в совместном индивидуальном предпринимательстве, осуществляется:
1) главой крестьянского хозяйства - при осуществлении совместного индивидуального предпринимательства в форме крестьянского хозяйства;
2) уполномоченным лицом совместного индивидуального предпринимательства - в остальных случаях.
3. Если после применения способов обеспечения исполнения не выполненного в срок налогового обязательства и мер принудительного взыскания налоговой задолженности у лица, указанного в подпункте 2) пункта 2 настоящей статьи, имеется налоговая задолженность по совместному индивидуальному предпринимательству, обязанность по погашению такой задолженности равными долями возлагается на всех членов совместного индивидуального предпринимательства.
При этом лицо, указанное в подпункте 2) пункта 2 настоящей статьи, обязано уведомить всех членов совместного индивидуального предпринимательства о наличии налоговой задолженности по совместному индивидуальному предпринимательству и сумме такой задолженности в течение трех рабочих дней с даты начала применения мер принудительного взыскания налоговой задолженности.
Статья 215. Осуществление совместной деятельности
1. Если иное не установлено настоящим Кодексом, в случае договоренности о ведении совместной деятельности либо иной договоренности, предусматривающей двух и более участников договора о совместной деятельности без образования юридического лица (далее - договор о совместной деятельности), объекты налогообложения и (или) объекты, связанные с налогообложением, учитываются и облагаются налогами соответственно у каждого участника договора о совместной деятельности в порядке, определенном настоящим Кодексом.
2. Каждый участник договора о совместной деятельности в отношении доли своего участия самостоятельно ведет учет активов, обязательств, доходов и расходов по совместной деятельности для определения объектов налогообложения и (или) объектов, связанных с налогообложением, если иное не установлено настоящим Кодексом.
3. В случае отсутствия в договоре о совместной деятельности порядка распределения активов, обязательств, доходов и расходов по совместной деятельности для определения объектов налогообложения и (или) объектов, связанных с налогообложением, участники договора о совместной деятельности разрабатывают и утверждают налоговую учетную политику по совместной деятельности до представления первой налоговой отчетности, которая отражает такой порядок и налоговое обязательство, возникающее в результате совместной деятельности.
4. Договором о совместной деятельности может быть определен уполномоченный представитель участников договора о совместной деятельности, ответственный за ведение налогового учета по такой деятельности или ее части, если иное не установлено настоящим Кодексом.
5. В налоговых целях активы, обязательства, доходы и расходы по совместной деятельности или ее части учитываются уполномоченным представителем участников договора о совместной деятельности отдельно от активов, обязательств, доходов и расходов по иной деятельности данного уполномоченного представителя.
6. Распределение активов, обязательств, доходов и расходов по совместной деятельности для определения объектов налогообложения и (или) объектов, связанных с налогообложением, между участниками договора о совместной деятельности осуществляется участниками договора о совместной деятельности и (или) их уполномоченным представителем при его наличии по итогам каждого налогового периода в порядке, определенном договором о совместной деятельности.
Если условиями договора о совместной деятельности и (или) налоговой учетной политикой по совместной деятельности порядок распределения активов, обязательств, доходов и расходов для определения объектов налогообложения и (или) объектов, связанных с налогообложением, не установлен, участники договора о совместной деятельности и (или) уполномоченный представитель таких участников при его наличии осуществляют указанное распределение пропорционально долям участия согласно договору о совместной деятельности.
Результаты распределения активов, обязательств, доходов и расходов для определения объектов налогообложения и (или) объектов, связанных с налогообложением, между участниками договора о совместной деятельности должны быть оформлены в письменном виде, подписаны всеми участниками договора о совместной деятельности и (или) их уполномоченным представителем при его наличии, а также скреплены печатями (при их наличии в случаях, установленных законодательством Республики Казахстан). Документ о результатах распределения активов, обязательств, доходов и расходов представляется каждым участником договора о совместной деятельности налоговым органам при проведении налоговой проверки.
Уполномоченный представитель участников договора о совместной деятельности должен иметь копии всех документов, на основании которых было осуществлено распределение активов, обязательств, доходов и расходов, если иное не установлено настоящим Кодексом.
Статья 216. Особенности осуществления совместной деятельности недропользователями
1. Если право недропользования по одному контракту на недропользование принадлежит нескольким физическим и (или) юридическим лицам в составе простого товарищества (консорциума), налогоплательщиком по налогам и платежам в бюджет, установленным налоговым законодательством Республики Казахстан, выступает каждый участник простого товарищества (консорциума).
2. Если право недропользования по одному контракту на недропользование принадлежит нескольким физическим и (или) юридическим лицам в составе простого товарищества (консорциума), то по деятельности, осуществляемой по такому контракту на недропользование, участники простого товарищества (консорциума) обязаны определить уполномоченного представителя участников простого товарищества (консорциума), ответственного за ведение сводного налогового учета по такой деятельности.
Уполномоченный представитель участников простого товарищества (консорциума) обязан вести сводный налоговый учет по деятельности, осуществляемой по контракту на недропользование, в соответствии с требованиями настоящего Кодекса.
В случаях осуществления операций по недропользованию в рамках соглашения (контракта) о разделе продукции в качестве такого уполномоченного представителя выступает оператор.
Полномочия уполномоченного представителя участников простого товарищества (консорциума), в том числе оператора, должны быть подтверждены в соответствии с требованиями статей 38 - 41 настоящего Кодекса.
3. Исполнение налоговых обязательств по контракту на недропользование производится в порядке, определенном настоящим Кодексом, участником (участниками) простого товарищества (консорциума) и (или) уполномоченным представителем участников простого товарищества (консорциума), ответственным за ведение сводного налогового учета по такой деятельности, на основании данных сводного налогового учета. При этом исполнение налоговых обязательств по представлению форм налоговой отчетности осуществляется участниками простого товарищества (консорциума) самостоятельно, за исключением случаев, предусмотренных подпунктом 2) пункта 3 статьи 755 настоящего Кодекса.
Статья 217. Осуществление адвокатской деятельности в адвокатской конторе
1. При оказании юридической помощи адвокатом в адвокатской конторе, объекты налогообложения и (или) объекты, связанные с налогообложением, учитываются и облагаются налогами соответственно у каждого адвоката адвокатской конторы, в порядке, определенном настоящим Кодексом.
2. Каждый адвокат самостоятельно ведет учет своего имущества, доходов и своей доли объектов налогообложения и (или) объектов, связанных с налогообложением, по адвокатской деятельности, осуществляемой по договорам, заключенным адвокатской конторой от своего имени, по поручению, за счет и в интересах адвокатов, входящих в нее.
3. Порядок распределения имущества, требований, обязательств, доходов и расходов, возникших в связи с осуществлением адвокатской деятельности по договорам, заключенным адвокатской конторой, а также определения долей объектов налогообложения и (или) объектов, связанных с налогообложением, каждого адвоката, входящего в такую адвокатскую контору, определяется в партнерском договоре, заключенном адвокатами в соответствии с законодательском Республики Казахстан.
Такое распределение имущества, требований, обязательств, доходов и расходов, а также определение долей объектов налогообложения и (или) объектов, связанных с налогообложением, осуществляется адвокатами по итогам каждого налогового периода. Результаты такого распределения должны быть оформлены в письменном виде, подписаны всеми адвокатами, осуществляющими деятельность в адвокатской конторе. Документ о результатах распределения имущества, требований, обязательств, доходов и расходов, а также определения долей объектов налогообложений и (или) объектов, связанных с налогообложением, представляется каждым адвокатом налоговым органам в случае налоговой проверки.
Глава 21. ОСОБЕННОСТИ ВЕДЕНИЯ НАЛОГОВОГО УЧЕТА ИНДИВИДУАЛЬНЫМИ ПРЕДПРИНИМАТЕЛЯМИ, НЕ ОСУЩЕСТВЛЯЮЩИМИ ВЕДЕНИЕ БУХГАЛТЕРСКОГО УЧЕТА И СОСТАВЛЕНИЕ ФИНАНСОВОЙ ОТЧЕТНОСТИ В СООТВЕТСТВИИ С ЗАКОНОМ РЕСПУБЛИКИ КАЗАХСТАН «О БУХГАЛТЕРСКОМ УЧЕТЕ И ФИНАНСОВОЙ ОТЧЕТНОСТИ»
Статья 218. Общие положения
В целях применения норм настоящего Кодекса в части ведения налогового учета и порядка определения и исполнения налоговых обязательств индивидуальными предпринимателями, не осуществляющими ведение бухгалтерского учета и составление финансовой отчетности в соответствии с Законом Республики Казахстан «О бухгалтерском учете и финансовой отчетности», используются следующие понятия:
1) активы - имущество, контролируемое индивидуальным предпринимателем, от которого ожидается получение будущих экономических выгод;
2) первичные учетные документы - документальное свидетельство как на бумажном, так и электронном носителе факта совершения операции или события и права на ее совершение, на основании которого ведется налоговый учет;
3) биологический актив - животное или растение, предназначенное для использования в сельскохозяйственной деятельности;
4) запасы - активы, предназначенные для продажи, а также использования в производственном процессе, для административных целей или при выполнении работ, оказании услуг;
5) капитал - доля в активах индивидуального предпринимателя, остающаяся после вычета всех обязательств;
6) доходы - увеличение экономических выгод в течение отчетного периода в форме притока или прироста активов или уменьшения обязательств, которые приводят к увеличению капитала, отличному от увеличения, связанного с взносами лица, участвующего в капитале;
7) нематериальный актив - идентифицируемый неденежный актив, не имеющий физической формы, предназначенный для использования в производстве или для административных целей, в том числе для сдачи в имущественный наем (аренду) другим лицам;
8) обязательство - существующая обязанность индивидуального предпринимателя, урегулирование которой приведет к выбытию ресурсов, содержащих экономические выгоды;
9) основные средства - материальные активы, которые:
предназначены для использования в производстве или административных целей при реализации товаров, выполнении работ, оказании услуг, в том числе для сдачи в имущественный наем (аренду) другим лицам;
предполагается использовать в течение более одного года.
Статья 219. Формы первичных учетных документов и требования по их составлению
1. Уполномоченный орган вправе в правилах организации и ведения налогового учета установить формы первичных учетных документов, применяемых индивидуальными предпринимателями, не осуществляющими ведение бухгалтерского учета и финансовой отчетности в соответствии с Законом Республики Казахстан «О бухгалтерском учете и финансовой отчетности», и (или) требования по их составлению.
Указанные индивидуальные предприниматели вправе также производить оформление первичных учетных документов в информационной системе электронных счетов-фактур с применением электронной цифровой подписи.
2. Записи в налоговых регистрах производятся на основании первичных документов.
Статья 220. Особенности ведения налогового учета
1. Индивидуальными предпринимателями операции, совершенные в иностранной валюте, пересчитываются в тенге с применением официального курса валюты, установленного на дату совершения операции. Курсовая разница в целях налогообложения не учитывается.
2. В налоговом учете запасы признаются по себестоимости при их получении индивидуальным предпринимателем либо уполномоченным им лицом, в том числе после их производства индивидуальным предпринимателем, в результате демонтажа основных средств путем перевода из состава прочих активов.
Себестоимость запасов включает затраты на приобретение, переработку, прочие затраты, произведенные в целях доведения запасов до их текущего состояния и доставки до места их текущего расположения.
Затраты на приобретение включают импортные пошлины, налоги (кроме возмещаемых), расходы на транспортировку, обработку и другие расходы, непосредственно связанные с приобретением. Торговые скидки, предоставленные поставщиком, возвраты платежей поставщиком и прочие аналогичные скидки и возвраты вычитаются при определении затрат.
Затраты на переработку запасов включают затраты, непосредственно связанные с переработкой сырья в готовую продукцию, в том числе прямые затраты на оплату труда, а также производственные накладные расходы.
Для целей налогового учета себестоимость единицы запасов определяется по фактическим затратам, предусмотренным частью второй настоящего пункта, на такую единицу запасов.
Индивидуальный предприниматель вправе определять для целей налогового учета себестоимость единицы запасов по методу средневзвешенной стоимости. По методу средневзвешенной стоимости себестоимость запасов определяется как среднее значение себестоимости запасов на начало периода и аналогичных запасов, приобретенных (произведенных) в течение периода. Выбор данного метода осуществляется индивидуальным предпринимателем путем отражения в налоговой учетной политике.
Индивидуальные предприниматели, осуществляющие производство товаров, а также индивидуальные предприниматели, выбравшие метод средневзвешенной стоимости, учитывают запасы при их поступлении и выбытии в налоговых регистрах, форма которых разрабатывается индивидуальными предпринимателями самостоятельно.
Доходом индивидуального предпринимателя не является поступление запасов путем внутреннего перемещения. Под внутренним перемещением запасов понимается их перемещение от одного материально ответственного лица, назначенного индивидуальным предпринимателем, к другому материально ответственному лицу, назначенному этим же индивидуальным предпринимателем.
Передача запасов на хранение или в качестве давальческого сырья для целей налогового учета индивидуального предпринимателя не является выбытием запасов.
Получение запасов на хранение осуществляется индивидуальным предпринимателем на основании договора хранения или заявления об отказе от акцепта в случае, если индивидуальный предприниматель получил запасы и на законных основаниях отказался от акцепта счетов платежных требований поставщиков этих запасов и их оплаты. Стоимость таких запасов не является доходом индивидуального предпринимателя.
Выбытием запасов является:
1) прекращение признания в качестве актива, в том числе при реализации запасов на сторону, безвозмездной передаче, использовании в производственном процессе, при выполнении работ, оказании услуг и для прочих целей, при передаче в качестве взноса в уставный капитал, при обмене, выявлении недостач при инвентаризации, хищении, порче имущества, истечении сроков хранения, моральном устаревании и иных случаях утраты потребительских свойств;
2) переклассификация актива, в том числе перевод в состав основных средств, прочих активов.
РАЗДЕЛ 4. ОБЩИЕ ПОЛОЖЕНИЯ ПО НАЛОГООБЛОЖЕНИЮ ДОХОДОВ РЕЗИДЕНТОВ И НЕРЕЗИДЕНТОВ
Глава 22. ОБЩИЕ ПОЛОЖЕНИЯ
Статья 221. Общие положения по налогообложению резидентов и нерезидентов
1. Резидент Республики Казахстан уплачивает в Республике Казахстан в соответствии с положениями настоящего Кодекса налоги с доходов из источников в Республике Казахстан и за ее пределами.
2. Нерезидент уплачивает в Республике Казахстан налоги с доходов из источников в Республике Казахстан в соответствии с положениями настоящего Кодекса.
Нерезидент, осуществляющий предпринимательскую деятельность в Республике Казахстан через постоянное учреждение, уплачивает в Республике Казахстан в соответствии с положениями настоящего Кодекса также налоги с доходов из источников за пределами Республики Казахстан, связанных с деятельностью такого постоянного учреждения.
3. Резиденты и нерезиденты уплачивают в Республике Казахстан также иные налоги и платежи в бюджет, а также социальные платежи при возникновении таких обязательств.
Статья 222. Физическое лицо - резидент
1. Физическое лицо признается резидентом в случаях:
1) постоянного пребывания в Республике Казахстан;
2) наличия центра жизненных интересов в Республике Казахстан.
2. Постоянным пребыванием в Республике Казахстан для налогового периода является нахождение физического лица в Республике Казахстан в любом последовательном двенадцатимесячном периоде, оканчивающемся в данном налоговом периоде:
1) не менее ста восьмидесяти трех календарных дней (включая дни приезда и отъезда);
2) не менее девяноста календарных дней (включая дни приезда и отъезда) для инвестиционного резидента МФЦА в соответствии с условиями, установленными Конституционным законом Республики Казахстан «О Международном финансовом центре «Астана».
3. Центр жизненных интересов является находящимся в Республике Казахстан при одновременном выполнении следующих условий:
1) физическое лицо имеет гражданство Республики Казахстан или разрешение на проживание в Республике Казахстан, или вид на жительство;
2) супруг (супруга) и (или) близкие родственники физического лица проживают в Республике Казахстан (при их наличии);
3) наличие в Республике Казахстан недвижимого имущества, принадлежащего на праве собственности или на иных основаниях физическому лицу и (или) супругу (супруге) и (или) его (ее) близким родственникам, доступного в любое время для его проживания и (или) для проживания супруга (супруги) и (или) его (ее) близких родственников.
4. Независимо от времени проживания в Республике Казахстан и любых других критериев, предусмотренных настоящей статьей, резидентом признается физическое лицо:
1) командированное за рубеж органами государственной власти, в том числе сотрудник дипломатических, консульских учреждений, международных организаций, а также члены семьи указанного физического лица;
2) член экипажа транспортного средства, принадлежащего юридическому лицу или гражданину Республики Казахстан, осуществляющего регулярные международные перевозки;
3) военнослужащий и гражданский персонал соединений и воинских частей Вооруженных Сил Республики Казахстан, дислоцированных за пределами Республики Казахстан;
4) работающее на объекте, находящемся за пределами Республики Казахстан и являющемся собственностью Республики Казахстан или субъектов Республики Казахстан (в том числе на основе концессионных договоров);
5) находящееся за пределами Республики Казахстан с целью обучения, в том числе стажировки или прохождения практики, лечения или прохождения оздоровительных, профилактических процедур, в течение периода обучения, в том числе стажировки или прохождения практики, лечения или прохождения оздоровительных, профилактических процедур;
6) преподаватель и (или) научный работник, находящиеся за пределами Республики Казахстан с целью преподавания, консультирования или осуществления научных работ, в течение периода оказания (выполнения) указанных услуг (работ).
Положения настоящего пункта распространяются на физическое лицо, являющееся гражданином Республики Казахстан (или подавшее заявление о приеме в гражданство Республики Казахстан или о разрешении постоянного проживания в Республике Казахстан без приема в гражданство Республики Казахстан).
Статья 223. Юридическое лицо - резидент
1. Юридическое лицо признается резидентом в случаях:
1) создания юридического лица в соответствии с законодательством Республики Казахстан;
2) создания юридического лица в соответствии с законодательством иностранного государства, место эффективного управления (место нахождения фактического органа управления) которого находится в Республике Казахстан.
2. Местом эффективного управления (местом нахождения фактического органа управления) признается место проведения собрания фактического органа управления (совета директоров или аналогичного органа), на котором осуществляются управление и (или) контроль, а также принимаются решения, необходимые для проведения предпринимательской деятельности юридического лица.
Статья 224. Порядок подтверждения резидентства
1. Резидентство подтверждается в целях применения резидентом международного договора, регулирующего вопросы избежания двойного налогообложения и предотвращения уклонения от уплаты налогов, и иных целях для применения за пределами Республики Казахстан.
Налоговый орган выдает документ, подтверждающий резидентство на основании налогового заявления резидента.
Порядок и сроки подтверждения резидентства устанавливаются уполномоченным органом.
2. Подтверждение резидентства налогоплательщика осуществляется налоговым органом, являющимся вышестоящим по отношению к налоговому органу, в котором такой налогоплательщик зарегистрирован по месту нахождения.
3. Резидентство подтверждается:
1) за период с даты наступления случая, приводящего к признанию резидентства физического лица, до конца календарного года, в котором наступил указанный случай;
2) на календарный год в случае подтверждения резидентства физического лица за предыдущий календарный год при условии его постоянного пребывания в Республике Казахстан;
3) за календарный год, указанный в заявлении на подтверждение резидентства физического лица, постоянно пребывающего в Республике Казахстан или центр жизненных интересов которого находится в Республике Казахстан;
4) за период с даты регистрации до конца календарного года юридического лица как созданного в соответствии с законодательством Республики Казахстан, так и созданного в соответствии с законодательством иностранного государства, место эффективного управления (место нахождения фактического органа управления) которого находится в Республике Казахстан. В последующие годы резидентство юридического лица подтверждается с начала календарного года до конца данного календарного года.
4. Резидентство подтверждается за прошедший и (или) текущий календарные годы.
Статья 225. Нерезиденты
1. Нерезидент - лицо, не являющееся резидентом Республики Казахстан в соответствии с положениями настоящего Кодекса или международного договора, регулирующего вопросы избежания двойного налогообложения и предотвращения уклонения от уплаты налогов.
Юридическое лицо - нерезидент осуществляет деятельность в Республике Казахстан:
1) без образования постоянного учреждения;
2) с образованием постоянного учреждения.
При этом осуществление деятельности юридическим лицом -нерезидентом без образования постоянного учреждения может привести к образованию постоянного учреждения.
Статья 226. Постоянное учреждение нерезидента
1. Постоянное учреждение нерезидента образуется в случае осуществления деятельности нерезидента на территории Республики Казахстан при:
1) наличии постоянного места деятельности;
2) оказании услуг, выполнении работ через работников или другой персонал, нанятый нерезидентом;
3) осуществлении деятельности нерезидентом через зависимого агента;
4) осуществлении нерезидентом совместной деятельности.
Постоянное учреждение нерезидента определяется в соответствии с настоящим Кодексом.
При наличии международного договора постоянное учреждение определяется в соответствии с положениями такого международного договора.
2. К образованию постоянного учреждения в Республике Казахстан не приводит:
1) деятельность, которая носит исключительно подготовительный или вспомогательный характер для последующей деятельности нерезидента:
использование любого места исключительно для целей хранения и (или) демонстрации товара, принадлежащего нерезиденту, без его реализации;
содержание постоянного места деятельности исключительно для сбора, обработки и (или) распространения информации, рекламы или изучения рынка товаров, работ, услуг.
При этом деятельность подготовительного и вспомогательного характера должна осуществляться для самого нерезидента и не может являться частью основных видов деятельности нерезидента;
2) оказание услуг по предоставлению иностранного персонала для работы на территории Республики Казахстан при одновременном выполнении следующих условий:
если такой персонал действует от имени и в интересах лица, которому он предоставлен;
нерезидент, оказывающий услугу по предоставлению иностранного персонала, не несет ответственности за результаты работы предоставленного персонала;
доход нерезидента от оказания услуги по предоставлению иностранного персонала за налоговый период не превышает 10 процентов от общей суммы затрат нерезидента по предоставлению такого персонала за указанный период.
При этом размер такого дохода определяется в виде положительной разницы между стоимостью оказанных нерезидентом услуг по предоставлению иностранного персонала за налоговый период и стоимостью общих сумм затрат нерезидента по предоставлению персонала за указанный период.
Для подтверждения суммы затрат на оказание таких услуг, включая доходы иностранного персонала, нерезидент обязан представить получателю услуг копии первичных документов, составленных в соответствии с законодательством Республики Казахстан и (или) иностранного государства.
Для целей исчисления корпоративного подоходного налога с дохода нерезидента, оказывающего услуги по предоставлению иностранного персонала, при выполнении условий, установленных настоящим пунктом, такие услуги нерезидента признаются услугами, оказанными за пределами Республики Казахстан;
3) регистрация в налоговых органах в качестве налогоплательщика исключительно с целью открытия банковского счета в банках Республики Казахстан;
4) регистрация в качестве налогоплательщика исключительно для исполнения обязательств налогового агента, приобретающего имущество в Республике Казахстан.
Статья 227. Постоянное учреждение нерезидента при наличии постоянного места деятельности
1. Постоянным местом деятельности нерезидента на территории Республики Казахстан признаются:
1) любое место осуществления производства, переработки, комплектации, фасовки, упаковки и (или) реализации товаров;
2) любое место управления, офис, контора, фабрика, отделение, мастерская, шахта, нефтяная или газовая скважина, карьер или другое место добычи природных ресурсов;
3) любое место геологического изучения недр, осуществления разведки, подготовительных работ к разведке и добыче полезных ископаемых и (или) добычи полезных ископаемых, и (или) выполнения работ, оказания услуг по контролю, наблюдению и (или) надзору за разведкой и (или) добычей полезных ископаемых;
4) любое место осуществления деятельности (в том числе контрольной или наблюдательной), связанной с трубопроводом;
5) любое место осуществления деятельности, связанной с установкой, наладкой и эксплуатацией игровых автоматов (включая приставки), компьютерных сетей и каналов связи, аттракционов, а также связанной с транспортной или иной инфраструктурой;
6) любое место осуществления строительной деятельности и (или) строительно-монтажных работ, а также оказания услуг по контролю, наблюдению и (или) надзору за выполнением этих работ;
7) место нахождения структурного подразделения юридического лица - нерезидента, за исключением представительства, осуществляющего деятельность, указанную в подпункте 1) пункта 2 статьи 226 настоящего Кодекса;
8) место нахождения лица, осуществляющего посредническую деятельность в Республике Казахстан от имени нерезидента в соответствии с Законом Республики Казахстан «О страховой деятельности»;
9) место нахождения резидента - участника договора о совместной деятельности, заключенного с нерезидентом, в случае, если такая совместная деятельность осуществляется на территории Республики Казахстан.
Положения настоящего пункта применяются при условии осуществления нерезидентом через указанное постоянное место деятельности на территории Республики Казахстан независимо от сроков осуществления, за исключением реализации товаров на выставках и ярмарках.
2. Реализация нерезидентом товаров на выставках и ярмарках, проводимых на территории Республики Казахстан, образует постоянное учреждение в Республике Казахстан в случае, если такая реализация длится более десяти календарных дней.
Статья 228. Постоянное учреждение нерезидента при оказании нерезидентом услуг, выполнении работ через нанятых работников или другой персонал
1. Постоянное место деятельности нерезидента при оказании нерезидентом услуг, выполнении работ через нанятых работников или другой персонал приводит к образованию постоянного учреждения, если такая деятельность одновременно соответствует следующим условиям:
1) продолжается на территории Республики Казахстан более ста восьмидесяти трех календарных дней в пределах любого последовательного двенадцатимесячного периода;
2) осуществляется в рамках одного проекта или связанных проектов с даты начала осуществления деятельности.
2. Связанными проектами признаются контракты (договоры):
1) взаимосвязанные;
2) взаимозависимые;
3) схожие.
3. Взаимосвязанными контрактами (договорами) признаются контракты (договоры), соответствующие одновременно следующим условиям:
1) по таким контрактам (договорам) нерезидентом или его взаимосвязанной стороной оказываются (выполняются) идентичные или аналогичные услуги (работы) одному и тому же налоговому агенту или его взаимосвязанной стороне;
2) период времени между датой завершения оказания услуг (выполнения работ) по одному контракту (договору) и датой заключения другого контракта (договора) не превышает двенадцать последовательных месяцев.
Идентичные работы, услуги - работы, услуги, имеющие одинаковые характерные для них основные признаки, в том числе реализуемые с использованием одинаковых методик, технологии, подходов, выполняемых подрядчиками, исполнителями с сопоставимой квалификацией и деловой репутацией.
Аналогичные работы, услуги - работы, услуги, которые, не являясь идентичными, имеют сходные характеристики и состоят из схожих компонентов, что позволяет им выполнять одни и те же функции и быть взаимозаменяемыми.
4. Взаимозависимыми контрактами (договорами) признаются контракты (договоры), по которым услуги, работы осуществляются в рамках контрактов (договоров), заключенных между нерезидентом или его взаимосвязанной стороной с налоговым агентом или его взаимосвязанной стороной при условии, что неисполнение обязательств по одному контракту (договору) нерезидентом или его взаимосвязанной стороной влияет на исполнение обязательств таким нерезидентом или его взаимосвязанной стороной по другому контракту (договору).
5. Схожими контрактами (договорами) признаются контракты (договоры), по которым нерезидентом или его взаимосвязанной стороной оказываются услуги и (или) выполняются работы:
имеющие схожие характер и цель;
имеющие схожее содержание;
осуществляемые по одной и той же технологии;
связанные с одной и той же инфраструктурой;
при осуществлении которых использовались одни и те же ресурсы (оборудование, работники, инфраструктура);
идентичные или аналогичные.
Статья 229. Постоянное учреждение нерезидента при осуществлении деятельности нерезидентом через зависимого агента
1. В случае осуществления нерезидентом деятельности на территории Республики Казахстане через зависимого агента такая деятельность приводит к образованию постоянного учреждения независимо от сроков осуществления такой деятельности.
2. Зависимый агент - лицо, которое уполномочено на основании договорных отношений с нерезидентом:
1) представлять интересы нерезидента в Республике Казахстан;
2) действовать и (или) совершать от имени и за счет нерезидента определенные юридические действия, в том числе заключать договоры.
Деятельность зависимого агента не ограничивается видами деятельности подготовительного или вспомогательного характера.
Положение настоящего пункта не распространяется на деятельность таможенного представителя, профессионального участника рынка ценных бумаг и иной брокерской деятельности (за исключением деятельности страхового брокера).
3. Зависимым агентом также признается лицо, обеспечивающее сохранность в Республике Казахстан запасов товаров и (или) регулярно доставляющее такие товары от своего имени или от имени нерезидента.
4. Деятельность нерезидента, осуществляемая на территории Республики Казахстан через дочернюю организацию, созданную в соответствии с законодательством Республики Казахстан, приводит к образованию постоянного учреждения нерезидента, если дочерняя организация признается зависимым агентом в соответствии с пунктом 1 настоящей статьи.
Участие нерезидента в капитале юридического лица - резидента не является основанием для признания такого юридического лица - резидента зависимым агентом нерезидента участника.
Статья 230. Постоянное учреждение нерезидента при осуществлении нерезидентом совместной деятельности
1. Осуществление нерезидентом деятельности на основании договора о совместной деятельности приводит к образованию постоянного учреждения нерезидента в случае осуществления такой деятельности на территории Республики Казахстан.
Осуществлением деятельности на основании договора о совместной деятельности на территории Республики Казахстан признается в случаях:
1) непосредственного осуществления деятельности на территории Республики Казахстан;
2) нахождения заказчика товаров, работ, услуг на территории Республики Казахстан.
2. Исполнение налогового обязательства по договору о совместной деятельности осуществляется каждым участником такого договора самостоятельно в порядке, определенном настоящим Кодексом.
Статья 231. Особенности регистрационного учета постоянного учреждения нерезидента
1. При образовании постоянного учреждения нерезидент, осуществляющий деятельность в Республике Казахстан, подлежит регистрационному учету в налоговом органе в соответствии со статьей 95 настоящего Кодекса.
2. Деятельность нерезидента, приводящая к образованию постоянного учреждения, рассматривается как деятельность постоянного учреждения вне зависимости от постановки на регистрационный учет в налоговых органах или учетной регистрации в регистрирующем органе с даты начала осуществления деятельности.
Датой начала осуществления деятельности такого постоянного учреждения признается дата заключения контракта (договора).
3. Если нерезидент осуществляет деятельность, приводящую к образованию двух и более постоянных учреждений, подлежащих регистрации в одном налоговом органе, то регистрации подлежит одно постоянное учреждение совокупно по группе таких постоянных учреждений нерезидента.
4. Если нерезидент имеет зарегистрированное постоянное учреждение и осуществляет аналогичную или такую же деятельность по месту, отличному от места регистрации такого постоянного учреждения, то осуществление аналогичной или такой же деятельности приводит к образованию постоянного учреждения и подлежит регистрации по месту осуществления аналогичной или такой же деятельности с даты начала осуществления деятельности.
5. Если после даты исключения постоянного учреждения нерезидента из базы налогоплательщиков такой нерезидент возобновляет деятельность, указанную в статье 228 и пункте 2 статьи 227 настоящего Кодекса, в течение последовательного двенадцатимесячного периода, то он признается образовавшим постоянное учреждение и подлежит регистрации в качестве налогоплательщика с даты начала осуществления такой деятельности.
6. В случае если нерезидент осуществляет деятельность через структурное подразделение, которое не приводит к образованию постоянного учреждения в соответствии с международным договором, регулирующим вопросы избежания двойного налогообложения и предотвращения уклонения от уплаты налогов, или пунктом 2 статьи 226 настоящего Кодекса, то к такому структурному подразделению нерезидента будут применяться положения настоящего Кодекса, предусмотренные для постоянного учреждения нерезидента.
При этом такое структурное подразделение имеет право на применение положений международного договора, регулирующего вопросы избежания двойного налогообложения и предотвращения уклонения от уплаты налогов, в соответствии со статьями 699, 700 и 701 настоящего Кодекса.
Статья 232. Процедура взаимного согласования
1. Лицо вправе обратиться в уполномоченный орган с заявлением о проведении процедуры взаимного согласования с компетентным органом иностранного государства, с которым Республикой Казахстан заключен международный договор:
1) для рассмотрения вопроса о применении положений международного договора, если считает, что действия одного или обоих договаривающихся государств приводят или приведут к налогообложению, не соответствующему положениям такого международного договора;
2) для определения статуса резидентства.
2. В заявлении указываются обстоятельства, на которых основаны требования лица.
К заявлению, представленному в соответствии с подпунктом 1) пункта 1 настоящей статьи, лицо обязано приложить копии бухгалтерских документов, подтверждающих суммы полученных (подлежащих получению) доходов и (или) удержанных налогов (в случае их удержания), а также нотариально засвидетельствованные копии:
1) контрактов (договоров, соглашений) на выполнение работ, оказание услуг или на иные цели;
2) следующих документов
для юридических лиц:
учредительных документов либо выписок из торгового реестра с указанием учредителей (участников) и мажоритарных акционеров юридического лица;
документа, подтверждающего наличие в Республике Казахстан места эффективного управления (места нахождения фактического органа управления) юридического лица (протокола общего собрания совета директоров или аналогичного органа с указанием места его проведения, или иных документов, подтверждающих место управления и (или) контроля, а также принятия коммерческих решений, необходимых для проведения предпринимательской деятельности юридического лица;
для физических лиц:
удостоверения личности или паспорта Республики Казахстан;
заграничного паспорта или удостоверения лица без гражданства;
вида на жительство в Республике Казахстан (при его наличии);
документа, подтверждающего период пребывания в Республике Казахстан (визы или иных документов);
3) вступившего в законную силу решения суда Республики Казахстан и (или) иностранного государства (при его наличии).
Лицо вправе представить иные документы, не указанные в настоящем пункте, необходимые для проведения процедуры взаимного согласования.
К заявлению, представленному в соответствии с подпунктом 2) пункта 1 настоящей статьи, лицо обязано приложить документы, указанные в подпунктах 2) и 3) части второй настоящего пункта.
3. Уполномоченный орган вправе требовать у лица представления дополнительных документов, необходимых для проведения процедуры взаимного согласования.
4. Уполномоченный орган в течение пяти рабочих дней со дня представления заявления направляет лицу решение об отказе в принятии заявления в следующих случаях:
1) представления заявления на проведение процедуры взаимного согласования с компетентным органом государства, с которым Республикой Казахстан не заключен международный договор;
2) непредставления документов, предусмотренных пунктом 3 настоящей статьи.
В случае отказа уполномоченным органом в принятии заявления по основанию, предусмотренному подпунктом 2) части первой настоящего пункта, лицо вправе повторно подать заявление, если им будут устранены допущенные нарушения.
5. Уполномоченный орган рассматривает заявление в течение сорока пяти календарных дней со дня его получения, за исключением случаев, указанных в части первой пункта 4 настоящей статьи.
6. По итогам рассмотрения заявления уполномоченным органом выносится одно из следующих решений:
1) об отказе в проведении процедуры взаимного согласования;
2) о проведении процедуры взаимного согласования.
7. Решение об отказе в проведении процедуры взаимного согласования выносится уполномоченным органом в следующих случаях:
1) несоответствия оснований, указанных в заявлении, положениям международного договора Республики Казахстан;
2) предоставления лицом недостоверной информации;
3) непредставления лицом в ходе рассмотрения заявления дополнительных документов по требованию уполномоченного органа в соответствии с пунктом 3 настоящей статьи.
Решение об отказе в проведении процедуры взаимного согласования представляется лицу в течение двух рабочих дней со дня его вынесения.
При принятии решения об отказе в проведении процедуры взаимного согласования по причине двойного резидентства отказ по основаниям, установленным подпунктом 1) части первой настоящего пункта, не применяется.
8. В случае принятия решения о проведении процедуры взаимного согласования уполномоченный орган обращается с запросом в компетентный орган иностранного государства о проведении такой процедуры.
9. Уполномоченный орган прекращает проведение начатой процедуры взаимного согласования с компетентным органом иностранного государства в следующих случаях:
1) представления лицом заявления о прекращении проведения процедуры взаимного согласования;
2) выявления в ходе проведения процедуры взаимного согласования факта предоставления лицом недостоверной информации;
3) непредставления лицом в ходе проведения процедуры взаимного согласования дополнительных документов по требованию уполномоченного органа в соответствии с пунктом 3 настоящей статьи.
10. Уполномоченный орган направляет лицу информацию о решении, принятом по итогам проведения процедуры взаимного согласования, в течение семи рабочих дней со дня принятия такого решения.
11. Решение, принятое по итогам процедуры взаимного согласования, проведенной в порядке, определенном настоящей статьей, а также решение, принятое по итогам процедуры взаимного согласования, проведенной на основании запроса компетентного органа иностранного государства, обязательны для исполнения налоговыми органами.
РАЗДЕЛ 5. КОРПОРАТИВНЫЙ ПОДОХОДНЫЙ НАЛОГ
Глава 23. ОБЩИЕ ПОЛОЖЕНИЯ
Статья 233. Плательщики
1. Плательщиками корпоративного подоходного налога являются юридические лица - резиденты Республики Казахстан, а также юридические лица - нерезиденты, осуществляющие деятельность в Республике Казахстан через постоянное учреждение или получающие доходы из источников в Республике Казахстан.
2. Не являются плательщиками корпоративного подоходного налога государственные учреждения.
Статья 234. Особенности исчисления и уплаты корпоративного подоходного налога отдельными категориями налогоплательщиков
Налогоплательщики, применяющие специальный налоговый режим, исчисляют и уплачивают корпоративный подоходный налог по доходам, облагаемым в рамках указанных режимов, в соответствии с разделом 16 настоящего Кодекса.
Статья 235. Объекты налогообложения
Объектами обложения корпоративным подоходным налогом являются:
1) налогооблагаемый доход;
2) доход, облагаемый у источника выплаты;
3) чистый доход юридического лица - нерезидента, осуществляющего деятельность в Республике Казахстан через постоянное учреждение;
4) облагаемый доход контролируемых иностранных компаний и постоянных учреждений контролируемых иностранных компаний.
Глава 24. НАЛОГООБЛАГАЕМЫЙ ДОХОД ИЛИ УБЫТОК
Статья 236. Налогооблагаемый доход или убыток
1. Налогооблагаемый доход, убыток определяются по следующей формуле:
НОД/Уб = СГД - Ум +(-) Кд - В +(-) Кв, где:
НОД - налогооблагаемый доход, если положительное значение;
Уб - убыток от предпринимательской деятельности, если отрицательное значение;
СГД - совокупный годовой доход, определяемый в соответствии с настоящим разделом;
Ум - уменьшение совокупного годового дохода в соответствии со статьей 255 настоящего Кодекса;
Кд - корректировка дохода в соответствии со статьей 256 настоящего Кодекса;
В - вычеты, определяемые в соответствии с настоящим разделом;
Кв - корректировка вычетов в соответствии со статьей 288 настоящего Кодекса.
2. Положительное значение, полученное при применении формулы в соответствии с пунктом 1 настоящей статьи, признается налогооблагаемым доходом.
3. Отрицательное значение, полученное при применении формулы в соответствии с пунктом 1 настоящей статьи, признается убытком от предпринимательской деятельности.
Порядок дальнейшего налогового учета убытка от предпринимательской деятельности за налоговый период установлен статьями 339 и 344 настоящего Кодекса.
Глава 25. СОВОКУПНЫЙ ГОДОВОЙ ДОХОД
Параграф 1. Общие положения
Статья 237. Совокупный годовой доход
1. Совокупный годовой доход юридического лица - резидента Республики Казахстан состоит из доходов, подлежащих получению (полученных) в течение налогового периода данным лицом:
1) из источников в Республике Казахстан;
2) из источников за пределами Республики Казахстан.
Для целей настоящего раздела доходами из источников за пределами Республики Казахстан независимо от места выплаты признаются все виды доходов, не являющиеся доходами из источников в Республике Казахстан.
Совокупный годовой доход юридического лица - нерезидента, осуществляющего деятельность в Республике Казахстан через постоянное учреждение, состоит из доходов, указанных в статье 688 настоящего Кодекса.
2. В совокупный годовой доход включаются все виды доходов без включения в них суммы налога на добавленную стоимость и акциза, в том числе:
1) доход от реализации;
2) доход от прироста стоимости;
3) доход по сомнительным обязательствам;
4) доход от списания обязательств;
5) доход от уступки права требования;
6) доход от выбытия фиксированных активов;
7) доход от осуществления совместной деятельности;
8) присужденные или признанные должником неустойки (штрафы, пени);
9) полученные компенсации;
10) чистый доход от доверительного управления имуществом, полученный (подлежащий получению) учредителем доверительного управления;
11) доход в виде безвозмездно полученного имущества;
12) дивиденды;
13) вознаграждение по депозиту, долговой ценной бумаге, векселю, исламскому арендному сертификату;
14) доход по инвестиционному депозиту, размещенному в исламском банке;
15) превышение суммы положительной курсовой разницы над суммой отрицательной курсовой разницы;
16) выигрыши;
17) доход от продажи предприятия как имущественного комплекса;
18) доход от нецелевого использования средств ликвидационного фонда полигонов захоронения отходов;
19) доход государственного предприятия, возникающий в соответствии с международными стандартами финансовой отчетности и (или) требованиями законодательства Республики Казахстан о бухгалтерском учете и финансовой отчетности в связи с амортизацией основных средств, закрепленных на праве хозяйственного ведения или оперативного управления за таким предприятием;
20) доход по производным финансовым инструментам;
21) доход по договорам страхования, перестрахования;
22) доход при передаче углеводородов в случае исполнения налогового обязательства в натуральной форме;
23) доход от корректировки расходов на геологическое изучение и подготовительные работы к добыче полезных ископаемых, а также других расходов недропользователей;
24) доход от превышения суммы отчислений в фонд ликвидации последствий разработки месторождений над суммой фактических расходов по ликвидации последствий разработки месторождений;
25) доход от снижения размеров провизий (резервов), созданных налогоплательщиком, имеющим право на вычет провизии (резервов) в соответствии со статьей 323 настоящего Кодекса;
26) доход лица, осуществляющего цифровой майнинг;
27) доход цифрового майнингового пула;
28) доход биржи цифровых активов;
29) положительная разница при применении нового метода оценки запасов;
30) доход, полученный при полном или частичном возврате суммы залога банковского вклада, сформированного недропользователем для обеспечения исполнения обязательств по ликвидации последствий недропользования по углеводородам;
31) другие доходы, не указанные в подпунктах 1) - 30) настоящего пункта.
Совокупный годовой доход доверительного управляющего и учредителя доверительного управления по деятельности по доверительному управлению имуществом определяется с учетом положений статей 66, 68, 69, 70 и 71 настоящего Кодекса.
3. В случае, если одни и те же доходы могут быть отражены в нескольких статьях доходов, указанные доходы включаются в совокупный годовой доход один раз.
Для целей настоящего раздела признание дохода, включая дату его признания, осуществляется в соответствии с международными стандартами финансовой отчетности и (или) требованиями законодательства Республики Казахстан о бухгалтерском учете и финансовой отчетности.
В случае отличия порядка определения и признания дохода в соответствии с международными стандартами финансовой отчетности и (или) требованиями законодательства Республики Казахстан о бухгалтерском учете и финансовой отчетности от порядка определения и признания дохода в соответствии с настоящим Кодексом, такой доход учитывается для целей налогообложения в порядке, определенном настоящим Кодексом.
4. Полученные недропользователем в соответствии с законодательством Республики Казахстан о недрах и недропользовании частично или в полном размере суммы залога банковского вклада, сформированного недропользователем для обеспечения исполнения обязательств по ликвидации последствий недропользования по углеводородам, подлежат включению в совокупный годовой доход того налогового периода, в котором был произведен такой возврат.
5. Настоящим разделом установлены особенности определения доходов в следующих случаях:
1) по производным финансовым инструментам - главой 27 настоящего раздела;
2) по долгосрочным контрактам - главой 28 настоящего раздела;
3) недропользователями - главой 29 настоящего раздела;
4) лицами, осуществляющими финансовую деятельность, - главой 30 настоящего раздела;
5) лицами, осуществляющими операции с цифровыми активами, - главой 31 настоящего раздела.
6. Налогоплательщик корректирует доходы в соответствии со статьей 256 настоящего Кодекса. При этом совокупный годовой доход с учетом корректировок в соответствии со статьей 256 настоящего Кодекса может иметь отрицательное значение.
Параграф 2. Экономические выгоды, не признаваемые доходом
Статья 238. Экономические выгоды, не признаваемые доходом в целях корпоративного подоходного налога
1. В целях налогообложения в качестве дохода не рассматриваются:
1) стоимость имущества, полученного в качестве вклада в уставный капитал, а также дополнительный взнос участника юридического лица в имущество такого юридического лица;
2) стоимость имущества, получаемого (полученного) акционером или участником, учредителем, в том числе при получении взамен ранее внесенного, при распределении имущества:
при ликвидации юридического лица или уменьшении уставного капитала;
при выкупе юридическим лицом - эмитентом у акционера акций, выпущенных этим эмитентом;
при выкупе юридическим лицом у учредителя, участника доли участия или ее части в этом юридическом лице.
Положение настоящего подпункта применяется в пределах:
размера оплаченного уставного капитала, приходящегося на количество акций, на которые осуществляется распределение имущества, с учетом дополнительно оплаченного капитала в виде превышения стоимости имущества, полученного эмитентом от размещения выпущенных им акций, над номинальной стоимостью таких акций;
размера оплаченного уставного капитала, приходящегося на долю участия, на которую осуществляется распределение имущества, с учетом дополнительных взносов участника юридического лица в имущество такого юридического лица и увеличения размера уставного капитала за счет собственного капитала юридического лица, но не более первоначальной стоимости такой доли участия, определяемой в порядке, предусмотренном пунктом 3 статьи 251 настоящего Кодекса, у такого участника, учредителя;
3) для эмитента акций - стоимость имущества, полученного эмитентом от размещения выпущенных им акций;
4) для налогоплательщика, передающего имущество, - стоимость безвозмездно переданного имущества;
5) сумма списанной налоговой задолженности в соответствии с законодательством Республики Казахстан;
6) стоимость безвозмездно полученного в рекламных целях товара (в том числе в виде дарения), если стоимость единицы такого товара не превышает 5-кратный размер месячного расчетного показателя, действующего на дату такого получения товара;
7) сумма уменьшения размера налогового обязательства в случаях, предусмотренных настоящим Кодексом;
8) доход, признаваемый в бухгалтерском учете в соответствии с международными стандартами финансовой отчетности и (или) требованиями законодательства Республики Казахстан о бухгалтерском учете и финансовой отчетности, возникающий:
при изменении стоимости активов и (или) обязательств, кроме подлежащего получению (полученного) от другого лица, если иное не предусмотрено настоящим Кодексом;
в связи с признанием обязательства в бухгалтерском учете в виде положительной разницы между размером фактически подлежащего исполнению обязательства и стоимостью данного обязательства, признанной в бухгалтерском учете;
в размере полученного (подлежащего получению) вознаграждения, уменьшающего стоимость объекта незавершенного строительства в пределах подлежащей выплате (выплаченной) суммы вознаграждения, увеличивающей стоимость такого объекта;
9) увеличение нераспределенной прибыли за счет уменьшения резервов на переоценку активов в соответствии с международными стандартами финансовой отчетности и (или) требованиями законодательства Республики Казахстан о бухгалтерском учете и финансовой отчетности;
10) полученная страховая выплата в пределах суммы, на которую произведено уменьшение стоимостного баланса группы в соответствии с пунктом 12 статьи 279 настоящего Кодекса, с учетом положительного результата от выбытия фиксированных активов, предусмотренного пунктом 1 статьи 244 настоящего Кодекса, и дохода от выбытия фиксированных активов, предусмотренного пунктом 2 статьи 244 настоящего Кодекса, при его наличии;
11) стоимость полученных товаров, выполненных работ, оказанных услуг по устранению недостатков в течение установленного сделкой гарантийного срока в случае, если условиями сделки предусмотрено предоставление гарантии качества товаров, работ, услуг;
12) стоимость электрических сетей (части и (или) частей электрических сетей):
признанных бесхозяйными в соответствии с гражданским законодательством Республики Казахстан, принятых энергопередающей организацией в собственность на безвозмездной основе;
принятых на безвозмездной основе энергопередающей организацией на баланс от государственных или местных исполнительных органов, других энергопередающих организаций или собственников электрических сетей, не осуществляющих деятельность по передаче электрической энергии;
13) полученные техногенные минеральные образования, безвозмездно переданные из государственной собственности;
14) увеличение стоимостных балансов объектов группы I и (или) стоимостных балансов групп амортизируемых активов, образовавшееся вследствие применения условного коэффициента недропользователем по контракту на разведку и добычу или добычу углеводородов по сложным проектам (за исключением газовых проектов на суше) в соответствии с пунктом 5 статьи 277 и (или) пунктом 5 статьи 305 настоящего Кодекса;
15) стоимость имущества, стоимость капитального ремонта, реконструкции объектов государственной собственности, полученных безвозмездно в рамках благотворительной помощи юридическим лицом со стопроцентным участием государства в уставном капитале от некоммерческой организации, созданной в форме фонда в соответствии с гражданским законодательством Республики Казахстан;
16) стоимость безвозмездно полученного имущества в виде квоты на выбросы парниковых газов, полученной в соответствии с Национальным планом углеродных квот, в порядке, определенном уполномоченным органом в области охраны окружающей среды;
17) доходы адвокатской конторы по договору об оказании юридической помощи, заключенному адвокатской конторой за счет и в интересах адвокатов, осуществляющих деятельность в адвокатской конторе, при соблюдении требований, установленных статьей 497 настоящего Кодекса;
18) неустойки (штрафы, пени), присужденные юридическому лицу, ранее являвшемуся банком, по кредитам (займам) и (или) задолженности, связанной с кредитом (займом), долг по которым подлежит прощению, по утвержденному органом управления до 1 июля 2019 года перечню, который представлен в уполномоченный орган не позднее 1 августа 2019 года;
19) субсидии, выделенные из резерва Правительства Республики Казахстан и местных исполнительных органов, получение грантов или другой безвозмездной помощи для энергопроизводящих организаций, сто процентов акций (долей участия в уставном капитале) которых принадлежат государству, находящихся в коммунальной собственности и осуществляющих одновременно деятельность по производству электрической энергии, воды (дистиллята) и тепловой энергии.
2. В целях налогообложения отдельные экономические выгоды не признаются в качестве дохода налогоплательщиками, предусмотренными настоящим пунктом:
1) доходы организации, осуществляющей обязательное гарантирование депозитов, формирующие ее специальный резерв в соответствии с Законом Республики Казахстан «Об обязательном гарантировании депозитов, размещенных в банках второго уровня Республики Казахстан», за исключением доходов, полученных от размещения собственных активов;
2) полученные Единым оператором жилищного строительства в соответствии с Законом Республики Казахстан «О долевом участии в жилищном строительстве»:
сумма гарантийных взносов - в пределах средств, направленных на увеличение резерва для урегулирования гарантийных случаев,
сумма денег в порядке удовлетворения требований по выплатам по завершении строительства многоквартирных жилых домов,
инвестиционные доходы - в пределах средств, направленных на увеличение резерва для урегулирования гарантийных случаев;
3) полученные Фондом гарантирования страховых выплат в соответствии с Законом Республики Казахстан «О Фонде гарантирования страховых выплат»:
сумма обязательных, дополнительных и чрезвычайных взносов страховых организаций - участников,
инвестиционные доходы - в пределах средств, направленных на увеличение резерва возмещения вреда и резерва гарантирования страховых выплат;
сумма денег, полученная в порядке удовлетворения требований по возмещенным депозитам и осуществленным гарантийным и компенсационным выплатам;
4) полученные единым накопительным пенсионным фондом и (или) добровольными накопительными пенсионными фондами инвестиционные доходы пенсионных активов в результате инвестирования пенсионных активов в соответствии с законодательством Республики Казахстан о социальной защите;
5) полученные инвестиционные доходы в соответствии с законодательством Республики Казахстан о социальной защите в сумме, направленной на увеличение активов ГФСС;
6) полученные инвестиционные доходы в соответствии с законодательством Республики Казахстан об обязательном социальном медицинском страховании и направленные на увеличение активов фонда социального медицинского страхования;
7) инвестиционные доходы, полученные:
акционерными инвестиционными фондами от инвестиционной деятельности в соответствии с законодательством Республики Казахстан об инвестиционных и венчурных фондах и учтенные кастодианом акционерного инвестиционного фонда;
инвестиционными фондами от инвестиционной деятельности, зарегистрированными в соответствии с действующим правом МФЦА и учтенными кастодианом или управляющей компанией инвестиционного фонда.
Положения настоящего подпункта не применяются к доходам фондов недвижимости, осуществляющих деятельность в соответствии с законодательством Республики Казахстан об инвестиционных и венчурных фондах или действующим правом МФЦА;
8) инвестиционные доходы, полученные паевыми инвестиционными фондами в соответствии с законодательством Республики Казахстан об инвестиционных и венчурных фондах и признанные таковыми кастодианом паевого инвестиционного фонда, за исключением вознаграждения управляющей компании, осуществляющей доверительное управление активами паевого инвестиционного фонда на основании лицензии на управление инвестиционным портфелем, - для такой управляющей компании;
9) сумма возмещения, подлежащая получению (полученная) в счет исполнения налогового обязательства по уплате акциза по бензину (за исключением авиационного) и дизельному топливу лицом, которое произвело такой бензин, дизельное топливо из давальческого сырья;
10) полученные фондом гарантирования исполнения обязательств по зерновым распискам:
сумма ежегодных обязательных взносов от хлебоприемных предприятий,
сумма денег - в порядке удовлетворения требований по осуществленным гарантийным выплатам;
11) стоимость (денежное выражение) полезных ископаемых, полученных от недропользователя в счет исполнения налогового обязательства по уплате налогов в натуральной форме, - для получателя от имени государства;
12) доход от списания до коммерческого обнаружения в период разведки стратегическим партнером обязательства национальной компании по недропользованию или юридического лица, акции (доли участия в уставном капитале) которого прямо или косвенно принадлежат такой национальной компании по недропользованию, и по вознаграждению по инвестиционному финансированию в соответствии с Кодексом Республики Казахстан «О недрах и недропользовании» - в размере вознаграждения, которое начислено, но не выплачено и подлежит учету для целей формирования отдельной группы амортизируемых активов в соответствии со статьей 305 настоящего Кодекса;
13) доходы, полученные исламским банком в процессе управления деньгами в виде инвестиционных депозитов, направленные на счета депозиторов данных инвестиционных депозитов и находящиеся на них. Такие доходы не включают вознаграждение исламского банка;
14) доход от реализации полезных ископаемых, полученных от недропользователя в счет исполнения налогового обязательства в натуральной форме, получателем от имени государства или лицом, уполномоченным получателем от имени государства на осуществление такой реализации;
15) комиссионное вознаграждение получателя от имени государства или лица, уполномоченного получателем от имени государства, выраженное в возмещении расходов, связанных с реализацией полезных ископаемых, полученных от недропользователя в счет исполнения налогового обязательства в натуральной форме;
16) стоимость имущества, безвозмездно полученного венчурным фондом, созданным в соответствии с законодательством Республики Казахстан, и предназначенного для безвозмездной передачи участникам «Астана Хаб»;
17) финансирование из бюджетных средств, добровольные пожертвования и отчисления физических и юридических лиц, а также доходы от деятельности оператора в сфере официальной помощи развитию, определенные статьей 12 Закона Республики Казахстан «Об официальной помощи развитию»;
18) доход железнодорожного перевозчика, осуществляющего деятельность по перевозке пассажиров, багажа, грузобагажа, почтовых отправлений, возникающий в связи с получением услуг магистральной железнодорожной сети при перевозке пассажиров железнодорожным транспортом на безвозмездной основе, от Национального оператора инфраструктуры, в том числе с применением временного понижающего коэффициента в размере 0 к тарифу на регулируемые услуги магистральной железнодорожной сети при перевозке пассажиров железнодорожным транспортом в соответствии с законодательством Республики Казахстан;
19) полученные специальным фондом развития предпринимательства, созданным по решению Правительства Республики Казахстан, контрольный пакет акций которого принадлежит национальному управляющему холдингу в соответствии с Предпринимательским кодексом Республики Казахстан, и предназначенные для осуществления выплат по обязательствам субъектов частного предпринимательства, возникшим в рамках системы гарантирования обязательств субъектов частного предпринимательства:
сумма обязательных и добровольных взносов в рамках участия в системе гарантирования обязательств субъектов частного предпринимательства;
доходы, возникающие в связи с выделением средств из республиканского и местных бюджетов;
доходы, полученные в результате размещения активов гарантийного фонда, при условии направления указанных доходов на увеличение гарантийного фонда.
Параграф 3. Отдельные виды доходов
Статья 239. Доход от реализации
1. Доходом от реализации признается сумма дохода, возникающего при реализации товаров, работ, услуг, кроме доходов, включаемых в совокупный годовой доход в соответствии с подпунктами 2) - 31) пункта 2 статьи 237 настоящего Кодекса.
Доходы, указанные в пункте 1 статьи 310 настоящего Кодекса, не признаются доходом от реализации в части, не превышающей суммы расходов, указанных в пункте 1 статьи 305 настоящего Кодекса.
2. Доход от реализации определяется в размере стоимости реализованных товаров, работ, услуг без включения в нее суммы налога на добавленную стоимость и акциза.
3. Дата признания дохода от реализации определяется в соответствии с международными стандартами финансовой отчетности и (или) требованиями законодательства Республики Казахстан о бухгалтерском учете и финансовой отчетности.
4. В целях настоящего раздела к доходу от оказания услуг относятся также:
1) доход в виде вознаграждения по кредиту (займу, микрокредиту), по операциям репо;
2) доход в виде вознаграждения по передаче имущества по договору лизинга;
3) роялти;
4) доход от сдачи имущества в имущественный наем (аренду), кроме лизинга.
5. В случаях и порядке, которые установлены законодательством Республики Казахстан о трансфертном ценообразовании, доход от реализации подлежит корректировке.
Статья 240. Присужденные или признанные должником неустойки (штрафы, пени)
Доходом в виде присужденных или признанных неустоек (штрафов, пеней) признается присужденная или признанная должником денежная сумма, которую должник в случаях, предусмотренных законодательством Республики Казахстан или иностранного государства или договором, обязан уплатить кредитору при неисполнении или ненадлежащем исполнении обязательства.
При этом не признаются доходом необоснованно удержанные штрафы, возвращенные из бюджета, если эти суммы ранее не были отнесены на вычеты.
Статья 241. Доход по сомнительным обязательствам
1. Обязательства, возникшие по приобретенным товарам, работам, услугам, а также по начисленным доходам работников, неудовлетворенные в течение трехлетнего периода, признаются сомнительными.
В доход по сомнительным обязательствам по полученным кредитам (займам, микрокредитам) не включается сумма полученного кредита (займа, микрокредита).
Сомнительные обязательства подлежат включению в совокупный годовой доход налогоплательщика, кроме налога на добавленную стоимость, подлежащего исключению из зачета.
В целях применения настоящей статьи доход работника определяется в соответствии со статьей 426 настоящего Кодекса.
2. Доход по сомнительным обязательствам признается в налоговом периоде, в котором истек трехлетний период, исчисляемый:
1) по сомнительным обязательствам, возникшим по договорам кредита (займа, микрокредита), - со дня, следующего за днем наступления срока уплаты вознаграждения в соответствии с условиями договора кредита (займа, микрокредита);
2) по сомнительным обязательствам, возникшим по договорам лизинга, - со дня, следующего за днем наступления срока уплаты лизингового платежа в соответствии с условиями договора лизинга;
3) по сомнительным обязательствам, возникшим по начисленным доходам работников, - со дня начисления доходов работников;
4) по сомнительным обязательствам, не указанным в подпунктах 1) - 3) настоящего пункта:
со дня, следующего за днем окончания срока исполнения обязательства по приобретенным товарам, работам, услугам, срок исполнения которого определен;
со дня передачи товара, выполнения работ, оказания услуг по обязательству по приобретенным товарам, работам, услугам, срок исполнения которого не определен.
3. Положения настоящей статьи не распространяются на вознаграждения по кредитам (займам), не относимые на вычеты с учетом положений пункта 3 статьи 263 настоящего Кодекса.
Статья 242. Доход от списания обязательств
1. К доходу от списания обязательств относится:
1) размер обязательства, по которому кредитором прекращено требование к налогоплательщику о его исполнении;
2) размер не востребованного кредитором обязательства на дату представления ликвидационной налоговой отчетности при ликвидации налогоплательщика, если иное не предусмотрено настоящим подпунктом.
В случае, когда при ликвидации налогоплательщика в соответствии с настоящим Кодексом предусмотрены проведение ликвидационной налоговой проверки или выдача заключения по результатам камерального контроля, размер такого обязательства определяется как:
сумма обязательств (за исключением суммы налога на добавленную стоимость), подлежавшая выплате в соответствии с первичными документами налогоплательщика и подлежащая отражению (отраженная) в промежуточном ликвидационном балансе, на день утверждения такого баланса
минус
сумма обязательств, которые будут удовлетворены в период со дня утверждения промежуточного ликвидационного баланса и до дня завершения ликвидационной налоговой проверки или камерального контроля.
По результатам ликвидационной налоговой проверки размер обязательства определяется налоговым органом исходя из фактической суммы удовлетворенных обязательств за указанный период. Размер такого обязательства отражается в акте налоговой проверки.
По результатам камерального контроля размер обязательства определяется налоговым органом исходя из фактической суммы удовлетворенных обязательств за указанный период и отражается в уведомлении об устранении нарушений, выявленных по результатам камерального контроля;
3) размер обязательства, по которому в налоговом периоде истек срок исковой давности, установленный законами Республики Казахстан;
4) размер обязательства, исполнение которого кредитор не вправе требовать на основании вступившего в законную силу судебного акта.
2. Сумма дохода от списания обязательств равна сумме обязательств (за исключением суммы налога на добавленную стоимость), подлежавших выплате в соответствии с первичными документами налогоплательщика:
1) на день прекращения требования - в случае прекращения требования;
2) на день истечения срока исковой давности, установленного законами Республики Казахстан, - в случае истечения срока исковой давности;
3) на день вступления в законную силу судебного акта - в случае, когда кредитор на основании судебного акта не вправе требовать исполнения обязательства.
3. К обязательствам, признанным сомнительными в соответствии с настоящим Кодексом, не применяются положения пунктов 1 и 2 настоящей статьи.
4. К доходу от списания обязательств не относится уменьшение размера обязательств в связи с их передачей по договору купли-продажи предприятия как имущественного комплекса.
Статья 243. Доход от уступки права требования
Если иное не установлено статьей 321 настоящего Кодекса, доходом от уступки права требования является:
1) для налогоплательщика, приобретающего право требования, - положительная разница между суммой, подлежащей получению от должника по требованию основного долга, в том числе суммы сверх основного долга на дату уступки права требования, и стоимостью приобретения права требования;
2) для налогоплательщика, уступившего право требования, - положительная разница между стоимостью права требования, по которой произведена уступка, и стоимостью требования, подлежащей получению от должника на дату уступки права требования, согласно первичным документам налогоплательщика.
Доход от уступки права требования признается в налоговом периоде, в котором произведена уступка права требования.
Статья 244. Доход от выбытия фиксированных активов
1. Результат от выбытия фиксированных активов группы I определяется по следующей формуле:
стоимость выбывшего объекта фиксированных активов
минус
сумма стоимостного баланса такого объекта на начало налогового периода
минус
общая сумма произведенных в налоговом периоде последующих расходов, отнесенных на увеличение стоимостного баланса такого объекта.
Полученный результат может иметь положительное или отрицательное значение.
Если общая сумма результатов от выбытия всех выбывших фиксированных активов группы I за налоговый период имеет положительное значение, то такое значение признается доходом от выбытия фиксированных активов группы I.
Если общая сумма результатов от выбытия всех выбывших фиксированных активов группы I имеет отрицательное значение, то такое значение признается убытком от выбытия фиксированных активов группы I.
2. Доходом от выбытия фиксированных активов группы (по II, III и IV группам) признается положительное значение, полученное по следующей формуле:
общая сумма стоимостей всех выбывших в налоговом периоде фиксированных активов группы
минус
сумма стоимостного баланса такой группы на начало налогового периода
минус
общая стоимость всех фиксированных активов, поступивших в налоговом периоде в такую группу,
минус
общая сумма произведенных в налоговом периоде последующих расходов, отнесенных на увеличение стоимостного баланса такой группы.
3. В целях применения настоящей статьи стоимостью выбывшего фиксированного актива является стоимость, на которую уменьшается стоимостный баланс объектов группы I и (или) групп (по II, III и IV группам) в соответствии со статьей 279 настоящего Кодекса.
4. Доход от выбытия фиксированных активов признается в налоговом периоде, в котором произошло выбытие таких активов.
Статья 245. Полученные компенсации
1. К доходам в виде компенсации относятся:
1) суммы возмещения требований, в том числе путем переуступки прав, ранее признанных сомнительными и отнесенных на вычеты;
2) суммы, полученные из средств государственного бюджета, на покрытие затрат (расходов);
3) суммы компенсации ущерба, выплаченные страхователю, застрахованному, выгодоприобретателю по договору страхования (перестрахования) или лицом, нанесшим ущерб, за исключением страховых выплат при утрате, порче застрахованных фиксированных активов;
4) сумма страховых премий, подлежащих возврату или возвращенных страхователю по договору страхования (перестрахования) в соответствии с гражданским законодательством Республики Казахстан по договорам ненакопительного страхования и ранее отнесенных на вычеты страхователем;
5) сумма возмещения физическим лицом расходов на его обучение налогоплательщику, который в предыдущих налоговых периодах произвел на сумму таких расходов уменьшение налогооблагаемого дохода;
6) другие компенсации, полученные для возмещения затрат, которые ранее были отнесены на вычеты.
2. Доход в виде компенсации признается в том налоговом периоде, в котором такая компенсация получена.
Статья 246. Безвозмездно полученное имущество
1. Если иное не установлено статьей 242 настоящего Кодекса, стоимость любого имущества, в том числе работ и услуг, полученного налогоплательщиком безвозмездно, является его доходом.
К доходу в виде безвозмездно полученного имущества у участника юридического лица в том числе относится увеличение вклада в уставный капитал такого юридического лица путем увеличения уставного капитала юридического лица за счет прироста стоимости от переоценки в составе собственного капитала такого юридического лица.
2. Доход в виде безвозмездно полученного имущества, в том числе работ и услуг, признается в налоговом периоде, в котором такое имущество получено, работы выполнены, услуги оказаны.
3. Размер дохода в виде безвозмездно полученного имущества, в том числе работ и услуг, определяется по данным бухгалтерского учета в соответствии с международными стандартами финансовой отчетности и (или) требованиями законодательства Республики Казахстан о бухгалтерском учете и финансовой отчетности, но не ниже стоимости, указанной в документе, оформленном в связи с передачей такого имущества, с учетом налога на добавленную стоимость, указанного в документах передающей стороны.
Статья 247. Доход от продажи предприятия как имущественного комплекса
Доходом от продажи предприятия как имущественного комплекса признается положительный результат от продажи предприятия как имущественного комплекса. Такой результат определяется на основании данных бухгалтерского учета на дату реализации предприятия по следующей формуле:
стоимость реализации по договору купли-продажи предприятия (части предприятия) как имущественного комплекса
минус
балансовая стоимость передаваемых активов
плюс
балансовая стоимость передаваемых обязательств.
Если полученный результат является отрицательным, то он подлежит вычету в соответствии с пунктом 11 статьи 258 настоящего Кодекса.
Статья 248. Положительная разница при применении нового метода оценки запасов
В случае перехода налогоплательщика в бухгалтерском учете на иной метод оценки запасов, чем тот, который применялся в предыдущем налоговом периоде, сумма положительной разницы, образовавшаяся в результате такого перехода, признается доходом.
Статья 249. Доход от нецелевого использования средств ликвидационного фонда полигонов захоронения отходов
Сумма установленного уполномоченным органом в области охраны окружающей среды нецелевого использования налогоплательщиком средств ликвидационного фонда полигонов захоронения отходов признается доходом от нецелевого использования средств ликвидационного фонда полигонов захоронения отходов и подлежит включению в совокупный годовой доход налогоплательщика того налогового периода, в котором было допущено такое использование.
Уполномоченный орган в области охраны окружающей среды устанавливает сумму нецелевого использования средств ликвидационного фонда полигонов захоронения отходов и направляет сведения налогоплательщикам и в налоговый орган.
Параграф 4. Доход от прироста стоимости
Статья 250. Общие положения
1. Доход от прироста стоимости образуется при:
1) реализации активов, не подлежащих амортизации;
2) передаче активов, не подлежащих амортизации, в качестве вклада в уставный капитал;
3) выбытии активов, не подлежащих амортизации, в результате реорганизации путем слияния, присоединения, разделения или выделения.
2. В целях настоящего параграфа к активам, не подлежащим амортизации, относятся следующие виды активов:
1) земельные участки;
2) объекты незавершенного строительства;
3) неустановленные машины и оборудование;
4) активы со сроком службы более одного года, не относимые к фиксированным активам, запасам или цифровым активам. К активам, предусмотренным настоящим подпунктом, в том числе относятся долгосрочные активы, предназначенные для продажи;
5) инвестиционное золото;
6) ценные бумаги;
7) доля участия;
8) активы, стоимость которых полностью отнесена на вычеты.
3. Порядок определения дохода от прироста стоимости активов, не подлежащих амортизации, установлен:
по доле участия - статьей 251 настоящего Кодекса;
по ценным бумагам - статьей 252 настоящего Кодекса;
по активам, стоимость которых полностью отнесена на вычеты, - статьей 253 настоящего Кодекса;
по прочим активам, не подлежащим амортизации, - статьей 254 настоящего Кодекса.
4. Доход от прироста стоимости признается в том налоговом периоде:
1) в котором осуществлена реализации актива, не подлежащего амортизации;
2) в котором актив, не подлежащий амортизации, передан в качестве вклада в уставный капитал;
3) за который представлена ликвидационная налоговая отчетность при выбытии актива, не подлежащего амортизации, в результате реорганизации путем слияния, присоединения, разделения;
4) в котором утвержден разделительный баланс при выбытии актива, не подлежащего амортизации, в результате реорганизации путем выделения.
5. Стоимость, по которой актив, не подлежащий амортизации, передан в качестве вклада в уставный капитал, определяется на основании документа, подтверждающего приемку и передачу такого актива, но не более суммы, в счет оплаты которой передан этот актив.
6. Для целей настоящего Кодекса вклад в уставный капитал включает дополнительный вклад в уставный капитал.
7. Доход от прироста стоимости цифровых активов определяется в соответствии со статьей 326 настоящего Кодекса.
8. В случае, если стоимость актива, предусмотренного пунктом 2 настоящей статьи, выражена в иностранной валюте и (или) операция произведена в иностранной валюте, прирост стоимости определяется в той валюте, в которой выражена стоимость актива и (или) произведена операция, и затем такой прирост стоимости пересчитывается в тенге по официальному курсу валюты, установленному на соответствующий день, указанный в пункте 4 настоящей статьи.
Статья 251. Доход от прироста стоимости по доле участия
1. Результат от выбытия доли участия может иметь положительное или отрицательное значение и определяется по каждой операции выбытия в следующем порядке:
1) при реализации - разница между стоимостью реализации и первоначальной стоимостью доли участия;
2) при передаче доли участия в качестве вклада в уставный капитал - разница между стоимостью доли участия, по которой она передана в качестве вклада в уставный капитал, и первоначальной стоимостью данной доли участия;
3) при выбытии в результате реорганизации юридического лица путем слияния, присоединения, разделения или выделения - разница между стоимостью доли участия, отраженной в передаточном акте или разделительном балансе, и ее первоначальной стоимостью.
Общая сумма результатов от всех операций выбытия долей участия, кроме льготируемых долей участия, за налоговый период признается:
доходом от прироста стоимости, если такая сумма имеет положительное значение;
убытком от выбытия долей участия, если такая сумма имеет отрицательное значение, и учитывается в порядке, установленном статьями 338, 341 и 344 настоящего Кодекса.
2. Если общая сумма результатов от всех операций выбытия по каждому виду льготируемых долей участия за налоговый период имеет положительное значение, то такая сумма признается доходом от прироста стоимости льготируемых долей участия, который включается в совокупный годовой доход и учитывается в порядке, установленном пунктом 2 статьи 337 настоящего Кодекса.
Если общая сумма результатов от всех операций выбытия по каждому виду льготируемых долей участия за налоговый период имеет отрицательное значение, то такое значение не учитывается при исчислении корпоративного подоходного налога.
Льготируемыми долями участия являются доли участия, указанные в подпунктах 7) и 10) пункта 2 статьи 337 настоящего Кодекса.
3. Первоначальной стоимостью доли участия являются пропорционально приходящиеся на размер выбывающей доли участия:
1) совокупность фактических затрат на ее приобретение, затрат, связанных с приобретением и увеличивающих стоимость доли участия в соответствии с международными стандартами финансовой отчетности и (или) требованиями законодательства Республики Казахстан о бухгалтерском учете и финансовой отчетности,
и (или)
2) стоимость актива, переданного в качестве вклада в уставный капитал, дополнительного взноса участника юридического лица в имущество такого юридического лица, но не более суммы, в счет оплаты которой передан актив. При этом такая стоимость определяется на основании документов (акта приема-передачи и (или) иных документов), подтверждающих внесение вклада и стоимость, по которой передан актив,
и (или)
3) сумма денег, внесенная в качестве вклада в уставный капитал, дополнительного взноса участника юридического лица, но не более суммы, в счет оплаты которой переданы деньги,
и (или)
4) стоимость доли участия, по которой она получена в качестве вклада в уставный капитал, дополнительного взноса участника юридического лица, но не более суммы, в счет оплаты которой она получена, - в случае, если доля участия была получена в качестве вклада в уставный капитал. При этом такая стоимость определяется на основании документов (акта приема-передачи и (или) иных документов), подтверждающих получение вклада и стоимость, по которой получена доля участия,
и (или)
5) стоимость, указанная в передаточном акте или разделительном балансе, - в случае, если доля участия была получена в результате реорганизации,
и (или)
6) балансовая стоимость доли участия, получаемой (полученной) акционером, участником, учредителем при распределении имущества, в том числе получаемой (полученной) взамен ранее внесенного имущества, подлежащая отражению (отраженная) в бухгалтерском учете передающего лица на дату передачи, без учета переоценки и обесценения, отраженная в документе, подтверждающем передачу доли участия и заверенном подписями сторон, - в случае, если доля участия была получена акционером (участником, учредителем) в результате распределения имущества при ликвидации юридического лица или уменьшении уставного капитала, а также выкупе юридическим лицом у учредителя, участника доли участия или ее части в этом юридическом лице, выкупе юридическим лицом - эмитентом у акционера акций, выпущенных этим эмитентом,
и (или)
7) стоимость, включенная в совокупный годовой доход в виде стоимости безвозмездно полученного имущества в соответствии с настоящим Кодексом, - в случае, если доля участия была получена безвозмездно,
и (или)
увеличение вклада в уставный капитал юридического лица произведено путем увеличения уставного капитала юридического лица за счет прироста стоимости от переоценки в составе собственного капитала такого юридического лица.
Статья 252. Доход от прироста стоимости по ценным бумагам
1. Результат от выбытия ценных бумаг, кроме долговых ценных бумаг, может иметь положительное или отрицательное значение и определяется по каждой операции выбытия за налоговый период в следующем порядке при:
1) реализации - разница между стоимостью реализации ценной бумаги и ее первоначальной стоимостью;
2) передаче в качестве вклада в уставный капитал - разница между стоимостью ценной бумаги, по которой она передана в качестве вклада в уставный капитал, и ее первоначальной стоимостью;
3) выбытии в результате реорганизации юридического лица путем слияния, присоединения, разделения или выделения - разница между стоимостью ценной бумаги, отраженной в передаточном акте или разделительном балансе, и ее первоначальной стоимостью.
2. Результат от выбытия долговых ценных бумаг может иметь положительное или отрицательное значение и определяется по каждой операции выбытия за налоговый период в следующем порядке при:
1) реализации, в том числе погашении, - разница без учета купона между стоимостью реализации, погашения долговой ценной бумаги и ее первоначальной стоимостью с учетом амортизации дисконта и (или) премии по долговым ценным бумагам на дату реализации;
2) передаче в качестве вклада в уставный капитал - разница без учета купона между стоимостью долговой ценной бумаги, по которой она передана в качестве вклада в уставный капитал, и ее первоначальной стоимостью с учетом амортизации дисконта и (или) премии по долговым ценным бумагам на дату передачи;
3) выбытии в результате реорганизации юридического лица путем слияния, присоединения, разделения или выделения - положительная разница без учета купона между стоимостью долговой ценной бумаги, отраженной в передаточном акте или разделительном балансе, и ее первоначальной стоимостью с учетом амортизации дисконта и (или) премии по долговым ценным бумагам на дату выбытия.
3. Общая сумма результатов от всех операций выбытия ценных бумаг, кроме льготируемых ценных бумаг, за налоговый период признается:
доходом от прироста стоимости, если такая сумма имеет положительное значение;
убытком от выбытия, если такая сумма имеет отрицательное значение, и учитывается в порядке, установленном статьями 338, 341 и 344 настоящего Кодекса.
4. Если общая сумма результатов от всех операций выбытия по каждому виду льготируемых ценных бумаг за налоговый период имеет положительное значение, то такая сумма признается доходом от прироста стоимости льготируемых ценных бумаг, который включается в совокупный годовой доход и учитывается в порядке, установленном пунктом 2 статьи 337 настоящего Кодекса.
Если общая сумма результатов от всех операций выбытия по каждому виду льготируемых ценных бумаг за налоговый период имеет отрицательное значение, то такое значение не учитывается при исчислении корпоративного подоходного налога.
Льготируемыми ценными бумагами являются ценные бумаги, указанные в подпунктах 5), 6), 7), 8), 9), 10) и части третьей пункта 2 статьи 337 настоящего Кодекса.
5. Первоначальная стоимость ценных бумаг определяется как сумма следующих показателей:
1) совокупность затрат на приобретение, включаемых в стоимость ценных бумаг в соответствии с международными стандартами финансовой отчетности и (или) требованиями законодательства Республики Казахстан о бухгалтерском учете и финансовой отчетности,
или
в случае, если ценные бумаги были получены в качестве вклада в уставный капитал, - стоимость ценных бумаг, по которой они получены в качестве вклада в уставный капитал, но не более суммы, в счет оплаты которой они получены. При этом такая стоимость определяется на основании документов, подтверждающих получение вклада и стоимость, по которой получены ценные бумаги, (акт приема-передачи и (или) иные документы),
или
в случае, если ценные бумаги были получены в результате реорганизации, - стоимость, указанная в передаточном акте или разделительном балансе,
или
в случае, если ценные бумаги были получены акционером (участником, учредителем) в результате распределения имущества при ликвидации юридического лица или уменьшении уставного капитала, а также выкупе юридическим лицом у учредителя, участника доли участия или ее части в этом юридическом лице, выкупе юридическим лицом - эмитентом у акционера акций, выпущенных этим эмитентом, - балансовая стоимость ценных бумаг, получаемых (полученных) акционером, участником, учредителем при распределении имущества, в том числе получаемых (полученных) взамен ранее внесенного имущества, подлежащая отражению (отраженная) в бухгалтерском учете передающего лица на дату передачи, без учета переоценки и обесценения, отраженная в документе, подтверждающем передачу таких ценных бумаг и заверенном подписями сторон,
или
в случае, если ценные бумаги были получены безвозмездно, - стоимость, включенная в совокупный годовой доход в виде стоимости безвозмездно полученного имущества в соответствии с настоящим Кодексом;
2) другие затраты, увеличивающие стоимость ценных бумаг, в том числе после их приобретения, в соответствии с международными стандартами финансовой отчетности и (или) требованиями законодательства Республики Казахстан о бухгалтерском учете и финансовой отчетности, кроме затрат (расходов), указанных в подпунктах 2), 13) и 16) статьи 286 и статье 287 настоящего Кодекса.
Первоначальная стоимость единицы ценных бумаг при их выбытии определяется по первоначальной стоимости первых по времени поступления ценных бумаг.
Статья 253. Доход от прироста стоимости по активам, стоимость которых полностью отнесена на вычеты
1. Для целей настоящей статьи активами, стоимость которых полностью отнесена на вычеты, являются:
1) основные средства, стоимость которых полностью отнесена на вычеты в соответствии с налоговым законодательством Республики Казахстан, действовавшим до 1 января 2000 года;
2) активы, введенные в эксплуатацию в рамках инвестиционного проекта по контрактам, заключенным до 1 января 2009 года, в соответствии с законодательством Республики Казахстан об инвестициях, стоимость которых полностью отнесена на вычеты.
2. Доход от прироста стоимости по активам, стоимость которых полностью отнесена на вычеты, признается по каждому активу в следующей сумме:
1) при реализации - стоимость реализации актива;
2) при передаче в качестве вклада в уставный капитал - стоимость, по которой актив передан в качестве вклада в уставный капитал;
3) при выбытии в результате реорганизации юридического лица путем слияния, присоединения, разделения или выделения - стоимость актива, отраженная в передаточном акте или разделительном балансе.
Статья 254. Доход от прироста стоимости по прочим активам, не подлежащим амортизации
1. Положения настоящей статьи применяются по следующим активам, не подлежащим амортизации:
1) земельные участки;
2) объекты незавершенного строительства;
3) неустановленные машины и оборудование;
4) активы со сроком службы более одного года, не относимые к фиксированным активам или запасам. К активам, предусмотренным настоящим подпунктом, в том числе относятся долгосрочные активы, предназначенные для продажи;
5) инвестиционное золото.
2. Результат от выбытия актива может иметь положительное или отрицательное значение и определяется по каждой операции выбытия по каждому виду актива в следующем порядке при:
1) реализации - разница между стоимостью реализации актива и его первоначальной стоимостью;
2) передаче в качестве вклада в уставный капитал - разница между стоимостью актива, по которой он передан в качестве вклада в уставный капитал, и его первоначальной стоимостью;
3) выбытии в результате реорганизации юридического лица путем слияния, присоединения, разделения или выделения - разница между стоимостью актива, отраженной в передаточном акте или разделительном балансе, и его первоначальной стоимостью.
3. Для целей исчисления корпоративного подоходного налога не учитывается отрицательное значение результата от выбытия объекта интеллектуальной собственности при осуществлении приоритетных видов деятельности участниками «Астана Хаб».
4. Общая сумма результатов за налоговый период от всех операций выбытия по каждому виду активов, за исключением указанных в пункте 3 настоящей статьи, признается:
доходом от прироста стоимости, если такая сумма имеет положительное значение;
убытком от выбытия, если такая сумма имеет отрицательное значение и учитывается в порядке, установленном статьями 338, 340, 341, 343 и 344 настоящего Кодекса.
5. Если иное не предусмотрено пунктом 6 настоящей статьи, первоначальная стоимость активов определяется как сумма следующих показателей:
1) совокупность затрат на приобретение, производство, строительство включаемых в стоимость активов в соответствии с международными стандартами финансовой отчетности и (или) требованиями законодательства Республики Казахстан о бухгалтерском учете и финансовой отчетности
или
в случае, если активы были получены в качестве вклада в уставный капитал, - стоимость актива, по которой он получен в качестве вклада в уставный капитал, но не более суммы, в счет оплаты которой он получен. Такая стоимость определяется на основании документов, подтверждающих получение вклада и стоимость, по которой получен актив (акт приема-передачи и (или) иные документы),
или
в случае, если активы были получены в результате реорганизации, - стоимость актива, указанная в передаточном акте или разделительном балансе,
или
в случае, если активы были получены акционером (участником, учредителем) в результате распределения имущества при ликвидации юридического лица или уменьшении уставного капитала, а также выкупе юридическим лицом у учредителя, участника доли участия или ее части в этом юридическом лице, выкупе юридическим лицом - эмитентом у акционера акций, выпущенных этим эмитентом, - балансовая стоимость актива, получаемого (полученного) акционером, участником, учредителем при распределении имущества, в том числе получаемого (полученного) взамен ранее внесенного, подлежащая отражению (отраженная) в бухгалтерском учете передающего лица на дату передачи, без учета переоценки и обесценения, отраженная в документе, подтверждающем прием-передачу такого актива и заверенном подписями сторон,
или
в случае, если активы были получены безвозмездно, - стоимость, включенная в совокупный годовой доход в виде стоимости безвозмездно полученного имущества в соответствии с настоящим Кодексом,
2) другие затраты, увеличивающие стоимость активов, в том числе после их признания, в соответствии с международными стандартами финансовой отчетности и (или) требованиями законодательства Республики Казахстан о бухгалтерском учете и финансовой отчетности, кроме:
затрат (расходов), указанных в подпунктах 2), 13) и 16) статьи 286 и статье 287 настоящего Кодекса;
амортизационных отчислений.
6. В случае если актив, указанный в подпункте 4) пункта 1 настоящей статьи, ранее учитывался в составе фиксированных активов, то его первоначальная стоимость определяется в следующем порядке:
балансовая стоимость такого актива, определенная в соответствии с международными стандартами финансовой отчетности и (или) требованиями законодательства Республики Казахстан о бухгалтерском учете и финансовой отчетности, на дату выбытия из состава фиксированных активов без учета переоценки и обесценения
плюс
другие затраты, увеличивающие стоимость данного актива в соответствии с международными стандартами финансовой отчетности и (или) требованиями законодательства Республики Казахстан о бухгалтерском учете и финансовой отчетности после исключения его из состава фиксированных активов, кроме:
затрат (расходов), указанных в подпунктах 2), 13) и 16) статьи 286 и статье 287 настоящего Кодекса;
амортизационных отчислений.
Параграф 5. Уменьшения и корректировки дохода
Статья 255. Уменьшение совокупного годового дохода
1. В целях определения налогооблагаемого дохода совокупный годовой доход налогоплательщика подлежит уменьшению на следующие доходы:
1) дивиденды, кроме полученных постоянным учреждением юридического лица - нерезидента в Республике Казахстан, не соответствующих условиям, определенным подпунктом 7) статьи 681 настоящего Кодекса;
2) доход лица, осуществляющего цифровой майнинг, от реализации цифровых активов, по которым доход от деятельности по цифровому майнингу определен в соответствии с пунктом 1 статьи 325 настоящего Кодекса;
3) чистый доход от доверительного управления имуществом, полученный (подлежащий получению) учредителем доверительного управления;
4) доходы некоммерческой организации, предусмотренные пунктом 1 статьи 329 настоящего Кодекса;
5) стоимость услуг, полученных за счет бюджетных средств в виде государственной нефинансовой поддержки субъектов предпринимательства в соответствии с государственной программой в области развития агропромышленного комплекса Республики Казахстан, программами, утвержденными Правительством Республики Казахстан, оператором которых является НПП.
2. В целях определения налогооблагаемого дохода совокупный годовой доход уменьшается налогоплательщиками, предусмотренными настоящим пунктом, на следующие доходы:
1) доходы организации, специализирующейся на улучшении качества кредитных портфелей банков второго уровня, единственным акционером которой является Правительство Республики Казахстан, указанные в статье 5-1 Закона Республики Казахстан «О банках и банковской деятельности в Республике Казахстан»;
2) доходы от уступки права требования, полученные банком второго уровня в связи с выкупом у организации, специализирующейся на улучшении качества кредитных портфелей банков второго уровня, единственным акционером которой является Правительство Республики Казахстан, ранее уступленных такой организации прав требований по кредитам (займам).
Статья 256. Корректировка доходов
1. Корректировкой признается увеличение или уменьшение размера дохода отчетного налогового периода в пределах суммы ранее признанного дохода в случаях, установленных настоящей статьей.
2. Доходы подлежат корректировке в случаях:
1) полного или частичного возврата товаров;
2) изменения условий сделки;
3) изменения цены, компенсации за реализованные товары, работы, услуги. Положение данного подпункта применяется также при изменении суммы, подлежащей оплате в национальной валюте за реализованные товары, выполненные работы, оказанные услуги исходя из условий договора;
4) скидки с цены, скидки с продаж.
3. Корректировка доходов производится в том налоговом периоде, в котором наступили случаи, указанные в пункте 2 настоящей статьи.
Глава 26. ВЫЧЕТЫ
Параграф 1. Общие положения
Статья 257. Общие положения
1. Расходы налогоплательщика в связи с осуществлением деятельности, направленной на получение дохода, подлежат вычету при определении налогооблагаемого дохода с учетом положений, установленных настоящей статьей, статьями 258 - 273, главами 27 - 31 настоящего Кодекса, за исключением затрат (расходов), не подлежащих вычету в соответствии с настоящим Кодексом.
Положения настоящего пункта применяются к расходам налогоплательщика, понесенным как в Республике Казахстан, так и за ее пределами.
2. Затраты налогоплательщика на строительство, приобретение фиксированных активов и другие затраты капитального характера относятся на вычеты в соответствии со статьями 273 - 285 настоящего Кодекса.
3. Расходы будущих периодов, определяемые в соответствии с международными стандартами финансовой отчетности и требованиями законодательства Республики Казахстан о бухгалтерском учете и финансовой отчетности, подлежат вычету в том налоговом периоде, к которому они относятся.
4. Вычеты производятся налогоплательщиком по фактически произведенным расходам при наличии документов, подтверждающих такие расходы, связанные с его деятельностью, направленной на получение дохода.
5. Если иное не установлено настоящей статьей, статьями 258 - 273 и главами 27 - 31 настоящего Кодекса, для целей настоящего раздела признание расходов, включая дату их признания, осуществляется в соответствии с международными стандартами финансовой отчетности и (или) требованиями законодательства Республики Казахстан о бухгалтерском учете и финансовой отчетности.
В случае, когда порядок признания расходов в соответствии с международными стандартами финансовой отчетности и (или) требованиями законодательства Республики Казахстан о бухгалтерском учете и финансовой отчетности отличается от порядка определения вычетов в соответствии с настоящим Кодексом, указанные расходы учитываются для целей налогообложения в порядке, определенном настоящим Кодексом.
6. Если иное не предусмотрено пунктом 4 статьи 204 настоящего Кодекса, в качестве затрат в целях налогообложения не рассматриваются затраты, возникающие в бухгалтерском учете в связи с изменением стоимости активов и (или) обязательств при применении международных стандартов финансовой отчетности и законодательства Республики Казахстан о бухгалтерском учете и финансовой отчетности, кроме подлежащих выплате (выплаченных).
7. Корректировка (индексация) обязательства, подлежащего выплате в тенге, в связи с изменением курса валюты признается затратами (расходами) в целях налогообложения в случае, если такая корректировка подлежит выплате и признается затратами (расходами) в бухгалтерском учете в соответствии с международными стандартами финансовой отчетности и (или) требованиями законодательства Республики Казахстан о бухгалтерском учете и финансовой отчетности.
При этом сумма затрат (расходов) от корректировки (индексации) обязательства, подлежащего выплате в тенге, в связи с изменением курса валюты учитывается в составе того вида затрат (расходов), к которому он отнесен в бухгалтерском учете, за исключением случаев, предусмотренных статьей 288 настоящего Кодекса.
Такие затраты (расходы) относятся на вычеты с учетом положений настоящего раздела.
8. В случае если одни и те же виды расходов предусмотрены в нескольких статьях расходов, то при расчете налогооблагаемого дохода указанные расходы вычитаются только один раз.
9. Расходы налогоплательщика в связи с осуществлением деятельности в иностранном государстве через постоянное учреждение подлежат вычету в соответствии с настоящим Кодексом.
При определении налогооблагаемого дохода постоянного учреждения юридического лица - резидента в иностранном государстве допускается вычет управленческих и общеадминистративных расходов, понесенных как в Республике Казахстан, так и за ее пределами в целях получения такого налогооблагаемого дохода, в соответствии с положениями налогового законодательства такого иностранного государства или международного договора.
Сумма управленческих и общеадминистративных расходов относится на вычеты в иностранном государстве, из источников которого получен доход юридическим лицом - резидентом, в порядке, определенном налоговым законодательством такого иностранного государства.
В случае, если налоговым законодательством иностранного государства, из источников которого получен доход юридическим лицом - резидентом, или международным договором допускается вычет управленческих и общеадминистративных расходов, но при этом налоговым законодательством иностранного государства не предусмотрен порядок отнесения на вычеты таких расходов, налогоплательщик-резидент относит на вычеты управленческие и общеадминистративные расходы в указанном иностранном государстве в порядке, определенном статьями 708 - 711 настоящего Кодекса.
10. Налогоплательщик осуществляет корректировку вычетов в соответствии со статьей 288 настоящего Кодекса. При этом сумма вычетов с учетом данных корректировок может иметь отрицательное значение.
11. Вычету подлежит сумма отрицательной разницы, образовавшейся в бухгалтерском учете при переходе на иной метод оценки запасов, чем тот, который применялся налогоплательщиком в предыдущем налоговом периоде.
12. Настоящим разделом установлены особенности определения вычетов в следующих случаях:
1) по производным финансовым инструментам - главой 27 настоящего раздела;
2) по долгосрочным контрактам - главой 28 настоящего раздела;
3) недропользователями - главой 29 настоящего раздела;
4) лицами, осуществляющими финансовую деятельность, - главой 30 настоящего раздела;
5) лицами, осуществляющими операции с цифровыми активами, - главой 31 настоящего раздела.
Параграф 2. Отдельные виды вычетов
Статья 258. Вычеты по отдельным видам расходов
1. Вычету подлежат потери в виде:
1) потерь, понесенных субъектом естественной монополии в целях предоставления регулируемых товаров, работ, услуг, в пределах нормативных технических потерь и (или) с учетом ограничений, установленных в соответствии с законодательством Республики Казахстан;
2) потерь, понесенных налогоплательщиком (кроме субъекта естественной монополии), в пределах норм естественной убыли, установленных законодательством Республики Казахстан;
3) расходов по производству и (или) приобретению товаров, ранее не отнесенных на вычеты, в связи с утратой, порчей которых от лица, нанесшего ущерб, получены суммы компенсации ущерба, - в размере балансовой стоимости товаров в пределах суммы полученной компенсации;
4) расходов по производству и (или) приобретению товаров, ранее не отнесенных на вычеты, по которым в связи с наступлением страхового случая от страховой организации получены страховые выплаты, - в размере балансовой стоимости товаров в пределах суммы полученной страховой выплаты.
Для целей настоящего раздела:
порча товара означает ухудшение всех или отдельных качеств (свойств) товара, в результате которого данный товар не может быть использован в деятельности, направленной на получение дохода;
под утратой товара понимается событие, в результате которого произошли уничтожение или потеря товара. Не является утратой потеря товаров, понесенная налогоплательщиком в пределах норм естественной убыли, установленных законодательством Республики Казахстан.
Потери относятся на вычеты соответственно в периоде, на который приходится дата учета потери или дата получения суммы компенсации ущерба, страховой выплаты.
2. Вычету подлежат расходы налогоплательщика, предусмотренные соглашением, коллективным договором, актом работодателя в случаях, предусмотренных законодательством Республики Казахстан, на:
1) обязательные, периодические (в течение трудовой деятельности) медицинские осмотры;
2) предсменное, послесменное и иное медицинское освидетельствование (осмотр) работников;
3) содержание или услуги по организации медицинских пунктов;
4) обеспечение работникам условий труда, отвечающих требованиям безопасности, охраны и гигиены труда, в том числе санитарно-эпидемиологическим требованиям;
5) обеспечение работникам возможности отдыха и приема пищи в специально оборудованном месте;
6) осуществление деятельности по организации питания работников.
3. Вычету подлежат расходы по присужденным или признанным неустойкам (штрафам, пеням), за исключением:
неустойки (штрафа, пеней) по договору кредита (займа) между взаимосвязанными сторонами, относимой на вычеты в соответствии со статьей 263 настоящего Кодекса;
неустойки (штрафа, пеней), не относимой на вычеты на основании статьи 286 настоящего Кодекса.
4. Вычету подлежат фактические расходы налогоплательщика по устранению недостатков реализованных товаров, выполненных работ, оказанных услуг, произведенных в течение установленного сделкой гарантийного срока.
5. Вычету подлежат расходы налогоплательщика по уплате членских взносов субъектов частного предпринимательства:
1) объединениям субъектов частного предпринимательства в соответствии с законодательством Республики Казахстан в сфере предпринимательства в размере, не превышающем месячного расчетного показателя, действующего на последнее число налогового периода на одного работника исходя из среднесписочной численности работников за год;
2) НПП в размере, не превышающем предельный размер обязательных членских взносов, утвержденный центральным уполномоченным органом по государственному планированию.
Положения подпунктов 1) и 2) настоящего пункта применяются также в случае уплаты членских взносов в отчетном налоговом периоде за предыдущий и (или) предшествующий предыдущему налоговые периоды.
6. Вычету подлежат расходы налогоплательщика в размере, определяемом законодательством Республики Казахстан, по:
1) отчислениям в ГФСС;
2) отчислениям в фонд социального медицинского страхования;
3) обязательным пенсионным взносам работодателя в пользу работника.
Размер расходов, предусмотренных настоящим пунктом, относимых на вычет за отчетный налоговый период, определяется в сумме уплаченных в соответствии с законодательством Республики Казахстан отчислений и взносов:
1) в отчетном налоговом периоде, в пределах исчисленных, удержанных, начисленных за отчетный налоговый период и (или) налоговые периоды, предшествующие отчетному налоговому периоду;
2) в налоговых периодах, предшествующих отчетному налоговому периоду, в пределах исчисленных, удержанных, начисленных за отчетный налоговый период.
7. Вычету подлежат расходы налогоплательщика в размере балансовой стоимости безвозмездно переданного в рекламных целях товара (в том числе в виде дарения) в случае, если стоимость единицы такого товара не превышает 5-кратный размер месячного расчетного показателя, действующего на дату передачи товара.
Отнесение на вычеты производится в налоговом периоде, в котором осуществлена передача такого товара.
8. Вычету подлежат расходы налогоплательщика в виде следующих выплат физическим лицам:
1) возмещения вреда, причиненного жизни и здоровью физического лица, в соответствии с законодательством Республики Казахстан, за исключением морального вреда;
2) сумм возмещения материального ущерба, присуждаемых по вступившему в законную силу судебному акту, а также судебных расходов.
9. Налогоплательщик, осуществляющий производство и (или) реализацию товара под фирменным наименованием, товарным знаком и (или) знаком обслуживания, которым (которыми) такой налогоплательщик владеет и (или) пользуется (в том числе на основании лицензионного или сублицензионного договора (соглашения) в порядке, определенном законодательством Республики Казахстан и (или) международными договорами, ратифицированными Республикой Казахстан, относит на вычеты расходы по деятельности, направленной на поддержание и (или) увеличение объемов продаж такого товара независимо от наличия права собственности на него.
10. В целях настоящего раздела в случае, когда на доверительного управляющего настоящим Кодексом возложено исполнение налогового обязательства по деятельности по доверительному управлению имуществом, расходы такого доверительного управляющего для целей отнесения на вычеты определяются с учетом положений статей 66,68,69,70 и 71 настоящего Кодекса.
11. Вычету подлежит отрицательный результат от продажи предприятия как имущественного комплекса, полученный по формуле в соответствии со статьей 247 настоящего Кодекса.
12. Перевозчик грузов имеет право на вычет расходов по временной балансирующей плате, уплаченной в соответствии с законодательством Республики Казахстан о железнодорожном транспорте. Вычет таких расходов осуществляется в пределах размеров, установленных государственным органом, осуществляющим руководство в соответствующих сферах естественных монополий.
13. Вычету подлежат расходы, понесенные Национальным оператором инфраструктуры в связи с оказанием услуг магистральной железнодорожной сети при перевозке пассажиров железнодорожным транспортом железнодорожному перевозчику, осуществляющему деятельность по перевозке пассажиров, багажа, грузобагажа, почтовых отправлений, на безвозмездной основе, в том числе с применением временного понижающего коэффициента в размере 0 к тарифу на регулируемые услуги магистральной железнодорожной сети при перевозке пассажиров железнодорожным транспортом в соответствии с законодательством Республики Казахстан.
14. Недропользователь, осуществляющий деятельность на основании контракта на недропользование по углеводородам, заключенного в порядке, определенном законодательством Республики Казахстан о недрах и недропользовании, относит на вычеты при определении налогооблагаемого дохода сумму отчислений на формирование обеспечения исполнения недропользователем обязательств по ликвидации последствий недропользования по углеводородам в виде залога банковского вклада.
Указанный вычет производится в размере отчислений, фактически произведенных недропользователем за налоговый период на банковский вклад, размещенный в банке второго уровня Республики Казахстан или у Национального оператора почты.
Размер и порядок таких отчислений устанавливаются базовыми проектными документами в соответствии с законодательством Республики Казахстан о недрах и недропользовании.
В случае получения недропользователем в соответствии с законодательством Республики Казахстан о недрах и недропользовании средств обеспечения исполнения недропользователем обязательств по ликвидации последствий недропользования по углеводородам в виде залога банковского вклада от другого недропользователя при передаче контракта на недропользование такие средства:
у получившего их недропользователя не включаются в совокупный годовой доход при условии размещения средств обеспечения исполнения недропользователем обязательств по ликвидации последствий недропользования по углеводородам в виде залога банковского вклада в соответствии с порядком, установленным законодательством Республики Казахстан о недрах и недропользовании, в году их получения или в течение тридцати календарных дней с момента их получения;
у передающего их недропользователя не подлежат отнесению на вычеты.
Расходы недропользователя, фактически произведенные в течение налогового периода на ликвидацию последствий недропользования по углеводородам и под которые не формируется обеспечение исполнения недропользователем обязательств по ликвидации последствий недропользования по углеводородам в виде залога банковского вклада (прогрессивная ликвидация), относятся на вычеты в том налоговом периоде, в котором они были понесены.
Расходы недропользователя, фактически произведенные по ликвидации последствий недропользования по углеводородам после завершения периода разведки и (или) добычи в пределах средств обеспечения исполнения недропользователем обязательств по ликвидации последствий недропользования по углеводородам в виде залога банковского вклада, относятся на вычеты в том налоговом периоде, в котором они были понесены.
Статья 259. Вычет налога на добавленную стоимость плательщиками налога на добавленную стоимость
1. Настоящая статья определяет порядок отнесения на вычеты сумм налога на добавленную стоимость налогоплательщиком, по которому произведена постановка на регистрационный учет плательщика налога на добавленную стоимость в базе налогоплательщиков, в том числе учитываемого в стоимости приобретенных товаров, работ, услуг.
2. Если иное не предусмотрено настоящей статьей, в стоимости приобретенных товаров, работ, услуг учитываются следующие затраты по налогу на добавленную стоимость:
1) сумма налога на добавленную стоимость, не относимого в зачет в соответствии с пунктом 1 статьи 482 настоящего Кодекса;
2) сумма налога на добавленную стоимость, не разрешенного к отнесению в зачет в соответствии с подпунктом 2) пункта 2 статьи 489 настоящего Кодекса;
3) сумма корректировки налога на добавленную стоимость, относимого в зачет в сторону уменьшения в случаях, указанных в подпунктах 1) и 4) пункта 2 статьи 484 настоящего Кодекса.
3. Плательщик налога на добавленную стоимость вправе отнести на вычеты сумму налога на добавленную стоимость, не разрешенного к отнесению в зачет, в соответствии со статьей 488 и подпунктом 3) пункта 2 статьи 489 настоящего Кодекса, если в бухгалтерском учете такой налог не учтен в стоимости приобретенных товаров, выполненных работ, оказанных услуг. Вычет производится в налоговом периоде, в котором возникает налог на добавленную стоимость, не разрешенный к отнесению в зачет.
4. Плательщик налога на добавленную стоимость вправе отнести на вычеты сумму корректировки налога на добавленную стоимость, относимого в зачет, в сторону уменьшения, произведенной в соответствии с:
1) подпунктом 1) пункта 2 статьи 484 настоящего Кодекса по товарам, работам, услугам, использованным не в целях облагаемого оборота, если такие товары, работы, услуги использованы (используются) при осуществлении деятельности, направленной на получение дохода;
2) подпунктом 4) пункта 2 статьи 484 настоящего Кодекса по имуществу, переданному в качестве вклада в уставный капитал, за исключением передачи в качестве вклада в уставный капитал активов, не подлежащих амортизации.
Вычет производится в налоговом периоде, в котором подлежит корректировке сумма налога на добавленную стоимость, относимого в зачет.
5. Суммы корректировки налога на добавленную стоимость, относимого в зачет, в сторону уменьшения в соответствии с подпунктами 1) и 4) пункта 2 статьи 484 настоящего Кодекса по активам, не подлежащим амортизации, использованным не в целях облагаемого оборота или переданным в качестве вклада в уставный капитал, учитываются в первоначальной стоимости указанных активов в соответствии со статьями 253 и 254 настоящего Кодекса.
6. Положения настоящей статьи не применяются по налогу на добавленную стоимость по товарам, работам, услугам, стоимость которых подлежит отнесению на вычеты в соответствии со статьей 314 настоящего Кодекса.
Статья 260. Вычет сумм компенсаций при командировках
1. Компенсации при командировках подлежат вычету в виде расходов на:
1) проезд к месту командировки и обратно, включая оплату расходов за бронь и багаж;
2) проживание вне места постоянной работы работника в течение времени нахождения в командировке, включая оплату расходов за бронь;
3) суточные в размере, установленном по решению налогоплательщика, выплачиваемые работнику за время нахождения в командировке;
4) оформление разрешений на въезд и выезд (визы) (стоимость визы, консульских услуг, обязательного медицинского страхования).
Вычет производится на основании документов, подтверждающих расходы, указанные в подпунктах 1) - 4) настоящего пункта, в том числе оформленных в электронной форме.
Расходы по проезду в пределах одного населенного пункта не относятся к расходам, предусмотренным настоящей статьей.
При временной нетрудоспособности командированного работника расходы на его проживание и суточные (кроме случаев, когда командированный работник находится на стационарном лечении) подлежат отнесению на вычеты.
2. В целях пункта 1 настоящей статьи:
1) местом командировки является место назначения, указанное в приказе или распоряжении работодателя о направлении работника в командировку, в котором работником выполняются трудовые обязанности, осуществляется его обучение, повышение квалификации или переподготовка;
2) время нахождения в командировке определяется на основании:
приказа или распоряжения работодателя о направлении работника в командировку;
количества дней командировки, исходя из дат выбытия к месту командировки и прибытия обратно, указанных в документах, подтверждающих проезд, включая даты выбытия и прибытия. При отсутствии таких документов количество дней командировки определяется исходя из других документов, подтверждающих дату выбытия к месту командировки и (или) дату прибытия обратно, предусмотренных налоговой учетной политикой налогоплательщика.
Статья 261. Вычет компенсаций по поездкам членов совета директоров или иного органа управления
1. Вычету подлежат компенсации расходов, понесенных по поездкам членов совета директоров или иного органа управления налогоплательщика, не являющегося высшим органом управления, в связи с выполнением возложенных управленческих обязанностей.
К таким расходам относятся:
1) расходы на проезд к месту выполнения управленческих обязанностей и обратно, включая оплату расходов за бронь и багаж;
2) расходы на проживание в течение времени нахождения в поездке для выполнения управленческих обязанностей, включая оплату расходов за бронь;
3) сумма денег, выплачиваемая члену совета директоров или иного органа управления, не являющегося высшим органом управления, за время нахождения в поездке для выполнения управленческих обязанностей в размере, установленном по решению налогоплательщика;
4) оформление разрешений на въезд и выезд (визы) (стоимость визы, консульских услуг, обязательного медицинского страхования).
Вычет производится на основании документов, подтверждающих расходы, указанные в подпунктах 1) - 4) настоящего пункта, в том числе оформленных в электронной форме.
2. Для целей пункта 1 настоящей статьи:
1) местом выполнения управленческих обязанностей является место назначения, указанное в документе, оформленном налогоплательщиком самостоятельно, в котором содержится приглашение члена совета директоров или иного органа управления, не являющегося высшим органом управления, на мероприятие для выполнения управленческих обязанностей, место и дата проведения такого мероприятия;
2) время нахождения в поездке для выполнения управленческих обязанностей определяется на основании количества дней исходя из дат выбытия к месту выполнения управленческих обязанностей и прибытия обратно, указанных в документах, подтверждающих проезд, включая даты выбытия и прибытия.
Статья 262. Вычет представительских расходов
1. К представительским расходам относятся расходы по приему физических лиц, в том числе не состоящих в штате налогоплательщика, производимые при проведении следующих представительских мероприятий независимо от места их проведения:
1) по установлению или поддержанию взаимного сотрудничества;
2) по организации и (или) проведению заседаний совета директоров, иного органа управления налогоплательщика, кроме исполнительных органов.
К представительским расходам, в том числе, относятся расходы на:
1) транспортное обеспечение лиц, участвующих в представительских мероприятиях, за исключением расходов, относимых к компенсациям при командировках;
2) питание таких лиц в ходе проведения представительских мероприятий;
3) оплату услуг переводчиков, не состоящих в штате организации;
4) аренду и (или) оформление помещения для проведения представительских мероприятий.
2. Основаниями для осуществления вычета представительских расходов являются:
1) приказ или распоряжение налогоплательщика о проведении представительского мероприятия с указанием цели его проведения и лиц, ответственных за его проведение;
2) утвержденная налогоплательщиком смета расходов такого мероприятия;
3) отчет ответственных лиц о проведенном представительском мероприятии с указанием даты и места проведения, результатов проведенного мероприятия, состава участников, программы мероприятий, фактически произведенных расходов;
4) первичные и иные документы, подтверждающие основания и осуществление представительских расходов.
3. Представительские расходы относятся на вычеты в размере, не превышающем 1 процент от суммы расходов работодателя по доходам работников, подлежащим налогообложению, указанным в подпункте 1) статьи 426 настоящего Кодекса, за налоговый период.
4. Не относятся к представительским расходам и не подлежат вычету расходы на транспортное обеспечение железнодорожным, морским и воздушным транспортом приглашенных лиц, их проживание, оформление виз, а также на организацию досуга, развлечений, отдыха лиц, участвующих в представительских мероприятиях.
Статья 263. Вычет по вознаграждению
1. В целях настоящей статьи вознаграждениями признаются:
1) вознаграждения, определенные в статье 12 настоящего Кодекса;
2) неустойка (штраф, пени) по договору кредита (займа) между взаимосвязанными сторонами;
3) плата за гарантию взаимосвязанной стороне.
2. Если иное не установлено пунктом 3 настоящей статьи, сумма вознаграждения, подлежащая отнесению на вычеты, определяется по методу начисления.
3. Вознаграждения по обязательствам лицу, указанному в части второй настоящего пункта, подлежат вычету в размере фактически уплаченных налогоплательщиком или третьим лицом в счет обязательств такого налогоплательщика:
1) в отчетном налоговом периоде в пределах суммы расходов, признанных налогоплательщиком в отчетном налоговом периоде и (или) в налоговых периодах, предшествующих отчетному налоговому периоду;
2) в налоговых периодах, предшествующих отчетному налоговому периоду, в пределах суммы расходов, признанных налогоплательщиком в отчетном налоговом периоде.
Положения части первой настоящего пункта применяются в отношении вознаграждения по обязательствам перед следующими лицами:
банками второго уровня, за исключением банка, являющегося национальным институтом развития, контрольный пакет акций которого принадлежит национальному управляющему холдингу;
организацией, осуществляющей микрофинансовую деятельность (за исключением ломбарда) в соответствии с Законом Республики Казахстан «О микрофинансовой деятельности»;
налогоплательщиком, указанным в законах Республики Казахстан «О банках и банковской деятельности в Республике Казахстан» и «О микрофинансовой деятельности», который приобрел право требования по кредитам (займам, микрокредитам).
4. Вычет вознаграждения производится с учетом положений, установленных пунктами 2 и 3 настоящей статьи, в пределах суммы, исчисляемой по следующей формуле:
(А + Д) + (СК/СО) х (ПК) х (Б + В + Г),
где:
А - сумма вознаграждения, за исключением сумм, включенных в показатели Б, В, Г, Д;
Б - сумма вознаграждения, выплаченного (подлежащего выплате) с учетом положений пункта 3 настоящей статьи взаимосвязанной стороне, за исключением сумм, включенных в показатель Д;
В - сумма вознаграждения, выплаченного (подлежащего выплате) с учетом положений пункта 3 настоящей статьи лицам, зарегистрированным в государстве с льготным налогообложением, за исключением сумм, включенных в показатель Б;
Г - сумма показателей Г1 и Г2 с учетом положений пункта 3 настоящей статьи, за исключением сумм, включенных в показатель В;
Г1 - сумма вознаграждения, выплаченного (подлежащего выплате) независимой стороне по займам, предоставленным под депозит взаимосвязанной стороны;
Г2 - сумма вознаграждения, выплаченного (подлежащего выплате) независимой стороне по займам, предоставленным под обеспеченную гарантию, поручительство или иную форму обеспечения взаимосвязанных сторон, в случае исполнения в отчетном налоговом периоде обязательств по гарантии, поручительству или иной форме обеспечения (осуществления выплат по займу) взаимосвязанной стороной;
Д - сумма вознаграждения:
за кредиты (займы), выдаваемые кредитным товариществом, созданным в Республике Казахстан, банком, являющимся национальным институтом развития, контрольный пакет акций которого принадлежит национальному управляющему холдингу;
в виде дисконта либо купона (с учетом дисконта либо премии по долговым ценным бумагам от стоимости первичного размещения и (или) стоимости приобретения) по долговым ценным бумагам, держателем которых является единый накопительный пенсионный фонд;
ПК - предельный коэффициент;
СК - среднегодовая сумма собственного капитала;
СО - среднегодовая сумма обязательств.
При исчислении сумм А, Б, В, Г, Д исключаются вознаграждения, включаемые в стоимость объекта строительства в соответствии с международными стандартами финансовой отчетности и (или) требованиями законодательства Республики Казахстан о бухгалтерском учете и финансовой отчетности. Для целей настоящей статьи независимой стороной признается сторона, не являющаяся взаимосвязанной.
5. Для целей пункта 4 настоящей статьи:
1) среднегодовая сумма собственного капитала равна средней арифметической сумме собственного капитала на конец каждого месяца отчетного налогового периода. Отрицательное значение среднегодовой суммы собственного капитала в целях настоящей статьи признается равным нулю;
2) среднегодовая сумма обязательств равна средней арифметической максимальной сумме обязательств в каждом месяце отчетного налогового периода. При исчислении среднегодовой суммы обязательств не принимаются в расчет следующие начисленные обязательства по:
налогам и платежам в бюджет;
заработной плате и иным доходам работников;
доходам будущих периодов, за исключением доходов от взаимосвязанной стороны;
вознаграждениям и комиссиям;
дивидендам;
оценочным обязательствам, начисленным в бухгалтерском учете в соответствии с международными стандартами финансовой отчетности и (или) требованиями законодательства Республики Казахстан о бухгалтерском учете и финансовой отчетности;
3) предельный коэффициент для финансовых организаций (за исключением организаций, осуществляющих микрофинансовую деятельность) равен 7, для иных юридических лиц, в том числе для организаций, осуществляющих микрофинансовую деятельность - 4.
6. Для целей пункта 4 настоящей статьи сумма собственного капитала постоянного учреждения юридического лица - нерезидента в Республике Казахстан определяется как разница между активами и обязательствами такого постоянного учреждения.
При этом в целях применения настоящего пункта сумма собственного капитала постоянного учреждения юридического лица - нерезидента в Республике Казахстан рассматривается как если бы это постоянное учреждение было обособленным и отдельным юридическим лицом и действовало независимо от юридического лица - нерезидента, постоянным учреждением которого оно является.
Статья 264. Особенности вычетов по взаиморасчетам с нерезидентом - взаимосвязанной стороной
1. Управленческие, консультационные, консалтинговые, аудиторские, дизайнерские, юридические, бухгалтерские, адвокатские, рекламные, маркетинговые, франчайзинговые, финансовые (за исключением расходов по вознаграждению), инжиниринговые, агентские услуги, роялти, права на использование объектов интеллектуальной собственности, приобретенные у взаимосвязанной стороны, зарегистрированной в государстве с льготным налогообложением, подлежат вычету в размере общей суммы, не превышающей 3 процента от налогооблагаемого дохода отчетного налогового периода, определяемого до вычета расходов, предусмотренных настоящей статьей.
2. В целях настоящей статьи взаимосвязанными сторонами признаются:
1) лица, указанные в статье 14 настоящего Кодекса;
2) юридическое лицо, которое совместно с другим юридическим лицом входит в одну группу компаний.
При этом под группой компаний понимается структура коммерческих и некоммерческих организаций, включающая в себя головную компанию и компании, акциями, долями участия и прочими долевыми инструментами которых такая головная компания прямо или косвенно владеет;
3) физические и (или) юридические лица в случае, если отношения между такими лицами обладают признаками взаимосвязанности вне зависимости от условий, указанных в настоящей части. При этом в случае непризнания налогоплательщиком взаимосвязанности такое признание устанавливается судом на основании иска налогового органа.
Статья 265. Вычет по выплаченным обязательствам
1. Вычету подлежит сумма выплаты, произведенной налогоплательщиком по его обязательствам, признанным в предшествующих налоговых периодах доходом по сомнительным обязательствам или доходом от списания обязательств, - в пределах размера ранее признанного дохода.
При этом сумма выплаты определяется за вычетом суммы корректировки налога на добавленную стоимость, относимого в зачет, в сторону увеличения в соответствии с пунктом 2 статьи 485 настоящего Кодекса.
2. Вычет производится в том налоговом периоде, в котором произведена выплата.
Статья 266. Вычет по списанному требованию
1. Если иное не предусмотрено настоящей статьей, вычету подлежат:
1) размер не востребованного кредитором требования на день утверждения ликвидационного баланса налогоплательщика-дебитора при его ликвидации, прекращении деятельности, но не более размера ранее признанного дохода по такому требованию;
2) размер списания требования по вступившему в законную силу решению суда, но не более размера ранее признанного дохода по такому требованию;
3) размер требования, возникшего в связи с реализацией товаров, выполнением работ, оказанием услуг, списанного в связи с признанием должника банкротом, но не более размера ранее признанного дохода по такому требованию.
2. Вычет по списанному требованию производится в том налоговом периоде, на который в соответствии с первичными документами налогоплательщика - кредитора приходится наиболее поздняя из дат:
1) день списания в бухгалтерском учете;
2) день утверждения ликвидационного баланса - при ликвидации дебитора;
3) день вступления в законную силу определения суда о завершении процедуры банкротства либо день вынесения решения государственного органа, осуществляющего руководство в сфере государственного управления по восстановлению платежеспособности и банкротства граждан Республики Казахстан, о завершении процедуры внесудебного банкротства и признании должника банкротом - при признании дебитора банкротом.
3. Вычет производится при соблюдении одновременно следующих условий:
1) наличие первичных документов, подтверждающих возникновение требования;
2) отражение требования в бухгалтерском учете в том налоговом периоде, на который приходится дата списания, либо отнесение на расходы (списание) в бухгалтерском учете в предыдущих налоговых периодах.
4. Положения настоящей статьи не применяются:
1) к требованиям, признанным сомнительными в соответствии с настоящим Кодексом;
2) при уменьшении размера требований в связи с их передачей по договору купли-продажи предприятия (части предприятия) как имущественного комплекса.
Статья 267. Вычет по сомнительным требованиям
1. Если иное не установлено пунктом 6 настоящей статьи, сомнительными требованиями признаются требования, не удовлетворенные в течение трехлетнего периода:
1) возникшие в связи с реализацией товаров, выполнением работ, оказанием услуг юридическим лицам - резидентам и индивидуальным предпринимателям, а также юридическим лицам - нерезидентам, осуществляющим деятельность в Республике Казахстан через постоянное учреждение, структурное подразделение юридического лица;
2) в связи с включением в состав совокупного годового дохода штрафов и пеней на основании вступившего в законную силу решения суда по договорам банковского кредита (займа) и договорам о предоставлении микрокредитов, по правам требования организации, специализирующейся на улучшении качества кредитных портфелей банков второго уровня, единственным акционером которой является Правительство Республики Казахстан.
2. Сомнительные требования подлежат вычету у лица, осуществившего:
1) реализацию товаров, выполнение работ, оказание услуг и не уступившего право такого требования;
2) реализацию товаров, выполнение работ, оказание услуг и уступившего право такого требования;
3) приобретение права требования по реализованным товарам, выполненным работам, оказанным услугам у лица, указанного в подпункте 2) настоящего пункта;
4) включение в состав совокупного годового дохода штрафов и пеней на основании вступившего в законную силу судебного акта по договорам банковского кредита (займа) и договорам о предоставлении микрокредитов, по правам требования организации, специализирующейся на улучшении качества кредитных портфелей банков второго уровня, единственным акционером которой является Правительство Республики Казахстан.
3. Сомнительные требования подлежат вычету улица:
1) определенного подпунктом 1) пункта 2 настоящей статьи, - в размере, включающем стоимость реализованных товаров, выполненных работ, оказанных услуг, а также суммы прочих требований, возникших в связи с такой реализацией товаров, выполнением работ, оказанием услуг, в том числе суммы неустоек (штрафов, пеней), но не более размера ранее признанного дохода;
2) определенного подпунктом 2) пункта 2 настоящей статьи, - в размере положительной разницы между суммой требования и стоимостью права требования, по которой произведена уступка. При этом сумма требования включает стоимость реализованных товаров, выполненных работ, оказанных услуг и суммы прочих требований, возникших в связи с такой реализацией товаров, выполнением работ, оказанием услуг, в том числе суммы неустоек (штрафов, пеней), но не более размера ранее признанного дохода;
3) определенного подпунктом 3) пункта 2 настоящей статьи, - в размере, включающем стоимость реализованных товаров, выполненных работ, оказанных услуг, а также суммы прочих требований, возникших в связи с такой реализацией товаров, выполнением работ, оказанием услуг, в том числе суммы неустоек (штрафов, пеней), но не более размера ранее признанного дохода в соответствии со статьей 243 настоящего Кодекса, увеличенного на стоимость приобретения права требования;
4) определенного подпунктом 4) пункта 2 настоящей статьи, - в размере сумм признанного дохода в виде присужденных или признанных неустоек (штрафов, пеней).
4. В случаях, предусмотренных подпунктом 1) пункта 1 настоящей статьи, сомнительные требования подлежат вычету в налоговом периоде, в котором истек трехлетний период, исчисляемый:
1) у лиц, определенных подпунктами 1) и 2) пункта 2 настоящей статьи:
по сомнительным требованиям, возникшим по договорам кредита (займа), - со дня, следующего за днем наступления срока уплаты вознаграждения в соответствии с условиями договора кредита (займа);
по сомнительным требованиям, возникшим по договорам лизинга, - со дня, следующего за днем наступления срока уплаты лизингового платежа в соответствии с условиями договора лизинга;
в остальных случаях - со дня:
следующего за днем окончания срока исполнения требования по реализованным товарам, работам, услугам, срок исполнения которого определен;
передачи товара, выполнения работ, оказания услуг по требованию по реализованным товарам, работам, услугам, срок исполнения которого не определен;
2) у лиц, определенных подпунктом 3) пункта 2 настоящей статьи:
по сомнительным требованиям, возникшим по договорам кредита (займа), - со дня, следующего за днем наступления срока уплаты вознаграждения в соответствии с условиями договора кредита (займа);
по сомнительным требованиям, возникшим по договорам лизинга, - со дня, следующего за днем наступления срока уплаты лизингового платежа в соответствии с условиями договора лизинга;
в остальных случаях - со дня наиболее поздней из следующих дат:
дня, следующего за днем окончания срока исполнения требования по реализованным товарам, работам, услугам, срок исполнения которого определен;
дня переуступки права требования по реализованным товарам, выполненным работам, оказанным услугам, срок исполнения которого не определен.
5. В случаях, предусмотренных подпунктом 2) пункта 1 настоящей статьи, сомнительные требования подлежат вычету в налоговом периоде, в котором истек трехлетний период, исчисляемый с даты вступления в законную силу судебного акта.
6. Не признаются сомнительными требования налогоплательщиков, имеющих право на вычет суммы расходов по созданию провизий (резервов) в соответствии с пунктом 1 статьи 323 настоящего Кодекса, по выплате начисленных после 31 декабря 2012 года:
1) вознаграждений по депозитам, включая остатки на корреспондентских счетах, размещенным в других банках;
2) вознаграждений по кредитам (за исключением финансового лизинга), предоставленным другим банкам и клиентам;
3) дебиторской задолженности по документарным расчетам и гарантиям;
4) условных обязательств по непокрытым аккредитивам, выпущенным или подтвержденным гарантиям.
7. Отнесение налогоплательщиком сомнительных требований на вычеты производится при одновременном соблюдении следующих условий:
1) наличие документов, подтверждающих возникновение требований;
2) отражение требований в бухгалтерском учете на момент отнесения на вычеты либо отнесение таких требований на расходы в бухгалтерском учете в предыдущих периодах.
Статья 268. Вычеты по расходам на ликвидацию полигонов захоронения отходов и сумм отчислений в ликвидационный фонд полигонов захоронения отходов
1. Налогоплательщик относит на вычет сумму отчислений в ликвидационный фонд полигонов захоронения отходов, перечисленных на специальный депозитный счет в банках второго уровня на территории Республики Казахстан в порядке и размерах, которые установлены уполномоченным органом в области охраны окружающей среды по согласованию с уполномоченным органом в области налоговой политики.
2. Расходы налогоплательщика, фактически понесенные в течение налогового периода на ликвидацию полигонов захоронения отходов, относятся на вычеты в том налоговом периоде, в котором они были понесены.
Не подлежат вычету расходы налогоплательщика, произведенные за счет средств ликвидационного фонда, размещенного на специальном депозитном счете.
Статья 269. Вычет по расходам на научно-исследовательские, научно-технические и опытно-конструкторские работы, приобретение исключительных прав на объекты интеллектуальной собственности и на создание научных центров
1. Расходы на научно-исследовательские, научно-технические и опытно-конструкторские работы, кроме расходов на приобретение фиксированных активов, их установку и других расходов капитального характера, относятся на вычеты при наличии уведомлений уполномоченного органа в области науки по научно-исследовательским, научно-техническим и опытно-конструкторским работам в соответствии с законодательством Республики Казахстан о науке и технологической политике.
Основанием для отнесения таких расходов на вычеты являются:
по расходам на осуществление научно-исследовательских, научно-технических и опытно-конструкторских работ - отчет о научной и (или) научно-технической деятельности, а также документы, подтверждающие расходы, связанные с такой деятельностью;
по расходам на приобретение научно-исследовательских, научно-технических и опытно-конструкторских работ - фактически исполненное техническое задание и акты приемки завершенных этапов таких работ.
2. Расходы на приобретение исключительных прав на объекты интеллектуальной собственности у высших учебных заведений, научных организаций, автономных организаций образования, стартап-компаний по лицензионному договору или договору уступки исключительного права, направленных на их дальнейшую коммерциализацию, относятся на вычеты.
Основанием для отнесения таких расходов на вычеты является лицензионный договор или договор уступки (частичной уступки), зарегистрированный уполномоченным государственным органом в порядке, определенном законодательством Республики Казахстан.
3. Если иное не предусмотрено статьей 302 настоящего Кодекса, финансирование создания научных центров при исследовательских университетах относится на вычеты при наличии уведомления уполномоченного органа в области науки о создании научного центра в соответствии с законодательством Республики Казахстан о науке и технологической политике.
Статья 270. Вычет расходов по начисленным доходам работников и отдельных расходов работодателя, которые не являются доходом физического лица
1. Вычету подлежат расходы работодателя по доходам работника, подлежащим налогообложению, указанным в подпункте 1) статьи 426 настоящего Кодекса (в том числе расходы работодателя по доходам работника, указанным в подпунктах 23), 25), 26) и 27) пункта 1 статьи 679 настоящего Кодекса), за исключением:
1) включаемых в первоначальную стоимость:
фиксированных активов;
объектов преференций;
активов, не подлежащих амортизации;
2) включаемых в себестоимость запасов и подлежащих отнесению на вычеты через себестоимость таких запасов, которая определяется в соответствии с международными стандартами финансовой отчетности и (или) требованиями законодательства Республики Казахстан о бухгалтерском учете и финансовой отчетности;
3) признаваемых последующими расходами в отношении фиксированных активов и объектов преференций в течение контрольного периода;
4) расходов налогоплательщика, предусмотренных пунктом 2 настоящей статьи.
Вычету подлежат в том числе фактические расходы работодателя на обучение работника, повышение квалификации и (или) переподготовку работника.
2. Вычету подлежат расходы работодателя, которые не являются доходом физического лица, указанные в подпунктах 1), 5), 7), 8), 9), 10), 11), 12), 13), 18) и 20) статьи 366 настоящего Кодекса.
Статья 271. Вычет по курсовой разнице
Вычету подлежит сумма превышения величины отрицательной курсовой разницы над суммой положительной курсовой разницы.
Статья 272. Вычет налогов и платежей в бюджет
1. Если иное не установлено настоящей статьей, в отчетном налоговом периоде вычету подлежат налоги и платежи в бюджет, уплаченные в бюджет Республики Казахстан или иного государства:
1) в отчетном налоговом периоде в пределах начисленных и (или) исчисленных за отчетный налоговый период и (или) налоговые периоды, предшествующие отчетному налоговому периоду;
2) в налоговых периодах, предшествующих отчетному налоговому периоду, в пределах начисленных и (или) исчисленных за отчетный налоговый период.
При этом уплаченные суммы налогов и платежей в бюджет определяются с учетом проведения зачетов в порядке, определенном статьями 122 и 123 настоящего Кодекса.
Исчисление и начисление налогов и платежей в бюджет производятся в соответствии с налоговым законодательством Республики Казахстан или иного государства (для налогов и платежей, уплаченных в бюджет иного государства).
2. Вычету не подлежат:
1) налоги, исключаемые до определения совокупного годового дохода;
2) корпоративный подоходный налог и налоги на доходы (прибыль), аналогичные корпоративному подоходному налогу юридических лиц, уплаченные на территории Республики Казахстан и в других государствах;
3) налоги, уплаченные в государствах с льготным налогообложением;
4) налог на сверхприбыль;
5) альтернативный налог на недропользование.
Статья 273. Вычет последующих расходов
1. Последующими расходами признаются затраты по эксплуатации, ремонту, реконструкции, модернизации, содержанию, ликвидации и другие затраты, в том числе за счет резервных фондов налогоплательщика, понесенные в отношении следующего имущества:
1) фиксированных активов в соответствии со статьей 281 настоящего Кодекса;
2) активов, не относимых к фиксированным активам в соответствии с пунктом 2 статьи 275 настоящего Кодекса, кроме указанных в пункте 2 настоящей статьи;
3) имущества, полученного по договору имущественного найма (аренды), кроме договора лизинга;
4) активов, указанных в статье 316 настоящего Кодекса.
2. Положения настоящей статьи не применяются в отношении следующих активов:
1) основные средства и нематериальные активы, вводимые в эксплуатацию недропользователем до момента начала добычи после коммерческого обнаружения и учитываемые в целях налогообложения в соответствии со статьей 305 настоящего Кодекса, - в период до момента начала добычи после коммерческого обнаружения;
2) объекты незавершенного строительства.
3. Последующие расходы подлежат отнесению на вычеты в том налоговом периоде, в котором они произведены, кроме:
1) последующих расходов по фиксированным активам, которые учитываются в соответствии с параграфом 3 настоящей главы;
2) последующих расходов, произведенных в отношении активов, не подлежащих амортизации, которые в соответствии с параграфом 4 главы 25 настоящего Кодекса подлежат включению в первоначальную стоимость таких активов;
3) последующих расходов в отношении имущества, полученного по договору имущественного найма (аренды), кроме договора лизинга, являющихся в соответствии с подпунктом 4) пункта 1 статьи 275 настоящего Кодекса фиксированным активом;
4) затрат недропользователей, произведенных за счет средств ликвидационного фонда, отчисления в который относятся на вычеты согласно статье 301 настоящего Кодекса;
5) последующих расходов, указанных в пункте 4 настоящей статьи.
4. По основным средствам и нематериальным активам, вводимым в эксплуатацию недропользователем до даты начала добычи после коммерческого обнаружения и учитываемым в целях налогообложения в соответствии со статьей 305 настоящего Кодекса, сумма последующих расходов, понесенных с даты начала добычи после коммерческого обнаружения полезных ископаемых, подлежащая отнесению в бухгалтерском учете на увеличение балансовой стоимости таких активов, увеличивает сумму накопленных расходов по группе амортизируемых активов, предусмотренной пунктом 1 статьи 305 настоящего Кодекса, на конец налогового периода, в том числе в случае, когда такая сумма на конец налогового периода равна нулю.
Последующие расходы, предусмотренные настоящим пунктом, признаются в целях налогообложения в том налоговом периоде, в котором они в бухгалтерском учете отнесены на увеличение балансовой стоимости активов.
5. Для целей настоящего Кодекса затраты на реконструкцию, модернизацию - вид затрат, результатами которых одновременно являются:
изменение, в том числе обновление конструкции имущества;
увеличение срока службы имущества более чем на три года;
улучшение технических характеристик имущества по сравнению с его техническими характеристиками на начало календарного месяца, в котором данное имущество временно выведено из эксплуатации для осуществления реконструкции, модернизации.
Параграф 3. Вычеты по фиксированным активам
Статья 274. Вычеты по фиксированным активам
Вычетами по фиксированным активам являются:
1) амортизационные отчисления по фиксированным активам, исчисленные в соответствии со статьей 280 настоящего Кодекса;
2) последующие расходы по фиксированным активам в соответствии со статьей 281 настоящего Кодекса;
3) стоимостный баланс объекта группы I и (или) группы на конец налогового периода в соответствии с пунктами 2, 4 и 5 статьи 282 настоящего Кодекса.
Статья 275. Фиксированные активы
1. Если иное не предусмотрено настоящей статьей, к фиксированным активам относятся:
1) основные средства, инвестиции в недвижимость, нематериальные и биологические активы, учтенные при поступлении в бухгалтерском учете налогоплательщика в соответствии с международными стандартами финансовой отчетности и (или) требованиями законодательства Республики Казахстан о бухгалтерском учете и финансовой отчетности и предназначенные для использования в деятельности, направленной на получение дохода в отчетном и (или) будущих периодах, за исключением активов, указанных в подпункте 2) настоящего пункта;
2) активы сроком службы более одного года, полученные концессионером во владение и пользование от концедента в рамках договора концессии.
В целях настоящего Кодекса концессионером признается лицо, признанное концессионером в соответствии с Законом Республики Казахстан «О концессиях», а также частный партнер, заключивший договор концессии в соответствии с Законом Республики Казахстан «О государственно-частном партнерстве», правопреемник или юридическое лицо, специально созданное исключительно концессионером для реализации договора концессии;
3) активы сроком службы более одного года, которые предназначены для использования в течение более одного года в деятельности, направленной на получение дохода, полученные доверительным управляющим в доверительное управление;
4) последующие расходы, понесенные в отношении имущества, полученного по договору имущественного найма (аренды), кроме договора лизинга, и признанные в бухгалтерском учете в качестве долгосрочного актива;
5) у арендодателя - имущество, переданное по договору имущественного найма (аренды), не учитываемое в бухгалтерском учете после передачи по такому договору в качестве основных средств, инвестиций в недвижимость, нематериальных или биологических активов, кроме имущества, переданного по договору лизинга.
2. К фиксированным активам не относятся:
1) основные средства и нематериальные активы, вводимые в эксплуатацию недропользователем до момента начала добычи после коммерческого обнаружения и учитываемые в целях налогообложения в соответствии со статьей 305 настоящего Кодекса;
2) активы, по которым исчисление амортизационных отчислений в соответствии с международными стандартами финансовой отчетности и (или) требованиями законодательства Республики Казахстан о бухгалтерском учете и финансовой отчетности не производится, за исключением:
активов, указанных в подпунктах 2) и 4) пункта 1 настоящей статьи;
биологических активов, инвестиций в недвижимость, по которым исчисление амортизационных отчислений не производится в связи с учетом таких активов по справедливой стоимости в соответствии с международными стандартами финансовой отчетности и (или) требованиями законодательства Республики Казахстан о бухгалтерском учете и финансовой отчетности;
3) сооружения общего пользования (за исключением являющихся объектами концессии, созданными и (или) полученными концессионером в рамках договора концессии): автомобильные дороги, тротуары, бульвары, скверы;
4) основные средства, стоимость которых ранее полностью отнесена на вычеты в соответствии с налоговым законодательством Республики Казахстан;
5) нематериальные активы с неопределенным сроком полезной службы, признанные таковыми и учитываемые в бухгалтерском балансе налогоплательщика в соответствии с международными стандартами финансовой отчетности и (или) требованиями законодательства Республики Казахстан о бухгалтерском учете и финансовой отчетности;
6) объекты инвестиционных налоговых преференций в течение контрольного периода без их аннулирования;
7) амортизируемые активы недропользователя, указанные в статье 316 настоящего Кодекса;
8) у арендатора - активы, полученные во временное владение и пользование по договору имущественного найма (аренды), учитываемые в бухгалтерском учете после получения по такому договору в качестве основных средств, инвестиций в недвижимость, нематериальных или биологических активов, кроме активов, полученных по договору лизинга.
Статья 276. Учет фиксированных активов
1. Учет фиксированных активов осуществляется по группам, формируемым в соответствии с классификатором основных фондов, в следующем порядке:
|
№ п/п |
№ группы |
Наименование фиксированных активов |
|
1 |
2 |
3 |
|
1. |
I |
Здания, сооружения, за исключением нефтяных и газовых скважин, а также передаточных устройств |
|
2. |
II |
Машины и оборудование, за исключением машин и оборудования нефтегазодобычи, а также компьютеров и оборудования для обработки информации |
|
3. |
III |
Компьютеры, программное обеспечение и оборудование для обработки информации |
|
4. |
IV |
Фиксированные активы, не включенные в другие группы, в том числе нефтяные и газовые скважины, передаточные устройства, машины и оборудование нефтегазодобычи |
1) стоимостных балансов объектов группы I и (или) стоимостных балансов групп на начало и конец налогового периода;
2) поступления фиксированных активов за налоговый период;
3) выбытия фиксированных активов за налоговый период;
4) остаточной стоимости объектов группы I;
5) последующих расходов по фиксированным активам.
3. Стоимостные балансы групп определяются на начало и конец налогового периода по:
по группе I - по каждому объекту. Общая сумма стоимостных балансов по каждому объекту составляет стоимостный баланс группы I;
по группам II, III и IV - по каждой группе.
4. Стоимостный баланс объекта группы I и (или) стоимостные балансы групп на начало налогового периода определяются как положительное значение суммы, полученной при применении следующей формулы:
стоимостный баланс объекта группы I и (или) стоимостный баланс группы на конец предыдущего налогового периода
минус
сумма амортизационных отчислений, исчисленных в предыдущем налоговом периоде,
минус
вычеты и корректировки в соответствии со статьей 282 настоящего Кодекса.
5. Стоимостный баланс объектов группы I и (или) стоимостные балансы групп на конец налогового периода определяются как:
стоимостный баланс объекта группы I и (или) стоимостный баланс группы на начало налогового периода
плюс
поступившие в налоговом периоде фиксированные активы по стоимости, определяемой в соответствии со статьей 277 настоящего Кодекса,
минус
выбывшие в налоговом периоде фиксированные активы по стоимости, определяемой в соответствии со статьей 279 настоящего Кодекса,
плюс
последующие расходы по фиксированным активам, относимые на увеличение или формирование стоимостного баланса объекта группы I или стоимостного баланса группы (по группам II, III или IV), в соответствии со статьей 281 настоящего Кодекса.
6. Остаточная стоимость объекта группы I на конец налогового периода определяется как:
стоимостный баланс объекта группы I на начало налогового периода
плюс
последующие расходы по фиксированным активам в соответствии со статьей 281 настоящего Кодекса, относимые на увеличение стоимостного баланса данного объекта или на формирование стоимостного баланса объекта группы I.
7. Доверительный управляющий формирует отдельные стоимостные балансы объектов группы I и (или) стоимостные балансы групп (по группам II, III или IV) по фиксированным активам, указанным в подпункте 3) пункта 1 статьи 275 настоящего Кодекса, и ведет по таким активам раздельный налоговый учет на основании статей 210 и 211 настоящего Кодекса.
Статья 277. Поступление фиксированных активов
1. Поступлением фиксированных активов являются:
1) признание в бухгалтерском учете в соответствии с международными стандартами финансовой отчетности и (или) требованиями законодательства Республики Казахстан о бухгалтерском учете и финансовой отчетности основных средств, инвестиций в недвижимость, нематериальных и биологических активов, предназначенных для использования в деятельности, направленной на получение дохода в отчетном и (или) будущих периодах;
2) получение во владение и пользование в рамках договора концессии концессионером от концедента активов сроком службы более одного года;
3) получение доверительным управляющим в доверительное управление активов сроком службы более одного года, которые предназначены для использования в деятельности, направленной на получение дохода, в течение более одного года;
4) признание в бухгалтерском учете в качестве долгосрочного актива последующих расходов, понесенных в отношении имущества, полученного по договору имущественного найма (аренды), кроме договора лизинга;
5) у арендодателя - передача арендодателем по договору имущественного найма (аренды) имущества, не учтенного в бухгалтерском учете до такой передачи в качестве основных средств, инвестиций в недвижимость, нематериальных или биологических активов. Положения настоящего подпункта не распространяются на передачу имущества по договору лизинга;
6) ввод в эксплуатацию объекта группы I для использования в деятельности, направленной на получение дохода, после временного прекращения его использования, по которому ранее в налоговом учете было отражено выбытие в соответствии с пунктом 18 статьи 279 настоящего Кодекса;
7) перевод в состав фиксированных активов в налоговом периоде, следующем за контрольным периодом, объекта, по которому были применены инвестиционные налоговые преференции без их аннулирования в течение контрольного периода.
2. Признание в целях налогообложения поступления фиксированных активов означает включение поступивших активов в состав фиксированных активов.
Включение поступивших активов в состав фиксированных активов осуществляется путем увеличения соответствующего стоимостного баланса объектов группы I и (или) групп на начало налогового периода на первоначальную стоимость поступивших фиксированных активов.
Включение последующих расходов, понесенных в отношении имущества, полученного по договору имущественного найма (аренды), кроме договора лизинга, и признанных в бухгалтерском учете в качестве долгосрочного актива, в состав фиксированных активов осуществляется путем увеличения на первоначальную стоимость:
стоимостного баланса объекта группы I на начало налогового периода или его формирования при отсутствии такого стоимостного баланса - если объект имущественного найма (аренды) в соответствии с пунктом 1 настоящей статьи относится к группе I;
соответствующего стоимостного баланса группы на начало налогового периода - если объект имущественного найма (аренды) в соответствии с пунктом 1 настоящей статьи относится к группам II, III или IV.
3. Если иное не предусмотрено настоящей статьей, первоначальная стоимость фиксированных активов определяется в виде суммы следующих затрат, понесенных налогоплательщиком по день поступления фиксированного актива:
1) затраты на приобретение фиксированного актива;
2) затраты на производство фиксированного актива;
3) затраты на строительство фиксированного актива;
4) затраты на монтаж и установку фиксированного актива;
5) другие затраты, увеличивающие стоимость актива в соответствии с международными стандартами финансовой отчетности и (или) требованиями законодательства Республики Казахстан о бухгалтерском учете и финансовой отчетности.
4. Для целей настоящей статьи в первоначальную стоимость фиксированного актива не включаются:
затраты (расходы), указанные в подпунктах 2), 13) и 16) статьи 286 и статье 287 настоящего Кодекса;
амортизационные отчисления;
затраты (расходы), возникающие в бухгалтерском учете и не рассматриваемые как расход в целях налогообложения в соответствии с пунктом 6 статьи 257 настоящего Кодекса.
5. Недропользователь по контракту на разведку и добычу или добычу углеводородов по сложным проектам (за исключением газовых проектов на суше) определяет первоначальную стоимость активов в порядке, установленном настоящей статьей, с применением соответствующего коэффициента, предусмотренного пунктом 5 статьи 305 настоящего Кодекса.
6. Первоначальная стоимость фиксированного актива, поступившего путем перевода из состава запасов или активов, предназначенных для продажи, определяется в размере балансовой стоимости актива на дату такого поступления в соответствии с международными стандартами финансовой отчетности и (или) требованиями законодательства Республики Казахстан о бухгалтерском учете и финансовой отчетности.
В случае если такие активы ранее были переведены из фиксированных активов в состав запасов или активов, предназначенных для продажи, то при обратном их переводе в фиксированные активы первоначальная стоимость такого актива не может превышать стоимость, указанную в пункте 4 статьи 279 настоящего Кодекса.
7. Первоначальная стоимость фиксированного актива, полученного безвозмездно, определяется как сумма:
1) стоимости безвозмездно полученного имущества, включенной в совокупный годовой доход в соответствии со статьей 246 настоящего Кодекса; и
2) фактических затрат, увеличивающих стоимость поступившего актива при первоначальном признании в соответствии с международными стандартами финансовой отчетности и (или) требованиями законодательства Республики Казахстан о бухгалтерском учете и финансовой отчетности.
8. Первоначальной стоимостью фиксированных активов, полученных государственным предприятием от государственного учреждения, является балансовая стоимость полученных активов с учетом фактических затрат, увеличивающих стоимость таких активов при первоначальном признании в соответствии с международными стандартами финансовой отчетности и (или) требованиями законодательства Республики Казахстан о бухгалтерском учете и финансовой отчетности.
Балансовая стоимость активов определяется на основании акта приема-передачи активов.
9. Первоначальная стоимость фиксированного актива, полученного в качестве вклада в уставный капитал, определяется как сумма:
1) стоимости актива, полученного в качестве вклада в уставный капитал, но не более суммы, в счет оплаты которой получен актив. Такая стоимость определяется на основании документов, подтверждающих получение вклада и стоимость, по которой получен актив (акт приема-передачи и (или) иные документы); и
2) фактических затрат, увеличивающих стоимость поступившего актива при первоначальном признании в соответствии с международными стандартами финансовой отчетности и (или) требованиями законодательства Республики Казахстан о бухгалтерском учете и финансовой отчетности.
10. Если иное не установлено частью второй настоящего пункта, первоначальная стоимость фиксированного актива, полученного в связи с реорганизацией путем слияния, присоединения, разделения или выделения налогоплательщика, определяется как сумма:
1) балансовой стоимости, указанной в передаточном акте или разделительном балансе;
и
2) фактических затрат, увеличивающих стоимость такого актива при первоначальном признании в соответствии с международными стандартами финансовой отчетности и (или) требованиями законодательства Республики Казахстан о бухгалтерском учете и финансовой отчетности.
Стоимостный баланс объектов группы I и (или) стоимостные балансы групп (по группам II, III или IV) вновь возникшего юридического лица, созданного путем слияния, выделения, или юридического лица, к которому присоединилось другое юридическое лицо, увеличиваются на стоимость передаваемых фиксированных активов по данным налогового учета передающего лица в случае отражения такой стоимости в передаточном акте в соответствии с пунктом 9 статьи 279 настоящего Кодекса.
11. Первоначальной стоимостью фиксированных активов, полученных доверительным управляющим в доверительное управление, являются:
1) в случае, если у передающего лица данные активы являлись фиксированными, - стоимость, определенная в соответствии с пунктом 14 статьи 279 настоящего Кодекса;
2) в иных случаях - стоимость, определенная по данным акта приема-передачи указанных активов.
12. Первоначальной стоимостью фиксированных активов, полученных от доверительного управляющего в связи с прекращением обязательств по доверительному управлению, являются:
1) в случае, если у доверительного управляющего данные активы являлись фиксированными, - стоимость, определенная в соответствии с пунктом 15 статьи 279 настоящего Кодекса;
2) в иных случаях - стоимость, определенная в соответствии с пунктом 14 статьи 279 настоящего Кодекса, уменьшенная на сумму амортизационных отчислений. При этом амортизационные отчисления исчисляются по следующей формуле:
стоимость, определенная в соответствии с пунктом 14 статьи 279 настоящего Кодекса,
умножить
предельная норма амортизации, предусмотренная настоящим Кодексом для соответствующей группы фиксированных активов,
умножить
количество налоговых периодов, предшествовавших отчетному налоговому периоду, в течение которых актив находился в доверительном управлении.
13. Первоначальной стоимостью фиксированных активов, полученных концессионером по договору концессии, является стоимость полученного объекта концессии, указанная в акте приема-передачи объекта концессии, составленном и подписанном концедентом и концессионером.
В случае отсутствия стоимости, указанной в части первой настоящего пункта, первоначальная стоимость объектов концессии, признаваемых в качестве фиксированных активов группы I, II, III или IV, определяется по каждому такому объекту отдельно в виде затрат, произведенных концессионером в рамках договора концессии до дня ввода фиксированных активов в эксплуатацию:
на приобретение, строительство, монтаж и установку с целью создания объекта концессии; и
других затрат с целью создания объекта концессии, увеличивающих его стоимость в соответствии с международными стандартами финансовой отчетности и (или) требованиями законодательства Республики Казахстан о бухгалтерском учете и финансовой отчетности, с учетом положений статей 257 - 273 настоящего Кодекса.
14. Первоначальная стоимость объекта группы I, введенного в эксплуатацию после временного прекращения его использования, по которому ранее в налоговом учете было отражено выбытие в соответствии с пунктом 18 статьи 279 настоящего Кодекса, определяется как сумма:
1) стоимости выбытия, определенной в соответствии с пунктом 18 статьи 279 настоящего Кодекса; и
2) последующих расходов по фиксированным активам, в случае их отнесения на увеличение стоимостного баланса данного объекта в соответствии со статьей 281 настоящего Кодекса.
15. Активы, по которым инвестиционные налоговые преференции аннулированы, с даты начала применения инвестиционных налоговых преференций учитываются в качестве фиксированных активов в соответствии с настоящим параграфом.
16. Первоначальная стоимость фиксированного актива, поступившего в соответствии с пунктом 5 статьи 284 настоящего Кодекса путем включения в состав фиксированных активов объекта, по которому были применены инвестиционные налоговые преференции без их аннулирования в течение контрольного периода, равна нулю.
17. Первоначальной стоимостью фиксированного актива в виде признанных в качестве долгосрочного актива последующих расходов, понесенных в отношении имущества, полученного по договору имущественного найма (аренды), кроме договора лизинга, являются затраты по ремонту, реконструкции, модернизации, содержанию и другие затраты, понесенные налогоплательщиком в отношении имущества, полученного по договору имущественного найма (аренды), кроме договора лизинга.
В соответствии с настоящим пунктом учитываются затраты, понесенные по день признания их в бухгалтерском учете в качестве долгосрочного актива, увеличивающие его стоимость в соответствии с международными стандартами финансовой отчетности и (или) требованиями законодательства Республики Казахстан о бухгалтерском учете и финансовой отчетности.
18. Первоначальной стоимостью фиксированного актива, поступившего по договору лизинга, является стоимость, по которой предмет лизинга получен.
19. Первоначальной стоимостью фиксированного актива, ранее являвшегося предметом лизинга, при его возврате лизингополучателем лизингодателю является положительная разница между:
стоимостью, по которой ранее предмет лизинга был передан по договору лизинга лизингополучателю, и
стоимостью предмета лизинга, включенной в сумму лизинговых платежей за период с даты передачи до даты возврата этого предмета лизинга.
Статья 278. Особенности применения вычетов по фиксированным активам налогоплательщиками, применявшими специальные налоговые режимы
1. Если иное не установлено настоящей статей, при переходе налогоплательщика, применяющего специальный налоговый режим на основе упрощенной декларации или специальный налоговый режим для крестьянских или фермерских хозяйств, на общеустановленный порядок налогообложения первоначальной стоимостью фиксированных активов является стоимость их приобретения, уменьшенная на расчетную сумму амортизации.
Если иное не установлено настоящей статьей, стоимостью приобретения является совокупность затрат на приобретение, производство, строительство, монтаж, установку, реконструкцию и модернизацию, совершенные до начала эксплуатации актива, кроме затрат (расходов), указанных в подпунктах 2), 13) и 16) статьи 286 и статье 287 настоящего Кодекса.
В случае, если актив был ранее получен безвозмездно, в целях настоящей статьи стоимостью приобретения такого актива является его стоимость, включенная в объект налогообложения в соответствии с пунктом 2 статьи 724 настоящего Кодекса в виде безвозмездно полученного имущества.
По активам, полученным в виде благотворительной помощи, наследования, за исключением случая, предусмотренного частью второй настоящего пункта, стоимостью приобретения актива является рыночная стоимость актива на дату возникновения права собственности на данный актив, определенная в отчете об оценке, проведенной по договору между оценщиком и налогоплательщиком в соответствии с законодательством Республики Казахстан об оценочной деятельности.
Расчетная сумма амортизации определяется как произведение следующих величин:
стоимость приобретения актива, определенная в соответствии с настоящим пунктом;
предельная месячная норма амортизации, предусмотренная пунктом 3 настоящей статьи;
количество месяцев, прошедших со дня первого ввода в эксплуатацию актива таким налогоплательщиком.
2. Если иное не установлено настоящей статьей, расходы на реконструкцию и модернизацию фиксированного актива, совершенные после начала его эксплуатации, признаются отдельным фиксированным активом с первоначальной стоимостью, равной сумме таких расходов, кроме затрат (расходов), указанных в подпунктах 2), 13) и 16) статьи 286 и статье 287 настоящего Кодекса, уменьшенной на расчетную сумму амортизации.
Расчетная сумма амортизации определяется как произведение следующих величин:
сумма расходов на реконструкцию и модернизацию, определенная в соответствии с настоящим пунктом;
предельная месячная норма амортизации, предусмотренная пунктом 3 настоящей статьи;
количество месяцев, прошедших со дня завершения реконструкции, модернизации.
Для целей настоящего пункта, пункта 3 статьи 390 и пункта 6 статьи 591 настоящего Кодекса реконструкцией и модернизацией признаются реконструкция и модернизация, результатами которых одновременно являются:
изменение, в том числе обновление, конструкции основного средства;
увеличение срока службы основного средства более чем на три года;
улучшение технических характеристик основного средства по сравнению с его техническими характеристиками на начало календарного месяца, в котором данное основное средство временно выведено из эксплуатации для осуществления реконструкции и модернизации.
3. В зависимости от группы, к которой фиксированный актив подлежит включению в соответствии с пунктом 1 статьи 276 настоящего Кодекса, применяются следующие месячные нормы амортизации:
|
№ п/п |
№ группы |
Наименование фиксированных активов |
Месячная норма амортизации, % |
| 1. | I | Здания, сооружения, за исключением нефтяных и газовых скважин, а также передаточных устройств | 0,83 |
| 2. | II | Машины и оборудование, за исключением машин и оборудования нефтегазодобычи, а также компьютеров и оборудования для обработки информации | 2,08 |
| 3. | III | Компьютеры, программное обеспечение и оборудование для обработки информации | 3,33 |
| 4. | IV | Фиксированные активы, не включенные в другие группы, в том числе нефтяные и газовые скважины, передаточные устройства, машины и оборудование нефтегазодобычи | 1,25 |
В целях применения пункта 2 настоящей статьи фиксированный актив, созданный в результате реконструкции и модернизации, включается в группу, в которую подлежит включению фиксированный актив, подвергшийся реконструкции и модернизации.
4. Первоначальная стоимость фиксированных активов определяется в соответствии с настоящим пунктом при одновременном выполнении следующих условий:
налогоплательщик, применяющий специальный налоговый режим на основе упрощенной декларации или специальный налоговый режим для крестьянских или фермерских хозяйств, переходит на общеустановленный порядок налогообложения;
налогоплательщик применял специальный налоговый режим на основе упрощенной декларации или специальный налоговый режим для крестьянских или фермерских хозяйств менее 12 календарных месяцев;
налогоплательщик до перехода на специальный налоговый режим на основе упрощенной декларации или специальный налоговый режим для крестьянских или фермерских хозяйств применял общеустановленный порядок налогообложения.
Первоначальная стоимость фиксированных активов определяется исходя из размера стоимостного баланса объекта группы I и (или) стоимостного баланса группы (по группам II, III или IV) на день, предшествующий дню начала применения специального налогового режима на основе упрощенной декларации или специального налогового режима для крестьянских или фермерских хозяйств, и вычетов по фиксированным активам, определенным в соответствии со статьями 275 - 277 и 279 - 282 настоящего Кодекса, в период применения специального налогового режима на основе упрощенной декларации или специального налогового режима для крестьянских или фермерских хозяйств.
Статья 279. Выбытие фиксированных активов
1. Если иное не установлено пунктом 2 настоящей статьи, выбытием фиксированных активов являются:
1) прекращение признания данных активов в бухгалтерском учете в качестве основных средств, инвестиций в недвижимость, нематериальных и биологических активов, за исключением случаев прекращения признания в результате полной амортизации и (или) обесценения, передачи по договору имущественного найма (аренды);
2) передача данных активов по договору лизинга;
3) перевод данных активов в состав активов, предназначенных для продажи, запасов;
4) у арендодателя - прекращение договора имущественного найма (аренды), по которому:
в период его действия переданное арендатору имущество являлось фиксированным активом у арендодателя; и
после прекращения договора - в бухгалтерском учете арендодателя признан актив, не относящийся к фиксированным активам.
2. Выбытием фиксированных активов не являются:
1) прекращение признания в бухгалтерском учете незастрахованного актива, включенного в группы II, III, IV фиксированных активов, в связи с его утратой, порчей;
2) временное прекращение использования в деятельности, направленной на получение дохода фиксированных активов группы I, используемых в сезонном производстве;
3) временное прекращение использования в деятельности, направленной на получение дохода фиксированных активов группы I в случае, когда налоговые периоды временного вывода актива из эксплуатации и его ввода в эксплуатацию после временного прекращения использования совпадают;
4) временное прекращение использования в деятельности, направленной на получение дохода фиксированных активов групп II, III и IV.
Для целей настоящего параграфа:
к временному прекращению использования фиксированных активов относится временный вывод фиксированных активов из эксплуатации без прекращения признания таких активов в бухгалтерском учете в качестве основных средств, инвестиций в недвижимость, нематериальных и биологических активов;
фиксированными активами группы I, используемыми в сезонном производстве, являются фиксированные активы группы I, которые одновременно соответствуют следующим условиям:
не могут использоваться на конец отчетного периода в силу требований, указанных в технической документации об эксплуатации в определенных температурных режимах;
участвуют в производственном процессе в связи с климатическими, природными или технологическими условиями в течение определенного периода календарного года, но не менее трех месяцев;
в отчетном налоговом периоде использовались в деятельности, направленной на получение дохода.
3. Признание в целях налогообложения выбытия фиксированных активов означает исключение выбывших активов из состава фиксированных активов.
Исключение выбывших активов из состава фиксированных активов осуществляется путем уменьшения соответствующего стоимостного баланса объектов группы I и (или) групп на начало налогового периода на стоимость выбытия фиксированных активов.
4. Если иное не установлено настоящей статьей, стоимостью выбытия фиксированных активов является их балансовая стоимость на дату выбытия, определенная в соответствии с международными стандартами финансовой отчетности и (или) требованиями законодательства Республики Казахстан о бухгалтерском учете и финансовой отчетности.
5. Стоимостью выбытия фиксированных активов при их реализации, кроме передачи по договору лизинга, являются:
1) стоимость реализации фиксированных активов, за исключением налога на добавленную стоимость, - если договором купли-продажи, включая договор купли-продажи предприятия как имущественного комплекса, стоимость реализации определена в разрезе объектов фиксированных активов;
2) балансовая стоимость реализованных фиксированных активов на дату реализации, определенная в соответствии с международными стандартами финансовой отчетности и (или) требованиями законодательства Республики Казахстан о бухгалтерском учете и финансовой отчетности, - если договором купли-продажи, включая договор купли-продажи предприятия как имущественного комплекса, стоимость реализации не определена в разрезе объектов фиксированных активов.
6. Стоимостью выбытия фиксированных активов при их передаче по договору лизинга является стоимость, по которой предмет лизинга передан в соответствии с таким договором.
7. Стоимостью выбытия фиксированных активов при их безвозмездной передаче является стоимость переданных активов, указанная в акте их приема-передачи, но не менее чем их балансовая стоимость по данным бухгалтерского учета на дату передачи.
8. Стоимостью выбытия фиксированных активов при их передаче в качестве вклада в уставный капитал является стоимость, определяемая в соответствии с гражданским законодательством Республики Казахстан.
9. Стоимостью выбытия фиксированных активов у реорганизуемого юридического лица при реорганизации путем слияния, присоединения или выделения являются:
балансовая стоимость переданных активов у реорганизуемого юридического лица, указанная в передаточном акте; либо
стоимость передаваемых фиксированных активов по данным налогового учета реорганизуемого юридического лица, отраженная в передаточном акте. Для этого налогоплательщики вправе отразить в передаточном акте следующую стоимость передаваемых фиксированных активов:
1) по фиксированным активам группы I - остаточную стоимость объекта группы I на конец налогового периода;
2) по фиксированным активам групп II, III, IV при условии передачи всех фиксированных активов группы - величину соответствующего стоимостного баланса группы на конец налогового периода.
10. Стоимостью выбытия фиксированных активов у реорганизуемого юридического лица при реорганизации путем разделения является балансовая стоимость переданных активов, указанная в разделительном балансе.
11. Стоимостью выбытия фиксированных активов при изъятии имущества учредителем, участником является стоимость, определенная по соглашению учредителей, участников.
12. Стоимостью выбытия фиксированных активов при их утрате, порче, в связи с которыми прекращается признание актива в бухгалтерском учете, являются:
1) стоимость, равная сумме страховых выплат страхователю, застрахованному, выгодоприобретателю в соответствии с договором страхования (перестрахования), - при наличии страхования;
2) остаточная стоимость объектов группы I на конец налогового периода - при отсутствии страхования.
13. У лизингополучателя стоимостью выбытия фиксированного актива, являющегося предметом лизинга, при его возврате лизингодателю является положительная разница между первоначальной стоимостью, по которой данный актив был включен в состав фиксированных активов, и стоимостью предмета лизинга, включенной в сумму лизинговых платежей за период с даты получения до даты возврата предмета лизинга.
14. Стоимостью выбытия фиксированных активов при их передаче в доверительное управление по договору доверительного управления имуществом являются:
1) по группе I - остаточная стоимость фиксированных активов на конец налогового периода;
2) по группам II, III и IV - балансовая стоимость на дату передачи, определенная в соответствии с международными стандартами финансовой отчетности и (или) требованиями законодательства Республики Казахстан о бухгалтерском учете и финансовой отчетности.
15. Стоимостью выбытия фиксированных активов у доверительного управляющего при прекращении обязательств по доверительному управлению являются:
1) по группе I - остаточная стоимость фиксированных активов на конец налогового периода;
2) по группам II, III и IV:
при передаче всех активов группы - величина стоимостного баланса группы на конец налогового периода;
в остальных случаях - первоначальная стоимость передаваемых активов, по которой они были включены в состав фиксированных активов, уменьшенная на сумму амортизационных отчислений. При этом амортизационные отчисления исчисляются за каждый налоговый период доверительного управления, предшествовавший отчетному налоговому периоду, исходя из предельной нормы амортизации, предусмотренной настоящим Кодексом для соответствующей группы фиксированных активов, применяемой к первоначальной стоимости, уменьшенной на сумму амортизационных отчислений за предыдущие периоды.
16. Стоимостью выбытия фиксированных активов при их передаче концеденту в случае прекращения договора концессии являются:
1) по группе I - остаточная стоимость объекта группы I на конец налогового периода;
2) по группам II, III и IV:
при передаче всех активов - величина стоимостного баланса группы на конец налогового периода;
в остальных случаях - первоначальная стоимость передаваемых активов, по которой они были включены в состав фиксированных активов, уменьшенная на сумму амортизационных отчислений. При этом амортизационные отчисления исчисляются за каждый налоговый период, предшествовавший отчетному налоговому периоду, исходя из:
норм амортизации, установленных в налоговом регистре концессионера по учету фиксированных активов, для налоговых периодов, в течение которых осуществлялась эксплуатация объектов концессии, - в случае установления таких норм амортизации. Установленные концессионером нормы амортизации не должны превышать предельные нормы амортизации, предусмотренные настоящим Кодексом для соответствующей группы фиксированных активов;
предельной нормы амортизации, предусмотренной настоящим Кодексом для соответствующей группы фиксированных активов - при отсутствии установленных концессионером норм амортизации.
17. У арендодателя стоимостью выбытия фиксированного актива при прекращении договора имущественного найма (аренды), по которому в период его действия переданное имущество являлось фиксированным активом у арендодателя, а после прекращения договора - в бухгалтерском учете арендодателя признан актив, не относящийся к фиксированным активам, является балансовая стоимость актива, признанного в бухгалтерском учете, на дату прекращения такого договора, определенная в соответствии с международными стандартами финансовой отчетности и (или) требованиями законодательства Республики Казахстан о бухгалтерском учете и финансовой отчетности.
18. Стоимостью выбытия фиксированного актива группы I при временном прекращении его использования в деятельности, направленной на получение дохода, за исключением случаев, предусмотренных пунктом 2 настоящей статьи, является его остаточная стоимость на конец налогового периода.
19. Стоимостью выбытия фиксированного актива у недропользователя по контракту на разведку и добычу или добычу углеводородов по сложным проектам (за исключением газовых проектов на суше) является его балансовая стоимость на дату выбытия, определенная в соответствии с международными стандартами финансовой отчетности и (или) требованиями законодательства Республики Казахстан о бухгалтерском учете и финансовой отчетности, с учетом ранее примененного условного коэффициента, установленного пунктом 5 статьи 305 настоящего Кодекса.
Статья 280. Исчисление амортизационных отчислений
1. Вычету подлежат амортизационные отчисления по фиксированным активам, исчисленные в соответствии с настоящей статьей.
2. Если иное не установлено настоящей статьей, амортизационные отчисления исчисляются по каждому объекту группы I и (или) в целом по каждой группе (по группам II, III и IV) путем применения установленных налогоплательщиком в налоговом регистре по учету фиксированных активов норм амортизации к стоимостному балансу объекта группы I и группы (по группам II, III и IV) на конец налогового периода.
Такие установленные налогоплательщиком нормы амортизации не должны превышать следующие предельные нормы амортизации:
|
№ п/п |
№ группы |
Наименование фиксированных активов |
Предельная норма амортизации (%) |
|
1 |
2 |
3 |
4 |
|
1. |
I |
Здания, сооружения, за исключением нефтяных и газовых скважин, а также передаточных устройств |
10 |
|
2. |
II |
Машины и оборудование, за исключением машин и оборудования нефтегазодобычи, а также компьютеров и оборудования для обработки информации |
25 |
|
3. |
III |
Компьютеры, программное обеспечение и оборудование для обработки информации |
40 |
|
4. |
IV |
Фиксированные активы, не включенные в другие группы, в том числе нефтяные и газовые скважины, передаточные устройства, машины и оборудование нефтегазодобычи |
15 |
3. Амортизационные отчисления корректируются на период деятельности у:
1) ликвидируемого юридического лица в налоговом периоде, за который составляется ликвидационная налоговая отчетность;
2) юридических лиц при реорганизации путем слияния, присоединения, разделения и выделения в налоговом периоде, в котором осуществляется выбытие и поступление фиксированных активов в связи с реорганизацией;
3) юридического лица при переходе с применения специального налогового режима на исчисление корпоративного подоходного налога в соответствии с настоящим разделом в налоговом периоде, в котором осуществлен такой переход.
4. По впервые введенным в эксплуатацию на территории Республики Казахстан фиксированным активам недропользователь вправе в первый налоговый период эксплуатации исчислять амортизационные отчисления по двойным нормам амортизации при условии использования данных фиксированных активов в целях получения совокупного годового дохода не менее трех лет. Данные фиксированные активы в первый налоговый период эксплуатации учитываются отдельно от стоимостного баланса группы. В последующий налоговый период данные фиксированные активы подлежат включению в стоимостный баланс соответствующей группы.
В случае выбытия впервые введенного в эксплуатацию фиксированного актива, по которому исчисление амортизационных отчислений производилось в соответствии с настоящим пунктом, до истечения трехлетнего периода сумма превышения произведенного вычета по указанному фиксированному активу над суммой амортизационных отчислений, определенных по предельным нормам амортизации, предусмотренным настоящей статьей, подлежит включению в совокупный годовой доход того налогового периода, в котором была применена двойная норма амортизации.
Положения настоящего пункта распространяются только на фиксированные активы, которые соответствуют одновременно следующим условиям:
1) являются активами, которые в силу специфики их использования имеют прямую причинно-следственную связь с осуществлением деятельности по контракту (контрактам) на недропользование;
2) в налоговом учете последующие расходы, понесенные недропользователем по данным активам, не подлежат распределению между деятельностью по контракту (контрактам) на недропользование и внеконтрактной деятельностью.
В целях настоящего пункта контрактом на недропользование не признается контракт на добычу подземных вод при условии, что недропользователь, осуществляющий добычу подземных вод, является недропользователем исключительно из-за обладания такого права на добычу подземных вод и использует добытую подземную воду для производства безалкогольных напитков, а также контракт на разведку и добычу или добычу углеводородов по сложным проектам (за исключением газовых проектов на суше).
5. С учетом особенностей, предусмотренных пунктом 4 статьи 756 настоящего Кодекса, амортизационные отчисления по каждому объекту группы I или групп (по группам II, III и IV) определяются недропользователем по контракту на разведку и добычу или добычу углеводородов по сложным проектам (за исключением газовых проектов на суше) путем применения указанных в налоговом регистре по учету фиксированных активов норм амортизации, которые не должны превышать предельные нормы, установленные настоящим пунктом, к стоимостному балансу объекта группы I или стоимостному балансу группы (по группам II, III и IV) на конец налогового периода:
|
№ п/п |
№ группы |
Наименование фиксированных активов |
Предельная норма амортизации (%) |
|
1 |
2 |
3 |
4 |
|
1. |
I |
Здания, сооружения, за исключением нефтяных, газовых скважин и передаточных устройств |
15 |
|
2. |
II |
Машины и оборудование, за исключением машин и оборудования нефтегазодобычи, а также компьютеров и оборудования для обработки информации |
37,5 |
|
3. |
III |
Компьютеры, программное обеспечение и оборудование для обработки информации |
60 |
|
4. |
IV |
Фиксированные активы, не включенные в другие группы, в том числе нефтяные, газовые скважины, передаточные устройства, машины и оборудование нефтегазодобычи |
22,5 |
Статья 281. Вычет последующих расходов по фиксированным активам
1. Последующими расходами по фиксированным активам признаются последующие расходы, за исключением затрат, указанных в пункте 2 настоящей статьи, понесенные в отношении:
фиксированных активов после признания в целях налогообложения их поступления;
актива, по которому в налоговом учете было отражено выбытие в соответствии с пунктом 18 статьи 279 настоящего Кодекса, в период временного прекращения его использования.
2. К последующим расходам по фиксированным активам не относятся затраты недропользователей, произведенные за счет средств ликвидационного фонда, отчисления в который относятся на вычеты согласно статье 301 настоящего Кодекса.
3. Налогоплательщик вправе по выбору отнести сумму последующих расходов по фиксированным активам в том налоговом периоде, в котором они произведены, на:
1) вычеты;
2) увеличение стоимостного баланса объекта группы I или стоимостного баланса группы (по группам II, III и IV), соответствующей виду актива, в отношении которого произведены такие последующие расходы;
3) формирование стоимостного баланса объекта группы I или стоимостного баланса группы (по группам II, III и IV), соответствующей виду актива, в отношении которого произведены такие последующие расходы, - при отсутствии соответствующего виду актива стоимостного баланса объекта группы I или группы (по группам II, III и IV).
Статья 282. Другие вычеты по фиксированным активам
1. При выбытии, за исключением безвозмездной передачи, объекта группы I сумма в размере стоимостного баланса такого объекта на конец налогового периода признается результатом от выбытия фиксированного актива группы I и учитывается в порядке, установленном пунктами 2 и 6 статьи 340 настоящего Кодекса.
В этом случае в налоговом учете стоимостный баланс объекта группы I на конец налогового периода корректируется до нуля. При этом сумма корректировки не подлежит вычету.
2. При выбытии, за исключением безвозмездной передачи, всех фиксированных активов группы (по группам II, III и IV) стоимостный баланс соответствующей группы (по группам II, III и IV) на конец налогового периода подлежит вычету, если иное не предусмотрено настоящей статьей.
3. При безвозмездной передаче объекта группы I или всех фиксированных активов группы (по группам II, III и IV) стоимостный баланс соответствующей группы на конец налогового периода корректируется до нуля. При этом сумма корректировки не подлежит вычету.
4. Налогоплательщик вправе отнести на вычет величину стоимостного баланса объекта группы I или стоимостного баланса группы (по группам II, III и IV) на конец налогового периода, которая составляет сумму меньшую, чем 300-кратный размер месячного расчетного показателя, действующего на последнее число налогового периода.
5. Недропользователь, осуществляющий добычу твердых полезных ископаемых, вправе отнести на вычет величину стоимостного баланса объекта группы I или стоимостного баланса группы (по группам II, III и IV) на конец налогового периода. Вычет производится в налоговом периоде, в котором завершены работы по ликвидации последствий разработки всех месторождений по контракту на добычу.
В случае отсутствия совокупного годового дохода или наличия убытка по указанному контракту на добычу вычет производится по другому контракту на добычу такого недропользователя.
При этом размер вычета не должен превышать 150 000-кратный размер месячного расчетного показателя, действующего на последнее число налогового периода.
Параграф 4. Инвестиционные налоговые преференции
Статья 283. Инвестиционные налоговые преференции
1. Право на применение инвестиционных налоговых преференций имеют юридические лица Республики Казахстан, за исключением юридических лиц, соответствующих одному или более из следующих условий:
1) налогоплательщик является участником «Астана Хаб»;
2) налогоплательщик является участником МФЦА;
3) налогоплательщик осуществляет производство и (или) реализацию всех видов спирта, алкогольной продукции, табачных изделий;
4) налогоплательщик применяет специальный налоговый режим, предусмотренный разделом 16 настоящего Кодекса.
2. Инвестиционные налоговые преференции (далее в настоящем параграфе - преференции) применяются по выбору налогоплательщика и заключаются в отнесении на вычеты затрат, включаемых в первоначальную стоимость объекта преференций, в соответствии с настоящим параграфом.
3. К объектам преференций относятся следующие активы в соответствии с классификатором основных фондов:
здания;
сооружения;
машины;
оборудование;
программное обеспечение.
Такие активы должны в течение контрольного периода соответствовать одновременно следующим условиям:
1) являются активами:
которые в бухгалтерском учете признаны в качестве основных средств, инвестиций в недвижимость или нематериальных активов в соответствии с международными стандартами финансовой отчетности и (или) требованиями законодательства Республики Казахстан о бухгалтерском учете и финансовой отчетности;
и (или)
которые переданы арендодателем по договору имущественного найма (аренды) и не учитываются в бухгалтерском учете после передачи по такому договору в качестве основных средств, инвестиций в недвижимость, нематериальных активов, кроме имущества, переданного по договору лизинга;
или
получены концессионером во владение и пользование от концедента в рамках договора концессии;
2) находятся на территории Республики Казахстан. Данное условие не применяется к нематериальным активам, машинам и оборудованию;
3) используются налогоплательщиком, применившим преференции, в деятельности, направленной на получение дохода, в том числе путем передачи активов по договору имущественного найма (аренды), кроме активов, переданных по договору лизинга;
4) в налоговом учете амортизационные отчисления и последующие расходы по данным активам не являются прямыми, косвенными или общими расходами, связанными с осуществлением деятельности по контракту (контрактам) на недропользование, кроме контракта на добычу подземных вод у лица, являющегося недропользователем исключительно из-за обладания правом на добычу подземных вод;
5) не являются активами, предназначенными для использования (используемыми) в рамках заключенных в соответствии с законодательством Республики Казахстан в сфере предпринимательства:
инвестиционного приоритетного проекта по инвестиционному контракту,
соглашения об инвестициях;
6) не являются активами, предназначенными для использования (используемыми) в рамках осуществляемых приоритетных видов деятельности участниками специальных экономических зон.
4. Если иное не установлено настоящим пунктом, первоначальная стоимость объекта преференций для целей настоящего параграфа определяется как сумма затрат, понесенных налогоплательщиком по день его признания. К таким затратам относятся затраты на приобретение объекта, его производство, строительство, монтаж и установку, а также другие затраты, увеличивающие его стоимость в соответствии с международными стандартами финансовой отчетности и (или) требованиями законодательства Республики Казахстан о бухгалтерском учете и финансовой отчетности, кроме:
затрат (расходов), указанных в подпунктах 2), 13) и 16) статьи 286 и статье 287 настоящего Кодекса;
амортизационных отчислений;
затрат (расходов), возникающих в бухгалтерском учете и не рассматриваемых как расход в целях налогообложения в соответствии с пунктом 6 статьи 257 настоящего Кодекса.
Первоначальная стоимость объектов преференций, полученных концессионером от концедента во владение и пользование в рамках договора концессии, определяется в соответствии с пунктом 13 статьи 277 настоящего Кодекса.
5. Днем признания объекта преференций является одна из следующих дат:
дата признания актива в бухгалтерском учете в качестве основного средства, инвестиций в недвижимость или нематериального актива в соответствии с международными стандартами финансовой отчетности и (или) требованиями законодательства Республики Казахстан о бухгалтерском учете и финансовой отчетности;
дата получения актива во владение и пользование концессионером от концедента в рамках договора концессии.
6. Для целей применения преференций контрольным периодом является период не менее трех налоговых периодов, следующих за налоговым периодом, на который приходится день признания объекта преференций.
Статья 284. Применение преференций
1. Применение преференций осуществляется по одному из следующих методов:
1) методу вычета после признания объекта;
2) методу вычета до признания объекта.
Выбор метода осуществляется в налоговом регистре по инвестиционным налоговым преференциям по каждому объекту преференций.
2. Применение метода вычета после признания объекта заключается в отнесении на вычеты первоначальной стоимости объектов преференций в налоговом периоде, на который приходится день признания объекта.
3. Применение метода вычета до признания объекта заключается в отнесении на вычеты затрат, включаемых в первоначальную стоимость объекта, в налоговом периоде, в котором фактически произведены такие затраты.
4. Налогоплательщик в течение контрольного периода осуществляет учет объектов преференций отдельно от фиксированных активов.
Объекты преференций учитываются в разрезе каждого объекта, по которому применена преференция.
5. Объект преференций, по которому преференции не аннулированы, в налоговом периоде, следующем за контрольным периодом, при соответствии положениям пункта 1 статьи 275 настоящего Кодекса включается в соответствующий виду такого актива стоимостный баланс группы фиксированных активов в порядке, определенном статьями 276 и 277 настоящего Кодекса.
Статья 285. Аннулирование преференций
1. Преференции аннулируются с даты начала их применения, и налогоплательщик обязан уменьшить вычеты на сумму преференций за каждый налоговый период, в котором они были применены, если в течение контрольного периода наступил любой из следующих случаев:
1) налогоплательщиком допущено нарушение положений статьи 283 настоящего Кодекса;
2) наступил случай, когда налогоплательщик, применивший преференции, соответствует любому из условий пункта 1 статьи 283 настоящего Кодекса;
3) налогоплательщик, применивший преференции, реорганизован путем слияния, присоединения, разделения или выделения.
2. Активы, по которым преференции аннулированы, признаются фиксированными активами со дня их признания в бухгалтерском учете при соответствии положениям пункта 1 статьи 275 настоящего Кодекса и включаются в соответствующий виду такого актива стоимостный баланс группы в порядке, определенном статьями 276 и 277 настоящего Кодекса.
Параграф 5. Затраты, не подлежащие вычету
Статья 286. Затраты, не подлежащие вычету
Вычету не подлежат:
1) затраты, не связанные с деятельностью, направленной на получение дохода;
2) расходы по операциям, совершенным без фактического выполнения работ, оказания услуг, отгрузки товаров;
3) неустойки (штрафы, пени), подлежащие внесению (внесенные) в бюджет, за исключением неустоек (штрафов, пеней), подлежащих внесению (внесенных) в бюджет по договорам о государственных закупках;
4) сумма превышения расходов, для которых настоящим Кодексом установлены нормы отнесения на вычеты, над предельной суммой вычета, исчисленной с применением указанных норм;
5) сумма налогов и платежей в бюджет, исчисленная (начисленная) и уплаченная сверх размеров, установленных законодательством Республики Казахстан или иного государства (для налогов и платежей, уплаченных в бюджет иного государства);
6) стоимость имущества, переданного налогоплательщиком на безвозмездной основе, если иное не предусмотрено настоящим Кодексом. Стоимость безвозмездно выполненных работ, оказанных услуг определяется в размере расходов, понесенных в связи с таким выполнением работ, оказанием услуг;
7) превышение суммы налога на добавленную стоимость, относимого в зачет, над суммой начисленного налога на добавленную стоимость за налоговый период, возникшее у налогоплательщика, применяющего статью 490 настоящего Кодекса;
8) отчисления в резервные фонды, за исключением вычетов, предусмотренных статьями 268,301 и 323 настоящего Кодекса;
9) балансовая стоимость запасов, передаваемых по договору купли-продажи предприятия как имущественного комплекса;
10) затраты налогоплательщика, включаемые в соответствии с параграфом 4 главы 25 настоящего Кодекса в первоначальную стоимость активов, не подлежащих амортизации;
11) балансовая стоимость активов, передаваемых во временное владение и пользование по договору имущественного найма (аренды), кроме договора лизинга;
12) расходы некоммерческой организации, произведенные за счет доходов, указанных в пункте 1 статьи 329 настоящего Кодекса;
13) расходы индивидуального предпринимателя, состоящего на регистрационном учете в качестве плательщика налога на добавленную стоимость, или юридического лица в пользу другого индивидуального предпринимателя, состоящего на регистрационном учете в качестве плательщика налога на добавленную стоимость, или юридического лица по гражданско-правовой сделке, оплата которой произведена за наличный расчет с учетом налога на добавленную стоимость, независимо от периодичности платежа, в сумме, превышающей 1000-кратный размер месячного расчетного показателя, действующего на дату совершения платежа;
14) расходы налогоплательщика, направленные на получение дохода от осуществления перевозки грузов и (или) предоставление услуг по договорам бербоут-чартера, тайм-чартера морским судном, зарегистрированным в международном судовом реестре Республики Казахстан при применении подпункта 14) пункта 2 статьи 337 настоящего Кодекса;
15) расходы правообладателя фильма, признанного национальным фильмом в соответствии с законодательством Республики Казахстан о кинематографии от проката и осуществления показа в кинозалах такого национального фильма на территории Республики Казахстан при наличии исключительного права в соответствии с Законом Республики Казахстан «Об авторском праве и смежных правах» при применении подпункта 15) пункта 2 статьи 337 настоящего Кодекса;
16) расходы налогоплательщика по приобретению товаров, работ, услуг у лиц, применяющих специальный налоговый режим на основе упрощенной декларации на дату получения таких товаров, работ, услуг.
Датой получения товаров признается дата фактической передачи товаров покупателю на основании подтверждающих документов.
Датой получения работ, услуг признается дата подписания акта выполненных работ, оказанных услуг или иного документа, подтверждающего факт выполнения работ, оказания услуг;
17) затраты, произведенные за счет субсидий, выделенных из резерва Правительства Республики Казахстан и местных исполнительных органов, грантов или другой безвозмездной помощи для энергопроизводящих организаций, сто процентов акций (долей участия в уставном капитале) которых принадлежат государству, находящихся в коммунальной собственности и осуществляющих одновременно деятельность по производству электрической энергии, воды (дистиллята) и тепловой энергии.
Статья 287. Затраты (расходы), подлежащие исключению из затрат (расходов), учтенных в целях налогообложения
Затраты (расходы) налогоплательщика, учтенные в целях налогообложения в предшествующих отчетному налоговых периодах, подлежат исключению в следующих случаях:
1) по операциям, совершенным без фактического выполнения работ, оказания услуг, отгрузки товаров с налогоплательщиком, руководитель и (или) учредитель (участник) которого не причастен к регистрации (перерегистрации) и (или) осуществлению финансово-хозяйственной деятельности такого юридического лица, установленных судебным актом, вступившим в законную силу, за исключением операций, по которым судом установлено фактическое получение товаров, работ, услуг от такого налогоплательщика;
2) по операциям с налогоплательщиком, признанным бездействующим в порядке, определенном параграфом 6 главы 7 настоящего Кодекса, со дня вынесения решения о признании его бездействующим;
3) по сумме, указанной в счете-фактуре и (или) ином документе, выписка которого признана вступившим в законную силу судебным актом или постановлением органа уголовного расследования о прекращении досудебного расследования по нереабилитирующим основаниям совершенной субъектом частного предпринимательства без фактического выполнения работ, оказания услуг, отгрузки товаров;
4) расходы по сделке, признанной недействительной на основании вступившего в законную силу судебного акта.
Параграф 6. Корректировка вычетов
Статья 288. Корректировка вычетов
1. Корректировкой вычетов признается увеличение или уменьшение размера вычетов отчетного налогового периода в пределах суммы ранее признанного вычета в случаях, установленных настоящей статьей.
2. Вычеты подлежат корректировке в случаях:
1) полного или частичного возврата товаров;
2) изменения условий сделки;
3) изменения цены, компенсации за приобретенные товары, работы, услуги. Положение данного подпункта применяется также при изменении суммы, подлежащей оплате в национальной валюте за приобретенные товары, выполненные работы, оказанные услуги исходя из условий договора;
4) скидки с цены, скидки с продаж.
3. Корректировка вычетов производится в том налоговом периоде, в котором наступили случаи, указанные в пункте 2 настоящей статьи.
Глава 27. ОСОБЕННОСТИ ОПРЕДЕЛЕНИЯ ДОХОДОВ И ВЫЧЕТОВ ПО ПРОИЗВОДНЫМ ФИНАНСОВЫМ ИНСТРУМЕНТАМ
Статья 289. Общие положения
1. В целях налогообложения производные финансовые инструменты подразделяются на производные финансовые инструменты, используемые:
1) в целях хеджирования;
2) в целях поставки базового актива;
3) в иных целях.
2. По каждому производному финансовому инструменту определяется доход или убыток в соответствии со статьями 290,291 и статьей 342 настоящего Кодекса.
3. В случае применения производного финансового инструмента в целях хеджирования или поставки базового актива налоговый учет производного финансового инструмента осуществляется в соответствии со статьями 292 и 293 настоящего Кодекса.
4. Доход по производным финансовым инструментам образуется по доходам по производным финансовым инструментам, используемым в иных целях, чем в целях хеджирования или поставки базового актива, и определяется в следующем порядке:
общая сумма доходов по производным финансовым инструментам, используемым в иных целях, чем в целях хеджирования или поставки базового актива, определенных в соответствии со статьями 290 и 291 настоящего Кодекса,
минус
общая сумма убытков по производным финансовым инструментам, используемым в иных целях, чем в целях хеджирования или поставки базового актива, за отчетный налоговый период
минус
убытки по производным финансовым инструментам, переносимые из предыдущих налоговых периодов.
Статья 290. Доход по производному финансовому инструменту, за исключением производного финансового инструмента с длительным сроком исполнения
1. Доход по производному финансовому инструменту, за исключением производного финансового инструмента, доход по которому определяется в соответствии со статьей 291 настоящего Кодекса, определяется как превышение поступлений над расходами по производному финансовому инструменту.
В целях налогового учета такой доход признается на день исполнения, досрочного или иного прекращения прав или обязательств налогоплательщика по производному финансовому инструменту, а также на день совершения сделки с производным финансовым инструментом, требования по которому компенсируют полностью или частично обязательства по ранее совершенной сделке с производным финансовым инструментом.
2. Поступлениями по производному финансовому инструменту являются платежи, подлежащие получению (полученные) по данному производному финансовому инструменту при промежуточных расчетах в течение срока сделки, а также на день исполнения или досрочного прекращения.
3. Расходами по производному финансовому инструменту являются платежи, подлежащие выплате (выплаченные) по данному производному финансовому инструменту при промежуточных расчетах в течение срока сделки, а также на день исполнения или досрочного прекращения.
Статья 291. Доход по производному финансовому инструменту с длительным сроком исполнения
1. Доход по свопу, а также иному производному финансовому инструменту, срок действия которого превышает двенадцать месяцев со дня его заключения и исполнение которого предусматривает осуществление платежей до окончания срока действия финансового инструмента, размер которых зависит от изменения цены, курса валюты, показателей процентных ставок, индексов и иного установленного таким производным финансовым инструментом показателя, определяется как превышение поступлений над расходами с учетом положений, установленных настоящей статьей.
В целях налогового учета доход по производному финансовому инструменту, указанному в настоящем пункте, признается в каждом налоговом периоде, в котором возникает превышение, указанное в настоящем пункте.
2. Поступлениями по производному финансовому инструменту, указанному в пункте 1 настоящей статьи, являются платежи, подлежащие получению (полученные) по данному производному финансовому инструменту в течение отчетного налогового периода.
3. Расходами по производному финансовому инструменту, указанному в пункте 1 настоящей статьи, являются подлежащие выплате (уплаченные) в течение отчетного налогового периода платежи по данному производному финансовому инструменту.
Статья 292. Особенности налогового учета по операциям хеджирования
1. Хеджированием являются операции с производными финансовыми инструментами, совершаемые с целью снижения возможных убытков в результате неблагоприятного изменения цены, валютного курса, процентной ставки или иного показателя объекта хеджирования и признанные инструментами хеджирования в бухгалтерском учете налогоплательщика в соответствии с международными стандартами финансовой отчетности и (или) требованиями законодательства Республики Казахстан о бухгалтерском учете и финансовой отчетности. Объектами хеджирования признаются активы и (или) обязательства, а также потоки денег, связанные с указанными активами и (или) обязательствами или с ожидаемыми сделками.
2. Для подтверждения обоснованности отнесения операций с производными финансовыми инструментами к операциям хеджирования налогоплательщик составляет расчет, подтверждающий, что совершение данных операций приводит (может привести) к снижению размера возможных убытков (недополучению прибыли) по сделкам с объектом хеджирования.
3. Доход или убыток по производному финансовому инструменту, по которому объектом хеджирования является конкретная сделка, учитывается в соответствии с нормами настоящего Кодекса, установленными для объекта хеджирования, на день признания в налоговом учете результата хеджируемой сделки.
4. Доход или убыток по производному финансовому инструменту, по которому объектом хеджирования не является конкретная сделка, соответственно включается в совокупный годовой доход или относится на вычеты в том налоговом периоде, в котором такой доход или убыток признан в соответствии со статьями 290 и 291 настоящего Кодекса.
Статья 293. Особенности налогового учета при исполнении путем поставки базового актива
1. Если производный финансовый инструмент применяется в целях приобретения или реализации базового актива, то расходы, подлежащие выплате (понесенные), и платежи, подлежащие получению (полученные) в результате приобретения или реализации указанного базового актива, не относятся к расходам и поступлениям по производным финансовым инструментам.
2. Поступления и расходы от операций, указанных в пункте 1 настоящей статьи, учитываются в целях налогового учета в соответствии с нормами настоящего Кодекса, установленными для базового актива.
Глава 28. ОСОБЕННОСТИ ОПРЕДЕЛЕНИЯ ДОХОДОВ И ВЫЧЕТОВ ПО ДОЛГОСРОЧНЫМ КОНТРАКТАМ
Статья 294. Общие положения
1. Долгосрочным контрактом является договор строительного подряда, срок действия которого составляет более 12 календарных месяцев.
Для целей настоящего параграфа датой окончания срока действия долгосрочного контракта является наиболее поздняя из следующих дат:
1) дата подписания акта выполненных работ за последний этап или весь объем работ по такому контракту;
2) дата подписания акта приемки объекта в эксплуатацию.
2. Налоговый учет ведется по каждому долгосрочному контракту отдельно.
3. Доход по долгосрочному контракту у налогоплательщика, являющегося подрядчиком по такому контракту, определяется по его выбору по фактическому методу или методу завершения по каждому долгосрочному контракту отдельно.
Выбранный метод определения доходов указывается в налоговом регистре, предназначенном для отражения применяемых методов по каждому долгосрочному контракту, и не может изменяться в течение срока действия долгосрочного контракта.
При отсутствии такого налогового регистра или информации в нем о выбранном методе таким методом признается фактический метод.
4. Сумма понесенных расходов по долгосрочному контракту подлежит отнесению на вычеты в соответствии с главой 26 с учетом особенностей, установленных главами 29, 30 и 31 настоящего раздела.
5. Сумма расходов по долгосрочному контракту, понесенных после даты завершения действия такого контракта, не учитывается для целей настоящего параграфа.
6. При изменении сумм доходов и расходов в течение срока действия долгосрочного контракта такие изменения учитываются для целей настоящего параграфа, начиная с того налогового периода, в котором произошли такие изменения.
Статья 295. Порядок определения дохода по долгосрочному контракту при применении фактического метода
1. По фактическому методу доходом по долгосрочному контракту за отчетный налоговый период признается доход, подлежащий получению (полученный) за отчетный налоговый период, но не менее суммы расходов, отнесенных на вычеты за такой период по долгосрочному контракту.
2. В случае, если в течение срока действия долгосрочного контракта доход по такому контракту, определенный в соответствии с пунктом 1 настоящей статьи, превышает общую сумму дохода по долгосрочному контракту, определяемого за весь период его действия, доходом по долгосрочному контракту признаются:
1) в налоговом периоде, в котором произошло такое превышение, - доход в размере положительной разницы между общей суммой дохода по долгосрочному контракту, определяемого за весь период его действия, и суммой дохода по такому контракту, включенного в совокупный годовой доход в предыдущих налоговых периодах действия долгосрочного контракта;
2) в последующие налоговые периоды действия долгосрочного контракта - сумма, равная нулю.
Статья 296. Порядок определения дохода по долгосрочному контракту при применении метода завершения
1. Доход по долгосрочному контракту в целях налогообложения при применении метода завершения за отчетный налоговый период определяется в следующем порядке:
произведение общей суммы дохода по долгосрочному контракту, подлежащей получению по данному контракту за весь период его действия, и доли исполнения такого контракта на конец текущего налогового периода
минус
доход по такому контракту в целях налогообложения за предыдущие налоговые периоды.
2. Если иное не установлено настоящей статьей, доля исполнения долгосрочного контракта исчисляется по следующей формуле:
А/(А+Б), где:
А - сумма расходов по долгосрочному контракту, признанных таковыми в соответствии с международными стандартами финансовой отчетности и (или) требованиями законодательства Республики Казахстан о бухгалтерском учете и финансовой отчетности, за предыдущие и отчетный налоговые периоды действия долгосрочного контракта;
Б - сумма расходов по долгосрочному контракту, которые должны быть произведены в последующие налоговые периоды действия долгосрочного контракта для завершения работ по такому контракту.
Сумма расходов, включаемых в показатель Б, определяется на основании видов и объемов работ, которые должны быть произведены в последующие налоговые периоды действия долгосрочного контракта в соответствии с проектно-сметной документацией (или иными документами, содержащими сведения о таких видах и объемах работ и согласованными с заказчиком).
3. В налоговом периоде, в котором заканчивается срок действия долгосрочного контракта, доля исполнения такого контракта равна единице.
Глава 29. ОСОБЕННОСТИ ОПРЕДЕЛЕНИЯ ДОХОДОВ И ВЫЧЕТОВ НЕДРОПОЛЬЗОВАТЕЛЯМИ
Параграф 1. Доходы
Статья 297. Доход от корректировки расходов на геологическое изучение и подготовительные работы к добыче полезных ископаемых, а также других расходов недропользователей
Если размер сумм, корректирующих в соответствии со статьей 310 настоящего Кодекса стоимостный баланс группы по расходам до начала добычи, превышает размер последнего на начало налогового периода с учетом произведенных расходов в налоговом периоде, величина превышения подлежит включению в совокупный годовой доход. Размер данной группы на конец налогового периода становится равным нулю.
Статья 298. Доход от превышения суммы отчислений в фонд ликвидации последствий разработки месторождений над суммой фактических расходов по ликвидации последствий разработки месторождений
Если фактические расходы недропользователя по ликвидации последствий разработки месторождений за весь период действия контракта на недропользование, произведенные за счет фонда ликвидации последствий разработки месторождений, сформированного за весь период действия контракта на недропользование, ниже произведенных отчислений в указанный фонд, то разница подлежит включению в совокупный годовой доход того налогового периода, в котором прекращает действие контракт на недропользование.
При этом сумма такой разницы, подлежащей включению в совокупный годовой доход, уменьшается на сумму корректировки совокупного годового дохода, произведенной недропользователем в течение периода действия контракта на недропользование в соответствии со статьей 301 настоящего Кодекса в связи с нецелевым использованием недропользователем средств ликвидационного фонда.
Статья 299. Особенности определения размера совокупного годового дохода и вычетов для целей корпоративного подоходного налога при передаче углеводородов в случае исполнения налогового обязательства в натуральной форме
В случае исполнения недропользователем налогового обязательства по уплате налогов в натуральной форме на дату передачи полезных ископаемых получателю от имени государства:
1) сумма исполненного налогового обязательства по уплате налогов, исполненного в натуральной форме, подлежит включению в совокупный годовой доход;
2) себестоимость полезных ископаемых, переданных в счет уплаты налогов в натуральной форме, относится на вычеты;
3) сумма исполненного налогового обязательства по уплате налогов в натуральной форме относится на вычеты в порядке, определенном статьей 272 настоящего Кодекса.
Параграф 2. Вычеты
Статья 300. Особенности вычета налога на добавленную стоимость
В случае если плательщиком корпоративного подоходного налога является недропользователь, осуществляющий деятельность по соглашению (контракту) о разделе продукции в составе простого товарищества (консорциума), и исполнение налоговых обязательств по составлению и представлению налоговых форм по налогу на добавленную стоимость возложено на оператора согласно пункту 3 статьи 507 настоящего Кодекса, то на вычеты относится налог на добавленную стоимость, предусмотренный пунктом 3 статьи 259 настоящего Кодекса, в размере, приходящемся на долю указанного недропользователя по данным декларации оператора по налогу на добавленную стоимость.
Положения настоящей статьи не применяются по налогу на добавленную стоимость по товарам, работам, услугам, стоимость которых подлежит отнесению на вычеты в соответствии со статьей 314 настоящего Кодекса.
Статья 301. Вычеты по расходам на ликвидацию последствий разработки месторождений и сумм отчислений в ликвидационные фонды
1. Недропользователь, осуществляющий деятельность на основании контракта на недропользование, заключенного в порядке, определенном законодательством Республики Казахстан, относит на вычет из совокупного годового дохода сумму отчислений в ликвидационный фонд. Указанный вычет производится в размере фактически произведенных недропользователем за налоговый период отчислений на специальный депозитный счет в любом банке второго уровня на территории Республики Казахстан.
Размер и порядок отчислений в ликвидационный фонд устанавливаются контрактом на недропользование или проектом разработки месторождения в соответствии с законодательством Республики Казахстан о недрах и недропользовании.
В случае установления уполномоченным органом в области углеводородов или в области твердых полезных ископаемых факта нецелевого использования недропользователем средств ликвидационного фонда сумма средств нецелевого использования подлежит включению в совокупный годовой доход недропользователя того налогового периода, в котором оно было допущено, за исключением выявленного факта нецелевого использования в налоговом периоде, превышающем срок исковой давности, по которому сумма средств нецелевого использования подлежит включению в совокупный годовой доход недропользователя налогового периода, по которому срок исковой давности истекает в последующем налоговом периоде за текущим налоговым периодом.
В случае получения недропользователем в соответствии с законодательством Республики Казахстан о недрах и недропользовании средств ликвидационного фонда от другого недропользователя при передаче контракта на недропользование такие средства у получившего их недропользователя:
1) не включаются в совокупный годовой доход при условии их размещения на специальном депозитном счете в любом банке второго уровня на территории Республики Казахстан для формирования ликвидационного фонда в году их получения или в течение тридцати календарных дней с момента их получения;
2) не подлежат отнесению на вычеты.
2. Расходы недропользователя, фактически понесенные в течение налогового периода на ликвидацию последствий разработки месторождений, относятся на вычеты в том налоговом периоде, в котором они были понесены, за исключением расходов, произведенных за счет средств ликвидационного фонда, размещенного на специальном депозитном счете.
Статья 302. Вычет расходов недропользователя в соответствии с законодательством Республики Казахстан о недрах и недропользовании
1. Недропользователь имеет право на вычет по контрактной деятельности расходов на финансирование (перечисление денег) научных исследований в соответствии с законодательством Республики Казахстан о недрах и недропользовании:
1) организаций, осуществляющих деятельность в сфере науки, аккредитованных уполномоченным органом в области науки, а также автономных организаций образования;
2) автономного кластерного фонда для финансирования проектов участников «Астана Хаб».
2. Вычет расходов, указанных в пункте 1 настоящей статьи, не должен превышать размер положительной разницы, определенной в следующем порядке:
сумма, равная 1 проценту от совокупного годового дохода по контрактной деятельности по итогам налогового периода, предшествующего отчетному налоговому периоду,
минус
расходы, отнесенные на вычеты в соответствии со статьей 269 настоящего Кодекса, в отчетном налоговом периоде.
Параграф 3. Вычет расходов на геологическое изучение, разведку и подготовительные работы к добыче природных ресурсов
Статья 303. Порядок применения положений настоящего параграфа
1. Если иное не предусмотрено пунктом 3 настоящей статьи, положения настоящего параграфа устанавливают отдельные вопросы порядка налогового учета расходов до начала добычи, указанных в подпункте 5) пункта 1 статьи 304 настоящего Кодекса, и определения недропользователем размера отнесения на вычеты таких расходов.
2. Положения настоящего параграфа распространяются на деятельность недропользователя, осуществляемую по следующим контрактам на недропользование на:
1) разведку;
2) государственное геологическое изучение недр;
3) геологическое изучение недр;
4) совмещенную разведку и добычу;
5) добычу, предусматривающую подготовительные работы к добыче;
6) строительство и (или) эксплуатацию подземных сооружений, связанных с разведкой и (или) добычей.
3. Положения настоящего параграфа не распространяются на деятельность недропользователя, осуществляемую по следующим контрактам на недропользование:
1) на разведку и (или) добычу общераспространенных полезных ископаемых, нерудных твердых полезных ископаемых, указанных в строке 13 таблицы подпункта 1) пункта 1 статьи 781 настоящего Кодекса, подземных вод, лечебных грязей, за исключением случаев, когда операции по указанным в настоящем подпункте контрактам являются частью деятельности по контрактам (лицензиям) на разведку и (или) добычу углеводородов или твердых полезных ископаемых;
2) на строительство и (или) эксплуатацию подземных сооружений, не связанных с разведкой и (или) добычей;
3) указанным в пункте 1 статьи 755 настоящего Кодекса.
Статья 304. Основные понятия, определяемые для использования в настоящем параграфе
1. В настоящем параграфе используются следующие основные понятия:
1) группа переносимых активов - группа амортизируемых активов, формируемая недропользователем в контракте с расходами до начала добычи для учета расходов (части расходов) до начала добычи в порядке и на условиях, которые установлены статьей 312 настоящего Кодекса;
2) утвержденные запасы - запасы, утверждение (принятие) которых произведено в соответствии с законодательством Республики Казахстан о недрах и недропользовании в следующем порядке:
по углеводородам - утверждение запасов уполномоченным органом по изучению недр положительным заключением государственной экспертизы недр в отношении отчета по подсчету геологических запасов, которым устанавливается объем утвержденных запасов (балансовых запасов). При этом не является утверждением запасов по углеводородам заключение государственной экспертизы недр в отношении отчета по оперативному подсчету геологических запасов углеводородов, которым устанавливается объем предварительно оцененных запасов;
по твердым полезным ископаемым:
утверждение запасов по классификации уполномоченного органа по изучению недр положительным заключением государственной экспертизы недр в отношении отчета по подсчету геологических запасов, которым устанавливается объем утвержденных запасов (балансовых запасов);
принятие уполномоченным органом по изучению недр отчета об оценке ресурсов и (или) запасов твердых полезных ископаемых, подготовленного компетентным лицом в соответствии с Казахстанским кодексом публичной отчетности о результатах геологоразведочных работ, минеральных ресурсах и минеральных запасах (далее - Кодекс KAZRC);
3) другой контракт на недропользование - контракт на добычу или на совмещенную разведку и добычу, отличный от:
контракта с расходами до начала добычи, из которого производится перенос стоимостного баланса группы по расходам до начала добычи;
продолжающего контракта на недропользование;
4) продолжающий контракт на недропользование - контракт на недропользование, заключенный по результатам деятельности на контрактной территории (участке недр) контракта с расходами до начала добычи.
К продолжающему контракту на недропользование относится контракт на:
добычу, в том числе заключенный в результате выделения участка недр и заключения отдельного контракта на добычу по такому участку;
разведку, заключенный в результате деятельности на контрактной территории (участке недр) контракта с расходами до начала добычи, в том числе в связи с преобразованием участка недр;
совмещенную разведку и добычу;
5) расходы до начала добычи - расходы недропользователя по контракту с расходами до начала добычи, произведенные до даты начала добычи после обнаружения, включая:
расходы на геологическое изучение, разведку (за исключением эксплуатационной разведки), в том числе оценку;
расходы на подготовительные работы к добыче полезных ископаемых;
расходы по обустройству месторождения;
общие административные расходы;
суммы выплаченного подписного бонуса;
суммы выплаченного бонуса коммерческого обнаружения;
расходы (затраты) по приобретению и (или) созданию основных средств и нематериальных активов, за исключением активов, указанных в подпунктах 2) - 6) пункта 2 статьи 275 настоящего Кодекса. К таким затратам (расходам) относятся расходы (затраты), подлежащие включению в первоначальную стоимость основных средств и нематериальных активов в соответствии с пунктом 3 статьи 277 настоящего Кодекса, а также последующие расходы по таким активам, произведенные в соответствии со статьей 273 настоящего Кодекса;
стоимость права (части права) недропользования и (или) группы по расходам до начала добычи, сформированной ранее другим недропользователем, а также основных средств и нематериальных активов, внесенных таким другим недропользователем до даты начала добычи после обнаружения в уставный капитал лица для дальнейшего осуществления деятельности по контракту на недропользование;
расходы до начала добычи другого недропользователя и (или) стоимость основных средств и нематериальных активов другого недропользователя по контракту с расходами до начала добычи, полученных в счет предоставления отступного, зачета встречного однородного требования и (или) иных оснований прекращения обязательства одного лица перед другим согласно гражданскому законодательству Республики Казахстан;
расходы до начала добычи, понесенные по контракту с расходами до начала добычи другим недропользователем и включенные в стоимость нематериальных активов, приобретенных у такого лица в связи с приобретением права недропользования или заключением контракта на недропользование (получением лицензии на добычу твердых полезных ископаемых);
иные расходы.
Для целей настоящего параграфа к расходам до начала добычи также относятся последующие расходы, понесенные после даты начала добычи после обнаружения по основным средствам и нематериальным активам, введенным в эксплуатацию недропользователем до даты начала добычи после обнаружения, подлежащие отнесению в бухгалтерском учете на увеличение балансовой стоимости таких активов, указанные в пункте 4 статьи 273 настоящего Кодекса;
6) группа по расходам до начала добычи - группа амортизируемых активов, состоящая из расходов, указанных в подпункте 5) настоящей статьи, формируемая недропользователем в порядке и на условиях, которые установлены статьей 305 настоящего Кодекса;
7) контракт с расходами до начала добычи - контракт на недропользование, на который распространяются положения настоящего параграфа и по которому недропользователь производит расходы до начала добычи, указанные в подпункте 5) настоящего пункта;
8) дата начала добычи после обнаружения - календарный день, в который в рамках деятельности по контракту на недропользование:
по углеводородам наступит первым следующее событие:
утверждены запасы уполномоченным органом по изучению недр и осуществляется добыча углеводородов; или
осуществлена добыча углеводородов после утверждения запасов углеводородов уполномоченным органом по изучению недр либо при наличии утвержденных запасов;
по твердым полезным ископаемым:
осуществлена добыча минерального сырья после завершения горно-подготовительных работ к добыче; или
направлено уведомление в уполномоченный орган с указанием месяца и года начала добычи.
Дата начала добычи после обнаружения по твердым полезным ископаемым, установленная настоящим подпунктом, определяется по выбору недропользователя;
9) стоимостный баланс группы - итоговые суммы по группе по расходам до начала добычи и по группе переносимых активов, определяемые на начало и конец налогового периода.
2. Понятия, определенные в подпунктах 2) и 5) пункта 1 настоящей статьи, используются в других статьях настоящего Кодекса в значениях, определяемых настоящей статьей.
Статья 305. Общие положения по вычетам расходов до начала добычи
1. Расходы до начала добычи, понесенные недропользователем по контракту с расходами до начала добычи, формируют отдельную группу по расходам до начала добычи.
2. Размер расходов до начала добычи при включении в группу по расходам до начала добычи не должен превышать нормы для отнесения таких расходов на вычеты, установленные статьями 258 - 272, 286 и 287 настоящего Кодекса.
3. Расходы, указанные в пункте 1 настоящей статьи, вычитаются из совокупного годового дохода по:
контракту с расходами до начала добычи, по которому осуществляется добыча после обнаружения, или
внеконтрактной деятельности
в порядке и на условиях, которые установлены настоящим параграфом, в виде амортизационных отчислений или в соответствии с пунктом 3 статьи 310 настоящего Кодекса.
4. Группа по расходам до начала добычи, образованная в соответствии с пунктом 1 настоящей статьи, может быть перенесена полностью или частично для целей налогового учета из контракта с расходами до начала добычи в:
продолжающий контракт на недропользование - в порядке, предусмотренном статьей 308 настоящего Кодекса; или
другой контракт на недропользование или внеконтрактную деятельность - в порядке, предусмотренном статьей 311 или 312 настоящего Кодекса.
5. С учетом особенностей, предусмотренных пунктом 4 статьи 756 настоящего Кодекса, размер расходов до начала добычи для включения в группу по расходам до начала добычи, в отношении контракта на разведку и добычу или добычу углеводородов по сложным проектам (за исключением газовых проектов на суше) определяется путем применения к таким расходам следующего условного коэффициента:
1,5 - по контракту на разведку и добычу или добычу углеводородов по сложным проектам на суше;
2,0 - по контракту на разведку и добычу или добычу углеводородов по сложным морским проектам.
6. Если иное не установлено статьей 309 настоящего Кодекса, недропользователь ведет налоговый учет расходов, возникающих после наступления даты начала добычи после обнаружения в рамках контракта с расходами до начала добычи, в порядке, установленном статьями 257 - 282, 286 - 288 настоящего Кодекса.
Статья 306. Порядок исчисления амортизационных отчислений
1. Амортизационные отчисления по группе по расходам до начала добычи определяются путем применения установленных недропользователем в налоговом регистре по учету расходов до начала добычи норм амортизации к стоимостному балансу группы по расходам до начала добычи на конец налогового периода.
Такие установленные недропользователем нормы амортизации не должны превышать следующие предельные нормы амортизации:
1) 37,5 процента - для определения суммы амортизационных отчислений для вычета из совокупного годового дохода по контракту на разведку и добычу или добычу углеводородов по сложным морским проектам на срок, предусмотренный пунктом 4 статьи 756 настоящего Кодекса;
2) 25 процентов - для определения суммы амортизационных отчислений для вычета из совокупного годового дохода по:
иным контрактам на недропользование, в том числе по контракту на разведку и добычу или добычу углеводородов по сложным морским проектам, после окончания срока, предусмотренного подпунктом 1) настоящего пункта;
внеконтрактной деятельности в случае переноса стоимостного баланса группы по расходам до начала добычи в соответствии с пунктом 1 статьи 312 настоящего Кодекса.
2. Исчисление амортизационных отчислений для целей определения вычета по расходам до начала добычи в соответствии с настоящей статьей начинается:
1) по контракту с расходами до начала добычи - начиная с налогового периода, в котором наступила дата начала добычи после обнаружения;
2) по продолжающему контракту на недропользование или по другому контракту на недропользование - начиная с налогового периода, в котором стоимостный баланс группы по расходам до начала добычи или стоимостный баланс группы переносимых активов был перенесен из контракта с расходами до начала добычи и:
увеличил группу по расходам до начала добычи; при отсутствии группы по расходам до начала добычи формирует такую группу;
3) по внеконтрактной деятельности - начиная с налогового периода, в котором стоимостный баланс группы по расходам до начала добычи был перенесен из контракта с расходами до начала добычи в налоговый учет по внеконтрактной деятельности и:
увеличил группу по расходам до начала добычи;
при отсутствии группы по расходам до начала добычи формирует такую группу.
Статья 307. Определение стоимостных балансов группы по расходам до начала добычи
1. Стоимостный баланс группы по расходам до начала добычи на начало налогового периода определяется недропользователем как:
стоимостный баланс группы по расходам до начала добычи на конец предыдущего налогового периода
минус
сумма амортизационных отчислений, исчисленных в предыдущем налоговом периоде.
2. Стоимостный баланс группы по расходам до начала добычи на конец налогового периода определяется недропользователем как:
стоимостный баланс группы по расходам до начала добычи на начало налогового периода
плюс
сумма расходов или затрат недропользователя, понесенных по контракту с расходами до начала добычи в течение налогового периода до даты начала добычи после обнаружения и подлежащих включению в группу по расходам до начала добычи,
плюс
сумма последующих расходов, понесенных после даты начала добычи после обнаружения по основным средствам и нематериальным активам, введенным в эксплуатацию недропользователем до даты начала добычи после обнаружения, подлежащих отнесению в бухгалтерском учете на увеличение балансовой стоимости таких активов, указанных в пункте 4 статьи 273 настоящего Кодекса,
плюс
сумма расходов недропользователя, перенесенная в группу по расходам до начала добычи из стоимостного баланса группы переносимых активов,
плюс
стоимостный баланс группы по расходам до начала добычи или его часть, перенесенный из контракта с расходами до начала добычи в соответствии со статьей 308 или 312 настоящего Кодекса,
плюс
размер стоимостных балансов групп фиксированных активов и убытков от предпринимательской деятельности, указанных в статье 309 настоящего Кодекса,
минус
корректировки в соответствии со статьей 310 настоящего Кодекса,
минус
сумма расходов, перенесенная недропользователем из стоимостного баланса группы по расходам до начала добычи в стоимостной баланс группы переносимых активов,
минус
стоимостный баланс группы по расходам до начала добычи, полностью или в части перенесенный недропользователем в другой контракт на недропользование в соответствии со статьей 312 настоящего Кодекса.
Статья 308. Перенос стоимостного баланса группы по расходам до начала добычи для определения вычета по расходам до начала добычи по продолжающему контракту на недропользование
1. В случае заключения продолжающего контракта на недропользование стоимостный баланс группы по расходам до начала добычи, образованный в соответствии с пунктом 1 статьи 305 настоящего Кодекса, переносится на продолжающий (продолжающие) контракт (контракты).
2. Перенос из контракта с расходами до начала добычи стоимостного баланса группы по расходам до начала добычи осуществляется по выбору недропользователя полностью или в части одновременно:
1) путем уменьшения стоимостного баланса группы по расходам до начала добычи по контракту с расходами до начала добычи; и
2) путем:
увеличения стоимостного баланса группы по расходам до начала добычи;
формирования такой группы при отсутствии стоимостного баланса группы по расходам до начала добычи в налоговом учете по продолжающему контракту на недропользование.
3. В случае заключения недропользователем нескольких продолжающих контрактов на недропользование величина переносимого стоимостного баланса группы по расходам до начала добычи распределяется и переносится в соответствующей части в налоговый учет по таким продолжающим контрактам на недропользование. Такое распределение между продолжающими контрактами на недропользование производится на основании метода ведения раздельного налогового учета, принятого в налоговой учетной политике для такого случая, или при отсутствии его в налоговой учетной политике - по удельному весу объемов утвержденных запасов по каждому продолжающему контракту на недропользование в общем объеме утвержденных запасов по всем продолжающим контрактам на недропользование, в налоговый учет которых производится перенос данных расходов.
4. Перенос стоимостного баланса группы по расходам до начала добычи полностью или в части из контракта с расходами до начала добычи на продолжающий контракт на недропользование осуществляется недропользователем в том налоговом периоде, в котором заключен продолжающий контракт на недропользование.
5. Размер переносимого стоимостного баланса группы по расходам до начала добычи определяется на дату переноса в порядке, установленном статьей 307 настоящего Кодекса.
6. Перенос стоимостного баланса группы по расходам до начала добычи для целей вычета по продолжающему контракту (продолжающим контрактам) на недропользование производится недропользователем на основании налогового регистра недропользователя.
7. В случае отсутствия у недропользователя на дату прекращения действия контракта с расходами до начала добычи продолжающего контракта на недропользование и (или) отсутствия обнаружения для использования недропользователем права заключения продолжающего контракта на недропользование, недропользователь в целях отнесения на вычеты производит перенос расходов в порядке, установленном статьей 312 настоящего Кодекса.
Статья 309. Порядок переноса и отнесения на вычеты в продолжающем контракте на недропользование образованных по контракту с расходами до начала добычи стоимостных балансов групп фиксированных активов, убытков от предпринимательской деятельности
При завершении деятельности по недропользованию в рамках контракта с расходами до начала добычи, по которому наступила дата начала добычи после обнаружения, образовавшиеся стоимостные балансы групп фиксированных активов и убытки от предпринимательской деятельности подлежат:
1) включению в стоимостный баланс группы по расходам до начала добычи;
2) переносу в продолжающий (продолжающие) контракт (контракты) на недропользование в порядке, установленном статьей 308 настоящего Кодекса;
3) отнесению на вычеты в таком продолжающем контракте на недропользование в порядке, установленном статьей 306 настоящего Кодекса.
Статья 310. Корректировки стоимостного баланса группы по расходам до начала добычи
1. Стоимостный баланс группы по расходам до начала добычи (кроме начисленного, но невыплаченного вознаграждения по инвестиционному финансированию в соответствии с законодательством Республики Казахстан о недрах и недропользовании) уменьшается на следующие суммы:
1) доходы, относящиеся к контракту с расходами до начала добычи, полученные недропользователем до даты начала добычи после обнаружения, включая доходы от реализации полезных ископаемых, а также доходы от выбытия активов, включенных в группу по расходам до начала добычи;
2) доходы, полученные от реализации права недропользования или его части по этому контракту с расходами до начала добычи;
3) стоимость активов, учтенных в группе по расходам до начала добычи, при их передаче в качестве вклада в уставный капитал иного юридического лица. При этом такая стоимость определяется на основе стоимости вклада, указанной в учредительных документах юридического лица;
4) стоимость безвозмездно переданных активов, учтенных в группе по расходам до начала добычи, указанную в акте приема-передачи названных активов иному лицу, в размере не менее чем балансовая стоимость таких активов по данным бухгалтерского учета недропользователя на дату передачи.
2. По контрактам на разведку и добычу или добычу углеводородов по сложным проектам (за исключением газовых проектов на суше) суммы расходов в виде стоимости активов, предусмотренные подпунктами 3) и 4) пункта 1 настоящей статьи, определяются с учетом ранее примененного условного коэффициента, установленного пунктом 5 статьи 305 настоящего Кодекса.
3. В случае завершения деятельности по контракту на недропользование недропользователь имеет право отнести на вычеты в налоговом учете по такому контракту на недропользование величину стоимостного баланса группы по расходам до начала добычи, сложившуюся на конец последнего налогового периода, в котором завершил действие контракт на недропользование, за исключением случая прекращения действия контракта на недропользование в связи с переоформлением права недропользования на лицензионный режим недропользования. Размер данной группы на конец налогового периода становится равным нулю.
Статья 311. Вычет группы по расходам до начала добычи при завершении действия контракта на недропользование
В случае завершения деятельности налогоплательщика по контракту на недропользование налогоплательщик имеет право отнести на вычеты в налоговом учете по такому контракту на недропользование сумму стоимостного баланса группы по расходам до начала добычи, сложившуюся на конец последнего налогового периода, в котором завершил действие контракт на недропользование.
Статья 312. Перенос стоимостного баланса группы по расходам до начала добычи для определения вычета по расходам до начала добычи при отсутствии продолжающего контракта на недропользование
1. В случае отсутствия у недропользователя на дату прекращения действия контракта с расходами до начала добычи заключенного продолжающего контракта на недропользование и (или) отсутствия обнаружения полезных ископаемых для использования недропользователем права заключения продолжающего контракта на недропользование недропользователь вправе перенести стоимостный баланс группы по расходам до начала добычи в налоговый учет по выбору недропользователя по деятельности, осуществляемой по другому контракту на недропользование, или по внеконтрактной деятельности.
2. Перенос стоимостного баланса группы по расходам до начала добычи из контракта с расходами до начала добычи в налоговый учет по другому контракту на недропользование или по внеконтрактной деятельности осуществляется одновременно:
1) в налоговом учете по контракту с расходами до начала добычи - путем уменьшения стоимостного баланса группы по расходам до начала добычи по такому контракту на начало налогового периода с учетом:
расходов до начала добычи;
расходов после прекращения действия такого контракта, являющихся исполнением обязательств по такому контракту; и
корректировок стоимостного баланса группы по расходам до начала добычи;
2) в налоговом учете по другому контракту на недропользование или по внеконтрактной деятельности - путем:
увеличения стоимостного баланса группы по расходам до начала добычи;
формирования такой группы при отсутствии стоимостного баланса группы по расходам до начала добычи.
3. В случае переноса в более чем один налоговый учет по другому контракту на недропользование и (или) по внеконтрактной деятельности передаваемый стоимостный баланс группы по расходам до начала добычи распределяется и переносится между такими налоговыми учетами на основании одного из методов распределения, установленного для распределения общих расходов пунктом 12 статьи 757 настоящего Кодекса и указанного в налоговой учетной политике недропользователя.
4. Перенос, установленный настоящей статьей, производится на основании налогового регистра недропользователя.
Статья 313. Особенности вычета расходов до начала добычи по другим контрактам на недропользование
1. По расходам, образовавшим группу по расходам до начала добычи, недропользователь вправе сформировать группу переносимых активов в целях переноса и отнесения на вычеты по другому (другим) контракту (контрактам) на недропользование этого недропользователя в любом налоговом периоде.
2. Формирование группы переносимых активов производится недропользователем путем уменьшения величины группы по расходам до начала добычи с одновременным увеличением на сумму уменьшения величины группы переносимых активов на основании налогового регистра недропользователя.
При наступлении случаев, установленных пунктом 8 настоящей статьи, не перенесенная в другой (другие) контракт (контракты) на недропользование часть стоимостного баланса группы переносимых активов подлежит включению в стоимостный баланс группы по расходам до начала добычи.
3. Перенос стоимостного баланса группы переносимых активов из контракта с расходами до начала добычи в другой контракт на недропользование осуществляется одновременно:
1) в налоговом учете по контракту с расходами до начала добычи - путем уменьшения стоимостного баланса группы переносимых активов по такому контракту;
2) в налоговом учете по другому контракту на недропользование - путем:
увеличения стоимостного баланса группы по расходам до начала добычи;
формирования такой группы при отсутствии стоимостного баланса группы по расходам до начала добычи.
4. Перенос, установленный настоящей статьей, производится на основании налогового регистра недропользователя.
Величина переносимого в другой (другие) контракт (контракты) на недропользование стоимостного баланса группы переносимых активов определяется на дату переноса по выбору налогоплательщика полностью или в части.
5. В случае наличия у недропользователя двух и более других контрактов на недропользование передаваемый стоимостный баланс группы переносимых активов распределяется и переносится в соответствующей части в налоговый учет по таким другим контрактам на недропользование. Распределение стоимостного баланса группы переносимых активов между другими контрактами на недропользование производится на основании метода ведения раздельного налогового учета, принятого в налоговой учетной политике для такого случая, или при отсутствии его в налоговой учетной политике - по удельному весу прямых доходов, приходящихся на каждый другой контракт на недропользование в общей сумме прямых доходов, полученных недропользователем по таким контрактам за налоговый период.
6. Отнесение на вычеты в другом (других) контракте (контрактах) на недропользование стоимостного баланса группы по расходам до начала добычи производится в порядке, установленном статьей 306 настоящего Кодекса.
7. Недропользователь обязан вести раздельный налоговый учет группы переносимых активов и группы по расходам до начала добычи.
8. Величина стоимостного баланса группы переносимых активов, которая ранее не была перенесена в другой (другие) контракт (контракты) на недропользование, подлежит включению в стоимостный баланс группы по расходам до начала добычи и вычету из совокупного годового дохода в порядке, установленном настоящим параграфом для группы по расходам до начала добычи:
в налоговом периоде, в котором начался период добычи по контракту с расходами до начала добычи или в котором заключен контракт на добычу на основании обнаружения и оценки месторождения по контракту с расходами до начала добычи;
на дату прекращения действия контракта с расходами до начала добычи.
Статья 314. Вычет расходов по непродуктивным скважинам
Если скважина ликвидирована в связи с тем, что в соответствии с законодательством Республики Казахстан о недрах и недропользовании при ее испытании не получен промышленный приток углеводородного сырья (далее в целях настоящего пункта - непродуктивная скважина), то фактически понесенные расходы на строительство и ликвидацию такой скважины относятся на вычеты в следующем порядке:
1) расходы на строительство и (или) ликвидацию непродуктивной скважины или часть таких расходов, понесенных до даты начала добычи после обнаружения, подлежат вычету в порядке, установленном статьей 305 настоящего Кодекса;
2) расходы на строительство и (или) ликвидацию непродуктивной скважины или часть таких расходов, понесенных после даты начала добычи после обнаружения, относятся на вычеты в том налоговом периоде, в котором такая скважина ликвидирована.
Статья 315. Особенности отнесения расходов к внеконтрактной деятельности
К расходам налогоплательщика для налогового учета по внеконтрактной деятельности относятся следующие виды расходов, связанные с контрактом на недропользование:
1) расходы налогоплательщика, связанные с заключением контракта на недропользование и приобретением права на недропользование, произведенные до даты заключения контракта, за исключением сумм выплаченного подписного бонуса;
2) расходы, перенесенные в налоговый учет по внеконтрактной деятельности из контракта с расходами до начала добычи в соответствии с пунктом 1 статьи 312 настоящего Кодекса.
Статья 316. Вычеты по расходам на подготовительные работы к добыче урана методом подземного скважинного выщелачивания после начала добычи после коммерческого обнаружения
1. Затраты (расходы) на приобретение и (или) создание амортизируемых активов, фактически понесенные недропользователем при подготовке эксплуатационных блоков (полигонов) к добыче урана методом подземного скважинного выщелачивания в период после момента начала добычи после коммерческого обнаружения, образуют отдельную группу амортизируемых активов в рамках соответствующего контракта на недропользование.
К амортизируемым активам, указанным в настоящем пункте, относятся:
1) откачные, закачные и наблюдательные технологические скважины, эксплуатационно-разведочные скважины, сооруженные на блоках (полигонах), в том числе затраты по геофизическим исследованиям по ним;
2) технологические трубопроводы, сооруженные от эксплуатационных блоков (полигонов) до пескоотстойника на промышленной площадке участка переработки продуктивных растворов, в том числе закачные и откачные коллекторы на блоках (полигонах);
3) технологические трубопроводы, сооруженные между блоками (участками полигона);
4) технологические трубопроводы, сооруженные на блоках (полигонах);
5) технологические узлы закисления, сооруженные на блоках (полигонах);
6) узлы распределения продуктивных растворов, сооруженные на блоках (полигонах);
7) узлы приемки технических растворов, сооруженные на блоках (полигонах);
8) узлы приема кислоты и склады жидких реагентов, а также кислотопроводы, сооруженные на блоках (полигонах);
9) технологические насосные станции с оборудованием и контрольно-измерительной аппаратурой, установленные на блоках (полигонах);
10) насосы для перекачки растворов с оборудованием и контрольно-измерительной аппаратурой, установленные на блоках (полигонах) на этапе горно-подготовительных работ;
11) погружные насосы со шкафами управления, установленные на сооруженных скважинах на этапе горно-подготовительных работ;
12) объекты энергетического снабжения, установленные или сооруженные на блоках (полигонах): трансформаторные подстанции, компрессорные станции, воздушные электролинии, кабельные линии;
13) аппаратура контроля и автоматизации процессов, устанавливаемая на блоках (полигонах);
14) воздухопроводы на блоках (полигонах);
15) подъездные технологические автодороги к блокам (полигонам) и внутри блоков;
16) пескоотстойники или емкости продуктивных растворов и выщелачивающих растворов на блоках (полигонах);
17) защита от выдувания песков на блоках (полигонах);
18) серная кислота на закисление.
В стоимость амортизируемых активов, указанных в настоящем пункте, включаются затраты (расходы) на приобретение и (или) создание активов, а также другие затраты (расходы), подлежащие включению в соответствии с международными стандартами финансовой отчетности и требованиями законодательства Республики Казахстан о бухгалтерском учете и финансовой отчетности в стоимость таких активов.
При этом в случаях, предусмотренных настоящим Кодексом, размер расходов, указанных в настоящем пункте, относимых в отдельную группу амортизируемых активов, не должен превышать установленные нормы для отнесения таких расходов на вычеты для целей корпоративного подоходного налога.
2. Затраты (расходы), указанные в пункте 1 настоящей статьи, вычитаются из совокупного годового дохода в виде амортизационных отчислений с момента начала добычи после коммерческого обнаружения полезных ископаемых.
При этом сумма амортизационных отчислений, исчисленная в соответствии с настоящей статьей, относится на вычет в пределах суммы амортизационных отчислений такой группы активов, исчисленных по данным бухгалтерского учета налогоплательщика.
Сумма амортизационных отчислений по группе амортизируемых активов в соответствии с настоящей статьей рассчитывается по следующей формуле:
где
S - сумма амортизационных отчислений;
С1 - стоимость группы амортизируемых активов на начало налогового периода;
С2 - стоимость амортизируемых активов, подготовленных в налоговом периоде к добыче;
С3 - стоимость отдельной группы амортизируемых активов, указанной в пункте 3 настоящей статьи, приобретенной у третьих лиц или полученной в качестве вклада в уставный капитал в связи с приобретением права недропользования;
V1 - физический объем готовых к добыче запасов урана на начало налогового периода;
V2 - физический объем запасов урана, подготовленных в налоговом периоде к добыче;
V3 - физический объем готовых к добыче запасов урана, приобретенных у третьих лиц или полученных в качестве вклада в уставный капитал в связи с приобретением права недропользования;
V4 - физический объем добытого урана с учетом нормируемых потерь в недрах за налоговый период.
Для налогового периода 2026 года стоимостью отдельной группы амортизируемых активов на начало налогового периода признается сумма накопленных затрат (расходов) по подготовке к добыче урана, определяемая в соответствии с пунктом 1 настоящей статьи по состоянию на 1 января 2026 года.
Для налогового периода 2026 года физическим объемом готовых к добыче запасов урана на начало налогового периода признается физический объем готовых к добыче запасов урана по состоянию на 1 января 2026 года.
Показатель С2 для 2026 года определяется как стоимость активов, подготовленных к добыче и на которых начата добыча в отчетном налоговом периоде за минусом стоимости активов, которая была включена в состав отдельной группы амортизируемых активов в периоды, предшествующие 1 января 2026 года, и на которых на 31 декабря 2026 года не начата добыча.
Показатель V2 для 2026 года определяется как физический объем готовых к добыче запасов урана на подготовленных участках (блоках) полигона, на которых начата добыча в налоговом периоде, за минусом физического объема готовых к добыче в предыдущих периодах запасов на участках (блоках) полигона, на которых на 31 декабря 2026 года не начата добыча.
В последующие налоговые периоды после 2026 года стоимостью отдельной группы амортизируемых активов на начало налогового периода является стоимость указанной группы активов на конец предыдущего налогового периода, определяемая в следующем порядке:
стоимость отдельной группы амортизируемых активов на начало налогового периода
плюс
стоимость амортизируемых активов, подготовленных в налоговом периоде к добыче,
плюс
затраты по приобретению у третьих лиц группы амортизируемых активов, указанной в пункте 3 настоящей статьи,
плюс
стоимость группы амортизируемых активов, полученной в качестве вклада в уставный капитал, указанной в пункте 3 настоящей статьи,
минус
сумма амортизационных отчислений за налоговый период.
Для налогового периода 2026 года физическим объемом готовых к добыче запасов урана на начало налогового периода признается физический объем готовых к добыче запасов урана по состоянию на 1 января 2026 года.
При этом показатель V2 для 2026 года определяется как физический объем готовых к добыче запасов урана на новых подготовленных блоках, на которых начата добыча в налоговом периоде плюс физический объем готовых к добыче запасов на блоках (участках полигона), стоимость которых была включена в состав группы в периоды, предшествующие 1 января 2026 года.
В последующие налоговые периоды после 2026 года объемом готовых к добыче запасов урана на начало налогового периода является физический объем готовых к добыче запасов на конец предыдущего налогового периода, определяемый в следующем порядке:
физический объем готовых к добыче запасов урана на начало налогового периода
плюс
физический объем запасов урана, подготовленных в налоговом периоде к добыче,
плюс
физический объем готовых к добыче запасов урана, приобретенных у третьих лиц или полученных в качестве вклада в уставный капитал в связи с приобретением права недропользования,
минус
объем добытого урана с учетом нормируемых потерь в недрах в течение налогового периода.
В случае уменьшения количества готовых к добыче запасов урана на отдельном участке (блоке) полигона объем списанных готовых запасов данного отдельного участка (блока) уменьшает показатель V2 того налогового периода, в котором налогоплательщиком утвержден перерасчет запасов.
В случае завершения деятельности по недропользованию в рамках отдельного контракта на добычу или совмещенную разведку и добычу при условии, что недропользователь завершил деятельность по недропользованию после начала добычи после коммерческого обнаружения, стоимость отдельной группы амортизируемых активов на конец налогового периода подлежит вычету в последнем налоговом периоде, в котором осуществлена добыча.
3. Порядок, установленный настоящей статьей, применяется также к отдельной группе амортизируемых активов, указанной в пункте 1 настоящей статьи, приобретенной у третьих лиц и (или) полученной в качестве вклада в уставный капитал в связи с приобретением права недропользования.
При поступлении в связи с приобретением у третьих лиц отдельной группы амортизируемых активов, указанной в пункте 1 настоящей статьи, стоимостью такой группы активов является стоимость ее приобретения, определяемая в соответствии с международными стандартами финансовой отчетности и требованиями законодательства Республики Казахстан о бухгалтерском учете и финансовой отчетности. При получении в качестве вклада в уставный капитал отдельной группы амортизируемых активов, указанной в пункте 1 настоящей статьи, стоимостью такой группы активов является стоимость вклада, указанная в учредительных документах юридического лица.
Статья 317. Вычет по расходам недропользователя на обучение казахстанских кадров и развитие социальной сферы регионов
1. Расходы, фактически понесенные недропользователем на обучение казахстанских кадров, не являющихся работниками недропользователя, а также на развитие социальной сферы регионов, относятся на вычеты в пределах сумм, установленных контрактом на недропользование.
Расходы недропользователя, направленные на обучение, повышение квалификации или переподготовку работника по специальности, связанной с производственной деятельностью недропользователя, относятся на вычеты в соответствии со статьей 270 настоящего Кодекса.
2. Указанные в пункте 1 настоящей статьи расходы, фактически понесенные недропользователем до начала добычи после коммерческого обнаружения, относятся на вычеты в порядке, определенном статьей 305 настоящего Кодекса, в пределах сумм, установленных контрактом на недропользование.
3. Для целей настоящей статьи расходами, фактически понесенными недропользователем, признаются:
1) на обучение казахстанских кадров:
деньги, направленные на обучение, повышение квалификации и переподготовку граждан Республики Казахстан;
деньги, перечисленные в государственный бюджет на обучение, повышение квалификации и переподготовку граждан Республики Казахстан;
фактические расходы, понесенные налогоплательщиком в целях выполнения обязанности недропользователя в соответствии с законодательством Республики Казахстан о недрах и недропользовании в части финансирования подготовки и переподготовки граждан Республики Казахстан в виде приобретения по представленному местными исполнительными органами областей, городов республиканского значения, столицы и согласованному с компетентным органом перечню товаров, работ и услуг, необходимых для улучшения материально-технической базы организаций образования, осуществляющих на территории соответствующей области, города республиканского значения, столицы подготовку кадров по специальностям, непосредственно связанным со сферой недропользования;
2) на развитие социальной сферы региона - расходы на развитие и поддержание объектов социальной инфраструктуры региона, а также деньги, перечисленные на эти цели в государственный бюджет.
Статья 318. Затраты недропользователя, не подлежащие вычету
Не относятся на вычеты недропользователя:
1) сумма уплаченного дополнительного платежа недропользователя, осуществляющего деятельность по контракту о разделе продукции;
2) расходы, связанные с реализацией полезных ископаемых, переданных недропользователем в счет исполнения налогового обязательства в натуральной форме;
3) стоимость объемов полезных ископаемых, передаваемых недропользователем в счет исполнения налогового обязательства в натуральной форме, - у получателя от имени государства;
4) стоимость объемов полезных ископаемых, передаваемых недропользователем в счет исполнения налогового обязательства в натуральной форме.
Глава 30. ОСОБЕННОСТИ ОПРЕДЕЛЕНИЯ ДОХОДОВ И ВЫЧЕТОВ ЛИЦАМИ, ОСУЩЕСТВЛЯЮЩИМИ ФИНАНСОВУЮ ДЕЯТЕЛЬНОСТЬ
Параграф 1. Доходы лиц, осуществляющих финансовую деятельность
Статья 319. Доходы налогоплательщика, осуществляющего страховую деятельность по договорам страхования, перестрахования
1. Доходы по договорам страхования, перестрахования признаются налогоплательщиком, который в соответствии с законодательством Республики Казахстан является страховой, перестраховочной организацией или Экспортно-кредитным агентством Казахстана, в виде:
1) страховой выручки (дохода от страхования);
2) финансовых доходов по страхованию (перестрахованию);
3) корректировки расходов по компоненту убытка;
4) компонента возмещения убытка по перестрахованию;
5) дохода по формированию актива перестрахования по рисковой поправке на нефинансовый риск по возникшим убыткам;
6) дохода по формированию актива перестрахования по возникшим убыткам;
7) дохода от уменьшения рисковой поправки на нефинансовый риск по обязательству по возникшим убыткам;
8) дохода, связанного с возмещением регрессных требований и убытков (суброгация);
9) доходов, связанных с получением вознаграждения по займам страхователей;
10) прочих доходов по договорам страхования, перестрахования, за исключением доходов, указанных в статье 245 настоящего Кодекса.
Доходом в виде страховой выручки (доход от страхования) признаются:
1) страховая выручка (доход от страхования), признанная в соответствии с международными стандартами финансовой отчетности и (или) требованиями законодательства Республики Казахстан о бухгалтерском учете и финансовой отчетности, с использованием подхода распределения премий;
2) страховая выручка (доход от страхования), признанная в соответствии с международными стандартами финансовой отчетности и (или) требованиями законодательства Республики Казахстан о бухгалтерском учете и финансовой отчетности, с использованием общей модели оценки;
3) доход от амортизации маржи по договорам страхования (перестрахования);
4) доход от уменьшения рисковой поправки на нефинансовый риск по обязательству по оставшемуся покрытию.
Доходы, предусмотренные настоящим пунктом, определяются в соответствии с международными стандартами финансовой отчетности и (или) требованиями законодательства Республики Казахстан о бухгалтерском учете и финансовой отчетности.
2. Положения настоящей статьи не распространяются на договоры страхования, перестрахования, по которым доход в виде страховых премий в соответствии с международными стандартами финансовой отчетности и (или) требованиями законодательства Республики Казахстан о бухгалтерском учете и финансовой отчетности признан в полном размере до 1 января 2012 года.
3. Доходом в виде возмещения расходов по страховым выплатам признается возмещение расходов налогоплательщику по страховым выплатам на основании права обратного требования (регресса) к лицу, причинившему вред, и (или) перестраховочной организации в соответствии с договором перестрахования.
При этом по вступившим в силу до 1 января 2012 года договору накопительного страхования, перестрахования, договору ненакопительного страхования, перестрахования жизни, по которым доходы в виде страховых взносов признаются в соответствии с международными стандартами финансовой отчетности и (или) требованиями законодательства Республики Казахстан о бухгалтерском учете и финансовой отчетности, в том числе после 31 декабря 2011 года, доход налогоплательщика в виде возмещения расходов по страховым выплатам определяется по следующей формуле:
Д х (А/Б), где:
Д - подлежащий получению (полученный) в отчетном налоговом периоде доход в виде возмещения расходов по страховым выплатам;
А - страховые взносы, подлежащие получению (полученные) после 31 декабря 2011 года по день признания в отчетном налоговом периоде дохода в виде возмещения расходов по страховым выплатам;
Б - страховые взносы, подлежащие получению (полученные) со дня вступления договора в силу по день признания в отчетном налоговом периоде дохода в виде возмещения расходов по страховым выплатам.
Статья 320. Доход от снижения размеров созданных провизий (резервов)
1. Доходами от снижения размеров провизий (резервов), созданных налогоплательщиком, имеющим право на вычет суммы расходов по созданию провизий (резервов) в соответствии со статьей 323 настоящего Кодекса, если иное не предусмотрено настоящей статьей, признаются:
1) суммы провизий (резервов), отнесенные на вычеты в отчетном и (или) предыдущих налоговых периодах, в размере, пропорциональном сумме исполнения, - при исполнении должником требования;
2) суммы провизий (резервов), отнесенные на вычеты в отчетном и (или) предыдущих налоговых периодах, при уменьшении размера требований к должнику на основании договора об отступном, договора новации, переуступки права требования путем заключения договора цессии и (или) на иных основаниях, предусмотренных законодательством Республики Казахстан, в размере, пропорциональном сумме уменьшения размера требований;
3) суммы уменьшения, отнесенные в отчетном и (или) предыдущих налоговых периодах на вычеты провизий (резервов) в результате изменения оценки ожидаемых кредитных убытков.
2. Не признаются доходом от снижения размеров провизий (резервов), созданных налогоплательщиком, имеющим право на вычет суммы расходов по созданию провизий (резервов) в соответствии со статьей 323 настоящего Кодекса, суммы провизий (резервов), отнесенные на вычеты в отчетном и (или) предыдущих налоговых периодах, при уменьшении размера требований к должнику в следующих случаях:
1) исключения из Национального реестра бизнес-идентификационных номеров в связи с ликвидацией юридического лица - должника по вступившему в законную силу судебному акту по основаниям, установленным законами Республики Казахстан;
2) признания физического лица - должника на основании вступившего в законную силу решения суда безвестно отсутствующим, недееспособным, ограниченно дееспособным или объявления его на основании вступившего в законную силу решения суда умершим;
3) установления физическому лицу - должнику инвалидности первой, второй групп, а также в случае смерти физического лица - должника;
4) вступления в законную силу постановления судебного исполнителя о возврате исполнительного документа налогоплательщику, имеющему право на вычет суммы расходов по созданию провизии (резервов) в соответствии со статьей 323 настоящего Кодекса, в случае, когда у должника и третьих лиц, несущих совместно с должником солидарную или субсидиарную ответственность перед налогоплательщиком, имеющим право на вычет суммы расходов по созданию провизии (резервов) в соответствии со статьей 323 настоящего Кодекса, отсутствуют имущество, в том числе деньги, ценные бумаги, или доходы, на которые может быть обращено взыскание, и принятые судебным исполнителем предусмотренные законодательством Республики Казахстан об исполнительном производстве и статусе судебных исполнителей меры по выявлению его имущества или доходов оказались безрезультатными;
5) снятия физического лица с регистрационного учета в качестве индивидуального предпринимателя в связи с признанием индивидуального предпринимателя - должника банкротом в соответствии с законодательством Республики Казахстан о реабилитации и банкротстве;
6) уступки банком второго уровня, ипотечной организацией, организацией, осуществляющей микрофинансовую деятельность (за исключением ломбарда), прав требования по кредиту (займу, ипотечному займу, ипотечному жилищному займу, микрокредиту) юридическим лицам, указанным в законах Республики Казахстан «О банках и банковской деятельности в Республике Казахстан», «Об ипотеке недвижимого имущества» и «О микрофинансовой деятельности», в части отрицательной разницы между стоимостью права требования по кредиту (займу, ипотечному займу, ипотечному жилищному займу, микрокредиту), по которой банком второго уровня, ипотечной организацией, организацией, осуществляющей микрофинансовую деятельность (за исключением ломбарда), произведена уступка, и стоимостью права требования по кредиту (займу, ипотечному займу, ипотечному жилищному займу, микрокредиту), подлежащей получению банком второго уровня, ипотечной организацией, организацией, осуществляющей микрофинансовую деятельность (за исключением ломбарда), от должника на дату уступки права требования по кредиту (займу, ипотечному займу, ипотечному жилищному займу, микрокредиту) согласно первичным документам банка второго уровня, ипотечной организации, организации, осуществляющей микрофинансовую деятельность (за исключением ломбарда);
7) уменьшения в бухгалтерском учете размера требования к должнику в виде неоплаченного просроченного кредита (займа, ипотечного займа, ипотечного жилищного займа) и вознаграждения по нему, дебиторской задолженности по документарным расчетам и гарантиям в соответствии с международными стандартами финансовой отчетности и (или) требованиями законодательства Республики Казахстан о бухгалтерском учете и финансовой отчетности налогоплательщиком, имеющим право на вычет суммы расходов по созданию провизий (резервов) в соответствии с пунктами 1 и 4 статьи 323 настоящего Кодекса, в случае отсутствия в отчетном налоговом периоде полного или частичного прекращения права такого требования налогоплательщика к должнику в соответствии с законодательством Республики Казахстан;
8) уменьшения размера требования к должнику в связи с прощением налогоплательщиком, имеющим право на вычет суммы расходов по созданию провизий (резервов) в соответствии с пунктами 1 и 3 статьи 323 настоящего Кодекса, безнадежной задолженности по кредиту (займу, ипотечному займу, ипотечному жилищному займу) и вознаграждения по нему в пределах максимального размера соотношения общей суммы прощенных за налоговый период безнадежной задолженности по кредитам (займам, ипотечному займу, ипотечному жилищному займу) и вознаграждения по ним к сумме основного долга по кредитам (займам, ипотечным займам, ипотечным жилищным займам) и вознаграждениям по ним на начало налогового периода. При этом максимальный размер такого соотношения равен коэффициенту 0,1;
9) уменьшения размера требования к должнику по ипотечному жилищному займу (ипотечному займу), который подлежит рефинансированию в рамках программы рефинансирования ипотечных жилищных займов (ипотечных займов), утвержденной Национальным Банком, в связи с прощением налогоплательщиком, имеющим право на вычет суммы расходов по созданию провизий (резервов) в соответствии с пунктом 3 статьи 323 настоящего Кодекса, безнадежной задолженности по кредиту (займу) и вознаграждения по нему в пределах максимального размера соотношения общей суммы прощенных за налоговый период безнадежной задолженности по кредитам (займам) и вознаграждения по ним к сумме основного долга по кредитам (займам) и вознаграждениям по ним на начало налогового периода. При этом максимальный размер такого соотношения равен коэффициенту 0,1;
10) уменьшения размера требования к должнику в связи с прощением налогоплательщиком, имеющим право на вычет суммы расходов по созданию провизий (резервов) в соответствии с пунктом 2 статьи 323 настоящего Кодекса, безнадежной задолженности по микрокредиту и вознаграждения по нему в пределах максимального размера соотношения общей суммы прощенных за налоговый период безнадежной задолженности по микрокредитам и вознаграждения по ним к сумме основного долга по микрокредитам и вознаграждениям по ним на начало налогового периода. При этом максимальный размер такого соотношения равен коэффициенту 0,2.
3. Юридическое лицо, ранее являвшееся банком, при определении дохода от снижения размеров созданных провизий (резервов):
1) применяет положения пунктов 1 и 2 настоящей статьи;
2) если иное не предусмотрено пунктом 2 настоящей статьи, не признает доходы от снижения размеров провизий (резервов) в соответствии с пунктом 4 настоящей статьи в случаях и на условиях, определенных данным пунктом;
3) за налоговый период, приходящийся на 2029 год, признает доход от снижения размеров созданных провизий (резервов) и включает его в совокупный годовой доход в соответствии с пунктом 5 настоящей статьи.
4. Юридическое лицо, ранее являвшееся банком, не признает доходом от снижения размеров провизий (резервов) суммы провизий (резервов), отнесенные на вычеты в отчетном и (или) предыдущих налоговых периодах, в случае прощения долга по кредиту (займу), состоящего из:
задолженности по основному долгу;
задолженности по вознаграждению, начисленному после 31 декабря 2012 года;
задолженности, связанной с кредитом (займом).
Юридическое лицо, ранее являвшееся банком, не признает доходом от снижения размеров провизий (резервов) суммы в случае прощения долга по кредиту (займу) и (или) задолженности, связанной с кредитом (займом) при одновременном выполнении следующих условий:
1) кредит (заем) выдан до 1 октября 2009 года;
2) должник по кредиту (займу) и (или) задолженности, связанной с кредитом (займом), указан в перечне (перечнях) должников, долг по которым подлежит прощению, утвержденном (утвержденных) до 1 июля 2019 года органом управления банка или юридического лица, ранее являвшегося таким банком, и представленном (представленных) в уполномоченный орган не позднее 1 августа 2019 года;
3) прощение долга по кредиту (займу) и (или) задолженности, связанной с кредитом (займом), производится в пределах суммы, указанной в перечне (перечнях) должников, долг по которым подлежит прощению, утвержденном (утвержденных) до 1 июля 2019 года органом управления банка или юридического лица, ранее являвшегося таким банком, и представленном (представленных) в уполномоченный орган не позднее 1 августа 2019 года;
4) имеется один и (или) более документов по кредиту (займу):
выданному нерезиденту:
заявление в правоохранительный орган иностранного государства о возбуждении уголовного дела в отношении должника - физического лица и (или) должностного лица или лица, имевшего возможность иным образом прямо или косвенно определять решения, принятые должником - юридическим лицом;
иск в суд Республики Казахстан или иностранного государства о взыскании долга, об обращении взыскания на залог и (или) восстановлении утраченных прав на залог;
вступившее в законную силу постановление судебного исполнителя или иной документ иностранного государства о возврате исполнительного документа банку, в случае когда у должника и третьих лиц, несущих совместно с должником солидарную или субсидиарную ответственность перед указанным банком, отсутствуют имущество, в том числе деньги, ценные бумаги, или доходы, на которые может быть обращено взыскание, и принятые меры по выявлению его имущества или доходов оказались безрезультатными;
вступившее в законную силу решение суда иностранного государства об отказе во взыскании долга, восстановлении утраченных прав на залог, в обращении взыскания на имущество, в том числе деньги, ценные бумаги, или доходы должника;
вступившее в законную силу решение суда иностранного государства о признании должника банкротом и (или) определение о завершении конкурсного производства;
документ компетентного органа иностранного государства об исключении должника или залогодателя из реестра юридических лиц в связи с ликвидацией;
выданному резиденту:
заявление в правоохранительный орган Республики Казахстан о возбуждении уголовного дела в отношении должника - физического лица и (или) должностного лица или лица, имевшего возможность иным образом прямо или косвенно определять решения, принятые должником - юридическим лицом;
документ, подтверждающий проведение мер правоохранительными органами Республики Казахстан по заявлению банка или возбуждение уголовного дела.
Наличие документов, предусмотренных настоящим подпунктом, не требуется по кредитам (займам), выданным нерезидентам:
при прощении суммы непогашенного долга по кредиту после продажи заложенного имущества, которое полностью обеспечивало основной долг на дату заключения ипотечного договора, с торгов во внесудебном порядке по цене ниже суммы основного долга;
при уступке банком права требования с дисконтом по кредиту (займу) третьему лицу, являющемуся на дату уступки права требования нерезидентом, в случае, если стоимость права требования по кредиту (займу), по которой произведена уступка, равна рыночной стоимости права требования банка, определенной в отчете об оценке, проведенной в соответствии с законодательством Республики Казахстан об оценочной деятельности или иностранного государства по договору между оценщиком и таким третьим лицом или банком либо лицом, представляющим интересы банка или назначенным судом иностранного государства для управления имуществом в интересах такого банка.
Для целей настоящего подпункта дисконтом признается отрицательная разница между стоимостью права требования по кредиту (займу), по которой банком произведена уступка, и стоимостью права требования по кредиту;
в случае документального подтверждения органом управления банка невозможности обращения в правоохранительный орган или суд иностранного государства в связи с отсутствием:
соглашения о правовой помощи между Республикой Казахстан и таким иностранным государством по уголовным и (или) гражданским делам;
оригинала договора, подтверждающего выдачу кредита (займа);
при прощении части долга должнику, являющемуся на дату прощения долга нерезидентом, которая определяется как разница между суммой долга по кредиту (займу) и рыночной стоимостью права требования банка, указанного в части второй настоящего пункта, определенной в отчете об оценке, проведенной в соответствии с законодательством Республики Казахстан об оценочной деятельности или иностранного государства по договору между оценщиком и должником или таким банком, в случаях, если:
имеется подписанное с должником изменение к договору, по которому был выдан кредит (заем), предусматривающее прощение части долга при условии погашения оставшейся части долга (далее - остаток долга);
банком, указанным в части второй настоящего пункта:
в соответствии с пунктом 1 настоящей статьи признан доход от снижения размеров созданных провизий (резервов) в размере остатка долга;
не произведена корректировка дохода, предусмотренная статьей 256 настоящего Кодекса;
сумма расходов по провизиям (резервам) против суммы остатка долга, созданным после прощения части долга, не отнесена на вычеты;
5) по кредиту (займу) имеется информация в кредитном бюро о сумме долга по такому кредиту (займу), предоставленная банком в соответствии с законодательством Республики Казахстан о кредитных бюро и формировании кредитных историй;
6) по кредиту (займу) имеется первичный бухгалтерский документ, на основании которого по такому кредиту (займу) созданы провизии (резервы), отнесенные на вычеты в соответствии с пунктом 1 статьи 323 настоящего Кодекса;
7) по кредиту (займу) имеется информация в кредитном регистре, предоставленная банком в Национальный Банк в порядке, определенном законодательством Республики Казахстан.
При этом в перечне должников по кредитам (займам), долг по которым подлежит прощению, по каждому кредиту (займу) указываются:
1) номер кредитного досье;
2) дата выдачи кредита (займа);
3) фамилия, имя, отчество (если оно указано в документе, удостоверяющем личность) и (или) наименование заемщика (созаемщика);
4) предельная сумма долга, подлежащая прощению, в разрезе вознаграждения, начисленного после 31 декабря 2012 года, и основного долга по кредиту (займу).
Положения настоящего пункта не распространяются на кредиты (займы), выданные работнику банка, супругу (супруге) и близким родственникам работника банка.
5. Юридическое лицо, ранее являвшееся банком, признает доход от снижения размеров провизий (резервов), отраженных в бухгалтерском учете по состоянию на 31 декабря 2029 года в соответствии с международными стандартами финансовой отчетности, отнесенных на вычеты в отчетном и (или) предыдущих налоговых периодах, и включает такой доход в совокупный годовой доход за налоговый период, приходящийся на 2029 год.
Статья 321. Доход от уступки права требования лицами, осуществляющими финансовую деятельность
1. Налогоплательщик, приобретающий право требования по кредитам (займам, микрокредитам) и указанный в законах Республики Казахстан «О банках и банковской деятельности в Республике Казахстан» и «О микрофинансовой деятельности», определяет доход от уступки права требования в виде положительной разницы между суммой, фактически уплаченной должником, и стоимостью приобретения права требования.
Положения настоящего пункта также распространяются на налогоплательщиков, приобретающих право требования у организации, специализирующейся на улучшении качества кредитных портфелей банков второго уровня, единственным акционером которой является Правительство Республики Казахстан.
2. Доход от уступки права требования признается в том налоговом периоде, в котором возникает (увеличивается) положительная разница.
При этом не учитывается положительная разница, ранее признанная в предыдущих налоговых периодах.
3. Налогоплательщик, указанный в пункте 1 настоящей статьи, вправе определять доход от уступки права требования в соответствии со статьей 243 настоящего Кодекса.
Параграф 2. Вычеты лиц, осуществляющих финансовую деятельность
Статья 322. Вычеты по договорам страхования (перестрахования) налогоплательщика, осуществляющего страховую деятельность
1. Налогоплательщик, который в соответствии с законодательством Республики Казахстан является страховой, перестраховочной организацией или Экспортно-кредитным агентством Казахстана, вправе отнести на вычеты следующие расходы:
1) страховые выплаты по договорам страхования, перестрахования;
2) расходы, связанные со страховой (перестраховочной) деятельностью по обязательствам по возникшим страховым убыткам;
3) в виде компонента убытка;
4) финансовые расходы по страхованию (перестрахованию);
5) по амортизации наилучшей оценки ожидаемых денежных потоков по активу перестрахования;
6) по уменьшению рисковой поправки на нефинансовый риск по активу перестрахования;
7) по формированию рисковой поправки на нефинансовый риск по обязательству по возникшим убыткам;
8) аквизиционные расходы;
9) расходы в виде амортизации маржи по удерживаемым договорам перестрахования;
10) расходы по возмещению перестраховщику регрессных требований и убытков (суброгация);
11) прочие расходы налогоплательщика, связанные с деятельностью, направленной на получение дохода;
12) расходы на урегулирование убытков;
13) неаквизиционные расходы, связанные со страховой (перестраховочной) деятельностью (относимые расходы).
2. Расходы, предусмотренные настоящей статьей, определяются в соответствии с международными стандартами финансовой отчетности и (или) требованиями законодательства Республики Казахстан о бухгалтерском учете и финансовой отчетности.
Статья 323. Вычет по отчислениям в резервные фонды
1. Банки, за исключением банка, являющегося национальным институтом развития, контрольный пакет акций которого принадлежит национальному управляющему холдингу, имеют право на вычет суммы расходов по провизиям (резервам), созданным в соответствии с международными стандартами финансовой отчетности и требованиями законодательства Республики Казахстан о бухгалтерском учете и финансовой отчетности и в порядке, определенном уполномоченным органом по регулированию, контролю и надзору финансового рынка и финансовых организаций по согласованию с уполномоченным органом.
Стоимость залога и другого обеспечения, а также сумма гарантии, предоставленной специальным фондом по обязательствам субъектов частного предпринимательства, учитываются при определении суммы провизий (резервов) в случаях и порядке, которые определены правилами создания провизий (резервов).
Положения настоящего пункта применяются по провизиям (резервам) против следующих активов, условных обязательств:
1) депозитов, включая остатки на корреспондентских счетах, размещенных в других банках, а также вознаграждений по таким депозитам, начисленных после 31 декабря 2012 года;
2) кредитов (за исключением финансового лизинга), предоставленных другим банкам и клиентам, а также вознаграждений по таким кредитам, начисленных после 31 декабря 2012 года;
3) дебиторской задолженности по документарным расчетам, гарантиям и факторинговым операциям;
4) условных обязательств по непокрытым аккредитивам, выпущенным или подтвержденным гарантиям.
Положения настоящего пункта не применяются по провизиям (резервам) против активов и условных обязательств, предоставленных в пользу взаимосвязанных сторон либо третьим лицам по обязательствам взаимосвязанных сторон.
Банки не вправе относить на вычет суммы расходов по созданию провизий (резервов) против активов, выкупленных у организации, специализирующейся на улучшении качества кредитных портфелей банков второго уровня, единственным акционером которой является Правительство Республики Казахстан.
Положения настоящего пункта также применяются юридическим лицом, ранее являвшимся банком.
2. Организации, осуществляющие микрофинансовую деятельность (за исключением ломбарда), имеют право на вычет суммы расходов по созданию провизий (резервов) против сомнительных и безнадежных активов по предоставленным микрокредитам, а также вознаграждения по ним, за исключением активов, предоставленных взаимосвязанной стороне либо третьим лицам по обязательствам взаимосвязанной стороны.
Организации, осуществляющие микрофинансовую деятельность (за исключением ломбарда), уменьшают суммы расходов по провизиям (резервам) на сумму предоставленной за налоговый период гарантии специальным фондом по обязательствам субъектов частного предпринимательства.
Положения настоящего пункта в части исключения активов, предоставленных взаимосвязанной стороне либо третьим лицам по обязательствам взаимосвязанной стороны, не распространяются на микрокредиты, предоставляемые кредитными товариществами своим участникам в соответствии с законодательством Республики Казахстан о микрофинансовой деятельности.
Порядок отнесения активов по предоставленным микрокредитам к сомнительным и безнадежным, а также порядок создания провизий (резервов) против них определяются уполномоченным органом по регулированию, контролю и надзору финансового рынка и финансовых организаций по согласованию с уполномоченным органом.
3. Организации, осуществляющие отдельные виды банковских операций на основании лицензии на проведение банковских заемных операций, имеют право на вычет суммы расходов по провизиям (резервам) против сомнительных и безнадежных активов, созданным в соответствии с международными стандартами финансовой отчетности и требованиями законодательства Республики Казахстан о бухгалтерском учете и финансовой отчетности и в порядке, определенном уполномоченным органом по регулированию, контролю и надзору финансового рынка и финансовых организаций по согласованию с уполномоченным органом, против кредитов (займов), за исключением:
1) финансового лизинга;
2) кредитов (займов), предоставленных в пользу взаимосвязанных сторон либо третьим лицам по обязательствам взаимосвязанных сторон.
Стоимость залога и другого обеспечения учитывается при определении суммы провизий (резервов) в случаях и порядке, которые определены правилами создания провизий (резервов).
Организации, осуществляющие отдельные виды банковских операций, уменьшают суммы расходов по провизиям (резервам) на сумму предоставленной за налоговый период гарантии специальным фондом по обязательствам субъектов частного предпринимательства.
4. Национальный управляющий холдинг, а также юридические лица, основным видом деятельности которых является осуществление заемных операций или выкуп прав требования и 100 процентов голосующих акций (долей) которых принадлежат национальному управляющему холдингу, имеют право на вычет суммы расходов по созданию провизий (резервов) против следующих сомнительных и безнадежных активов, условных обязательств, за исключением активов и условных обязательств, предоставленных в пользу взаимосвязанных сторон либо третьим лицам по обязательствам взаимосвязанных сторон (кроме активов и условных обязательств кредитных товариществ):
депозитов, включая остатки на корреспондентских счетах, размещенных в банках;
кредитов (за исключением финансового лизинга), предоставленных банкам и клиентам;
дебиторской задолженности по документарным расчетам и гарантиям;
условных обязательств по непокрытым аккредитивам, выпущенным или подтвержденным гарантиям.
Налогоплательщики, предусмотренные настоящим пунктом, уменьшают суммы расходов по провизиям (резервам) на сумму предоставленной за налоговый период гарантии специальным фондом по обязательствам субъектов частного предпринимательства.
Вычет суммы расходов по созданию провизий (резервов) осуществляется в пределах суммы провизий (резервов), созданных в порядке, определенном Правительством Республики Казахстан.
Перечень юридических лиц, указанных в настоящем пункте, и порядок формирования такого перечня утверждаются Правительством Республики Казахстан.
Статья 324. Вычет расходов по страховым премиям и взносам участников систем гарантирования
1. Страховые премии, подлежащие уплате или уплаченные страхователем по договорам страхования, за исключением страховых премий по договорам накопительного страхования, подлежат вычету.
2. Вычету у банка - участника системы обязательного гарантирования депозитов физических лиц подлежит сумма обязательных календарных, дополнительных и чрезвычайных взносов, перечисленных в связи с гарантированием депозитов физических лиц.
3. Вычету у страховой, перестраховочной организации, являющейся участником системы гарантирования страховых выплат, подлежит сумма обязательных, чрезвычайных и дополнительных взносов, перечисленных в связи с гарантированием страховых выплат.
4. Вычету у хлебоприемного предприятия -участника системы гарантирования исполнения обязательств по зерновым распискам подлежит сумма ежегодных обязательных взносов, перечисленных в связи с гарантированием исполнения обязательств по зерновым распискам.
5. Вычету у банков, организаций, осуществляющих микрофинансовую деятельность, и иных юридических лиц, являющихся участниками системы гарантирования обязательств субъектов частного предпринимательства, подлежит сумма обязательных и дополнительных взносов, перечисленных в связи с гарантированием обязательств субъектов частного предпринимательства.
Глава 31. ОСОБЕННОСТИ ОПРЕДЕЛЕНИЯ ДОХОДОВ И ВЫЧЕТОВ ЛИЦАМИ, ОСУЩЕСТВЛЯЮЩИМИ ОПЕРАЦИИ С ЦИФРОВЫМИ АКТИВАМИ
Статья 325. Доход цифрового майнингового пула, биржи цифровых активов и лица, осуществляющего цифровой майнинг
1. Доход лица, осуществляющего цифровой майнинг, от деятельности по цифровому майнингу определяется как произведение количества распределенных ему цифровым майнинговым пулом цифровых активов, возникших в результате его деятельности, и их стоимости, определенной в соответствии с пунктом 4 настоящей статьи.
2. К доходу лица от деятельности по цифровому майнингу не относится стоимость цифровых активов, удержанная цифровым майнинговым пулом в качестве комиссии.
3. Доход цифрового майнингового пула, биржи цифровых активов, полученный в виде цифровых активов, рассчитывается по стоимости, определенной в соответствии с пунктом 4 настоящей статьи.
4. В целях настоящей статьи порядок определения, опубликования стоимости цифровых активов и перечень их видов определяются уполномоченным органом.
Статья 326. Доход от прироста стоимости при выбытии цифровых активов
1. Доход от прироста стоимости цифровых активов признается в следующих случаях и налоговых периодах:
1) при реализации цифрового актива - в налоговом периоде, в котором осуществлена реализация такого цифрового актива;
2) при передаче цифрового актива в качестве вклада в уставный капитал - в налоговом периоде, в котором осуществлена передача такого цифрового актива в качестве вклада в уставный капитал.
В целях настоящей статьи стоимостью вклада в уставный капитал является стоимость цифрового актива, по которой он передан в качестве вклада в уставный капитал, которая определяется на основании документа, подтверждающего приемку и передачу актива, но не более суммы, в счет оплаты которой передан актив;
3) при выбытии цифрового актива в результате реорганизации путем слияния, присоединения, разделения - в налоговом периоде, за который представлена ликвидационная налоговая отчетность;
4) при выбытии цифрового актива в результате реорганизации путем выделения - в налоговом периоде, в котором утвержден разделительный баланс.
2. Доход от прироста стоимости цифровых активов определяется в следующей сумме:
1) при реализации - положительная разница между стоимостью реализации и первоначальной стоимостью цифрового актива;
2) при передаче цифрового актива в качестве вклада в уставный капитал - положительная разница между стоимостью цифрового актива, по которой он передан в качестве вклада в уставный капитал, и первоначальной стоимостью данного цифрового актива;
3) при выбытии в результате реорганизации юридического лица путем слияния, присоединения, разделения или выделения - положительная разница между стоимостью цифрового актива, отраженной в передаточном акте или разделительном балансе, и его первоначальной стоимостью.
3. Первоначальной стоимостью цифрового актива являются:
совокупность фактических затрат на его приобретение, затрат, связанных с приобретением и увеличивающих стоимость цифрового актива в соответствии с международными стандартами финансовой отчетности и (или) требованиями законодательства Республики Казахстан о бухгалтерском учете и финансовой отчетности,
и (или)
стоимость цифрового актива, переданного в качестве вклада в уставный капитал,
и (или)
стоимость цифрового актива, по которой он получен в качестве вклада в уставный капитал,
и (или)
стоимость, указанная в передаточном акте или разделительном балансе, - в случае, если цифровой актив был получен в результате реорганизации,
и (или)
балансовая стоимость цифрового актива, получаемого (полученного) акционером, участником, учредителем при распределении имущества, в том числе получаемого (полученного) взамен ранее внесенного имущества, подлежащая отражению (отраженная) в бухгалтерском учете передающего лица на дату передачи, без учета переоценки и обесценения, отраженная в документе, подтверждающем передачу цифрового актива и заверенном подписями сторон, - в случае, если цифровой актив был получен акционером (участником, учредителем) в результате распределения имущества при ликвидации юридического лица или уменьшении уставного капитала, а также выкупе юридическим лицом у учредителя, участника цифрового актива или ее части в этом юридическом лице, выкупе юридическим лицом - эмитентом у акционера акций, выпущенных этим эмитентом,
и (или)
стоимость, включенная в совокупный годовой доход в виде стоимости безвозмездно полученного имущества в соответствии с настоящим Кодексом, - в случае, если цифровой актив был получен безвозмездно,
плюс
другие затраты, увеличивающие стоимость цифрового актива, в том числе после его приобретения, в соответствии с международными стандартами финансовой отчетности и (или) требованиями законодательства Республики Казахстан о бухгалтерском учете и финансовой отчетности, кроме затрат (расходов), указанных в подпунктах 2), 13) и 16) статьи 286 и статье 287 настоящего Кодекса.
4. Положения настоящей статьи не применяются лицами, осуществляющими цифровой майнинг, в случае определения дохода от деятельности по цифровому майнингу в соответствии с пунктом 1 статьи 325 настоящего Кодекса.
5. При возникновении отрицательной разницы при выбытии цифровых активов в случаях, предусмотренных пунктом 2 настоящей статьи, такая отрицательная разница уменьшает доход от прироста стоимости, возникающий при выбытии цифровых активов налогового периода, в котором произошло выбытие цифровых активов.
При превышении отрицательной разницы в случаях, предусмотренных пунктом 2 настоящей статьи, за налоговый период, такие суммы признаются убытком и могут компенсироваться за счет доходов от прироста стоимости, полученных при реализации исключительно цифровых активов в течение срока исковой давности.
Статья 327. Затраты, не подлежащие вычету лицами, осуществляющими деятельность по цифровому майнингу
При определении налогооблагаемого дохода лица, осуществляющего деятельность по цифровому майнингу, не подлежат вычету затраты по услугам, оказываемым цифровым майнинговым пулом.
Глава 32. НАЛОГООБЛОЖЕНИЕ НЕКОММЕРЧЕСКИХ ОРГАНИЗАЦИЙ И ОРГАНИЗАЦИЙ ЛИЦ С ИНВАЛИДНОСТЬЮ
Статья 328. Общие положения
Некоммерческая организация, зарегистрированная в соответствии с гражданским законодательством Республики Казахстан, вправе применять положения одной из статей, предусмотренных настоящей главой.
Статья 329. Налогообложение некоммерческих организаций
1. Для целей настоящего Кодекса некоммерческой организацией признается организация, зарегистрированная в форме, установленной гражданским законодательством Республики Казахстан для некоммерческой организации, которая осуществляет деятельность в общественных интересах и соответствует следующим условиям:
1) не имеет цели извлечения дохода в качестве такового;
2) не распределяет полученный чистый доход или имущество между участниками.
Некоммерческая организация исключает из совокупного годового дохода следующие доходы:
доход в виде безвозмездно полученного имущества, включая благотворительную помощь, спонсорскую помощь, деньги, гранты, соответствующие статье 9 настоящего Кодекса, а также любые другие помощь, гранты, имущество, полученные на безвозмездной основе;
вступительные и членские взносы;
вклады адвокатов, осуществляющих деятельность в адвокатской конторе, в ее имущество, а также производимые ими взносы (отчисления) на содержание адвокатской конторы;
доход по договору на осуществление государственного социального заказа;
вознаграждения по депозитам;
превышение суммы положительной курсовой разницы над суммой отрицательной курсовой разницы, возникшее по размещенным на депозите деньгам, в том числе по вознаграждениям по ним;
обязательные и целевые взносы, установленные Законом Республики Казахстан «О жилищных отношениях», а также пени за просрочку оплаты собственником квартиры, нежилого помещения, парковочного места, кладовки, определенные в соответствии с законодательством Республики Казахстан.
В случае несоблюдения условий, указанных в части первой настоящего пункта, исключение из совокупного годового дохода, предусмотренное частью второй настоящего пункта, не производится.
2. Доходы некоммерческой организации, не указанные в пункте 1 настоящей статьи, подлежат налогообложению в общеустановленном порядке.
При этом сумма расходов некоммерческой организации, подлежащая отнесению на вычеты, определяется одним из следующих способов:
исходя из удельного веса доходов, не указанных в части второй пункта 1 настоящей статьи, в общей сумме доходов некоммерческой организации;
на основе данных налогового учета, предусматривающего раздельный учет расходов, произведенных за счет доходов, указанных в части второй пункта 1 настоящей статьи, и расходов, произведенных за счет других доходов.
3. Положения настоящей статьи не вправе применять некоммерческие организации, зарегистрированные в соответствии с гражданским законодательством Республики Казахстан в форме акционерного общества, учреждения и потребительского кооператива.
Статья 330. Налогообложение некоммерческих организаций, осуществляющих деятельность в социальной сфере
Некоммерческие организации, которые в налоговом периоде соответствуют условиям, установленным настоящим Кодексом для организаций, осуществляющих деятельность в социальной сфере, уменьшают сумму исчисленного в соответствии со статьей 345 настоящего Кодекса корпоративного подоходного налога на 100 процентов.
Статья 331. Налогообложение организаций лиц с инвалидностью
1. Для целей настоящего Кодекса к организациям лиц с инвалидностью относятся юридические лица, которые за отчетный налоговый период, а также предшествующий отчетному налоговому периоду налоговый период соответствуют следующим условиям:
среднегодовая численность лиц с инвалидностью составляет не менее 51 процента от общего числа работников;
расходы по оплате труда лиц с инвалидностью за год составляют не менее 51 процента от общих расходов по оплате труда.
При этом соответствие условию, предусмотренному частью первой настоящего пункта, определяется:
вновь созданными (возникшими) организациями - за отчетный налоговый период, в котором осуществлена регистрация в органе юстиции;
организациями, осуществляющими деятельность в рамках долгосрочного контракта, - в течение всего периода действия такого контракта.
2. Организации лиц с инвалидностью при определении суммы корпоративного подоходного налога, подлежащей уплате в бюджет, уменьшают сумму исчисленного в соответствии со статьей 345 настоящего Кодекса корпоративного подоходного налога в размерах, установленных пунктом 3 настоящей статьи, при соблюдении следующих условий:
1) 90 процентов доходов получены (подлежат получению) от реализации товаров, выполнения работ, оказания услуг с участием лиц с инвалидностью, являющихся работниками такой организации, и направлении полученных доходов на осуществление деятельности такой организации;
2) лица с инвалидностью, являющиеся работниками организации лиц с инвалидностью, не состоят в трудовых отношениях с другими организациями лиц с инвалидностью.
В целях применения подпункта 1) настоящего пункта не учитываются доходы, полученные от сдачи имущества в наем (аренду).
3. Организации лиц с инвалидностью в случае соблюдения условий пункта 2 настоящей статьи при определении суммы корпоративного подоходного налога, подлежащей уплате в бюджет, уменьшают сумму исчисленного в соответствии со статьей 345 настоящего Кодекса корпоративного подоходного налога в зависимости от численности работников, являющихся лицами с инвалидностью, в течение отчетного налогового периода в следующих размерах:
1) при численности от 3 до 10 работников, являющихся лицами с инвалидностью, производится уменьшение исчисленного корпоративного подоходного налога на 50 процентов;
2) при численности 10 работников, являющихся лицами с инвалидностью, и более, производится уменьшение исчисленного корпоративного подоходного налога на 100 процентов.
Глава 33. НАЛОГООБЛОЖЕНИЕ ПРИБЫЛИ КОНТРОЛИРУЕМОЙ ИНОСТРАННОЙ КОМПАНИИ
Статья 332. Основные понятия, используемые в настоящей главе
1. Контролируемой иностранной компанией признается лицо, соответствующее одновременно следующим условиям:
1) такое лицо является одним из следующих лиц:
юридическим лицом - нерезидентом;
иной иностранной формой организации предпринимательской деятельности без образования юридического лица (далее - иная форма организации);
за исключением юридического лица - нерезидента и (или) иной формы организации, зарегистрированных или инкорпорированных или иным образом учрежденных в иностранном государстве, с которым вступил в силу международный договор, регулирующий вопросы избежания двойного налогообложения и предотвращения уклонения от уплаты налогов, при условии, что номинальная ставка налога на прибыль в таком иностранном государстве составляет более 75 процентов от ставки корпоративного подоходного налога в Республике Казахстан, предусмотренной подпунктом 5) пункта 2 статьи 357 настоящего Кодекса.
В целях применения настоящего подпункта список стран, с которыми вступил в силу международный договор, регулирующий вопросы избежания двойного налогообложения и предотвращения уклонения от уплаты налогов, номинальная ставка налога на прибыль которых составляет более 75 процентов от ставки корпоративного подоходного налога в Республике Казахстан, утверждается уполномоченным органом не позднее 31 декабря года, следующего за отчетным периодом;
2) на 31 декабря отчетного периода такое лицо отвечает одному из следующих условий:
25 и более процентов долей участия (голосующих акций) в лице прямо или косвенно, или конструктивно принадлежат юридическому или физическому лицу, являющемуся резидентом Республики Казахстан (далее в целях настоящей главы - резидент);
лицо связано с резидентом посредством контроля (в случае, если резидент имеет прямой или косвенный, или конструктивный контроль над лицом);
3) такое лицо отвечает одному из следующих условий:
эффективная ставка налога на прибыль юридического лица - нерезидента или иной формы организации, определенная в соответствии с подпунктом 3) пункта 3 настоящей статьи, составляет менее 10 процентов;
юридическое лицо - нерезидент или иная форма организации зарегистрированы или учредительный документ (документ о создании) которой зарегистрирован, или участник, на которого возложено ведение учета доходов и расходов или управление активами по такой иной форме организации, зарегистрирован в государстве с льготным налогообложением.
В целях определения контролируемой иностранной компании понятие «контроль» определяется в соответствии с подпунктом 4) пункта 3 настоящей статьи.
2. Постоянным учреждением контролируемой иностранной компании признается структурное подразделение или постоянное учреждение, которое отвечает одному из следующих условий:
1) оно зарегистрировано в государстве с льготным налогообложением;
2) оно зарегистрировано в иностранном государстве и у которого эффективная ставка налога на прибыль, определенная в соответствии с подпунктом 3) пункта 3 настоящей статьи, составляет менее 10 процентов.
При этом такое структурное подразделение или постоянное учреждение должно быть создано лицом, отвечающим одновременно условиям подпунктов 1) и 2) части первой пункта 1 настоящей статьи.
Условия, определенные пунктом 1 настоящей статьи и частями первой и второй настоящего пункта, не распространяются на контролируемые иностранные компании и постоянные учреждения контролируемых иностранных компаний, которые одновременно соответствуют следующим условиям:
1) контролируемая иностранная компания или постоянное учреждение контролируемой иностранной компании не зарегистрированы в государствах со льготным налогообложением;
2) совокупная сумма дохода каждой контролируемой иностранной компании или постоянного учреждения контролируемой иностранной компании составляет менее 195-кратного размера месячного расчетного показателя, действующего на первое число налогового периода.
Если у лица, соответствующего условиям, определенным пунктом 1 настоящей статьи или частями первой и второй настоящего пункта, по итогам соответствующего периода в утвержденной отдельной неконсолидированной финансовой отчетности имеется финансовый убыток, то такое лицо не признается контролируемой иностранной компанией и (или) постоянным учреждением контролируемой иностранной компании.
Для целей настоящей главы совокупная сумма дохода пересчитывается в тенге по официальному курсу валюты, установленному на последний календарный день налогового периода, определяемого в соответствии со статьей 358 настоящего Кодекса.
Если валюта, в которой выражена совокупная сумма дохода, не включена в перечень иностранных валют, к которым устанавливается официальный курс валюты, действовавший в отчетном налоговом периоде, то совокупная сумма дохода пересчитывается в тенге с применением последнего курса валюты по отношению к евро, определенного центральным банком страны резидентства контролируемой иностранной компании или постоянным учреждением контролируемой иностранной компании на последний календарный день налогового периода в стране резидентства.
3. В целях настоящей главы и главы 36 настоящего Кодекса используются следующие понятия:
1) аудированная финансовая отчетность - финансовая отчетность, которая является результатом проведенного аудита лицом, имеющим право на его выполнение;
2) контролируемое лицо - лицо, отвечающее одному из следующих условий:
лицо связано с резидентом посредством контроля (в случае, если резидент имеет прямой или косвенный, или конструктивный контроль над лицом);
лицо, в котором доля участия резидента составляет прямо или косвенно, или конструктивно более 50 процентов;
лицо связано с резидентом в качестве ближайшего родственника (по отношению к физическому лицу - резиденту);
3) эффективная ставка налога контролируемой иностранной компании или эффективная ставка налога постоянного учреждения контролируемой иностранной компании - среднеарифметическое значение эффективных ставок налога на прибыль контролируемой иностранной компании или эффективных ставок налога на прибыль постоянного учреждения контролируемой иностранной компании, определяемых в соответствии с подпунктом 18) настоящего пункта, за отчетный и два предыдущих периода, последовательно предшествующих отчетному периоду.
В случае, если по итогам соответствующего периода (периодов) у контролируемой иностранной компании или постоянного учреждения контролируемой иностранной компании финансовая прибыль до налогообложения равна нулю или имеется финансовый убыток, в расчете эффективной ставки не учитываются соответствующие показатели за такой период (периоды). В таком случае эффективная ставка налога на прибыль контролируемой иностранной компании или эффективная ставка налога на прибыль постоянного учреждения контролируемой иностранной компании определяется исходя из соответствующих показателей оставшегося количества периодов, в которых получена финансовая прибыль.
В случае если законодательными актами государства, в котором зарегистрирована контролируемая иностранная компания, установлено обязательство по составлению консолидированной финансовой отчетности с отражением данных дочерних (ассоциированных, совместных) организаций без составления отдельной неконсолидированной финансовой отчетности, то для расчета эффективной ставки налога контролируемой иностранной компании показатели финансовой прибыли до налогообложения и налога на прибыль пересчитываются в следующем порядке:
из финансовой прибыли до налогообложения исключаются суммы финансовой прибыли (убытка) до налогообложения дочерних организаций, уменьшенные на суммы прибыли (убытков) от внутригрупповых операций, доля в доходах ассоциированных (совместных) организаций, признанные по консолидированной финансовой отчетности контролируемой иностранной компании, при условии, если консолидированная финансовая прибыль до налогообложения контролируемой иностранной компании учитывает такие суммы;
из налога на прибыль исключаются суммы налога на прибыль дочерних организаций, признанные по консолидированной финансовой отчетности контролируемой иностранной компании как текущий налоговый расход, не включая отсроченные налоги, при условии, если консолидированная сумма налога на прибыль контролируемой иностранной компании включает такие суммы;
4) контроль - контроль, определяемый в соответствии с международными стандартами финансовой отчетности либо иными международно признанными стандартами составления финансовой отчетности, принимаемыми фондовыми биржами для допуска ценных бумаг к торгам;
5) утвержденная финансовая отчетность - документ контролируемой иностранной компании или постоянного учреждения контролируемой иностранной компании, соответствующий условиям пункта 3 статьи 335 настоящего Кодекса, заверенный подписью первого руководителя (или лица, уполномоченного подписывать финансовую отчетность) контролируемой иностранной компании и (или) постоянного учреждения контролируемой иностранной компании и включающий бухгалтерский баланс, отчет о прибылях и убытках, отчет о движении денег, отчет об изменениях в капитале, пояснительную записку (или иной документ);
6) отчетный период- финансовый период, в котором признана финансовая прибыль;
7) ближайшие родственники:
супруг (супруга);
дети, в том числе усыновленные, удочеренные;
дети супруга (супруги), в том числе усыновленные, удочеренные;
внуки;
внуки супруга (супруги);
иждивенцы;
иждивенцы супруга (супруги);
родители;
родители супруга (супруги);
полнородные, неполнородные братья, сестры;
полнородные, неполнородные братья, сестры супруга (супруги);
8) косвенный контроль - наличие у резидента контроля через контролируемое лицо (контролируемые лица);
9) косвенное владение (косвенное участие) - владение резидентом долями участия в контролируемой иностранной компании через контролируемое лицо (контролируемые лица);
10) конструктивный контроль - наличие у резидента прямого и косвенного контроля или наличие у резидента и (совместно с) ближайшего (ближайшим) родственника (родственником) прямого и (или) косвенного контроля;
11) конструктивное владение (конструктивное участие) - владение резидентом прямо и косвенно долями участия в контролируемой иностранной компании или владение резидентом и (совместно с) ближайшим (ближайшими) родственником (родственниками) прямо и (или) косвенно долями участия в контролируемой иностранной компании;
12) совокупная сумма доходов - сумма всех доходов контролируемой иностранной компании или постоянного учреждения контролируемой иностранной компании, отраженных в утвержденной отдельной неконсолидированной финансовой отчетности такой контролируемой иностранной компании или такого постоянного учреждения контролируемой иностранной компании за отчетный период.
Для целей части первой настоящего подпункта из совокупной суммы доходов за отчетный период исключаются доходы, аналогичные указанным в подпунктах 2) и 8) пункта 1 статьи 238 настоящего Кодекса. Для применения настоящего абзаца у резидента должен быть в наличии документ, заверенный подписью первого руководителя (или лица, уполномоченного подписывать финансовую отчетность) контролируемой иностранной компании и (или) постоянного учреждения контролируемой иностранной компании, раскрывающий информацию о каждом исключенном виде дохода и расхода, в разрезе сумм (с обязательным переводом на казахский или русский язык) или пояснительная записка к аудированной финансовой отчетности, заверенная лицом, проводившим аудит финансовой отчетности контролируемой иностранной компании и (или) постоянного учреждения контролируемой иностранной компании, раскрывающая информацию о каждом исключенном виде дохода, в разрезе сумм (с обязательным переводом на казахский или русский язык);
13) доля участия (участие) - доля участия (участие) в уставном капитале, доля (участие) голосующих акций в уставном (акционерном) капитале или доля участия (участие) в иной форме организации;
14) налог на прибыль - иностранный налог на прибыль или иной иностранный налог, аналогичный корпоративному или индивидуальному подоходному налогу в Республике Казахстан, не включая налог на сверхприбыль или специальные платежи и налоги недропользователей;
15) номинальная ставка налога на прибыль - фиксированная ставка налога на прибыль или иного иностранного налога, аналогичного корпоративному подоходному налогу, с доходов, полученных юридическим лицом - нерезидентом или иной формой организации.
В целях части первой настоящего подпункта, если в налоговом законодательстве иностранного государства установлена прогрессивная шкала ставок налогообложения, то в качестве номинальной ставки налога на прибыль принимается верхний уровень ставки налога на прибыль или иного иностранного налога, аналогичного корпоративному подоходному налогу, без учета специальных налоговых режимов и других льгот, предусмотренных таким иностранным государством.
В случае если система налогообложения иностранного государства предусматривает несколько налоговых уровней, включая национальные, федеральные, кантональные, местные, региональные, муниципальные, коммунальные, провинциальные, штатовские, префектурные и прочие территориальные налоги на прибыль, то номинальная ставка налога на прибыль рассчитывается как сумма соответствующих ставок налогов на прибыль;
16) пассивные доходы - пассивными доходами признаются следующие виды доходов:
дивиденды;
доходы в виде вознаграждения;
доход от прироста стоимости;
доход в виде роялти;
доход от страховой деятельности, если такая деятельность не является основной деятельностью контролируемой иностранной
компании или постоянного учреждения контролируемой иностранной компании;
доход от оказания консультационных, юридических, бухгалтерских, аудиторских, инжиниринговых, рекламных, маркетинговых услуг, а также от проведения научно-исследовательских и опытно-конструкторских работ, если указанные виды деятельности не являются основной деятельностью контролируемой иностранной компании или постоянного учреждения контролируемой иностранной компании.
Для целей части первой настоящего подпункта основной деятельностью контролируемой иностранной компании или постоянного учреждения контролируемой иностранной компании признается деятельность, по которой получаемый доход составляет более 50 процентов от всей суммы совокупного годового дохода такой контролируемой иностранной компании или постоянного учреждения контролируемой иностранной компании;
17) доля пассивных доходов - соотношение пассивных доходов контролируемой иностранной компании или постоянного учреждения контролируемой иностранной компании к совокупной сумме доходов контролируемой иностранной компании или постоянного учреждения контролируемой иностранной компании.
Доля пассивных доходов не определяется у контролируемых иностранных компаний или постоянных учреждений контролируемых иностранных компаний, зарегистрированных в государствах с льготным налогообложением;
18) эффективная ставка - ставка налога на прибыль, определяемая как наименьшая из следующих ставок:
исчисленная как отношение суммы налога на прибыль за отчетный период, рассматриваемой по утвержденной финансовой отчетности как текущий налоговый расход, не включая отсроченные налоги, к положительной величине финансовой прибыли до налогообложения, определяемой в соответствии с пунктом 3 статьи 335 настоящего Кодекса, за отчетный период;
исчисленная как отношение уплаченной суммы налога на прибыль за отчетный период к положительной величине финансовой прибыли до налогообложения, определяемой в соответствии с пунктом 3 статьи 335 настоящего Кодекса, за отчетный период.
Для целей части первой настоящего подпункта сумма налога на прибыль включает налог на прибыль, в том числе национальные, федеральные, кантональные, местные, региональные, муниципальные, коммунальные, провинциальные, штатовские, префектурные и прочие территориальные налоги на прибыль и налог, удержанный у источника выплаты, при условии, если финансовая прибыль до налогообложения включает (включала) в текущем или предыдущем периоде доходы, обложенные налогом, удержанным у источника выплаты;
19) лицо:
физическое лицо;
юридическое лицо - нерезидент;
иная форма организации;
20) прямой контроль - наличие у резидента контроля напрямую или через доверительного управляющего, или номинального держателя в случае, если такой контроль, находящийся у номинального держателя или доверительного управляющего, фактически принадлежит такому резиденту;
21) прямое владение (прямое участие) - владение резидентом долями участия напрямую или через доверительного управляющего, или номинального держателя в случае, если такие доли участия, находящиеся у номинального держателя или доверительного управляющего, фактически принадлежат такому резиденту;
22) иностранная компания - юридическое лицо -нерезидент или иная форма организации, за исключением лица, соответствующего условиям, определенным пунктом 1 настоящей статьи;
23) единая организационная структура консолидированной группы -лица иные, чем физические, которыми прямо или косвенно и (или) конструктивно владеет и (или) контролирует резидент.
В целях части первой настоящего подпункта единая организационная структура консолидированной группы не включает лиц иных, чем физических, которые косвенно принадлежат и (или) контролируются через другого резидента. В случае если резидент владеет и (или) контролирует прямо другим резидентом, то этот другой резидент не входит в единую организационную структуру консолидированной группы.
Статья 333. Общие положения
Финансовая прибыль контролируемой иностранной компании или постоянного учреждения контролируемой иностранной компании не подлежит налогообложению дважды.
Двойное налогообложение устраняется путем применения следующих положений:
1) освобождения от налогообложения в соответствии со статьей 334 настоящего Кодекса;
2) корректировки финансовой прибыли до налогообложения контролируемой иностранной компании при соответствии условиям, указанным в пункте 3 статьи 335 настоящего Кодекса;
3) уменьшения финансовой прибыли до налогообложения контролируемой иностранной компании в соответствии с пунктом 5 статьи 335 настоящего Кодекса;
4) зачета в счет уплаты корпоративного подоходного налога в Республике Казахстан в порядке, определенном пунктом 4 статьи 346 настоящего Кодекса.
Статья 334. Освобождение от налогообложения
1. Освобождается от налогообложения в Республике Казахстан финансовая прибыль контролируемой иностранной компании или финансовая прибыль постоянного учреждения контролируемой иностранной компании при выполнении одного из следующих условий:
1) при косвенном участии или косвенном контроле резидента в контролируемой иностранной компании, осуществляемом через другого резидента;
2) при косвенном участии или косвенном контроле резидента в контролируемой иностранной компании, осуществляемом через лицо, не являющееся контролируемым лицом;
3) если финансовая прибыль постоянного учреждения контролируемой иностранной компании облагалась налогом на прибыль в государстве, в котором зарегистрирована контролируемая иностранная компания, создавшая постоянное учреждение, по эффективной ставке, составляющей 20 и более процентов;
4) если финансовая прибыль контролируемой иностранной компании или финансовая прибыль постоянного учреждения контролируемой иностранной компании облагалась налогом в государстве, в котором зарегистрировано контролируемое лицо, через которого резидент косвенно владеет долями участия или имеет косвенный контроль в контролируемой иностранной компании, по эффективной ставке, составляющей 20 и более процентов;
5) если доля пассивных доходов контролируемой иностранной компании или постоянного учреждения контролируемой иностранной компании, за исключением зарегистрированных в государствах с льготным налогообложением, составляет менее 20 процентов;
6) при прямом и (или) косвенном владении и (или) контроле инвестиционным резидентом МФЦА в контролируемой иностранной компании.
2. Для целей применения пункта 1 настоящей статьи у резидента должны быть в наличии (с обязательным переводом на казахский или русский язык) следующие документы:
1) в случае применения подпункта 1) или 2) пункта 1 настоящей статьи:
копии документов, подтверждающих косвенное участие или косвенный контроль резидента в контролируемой иностранной компании, указанное или указанный в подпунктах 1) или 2) пункта 1 настоящей статьи,
или
копия документа, заверенного подписью первого руководителя (или лица, уполномоченного подписывать финансовую отчетность) резидента, раскрывающего единую организационную структуру консолидированной группы, участником (акционером) которой является резидент, с отражением наименования всех участников такой консолидированной группы и их географического местонахождения (наименования государств (территорий), где участники консолидированной группы созданы (учреждены), размеров долей участия и номеров государственной и налоговой регистрации всех участников консолидированной группы (при наличии налоговой регистрации);
2) в случае применения подпункта 3) пункта 1 настоящей статьи:
копия утвержденной отдельной финансовой отчетности контролируемой иностранной компании, создавшей постоянное учреждение;
копия утвержденной финансовой отчетности постоянного учреждения контролируемой иностранной компании;
документ, заверенный подписью первого руководителя (или лица, уполномоченного подписывать финансовую отчетность) контролируемой иностранной компании, раскрывающий информацию о включении в финансовую прибыль контролируемой иностранной компании, создавшей постоянное учреждение, финансовой прибыли такого постоянного учреждения, или пояснительная записка к аудированной финансовой отчетности, заверенная лицом, проводившим аудит финансовой отчетности контролируемой иностранной компании, раскрывающая информацию о включении в финансовую прибыль контролируемой иностранной компании, создавшей постоянное учреждение, финансовой прибыли такого постоянного учреждения;
копия составленного (составленных) на иностранном языке документа (документов), подтверждающего (подтверждающих) уплату в иностранном государстве, в котором зарегистрирована контролируемая иностранная компания, создавшая постоянное учреждение, налога на прибыль с финансовой прибыли постоянного учреждения контролируемой иностранной компании.
В случае включения налога у источника выплаты при определении эффективной ставки у резидента должны быть в наличии:
копия составленного (составленных) на иностранном языке документа (документов), подтверждающего (подтверждающих) удержание и перечисление в бюджет иностранного государства (иностранных государств) налога у источника выплаты с дохода (доходов), включенного (включенных) в финансовую прибыль до налогообложения;
документ, заверенный подписью первого руководителя (или лица, уполномоченного подписывать финансовую отчетность) контролируемой иностранной компании и (или) постоянного учреждения контролируемой иностранной компании, раскрывающий информацию о включении в финансовую прибыль до налогообложения дохода (доходов), обложенного (обложенных) налогом у источника выплаты, или пояснительная записка к аудированной финансовой отчетности, заверенная лицом, проводившим аудит финансовой отчетности контролируемой иностранной компании и (или) постоянного учреждения контролируемой иностранной компании, раскрывающая информацию о включении в финансовую прибыль до налогообложения дохода (доходов), обложенного (обложенных) налогом у источника выплаты;
3) в случае применения подпункта 4) пункта 1 настоящей статьи:
копия утвержденной консолидированной финансовой отчетности контролируемого лица, через которого осуществляется косвенное владение или косвенный контроль в контролируемой иностранной компании;
копия утвержденной отдельной неконсолидированной финансовой отчетности контролируемой иностранной компании или финансовой отчетности постоянного учреждения контролируемой иностранной компании;
документ, заверенный подписью первого руководителя (или лица, уполномоченного подписывать финансовую отчетность) контролируемой иностранной компании и (или) постоянного учреждения контролируемой иностранной компании, раскрывающий информацию о включении в консолидированную финансовую прибыль контролируемого лица, через которого резидент косвенно владеет долями участия или имеет косвенный контроль в контролируемой иностранной компании, финансовой прибыли контролируемой иностранной компании или финансовой прибыли постоянного учреждения контролируемой иностранной компании, или пояснительная записка к аудированной финансовой отчетности, заверенная лицом, проводившим аудит финансовой отчетности контролируемой иностранной компании и (или) постоянного учреждения контролируемой иностранной компании, раскрывающая информацию о включении в консолидированную финансовую прибыль контролируемого лица, через которого резидент косвенно владеет долями участия или имеет косвенный контроль в контролируемой иностранной компании, финансовой прибыли контролируемой иностранной компании или финансовой прибыли постоянного учреждения контролируемой иностранной компании;
копия составленного (составленных) на иностранном языке документа (документов), подтверждающего (подтверждающих) уплату в иностранном государстве, в котором зарегистрировано контролируемое лицо, через которого резидент косвенно владеет долями участия или имеет косвенный контроль в контролируемой иностранной компании, налога на прибыль с финансовой прибыли контролируемой иностранной компании или финансовой прибыли постоянного учреждения контролируемой иностранной компании.
В случае включения налога у источника выплаты при определении эффективной ставки у резидента должны быть в наличии:
копия составленного (составленных) на иностранном языке документа (документов), подтверждающего (подтверждающих) удержание и перечисление в бюджет иностранного государства (иностранных государств) налога у источника выплаты с дохода (доходов), включенного (включенных) в финансовую прибыль до налогообложения;
документ, заверенный подписью первого руководителя (или лица, уполномоченного подписывать финансовую отчетность) контролируемой иностранной компании и (или) постоянного учреждения контролируемой иностранной компании, раскрывающий информацию о включении в финансовую прибыль до налогообложения дохода (доходов), обложенного (обложенных) налогом у источника выплаты, или пояснительная записка к аудированной финансовой отчетности, заверенная лицом, проводившим аудит финансовой отчетности контролируемой иностранной компании и (или) постоянного учреждения контролируемой иностранной компании, раскрывающая информацию о включении в финансовую прибыль до налогообложения дохода (доходов), обложенного (обложенных) налогом у источника выплаты;
4) в случае применения подпункта 5) пункта 1 настоящей статьи:
копия утвержденной отдельной неконсолидированной финансовой отчетности контролируемой иностранной компании или постоянного учреждения контролируемой иностранной компании;
документ, заверенный подписью первого руководителя (или лица, уполномоченного подписывать финансовую отчетность) контролируемой иностранной компании и (или) постоянного учреждения контролируемой иностранной компании, раскрывающий информацию в разрезе каждого вида пассивного дохода, с указанием сумм полученных доходов контролируемой иностранной компании или постоянного учреждения контролируемой иностранной компании за отчетный период, или пояснительная записка к аудированной финансовой отчетности, заверенная лицом, проводившим аудит финансовой отчетности контролируемой иностранной компании и (или) постоянного учреждения контролируемой иностранной компании, раскрывающая информацию в разрезе каждого вида пассивного дохода, с указанием сумм полученных доходов контролируемой иностранной компании или постоянного учреждения контролируемой иностранной компании за отчетный период.
Статья 335. Налогообложение прибыли контролируемой иностранной компании
1. Суммарная прибыль контролируемых иностранных компаний или постоянных учреждений контролируемых иностранных компаний, за исключением зарегистрированных в государствах с льготным налогообложением, определенная в соответствии с пунктами 2,3,4 и 5 настоящей статьи, признается облагаемым доходом контролируемых иностранных компаний и постоянных учреждений контролируемых иностранных компаний, за исключением зарегистрированных в государствах с льготным налогообложением, и облагается корпоративным или индивидуальным подоходным налогом в Республике Казахстан.
Суммарная прибыль контролируемых иностранных компаний или постоянных учреждений контролируемых иностранных компаний, зарегистрированных в государствах с льготным налогообложением, определенная в соответствии с пунктами 2 и 3 настоящей статьи, признается облагаемым доходом контролируемых иностранных компаний и постоянных учреждений контролируемых иностранных компаний, зарегистрированных в государствах с льготным налогообложением, и облагается корпоративным или индивидуальным подоходным налогом в Республике Казахстан.
2. Суммарная прибыль контролируемых иностранных компаний или постоянных учреждений контролируемых иностранных компаний определяется по следующей формуле:
П = П1 × Д1 + П2 × Д2 +...+ Пn × Дn, где:
П - суммарная прибыль всех контролируемых иностранных компаний или постоянных учреждений контролируемых иностранных компаний, за исключением контролируемых иностранных компаний или постоянных учреждений контролируемых иностранных компаний, финансовая прибыль которых освобождена от налогообложения в соответствии со статьей 334 настоящего Кодекса;
Д1,2,...,n - доля прямого, косвенного, конструктивного участия или прямого, косвенного, конструктивного контроля резидента в каждой контролируемой иностранной компании;
П1,2,...,n - положительная величина финансовой прибыли каждой контролируемой иностранной компании или каждого постоянного учреждения контролируемой иностранной компании, подлежащей налогообложению в Республике Казахстан, определяемая резидентом, по одной из следующих формул:
П1, П2,..., Пn = Пдн 1,2,…n - У1,2,...n - Уб1,2,...n
или
П1, П2,..., Пn = Пдн1,2,...n × ДПД1,2,…n, где:
Пдн1,2,...n - положительная величина финансовой прибыли до налогообложения каждой контролируемой иностранной компании или каждого постоянного учреждения контролируемой иностранной компании за отчетный период;
У 1,2,…n - сумма уменьшений, произведенных резидентом от финансовой прибыли до налогообложения каждой контролируемой иностранной компании или финансовой прибыли до налогообложения каждого постоянного учреждения контролируемой иностранной компании за отчетный период в соответствии с пунктом 4 настоящей статьи;
ДПД1,2,…n - доля пассивных доходов каждой контролируемой иностранной компании или каждого постоянного учреждения контролируемой иностранной компании, определяемая в соответствии с подпунктом 17) пункта 3 статьи 332 настоящего Кодекса;
Уб1,2,...n - сумма убытка каждой контролируемой иностранной компании или каждого постоянного учреждения контролируемой иностранной компании, возникшего в двух периодах, последовательно предшествующих отчетному периоду. При этом уменьшенные убытки в последующих периодах не учитываются.
Для целей части первой настоящего пункта убытком признается убыток, отраженный в утвержденной отдельной неконсолидированной финансовой отчетности, которая должна быть в наличии у резидента, применяющего убыток (с обязательным переводом на казахский или русский язык).
Убыток контролируемой иностранной компании или постоянного учреждения контролируемой иностранной компании не уменьшает:
1) финансовую прибыль этой контролируемой иностранной компании и (или) этого постоянного учреждения контролируемой иностранной компании, исчисленную в соответствии с пунктом 3 настоящей статьи;
2) финансовую прибыль до налогообложения другой контролируемой иностранной компании или другого постоянного учреждения контролируемой иностранной компании;
3) налогооблагаемый доход резидента.
Резидент не вправе использовать убытки контролируемой иностранной компании и (или) постоянного учреждения контролируемой иностранной компании, зарегистрированных в государствах с льготным налогообложением.
Для целей части первой настоящего пункта в случае использования резидентом формулы с долей пассивных доходов при расчете суммарной прибыли контролируемой иностранной компании или постоянного учреждения контролируемой иностранной компании необходимо применять туже формулу ко всем его остальным контролируемым иностранным компаниям или постоянным учреждениям контролируемых иностранных компаний за отчетный налоговый период.
3. Определение финансовой прибыли до налогообложения контролируемой иностранной компании или финансовой прибыли до налогообложения постоянного учреждения контролируемой иностранной компании за отчетный период осуществляется на основании утвержденной отдельной неконсолидированной финансовой отчетности контролируемой иностранной компании или постоянного учреждения контролируемой иностранной компании, составленной в соответствии со стандартом, установленным законодательством страны, в которой зарегистрирована контролируемая иностранная компания или зарегистрировано постоянное учреждение контролируемой иностранной компании, или в соответствии с международными стандартами финансовой отчетности. При этом резидент имеет право определить финансовую прибыль до налогообложения контролируемой иностранной компании или постоянного учреждения контролируемой иностранной компании на основании утвержденной отдельной неконсолидированной финансовой отчетности, составленной в соответствии с международными стандартами финансовой отчетности, только при наличии аудированной финансовой отчетности.
В случае, если законодательными актами государства, в котором зарегистрирована контролируемая иностранная компания, установлено обязательство по составлению только консолидированной финансовой отчетности с консолидацией данных дочерних (ассоциированных, совместных) организаций без составления отдельной неконсолидированной финансовой отчетности и отсутствует отдельная неконсолидированная финансовая отчетность, резидент производит следующие корректировки из финансовой прибыли (убытка) контролируемой иностранной компании за отчетный период, определенной (определенного) в финансовой отчетности за отчетный период, путем исключения следующих сумм, подтвержденных аудиторским заключением, которая должна быть в наличии у резидента:
суммы финансовой прибыли (убытка) за отчетный период дочерних (ассоциированных, совместных) организаций, собранной в консолидированной финансовой прибыли (консолидированном убытке) по консолидированной финансовой отчетности контролируемой иностранной компании;
суммы финансовой прибыли (убытка) дочерних (ассоциированных, совместных) организаций за отчетный период при их консолидации из консолидированной финансовой прибыли (консолидированного убытка) по консолидированной финансовой отчетности материнской компании за отчетный период, которая (который) подлежит увеличению (уменьшению) на суммы финансовой прибыли (убытков) от внутригрупповых операций при их исключении при консолидации.
При корректировке данных консолидированной финансовой отчетности контролируемой иностранной компании за отчетный период в соответствии с настоящим пунктом дивиденды, полученные или подлежащие получению от дочерней (ассоциированной, совместной) организации, не отраженные в консолидированной финансовой прибыли (консолидированном убытке) по консолидированной финансовой отчетности, признанные в бухгалтерском учете в отчетном периоде, подлежат включению в доходы контролируемой иностранной компании за отчетный период и подтверждены аудиторским заключением.
Для целей настоящего пункта из финансовой прибыли до налогообложения контролируемой иностранной компании или постоянного учреждения контролируемой иностранной компании за отчетный период исключаются доходы, аналогичные указанным в подпунктах 2) и 8) пункта 1 статьи 238 настоящего Кодекса, и расходы, аналогичные указанным в пунктах 5 и 6 статьи 257 настоящего Кодекса, при условии, если финансовая прибыль до налогообложения включает такие доходы и (или) расходы. Для применения настоящей части у резидента должен быть в наличии документ, заверенный подписью первого руководителя (или лица, уполномоченного подписывать финансовую отчетность) контролируемой иностранной компании и (или) постоянного учреждения контролируемой иностранной компании, раскрывающий информацию о каждом исключенном виде дохода и расхода, в разрезе сумм (с обязательным переводом на казахский или русский язык), или пояснительная записка к аудированной финансовой отчетности, заверенная лицом, проводившим аудит финансовой отчетности контролируемой иностранной компании и (или) постоянного учреждения контролируемой иностранной компании, раскрывающая информацию о каждом исключенном виде дохода и расхода, в разрезе сумм (с обязательным переводом на казахский или русский язык).
4. При отсутствии утвержденной отдельной неконсолидированной финансовой отчетности у резидента до 31 марта второго года, следующего за отчетным, сумма финансовой прибыли до налогообложения контролируемой иностранной компании или финансовой прибыли до налогообложения постоянного учреждения контролируемой иностранной компании за такой отчетный период определяется резидентом по своему выбору в одном из следующих порядков:
1) в порядке, аналогичном порядку определения налогооблагаемого дохода согласно положениям настоящего Кодекса;
2) как произведение суммы дохода контролируемой иностранной компании или дохода постоянного учреждения контролируемой иностранной компании за отчетный период и коэффициента 0,5. Сумма дохода определяется исходя из поступлений денег на банковские счета контролируемой иностранной компании или банковские счета постоянного учреждения контролируемой иностранной компании за отчетный период.
Для целей части первой настоящего подпункта исключению подлежат следующие виды поступлений при наличии подтверждающих документов:
поступление денег на банковские счета контролируемой иностранной компании или постоянного учреждения контролируемой иностранной компании за отчетный период с других банковских счетов данной контролируемой иностранной компании или ее постоянного учреждения (внутренние и межбанковские переводы денег);
поступление и (или) возврат заемных средств, за исключением вознаграждений по займам и пеням, штрафов. Для применения настоящего абзаца у резидента должны быть в наличии копия договора займа и платежного поручения о возврате и (или) поступлении заемных средств;
поступление ошибочно зачисленных сумм денег при условии возврата в текущем налоговом периоде;
поступление денег в качестве вклада в уставный капитал.
Резидент при получении документа, соответствующего условиям пункта 3 настоящей статьи, после срока, установленного пунктом 4 статьи 359 настоящего Кодекса, обязан пересчитать сумму финансовой прибыли контролируемой иностранной компании и (или) постоянного учреждения контролируемой иностранной компании.
При наличии документа, соответствующего условиям подпункта 1) пункта 3 статьи 332 настоящего Кодекса, налогоплательщик обязан пересчитать сумму финансовой прибыли контролируемой иностранной компании или постоянного учреждения контролируемой иностранной компании.
5. Резидент имеет право на уменьшение финансовой прибыли до налогообложения контролируемой иностранной компании на следующие суммы при наличии подтверждающих документов:
1) сумма уменьшения, определяемая по следующей формуле:
У = ФП × (Д(1)/ССД),где:
У - сумма уменьшения;
ФП - положительная величина финансовой прибыли до налогообложения контролируемой иностранной компании;
Д(1) - доход контролируемой иностранной компании от предпринимательской деятельности в Республике Казахстан через филиал, представительство, постоянное учреждение, обложенный корпоративным подоходным налогом в Республике Казахстан по ставке 20 и более процентов, в пределах налогооблагаемого дохода филиала, при условии, если финансовая прибыль до налогообложения контролируемой иностранной компании учитывает налогооблагаемый доход, указанный в настоящем подпункте;
ССД - совокупная сумма доходов;
2) сумма уменьшения, определяемая по следующей формуле:
У = ФП × (Д(2)/ССД),где:
У - сумма уменьшения;
ФП - положительная величина финансовой прибыли до налогообложения контролируемой иностранной компании;
Д(2) - доход от оказания услуг (выполнения работ) в Республике Казахстан без образования постоянного учреждения, полученный контролируемой иностранной компанией из источников в Республике Казахстан, обложенный в Республике Казахстан корпоративным подоходным налогом у источника выплаты по ставке 20 процентов, при условии, если финансовая прибыль до налогообложения определена с учетом дохода, указанного в настоящем подпункте;
ССД - совокупная сумма доходов;
3) дивиденды, полученные контролируемой иностранной компанией из источников в Республике Казахстан, не подлежащие налогообложению корпоративным подоходным налогом у источника выплаты согласно подпункту 7) статьи 681 настоящего Кодекса, при условии, если финансовая прибыль до налогообложения контролируемой иностранной компании включает такой доход;
4) сумма дивидендов, полученных одной контролируемой иностранной компанией от другой контролируемой иностранной компании, входящих в единую организационную структуру консолидированной группы.
При этом финансовая прибыль одной контролируемой иностранной компании должна включать такие дивиденды, которые ранее обложены (подлежат обложению в текущем периоде) корпоративным подоходным налогом с финансовой прибыли другой такой контролируемой иностранной компании в Республике Казахстан и (или) уменьшены согласно подпунктам 3), 5), 6), 7), 8) и 9) настоящего пункта или части первой настоящего подпункта;
5) сумма дивидендов, полученных контролируемой иностранной компанией от иностранной компании, входящей в единую организационную структуру консолидированной группы.
При этом финансовая прибыль такой контролируемой иностранной компании должна включать такие дивиденды, которые ранее обложены (подлежат обложению в текущем периоде) корпоративным подоходным налогом с финансовой прибыли другой такой контролируемой иностранной компании в Республике Казахстан и (или) уменьшены согласно подпунктам 3), 4), 6), 7), 8) и 9) настоящего пункта или части первой настоящего подпункта;
6) сумма уменьшения, определяемая по следующей формуле:
У = ФП × (Д(6)/ССД),где:
У - сумма уменьшения;
ФП - положительная величина финансовой прибыли до налогообложения контролируемой иностранной компании;
Д(6) - доходы в виде вознаграждений и (или) от прироста стоимости, и (или) в виде роялти, полученные контролируемой иностранной компанией из источников в Республике Казахстан, ранее обложенные в Республике Казахстан корпоративным подоходным налогом у источника выплаты, при условии, если финансовая прибыль до налогообложения контролируемой иностранной компании включает такие доходы;
ССД - совокупная сумма доходов;
7) сумма уменьшения, определяемая по следующей формуле:
У = ФП × (Д(7)/ССД),где:
У - сумма уменьшения;
ФП - положительная величина финансовой прибыли до налогообложения контролируемой иностранной компании;
Д(7) - доход от прироста стоимости, полученный одной контролируемой иностранной компанией от реализации другой контролируемой иностранной компании, которая является учредителем резидента Республики Казахстан, соответствующего условиям подпункта 4) статьи 681 настоящего Кодекса, при условии, если финансовая прибыль одной контролируемой иностранной компании включает такой доход;
ССД - совокупная сумма доходов;
8) доходы в виде вознаграждений и (или) от прироста стоимости и (или) в виде роялти, полученные контролируемой иностранной компанией из источников в Республике Казахстан, не подлежащие налогообложению корпоративным подоходным налогом у источника выплаты согласно подпунктам 1) и 4) статьи 681 настоящего Кодекса, при условии, если финансовая прибыль до налогообложения контролируемой иностранной компании включает такие доходы;
9) сумма дивидендов, полученных контролируемой иностранной компанией из источников в Республике Казахстан, ранее обложенные в Республике Казахстан корпоративным подоходным налогом у источника выплаты, при условии, если финансовая прибыль до налогообложения включает такие дивиденды;
10) сумма дивидендов, полученных контролируемой иностранной компанией от иностранной компании, входящих в единую организационную структуру консолидированной группы. При этом финансовая прибыль такой контролируемой иностранной компании должна включать такие дивиденды, полученные из источников Республики Казахстан, которые ранее обложены в Республике Казахстан корпоративным подоходным налогом у источника выплаты и (или) не подлежали налогообложению корпоративным подоходным налогом у источника выплаты согласно подпункту 7) статьи 681 настоящего Кодекса.
Положения части первой настоящего пункта не применяются к контролируемой иностранной компании и (или) постоянному учреждению контролируемой иностранной компании, которые зарегистрированы в государствах с льготным налогообложением.
6. В случае несоответствия продолжительности или дат начала и окончания отчетного периода в иностранном государстве и отчетного налогового периода в Республике Казахстан, определяемого в соответствии со статьей 358 настоящего Кодекса, налогоплательщик обязан скорректировать размер финансовой прибыли каждой контролируемой иностранной компании или финансовой прибыли каждого постоянного учреждения контролируемой иностранной компании, подлежащей налогообложению в Республике Казахстан, следующим образом посредством применения поправочных коэффициентов (K1, K2):
П1,П2,…,Пn =Пн × K1+ Пн+1 × K2,
K1 = НП (СН)1 / НП (СН)3,
K2 = НП (СН)2 / НП (СН)3, где:
П1, П2,..., Пn - положительная величина финансовой прибыли каждой контролируемой иностранной компании или каждого постоянного учреждения контролируемой иностранной компании, подлежащей налогообложению в Республике Казахстан;
Пн - положительная величина финансовой прибыли контролируемой иностранной компании или финансовой прибыли постоянного учреждения контролируемой иностранной компании, подлежащей налогообложению в Республике Казахстан, за один отчетный период, входящий в рамки отчетного налогового периода в Республике Казахстан;
Пн+1- положительная величина финансовой прибыли контролируемой иностранной компании или финансовой прибыли постоянного учреждения контролируемой иностранной компании, подлежащей налогообложению в Республике Казахстан, за другой отчетный период, входящий в рамки отчетного налогового периода в Республике Казахстан;
НП (СН)1- количество месяцев одного отчетного периода в иностранном государстве, в пределах которых резидент владеет долями участия или имеет контроль в контролируемой иностранной компании, входящих в рамки отчетного налогового периода в Республике Казахстан;
НП (СН)2 - количество месяцев следующего отчетного периода в иностранном государстве, в пределах которых резидент владеет долями участия или имеет контроль в контролируемой иностранной компании, входящих в рамки отчетного налогового периода в Республике Казахстан;
НП (СН)3 - общее количество месяцев отчетного периода в иностранном государстве.
7. Сумма финансовой прибыли каждой контролируемой иностранной компании или финансовой прибыли каждого постоянного учреждения контролируемой иностранной компании, подлежащей налогообложению в Республике Казахстан, выраженная в иностранной валюте, пересчитывается резидентом в тенге с применением среднеарифметического официального курса валюты за отчетный период.
8. Коэффициент прямого участия или прямого контроля резидента в каждой контролируемой иностранной компании определяется по следующей формуле:
Д1,Д2,...,Дn = Х/100%,где:
Д1,Д2,...,Дn - коэффициент прямого участия или прямого контроля резидента в каждой контролируемой иностранной компании;
X - доля прямого участия или прямого контроля резидента в каждой контролируемой иностранной компании, в процентах.
Коэффициент косвенного участия или косвенного контроля резидента в каждой контролируемой иностранной компании определяется по следующей формуле:
Д1, Д2,..., Дn = Х1/100% х Х2/100% х...х Хn/100%, где:
Д1, Д2,..., Дn - коэффициент косвенного участия или косвенного контроля резидента в каждой контролируемой иностранной компании;
X1 - доля прямого участия или прямого контроля резидента в лице, через которое осуществляется косвенное участие или косвенный контроль, в процентах;
X2,... - доля прямого участия или прямого контроля каждого предыдущего лица в каждом последующем лице в соответствующей последовательности, через которых осуществляется косвенное участие или косвенный контроль, в процентах;
Xn - доля прямого участия или прямого контроля предыдущего лица в контролируемой иностранной компании, в процентах.
Коэффициент конструктивного участия или конструктивного контроля резидента в каждой контролируемой иностранной компании исчисляется в одном из следующих порядков:
1) коэффициент прямого участия или прямого контроля резидента в контролируемой иностранной компании
плюс
коэффициент косвенного участия или косвенного контроля резидента в контролируемой иностранной компании;
2) коэффициент прямого и (или) косвенного участия или прямого и (или) косвенного контроля резидента в контролируемой иностранной компании
плюс
коэффициент прямого и (или) косвенного участия или прямого и (или) косвенного контроля контролируемого лица в контролируемой иностранной компании при условии, если контролируемое лицо является ближайшим родственником резидента и резидентом Республики Казахстан.
При конструктивном владении физическим лицом - резидентом долями участия или при наличии у физического лица - резидента конструктивного контроля в контролируемой иностранной компании с участием ближайших родственников - резидентов, не достигших совершеннолетнего возраста, положения настоящей статьи распространяются на такое конструктивное владение или такой конструктивный контроль. При конструктивном владении физическим лицом - резидентом долями участия или при наличии у физического лица - резидента конструктивного контроля в контролируемой иностранной компании с участием ближайших родственников - резидентов, достигших совершеннолетнего и (или) пенсионного возраста, положения настоящего пункта распространяются на такое конструктивное владение или такой конструктивный контроль при условии письменного согласия таких ближайших родственников. При отсутствии письменного согласия такого ближайшего родственника (ближайших родственников) налоговое обязательство в соответствии с настоящей главой исполняется каждым лицом (резидентом и таким ближайшим родственником (родственниками) резидента) самостоятельно соразмерно доле владения или контроля в контролируемой иностранной компании в случае, если совокупная доля участия резидента и такого ближайшего родственника (родственников) в контролируемой иностранной компании превышает 25 процентов или совокупно резидент и такой ближайший родственник (родственники) имеют контроль в контролируемой иностранной компании.
9. Положения настоящей статьи распространяются на постоянное учреждение контролируемой иностранной компании.
10. Положения настоящей статьи применяются независимо от предоставленных Республикой Казахстан резиденту и (или) установленных законодательством Республики Казахстан для резидента льгот, инвестиционных налоговых преференций, режима наибольшего благоприятствования, а также иных условий налогообложения, более благоприятных, чем предусмотренные настоящим Кодексом.
11. Для целей настоящей статьи под подтверждающими документами понимаются следующие документы:
1) для применения подпункта 1) части первой пункта 4 настоящей статьи копии документов, позволяющих определить сумму финансовой прибыли до налогообложения за отчетный период контролируемой иностранной компании или постоянного учреждения контролируемой иностранной компании. Такими документами являются выписки с банковских счетов контролируемой иностранной компании или постоянного учреждения контролируемой иностранной компании, первичные документы, подтверждающие произведенные операции согласно обычаям делового оборота контролируемой иностранной компании или постоянного учреждения контролируемой иностранной компании;
2) для применения подпункта 2) части первой пункта 4 настоящей статьи:
копии ежемесячных выписок на бумажных и (или) электронных носителях со всех банковских счетов контролируемой иностранной компании или постоянного учреждения контролируемой иностранной компании за отчетный период;
официальный документ, выданный банком и (или) документ, заверенный подписью первого руководителя (или лица, уполномоченного подписывать финансовую отчетность) контролируемой иностранной компании и (или) постоянного учреждения контролируемой иностранной компании, раскрывающие информацию, предусмотренную частью второй подпункта 2) части первой пункта 4 настоящей статьи, и содержащие сведения обо всех банковских счетах контролируемой иностранной компании или постоянного учреждения контролируемой иностранной компании;
3) для применения подпункта 1) части первой пункта 5 настоящей статьи:
копия утвержденной финансовой отчетности контролируемой иностранной компании;
документ, заверенный подписью первого руководителя (или лица, уполномоченного подписывать финансовую отчетность) контролируемой иностранной компании, содержащий расшифровку доходов и расходов каждого филиала контролируемой иностранной компании, включенных в финансовую прибыль контролируемой иностранной компании, с указанием бизнес-идентификационных номеров таких филиалов, или пояснительная записка к аудированной финансовой отчетности, заверенная лицом, проводившим аудит финансовой отчетности контролируемой иностранной компании, содержащая расшифровку доходов и расходов каждого филиала контролируемой иностранной компании, включенных в финансовую прибыль контролируемой иностранной компании, с указанием бизнес-идентификационных номеров таких филиалов;
4) для применения подпункта 2) части первой пункта 5 настоящей статьи:
копия утвержденной финансовой отчетности контролируемой иностранной компании или постоянного учреждения контролируемой иностранной компании;
документ, заверенный подписью первого руководителя (или лица, уполномоченного подписывать финансовую отчетность) контролируемой иностранной компании и (или) постоянного учреждения контролируемой иностранной компании, содержащий расшифровку доходов от оказания услуг (выполнения работ) в Республике Казахстан без образования постоянного учреждения контролируемой иностранной компании, в разрезе сумм и покупателей, с указанием бизнес-идентификационных номеров и (или) индивидуальных идентификационных номеров, или пояснительная записка к аудированной финансовой отчетности, заверенная лицом, проводившим аудит финансовой отчетности контролируемой иностранной компании и (или) постоянного учреждения контролируемой иностранной компании, содержащая расшифровку доходов от оказания услуг (выполнения работ) в Республике Казахстан без образования постоянного учреждения контролируемой иностранной компании, в разрезе сумм и покупателей с указанием бизнес-идентификационных номеров и (или) индивидуальных идентификационных номеров;
5) для применения подпунктов 3), 4), 5), 9) и 10) части первой пункта 5 настоящей статьи:
копии документа (документов), подтверждающего (подтверждающих) распределение дивидендов контролируемой иностранной компании;
документ, заверенный подписью первого руководителя (или лица, уполномоченного подписывать финансовую отчетность) контролируемой иностранной компании и (или) постоянного учреждения контролируемой иностранной компании, подтверждающий распределение и выплату дивидендов из источников в Республике Казахстан контролируемой иностранной компании и (или) иностранной компанией к другой контролируемой иностранной компании, применяющей уменьшение (в случае применения подпунктов 3), 9) и 10) части первой пункта 5 настоящей статьи), или пояснительная записка к аудированной финансовой отчетности, заверенная лицом, проводившим аудит финансовой отчетности контролируемой иностранной компании и (или) постоянного учреждения контролируемой иностранной компании, подтверждающая распределение и выплату дивидендов из источников в Республике Казахстан контролируемой иностранной компании и (или) иностранной компанией к другой контролируемой иностранной компании, применяющей уменьшение (в случае применения подпунктов 3), 9) и 10) части первой пункта 5 настоящей статьи);
копия утвержденной финансовой отчетности контролируемой иностранной компании или постоянного учреждения контролируемой иностранной компании;
документ, заверенный подписью первого руководителя (или лица, уполномоченного подписывать финансовую отчетность) контролируемой иностранной компании и (или) постоянного учреждения контролируемой иностранной компании, содержащий сведения о полученных дивидендах от дочерних (ассоциированных) организаций контролируемой иностранной компании, в разрезе сумм и наименований компаний, распределяющих дивиденды, с указанием регистрационного номера в стране резидентства, или пояснительная записка к аудированной финансовой отчетности, заверенная лицом, проводившим аудит финансовой отчетности контролируемой иностранной компании и (или) постоянного учреждения контролируемой иностранной компании, содержащая сведения о полученных дивидендах от дочерних (ассоциированных) организаций контролируемой иностранной компании, в разрезе сумм и наименований компаний, распределяющих дивиденды, с указанием регистрационного номера в стране резидентства;
документ, заверенный подписью первого руководителя (или лица, уполномоченного подписывать финансовую отчетность) резидента, содержащий сведения о единой организационной структуре консолидированной группы с указанием наименований, регистрационных номеров в стране резидентства, их географического местонахождения (наименования государств (территорий), размеров долей участия (голосующих акций) всех участников единой организационной структуры консолидированной группы;
6) для применения подпунктов 6), 7) и 8) части первой пункта 5 настоящей статьи:
копия утвержденной финансовой отчетности контролируемой иностранной компании или постоянного учреждения контролируемой иностранной компании;
документ, заверенный подписью первого руководителя (или лица, уполномоченного подписывать финансовую отчетность) контролируемой иностранной компании и (или) постоянного учреждения контролируемой иностранной компании, содержащий расшифровку доходов в виде вознаграждений, роялти из источников в Республике Казахстан, в разрезе сумм и наименований резидентов Республики Казахстан, выплативших доходы, с указанием бизнес-идентификационных номеров и (или) индивидуальных идентификационных номеров (в случае применения подпунктов 6) и 8) части первой пункта 5 настоящей статьи в отношении доходов в виде вознаграждений, роялти) или пояснительная записка к аудированной финансовой отчетности, заверенная лицом, проводившим аудит финансовой отчетности контролируемой иностранной компании и (или) постоянного учреждения контролируемой иностранной компании, содержащая расшифровку доходов в виде вознаграждений, роялти из источников в Республике Казахстан в разрезе сумм и наименований резидентов Республики Казахстан, выплативших доходы, с указанием бизнес-идентификационных номеров и (или) индивидуальных идентификационных номеров (в случае применения подпунктов 6) и 8) части первой пункта 5 настоящей статьи в отношении доходов в виде вознаграждений, роялти);
документ, заверенный подписью первого руководителя (или лица, уполномоченного подписывать финансовую отчетность) контролируемой иностранной компании и (или) постоянного учреждения контролируемой иностранной компании, содержащий расшифровку дохода в виде прироста стоимости, в разрезе сумм, наименований и реализованных активов, в том числе находящихся в Республике Казахстан, с указанием регистрационных номеров в стране резидентства (в случае применения подпунктов 6), 7) и 8) части первой пункта 5 настоящей статьи в отношении дохода в виде прироста стоимости) или пояснительная записка к аудированной финансовой отчетности, заверенная лицом, проводившим аудит финансовой отчетности контролируемой иностранной компании и (или) постоянного учреждения контролируемой иностранной компании, содержащая расшифровку дохода в виде прироста стоимости, в разрезе сумм, наименований и реализованных активов, в том числе находящихся в Республике Казахстан, с указанием регистрационных номеров в стране резидентства (в случае применения подпунктов 6), 7) и 8) части первой пункта 5 настоящей статьи в отношении дохода в виде прироста стоимости);
документ, заверенный подписью первого руководителя (или лица, уполномоченного подписывать финансовую отчетность) резидента, содержащий сведения о единой организационной структуре консолидированной группы с указанием наименований, регистрационных номеров в стране резидентства, их географического местонахождения (наименования государств (территорий), размеров долей участия (голосующих акций) всех участников единой организационной структуры консолидированной группы;
копии правоустанавливающих документов резидента Республики Казахстан, соответствующего условиям подпункта 4) статьи 681 настоящего Кодекса;
7) для применения абзаца одиннадцатого части первой пункта 2 настоящей статьи:
копия утвержденной финансовой отчетности контролируемой иностранной компании или постоянного учреждения контролируемой иностранной компании;
документ, заверенный подписью первого руководителя (или лица, уполномоченного подписывать финансовую отчетность) контролируемой иностранной компании и (или) постоянного учреждения контролируемой иностранной компании, раскрывающий соотношение пассивных доходов к совокупной сумме доходов, в разрезе каждого вида пассивных доходов и сумм, включенных в совокупную сумму доходов, с указанием регистрационного номера покупателя в стране резидентства, или пояснительная записка к аудированной финансовой отчетности, заверенной лицом, проводившим аудит финансовой отчетности контролируемой иностранной компании и (или) постоянного учреждения контролируемой иностранной компании, раскрывающая соотношение пассивных доходов к совокупной сумме доходов, в разрезе каждого вида пассивных доходов и сумм, включенных в совокупную сумму доходов, с указанием регистрационного номера покупателя в стране резидентства.
Документы, указанные в настоящем пункте, или их копии должны быть в наличии у резидента (с обязательным переводом на казахский или русский язык в случае необходимости), применяющего положения пунктов 4 и 5 настоящей статьи.
12. Резидент обязан не позднее десяти рабочих дней после сдачи декларации по корпоративному или индивидуальному подоходном налогу, в которую включена суммарная прибыль контролируемых иностранных компаний или постоянных учреждений контролируемых иностранных компаний, представить в уполномоченный орган трансформационный документ.
В целях настоящего раздела трансформационным документом признается документ, заверенный подписью и печатью (при ее наличии) резидента (или лица, уполномоченного подписывать на основании нотариально удостоверенной доверенности), содержащий следующие сведения:
1) единую организационную структуру консолидированной группы, участником (акционером) которой является резидент, с отражением наименования всех участников консолидированной группы и их географического местонахождения (наименования государств (территорий), где участники консолидированной группы созданы (учреждены), размеров долей участия, номеров государственной и налоговой регистрации всех участников консолидированной группы (при наличии налоговой регистрации);
2) финансовую прибыль и совокупную сумму доходов каждой контролируемой иностранной компании и (или) постоянного учреждения контролируемой иностранной компании;
3) соотношение пассивных доходов к совокупной сумме доходов каждой контролируемой иностранной компании или постоянного учреждения контролируемой иностранной компании в разрезе каждого вида пассивных доходов и сумм, включенных в совокупную сумму доходов, с указанием регистрационного номера покупателя в стране резидентства (в случае применения абзаца одиннадцатого части первой пункта 2 настоящей статьи);
4) убыток каждой контролируемой иностранной компании или постоянного учреждения контролируемой иностранной компании, возникший в двух периодах, последовательно предшествующих отчетному периоду, с указанием сумм и года возникновения убытка (в случае применения абзаца двенадцатого части первой пункта 2 настоящей статьи);
5) каждый исключенный вид дохода и расхода из совокупной суммы доходов или финансовой прибыли до налогообложения контролируемой иностранной компании или постоянного учреждения контролируемой иностранной компании в разрезе сумм (в случае применения подпункта 12) пункта 3 статьи 332 настоящего Кодекса или части второй пункта 3 настоящей статьи);
6) финансовую прибыль (убыток) за отчетный период каждой дочерней (ассоциированной, совместной) организации, консолидированную в консолидированной финансовой прибыли (консолидированном убытке) по консолидированной финансовой отчетности контролируемой иностранной компании, в разрезе сумм, наименований и регистрационных номеров в стране резидентства дочерних (ассоциированных, совместных) организаций (в случае применения части третьей пункта 3 настоящей статьи);
7) финансовую прибыль (убыток) за отчетный период каждой дочерней (ассоциированной, совместной) организации при ее консолидации из консолидированной финансовой прибыли (консолидированного убытка) по консолидированной финансовой отчетности материнской компании за отчетный период, которая подлежит увеличению (уменьшению) на суммы финансовой прибыли (убытков) от внутригрупповых операций при их исключении при консолидации, в разрезе сумм, наименований и регистрационных номеров в стране резидентства дочерних (ассоциированных, совместных) организаций (в случае применения части четвертой пункта 3 настоящей статьи);
8) банковские счета контролируемой иностранной компании или постоянного учреждения контролируемой иностранной компании с указанием общей суммы поступивших денег за отчетный период в разрезе номеров банковских счетов, наименования финансовой организации и географического местонахождения (наименования государств (территорий) (в случае применения пункта 4 настоящей статьи);
9) поступление денег на банковские счета контролируемой иностранной компании или постоянного учреждения контролируемой иностранной компании за отчетный период с других банковских счетов данной контролируемой иностранной компании или ее постоянного учреждения (внутренние и межбанковские переводы денег) с указанием номеров банковских счетов, сумм и дат совершения операций (в случае применения пункта 4 настоящей статьи);
поступление и (или) возврат заемных средств, за исключением вознаграждений по займам и пеням, штрафов с указанием номеров банковских счетов, сумм и дат совершения операций (в случае применения пункта 4 настоящей статьи);
поступление ошибочно зачисленных денег при условии возврата в текущем налоговом периоде (в случае применения пункта 4 настоящей статьи);
поступление денег в качестве вклада в уставный капитал с указанием номеров банковских счетов, сумм и дат совершения операций (в случае применения пункта 4 настоящей статьи);
10) доходы и расходы каждого филиала контролируемой иностранной компании, включенные в финансовую прибыль контролируемой иностранной компании, с указанием бизнес-идентификационных номеров таких филиалов (в случае применения подпункта 1) части первой пункта 5 настоящей статьи);
11) доход от оказания услуг (выполнения работ) в Республике Казахстан без образования постоянного учреждения контролируемой иностранной компании в разрезе сумм и покупателей с указанием бизнес-идентификационных номеров и (или) индивидуальных идентификационных номеров (в случае применения подпункта 2) части первой пункта 5 настоящей статьи);
12) структуру получения дивидендов контролируемой иностранной компанией, отражающую распределение таких дивидендов от первоначального источника (в случае применения подпунктов 3), 4), 5), 9) и 10) части первой пункта 5 настоящей статьи).
В целях части первой настоящего подпункта структура должна содержать наименование лиц иных, чем физических, а также содержать следующие сведения о каждом участнике структуры:
суммы и периоды распределения дивидендов;
регистрационные номера в стране резидентства;
суммы финансовой прибыли за периоды, в которых распределены дивиденды;
13) доходы в виде вознаграждений, роялти из источников в Республике Казахстан в разрезе сумм и наименований резидентов Республики Казахстан, выплативших доходы, с указанием бизнес-идентификационных номеров и (или) индивидуальных идентификационных номеров (в случае применения подпунктов 6) и 8) части первой пункта 5 настоящей статьи в отношении доходов в виде вознаграждений, роялти);
14) доход в виде прироста стоимости в разрезе сумм, наименований и реализованных активов, в том числе находящихся в Республике Казахстан, с указанием регистрационных номеров в стране резидентства (в случае применения подпунктов 6), 7) и 8) части первой пункта 5 настоящей статьи в отношении дохода в виде прироста стоимости);
15) в случае применения пункта 4 статьи 346, пункта 2 статьи 413 и пункта 2 статьи 414 настоящего Кодекса:
сумма уплаты в иностранном государстве, в котором зарегистрированы контролируемая иностранная компания и (или) постоянное учреждение контролируемой иностранной компании, иностранного подоходного налога с финансовой прибыли контролируемой иностранной компании и (или) постоянного учреждения контролируемой иностранной компании;
удержание и перечисление в бюджет иностранного государства (иностранных государств) налога у источника выплаты с дохода (доходов), включенного (включенных) в финансовую прибыль до налогообложения контролируемой иностранной компании и (или) постоянного учреждения контролируемой иностранной компании;
включение в финансовую прибыль до налогообложения дохода (доходов), обложенного (обложенных) налогом у источника выплаты.
13. Невключение в налогооблагаемый доход юридического лица - резидента или годовой доход физического лица - резидента по налоговой декларации финансовой прибыли контролируемой иностранной компании или финансовой прибыли постоянного учреждения контролируемой иностранной компании, подлежащей налогообложению в порядке, определенном настоящей статьей, или занижение суммы такой финансовой прибыли контролируемой иностранной компании или постоянного учреждения контролируемой иностранной компании в налоговой декларации резидента влечет ответственность в соответствии с законами Республики Казахстан.
14. Резидент освобождается от ответственности и начисления пеней при одновременном выполнении следующих условий:
1) в случае, если уполномоченным органом по результатам обмена информацией, проведенного с компетентным или уполномоченным органом иностранного государства в соответствии с международным договором, на основании сведений, имеющихся у уполномоченного органа в соответствии с пунктом 15 настоящей статьи, получена следующая информация:
о владении резидентом прямо или косвенно, или конструктивно долями участия либо наличии у резидента прямого или косвенного, или конструктивного контроля в контролируемой иностранной компании;
об эффективной ставке налога на прибыль;
о финансовой прибыли до налогообложения контролируемой иностранной компании или постоянного учреждения контролируемой иностранной компании;
2) в случае невозможности получения резидентом самостоятельно информации, указанной в подпункте 1) части первой настоящего пункта;
3) в случае подачи резидентом в соответствующий налоговый орган заявления об участии (контроле) в контролируемой иностранной компании и декларации по корпоративному или индивидуальному подоходному налогу за предыдущий (предыдущие) и (или) отчетный налоговый период (периоды) с включением в налогооблагаемый доход юридического лица - резидента или годовой доход физического лица - резидента финансовой прибыли контролируемой иностранной компании или финансовой прибыли постоянного учреждения контролируемой иностранной компании, подлежащей налогообложению, в сроки, установленные в уведомлении налогового органа.
Под невозможностью получения информации понимается выполнение одновременно следующих условий:
1) направление резидентом запросов более одного раза самостоятельно и (или) через контролируемое лицо в контролируемую иностранную компанию и неполучение ответов на свои запросы в части размера доли участия или контроля в контролируемой иностранной компании и (или) представления утвержденной финансовой отчетности и (или) аудированной финансовой отчетности контролируемой иностранной компании или постоянного учреждения контролируемой иностранной компании за соответствующий период (периоды);
2) отсутствие информации о данных финансовой отчетности контролируемой иностранной компании или постоянного учреждения контролируемой иностранной компании на интернет-ресурсах, в средствах массовой информации и иных источниках информации в силу непубличности контролируемой иностранной компании.
15. В случае невозможности получения резидентом информации самостоятельно резидент имеет право обратиться в уполномоченный орган с просьбой направить запрос в компетентный или уполномоченный орган иностранного государства, с которым у Республики Казахстан действует международный договор, в части получения от него следующей информации и (или) документов:
1) о размере доли участия резидента либо наличии у резидента контроля в контролируемой иностранной компании;
2) об эффективной ставке налога на прибыль контролируемой иностранной компании или постоянного учреждения контролируемой иностранной компании за соответствующий период (периоды) (при необходимости);
3) о финансовой прибыли до налогообложения контролируемой иностранной компании или постоянного учреждения контролируемой иностранной компании за соответствующий период (периоды) (при необходимости);
4) финансовой отчетности контролируемой иностранной компании или постоянного учреждения контролируемой иностранной компании за соответствующий период (периоды), прошедшей аудит.
Резидент к обращению в уполномоченный орган прилагает информацию о контролируемой иностранной компании с раскрытием всех причастных контролируемых лиц, через которых осуществляется косвенное или конструктивное участие либо косвенный или конструктивный контроль. Резидент также вправе приложить к обращению копии запросов, направленных в адрес контролируемой иностранной компании самостоятельно или через контролируемое лицо, о предоставлении контролируемой иностранной компанией информации и (или) документов, указанных в настоящем пункте.
16. Налоговый орган при осуществлении налогового контроля имеет право запросить у резидента аудированную финансовую отчетность контролируемой иностранной компании и (или) постоянного учреждения контролируемой иностранной компании.
Резидент со дня направления запроса обязан в течение двухсот пятидесяти календарных дней представить аудированную финансовую отчетность (с обязательным переводом на казахский или русский язык).
После получения аудированной финансовой отчетности налоговый орган вправе пересчитать финансовую прибыль контролируемой иностранной компании или постоянного учреждения контролируемой иностранной компании при наличии расхождений с утвержденной финансовой отчетностью.
В случае непредставления аудированной финансовой отчетности по истечении срока, указанного в части второй настоящего пункта, налоговый орган вправе пересчитать финансовую прибыль контролируемой иностранной компании или постоянного учреждения контролируемой иностранной компании в порядке, установленном пунктом 4 настоящей статьи.
Статья 336. Заявление об участии (контроле) в контролируемой иностранной компании
1. Резидент обязан представить заявление об участии (контроле) в контролируемой иностранной компании не позднее 31 марта года, следующего за отчетным налоговым периодом.
Заявление об участии (контроле) в контролируемой иностранной компании представляется по состоянию на 31 декабря отчетного налогового периода в налоговый орган.
Положения настоящего пункта не применяются к резидентам, отвечающим требованиям подпункта 1) пункта 1 статьи 334 настоящего Кодекса.
2. Резидент представляет заявление об участии (контроле) в контролируемой иностранной компании в налоговый орган по месту жительства или нахождения.
3. В случае обнаружения неполноты сведений, неточностей либо ошибок в заполнении представленного заявления об участии (контроле) в контролируемой иностранной компании резидент вправе представить скорректированное заявление с учетом обновленной информации.
4. При наличии у налогового органа информации, в том числе полученной от компетентного или уполномоченного органа иностранного государства в рамках обмена информацией в целях налогообложения в соответствии с международным договором, одной из сторон которого является Республика Казахстан, свидетельствующей о том, что резиденту принадлежат прямо или косвенно, или конструктивно доли участия либо прямой или косвенный, или конструктивный контроль в контролируемой иностранной компании, и в случае, если такой резидент не представил в соответствии с настоящей статьей заявление об участии (контроле) в контролируемой иностранной компании в установленные сроки, налоговый орган направляет такому налогоплательщику-резиденту уведомление об устранении нарушений налогового законодательства Республики Казахстан, в котором должна быть отражена следующая информация:
1) наименование или фамилия, имя и отчество резидента, которому направляется уведомление;
2) наименование контролируемой иностранной компании или постоянного учреждения контролируемой иностранной компании, в отношении которой или которого у налогового органа имеется информация, свидетельствующая о том, что резидент владеет прямо или косвенно, или конструктивно долями участия либо имеет прямой или косвенный, или конструктивный контроль в контролируемой иностранной компании;
3) номера государственной и (или) налоговой регистрации контролируемой иностранной компании или постоянного учреждения контролируемой иностранной компании (при наличии налоговой регистрации);
4) описание оснований, имеющихся у налоговых органов по признанию за резидентом долей участия либо контроля в контролируемой иностранной компании;
5) требование о представлении заявления об участии (контроле) в контролируемой иностранной компании;
6) требование о представлении декларации по корпоративному или индивидуальному подоходному налогу с отражением в ней налогового обязательства в соответствии со статьей 335 настоящего Кодекса.
5. В случае согласия с нарушениями, указанными в уведомлении об устранении нарушений налогового законодательства Республики Казахстан, резидент представляет в соответствующий налоговый орган заявление об участии (контроле) в контролируемой иностранной компании не позднее тридцати рабочих дней, следующих за днем получения уведомления об устранении нарушений налогового законодательства Республики Казахстан, налоговую отчетность в части включения налогового обязательства, возникающего в соответствии со статьей 335 настоящего Кодекса, за период владения прямо или косвенно, или конструктивно долями участия либо наличия прямого или косвенного, или конструктивного контроля в контролируемой иностранной компании.
6. В случае несогласия с указанными в уведомлении нарушениями резидент представляет один из следующих документов:
1) пояснение по выявленным нарушениям в письменной форме на бумажном носителе или в форме электронного документа - в налоговый орган, направивший уведомление об устранении нарушений налогового законодательства Республики Казахстан;
2) жалобу на действия (бездействие) должностных лиц налогового органа, направившего уведомление об устранении нарушений налогового законодательства Республики Казахстан, - в уполномоченный орган или суд.
При этом резидент обязан вместе с пояснениями представить документы, свидетельствующие об отсутствии владения резидентом прямо или косвенно, или конструктивно долями участия либо отсутствии у резидента прямого или косвенного, или конструктивного контроля в контролируемой иностранной компании.
7. Налоговый орган обязан рассмотреть представленные резидентом пояснения и подтверждающие документы.
8. Налогоплательщик-резидент признается прямо или косвенно, или конструктивно владеющим долями участия либо имеющим прямой или косвенный, или конструктивный контроль в контролируемой иностранной компании при выполнении одного из следующих условий:
1) при отсутствии жалобы на действия (бездействие) должностных лиц налогового органа, направившего уведомление, и неисполнении налогоплательщиком уведомления;
2) при отсутствии оснований, опровергающих информацию, указанную в пункте 4 настоящей статьи, о том, что резиденту принадлежат прямо или косвенно, или конструктивно доли участия либо он имеет прямой или косвенный, или конструктивный контроль в контролируемой иностранной компании, по итогам рассмотрения пояснений и подтверждающих документов налогоплательщика-резидента, имеющихся и (или) имевшихся у налогового органа.
В случае признания в соответствии с настоящей главой резидента как прямо или косвенно, или конструктивно владеющего долями участия либо признания у резидента прямого или косвенного, или конструктивного контроля в контролируемой иностранной компании на такого резидента распространяются положения настоящей главы. При этом налоговым органом такому налогоплательщику-резиденту направляется решение о признании его прямо или косвенно, или конструктивно владеющим долями участия либо имеющим прямой или косвенный, или конструктивный контроль в контролируемой иностранной компании не позднее трех рабочих дней с даты принятия решения о таком признании.
9. Налогоплательщик-резидент, который признан прямо или косвенно, или конструктивно владеющим долями участия либо имеющим прямой или косвенный, или конструктивный контроль в контролируемой иностранной компании, вправе обжаловать данное решение в уполномоченный орган не позднее пятнадцати рабочих дней с даты получения такого решения.
10. Положения пункта 8 настоящей статьи распространяются также на случаи, соответствующие одновременно следующим условиям:
1) при получении резидентом одного из следующих видов отказа в удовлетворении жалобы:
судом;
вышестоящим налоговым органом;
уполномоченным органом;
2) при неисполнении налогоплательщиком уведомления об устранении нарушения налогового законодательства Республики Казахстан или решения налогового органа о признании налогоплательщика-резидента прямо или косвенно, или конструктивно владеющим долями участия либо имеющим прямой или косвенный, или конструктивный контроль в контролируемой иностранной компании.
11. Положения пунктов 4 - 10 настоящей статьи распространяются также на случаи своевременного представления резидентом заявления об участии (контроле) в контролируемой иностранной компании при отсутствии в нем сведений об одной или нескольких контролируемых иностранных компаниях.
Глава 34. УМЕНЬШЕНИЕ НАЛОГООБЛАГАЕМОГО ДОХОДА
Статья 337. Уменьшение налогооблагаемого дохода
1. Налогоплательщик имеет право на уменьшение налогооблагаемого дохода на следующие виды расходов:
1) налогоплательщики, состоявшие в налоговом периоде на мониторинге крупных налогоплательщиков, за исключением участников горизонтального мониторинга, - в размере общей суммы, не превышающей 3 процента от налогооблагаемого дохода:
благотворительную помощь при наличии решения налогоплательщика на основании обращения со стороны лица, получающего помощь;
стоимость безвозмездно переданного имущества, получателем которого является:
некоммерческая организация;
организация, осуществляющая деятельность в социальной сфере.
Положения настоящего подпункта применяются также в отношении налогооблагаемого дохода по контрактной деятельности недропользователя;
2) налогоплательщики, за исключением налогоплательщиков, указанных в подпункте 1) настоящего пункта, - в размере общей суммы, не превышающей 4 процента от налогооблагаемого дохода:
благотворительную помощь при наличии решения налогоплательщика на основании обращения со стороны лица, получающего помощь;
стоимость безвозмездно переданного имущества, получателем которого является:
некоммерческая организация;
организация, осуществляющая деятельность в социальной сфере.
Положения настоящего подпункта применяются также в отношении налогооблагаемого дохода по контрактной деятельности недропользователя;
3) 2-кратный размер произведенных расходов на оплату труда лиц с инвалидностью и на 50 процентов от суммы исчисленного социального налога от заработной платы и выплат лицам с инвалидностью;
4) субъекты социального предпринимательства, включенные в реестр субъектов социального предпринимательства, - в размере произведенных расходов на оплату обучения по освоению профессии, профессиональной подготовки, переподготовки или повышения квалификации работников, являющихся:
лицами с инвалидностью;
родителями и другими законными представителями, воспитывающими ребенка с инвалидностью;
пенсионерами и гражданами предпенсионного возраста (в течение пяти лет до наступления возраста, дающего право на пенсионные выплаты по возрасту);
воспитанниками детских деревень и выпускниками детских домов, школ-интернатов для детей-сирот и детей, оставшихся без попечения родителей, в возрасте до двадцати девяти лет;
лицами, освобожденными от отбывания наказания из учреждений уголовно-исполнительной (пенитенциарной) системы, в течение двенадцати месяцев после освобождения;
кандасами.
Уменьшение налогооблагаемого дохода, предусмотренное настоящим подпунктом, применяется в сумме расходов, произведенных на одного работника за налоговый период, но не более 120-кратного размера месячного расчетного показателя, действующего на 1 января соответствующего финансового года.
При изменении статуса работника, предусмотренного частью первой настоящего подпункта, уменьшение размера налогооблагаемого дохода производится исходя из удельного веса месяцев в налоговом периоде, когда работник соответствовал статусу, определенному частью первой настоящего подпункта.
Уменьшение налогооблагаемого дохода по работнику производится однократно и не допускается повторное применение в последующих налоговых периодах;
5) расходы на обучение физического лица, не состоящего с налогоплательщиком в трудовых отношениях, при условии заключения с физическим лицом договора об обязательстве отработать у налогоплательщика не менее трех лет.
В целях настоящего подпункта расходы на обучение включают:
фактически произведенные расходы на оплату обучения;
фактически произведенные расходы на проживание в пределах норм, установленных уполномоченным органом в области налоговой политики;
расходы на выплату обучаемому лицу суммы денег в размерах, определенных налогоплательщиком, но не превышающих нормы, установленные уполномоченным органом в области налоговой политики;
фактически произведенные расходы на проезд к месту учебы при поступлении и обратно после завершения обучения;
фактически произведенные расходы по страхованию на случай болезни обучаемого лица в период временного пребывания за пределами Республики Казахстан в период обучения.
Положения настоящего подпункта не применяются в случаях:
незаключения трудового договора с физическим лицом, по расходам на обучение которого применены положения настоящего подпункта, в течение трех месяцев со дня окончания обучения физическим лицом, за исключением случая возмещения физическим лицом расходов на обучение полностью или частично в течение периода времени, включающего налоговый период, в котором окончено обучение физического лица, а также последующий налоговый период. В случае такого возмещения положения настоящего подпункта не применяются в размере суммы расходов на обучение, не возмещенной физическим лицом;
расторжения трудового договора с физическим лицом, по расходам на обучение которого применены положения настоящего подпункта, до истечения трех лет с даты заключения трудового договора с таким лицом, за исключением случая возмещения физическим лицом расходов на обучение полностью или частично в течение периода времени, включающего налоговый период, в котором произведено расторжение трудового договора, а также последующий налоговый период. В случае такого возмещения положения настоящего подпункта не применяются в размере суммы расходов на обучение, не возмещенной физическим лицом;
применения недропользователем в отношении таких расходов на обучение положений статьи 317 настоящего Кодекса;
6) в размере 200 процентов от суммы отнесенных на вычеты в соответствии со статьей 269 настоящего Кодекса расходов на:
научно-исследовательские, научно-технические и (или) опытно-конструкторские работы в связи с созданием объекта промышленной собственности, включая работы, по которым имеется охранный документ;
приобретение исключительных прав на объекты интеллектуальной собственности у высших учебных заведений, научных организаций, автономных организаций образования, стартап-компаний по лицензионному договору или договору уступки исключительного права с целью коммерциализации результатов научной и (или) научно-технической деятельности.
Положения настоящего подпункта применяются в случае проведения указанных работ и (или) внедрения (использования) результатов научной и (или) научно-технической деятельности на территории Республики Казахстан.
Подтверждением проведения научно-исследовательских, научно-технических и опытно-конструкторских работ и (или) внедрения (использования) результата указанных работ и (или) результатов научной и (или) научно-технической деятельности является акт внедрения (использования) результатов научной и (или) научно-технической деятельности, составленный по форме и согласованный в порядке, которые определяются уполномоченным органом в области науки по согласованию с уполномоченными органами соответствующей отрасли;
7) расходы в виде эндаумента (целевого вклада) в эндаумент-фонд (целевой капитал) путем финансирования объектов благотворительности, предусмотренных благотворительной программой эндаумент-фонда (целевого капитала) в соответствии с законодательством Республики Казахстан о фондах целевого капитала и эндаумент-фондах (целевых капиталах), при одновременном соблюдении следующих условий:
получателем эндаумента (целевого вклада) является фонд целевого капитала, зарегистрированный в соответствии с законодательством Республики Казахстан о государственной регистрации юридических лиц и учетной регистрации филиалов и представительств;
договор целевого вклада предусматривает бессрочную и безотзывную передачу эндаумента (целевого вклада);
наличие документов, подтверждающих исполнение обязательств по договору целевого вклада, предусматривающего целевое использование эндаумента (целевого вклада).
Недропользователи применяют положения настоящего подпункта после исполнения обязательств, предусмотренных подпунктами 5), 9) и 10) пункта 2 и подпунктов 5), 6) и 8) пункта 2-1 статьи 36 Кодекса Республики Казахстан «О недрах и недропользовании».
2. Налогоплательщик имеет право на уменьшение налогооблагаемого дохода на следующие виды доходов:
1) 50 процентов от суммы вознаграждения по договору лизинга, за исключением неустойки (штрафа, пеней), но не более 50 процентов от суммы налогооблагаемого дохода за отчетный налоговый период, определяемого до уменьшения, предусмотренного настоящей статьей;
2) вознаграждение по долговым ценным бумагам, находящимся на дату начисления такого вознаграждения в официальном списке фондовой биржи, функционирующей на территории Республики Казахстан;
3) вознаграждение по агентским облигациям;
4) вознаграждение по ценным бумагам, выпущенным национальным управляющим холдингом, созданным в рамках мер по оптимизации системы управления институтами развития, финансовыми организациями и развитию национальной экономики;
5) доходы от прироста стоимости при реализации методом открытых торгов на фондовой бирже, функционирующей на территории Республики Казахстан, ценных бумаг, находящихся на день реализации в официальных списках данной фондовой биржи;
6) доходы от прироста стоимости при реализации агентских облигаций;
7) доходы от прироста стоимости при реализации акций, выпущенных юридическим лицом - резидентом, или долей участия в юридическом лице - резиденте или консорциуме, созданном в Республике Казахстан, если иное не установлено подпунктами 5) и 10) настоящего пункта, при одновременном выполнении следующих условий:
на день реализации акций или долей участия налогоплательщик владеет данными акциями или долями участия более трех лет;
такое юридическое лицо - эмитент или такое юридическое лицо, доля участия в котором реализуется, или участник такого консорциума, который реализует долю участия в таком консорциуме, не является недропользователем;
имущество лиц (лица), являющихся (являющегося) недропользователями (недропользователем), в стоимости активов такого юридического лица - эмитента или такого юридического лица, доля участия в котором реализуется, или общей стоимости активов участников такого консорциума, доля участия в котором реализуется, на день такой реализации составляет не более 50 процентов.
Указанный в настоящем подпункте срок владения налогоплательщиком акциями или долями участия определяется совокупно с учетом сроков владения акциями или долями участия прежними собственниками, если такие акции или доли участия получены налогоплательщиком в результате реорганизации прежних собственников.
В целях настоящего подпункта недропользователем не признается недропользователь, являющийся таковым исключительно из-за обладания правом на добычу подземных вод и (или) общераспространенных полезных ископаемых для собственных нужд.
При этом доля имущества лиц (лица), являющихся (являющегося) недропользователями (недропользователем), в стоимости активов юридического лица или консорциума, чьи акции или доли участия реализуются, определяется в соответствии со статьей 687 настоящего Кодекса;
8) доходы от прироста стоимости при реализации долговых ценных бумаг, эмитентом которых является юридическое лицо - резидент, за исключением доходов, указанных в подпунктах 5) и 6) настоящего пункта, а также доходов лица, являющегося резидентом государства с льготным налогообложением, при одновременном выполнении следующих условий:
на день реализации долговых ценных бумаг налогоплательщик владеет данными долговыми ценными бумагами более трех лет;
такое юридическое лицо - эмитент не является недропользователем;
имущество лиц (лица), являющихся (являющегося) недропользователями (недропользователем), в стоимости активов такого юридического лица - эмитента на день такой реализации составляет не более 50 процентов.
В целях настоящего подпункта недропользователем не признается недропользователь, являющийся таковым исключительно из-за обладания правом на добычу подземных вод и (или) общераспространенных полезных ископаемых для собственных нужд.
При этом доля имущества лиц (лица), являющихся (являющегося) недропользователями (недропользователем), в стоимости активов юридического лица - эмитента определяется в соответствии со статьей 687 настоящего Кодекса;
9) доход от прироста стоимости при реализации ценных бумаг, выпущенных национальным управляющим холдингом, созданным в рамках мер по оптимизации системы управления институтами развития, финансовыми организациями и развитию национальной экономики;
10) доходы от прироста стоимости при реализации акций, выпущенных участниками «Астана Хаб», долей участия в уставном капитале участника «Астана Хаб»;
11) стоимость имущества, полученного через уполномоченные органы в виде гуманитарной помощи, распределяемой Правительством Республики Казахстан, для предупреждения и ликвидации чрезвычайных ситуаций и использованного по назначению;
12) стоимость имущества, полученного на безвозмездной основе республиканским государственным предприятием от государственного органа или республиканского государственного предприятия на основании решения Правительства Республики Казахстан;
13) вознаграждение по договору банковского вклада, полученное организацией устойчивости, 100 процентов голосующих акций которой принадлежат Национальному Банку, в рамках программы рефинансирования ипотечных жилищных займов (ипотечных займов), переданной организацией, специализирующейся на улучшении качества кредитных портфелей банков второго уровня, единственным акционером которой является Правительство Республики Казахстан;
14) доход налогоплательщика от осуществления перевозки груза и (или) предоставления услуг по договорам бербоут-чартера, тайм-чартера морским судном, зарегистрированным в международном судовом реестре Республики Казахстан;
15) доходы правообладателя фильма, признанного национальным фильмом в соответствии с законодательством Республики Казахстан о кинематографии, от проката и осуществления показа в кинозалах такого национального фильма на территории Республики Казахстан при наличии исключительного права в соответствии с Законом Республики Казахстан «Об авторском праве и смежных правах».
Положения подпунктов 2) и 5) части первой настоящего пункта не применяются в отношении вознаграждения и дохода от прироста стоимости по государственным эмиссионным ценным бумагам.
Положения подпунктов 2) и 5) части первой настоящего пункта применяются к доходу в виде вознаграждения и доходу от прироста стоимости по государственным эмиссионным ценным бумагам, выпущенным Министерством финансов Республики Казахстан в размере 50 процентов от суммы полученного дохода за отчетный налоговый период.
Глава 35. УБЫТКИ
Статья 338. Учет убытков
В целях налогообложения производится учет следующих убытков:
1) от предпринимательской деятельности;
2) от выбытия долгосрочных материальных активов;
3) от выбытия инвестиционных активов;
4) по объекту интеллектуальной собственности при осуществлении приоритетных видов деятельности участниками «Астана Хаб»;
5) по производному финансовому инструменту.
Статья 339. Убыток от предпринимательской деятельности
1. Убытком от предпринимательской деятельности признается отрицательное значение, полученное при применении формулы в соответствии с пунктом 1 статьи 236 настоящего Кодекса. Если иное не установлено настоящей статьей, убыток от предпринимательской деятельности за налоговый период переносится последовательно на последующие десять налоговых периодов включительно и компенсируется за счет налогооблагаемого дохода за эти налоговые периоды.
Облагаемый доход контролируемых иностранных компаний и постоянных учреждений контролируемых иностранных компаний, за исключением зарегистрированных в государствах с льготным налогообложением, уменьшается на сумму убытков от предпринимательской деятельности в Республике Казахстан, возникших за отчетный и два предыдущих налоговых периода, последовательно предшествующих отчетному налоговому периоду. Убытки, учтенные в текущем и (или) предыдущих периодах за счет объектов налогообложения, определенных статьей 235 настоящего Кодекса, не учитываются.
2. Не переносятся на последующие налоговые периоды убытки от предпринимательской деятельности, полученные дочерней организацией банка, приобретающей сомнительные и безнадежные активы родительского банка.
Статья 340. Убыток от выбытия долгосрочных материальных активов
1. Убытком от выбытия долгосрочных материальных активов признается общая сумма следующих видов убытков:
1) убыток от выбытия фиксированных активов группы I;
2) убыток от выбытия объектов незавершенного строительства;
3) убыток от выбытия неустановленных машин и оборудования;
4) убыток от выбытия активов со сроком службы более одного года, не относимых к фиксированным активам или запасам.
2. Убытком от выбытия фиксированных активов группы I признается отрицательное значение общей суммы результатов от всех выбытий фиксированных активов группы I за налоговый период, полученное в соответствии с пунктом 1 статьи 244 настоящего Кодекса.
3. Убытком от выбытия объектов незавершенного строительства является отрицательное значение общей суммы результатов от всех операций выбытия таких объектов за налоговый период, полученное в соответствии с пунктом 4 статьи 254 настоящего Кодекса.
4. Убытком от выбытия неустановленных машин и оборудования является отрицательное значение общей суммы результатов от всех операций выбытия таких машин и оборудования за налоговый период, полученное в соответствии с пунктом 4 статьи 254 настоящего Кодекса.
5. Убытком от выбытия активов со сроком службы более одного года, не относимых к фиксированным активам или запасам, является отрицательное значение общей суммы результатов от всех операций выбытия таких активов за налоговый период, полученное в соответствии с пунктом 4 статьи 254 настоящего Кодекса.
6. Убыток от выбытия долгосрочных материальных активов не учитывается в налоговом периоде, за который он определен.
Такой убыток переносится последовательно на последующие десять налоговых периодов включительно и компенсируется за счет налогооблагаемого дохода за эти налоговые периоды.
Статья 341. Убыток от выбытия инвестиционных активов
1. Убытком от выбытия инвестиционных активов признаются убытки от выбытия следующих видов активов:
1) земельных участков;
2) ценных бумаг;
3) долей участия;
4) инвестиционного золота.
2. Убытком от выбытия земельных участков является отрицательное значение общей суммы результатов от всех операций выбытия земельных участков за налоговый период, полученное в соответствии с пунктом 4 статьи 254 настоящего Кодекса.
3. Убытком от выбытия долей участия является отрицательное значение общей суммы результатов от всех операций выбытия долей участия за налоговый период, полученное в соответствии с пунктом 1 статьи 251 настоящего Кодекса.
4. Убытком от выбытия ценных бумаг является отрицательное значение общей суммы результатов от всех операций выбытия ценных бумаг за налоговый период, полученное в соответствии с пунктом 3 статьи 252 настоящего Кодекса.
5. Убытком от выбытия инвестиционного золота является отрицательное значение общей суммы результатов от всех операций выбытия инвестиционного золота за налоговый период, полученное в соответствии с пунктом 4 статьи 254 настоящего Кодекса.
6. Убытки от выбытия каждого вида активов, указанных в пунктах 2-5 настоящей статьи, возникшие за налоговый период, компенсируются за счет дохода от прироста по этому же виду актива за этот же налоговый период.
Сумма убытка от выбытия каждого вида активов, не компенсированного в периоде, в котором он имел место, переносится последовательно на последующие десять налоговых периодов включительно и компенсируется за счет доходов от прироста стоимости по этому же виду актива этих налоговых периодов.
Статья 342. Убыток по производному финансовому инструменту
1. Убыток по производному финансовому инструменту определяется как превышение расходов над поступлениями, которые определяются в соответствии со статьями 290 и 291 настоящего Кодекса.
Если иное не установлено настоящим пунктом, убыток по производному финансовому инструменту признается на день исполнения, досрочного или иного прекращения прав, а также на день совершения сделки с производным финансовым инструментом, требования по которому компенсируют полностью или частично обязательства по ранее совершенной сделке с производным финансовым инструментом.
Убыток по свопу, а также иному производному финансовому инструменту, срок действия которого превышает двенадцать месяцев со дня его заключения, исполнение которого предусматривает осуществление платежей до окончания срока действия финансового инструмента, размер которых зависит от изменения цены, курса валюты, показателей процентных ставок, индексов и иного установленного таким производным финансовым инструментом показателя, признается в каждом налоговом периоде, в котором возникает превышение, указанное в части первой настоящего пункта.
При этом убыток по производному финансовому инструменту, используемому в иных целях, чем в целях хеджирования или поставки базового актива, переносится в порядке, определенном пунктом 2 настоящей статьи.
Убыток по производному финансовому инструменту, применяемому в целях хеджирования, учитывается в соответствии со статьей 292 настоящего Кодекса.
2. Убытки по производным финансовым инструментам, используемым в иных целях, чем в целях хеджирования или поставки базового актива, компенсируются за счет доходов по производным финансовым инструментам, используемым в иных целях, чем в целях хеджирования или поставки базового актива.
Если такие убытки не могут быть компенсированы в периоде, в котором возникли, то они могут переноситься на последующие десять лет включительно и компенсироваться за счет доходов по производным финансовым инструментам, используемым в иных целях, чем в целях хеджирования или поставки базового актива.
Статья 343. Убыток по объекту интеллектуальной собственности при осуществлении приоритетных видов деятельности участниками «Астана Хаб»
1. Убыток по объекту интеллектуальной собственности при осуществлении приоритетных видов деятельности участниками «Астана Хаб» определяется как превышение вычетов, предусмотренных настоящим разделом, над совокупным годовым доходом с учетом уменьшений совокупного годового дохода, указанных в статье 255 настоящего Кодекса. Убыток определяется по каждому объекту интеллектуальной собственности.
2. Убытки по объекту интеллектуальной собственности при осуществлении приоритетных видов деятельности участниками «Астана Хаб» переносятся на последующие налоговые периоды и компенсируются за счет налогооблагаемого дохода за эти налоговые периоды по каждому объекту интеллектуальной собственности в пределах срока исковой давности.
Статья 344. Убытки, передаваемые в связи с реорганизацией
1. Убытки, установленные статьей 338 настоящего Кодекса, передаваемые в связи с реорганизацией путем разделения или выделения, распределяются среди вновь созданных налогоплательщиков пропорционально удельному весу стоимости передаваемых на основании разделительного баланса активов в стоимости активов реорганизуемого юридического лица по состоянию на дату, предшествующую дате составления разделительного баланса. Переданные убытки учитываются и переносятся вновь созданными налогоплательщиками в порядке, определенном статьями 339 - 343 настоящего Кодекса.
2. Если иное не установлено пунктом 3 настоящей статьи, при реорганизации юридического лица путем присоединения или слияния убытки реорганизуемого юридического лица у правопреемника не учитываются.
3. При реорганизации юридического лица путем присоединения или слияния в соответствии с решением Правительства Республики Казахстан убытки реорганизуемого юридического лица передаются правопреемнику однократно при каждой реорганизации и переносятся правопреемником в порядке, определенном статьями 339 - 343 настоящего Кодекса.
Глава 36. ПОРЯДОК ИСЧИСЛЕНИЯ И СРОКИ УПЛАТЫ КОРПОРАТИВНОГО ПОДОХОДНОГО НАЛОГА
Параграф 1. Исчисление и уплата корпоративного подоходного налога
Статья 345. Исчисление суммы корпоративного подоходного налога
1. Корпоративный подоходный налог, за исключением корпоративного подоходного налога на чистый доход и корпоративного подоходного налога, удерживаемого у источника выплаты, исчисляется за налоговый период в следующем порядке:
сумма исчисленного корпоративного подоходного налога налогоплательщиком, полученная сложением сумм исчисленного корпоративного подоходного налога от налогооблагаемого дохода по каждому виду деятельности в соответствии с пунктом 2 настоящей статьи,
плюс
сумма исчисленного корпоративного подоходного налога с облагаемого дохода контролируемых иностранных компаний и постоянных учреждений контролируемых иностранных компаний в соответствии с пунктом 3 настоящей статьи
минус
сумма корпоративного подоходного налога, на которую осуществляется зачет в соответствии со статьей 346 настоящего Кодекса,
минус
сумма корпоративного подоходного налога, удержанного в налоговом периоде у источника выплаты в соответствии со статьей 352 настоящего Кодекса при наличии документов, подтверждающих удержание налога,
минус
сумма корпоративного подоходного налога, удержанного у источника выплаты с дохода, перенесенная из предыдущих налоговых периодов в соответствии с пунктом 4 настоящей статьи.
2. Корпоративный подоходный налог от налогооблагаемого дохода по каждому виду деятельности, предусмотренному пунктом 2 статьи 357 настоящего Кодекса, исчисляется как произведение налогооблагаемого дохода для исчисления налога и соответствующей ставки корпоративного подоходного налога по виду деятельности.
Налогооблагаемый доход для исчисления налога определяется в следующем порядке:
налогооблагаемый доход, определенный в соответствии со статьей 236 настоящего Кодекса,
минус
уменьшение налогооблагаемого дохода на сумму доходов и расходов, предусмотренных статьей 337 настоящего Кодекса,
минус
убытки, переносимые либо компенсируемые в порядке, определенном статьями 339 - 344 настоящего Кодекса.
3. Сумма корпоративного подоходного налога с облагаемого дохода контролируемых иностранных компаний и постоянных учреждений контролируемых иностранных компаний исчисляется сложением:
суммы корпоративного подоходного налога, исчисляемого как произведение ставки корпоративного подоходного налога и облагаемого дохода контролируемых иностранных компаний и постоянных учреждений контролируемых иностранных компаний, за исключением зарегистрированных в государствах с льготным налогообложением, с учетом уменьшения на сумму убытков в соответствии со статьей 339 настоящего Кодекса; и
суммы корпоративного подоходного налога, исчисляемого как произведение ставки корпоративного подоходного налога и облагаемого дохода контролируемых иностранных компаний и постоянных учреждений контролируемых иностранных компаний, зарегистрированных в государствах с льготным налогообложением.
4. Положительная разница между суммой корпоративного подоходного налога, удержанного у источника выплаты, и суммой исчисленного корпоративного подоходного налога в соответствии с пунктом 1 настоящей статьи, подлежащего уплате в бюджет, переносится на последующие налоговые периоды в течение срока исковой давности и последовательно уменьшает суммы корпоративного подоходного налога, подлежащие уплате в бюджет, данных налоговых периодов.
Статья 346. Зачет иностранного налога
1. Если иное не предусмотрено настоящей статьей, суммы уплаченных за пределами Республики Казахстан налогов на доходы или прибыль или иного иностранного налога, аналогичного корпоративному или индивидуальному подоходному налогу (далее в целях настоящей статьи - иностранный подоходный налог), с доходов, полученных налогоплательщиком-резидентом из источников за пределами Республики Казахстан, подлежат зачету в счет уплаты корпоративного или индивидуального подоходного налога в Республике Казахстан при наличии документа, подтверждающего уплату такого иностранного подоходного налога.
Таким документом является справка о суммах полученных доходов из источников в иностранном государстве и уплаченных налогов, выданная и (или) заверенная налоговым органом иностранного государства.
В случае, если справка о суммах полученных доходов из источников в иностранном государстве и уплаченных налогов, выданная и (или) заверенная налоговым органом иностранного государства, составлена на иностранном языке, обязательно наличие перевода на казахский или русский язык, засвидетельствованного нотариусом в порядке, определенном законодательством Республики Казахстан.
При отнесении в зачет сумм иностранного подоходного налога, уплаченных в иностранном государстве, в счет уплаты корпоративного или индивидуального подоходного налога налогоплательщик вправе представить указанную в настоящем пункте справку по требованию налогового органа.
2. Не предоставляется в Республике Казахстан зачет иностранного подоходного налога, исчисленного с доходов налогоплательщика-резидента из источников за пределами Республики Казахстан:
освобожденных от налогообложения в соответствии с положениями настоящего Кодекса;
подлежащих уменьшению в соответствии со статьей 255 настоящего Кодекса;
подлежащих налогообложению в Республике Казахстан в соответствии с положениями международного договора независимо от факта уплаты и (или) удержания иностранного подоходного налога с таких доходов в иностранном государстве в пределах излишне уплаченной суммы налога в иностранном государстве. При этом излишне уплаченная сумма налога определяется как разница между фактически уплаченной суммой иностранного подоходного налога и суммой иностранного подоходного налога, подлежащей уплате в иностранном государстве в соответствии с положениями международного договора.
3. Размер зачитываемых сумм, предусмотренных настоящей статьей, определяется по каждому иностранному государству отдельно.
При этом размер зачитываемой суммы иностранного подоходного налога представляет собой наименьшую из следующих сумм:
1) сумму фактически уплаченного в иностранном государстве иностранного подоходного налога с доходов, полученных налогоплательщиком-резидентом из источников за пределами Республики Казахстан;
2) сумму иностранного подоходного налога с доходов из источников за пределами Республики Казахстан, подлежащую уплате в иностранном государстве в соответствии с положениями международного договора Республики Казахстан;
3) сумму корпоративного или индивидуального подоходного налога с доходов из источников за пределами Республики Казахстан, исчисленную в Республике Казахстан по ставке, установленной настоящим Кодексом.
Налогоплательщик в течение срока исковой давности, установленного статьей 65 настоящего Кодекса, производит зачет иностранного подоходного налога с доходов из источников за пределами Республики Казахстан в налоговом периоде, в котором указанный доход подлежит получению (получен).
В случае признания дохода в иностранном государстве в налоговом периоде, отличном от налогового периода, в котором указанный доход признается в соответствии с настоящим Кодексом, налогоплательщик-резидент вправе произвести зачет иностранного подоходного налога с доходов из источников за пределами Республики Казахстан в налоговом периоде, в котором такой доход начислен в соответствии с налоговым законодательством Республики Казахстан.
Положение настоящего пункта не распространяется на положения пункта 4 настоящей статьи.
4. Подлежит зачету в счет уплаты корпоративного подоходного налога в Республике Казахстан сумма подоходного налога с финансовой прибыли контролируемой иностранной компании или финансовой прибыли постоянного учреждения контролируемой иностранной компании, исчисленная по следующей формуле:
НЗ = П × Д × Сэ/100%, где:
НЗ - сумма подоходного налога, подлежащая отнесению в зачет;
П - положительная величина финансовой прибыли контролируемой иностранной компании или положительная величина финансовой прибыли постоянного учреждения контролируемой иностранной компании, включенная в объект обложения резидента в соответствии со статьей 228 настоящего Кодекса;
Д - коэффициент прямого или косвенного, или конструктивного участия или прямого или косвенного, или конструктивного контроля резидента в контролируемой иностранной компании, определяемый в соответствии со статьей 335 настоящего Кодекса;
Сэ - эффективная ставка, определяемая в соответствии с подпунктом 18) пункта 3 статьи 332 настоящего Кодекса, без учета подоходного налога, в том числе удержанного у источника выплаты в Республике Казахстан с доходов, указанных в подпунктах 1) -10) части первой пункта 5 статьи 335 настоящего Кодекса.
Положения части первой настоящего пункта не применяются к контролируемой иностранной компании и (или) постоянному учреждению контролируемой иностранной компании, которые зарегистрированы в государствах с льготным налогообложением и (или) резидент при исчислении суммарной прибыли контролируемой иностранной компании и (или) постоянного учреждения контролируемой иностранной компании использует в текущем налоговом периоде формулу с долей пассивных доходов.
В случае если финансовая прибыль контролируемой иностранной компании или финансовая прибыль постоянного учреждения контролируемой иностранной компании облагалась иностранным подоходным налогом в двух и более иностранных государствах, то в зачет принимается только тот иностранный подоходный налог, у которого эффективная ставка составляет максимальную величину из эффективных ставок иностранного подоходного налога, уплаченного в таких иностранных государствах. Положения настоящей части применяются:
1) при косвенном владении долями участия (голосующими акциями) или косвенном контроле в контролируемой иностранной компании и уплате иностранного подоходного налога в двух и более иностранных государствах (в которых зарегистрировано (зарегистрированы) контролируемое лицо (контролируемые лица), через которое (которые) осуществляется такое косвенное владение или такой косвенный контроль) с финансовой прибыли контролируемой иностранной компании или финансовой прибыли постоянного учреждения контролируемой иностранной компании, или
2) при прямом владении долями участия (голосующими акциями) или прямом контроле в контролируемой иностранной компании и уплате иностранного подоходного налога с финансовой прибыли постоянного учреждения контролируемой иностранной компании в иностранных государствах, в которых зарегистрированы:
постоянное учреждение контролируемой иностранной компании;
контролируемая иностранная компания, создавшая постоянное учреждение.
В случае владения резидентом прямо и косвенно долями участия (голосующими акциями) либо наличия у резидента прямого и косвенного контроля в контролируемой иностранной компании сумма иностранного подоходного налога с финансовой прибыли контролируемой иностранной компании или финансовой прибыли постоянного учреждения контролируемой иностранной компании, подлежащая отнесению в зачет в соответствии с настоящим пунктом, рассчитывается отдельно по каждому прямому и косвенному владению долями участия (голосующими акциями) либо прямому и косвенному контролю в контролируемой иностранной компании. При этом отнесению в зачет в соответствии с настоящим пунктом подлежит сумма величин такого иностранного подоходного налога, рассчитанных отдельно по прямому и косвенному владению долями участия (голосующими акциями) либо прямому и косвенному контролю в контролируемой иностранной компании.
Для применения настоящего пункта у резидента должны быть в наличии (с обязательным переводом на казахский или русский язык) следующие документы:
копия утвержденной отдельной финансовой отчетности контролируемой иностранной компании и (или) постоянного учреждения контролируемой иностранной компании;
документ, заверенный подписью первого руководителя (или лица, уполномоченного подписывать финансовую отчетность) резидента, раскрывающий единую организационную структуру консолидированной группы, участником (акционером) которой является резидент, с отражением наименования всех участников такой консолидированной группы и их географического местонахождения (наименования государств (территорий), где участники консолидированной группы созданы (учреждены), размеров долей участия и номеров государственной и налоговой регистрации всех участников консолидированной группы (при наличии налоговой регистрации);
копия составленного (составленных) на иностранном языке документа (документов), подтверждающего (подтверждающих) уплату в иностранном государстве, в котором зарегистрирована контролируемая иностранная компания или зарегистрировано постоянное учреждение контролируемой иностранной компании, иностранного подоходного налога с финансовой прибыли контролируемой иностранной компании и (или) постоянного учреждения контролируемой иностранной компании;
копия составленного (составленных) на иностранном языке документа (документов), подтверждающего (подтверждающих) удержание и перечисление в бюджет иностранного государства (иностранных государств) налога у источника выплаты с дохода (доходов), включенного (включенных) в финансовую прибыль до налогообложения;
документ, заверенный подписью первого руководителя (или лица, уполномоченного подписывать финансовую отчетность) контролируемой иностранной компании и (или) постоянного учреждения контролируемой иностранной компании, раскрывающий информацию о включении в финансовую прибыль до налогообложения дохода (доходов), обложенного (обложенных) налогом у источника выплаты, или пояснительная записка к аудированной финансовой отчетности, заверенная лицом, проводившим аудит финансовой отчетности контролируемой иностранной компании и (или) постоянного учреждения контролируемой иностранной компании, раскрывающая информацию о включении в финансовую прибыль до налогообложения дохода (доходов), обложенного (обложенных) налогом у источника выплаты.
Статья 347. Сроки и порядок уплаты корпоративного подоходного налога
1. Налогоплательщики осуществляют уплату корпоративного подоходного налога, исчисленного в соответствии со статьей 345 настоящего Кодекса, по месту нахождения.
2. Сумма авансовых платежей, внесенная в бюджет в течение налогового периода, зачитывается в счет уплаты корпоративного подоходного налога, исчисленного по декларации по корпоративному подоходному налогу за отчетный налоговый период.
Налогоплательщик осуществляет уплату по корпоративному подоходному налогу по итогам налогового периода не позднее десяти календарных дней после срока, установленного для сдачи декларации.
3. Налогоплательщик осуществляет уплату корпоративного подоходного налога, исчисленного в соответствии с главой 33 настоящего Кодекса, по итогам налогового периода не позднее десяти календарных дней после последнего срока, установленного пунктом 4 статьи 359 настоящего Кодекса.
Положения настоящего пункта не применяются к корпоративному подоходному налогу, исчисленному с налогооблагаемого дохода контролируемых иностранных компаний и постоянных учреждений контролируемых иностранных компаний, зарегистрированных в государствах с льготным налогообложением.
Параграф 2. Авансовые платежи по корпоративному подоходному налогу
Статья 348. Плательщики авансовых платежей
1. Плательщиками авансовых платежей являются плательщики корпоративного подоходного налога, за исключением следующих лиц:
1) налогоплательщики, у которых совокупный годовой доход с учетом корректировок за налоговый период, предшествующий предыдущему налоговому периоду, не превышает сумму, равную 600 000-кратному размеру месячного расчетного показателя, предшествующего предыдущему финансовому году. При определении совокупного годового дохода для целей настоящего подпункта не учитываются доходы, указанные в пункте 3 настоящей статьи;
2) если иное не установлено настоящим подпунктом, вновь созданные (возникшие) налогоплательщики - в течение налогового периода, в котором осуществлена государственная (учетная) регистрация в регистрирующем органе, а также в течение последующего налогового периода. Вновь возникшее юридическое лицо в результате реорганизации путем разделения или выделения является плательщиком авансовых платежей в налоговом периоде, в котором осуществлена такая реорганизация, а также в течение двух последующих налоговых периодов в случае, если реорганизованное путем разделения или выделения юридическое лицо исчисляло авансовые платежи по корпоративному подоходному налогу в налоговом периоде, в котором осуществлена такая реорганизация;
3) вновь зарегистрированные в налоговых органах в качестве налогоплательщиков юридические лица - нерезиденты, осуществляющие деятельность в Республике Казахстан через постоянное учреждение без открытия структурного подразделения юридического лица, - в течение налогового периода, в котором осуществлена регистрация в налоговых органах, а также в течение последующего налогового периода;
4) некоммерческие организации, применяющие положения пункта 1 статьи 329 и статьи 330 настоящего Кодекса;
5) организации лиц с инвалидностью, соответствующие условиям статьи 331 настоящего Кодекса;
6) участники «Астана Хаб»;
7) организация, специализирующаяся на улучшении качества кредитных портфелей банков второго уровня, единственным акционером которой является Правительство Республики Казахстан;
8) органы Центра в соответствии с Конституционным законом Республики Казахстан «О Международном финансовом центре «Астана» и организации органа МФЦА;
9) недропользователи, осуществляющие разработку газовых проектов на суше в соответствии с законодательством Республики Казахстан о недрах и недропользовании, применяющие особенности налогообложения, предусмотренные главой 83 настоящего Кодекса.
2. На налогоплательщиков, осуществляющих деятельность в сфере цифровых активов, не распространяются исключения, предусмотренные подпунктами 1) - 9) пункта 1 настоящей статьи.
3. При определении совокупного годового дохода не учитываются:
1) доходы от проката и осуществления показа в кинозалах на территории Республики Казахстан фильма, признанного национальным фильмом в соответствии с законодательством Республики Казахстан о кинематографии, исключительным правом на использование которого они обладают, при применении уменьшения налогооблагаемого дохода в соответствии с подпунктом 15) пункта 2 статьи 337 настоящего Кодекса;
2) доходы налогоплательщика, осуществляющего перевозку груза и (или) предоставляющего услуги по договорам бербоут-чартера, тайм-чартера морским судном, при применении уменьшения налогооблагаемого дохода в соответствии с подпунктом 14) пункта 2 статьи 337 настоящего Кодекса;
3) доходы от приоритетных видов деятельности, по которым применяется уменьшение корпоративного подоходного налога в соответствии с разделом 17 настоящего Кодекса.
Статья 349. Авансовые платежи за первый квартал
1. Авансовые платежи по корпоративному подоходному налогу за 1 квартал отчетного налогового периода уплачивают плательщики авансовых платежей, которые являлись плательщиками авансовых платежей в предыдущем налоговом периоде.
2. Авансовые платежи за первый квартал отчетного налогового периода исчисляются (начисляются) налоговым органом за каждый месяц первого квартала в размере одной двенадцатой от общей суммы авансовых платежей, исчисленной в расчетах сумм авансовых платежей за предыдущий налоговый период, включая дополнительные расчеты.
3. Авансовые платежи за каждый месяц первого квартала подлежат уплате в бюджет не позднее 25 числа каждого месяца первого квартала.
Статья 350. Авансовые платежи после декларации
1. Авансовые платежи по корпоративному подоходному налогу за второй, третий, четвертый кварталы отчетного налогового периода (далее для целей настоящей статьи - авансовые платежи после декларации) уплачивают плательщики авансовых платежей.
2. Авансовые платежи после декларации исчисляются за каждый месяц второго, третьего, четвертого кварталов отчетного налогового периода в следующем порядке:
1) в размере одной двенадцатой от суммы корпоративного подоходного налога, исчисленного за предыдущий налоговый период в соответствии с пунктом 1 статьи 345 и статьей 689 настоящего Кодекса, за исключением случаев, предусмотренных подпунктом 2) настоящего пункта. В целях исчисления авансовых платежей в сумму корпоративного подоходного налога, исчисленного за предыдущий налоговый период, не включается сумма корпоративного подоходного налога, исчисленная с суммарной прибыли контролируемых иностранных компаний или постоянных учреждений контролируемых иностранных компаний в соответствии со статьей 335 настоящего Кодекса;
2) исходя из предполагаемой суммы корпоративного подоходного налога за текущий налоговый период в следующих случаях:
если сумма корпоративного подоходного налога, исчисленного за предыдущий налоговый период в соответствии с пунктом 1 статьи 345 и статьей 689 настоящего Кодекса, равна нулю, включая нулевые показатели по налоговой отчетности автоматически сформированной информационной системой налогового органа;
если вновь возникшее юридическое лицо в результате реорганизации путем разделения или выделения является плательщиком авансовых платежей - в налоговом периоде, в котором осуществлена реорганизация путем разделения или выделения, а также в течение двух последующих налоговых периодов;
налогоплательщиками, осуществляющими деятельность в сфере цифровых активов.
3. Плательщики авансовых платежей составляют и представляют в налоговый орган по месту нахождения налогоплательщика расчет авансовых платежей после декларации. Срок представления данного расчета - не позднее 20 апреля отчетного налогового периода.
4. Налогоплательщики вправе откорректировать сумму авансовых платежей после декларации, исчисленную согласно пункту 2 настоящей статьи, исходя из предполагаемой суммы корпоративного подоходного налога за текущий налоговый период. Суммы авансовых платежей после декларации с учетом таких корректировок не могут иметь отрицательное значение.
Суммы корректировок, предусмотренные настоящим пунктом, отражаются в дополнительном расчете авансовых платежей после декларации. Налогоплательщик вправе представить такой расчет не позднее 31 декабря отчетного налогового периода.
5. Авансовые платежи после декларации за каждый месяц второго, третьего, четвертого кварталов отчетного налогового периода подлежат уплате в бюджет не позднее 25 числа каждого месяца этих кварталов.
Глава 37. КОРПОРАТИВНЫЙ ПОДОХОДНЫЙ НАЛОГ, УДЕРЖИВАЕМЫЙ У ИСТОЧНИКА ВЫПЛАТЫ
Статья 351. Доходы, облагаемые у источника выплаты
1. Если иное не предусмотрено пунктом 3 настоящей статьи, подлежат обложению корпоративным подоходным налогом у источника выплаты следующие виды доходов юридического лица - резидента Республики Казахстан при их выплате юридическим лицом - резидентом Республики Казахстан, юридическим лицом - нерезидентом, осуществляющим деятельность в Республике Казахстан через постоянное учреждение:
1) выигрыши;
2) вознаграждение.
2. Подлежат обложению корпоративным подоходным налогом у источника выплаты следующие виды доходов юридического лица - нерезидента Республики Казахстан:
1) выигрыши и вознаграждение при их выплате юридическим лицом - резидентом Республики Казахстан, юридическим лицом - нерезидентом, осуществляющим деятельность в Республике Казахстан через постоянное учреждение, юридическому лицу -нерезиденту, осуществляющему деятельность в Республике Казахстан через постоянное учреждение, если иное не предусмотрено пунктом 3 настоящей статьи;
2) доходы нерезидентов из источников в Республике Казахстан, определяемые в соответствии со статьей 679 настоящего Кодекса, за исключением указанных в подпункте 3) настоящего пункта, не связанные с постоянным учреждением таких нерезидентов, при их выплате юридическим лицом - резидентом Республики Казахстан, юридическим лицом - нерезидентом, осуществляющим деятельность в Республике Казахстан через постоянное учреждение;
3) дивиденды при их выплате юридическим лицом -резидентом, а также паевыми инвестиционными фондами, созданными в соответствии с законами Республики Казахстан, структурному подразделению юридического лица - нерезидента или постоянному учреждению нерезидента.
3. Не подлежат обложению у источника выплаты:
1) вознаграждение по государственным эмиссионным ценным бумагам и агентским облигациям;
2) вознаграждение, выплачиваемое единому накопительному пенсионному фонду по размещенным пенсионным активам;
3) вознаграждение, выплачиваемое добровольному накопительному пенсионному фонду по размещенным пенсионным активам;
4) вознаграждение, выплачиваемое страховым организациям, осуществляющим деятельность в отрасли страхования жизни;
5) вознаграждение, выплачиваемое паевым и акционерным инвестиционным фондам;
6) вознаграждение, выплачиваемое Государственному фонду социального страхования;
7) вознаграждение, выплачиваемое фонду социального медицинского страхования;
8) вознаграждение, выплачиваемое организации, осуществляющей обязательное гарантирование депозитов физических лиц;
9) вознаграждение по долговым ценным бумагам, находящимся на дату начисления такого вознаграждения в официальном списке фондовой биржи, функционирующей на территории Республики Казахстан;
10) вознаграждение по кредитам (займам), выплачиваемое организациям, осуществляющим отдельные виды банковских операций;
11) вознаграждение по кредиту (займу), депозиту, выплачиваемое банку-резиденту;
12) вознаграждение по договору лизинга, выплачиваемое лизингодателю-резиденту;
13) вознаграждение по операциям репо;
14) вознаграждение по микрокредитам, выплачиваемое организациям, осуществляющим микрофинансовую деятельность (за исключением ломбардов);
15) вознаграждение по долговым ценным бумагам, выплачиваемое:
организациям, осуществляющим профессиональную деятельность на рынке ценных бумаг;
юридическим лицам через организации, осуществляющие профессиональную деятельность на рынке ценных бумаг;
16) вознаграждение по депозитам, выплачиваемое:
некоммерческим организациям, за исключением зарегистрированных в форме акционерных обществ, учреждений и потребительских кооперативов, кроме объединений собственников имущества многоквартирного жилого дома, кооперативов собственников квартир (нежилых помещений);
участникам «Астана Хаб»;
17) вознаграждение, выплачиваемое по кредиту (займу, микрокредиту), право требования по которому уступлено юридическому лицу, указанному в законах Республики Казахстан «О банках и банковской деятельности в Республике Казахстан» и «О микрофинансовой деятельности»;
18) вознаграждение, выплачиваемое организации, специализирующейся на улучшении качества кредитных портфелей банков второго уровня, единственным акционером которой является Правительство Республики Казахстан;
19) вознаграждение по договору банковского вклада, выплачиваемое организации устойчивости, 100 процентов голосующих акций которой принадлежат Национальному Банку, в рамках программы рефинансирования ипотечных жилищных займов (ипотечных займов), переданной организацией, специализирующейся на улучшении качества кредитных портфелей банков второго уровня, единственным акционером которой является Правительство Республики Казахстан.
Статья 352. Порядок исчисления корпоративного подоходного налога, удерживаемого у источника выплаты
1. Сумма корпоративного подоходного налога, удерживаемого у источника выплаты, определяется налоговым агентом путем применения ставки, установленной подпунктом 2) пункта 1 статьи 357 настоящего Кодекса, к сумме выплачиваемого дохода, облагаемого у источника выплаты.
2. Налоговый агент обязан удержать налог, удерживаемый у источника выплаты, при выплате доходов, указанных в пунктах 1 и 2 статьи 351 настоящего Кодекса, за исключением доходов, предусмотренных пунктом 3 статьи 351 настоящего Кодекса, независимо от формы и места выплаты дохода.
3. Юридическое лицо своим решением вправе признать налоговым агентом по корпоративному подоходному налогу, удерживаемому у источника выплаты, свое структурное подразделение по доходам, облагаемым у источника выплаты, которые выплачены (подлежат выплате) таким структурным подразделением.
Если иное не установлено настоящей статьей, решение юридического лица или отмена такого решения вводится в действие с 1 января года, следующего за годом принятия такого решения.
В случае если вновь созданное структурное подразделение юридического лица признается налоговым агентом, то решение юридического лица о таком признании вводится в действие со дня создания данного структурного подразделения или с 1 января года, следующего за годом создания данного структурного подразделения.
Положения настоящего пункта не распространяются на корпоративный подоходный налог, удерживаемый у источника выплаты с доходов, выплачиваемых (подлежащих выплате) юридическому лицу - нерезиденту, осуществляющему деятельность в Республике Казахстан без образования постоянного учреждения.
Статья 353. Порядок налогообложения доходов юридических лиц - нерезидентов, деятельность которых не приводит к образованию постоянного учреждения в Республике Казахстан
Исчисление, удержание и перечисление корпоративного подоходного налога с доходов юридических лиц - нерезидентов, деятельность которых не приводит к образованию постоянного учреждения в Республике Казахстан, установленных пунктом 2 статьи 351 настоящего Кодекса, а также представление налоговой отчетности производятся в порядке, определенном главой 72 настоящего Кодекса.
Статья 354. Порядок исполнения налогового обязательства налоговым агентом по доходам, выплачиваемым резиденту в виде дивидендов по акциям, являющимся базовым активом депозитарных расписок, а также возврата подоходного налога, удержанного у источника выплаты
1. При выплате доходов в виде дивидендов по акциям, являющимся базовым активом депозитарных расписок, окончательному (фактическому) получателю (владельцу) дохода - резиденту через номинального держателя депозитарных расписок налоговый агент имеет право не облагать такие доходы подоходным налогом у источника выплаты в случаях и порядке, которые предусмотрены настоящим Кодексом, или применить к доходам физического лица - резидента ставку подоходного налога, предусмотренную подпунктом 1) статьи 363 настоящего Кодекса, при одновременном выполнении следующих условий:
1) наличия списка держателей депозитарных расписок или документа, подтверждающего право собственности на депозитарные расписки, содержащих:
фамилии, имена и отчества физических лиц или наименования юридических лиц, являющихся держателями депозитарных расписок;
информацию о количестве и виде депозитарных расписок;
наименования и реквизиты документов, удостоверяющих личность физических лиц, или номера и даты государственной регистрации юридических лиц, являющихся держателями депозитарных расписок;
2) наличия документа, подтверждающего резидентство Республики Казахстан, лица - окончательного (фактического) получателя (владельца) дивидендов по акциям, являющимся базовым активом депозитарных расписок.
При этом документ, подтверждающий резидентство Республики Казахстан, представляется налоговому агенту не позднее одной из дат, указанных в пункте 3 статьи 705 настоящего Кодекса, которая наступит первой.
Список держателей депозитарных расписок, указанный в подпункте 1) части первой настоящего пункта, составляется организацией, обладающей правом осуществления депозитарной деятельности на рынке ценных бумаг Республики Казахстан или иностранного государства, в случае, если договор на осуществление учета и подтверждение прав собственности на депозитарные расписки заключен между резидентом-эмитентом акций, являющихся базовым активом депозитарных расписок, и такой организацией.
Документ, подтверждающий право собственности на депозитарные расписки, указанный в подпункте 1) части первой настоящего пункта, выдается одним из следующих лиц, оказывающих услуги номинального держания в соответствии с законами Республики Казахстан:
организацией, обладающей правом осуществления депозитарной деятельности на рынке ценных бумаг Республики Казахстан или иностранного государства;
профессиональным участником рынка ценных бумаг Республики Казахстан, осуществляющим учет финансовых инструментов и денег клиентов и подтверждение прав на них, хранение документарных финансовых инструментов клиентов с принятием на себя обязательств по их сохранности;
иной организацией, оказывающей услуги по номинальному держанию ценных бумаг, а также осуществляющей учет и подтверждение прав на ценные бумаги и регистрацию сделок с ценными бумагами таких держателей.
2. Налоговый агент обязан указать в налоговой отчетности, представляемой в налоговый орган, суммы начисленных (выплаченных) доходов и удержанных, освобожденных от удержания налогов в соответствии с настоящим Кодексом, ставки подоходного налога.
3. В случае неприменения налоговым агентом положений настоящего Кодекса при выплате резиденту через номинального держателя депозитарных расписок - нерезидента доходов в виде дивидендов по акциям, являющимся базовым активом депозитарных расписок, в порядке, определенном пунктом 1 настоящей статьи, налоговый агент обязан удержать подоходный налогу источника выплаты по ставке, установленной статьей 682 настоящего Кодекса.
Сумма удержанного подоходного налога подлежит перечислению в срок, установленный подпунктом 1) пункта 1 статьи 683 настоящего Кодекса.
4. Окончательный (фактический) получатель дохода - резидент имеет право на возврат излишне удержанного подоходного налога у источника выплаты в соответствии с настоящим Кодексом в случае перечисления налоговым агентом в бюджет подоходного налога, удержанного с доходов такого резидента.
При этом резидент за период, в котором им получен доход в виде дивидендов, обязан представить налоговому агенту нотариально засвидетельствованные копии:
1) документа, подтверждающего право собственности на депозитарные расписки;
2) документа, подтверждающего резидентство Республики Казахстан;
3) документа, подтверждающего получение дохода в виде дивидендов по акциям, являющимся базовым активом депозитарных расписок.
Документы, указанные в настоящем пункте, представляются резидентом до истечения срока исковой давности, установленного статьей 65 настоящего Кодекса, со дня последнего перечисления подоходного налога, удержанного у источника выплаты в бюджет.
При этом возврат резиденту излишне удержанного подоходного налога производится налоговым агентом.
5. Налоговый агент вправе представить в налоговый орган по месту своего нахождения дополнительный расчет по подоходному налогу, удерживаемому у источника выплаты, на сумму уменьшения при применении ставки налога, предусмотренной для резидентов, или освобождения от налогообложения за налоговый период, в котором произведены удержание и перечисление подоходного налога с доходов резидента в виде дивидендов по акциям, являющимся базовым активом депозитарных расписок.
В указанном случае зачет излишне уплаченной суммы подоходного налога, удержанного у источника выплаты, производится налоговому агенту в порядке, определенном статьей 122 настоящего Кодекса.
Статья 355. Порядок перечисления корпоративного подоходного налога, удержанного у источника выплаты
1. Налоговый агент обязан перечислить сумму корпоративного подоходного налога, удержанного у источника выплаты, не позднее двадцати пяти календарных дней после окончания месяца, в котором была осуществлена выплата дохода, облагаемого у источника выплаты, если иное не предусмотрено настоящим Кодексом.
2. Перечисление суммы корпоративного подоходного налога, удержанного у источника выплаты, осуществляется по месту нахождения налогового агента.
Юридическое лицо - нерезидент, осуществляющее деятельность в Республике Казахстан через постоянное учреждение, производит перечисление суммы корпоративного подоходного налога, удержанного у источника выплаты, в бюджет по месту нахождения постоянного учреждения.
Статья 356. Расчет по корпоративному подоходному налогу, удержанному у источника выплаты
Налоговые агенты обязаны представить расчет по суммам корпоративного подоходного налога, удержанного у источника выплаты, не позднее 15 числа второго месяца, следующего за кварталом, в котором была произведена выплата дохода, облагаемого у источника выплаты.
Глава 38. СТАВКИ НАЛОГА, НАЛОГОВЫЙ ПЕРИОД И НАЛОГОВАЯ ДЕКЛАРАЦИЯ
Статья 357. Ставки налога
1. Корпоративный подоходный налог исчисляется по следующим ставкам в зависимости от объекта обложения:
1) налогооблагаемый доход для исчисления налога - ставки, установленные пунктом 2 настоящей статьи;
2) доходы, облагаемые у источника выплаты, за исключением доходов нерезидентов из источников в Республике Казахстан, - 15 процентов;
3) доходы нерезидентов из источников в Республике Казахстан - ставки, установленные статьей 682 настоящего Кодекса;
4) чистый доход юридического лица - нерезидента, осуществляющего деятельность в Республике Казахстан через постоянное учреждение, - 15 процентов;
5) облагаемый доход контролируемых иностранных компаний и постоянных учреждений контролируемых иностранных компаний - 20 процентов.
2. К налогооблагаемому доходу для исчисления налога применяются следующие ставки корпоративного подоходного налога по видам деятельности:
1) от деятельности по производству сельскохозяйственной продукции, продукции аквакультуры (рыбоводства), а также переработке указанной продукции собственного производства и реализации продуктов такой переработки, полученному юридическими лицами - производителями сельскохозяйственной продукции, продукции аквакультуры (рыбоводства), - 3 процента;
2) от деятельности сельскохозяйственных кооперативов, кроме соответствующих подпункту 1) настоящего пункта, - 6 процентов;
3) от деятельности организаций, осуществляющих деятельность в социальной сфере, кроме применяющих статью 330 настоящего Кодекса, - 5 процентов за налоговый период с 1 января 2026 года по 31 декабря 2026 года, с 1 января 2027 года - 10 процентов;
4) от следующих видов деятельности - 25 процентов:
банковской деятельности, осуществляемой банками второго уровня, за исключением налогооблагаемого дохода, полученного от деятельности по кредитованию субъектов предпринимательства.
Порядок определения налогооблагаемого дохода по банковской деятельности, осуществляемой банками второго уровня, определяется совместно уполномоченным органом и Национальным Банком.
В целях применения настоящего подпункта к банковской деятельности, осуществляемой банками второго уровня, также относится доход в виде вознаграждения и доход от прироста стоимости по государственным эмиссионным ценным бумагам, выпущенным Национальным Банком;
от деятельности казино, зала игровых автоматов, тотализатора и букмекерской конторы;
5) от иной деятельности, не предусмотренной подпунктами 1), 2), 3) и 4) настоящего пункта, - 20 процентов.
3. В целях применения подпунктов 1) и 2) пункта 2 к доходам, полученным от осуществления деятельности, указанной в данных подпунктах, относятся в том числе бюджетные субсидии, предоставленные производителям сельскохозяйственной продукции в соответствии с Законом Республики Казахстан «О государственном регулировании развития агропромышленного комплекса и сельских территорий» и иным законодательством Республики Казахстан.
Статья 358. Налоговый период
1. Для корпоративного подоходного налога налоговым периодом является календарный год с 1 января по 31 декабря.
2. Если юридическое лицо было создано после начала календарного года, первым налоговым периодом для него является период времени со дня создания до конца календарного года.
При этом для целей настоящей статьи днем создания юридического лица является день его государственной регистрации в регистрирующем органе.
3. Если юридическое лицо было ликвидировано, реорганизовано до конца календарного года, последним налоговым периодом для него является период времени от начала года до дня завершения ликвидации, реорганизации.
4. Если юридическое лицо, созданное после начала календарного года, ликвидировано, реорганизовано до конца этого же года, налоговым периодом для него является период времени со дня создания до дня завершения ликвидации, реорганизации.
5. В налоговый период не включается период времени, в течение которого налогоплательщик применял исключительно специальный налоговый режим на основе упрощенной декларации.
Статья 359. Налоговая декларация
1. Юридические лица - резиденты Республики Казахстан и юридические лица - нерезиденты, осуществляющие деятельность в Республике Казахстан через постоянное учреждение, являющиеся плательщиками корпоративного подоходного налога, представляют в налоговый орган по месту нахождения декларацию по корпоративному подоходному налогу не позднее 31 марта года, следующего за отчетным налоговым периодом, если иное не установлено настоящей статьей.
2. Декларация по корпоративному подоходному налогу состоит из декларации и приложений к ней по раскрытию информации об объектах налогообложения и (или) объектах, связанных с налогообложением.
3. Юридическое лицо, применяющее специальный налоговый режим на основе упрощенной декларации, не представляет декларацию по корпоративному подоходному налогу по доходам, облагаемым в рамках указанного режима в соответствии с разделом 16 настоящего Кодекса.
4. В случае, если на дату представления декларации по корпоративному подоходному налогу отсутствует утвержденная финансовая отчетность, исчисление суммарной прибыли контролируемых иностранных компаний или постоянных учреждений контролируемых иностранных компаний производится в дополнительной декларации по корпоративному подоходному налогу, представляемой в течение шестидесяти рабочих дней, следующих за днем утверждения финансовой отчетности, но не позднее 31 марта второго года, следующего за отчетным налоговым периодом, с учетом положений главы 9 настоящего Кодекса.
РАЗДЕЛ 6. ИНДИВИДУАЛЬНЫЙ ПОДОХОДНЫЙ НАЛОГ
Положения настоящего раздела применяются к доходам физических лиц - резидентов.
Налогообложение доходов физических лиц - нерезидентов осуществляется в соответствии с разделом 15 настоящего Кодекса.
Глава 39. ОБЩИЕ ПОЛОЖЕНИЯ
Статья 360. Плательщики
Плательщиками индивидуального подоходного налога являются физические лица - резиденты, имеющие объекты налогообложения в виде:
1) облагаемого дохода физического лица - резидента, индивидуальный подоходный налог по которому исчисляется, удерживается у источника выплаты и перечисляется в бюджет налоговым агентом;
2) облагаемого дохода физического лица - резидента, подлежащего налогообложению самостоятельно, индивидуальный подоходный налог по которому исчисляется и уплачивается в бюджет таким физическим лицом.
Статья 361. Налоговые агенты
1. Для целей настоящего раздела, если иное не установлено пунктом 2 настоящей статьи, налоговыми агентами признаются следующие лица, выплачивающие доход физическому лицу - резиденту:
1) индивидуальный предприниматель;
2) лицо, занимающееся частной практикой;
3) юридическое лицо - резидент Республики Казахстан;
4) юридическое лицо - нерезидент, осуществляющее деятельность в Республике Казахстан:
через постоянное учреждение. При этом юридическое лицо - нерезидент признается налоговым агентом с даты постановки его структурного подразделения или постоянного учреждения без открытия структурного подразделения на регистрационный учет в налоговых органах Республики Казахстан;
через структурное подразделение, в случае, если данное структурное подразделение не образует постоянного учреждения в соответствии с международным договором, регулирующим вопросы избежания двойного налогообложения и предотвращения уклонения от уплаты налогов, или статьей 226 настоящего Кодекса;
5) оператор интернет-платформы, определенный налоговым агентом в соответствии с пунктом 3 статьи 721 настоящего Кодекса.
По доходам физического лица, возникающим в соответствии с законодательством Республики Казахстан «О лотереях и лотерейной деятельности», налоговым агентом признается оператор лотереи.
2. Лицом, не являющимся налоговым агентом, признается:
1) физическое лицо, не зарегистрированное в качестве индивидуального предпринимателя, лица, занимающегося частной практикой;
2) физическое лицо, зарегистрированное в качестве индивидуального предпринимателя, лица, занимающегося частной практикой, в отношениях, не связанных с его деятельностью в качестве индивидуального предпринимателя, лица, занимающегося частной практикой;
3) дипломатическое и приравненное представительство иностранного государства, консульское учреждение иностранного государства, аккредитованное в Республике Казахстан;
4) международная и государственная организация, зарубежная и казахстанская неправительственная общественная организация и фонд, которые освобождены от обязательства по исчислению, удержанию и перечислению индивидуального подоходного налога у источника выплаты в соответствии с международными договорами, ратифицированными Республикой Казахстан.
Статья 362. Порядок применения положений по обложению индивидуальным подоходным налогом
1. Исчисление, удержание и перечисление индивидуального подоходного налога, а также представление налоговой отчетности производятся налоговым агентом по доходам, подлежащим налогообложению у источника выплаты, гражданина Республики Казахстан, иностранца или лица без гражданства, являющегося резидентом Республики Казахстан (далее - физическое лицо - резидент):
1) в общеустановленном порядке - в порядке и сроки, которые установлены настоящей главой, главами 39, 40, 43 и статьей 694 настоящего Кодекса;
2) посредством уплаты единого платежа - в порядке, установленном главой 94 настоящего Кодекса.
2. По доходам, подлежащим налогообложению физическим лицом - резидентом самостоятельно, исчисление и уплата индивидуального подоходного налога, а также представление налоговой отчетности производятся таким физическим лицом - резидентом:
1) в общеустановленном порядке - в порядке и сроки, которые установлены главами 39,40 и 43 настоящего Кодекса;
2) в специальном налоговом режиме - в порядке и сроки, которые установлены разделом 16 настоящего Кодекса.
Статья 363. Ставки налога
Облагаемые доходы физического лица подлежат обложению по следующим ставкам индивидуального подоходного налога:
1) доходы, кроме указанных в подпунктах 2) - 4) настоящей статьи, за календарный год - по следующей прогрессивной шкале ставок:
|
№ |
Сумма облагаемого дохода |
Ставка |
|
1 |
до 8500-кратного месячного расчетного показателя*(включительно) |
10 процентов |
|
2 |
свыше 8500-кратного месячного расчетного показателя* |
сумма налога с облагаемого дохода в размере 8500-кратного месячного расчетного показателя* +15 процентов с суммы, превышающей его |
3) доход в виде дивидендов, облагаемый за календарный год, - по следующей прогрессивной шкале ставок:
|
№ |
Сумма облагаемого дохода |
Ставка |
|
1 |
до 230 000-кратного месячного расчетного показателя* (включительно) |
5 процентов |
|
2 |
свыше 230 000-кратного месячного расчетного показателя* |
сумма налога с облагаемого дохода в размере 230 000-кратного месячного расчетного показателя* +15 процентов с суммы, превышающей его |
4) облагаемый доход индивидуального предпринимателя, крестьянского или фермерского хозяйства, применяющего общеустановленный порядок налогообложения, за календарный год - по следующей прогрессивной шкале ставок:
|
№ |
Сумма облагаемого дохода |
Ставка |
|
1 |
до 230 000-кратного месячного расчетного показателя* (включительно) |
10 процентов |
|
2 |
свыше 230 000-кратного месячного расчетного показателя* |
сумма налога с облагаемого дохода в размере 230 000-кратного месячного расчетного показателя* +15 процентов с суммы, превышающей его |
* в целях применения подпунктов 1), 3) и 4) настоящей статьи применяется месячный расчетный показатель, действующий на 1 января соответствующего финансового года.
Крестьянские или фермерские хозяйства вправе уменьшить на 70 процентов сумму индивидуального подоходного налога, исчисленную в порядке, установленном подпунктом 4) настоящей статьи, с доходов:
по производству и реализации сельскохозяйственной продукции собственного производства;
по переработке сельскохозяйственной продукции собственного производства и реализации продуктов такой переработки.
Статья 364. Объекты налогообложения
Объектами обложения индивидуальным подоходным налогом являются:
1) облагаемый доход физического лица, подлежащий налогообложению у источника выплаты, в том числе по видам доходов;
2) облагаемый доход физического лица, подлежащий налогообложению самостоятельно, в том числе по видам доходов.
Глава 40. ДОХОДЫ И ВЫЧЕТЫ
Параграф 1. Экономические выгоды, не являющиеся доходом физического лица
Статья 365. Общие положения по экономическим выгодам, не являющимся доходом физического лица
Не являются доходом физического лица:
1) расходы работодателя, указанные в статье 366 настоящего Кодекса;
2) материальная выгода, полученная в соответствии с законодательством Республики Казахстан, указанная в статье 367 настоящего Кодекса;
3) прекращенные обязательства физического лица, указанные в статье 368 настоящего Кодекса;
4) экономическая выгода, предусмотренная пунктами 5 и 6 статьи 382 настоящего Кодекса;
5) суммы, связанные с пенсионным аннуитетом, указанные в статье 369 настоящего Кодекса;
6) прочие экономические выгоды, указанные в статье 370 настоящего Кодекса.
Статья 366. Расходы работодателя, не являющиеся доходом физического лица
К расходам работодателя, которые не являются доходом физического лица, относятся:
1) компенсационные выплаты работникам в случаях, когда их работа протекает в пути, имеет разъездной характер, связана со служебными поездками в пределах обслуживаемых участков, -в пределах норм, установленных коллективным, трудовым договорами и (или) актом работодателя;
2) компенсации при командировках, в том числе в целях обучения, повышения квалификации или переподготовки работника в соответствии с законодательством Республики Казахстан, если иное не установлено настоящей статьей, на основании документов, подтверждающих расходы, в том числе в электронной форме:
расходы на проезд к месту командировки и обратно, включая оплату расходов за бронь и багаж. К расходам, предусмотренным настоящим подпунктом, не относятся расходы по проезду в пределах одного населенного пункта;
расходы на проживание вне места постоянной работы работника в течение времени нахождения в командировке, включая оплату расходов за бронь. Такие расходы включают в том числе расходы на проживание за дни временной нетрудоспособности командированного работника (кроме случаев, когда командированный работник находится на стационарном лечении);
расходы, произведенные налогоплательщиком при оформлении разрешений на въезд и выезд (визы) (стоимость визы, консульских услуг, обязательного медицинского страхования);
по командировке в пределах Республики Казахстан - суточные не более 6-кратного размера месячного расчетного показателя, действующего на 1 января соответствующего финансового года, за каждый календарный день нахождения в командировке в течение периода, не превышающего сорока календарных дней нахождения в командировке;
по командировке за пределами Республики Казахстан - суточные не более 8-кратного размера месячного расчетного показателя, действующего на 1 января соответствующего финансового года, за каждый календарный день нахождения в командировке в течение периода, не превышающего сорока календарных дней нахождения в командировке;
3) компенсации при служебных командировках, в том числе в целях обучения, повышения квалификации или переподготовки работника в соответствии с законодательством Республики Казахстан, производимые государственными учреждениями, за исключением государственных учреждений, содержащихся за счет средств бюджета (сметы расходов) Национального Банка, в размерах и порядке, которые предусмотрены законодательством Республики Казахстан;
4) компенсации при служебных командировках, в том числе в целях обучения, повышения квалификации или переподготовки работника в соответствии с законодательством Республики Казахстан, производимые государственными учреждениями, содержащимися за счет средств бюджета (сметы расходов) Национального Банка, в размерах и порядке, которые предусмотрены законодательством Республики Казахстан;
5) компенсации расходов, подтвержденных документально, по проезду, провозу имущества, найму (аренде) жилища на срок не более тридцати календарных дней при переводе работника на работу в другую местность либо переезде в другую местность вместе с работодателем;
6) расходы работодателя, не связанные с осуществлением деятельности, направленной на получение дохода, и не относимые на вычеты, которые не распределяются конкретным физическим лицам;
7) полевое довольствие работников, занятых на геологоразведочных, топографо-геодезических и изыскательских работах в полевых условиях, за каждый календарный день такой работы в пределах размера, установленного соглашениями, коллективным, трудовым договорами и утвержденного актом работодателя, но не более размера суточных;
8) расходы работодателя для обеспечения жизнедеятельности лиц, работающих вахтовым методом, в период нахождения на объекте производства с предоставлением условий для выполнения работ и междусменного отдыха:
по имущественному найму (аренде) жилища;
на питание в пределах суточных в размере, установленном в подпункте 2) настоящего пункта;
9) расходы работодателя, связанные с доставкой работников от места их жительства (пребывания) в Республике Казахстан до места работы и обратно, в порядке и размерах, которые предусмотрены трудовым договором;
10) профессиональная выплата за счет средств работодателя в соответствии с трудовым законодательством Республики Казахстан;
11) стоимость выданной специальной одежды и обуви, в том числе их ремонта, средств индивидуальной и коллективной защиты, моющих и дезинфицирующих средств, средств профилактической обработки, медицинской аптечки, молока или других равноценных пищевых продуктов и (или) специализированных продуктов для диетического (лечебного и профилактического) питания в соответствии с порядком и нормами, которые установлены трудовым законодательством Республики Казахстан;
12) стоимость выданной работнику форменной одежды в случаях установления законодательством Республики Казахстан обязанности по ношению форменной одежды и (или) обеспечению ею;
13) расходы работодателя в пользу работников (включая возмещение расходов работников), направленные на лабораторное обследование, проведение медицинских осмотров, профилактические прививки, медицинское наблюдение, лечение, изоляцию, госпитализацию в связи с введением ограничительных мероприятий в соответствии с законодательством Республики Казахстан в области здравоохранения;
14) стоимость технических вспомогательных (компенсаторных) средств и специальных средств передвижения, переданных безвозмездно работодателем работнику, признанному лицом с инвалидностью вследствие получения трудового увечья или профессионального заболевания по вине работодателя, - по перечню, утвержденному Правительством Республики Казахстан в соответствии с законодательством Республики Казахстан о социальной защите;
15) стоимость услуг в виде протезно-ортопедической помощи, оказанной безвозмездно работодателем работнику, признанному лицом с инвалидностью вследствие получения трудового увечья или профессионального заболевания по вине работодателя, в соответствии с законодательством Республики Казахстан о социальной защите;
16) фактически произведенные расходы работодателя на оплату обучения, повышения квалификации или переподготовки в соответствии с законодательством Республики Казахстан при направлении работника на обучение, повышение квалификации или переподготовку по специальности, связанной с деятельностью работодателя, которое совершено с оформлением командировки в другую местность;
17) расходы работодателя по направлению работника на обучение, повышение квалификации или переподготовку в соответствии с законодательством Республики Казахстан, совершенные без оформления командировки, в случае обучения, повышения квалификации или переподготовки по специальности, связанной с деятельностью работодателя:
фактически произведенные расходы на оплату обучения, повышения квалификации или переподготовки работника;
фактически произведенные расходы работника на проживание в пределах норм, установленных уполномоченным органом в области налоговой политики;
фактически произведенные расходы на проезд к месту учебы при поступлении и обратно после завершения обучения, повышения квалификации или переподготовки работника;
сумма денег, назначенная работодателем к выплате работнику, в пределах:
6-кратного размера месячного расчетного показателя за каждый календарный день прохождения обучения, повышения квалификации или переподготовки работника - в течение срока прохождения обучения, повышения квалификации или переподготовки работника в пределах Республики Казахстан;
8-кратного размера месячного расчетного показателя за каждый календарный день прохождения обучения, повышения квалификации или переподготовки работника - в течение срока прохождения обучения, повышения квалификации или переподготовки работника за пределами Республики Казахстан;
18) обязательные профессиональные пенсионные взносы, обязательные пенсионные взносы работодателя в единый накопительный пенсионный фонд в размере, установленном законодательством Республики Казахстан, а также добровольные пенсионные взносы, перечисленные налоговым агентом в единый накопительный пенсионный фонд, добровольный накопительный пенсионный фонд в пользу работника;
19) суммы пеней, начисленных налоговому агенту за несвоевременное исчисление, удержание, перечисление социальных платежей в размерах, установленных законодательством Республики Казахстан;
20) расходы работодателя, предусмотренные соглашением, коллективным договором, актом работодателя в соответствии с законодательством Республики Казахстан, на:
обязательные, периодические (в течение трудовой деятельности) медицинские осмотры;
предсменное, послесменное и иное медицинское освидетельствование (осмотр) работников;
содержание или услуги по организации медицинских пунктов;
обеспечение работникам условий труда, отвечающих требованиям безопасности, охраны и гигиены труда, в том числе санитарно-эпидемиологическим требованиям;
обеспечение работникам возможности отдыха и приема пищи в специально оборудованном месте.
Статья 367. Не являющаяся доходом физического лица материальная выгода, полученная в соответствии с законодательством Республики Казахстан
Не являются доходом физического лица следующие виды материальной выгоды, полученной в соответствии с законодательством Республики Казахстан:
1) материальная выгода, полученная за счет средств бюджета в соответствии с законодательством Республики Казахстан, в том числе при:
предоставлении объема услуг по дошкольному воспитанию и обучению, по техническому и профессиональному, послесреднему, высшему, послевузовскому образованию, повышению квалификации и переподготовке работников и специалистов, а также обучению на подготовительных отделениях учебных заведений, осуществляемых в форме государственного образовательного заказа в соответствии с законодательством Республики Казахстан в области образования;
предоставлении гарантированного объема бесплатной медицинской помощи;
уплате взносов государства на обязательное социальное медицинское страхование в соответствии с законодательством Республики Казахстан об обязательном социальном медицинском страховании;
предоставлении реабилитационного лечения, оздоровления и отдыха на объектах санаторно-курортного назначения;
предоставлении лекарственных средств и медицинских изделий;
возмещении местными исполнительными органами стоимости товаров и (или) услуг лицу с инвалидностью в соответствии с законодательством Республики Казахстан о социальной защите. При этом положение данного абзаца распространяется на физических лиц, являющихся:
лицом с инвалидностью;
индивидуальным помощником, оказывающим социальные услуги лицу с инвалидностью первой группы, имеющему затруднение в передвижении;
2) предоставление медицинской помощи населению при чрезвычайных ситуациях, введении режима чрезвычайного положения в соответствии с законодательством Республики Казахстан;
3) предоставление медицинской помощи в системе обязательного социального медицинского страхования в соответствии с законодательством Республики Казахстан об обязательном социальном медицинском страховании;
4) возмещение вреда, причиненного здоровью, и ущерба, причиненного пострадавшим физическим лицам вследствие чрезвычайных ситуаций природного и техногенного характера, в порядке, установленном законодательством Республики Казахстан;
5) стоимость услуг, полученных за счет бюджетных средств в виде государственной нефинансовой поддержки субъектов предпринимательства в соответствии с государственной программой в области развития агропромышленного комплекса Республики Казахстан, программами, утвержденными Правительством Республики Казахстан, оператором которых является НПП;
6) сумма вознаграждения лицам, располагающим информацией о нарушениях применения контрольно-кассовой машины и оборудования (устройства), предназначенного для приема платежей с использованием платежных карточек, сообщившим в налоговый орган об известных им фактах нарушений, подтвержденных видеофиксацией.
Статья 368. Прекращенные обязательства физического лица, не являющиеся его доходом
Не являются доходом физического лица следующие виды материальной выгоды, полученной в соответствии с законодательством Республики Казахстан:
1) сумма обязательств, прекращенных в соответствии с гражданским законодательством Республики Казахстан по кредиту (займу, ипотечному займу, ипотечному жилищному займу, микрокредиту), в том числе по основному долгу, вознаграждению, комиссии и неустойке (пеням, штрафу), в следующих случаях, наступивших после выдачи кредита (займа, ипотечного займа, ипотечного жилищного займа, микрокредита) такому лицу в следующих случаях:
признания физического лица - заемщика на основании вступившего в законную силу решения суда безвестно отсутствующим, недееспособным, ограниченно дееспособным или объявления его на основании вступившего в законную силу решения суда умершим;
установления физическому лицу - заемщику инвалидности первой или второй группы, а также в случае смерти физического лица - заемщика;
отсутствия другого дохода у физического лица - заемщика, получающего социальные выплаты в соответствии с Социальным кодексом Республики Казахстан в случаях потери кормильца, дохода в связи с беременностью и родами, усыновлением (удочерением) новорожденного ребенка (детей), уходом за ребенком по достижении им возраста полутора лет, кроме указанных выплат;
вступления в законную силу постановления судебного исполнителя о возврате исполнительного документа банку (микрофинансовой организации, ипотечной организации) в случае, когда у физического лица - заемщика и третьих лиц, несущих совместно с физическим лицом - заемщиком солидарную или субсидиарную ответственность перед банком (микрофинансовой организацией, ипотечной организацией), отсутствуют имущество, в том числе деньги, ценные бумаги, или доходы, на которые может быть обращено взыскание, и меры по выявлению его имущества или доходов, принятые судебным исполнителем в соответствии с законодательством Республики Казахстан об исполнительном производстве и статусе судебных исполнителей, оказались безрезультатными;
продажи заложенного имущества, которое полностью обеспечивало основное обязательство на момент заключения ипотечного договора, с торгов во внесудебном порядке по цене ниже суммы основного обязательства, а также при переходе такого имущества в собственность залогодержателя в соответствии с Законом Республики Казахстан «Об ипотеке недвижимого имущества» на сумму непогашенного кредита (ипотечного займа, ипотечного жилищного займа, микрокредита) после продажи заложенного имущества.
Положения абзацев пятого и шестого части первой настоящего подпункта не распространяются на прекращение обязательств по кредиту (займу, ипотечному займу, ипотечному жилищному займу, микрокредиту):
выданному работнику банка (ипотечной организации, микрофинансовой организации), супругу (супруге), близким родственникам работника банка (ипотечной организации, микрофинансовой организации), взаимосвязанной стороне банка (ипотечной организации, микрофинансовой организации);
по которому произведены уступка права требования и (или) перевод долга;
2) доход, образовавшийся при прекращении обязательств по кредиту (займу), право требования по которому приобретено организацией, специализирующейся на улучшении качества кредитных портфелей банков второго уровня, единственным акционером которой является Правительство Республики Казахстан, в виде:
прощения основного долга;
прощения задолженности по вознаграждению, комиссии, неустойке (пеням, штрафу);
3) списание обязательств должника, в отношении которого применена процедура банкротства или восстановления платежеспособности в соответствии с Законом Республики Казахстан «О восстановлении платежеспособности и банкротстве граждан Республики Казахстан».
Статья 369. Суммы, связанные с пенсионным аннуитетом, не являющиеся доходом физического лица
К суммам, связанным с пенсионным аннуитетом, которые не являются доходом физического лица, относятся:
1) суммы пенсионных накоплений физических лиц, на имя которых открыты индивидуальные пенсионные счета в едином накопительном пенсионном фонде и добровольном накопительном пенсионном фонде, направленные в страховые организации по страхованию жизни, для оплаты страховых премий по заключенному договору накопительного страхования (пенсионного аннуитета);
2) сумма денег, подлежащая возврату в единый накопительный пенсионный фонд по договору пенсионного аннуитета;
3) выкупная сумма, полученная при досрочном расторжении договора пенсионного аннуитета с одной страховой организацией и направленная в другую страховую организацию в порядке, предусмотренном законодательством Республики Казахстан о социальной защите.
Статья 370. Прочие экономические выгоды, не являющиеся доходом физического лица
К прочим экономическим выгодам, которые не являются доходом физического лица, относятся:
1) представительские расходы по приему и обслуживанию лиц, произведенные в соответствии со статьей 262 настоящего Кодекса;
2) стоимость товара, безвозмездно переданного налоговым агентом в рекламных целях товара (в том числе в виде дарения), в случае, если стоимость единицы такого товара не превышает 5-кратный размер месячного расчетного показателя, действующего на дату такой передачи;
3) стоимость, по которой личное имущество физического лица реализовано либо иным образом отчуждено другому лицу. Положения настоящего подпункта применяются в отношении личного имущества физического лица, не являющегося индивидуальным предпринимателем, лицом, занимающимся частной практикой, лицом, занимающимся личным подсобным хозяйством.
Для целей настоящего раздела личным имуществом физического лица являются вещи физического лица в материальной форме, находящиеся на праве собственности, в том числе совместной, или являющиеся его долей в общей долевой собственности, кроме имущества, указанного в параграфе 3 «Имущественный доход»;
4) стоимость, по которой реализовано либо иным образом отчуждено другому лицу личное имущество физического лица, являющегося индивидуальным предпринимателем, лицом, занимающимся частной практикой, лицом, занимающимся личным подсобным хозяйством. Положения настоящего подпункта применяются при условии, что такая стоимость не является доходом от реализации такого индивидуального предпринимателя или лица, занимающегося частной практикой, или доходом от личного подсобного хозяйства, по которому индивидуальный подоходный налог исчисляется самостоятельно. Налоговым агентом положения настоящего подпункта применяются на основании заявления физического лица;
5) суммы индивидуального подоходного налога, исчисленные и уплаченные налоговым агентом в соответствии с положениями настоящего Кодекса, обязательных пенсионных взносов, исчисленные и уплаченные агентом по уплате обязательных пенсионных взносов в соответствии с Социальным кодексом Республики Казахстан, а также исчисленные и уплаченные агентом по уплате взносов на обязательное социальное медицинское страхование в соответствии с законодательством Республики Казахстан об обязательном социальном медицинском страховании с доходов физического лица - резидента за счет собственных средств без их удержания;
6) сумма, зачисляемая за осуществление безналичных платежей:
на счет физического лица банком и (или) Национальным оператором почты за счет средств банка и (или) Национального оператора почты;
на мобильный баланс абонента оператором связи за счет средств оператора связи;
7) материальная выгода от экономии на стоимости товаров, работ, услуг, в том числе:
при приобретении товаров, работ, услуг за счет суммы, начисленной за ранее осуществленные приобретения товаров, работ, услуг;
на вознаграждении за пользование кредитами (займами, микрокредитами), полученными у юридических лиц и индивидуальных предпринимателей. К такой экономии относятся в том числе экономия на вознаграждении в течение беспроцентного периода по договору, а также экономия по кредитам (займам, микрокредитам), полученным работником у своего работодателя;
8) превышение рыночной стоимости базового актива опциона на момент исполнения опциона над ценой исполнения опциона (ценой исполнения опциона является цена, по которой был зафиксирован базовый актив опциона в соответствующем документе, на основании которого опцион был предоставлен физическому лицу);
9) имущество, включая работы и услуги, полученное физическим лицом на безвозмездной основе от другого физического лица, в том числе в виде дарения и наследования.
Положения части первой настоящего подпункта не распространяются на имущество, полученное индивидуальным предпринимателем и предназначенное для использования в предпринимательских целях;
10) доходы физического лица - арендодателя при сдаче в имущественный наем (аренду) жилища, жилого помещения (квартиры) в виде расходов:
понесенных физическим лицом - арендатором, не являющимся индивидуальным предпринимателем,
возмещенных физическим лицом - арендатором, не являющимся индивидуальным предпринимателем, физическому лицу - арендодателю, не являющемуся индивидуальным предпринимателем.
Положения настоящего подпункта применяются в случае, если указанные расходы производятся отдельно от арендной платы, в том числе:
на содержание общего имущества объекта кондоминиума в соответствии с жилищным законодательством Республики Казахстан;
на оплату коммунальных услуг, предусмотренных Законом Республики Казахстан «О жилищных отношениях»;
на ремонт жилища, жилого помещения (квартиры);
11) доходы в виде оплаты проезда и проживания государственным служащим, депутатам Парламента Республики Казахстан, судьям налоговым агентом, не являющимся работодателем, в случае направления указанных лиц в служебную командировку, связанную с осуществлением государственных функций, при выполнении следующих условий:
приглашение во внутригосударственные и зарубежные поездки за счет налогового агента, не являющегося работодателем, осуществлено с согласия вышестоящего должностного лица либо органа для участия в научных, спортивных, творческих, профессиональных, гуманитарных мероприятиях за счет средств налогового агента, в том числе поездках, осуществляемых в рамках уставной деятельности такого налогового агента;
наличие приказа (распоряжения) должностного лица государственного органа в соответствии с законодательством Республики Казахстан;
12) чистый доход от доверительного управления учредителя доверительного управления, полученный от доверительного управляющего, являющегося физическим лицом - резидентом, исполняющим налоговые обязательства без регистрации в качестве индивидуального предпринимателя;
13) целевые накопления в соответствии с Законом Республики Казахстан «О правах ребенка в Республике Казахстан» в виде выплаты из единого накопительного пенсионного фонда, а также направленные на индивидуальный пенсионный счет для учета добровольных пенсионных взносов;
14) расходы, направленные на обучение, произведенные в соответствии с подпунктом 5) пункта 1 статьи 337 настоящего Кодекса;
15) дивиденды, распределенные из финансовой прибыли (или ее части) контролируемой иностранной компании и (или) иностранной компании, входящих в единую организационную структуру консолидированной группы, ранее обложенные индивидуальным подоходным налогом согласно статье 399 настоящего Кодекса;
16) суммы пеней, начисленных налоговому агенту за несвоевременное исчисление, удержание, перечисление социальных платежей в размерах, установленных законодательством Республики Казахстан;
17) компенсация расходов членам органа управления (совета директоров или иного органа), понесенных в связи с выполнением возложенных управленческих обязанностей, в пределах:
расходов на проезд к месту выполнения управленческих обязанностей и обратно, включая оплату расходов за бронь и багаж, на основании документов, подтверждающих такие расходы;
расходов на проживание за пределами Республики Казахстан, включая оплату расходов за бронь, на основании документов, подтверждающих такие расходы, но не более предельных норм возмещения расходов по найму одноместных стандартных номеров в отелях государственным служащим, находящимся в командировках за границей;
расходов на проживание в Республике Казахстан, включая оплату расходов за бронь, на основании документов, подтверждающих такие расходы;
расходов на оформление разрешений на въезд и выезд (визы) (стоимость визы, консульских услуг, обязательного медицинского страхования) на основании документов, подтверждающих такие расходы;
суммы денег не более 6-кратного месячного расчетного показателя, действующего на 1 января соответствующего финансового года, за каждый календарный день нахождения в Республике Казахстан для выполнения управленческих обязанностей в течение периода, не превышающего сорока календарных дней;
суммы денег не более 8-кратного месячного расчетного показателя, действующего на 1 января соответствующего финансового года, за каждый календарный день нахождения за пределами Республики Казахстан для выполнения управленческих обязанностей в течение периода, не превышающего сорока календарных дней.
Для целей настоящего подпункта место выполнения управленческих обязанностей не должно совпадать с местом постоянного проживания;
18) выплаты конфиденциальным помощникам в соответствии с законами Республики Казахстан «Об оперативно-розыскной деятельности», «О контрразведывательной деятельности» и лицам, оказывающим конфиденциальное содействие субъектам внешней разведки в соответствии с Законом Республики Казахстан «О внешней разведке»;
19) сумма обязательства заемщика по оплате государственной пошлины, взимаемой с подаваемого в суд искового заявления, погашенного за такого заемщика банком, организацией, осуществляющей отдельные виды банковских операций, а также коллекторским агентством.
Параграф 2. Годовой доход физического лица
Статья 371. Общие положения по годовому доходу физического лица
1. Годовой доход физического лица состоит из доходов, подлежащих получению (полученных) данным лицом в Республике Казахстан и за ее пределами в течение налогового периода, в виде доходов, подлежащих налогообложению:
1) у источника выплаты;
2) физическим лицом самостоятельно.
2. В годовой доход физического лица включаются все виды его доходов:
1) доход работника, включая доход домашнего работника;
2) доход трудового иммигранта - резидента;
3) доход в виде безвозмездно полученного имущества;
4) доход в виде единовременных пенсионных выплат,
5) доход в виде пенсионных выплат;
6) доход в виде дивидендов;
7) доход в виде вознаграждений;
8) доход в виде выигрышей;
9) доход в виде стипендии;
10) доход по договорам страхования;
11) доход от реализации товаров, выполнения работ, оказания услуг;
12) имущественный доход;
13) доход индивидуального предпринимателя;
14) доход лица, занимающегося частной практикой;
15) доходы от личного подсобного хозяйства;
16) другие доходы;
17) суммарная прибыль контролируемых иностранных компаний или постоянных учреждений контролируемых иностранных компаний, определяемая в соответствии со статьей 399 настоящего Кодекса.
3. Доходы, указанные в пункте 2 настоящей статьи, подлежат налогообложению:
1) физическим лицом самостоятельно - в случае получения таких доходов от лица, не являющегося налоговым агентом;
2) налоговым агентом - в случае получения таких доходов от налогового агента, кроме доходов, указанных в подпунктах 12) -14) пункта 2 настоящей статьи.
4. Положения настоящей статьи не распространяются на экономические выгоды, указанные в статье 365 настоящего Кодекса, которые не рассматриваются в качестве дохода физического лица.
Статья 372. Доход работника, включая доход домашнего работника
1. Доходами работника, подлежащими налогообложению, являются доходы физического лица, подлежащие получению и (или) полученные от работодателя в виде оплаты труда и иной материальной выгоды в связи с наличием трудовых отношений в соответствии с законодательством Республики Казахстан или иностранного государства.
2. Доход работника признается независимо от:
1) получения его в Республике Казахстан или за ее пределами;
2) формы, в которой получен доход.
3. Доходами работника, подлежащими налогообложению, являются:
1) деньги, полученные работником в собственность от работодателя на невозвратной основе;
2) стоимость товаров, ценных бумаг, доли участия и иного имущества (кроме денег), полученных работником в собственность от:
работодателя;
третьих лиц и оплаченных работодателем такому третьему лицу и (или) работнику;
3) стоимость выполненных работ, оказанных услуг, полученных работником от:
работодателя;
третьих лиц и оплаченных работодателем такому третьему лицу и (или) работнику;
4) отрицательная разница между стоимостью реализации товаров работодателем работнику и:
балансовой стоимостью этих товаров без учета переоценки, по которой они учитывались у работодателя на дату их реализации, или
ценой приобретения - в случаях, когда работодатель не осуществляет ведение бухгалтерского учета;
5) отрицательная разница между стоимостью работ, услуг, выполненных, оказанных работодателем работнику на возмездной основе, и расходами работодателя, понесенными в связи с таким выполнением работ, оказанием услуг;
6) сумма долга или обязательства работника перед работодателем, списанного, прекращенного, прощенного по решению работодателя.
Положения настоящего пункта распространяются также на доходы, подлежащие получению от лица, с которым физическое лицо состояло в трудовых отношениях, по основаниям, возникшим из таких трудовых отношений, и выплачиваемые после увольнения работника в соответствии с законодательством Республики Казахстан.
Положения подпунктов 1) - 3) настоящего пункта не применяются при возникновении у работника дебиторской задолженности за полученное имущество, в том числе деньги, работы, услуги.
4. Для целей подпунктов 2) и 3) пункта 3 настоящей статьи стоимость полученного имущества, работ, услуг определяется с учетом соответствующей суммы налога на добавленную стоимость и акцизов в размере:
1) балансовой стоимости, по которой полученное имущество учитывалось у передающего лица на дату его передачи, или при отсутствии балансовой стоимости - стоимости имущества, определенной договором или иным документом, на основании которого произведен прием-передача имущества;
2) расходов работодателя, понесенных в связи с выполнением работ, оказанием услуг.
5. К доходу работника не относятся следующие виды доходов:
1) доход от реализации товаров, работ, услуг;
2) доход в виде единовременных пенсионных выплат и доход в виде пенсионных выплат;
3) доход в виде дивидендов, вознаграждений, выигрышей;
4) стипендии;
5) доход по договорам страхования;
6) имущественный доход;
7) доход индивидуального предпринимателя;
8) доход лица, занимающегося частной практикой;
9) доходы от личного подсобного хозяйства.
Статья 373. Доход трудового иммигранта - резидента
1. Для целей настоящего Кодекса трудовым иммигрантом - резидентом является физическое лицо - резидент, заключившее трудовой договор на выполнение работ, оказание услуг у работодателя - физического лица в домашнем хозяйстве в соответствии с трудовым законодательством Республики Казахстан на основании разрешения трудовому иммигранту.
2. Доход трудового иммигранта - резидента признается доходом работника, подлежащим налогообложению самостоятельно, который состоит из следующих доходов:
1) сумма минимального облагаемого дохода в 40-кратном размере месячного расчетного показателя, действующего на 1 января соответствующего финансового года, за каждый месяц выполнения работ, оказания услуг соответствующего периода, указанного трудовым иммигрантом - резидентом в заявлении на получение (продление) разрешения трудовому иммигранту;
2) сумма превышения дохода, подлежащего получению по трудовому договору, за соответствующий период, указанный трудовым иммигрантом - резидентом в заявлении на получение (продление) разрешения трудовому иммигранту, над суммой минимального облагаемого дохода за этот же период - при наличии такого превышения.
Статья 374. Доход в виде безвозмездно полученного имущества
Доход физического лица в виде безвозмездно полученного имущества, в том числе работ, услуг, возникает от:
1) безвозмездного получения имущества;
2) безвозмездного получения выполненных работ, оказанных услуг;
3) безвозмездной оплаты другим лицом стоимости товаров, выполненных работ, оказанных услуг, полученных физическим лицом от третьих лиц;
4) прощения (списания) долга или обязательства физического лица в полном размере или частично;
5) увеличения вклада в уставный капитал юридического лица, произведенного путем увеличения уставного капитала юридического лица за счет прироста стоимости от переоценки в составе собственного капитала такого юридического лица.
Статья 375. Доход в виде единовременных пенсионных выплат
Доходом в виде единовременных пенсионных выплат является сумма пенсионных накоплений из единого накопительного пенсионного фонда в целях улучшения жилищных условий и (или) оплаты лечения в порядке, установленном законодательством Республики Казахстан о социальной защите.
Статья 376. Доход в виде пенсионных выплат
1. К доходу в виде пенсионных выплат, подлежащему налогообложению, относятся:
1) пенсионные выплаты, осуществляемые единым накопительным пенсионным фондом и (или) добровольными накопительными пенсионными фондами из пенсионных накоплений физических лиц;
2) пенсионные выплаты, осуществляемые за счет бюджетных средств в соответствии с законодательством Республики Казахстан о социальной защите, в том числе по возрасту, за выслугу лет, государственная базовая пенсионная выплата;
3) пенсии, выплата которых осуществляется единым накопительным пенсионным фондом в соответствии с международными договорами, ратифицированными Республикой Казахстан;
4) пенсионные выплаты в соответствии с законодательством иностранного государства;
5) единовременная выплата на погребение умершего лица, имеющего пенсионные накопления в едином накопительном пенсионном фонде, добровольном накопительном пенсионном фонде, в порядке и размерах, которые установлены законодательством Республики Казахстан о социальной защите.
Статья 377. Доход в виде дивидендов
Доходом в виде дивидендов, подлежащим налогообложению, являются выплаченные (подлежащие выплате) дивиденды, определенные статьей 13 настоящего Кодекса.
Для целей настоящей главы к доходу в виде дивидендов, подлежащему налогообложению, относится также чистый доход от доверительного управления учредителя доверительного управления, полученный от юридического лица, являющегося доверительным управляющим.
Статья 378. Доход в виде вознаграждений
Доходом в виде вознаграждений, подлежащим налогообложению, являются выплаченные (подлежащие выплате) вознаграждения, определенные статьей 12 настоящего Кодекса, кроме дисконта по долговым ценным бумагам, подлежащего признанию физическим лицом при их реализации, в том числе погашении, доходом от прироста стоимости.
Статья 379. Доход в виде выигрышей
Доходом в виде выигрышей, подлежащим налогообложению, являются выплаченные (подлежащие выплате) выигрыши, определенные подпунктом 17) статьи 21 настоящего Кодекса.
Статья 380. Доход в виде стипендий
Доходом в виде стипендий, подлежащим налогообложению, является сумма денег, учреждаемая:
1) обучающимся в организациях образования, автономных организациях в соответствии с законодательством Республики Казахстан;
2) деятелям культуры, науки, работникам средств массовой информации и другим физическим лицам в соответствии с законодательством Республики Казахстан.
Статья 381. Доход по договорам страхования
Доходом по договорам страхования, подлежащим налогообложению, являются:
1) страховые выплаты, предусмотренные законодательством Республики Казахстан;
2) выкупные суммы, выплачиваемые в случаях досрочного прекращения договоров накопительного страхования;
3) страховые выплаты, полученные из источников за пределами Республики Казахстан.
Параграф 3. Имущественный доход
Статья 382. Общие положения по имущественному доходу
1. К имущественному доходу физического лица, подлежащему налогообложению, относятся:
1) доход от прироста стоимости, предусмотренный настоящим параграфом;
2) доход, полученный физическим лицом, не являющимся индивидуальным предпринимателем, от сдачи в имущественный наем (аренду) имущества лицам, не являющимся налоговыми агентами.
2. Доход от прироста стоимости образуется в следующих случаях при:
1) реализации физическим лицом имущества, указанного в пункте 3 настоящей статьи;
2) передаче в качестве вклада в уставный капитал юридического лица имущества, указанного в пункте 3 настоящей статьи;
3) уступке права требования, в том числе по договору о долевом участии в жилищном строительстве.
Доход от прироста стоимости образуется в том налоговом периоде, в котором наступили случаи, указанные в настоящем пункте.
3. Если иное не установлено пунктом 5 настоящей статьи, положения настоящего параграфа применяются к следующему имуществу физического лица:
1) недвижимое имущество, в том числе земельные участки и (или) земельные доли;
2) транспортные средства, в том числе прицепы;
3) инвестиционное золото;
4) доля участия в уставном капитале юридического лица;
5) ценные бумаги;
6) производные финансовые инструменты (за исключением производных финансовых инструментов, исполнение которых происходит путем приобретения или реализации базового актива);
7) цифровые активы;
8) активы индивидуального предпринимателя, применяющего специальный налоговый режим на основе упрощенной декларации либо для крестьянских или фермерских хозяйств.
4. Положения настоящего параграфа не применяются к доходу индивидуального предпринимателя, определяемому в соответствии со статьей 393 настоящего Кодекса.
Имущественный доход не включается в доход индивидуального предпринимателя, доход лица, занимающегося частной практикой, определяемый в соответствии со статьей 393 настоящего Кодекса, за исключением имущества, по которому осуществляется ведение налогового и (или) бухгалтерского учета.
5. Доход физического лица не образуется при реализации, передаче в качестве вклада в уставный капитал юридического лица следующего имущества:
1) расположенных на территории Республики Казахстан жилищ, дачных строений, парковочных мест, кладовок, гаражей, объектов личного подсобного хозяйства, которые находятся на праве собственности у такого физического лица два года и более с даты регистрации права собственности;
2) расположенных на территории Республики Казахстан жилищ, парковочных мест, кладовок, гаражей, приобретенных по договору о долевом участии в жилищном строительстве или путем уступки права требования по договору о долевом участии в жилищном строительстве, в случае, когда:
жилище, дачное строение, парковочное место, кладовка, гараж, объект личного подсобного хозяйства находятся на праве собственности у такого физического лица два года и более с даты регистрации права собственности,
или
период с даты заключения такого договора или с даты приобретения такого права путем уступки права требования до даты реализации имущества или передачи его в качестве вклада в уставный капитал составляет три года и более;
3) механических транспортных средств и (или) прицепов, подлежащих государственной регистрации в Республике Казахстан и находящихся на праве собственности у такого физического лица один год и более с даты такой государственной регистрации;
4) находящихся на праве собственности у такого физического лица два года и более земельных участков и (или) земельных долей, расположенных на территории Республики Казахстан, целевым назначением которых с даты возникновения права собственности до даты реализации, передачи в качестве вклада в уставный капитал юридического лица являются индивидуальное жилищное строительство, дачное строительство, ведение личного подсобного хозяйства, садоводство, под гараж.
6. Доход физического лица не образуется при уступке права требования доли в многоквартирном жилом доме по договору о долевом участии в жилищном строительстве:
1) в случае, когда период с даты заключения такого договора до даты уступки такого права требования составляет три года и более;
2) в случае, когда период с даты приобретения такого права путем уступки права требования по договору о долевом участии в жилищном строительстве до даты уступки такого права требования составляет три года и более.
7. В случае, если стоимость имущества, предусмотренного пунктом 3 настоящей статьи, выражена в иностранной валюте и (или) операция произведена в иностранной валюте, прирост стоимости определяется в той валюте, в которой выражена стоимость имущества и (или) произведена операция, и затем такой прирост стоимости пересчитывается в национальную валюту Республики Казахстан с применением среднеарифметического официального курса валюты за календарный год, в котором наступили случаи, указанные в пункте 2 настоящей статьи.
Статья 383. Доход от прироста стоимости по недвижимому имуществу
1. Доход от прироста стоимости по недвижимому имуществу возникает при реализации, передаче в качестве вклада в уставный капитал юридического лица следующего недвижимого имущества:
1) расположенных в Республике Казахстан жилищ, дачных строений, гаражей, парковочных мест, кладовок, объектов личного подсобного хозяйства - в случае нахождения их на праве собственности менее двух лет с даты регистрации права собственности;
2) земельных участков и (или) земельных долей в Республике Казахстан, целевым назначением которых с даты возникновения права собственности до даты реализации являются индивидуальное жилищное строительство, дачное строительство, ведение личного подсобного хозяйства, под гараж, парковочные места, - в случае нахождения их на праве собственности менее двух лет с даты регистрации права собственности;
3) прочего недвижимого имущества, расположенного в Республике Казахстан, кроме указанного в пунктах 5 и 6 статьи 382 настоящего Кодекса, - независимо от срока нахождения его на праве собственности;
4) недвижимого имущества, находящегося за пределами Республики Казахстан, по которому права и (или) сделки подлежат государственной или иной регистрации в компетентном органе иностранного государства в соответствии с законодательством иностранного государства, или находящегося за пределами Республики Казахстан, подлежащего государственной или иной регистрации в компетентном органе иностранного государства в соответствии с законодательством иностранного государства - независимо от срока нахождения его на праве собственности.
К недвижимому имуществу для целей настоящей статьи не относятся воздушные и морские суда, суда внутреннего водного плавания, суда плавания «река-море», космические объекты, магистральные трубопроводы.
По имуществу, указанному в подпунктах 1) и 2) настоящего пункта, находящемуся на праве общей совместной собственности супругов, период нахождения на праве собственности определяется с даты регистрации права общей совместной собственности супругов на такое имущество до даты его реализации (передачи) в следующих случаях:
дарения в случае расторжения брака;
наследования прав одним из супругов.
2. Доходом от прироста стоимости по недвижимому имуществу является:
1) при реализации - положительная разница между ценой (стоимостью) реализации и его первоначальной стоимостью;
2) при передаче имущества в качестве вклада в уставный капитал - положительная разница между стоимостью, по которой он передан в качестве вклада в уставный капитал, но не более суммы, в счет оплаты которой передано такое имущество, и его первоначальной стоимостью. При этом стоимость имущества, по которой оно передано в качестве вклада в уставный капитал, определяется на основании документа, подтверждающего прием и передачу такого имущества.
3. Если иное не установлено пунктами 4-6 настоящей статьи, первоначальной стоимостью объекта недвижимого имущества является документально подтвержденная:
1) цена (стоимость) приобретения этого объекта;
2) цена (стоимость) приобретения объекта (объектов) недвижимого имущества, которое реализуется (передается) после изменения его функционального и (или) целевого назначения в период с даты приобретения до даты его реализации (передачи).
4. В следующих случаях реализации, передачи в уставный капитал первоначальной стоимостью недвижимого имущества являются:
1) цена (стоимость) приобретения земельного участка для строительства здания (его части) - в случае реализации (передачи) физическим лицом, не являющимся индивидуальным предпринимателем, построенного им здания (его части);
2) рыночная стоимость имущества на дату возникновения права собственности - в случае реализации (передачи) физическим лицом построенного им индивидуального жилого дома на территории Республики Казахстан;
3) стоимость, определенная в тенге для исчисления сбора за легализацию реализуемого имущества, - в случаях реализации (передачи) имущества, легализованного в порядке, установленном законами Республики Казахстан «Об амнистии в связи с легализацией имущества» и «Об амнистии граждан Республики Казахстан, оралманов и лиц, имеющих вид на жительство в Республике Казахстан, в связи с легализацией ими имущества», лицом, его легализовавшим, по которому отсутствует цена (стоимость) приобретения и исполнено обязательство по уплате сбора за легализацию;
4) оценочная и (или) кадастровая стоимость - в других случаях, когда физическое лицо по приобретенному имуществу в Республике Казахстан не имеет подтвержденных документально сведений о цене (стоимости) его приобретения;
5) цена договора о долевом участии в жилищном строительстве в Республике Казахстан - в случае реализации (передачи) недвижимого имущества, приобретенного путем долевого участия в жилищном строительстве;
6) стоимость, по которой физическое лицо приобрело право требования доли в жилом здании по договору о долевом участии в жилищном строительстве в Республике Казахстан, - в случае реализации (передачи) недвижимого имущества, приобретенного в результате уступки права требования доли в многоквартирном жилом доме по договору о долевом участии в жилищном строительстве;
7) стоимость, определяемая в соответствии с пунктом 5 настоящей статьи, - в случае реализации (передачи) имущества, которое было получено безвозмездно;
8) стоимость, по которой имущество получено акционером, участником, учредителем при распределении имущества, в том числе взамен ранее внесенного, отраженная в документе, подтверждающем прием и передачу такого актива и заверенном подписями сторон, - в случае, если активы были получены акционером (участником, учредителем) в результате распределения имущества при ликвидации юридического лица или уменьшении уставного капитала, а также выкупе юридическим лицом у учредителя, участника доли участия или ее части в этом юридическом лице, выкупе юридическим лицом - эмитентом у акционера акций, выпущенных этим эмитентом;
9) сумма ранее признанного дохода, полученного от налогового агента, или дохода, полученного из источников за пределами Республики Казахстан и отраженного в декларации по предпринимательской деятельности или декларации о доходах и имуществе, - в случае получения имущества в качестве выплаты такого дохода;
10) сумма дебиторской задолженности, в счет погашения которой получено недвижимое имущество, - в случае получения недвижимого имущества в счет погашения дебиторской задолженности, возникшей не в связи с получением дохода.
5. Первоначальной стоимостью имущества, полученного безвозмездно, являются:
1) стоимость, включенная ранее в доход в виде безвозмездно полученного имущества, - в случае, когда стоимость безвозмездно полученного имущества была включена в облагаемый доход индивидуального предпринимателя или облагаемый доход физического лица;
2) рыночная стоимость - в случае реализации (передачи) имущества, полученного в виде наследования, благотворительной помощи;
3) оценочная стоимость - в случае реализации (передачи) имущества, являющегося объектом обложения налогом на имущество физических лиц;
4) кадастровая (оценочная) стоимость - в случае реализации (передачи) земельного участка;
5) нулевая стоимость - во всех остальных случаях.
Определение первоначальной стоимости имущества, полученного безвозмездно, осуществляется последовательно в порядке расположения подпунктов настоящего пункта.
6. Первоначальная стоимость недвижимого имущества, расположенного на территории государства с льготным налогообложением, равна нулю.
7. В случае, когда положения пунктов 3-6 настоящей статьи не применимы для определения первоначальной стоимости недвижимого имущества, расположенного в Республике Казахстан, первоначальная стоимость принимается равной нулю.
8. При реализации (передаче) части объекта недвижимого имущества ее первоначальная стоимость определяется пропорционально площади такой реализуемой (передаваемой) части объекта в общей площади объекта.
9. В целях настоящей статьи:
1) рыночной стоимостью является рыночная стоимость реализуемого (передаваемого) имущества на дату возникновения права собственности на него, определенная в отчете об оценке, проведенной по договору между оценщиком и налогоплательщиком в соответствии с законодательством Республики Казахстан об оценочной деятельности, если иное не предусмотрено настоящим подпунктом.
Рыночной стоимостью имущества, расположенного за пределами Республики Казахстан, полученного в виде наследования, является рыночная стоимость реализуемого (передаваемого) имущества на дату возникновения права собственности на него, определенная в отчете или ином документе о результатах оценки, проведенной по договору между независимым оценщиком и налогоплательщиком в соответствии с законодательством того государства, в котором расположено такое имущество.
При этом рыночная стоимость должна быть определена налогоплательщиком не позднее срока, установленного для представления декларации о доходах и имуществе за налоговый период, в котором реализовано (передано) такое имущество;
2) оценочной стоимостью является стоимость имущества, определенная для исчисления налога на имущество Государственной корпорацией, на 1 января года, в котором возникло право собственности на реализованное (переданное) имущество;
3) кадастровой (оценочной) стоимостью является кадастровая (оценочная) стоимость, определенная Государственной корпорацией, ведущей государственный земельный кадастр, на одну из наиболее поздних дат:
дату возникновения права собственности на земельный участок;
последнюю дату, предшествующую дате возникновения права собственности на земельный участок.
Статья 384. Доход от прироста стоимости по транспортным средствам
1. Доход от прироста стоимости по транспортным средствам возникает при реализации, передаче в качестве вклада в уставный капитал юридического лица следующих транспортных средств:
1) механических транспортных средств и (или) прицепов, подлежащих государственной регистрации в Республике Казахстан физическим лицом, - в случае нахождения их на праве собственности менее одного года с даты регистрации транспортного средства до даты его реализации (передачи);
2) механических транспортных средств и (или) прицепов, подлежащих государственной или иной регистрации в компетентном органе иностранного государства в соответствии с законодательством иностранного государства, - независимо от срока нахождения их на праве собственности;
3) воздушных и морских судов, судов внутреннего водного плавания, судов плавания «река-море», космических объектов, магистральных трубопроводов - независимо от срока нахождения их на праве собственности.
2. Доходом от прироста стоимости по транспортным средствам являются:
1) при реализации - положительная разница между ценой (стоимостью) реализации транспортного средства и его первоначальной стоимостью;
2) при передаче в качестве вклада в уставный капитал - положительная разница между стоимостью, по которой транспортное средство передано в качестве вклада в уставный капитал, но не более суммы, в счет оплаты которой передано такое транспортное средство, и его первоначальной стоимостью. При этом стоимость транспортного средства, по которой оно передано в качестве вклада в уставный капитал, определяется на основании документа, подтверждающего прием и передачу транспортного средства.
3. Если иное не установлено пунктами 4-9 настоящей статьи, первоначальной стоимостью транспортного средства является документально подтвержденная цена (стоимость) его приобретения.
4. В следующих случаях реализации, передачи в уставный капитал транспортных средств первоначальной стоимостью транспортных средств являются:
1) стоимость, по которой имущество получено акционером, участником, учредителем при распределении имущества, в том числе взамен ранее внесенного, отраженная в документе, подтверждающем прием и передачу такого актива и заверенном подписями сторон, - в случае, если активы были получены акционером (участником, учредителем) в результате распределения имущества при ликвидации юридического лица или уменьшении уставного капитала, а также выкупе юридическим лицом у учредителя, участника доли участия или ее части в этом юридическом лице, выкупе юридическим лицом - эмитентом у акционера акций, выпущенных этим эмитентом;
2) сумма ранее признанного дохода, полученного от налогового агента, или дохода, полученного из источников за пределами Республики Казахстан и отраженного в декларации по предпринимательской деятельности или декларации о доходах и имуществе, - в случае получения имущества в качестве выплаты такого дохода;
3) сумма дебиторской задолженности, в счет погашения которой получено недвижимое имущество, - в случае получения транспортного средства в счет погашения дебиторской задолженности, возникшей не в связи с получением дохода;
4) стоимость, определяемая в соответствии с пунктом 5 настоящей статьи, - в случае реализации (передачи) транспортного средства, которое было получено безвозмездно.
5. Первоначальной стоимостью транспортного средства, полученного безвозмездно, являются:
1) стоимость, включенная ранее в доход в виде безвозмездно полученного имущества, - в случае, когда стоимость безвозмездно полученного транспортного средства была включена в облагаемый доход индивидуального предпринимателя или облагаемый доход физического лица;
2) рыночная стоимость имущества - в случае реализации (передачи) транспортного средства, полученного в виде наследования, благотворительной помощи;
3) нулевая стоимость - во всех остальных случаях.
Определение первоначальной стоимости имущества, полученного безвозмездно, осуществляется последовательно в порядке расположения подпунктов настоящего пункта.
6. Первоначальная стоимость реализуемых (передаваемых) физическим лицом транспортных средств, которые были ранее ввезены на территорию Республики Казахстан этим лицом, определяется путем сложения:
1) цены (стоимости) приобретения;
2) сумм налога на добавленную стоимость и акциза, начисленных и уплаченных при ввозе таких транспортных средств на территорию Республики Казахстан;
3) таможенных и утилизационных платежей в случае ввоза транспортных средств с территории государства, не являющегося членом ЕАЭС.
Положения настоящего пункта применяются соответственно на основании следующих документов:
1) договор (контракт) или иной документ, подтверждающий приобретение транспортного средства в государстве, не являющемся членом ЕАЭС, и декларация на товары;
2) договор (контракт) или иной документ, подтверждающий приобретение транспортного средства на территории государства - члена ЕАЭС, и налоговая декларация по косвенным налогам по импортированным товарам.
7. В целях настоящей статьи рыночной стоимостью является рыночная стоимость реализуемого (передаваемого) транспортного средства на дату возникновения права собственности на него, определенная в отчете об оценке, проведенной по договору между оценщиком и налогоплательщиком в соответствии с законодательством Республики Казахстан об оценочной деятельности, если иное не предусмотрено настоящим пунктом.
Рыночной стоимостью транспортного средства, зарегистрированного за пределами Республики Казахстан, полученного в виде наследования, является рыночная стоимость реализуемого (передаваемого) транспортного средства на дату возникновения права собственности на него, определенная в отчете или ином документе о результатах оценки, проведенной по договору между независимым оценщиком и налогоплательщиком в соответствии с законодательством того государства, в котором зарегистрировано такое транспортное средство.
При этом такая рыночная стоимость должна быть определена налогоплательщиком не позднее срока, установленного для представления декларации о доходах и имуществе за налоговый период, в котором реализовано (передано) такое транспортное средство.
8. Поверенный в случае реализации, передачи в качестве вклада в уставный капитал механического транспортного средства и (или) прицепа, полученных на основании доверенности на управление механическим транспортным средством и (или) прицепом с правом отчуждения, предоставляет собственнику документы, содержащие следующие данные:
цену (стоимость) реализации, передачи в качестве вклада в уставный капитал транспортного средства;
дату их реализации, передачи в качестве вклада в уставный капитал.
Указанные документы предоставляются до срока, установленного для представления декларации о доходах и имуществе за налоговый период, в котором реализовано (передано) такое имущество.
9. Первоначальная стоимость транспортных средств, права на которые или сделки, по которым зарегистрированы в компетентном органе государства с льготным налогообложением, равна нулю.
10. В случаях, когда положения пунктов 3-9 настоящей статьи не применимы для определения первоначальной стоимости, первоначальная стоимость транспортных средств, находящихся за пределами Республики Казахстан, равна нулю.
Статья 385. Доход от прироста стоимости по инвестиционному золоту
1. Доход от прироста стоимости по инвестиционному золоту возникает при реализации, передаче в качестве вклада в уставный капитал юридического лица инвестиционного золота.
2. Доходом от прироста стоимости по инвестиционному золоту являются:
1) при реализации - положительная разница между ценой (стоимостью) реализации и его первоначальной стоимостью;
2) при передаче имущества в качестве вклада в уставный капитал - положительная разница между стоимостью, по которой он передан в качестве вклада в уставный капитал, но не более суммы, в счет оплаты которой передано такое имущество, и его первоначальной стоимостью. При этом стоимость имущества, по которой оно передано в качестве вклада в уставный капитал, определяется на основании документа, подтверждающего прием и передачу такого имущества.
3. Если иное не установлено пунктами 4-7 настоящей статьи, первоначальной стоимостью инвестиционного золота является документально подтвержденная цена (стоимость) его приобретения.
4. В следующих случаях реализации, передачи в уставный капитал первоначальной стоимостью инвестиционного золота являются:
1) стоимость, по которой имущество получено акционером, участником, учредителем при распределении имущества, в том числе взамен ранее внесенного, отраженная в документе, подтверждающем прием и передачу такого актива и заверенном подписями сторон, - в случае, если активы были получены акционером (участником, учредителем) в результате распределения имущества при ликвидации юридического лица или уменьшении уставного капитала, а также выкупе юридическим лицом у учредителя, участника доли участия или ее части в этом юридическом лице, выкупе юридическим лицом - эмитентом у акционера акций, выпущенных этим эмитентом;
2) сумма ранее признанного дохода, полученного от налогового агента, или дохода, полученного из источников за пределами Республики Казахстан и отраженного в декларации по предпринимательской деятельности или в декларации о доходах и имуществе, - в случае получения инвестиционного золота в качестве выплаты такого дохода;
3) сумма дебиторской задолженности, в счет погашения которой получено инвестиционное золото, - в случае получения инвестиционного золота в счет погашения дебиторской задолженности, возникшей не в связи с получением дохода;
4) стоимость, определяемая в соответствии с пунктом 5 настоящей статьи, - в случае реализации (передачи) инвестиционного золота, которое было получено безвозмездно.
5. Первоначальной стоимостью инвестиционного золота, полученного безвозмездно, являются:
1) стоимость, включенная ранее в доход в виде безвозмездно полученного имущества, - в случае, когда стоимость безвозмездно полученного инвестиционного золота была включена в облагаемый доход индивидуального предпринимателя или облагаемый доход физического лица;
2) рыночная стоимость имущества - в случае реализации (передачи) инвестиционного золота, полученного в виде наследования, благотворительной помощи;
3) нулевая стоимость - во всех остальных случаях. Определение первоначальной стоимости имущества, полученного безвозмездно, осуществляется последовательно в порядке расположения подпунктов настоящего пункта.
6. В целях настоящей статьи рыночной стоимостью является рыночная стоимость реализуемого (передаваемого) инвестиционного золота на дату возникновения права собственности на него, определенная в отчете об оценке, проведенной по договору между оценщиком и налогоплательщиком в соответствии с законодательством Республики Казахстан об оценочной деятельности, если иное не установлено настоящим пунктом.
Рыночной стоимостью реализуемого (передаваемого) инвестиционного золота, находящегося за пределами Республики Казахстан, полученного в виде наследования, является рыночная стоимость такого инвестиционного золота на дату возникновения права собственности на него, определенная в отчете или ином документе о результатах оценки, проведенной по договору между независимым оценщиком и налогоплательщиком в соответствии с законодательством того государства, в котором находится такое инвестиционное золото.
При этом такая рыночная стоимость должна быть определена налогоплательщиком не позднее срока, установленного для представления декларации о доходах и имуществе за налоговый период, в котором реализовано (передано) такое имущество.
7. Первоначальная стоимость инвестиционного золота, приобретенного за пределами Республики Казахстан на территории государства с льготным налогообложением, или инвестиционного золота, права на которое или сделки по которому зарегистрированы в компетентном органе государства с льготным налогообложением, равна нулю.
8. В случаях, когда положения пунктов 3-6 настоящей статьи не применимы для определения первоначальной стоимости, первоначальная стоимость инвестиционного золота за пределами Республики Казахстан равна нулю.
Статья 386. Доход от прироста стоимости по доле участия в уставном капитале юридического лица
1. Доход от прироста стоимости по доле участия в уставном капитале юридического лица возникает при реализации, передаче в качестве вклада в уставный капитал юридического лица доли участия в уставном капитале юридического лица.
2. Доходом от прироста стоимости по доле участия в уставном капитале юридического лица являются:
1) при реализации - положительная разница между ценой (стоимостью) реализации и ее первоначальной стоимостью;
2) при передаче доли участия в качестве вклада в уставный капитал - положительная разница между стоимостью, по которой она передана в качестве вклада в уставный капитал, но не более суммы, в счет оплаты которой передана такая доля, и ее первоначальной стоимостью. При этом стоимость доли участия, по которой она передана в качестве вклада в уставный капитал, определяется на основании документа, подтверждающего прием и передачу такой доли.
3. Первоначальной стоимостью доли участия являются пропорционально приходящиеся на размер выбывающей доли участия:
1) цена (стоимость) ее приобретения
и (или)
2) стоимость имущества, переданного в качестве вклада в уставный капитал, но не более суммы, в счет оплаты которой передано имущество. При этом такая стоимость определяется на основании документов, подтверждающих внесение вклада и стоимость, по которой передано имущество (акт приема-передачи и (или) иные документы),
и (или)
3) сумма денег, внесенная в качестве вклада в уставный капитал, но не более суммы, в счет оплаты которой переданы деньги,
и (или)
4) балансовая стоимость доли участия, полученной акционером, участником, учредителем при распределении имущества, в том числе полученной взамен ранее внесенного имущества, подлежащая отражению (отраженная) в бухгалтерском учете передающего лица на дату передачи без учета переоценки и обесценения, отраженная в документе, подтверждающем передачу доли участия и заверенном подписями сторон, - в случае, если доля участия была получена акционером (участником, учредителем) в результате распределения имущества при ликвидации юридического лица или уменьшении уставного капитала, а также выкупе юридическим лицом у учредителя, участника доли участия или ее части в этом юридическом лице, выкупе юридическим лицом - эмитентом у акционера акций, выпущенных этим эмитентом,
и (или)
5) сумма ранее признанного дохода, полученного от налогового агента, или дохода, полученного из источников за пределами Республики Казахстан и отраженного в декларации по предпринимательской деятельности или декларации о доходах и имуществе, - в случае получения доли участия в качестве выплаты такого дохода,
и (или)
6) сумма дебиторской задолженности, в счет погашения которой получена доля участия, - в случае получения доли участия в счет погашения дебиторской задолженности, возникшей не в связи с получением дохода,
и (или)
7) стоимость, включенная ранее в облагаемый доход индивидуального предпринимателя или в облагаемый доход физического лица, - в случае реализации (передачи) доли участия, которая была получена безвозмездно,
и (или)
8) рыночная стоимость доли участия - в случае реализации (передачи) доли участия, полученной в виде наследования, благотворительной помощи.
4. Первоначальная стоимость доли участия в уставном капитале юридического лица, зарегистрированного на территории государства с льготным налогообложением, или доли участия, права на которую или сделки по которой зарегистрированы в компетентном органе государства с льготным налогообложением, равна нулю.
5. В случаях, когда для определения первоначальной стоимости доли участия положения пунктов 1-3 настоящей статьи не применимы, такая стоимость равна нулю.
6. В целях настоящей статьи рыночной стоимостью является рыночная стоимость реализуемой (передаваемой) доли участия на дату возникновения права собственности на нее, определенную в отчете об оценке, проведенной по договору между оценщиком и налогоплательщиком в соответствии с законодательством Республики Казахстан об оценочной деятельности, если иное не установлено настоящим пунктом.
Рыночной стоимостью реализуемой (передаваемой) доли участия в уставном капитале иностранного юридического лица, зарегистрированного за пределами Республики Казахстан, полученной в виде наследования, является рыночная стоимость реализуемой (передаваемой) доли участия на дату возникновения права собственности на такую долю участия, определенная в отчете или ином документе о результатах оценки, проведенной по договору между независимым оценщиком и налогоплательщиком в соответствии с законодательством того государства, в котором зарегистрировано такое иностранное юридическое лицо.
При этом такая рыночная стоимость должна быть определена налогоплательщиком не позднее срока, установленного для представления декларации о доходах и имуществе за налоговый период, в котором реализовано (передано) такое имущество.
Статья 387. Доход от прироста стоимости по ценным бумагам
1. Доход от прироста стоимости по ценным бумагам состоит из:
1) дохода от прироста стоимости по ценным бумагам, кроме льготируемых ценных бумаг;
2) дохода от прироста стоимости по льготируемым ценным бумагам.
2. Результат от реализации, передачи в качестве вклада в уставный капитал юридического лица ценных бумаг может иметь положительное или отрицательное значение и определяется по каждой операции выбытия за налоговый период в следующем порядке:
1) при реализации, в том числе погашении долговых ценных бумаг, - разница между стоимостью реализации, погашения ценной бумаги и ее первоначальной стоимостью;
2) при передаче в качестве вклада в уставный капитал - разница между стоимостью ценной бумаги, по которой она передана в качестве вклада в уставный капитал, и ее первоначальной стоимостью.
3. Общая сумма результатов от всех операций реализации ценных бумаг, передачи их в качестве вклада в уставный капитал, кроме льготируемых ценных бумаг, за налоговый период признается:
доходом от прироста стоимости, если такая сумма имеет положительное значение;
равной нулю, если такая сумма имеет нулевое или отрицательное значение.
4. Общая сумма результатов от всех операций реализации льготируемых ценных бумаг, передачи их в качестве вклада в уставный капитал за налоговый период признается:
доходом от прироста стоимости льготируемых ценных бумаг, если такая сумма имеет положительное значение и учитывается в соответствии с подпунктами 1) - 6) пункта 1 статьи 400 настоящего Кодекса;
равной нулю, если такая сумма имеет нулевое или отрицательное значение.
Льготируемыми ценными бумагами являются ценные бумаги, указанные в подпунктах 1) - 6) пункта 1 статьи 400 настоящего Кодекса, подпунктах 1) и 2) пункта 7 статьи 6 Конституционного закона Республики Казахстан «О международном финансовом центре «Астана».
5. Доход от прироста стоимости ценных бумаг определяется путем последовательного в хронологическом порядке списания ценных бумаг в зависимости от даты их поступления.
6. Первоначальной стоимостью ценных бумаг являются:
1) стоимость их приобретения, расходы на комиссионное вознаграждение за услуги по приобретению ценных бумаг лицу, осуществляющему брокерскую деятельность в соответствии с законодательством Республики Казахстан или иного государства. По ценным бумагам, приобретенным физическим лицом по опциону, стоимость приобретения определяется в размере цены исполнения опциона и премии опциона
или
2) стоимость, по которой имущество получено акционером, участником, учредителем при распределении имущества, в том числе взамен ранее внесенного, отраженная в документе, подтверждающем прием и передачу такого актива и заверенном подписями сторон, - в случае, если активы были получены акционером (участником, учредителем) в результате распределения имущества при ликвидации юридического лица или уменьшении уставного капитала, а также выкупе юридическим лицом у учредителя, участника доли участия или ее части в этом юридическом лице, выкупе юридическим лицом - эмитентом у акционера акций, выпущенных этим эмитентом,
или
3) сумма ранее признанного дохода, полученного от налогового агента, или дохода, полученного из источников за пределами Республики Казахстан и отраженного в декларации индивидуального предпринимателя или декларации о доходах и имуществе, - в случае получения ценных бумаг в качестве выплаты такого дохода,
или
4) сумма дебиторской задолженности, в счет погашения которой получена ценная бумага, - в случае получения ценных бумаг в счет погашения дебиторской задолженности, возникшей не в связи с получением дохода,
или
5) стоимость, включенная ранее в доход в виде безвозмездно полученного имущества, - в случае, когда стоимость безвозмездно полученных ценных бумаг была включена в облагаемый доход индивидуального предпринимателя или облагаемый доход физического лица,
или
6) рыночная стоимость ценной бумаги - в случае реализации (передачи) ценной бумаги, полученной в виде наследования, благотворительной помощи.
Первоначальная стоимость ценных бумаг должна быть подтверждена документально. В случае отсутствия документов, подтверждающих первоначальную стоимость ценных бумаг, такая стоимость признается равной нулю.
Первоначальная стоимость единицы ценных бумаг при их реализации, передаче в качестве вклада в уставный капитал определяется по первоначальной стоимости ценных бумаг, поступивших первыми по времени.
7. Первоначальная стоимость ценных бумаг, кроме долговых ценных бумаг, права на которые или сделки по которым зарегистрированы в компетентном органе государства с льготным налогообложением, равна нулю.
Первоначальная стоимость долговых ценных бумаг, эмиссия которых зарегистрирована в государстве с льготным налогообложением, равна нулю.
8. В случаях, когда положения пункта 6 настоящей статьи не применимы для определения первоначальной стоимости, первоначальная стоимость ценных бумаг, признается равной нулю.
9. В целях настоящей статьи рыночной стоимостью является рыночная стоимость реализуемой (передаваемой) ценной бумаги на дату возникновения права собственности на нее, определенную в отчете об оценке, проведенной по договору между оценщиком и налогоплательщиком в соответствии с законодательством Республики Казахстан об оценочной деятельности, если иное не установлено настоящим пунктом.
Рыночной стоимостью реализуемой (передаваемой) ценной бумаги, зарегистрированной за пределами Республики Казахстан, полученной в виде наследования, является рыночная стоимость реализуемой (передаваемой) ценной бумаги на дату возникновения права собственности на нее, определенная в отчете или ином документе о результатах оценки, проведенной по договору между независимым оценщиком и налогоплательщиком в соответствии с законодательством того государства, в котором зарегистрирована такая ценная бумага.
При этом такая рыночная стоимость должна быть определена налогоплательщиком не позднее срока, установленного для представления декларации о доходах и имуществе за налоговый период, в котором реализовано (передано) такое имущество.
Статья 388. Доход от прироста стоимости по производным финансовым инструментам
1. Доход от прироста стоимости по производным финансовым инструментам (за исключением производных финансовых инструментов, исполнение которых происходит путем приобретения или реализации базового актива) возникает при реализации, передаче в качестве вклада в уставный капитал юридического лица производных финансовых инструментов.
Если производный финансовый инструмент применяется в целях приобретения или реализации базового актива, то он учитывается в целях исчисления индивидуального подоходного налога в соответствии с нормами настоящего Кодекса, установленными для базового актива.
2. Доходом от прироста стоимости по производным финансовым инструментам (за исключением производных финансовых инструментов, исполнение которых происходит путем приобретения или реализации базового актива) являются:
1) при реализации - положительная разница между ценой (стоимостью) реализации и его первоначальной стоимостью;
2) при передаче имущества в качестве вклада в уставный капитал - положительная разница между стоимостью, по которой он передан в качестве вклада в уставный капитал, но не более суммы, в счет оплаты которой передано такое имущество, и его первоначальной стоимостью. При этом стоимость имущества, по которой оно передано в качестве вклада в уставный капитал, определяется на основании документа, подтверждающего прием и передачу такого имущества.
3. Если иное не установлено пунктами 4 и 5 настоящей статьи, первоначальной стоимостью производных финансовых инструментов (за исключением производных финансовых инструментов, исполнение которых происходит путем приобретения или реализации базового актива) является документально подтвержденная цена (стоимость) их приобретения.
4. В следующих случаях реализации, передачи в уставный капитал первоначальной стоимостью производных финансовых инструментов (за исключением производных финансовых инструментов, исполнение которых происходит путем приобретения или реализации базового актива) являются:
1) стоимость, по которой имущество получено акционером, участником, учредителем при распределении имущества, в том числе взамен ранее внесенного, отраженная в документе, подтверждающем прием и передачу такого актива и заверенном подписями сторон, - в случае, если имущество было получено акционером (участником, учредителем) в результате распределения имущества при ликвидации юридического лица или уменьшении уставного капитала, а также выкупе юридическим лицом у учредителя, участника доли участия или ее части в этом юридическом лице, выкупе юридическим лицом - эмитентом у акционера акций, выпущенных этим эмитентом;
2) сумма ранее признанного дохода, полученного от налогового агента, или дохода, полученного из источников за пределами Республики Казахстан и отраженного в декларации по предпринимательской деятельности или декларации о доходах и имуществе, - в случае получения производных финансовых инструментов (за исключением производных финансовых инструментов, исполнение которых происходит путем приобретения или реализации базового актива) в качестве выплаты такого дохода;
3) сумма дебиторской задолженности, в счет погашения которой получены производные финансовые инструменты (за исключением производных финансовых инструментов, исполнение которых происходит путем приобретения или реализации базового актива), - в случае их получения в счет погашения дебиторской задолженности, возникшей не в связи с получением дохода;
4) стоимость, включенная ранее в доход в виде безвозмездно полученных производных финансовых инструментов (за исключением производных финансовых инструментов, исполнение которых происходит путем приобретения или реализации базового актива), - в случае, когда стоимость безвозмездно полученных производных финансовых инструментов (за исключением производных финансовых инструментов, исполнение которых происходит путем приобретения или реализации базового актива) была включена в облагаемый доход индивидуального предпринимателя или облагаемый доход физического лица;
5) рыночная стоимость производного финансового инструмента - в случае реализации (передачи) производного финансового инструмента, полученного в виде наследования, благотворительной помощи.
5. Первоначальная стоимость производных финансовых инструментов (за исключением производных финансовых инструментов, исполнение которых происходит путем приобретения или реализации базового актива), права на которые или сделки по которому зарегистрированы в компетентном органе государства с льготным налогообложением, равна нулю.
6. В случаях, когда положения пунктов 3 и 4 настоящей статьи не применимы для определения первоначальной стоимости, первоначальная стоимость производных финансовых инструментов (за исключением производных финансовых инструментов, исполнение которых происходит путем приобретения или реализации базового актива) равна нулю.
7. В целях настоящей статьи рыночной стоимостью является рыночная стоимость реализуемого (передаваемого) производного финансового инструмента на дату возникновения права собственности на него, определенную в отчете об оценке, проведенной по договору между оценщиком и налогоплательщиком в соответствии с законодательством Республики Казахстан об оценочной деятельности, если иное не установлено настоящим пунктом.
Рыночной стоимостью реализуемого (передаваемого) производного финансового инструмента, зарегистрированного за пределами Республики Казахстан, полученного в виде наследования, является рыночная стоимость реализуемого (передаваемого) производного финансового инструмента на дату возникновения права собственности на него, определенная в отчете или ином документе о результатах оценки, проведенной по договору между независимым оценщиком и налогоплательщиком в соответствии с законодательством того государства, в котором зарегистрирован такой производный финансовый инструмент.
При этом такая рыночная стоимость должна быть определена налогоплательщиком не позднее срока, установленного для представления декларации о доходах и имуществе за налоговый период, в котором реализован (передан) такой производный финансовый инструмент.
Статья 389. Доход от прироста стоимости по цифровым активам
1. Доход от прироста стоимости по цифровым активам возникает при реализации, передаче в качестве вклада в уставный капитал юридического лица цифровых активов.
2. Доходом от прироста стоимости по цифровым активам являются:
1) при реализации - положительная разница между ценой (стоимостью) реализации и его первоначальной стоимостью;
2) при передаче имущества в качестве вклада в уставный капитал - положительная разница между стоимостью, по которой он передан в качестве вклада в уставный капитал, но не более суммы, в счет оплаты которой передано такое имущество, и его первоначальной стоимостью. При этом стоимость имущества, по которой оно передано в качестве вклада в уставный капитал, определяется на основании документа, подтверждающего прием и передачу такого имущества.
3. Если иное не установлено пунктами 4 и 5 настоящей статьи, первоначальной стоимостью цифровых активов является документально подтвержденная цена (стоимость) их приобретения.
4. В следующих случаях реализации, передачи в уставный капитал первоначальной стоимостью цифровых активов являются:
1) стоимость, по которой имущество получено акционером, участником, учредителем при распределении имущества, в том числе взамен ранее внесенного, отраженная в документе, подтверждающем прием и передачу такого актива и заверенном подписями сторон, - в случае, если активы были получены акционером (участником, учредителем) в результате распределения имущества при ликвидации юридического лица или уменьшении уставного капитала, а также выкупе юридическим лицом у учредителя, участника доли участия или ее части в этом юридическом лице, выкупе юридическим лицом - эмитентом у акционера акций, выпущенных этим эмитентом;
2) сумма ранее признанного дохода, полученного от налогового агента, или дохода, полученного из источников за пределами Республики Казахстан и отраженного в декларации по предпринимательской деятельности или декларации о доходах и имуществе, - в случае получения цифровых активов в качестве выплаты такого дохода;
3) сумма дебиторской задолженности, в счет погашения которой получен цифровой актив, - в случае получения цифровых активов в счет погашения дебиторской задолженности, возникшей не в связи с получением дохода;
4) стоимость, включенная ранее в доход в виде безвозмездно полученных цифровых активов, - в случае, когда стоимость безвозмездно полученных цифровых активов была включена в облагаемый доход индивидуального предпринимателя или облагаемый доход физического лица;
5) рыночная стоимость цифрового актива - в случае реализации (передачи) цифрового актива, полученного в виде наследования, благотворительной помощи.
5. Первоначальная стоимость цифровых активов, полученных из источников в государстве с льготным налогообложением, равна нулю.
6. В случаях, когда положения пунктов 3 и 4 настоящей статьи не применимы для определения первоначальной стоимости, первоначальная стоимость цифровых активов равна нулю.
7. В целях настоящей статьи рыночной стоимостью является рыночная стоимость реализуемого (передаваемого) цифрового актива на дату возникновения права собственности на него, определенная в отчете об оценке, проведенной по договору между оценщиком и налогоплательщиком в соответствии с законодательством Республики Казахстан об оценочной деятельности, если иное не установлено настоящим пунктом.
Рыночной стоимостью реализуемого (передаваемого) цифрового актива, зарегистрированного за пределами Республики Казахстан, полученного в виде наследования, является рыночная стоимость реализуемого (передаваемого) цифрового актива на дату возникновения права собственности на него, определенная в отчете или ином документе о результатах оценки, проведенной по договору между независимым оценщиком и налогоплательщиком в соответствии с законодательством того государства, в котором зарегистрирован такой цифровой актив.
При этом такая рыночная стоимость должна быть определена налогоплательщиком не позднее срока, установленного для представления декларации о доходах и имуществе за налоговый период, в котором реализовано (передано) такое имущество.
Статья 390. Доход от прироста стоимости при реализации активов индивидуального предпринимателя, применяющего специальный налоговый режим на основе упрощенной декларации либо для крестьянских или фермерских хозяйств
1. В целях настоящей статьи к активам индивидуального предпринимателя, применяющего специальный налоговый режим на основе упрощенной декларации либо для крестьянских или фермерских хозяйств, относятся следующие активы, не являющиеся запасами и требованиями:
1) основные средства, используемые в предпринимательской деятельности;
2) объекты незавершенного строительства;
3) неустановленные машины и оборудование;
4) нематериальные активы;
5) биологические активы;
6) основные средства, стоимость которых полностью отнесена на вычеты в соответствии с налоговым законодательством Республики Казахстан, действовавшим до 1 января 2000 года, в случае, если такие основные средства являлись фиксированными активами в налоговых периодах, в течение которых индивидуальный предприниматель осуществлял расчеты с бюджетом в общеустановленном порядке и актив являлся фиксированным активом;
7) активы, введенные в эксплуатацию в рамках инвестиционного проекта по контрактам, заключенным до 1 января 2009 года в соответствии с законодательством Республики Казахстан в сфере предпринимательства, стоимость которых полностью отнесена на вычеты, в случае, если индивидуальный предприниматель осуществлял ранее расчеты с бюджетом в общеустановленном порядке и актив являлся фиксированным активом.
2. При реализации активов индивидуальным предпринимателем, применяющим специальный налоговый режим на основе упрощенной декларации либо для крестьянских или фермерских хозяйств, прирост определяется по каждому активу как положительная разница между ценой (стоимостью) реализации и первоначальной стоимостью.
3. Если иное не установлено настоящей статьей, в целях настоящей статьи первоначальной стоимостью активов индивидуального предпринимателя, применяющего специальный налоговый режим на основе упрощенной декларации либо для крестьянских или фермерских хозяйств, является совокупность затрат на приобретение, производство, строительство, монтаж, установку, реконструкцию и модернизацию, кроме затрат (расходов), указанных в подпунктах 1), 2), 3) и 5) статьи 286 и статье 287 настоящего Кодекса.
При этом признание реконструкции, модернизации осуществляется в соответствии со статьей 278 настоящего Кодекса.
4. В случае, если актив был ранее получен безвозмездно, в целях настоящей статьи первоначальной стоимостью такого актива является его стоимость, включенная в объект налогообложения налогоплательщика, применяющего специальный налоговый режим.
5. При реализации актива, полученного в виде наследования, благотворительной помощи, за исключением случая, предусмотренного пунктом 4 настоящей статьи, первоначальной стоимостью является рыночная стоимость такого актива на дату возникновения у индивидуального предпринимателя, применяющего специальный налоговый режим на основе упрощенной декларации либо для крестьянских или фермерских хозяйств, права собственности на данный актив, определенная в отчете об оценке, проведенной по договору между оценщиком и индивидуальным предпринимателем в соответствии с законодательством Республики Казахстан об оценочной деятельности.
При этом рыночная стоимость актива должна быть определена налогоплательщиком не позднее срока, установленного для представления декларации о доходах и имуществе за налоговый период, в котором реализованы такие активы по состоянию на дату возникновения права собственности.
6. Первоначальная стоимость актива равна нулю в следующих случаях:
1) при отсутствии рыночной стоимости актива, определяемой на дату возникновения права собственности на него;
2) при несоблюдении срока определения рыночной стоимости, установленного пунктом 5 настоящей статьи;
3) в случаях отсутствия первичных документов, подтверждающих затраты, предусмотренные пунктом 3 настоящей статьи, за исключением случаев, указанных в пунктах 4 и 5 настоящей статьи;
4) по активам, указанным в подпунктах 6) и 7) пункта 1 настоящей статьи.
Статья 391. Доход от уступки права требования, в том числе доли в многоквартирном жилом доме по договору о долевом участии в жилищном строительстве
1. Если иное не установлено настоящей статьей, доходом от уступки права требования является положительная разница между стоимостью, по которой произведена уступка физическим лицом права требования у должника, и размером такого требования на дату уступки на основании договора между физическим лицом и должником.
В случае если требование, по которому производится уступка, было приобретено физическим лицом путем уступки права требования и (или) получено безвозмездно от другого физического лица, то доходом от уступки права требования является положительная разница между стоимостью, по которой произведена уступка физическим лицом права требования у должника, и размером такого требования на дату уступки, но не более стоимости, по которой физическим лицом ранее приобретено право требования, и (или) стоимости права требования, безвозмездно полученного от другого физического лица.
Доход от уступки права требования признается в налоговом периоде, в котором произведена уступка права требования.
2. Доходом от уступки права требования доли в многоквартирном жилом доме по договору о долевом участии в жилищном строительстве для налогоплательщика, уступившего право требования, является положительная разница между стоимостью уступки права требования и ценой договора о долевом участии в жилищном строительстве в случае, когда период с даты заключения такого договора до даты уступки такого права требования составляет менее трех лет.
3. Для налогоплательщика, уступившего право требования, доходом от уступки права требования доли в многоквартирном жилом доме по договору о долевом участии в жилищном строительстве, ранее приобретенного путем уступки права требования по договору о долевом участии в жилищном строительстве и (или) полученного безвозмездно от другого физического лица, в случае, когда период с даты приобретения и (или) получения такого права путем уступки права требования по договору о долевом участии в жилищном строительстве до даты уступки такого права требования составляет менее трех лет, является положительная разница между стоимостью уступки права требования и стоимостью, по которой физическое лицо ранее приобрело такое право, и (или) стоимостью права требования, безвозмездно полученного от другого физического лица.
Параграф 4. Доход индивидуального предпринимателя
Статья 392. Доход индивидуального предпринимателя
Доход индивидуального предпринимателя за налоговый период состоит из доходов, полученных в Республике Казахстан и за ее пределами в течение налогового периода от деятельности в качестве индивидуального предпринимателя, и определяется:
в общеустановленном порядке налогообложения, который аналогичен порядку определения совокупного годового дохода в целях исчисления корпоративного подоходного налога, установленному статьей 237 настоящего Кодекса, с учетом особенностей, предусмотренных статьями 238 - 254, главами 27-31 настоящего Кодекса,
и (или)
в специальном налоговом режиме в соответствии с разделом 16 настоящего Кодекса.
Статья 393. Налогооблагаемый и облагаемый доход индивидуального предпринимателя, применяющего общеустановленный порядок налогообложения
1. Облагаемый доход индивидуального предпринимателя, применяющего общеустановленный порядок налогообложения, за налоговый период определяется в следующем порядке:
налогооблагаемый доход индивидуального предпринимателя, определенный в соответствии с пунктом 2 настоящей статьи,
минус
уменьшение налогооблагаемого дохода индивидуального предпринимателя, определенное в порядке, аналогичном порядку определения уменьшения налогооблагаемого дохода в целях исчисления корпоративного подоходного налога, установленному статьей 337 настоящего Кодекса,
минус
убытки, определенные и переносимые в порядке, аналогичном порядку, установленному в целях исчисления корпоративного подоходного налога статьями 339 - 342 настоящего Кодекса.
2. Налогооблагаемый доход индивидуального предпринимателя, применяющего общеустановленный порядок налогообложения, за налоговый период определяется в следующем порядке:
доход индивидуального предпринимателя за налоговый период, определенный в порядке, аналогичном порядку определения совокупного годового дохода в целях исчисления корпоративного подоходного налога, установленному разделом 5 настоящего Кодекса,
плюс (минус)
корректировка дохода индивидуального предпринимателя, полученного совокупно за налоговый период, определенная в порядке, аналогичном порядку определения уменьшения совокупного годового дохода в целях исчисления корпоративного подоходного налога, установленному статьей 255 настоящего Кодекса, и корректировки доходов, установленному статьей 256 настоящего Кодекса в целях исчисления корпоративного подоходного налога,
минус
вычеты, определенные в порядке, аналогичном порядку определения расходов, относимых на вычеты в целях исчисления корпоративного подоходного налога, установленному статьями 257 - 287 с учетом особенностей, предусмотренных главами 27 - 31 настоящего Кодекса,
плюс (минус)
корректировка вычетов, определенная в порядке, аналогичном порядку определения корректировки вычетов в целях исчисления корпоративного подоходного налога, установленному статьей 288 настоящего Кодекса.
Параграф 5. Доход лица, занимающегося частной практикой, а также доход от реализации товаров, работ, услуг
Статья 394. Общие положения по доходу лица, занимающегося частной практикой
1. К доходу лица, занимающегося частной практикой, относятся:
1) доход частного нотариуса;
2) доход частного судебного исполнителя;
3) доход адвоката;
4) доход профессионального медиатора.
2. Доходом лиц, занимающихся частной практикой, являются все виды доходов, полученных от осуществления деятельности по исполнению исполнительных документов, нотариальной, адвокатской деятельности, деятельности профессионального медиатора, включая соответственно оплату за оказание юридической помощи, совершение нотариальных действий, а также полученные суммы возмещения расходов.
3. Сумма денег, полученная за предоставление услуг лицом, занимающимся частной практикой, в качестве залога как способа обеспечения исполнения обязательства в соответствии с гражданским законодательством Республики Казахстан признается доходом с даты оплаты услуг из залоговых денег, указанной в акте оказанных услуг или документе, подтверждающем оказание услуг.
4. Датой признания дохода лица, занимающегося частной практикой, являются:
1) дата оказания услуг, указанная в подписанном акте оказанных услуг;
2) дата оказания услуг, указанная в другом документе, подтверждающем факт оказания услуг, в случае отсутствия акта оказанных услуг.
5. Сумма индивидуального подоходного налога по доходам лиц, занимающихся частной практикой, исчисляется по доходам, полученным за месяц, по итогам каждого месяца путем применения ставки, установленной подпунктом 2) статьи 363 настоящего Кодекса, к сумме облагаемого дохода лица, занимающегося частной практикой.
6. Сумма исчисленного налога подлежит уплате ежемесячно не позднее 5 числа месяца, следующего за месяцем, по доходам за который исчислен налог.
Статья 395. Доход от реализации товаров, работ, услуг
К доходу, полученному физическим лицом от реализации товаров, работ, услуг, относятся:
1) доход от реализации товаров, работ, услуг лицам, не являющимся налоговыми агентами;
2) доход от реализации товаров, работ, услуг налоговому агенту.
Доходом от реализации услуг налоговому агенту, подлежащим налогообложению, также признается доход, полученный (подлежащий получению) членом совета директоров или иного органа управления налогоплательщика, не являющегося высшим органом управления.
Параграф 6. Другие доходы
Статья 396. Доходы от личного подсобного хозяйства
Доходом от личного подсобного хозяйства признается доход от реализации лицом, занимающимся личным подсобным хозяйством, сельскохозяйственной продукции от личного подсобного хозяйства.
Статья 397. Другие доходы
Другими доходами признаются все виды доходов, кроме указанных в подпунктах 1) - 15) и 17) пункта 2 статьи 371 настоящего Кодекса, полученные из источников в Республике Казахстан и (или) за ее пределами.
Параграф 7. Прибыль контролируемой иностранной компании
Статья 398. Общие положения по контролируемой иностранной компании
Финансовая прибыль контролируемой иностранной компании или финансовая прибыль постоянного учреждения контролируемой иностранной компании не подлежит налогообложению дважды.
Двойное налогообложение устраняется путем применения следующих положений:
1) освобождения от налогообложения в соответствии со статьей 399 настоящего Кодекса;
2) корректировки финансовой прибыли до налогообложения контролируемой иностранной компании при соответствии условиям, указанным в пункте 3 статьи 399 настоящего Кодекса;
3) уменьшения финансовой прибыли до налогообложения контролируемой иностранной компании в соответствии со статьей 399 настоящего Кодекса;
4) зачета в счет уплаты индивидуального подоходного налога в Республике Казахстан в порядке, определенном пунктом 2 статьи 413 настоящего Кодекса.
Статья 399. Налогообложение прибыли контролируемой иностранной компании
1. Суммарная прибыль контролируемых иностранных компаний или постоянных учреждений контролируемых иностранных компаний, рассчитанная с учетом положений настоящей статьи и статьи 335 настоящего Кодекса, включается в годовой доход физического лица - резидента и облагается индивидуальным подоходным налогом в Республике Казахстан.
Такая суммарная прибыль контролируемых иностранных компаний или постоянных учреждений контролируемых иностранных компаний подлежит включению в декларацию по индивидуальному подоходному налогу.
2. Освобождается от налогообложения в Республике Казахстан финансовая прибыль контролируемой иностранной компании или финансовая прибыль постоянного учреждения контролируемой иностранной компании при выполнении одного из следующих условий:
1) при косвенном участии или косвенном контроле резидента в контролируемой иностранной компании, осуществляемом через другого резидента;
2) при косвенном участии или косвенном контроле резидента в контролируемой иностранной компании, осуществляемом через лицо, не являющееся контролируемым лицом;
3) если финансовая прибыль постоянного учреждения контролируемой иностранной компании облагалась налогом на прибыль в государстве, в котором зарегистрирована контролируемая иностранная компания, создавшая постоянное учреждение, по эффективной ставке, составляющей 10 и более процентов;
4) если финансовая прибыль контролируемой иностранной компании или финансовая прибыль постоянного учреждения контролируемой иностранной компании облагалась налогом в государстве, в котором зарегистрировано контролируемое лицо, через которого резидент косвенно владеет долями участия или имеет косвенный контроль в контролируемой иностранной компании, по эффективной ставке, составляющей 10 и более процентов;
5) если доля пассивных доходов контролируемой иностранной компании или постоянного учреждения контролируемой иностранной компании, за исключением зарегистрированных в государствах с льготным налогообложением, составляет менее 20 процентов;
6) при прямом и (или) косвенном владении и (или) контроле инвестиционным резидентом МФЦА в контролируемой иностранной компании.
Для целей применения настоящего пункта у физического лица - резидента должны быть в наличии подтверждающие документы, указанные в пункте 2 статьи 334 настоящего Кодекса.
3. Физическое лицо - резидент имеет право на уменьшение финансовой прибыли до налогообложения контролируемой иностранной компании или финансовой прибыли до налогообложения постоянного учреждения контролируемой иностранной компании на следующие суммы:
1) суммы уменьшения, определяемой по следующей формуле:
У = ФП × (Д(1)/ССД),где:
У - сумма уменьшения;
ФП - положительная величина финансовой прибыли до налогообложения контролируемой иностранной компании;
Д(1) - налогооблагаемый доход контролируемой иностранной компании от предпринимательской деятельности в Республике Казахстан через филиал, представительство, постоянное учреждение, обложенный корпоративным подоходным налогом в Республике Казахстан по ставке 20 и более процентов, в пределах налогооблагаемого дохода филиала, при условии, если финансовая прибыль до налогообложения контролируемой иностранной компании учитывает налогооблагаемый доход, указанный в настоящем подпункте;
ССД - совокупная сумма доходов;
2) суммы уменьшения, определяемой по следующей формуле:
У = ФП × (Д(2)/ССД),где:
У - сумма уменьшения;
ФП - положительная величина финансовой прибыли до налогообложения контролируемой иностранной компании;
Д(2) - доход от оказания услуг (выполнения работ) в Республике Казахстан без образования постоянного учреждения, полученный контролируемой иностранной компанией из источников в Республике Казахстан, обложенный в Республике Казахстан корпоративным подоходным налогом у источника выплаты по ставке 20 процентов, при условии, если финансовая прибыль до налогообложения определена с учетом дохода, указанного в настоящем подпункте;
ССД - совокупная сумма доходов;
3) дивидендов, полученных контролируемой иностранной компанией из источников в Республике Казахстан, не подлежащих налогообложению корпоративным подоходным налогом у источника выплаты согласно подпункту 7) статьи 681 настоящего Кодекса, при условии, если финансовая прибыль до налогообложения контролируемой иностранной компании включает такой доход;
4) суммы дивидендов, полученных одной контролируемой иностранной компанией от другой контролируемой иностранной компании, входящих в единую организационную структуру консолидированной группы.
При этом финансовая прибыль одной контролируемой иностранной компании должна включать такие дивиденды, которые ранее обложены (подлежат обложению в текущем периоде) индивидуальным подоходным налогом с финансовой прибыли другой такой контролируемой иностранной компании в Республике Казахстан и (или) уменьшены согласно подпунктам 3), 5), 6), 7), 8) и 9) настоящего пункта или части первой настоящего подпункта;
5) суммы дивидендов, полученных контролируемой иностранной компанией от иностранной компании, входящей в единую организационную структуру консолидированной группы.
При этом финансовая прибыль одной контролируемой иностранной компании должна включать такие дивиденды, которые ранее обложены (подлежат обложению в текущем периоде) индивидуальным подоходным налогом с финансовой прибыли другой такой контролируемой иностранной компании в Республике Казахстан и (или) уменьшены согласно подпунктам 3), 4), 6), 7), 8) и 9) настоящего пункта или части первой настоящего подпункта;
6) суммы уменьшения, определяемой по следующей формуле:
У = ФП×(Д(6)/ССД),где:
У - сумма уменьшения;
ФП - положительная величина финансовой прибыли до налогообложения контролируемой иностранной компании;
Д(6) - доходы в виде вознаграждений и (или) от прироста стоимости и (или) в виде роялти, полученные контролируемой иностранной компанией из источников в Республике Казахстан, ранее обложенные в Республике Казахстан корпоративным подоходным налогом у источника выплаты, при условии, если финансовая прибыль до налогообложения контролируемой иностранной компании включает такие доходы;
ССД - совокупная сумма доходов;
7) суммы уменьшения, определяемой по следующей формуле:
У = ФП×(Д(7)/ССД),где:
У - сумма уменьшения;
ФП - положительная величина финансовой прибыли до налогообложения контролируемой иностранной компании;
Д(7) - доход от прироста стоимости, полученный одной контролируемой иностранной компанией от реализации другой контролируемой иностранной компании, которая является учредителем резидента Республики Казахстан, соответствующего условиям подпункта 4) статьи 681 настоящего Кодекса, при условии, если финансовая прибыль одной контролируемой иностранной компании включает такой доход;
ССД - совокупная сумма доходов;
8) доходов в виде вознаграждений и (или) от прироста стоимости и (или) в виде роялти, полученных контролируемой иностранной компанией из источников в Республике Казахстан, не подлежащих налогообложению корпоративным подоходным налогом у источника выплаты согласно подпунктам 1), 4) и 9) статьи 681 настоящего Кодекса, при условии, если финансовая прибыль до налогообложения контролируемой иностранной компании включает такие доходы;
9) суммы дивидендов, полученных контролируемой иностранной компанией из источников в Республике Казахстан, ранее обложенных в Республике Казахстан корпоративным подоходным налогом у источника выплаты, при условии, если финансовая прибыль до налогообложения включает такие дивиденды;
10) суммы дивидендов, полученных контролируемой иностранной компанией от иностранной компании, входящей в единую организационную структуру консолидированной группы.
При этом финансовая прибыль одной контролируемой иностранной компании должна включать такие дивиденды, полученные из источников Республики Казахстан, которые ранее обложены в Республики Казахстан корпоративным подоходным налогом у источника выплаты и (или) не подлежали налогообложению корпоративным подоходным налогом у источника выплаты согласно подпункту 7) статьи 681 настоящего Кодекса.
Положения части первой настоящего пункта не применяются к контролируемой иностранной компании и (или) постоянному учреждению контролируемой иностранной компании, которые зарегистрированы в государствах с льготным налогообложением.
Для применения части первой настоящего пункта у физического лица - резидента должны быть в наличии подтверждающие документы, указанные в пункте 11 статьи 335 настоящего Кодекса.
4. Физическое лицо - резидент обязано представить заявление об участии (контроле) в контролируемой иностранной компании в порядке, определенном статьей 336 настоящего Кодекса.
Примечание.
Понятия, используемые в настоящей статье, определены статьей 332 настоящего Кодекса.
Параграф 8. Уменьшение дохода, подлежащего налогообложению, и личные налоговые вычеты
Статья 400. Общие положения по уменьшению дохода, подлежащего налогообложению
1. Доход физического лица, подлежащий налогообложению, уменьшается на следующие доходы:
1) доход от прироста стоимости при реализации государственных эмиссионных ценных бумаг;
2) доход от прироста стоимости при реализации агентских облигаций;
3) доход от прироста стоимости при реализации паев открытых и интервальных паевых инвестиционных фондов;
4) доход от прироста стоимости при реализации акций, долей участия в юридическом лице - резиденте или консорциуме, созданном в Республике Казахстан.
Настоящий подпункт применяется при одновременном выполнении следующих условий:
на день реализации акций или долей участия налогоплательщик владеет данными акциями или долями участия более трех лет;
такое юридическое лицо - эмитент или такое юридическое лицо, доля участия в котором реализуется, или участник такого консорциума, который реализует долю участия в таком консорциуме, не является недропользователем;
имущество лиц (лица), являющихся (являющегося) недропользователями (недропользователем), в стоимости активов такого юридического лица - эмитента или такого юридического лица, доля участия в котором реализуется, или общей стоимости активов участников такого консорциума, доля участия в котором реализуется, на день такой реализации составляет не более 50 процентов.
В целях настоящего подпункта недропользователем не признается недропользователь, являющийся таковым исключительно из-за обладания правом на добычу подземных вод и (или) общераспространенных полезных ископаемых для собственных нужд.
При этом доля имущества лиц (лица), являющихся (являющегося) недропользователями (недропользователем), в стоимости активов юридического лица или консорциума, чьи акции или доли участия реализуются, определяется в соответствии со статьей 687 настоящего Кодекса;
5) доходы от прироста стоимости при реализации долговых ценных бумаг, эмитентом которых является юридическое лицо - резидент, за исключением доходов лица, являющегося резидентом государства с льготным налогообложением, при одновременном выполнении следующих условий:
на день реализации долговых ценных бумаг налогоплательщик владеет данными долговыми ценными бумагами более трех лет;
такое юридическое лицо - эмитент не является недропользователем;
имущество лиц (лица), являющихся (являющегося) недропользователями (недропользователем), в стоимости активов такого юридического лица - эмитента на день такой реализации составляет не более 50 процентов.
В целях настоящего подпункта недропользователем не признается недропользователь, являющийся таковым исключительно из-за обладания правом на добычу подземных вод и (или) общераспространенных полезных ископаемых для собственных нужд.
При этом доля имущества лиц (лица), являющихся (являющегося) недропользователями (недропользователем), в стоимости активов юридического лица - эмитента определяется в соответствии со статьей 687 настоящего Кодекса;
6) доходы от прироста стоимости при реализации методом открытых торгов на фондовой бирже, функционирующей на территории Республики Казахстан, ценных бумаг, находящихся на день реализации в официальных списках данной фондовой биржи;
7) доход от прироста стоимости при реализации цифровых активов, по которым доход определен от деятельности по цифровому майнингу;
8) стоимость имущества, полученного в виде благотворительной и спонсорской помощи от лица, не являющегося налоговым агентом;
9) стоимость имущества, полученного в виде гуманитарной помощи от лица, не являющегося налоговым агентом;
10) официальные доходы дипломатических или консульских работников, не являющихся гражданами Республики Казахстан;
11) официальные доходы иностранцев, находящихся на государственной службе иностранного государства, в котором их доход подлежит налогообложению;
12) официальные доходы в иностранной валюте физических лиц, являющихся гражданами Республики Казахстан и находящихся на службе в дипломатических и приравненных к ним представительствах Республики Казахстан за границей, выплачиваемые за счет средств бюджета;
13) алименты, полученные в соответствии с законодательством Республики Казахстан о браке (супружестве) и семье;
14) возмещение вреда, причиненного жизни и здоровью физического лица, в соответствии с законодательством Республики Казахстан, за исключением морального вреда;
15) суммы возмещения материального ущерба, присужденные по вступившему в законную силу судебному акту, а также судебных расходов;
16) стоимость путевок в детские лагеря для детей, не достигших шестнадцатилетнего возраста;
17) доходы работника, указанные в статье 429 настоящего Кодекса;
18) вознаграждения, указанные в статье 430 настоящего Кодекса;
19) единовременные пенсионные выплаты, пенсионные выплаты, указанные в статье 431 настоящего Кодекса;
20) выплаты за счет средств бюджета, указанные в статье 432 настоящего Кодекса;
21) безвозмездно полученное имущество, указанное в статье 433 настоящего Кодекса;
22) стипендии, выплаты и компенсации, связанные с обучением, указанные в статье 434 настоящего Кодекса;
23) страховые выплаты, указанные в статье 435 настоящего Кодекса;
24) доходы, не предусмотренные подпунктами 1) - 23) настоящего пункта и указанные в статье 436 настоящего Кодекса.
2. В случае если доход физического лица, подлежащий налогообложению, не уменьшен на доход, предусмотренный подпунктами 12) - 24) пункта 1 настоящей статьи, налоговым агентом к доходу физического лица по причине обращения физического лица позже даты удержания индивидуального подоходного налога с такого дохода, то физическое лицо вправе в течение календарного года, в котором производилась выплата дохода, и календарного года, следующего за ним, представить налоговому агенту, производившему удержание индивидуального подоходного налога с такого дохода, заявление и подтверждающие документы, на основании которых налоговый агент производит перерасчет доходов, подлежащих налогообложению.
Статья 401. Общие положения по личным налоговым вычетам
1. Физическое лицо имеет право на применение следующих видов личных налоговых вычетов:
1) налоговый вычет социальных платежей;
2) базовый налоговый вычет;
3) социальные налоговые вычеты.
2. Физическое лицо применяет налоговые вычеты:
1) у налогового агента;
2) самостоятельно при неприменении у налогового агента.
3. Налоговые вычеты при определении объекта налогообложения применяются последовательно в том порядке, в котором они отражены в пункте 1 настоящей статьи.
Статья 402. Налоговый вычет социальных платежей
Налоговый вычет социальных платежей включает исчисленные в соответствии с законодательством Республики Казахстан:
1) обязательные пенсионные взносы;
2) взносы на обязательное социальное медицинское страхование;
3) социальные отчисления, удерживаемые с доходов физических лиц по договорам гражданско-правового характера.
Статья 403. Базовый налоговый вычет
Базовый налоговый вычет составляет 30-кратный размер месячного расчетного показателя, действующего на 1 января соответствующего финансового года, применяемый за каждый календарный месяц. Общая сумма базового налогового вычета за календарный год не должна превышать 360-кратного размера месячного расчетного показателя, действующего на 1 января соответствующего финансового года.
Статья 404. Социальные налоговые вычеты
1. Социальные налоговые вычеты:
1) 5000-кратный размер месячного расчетного показателя, действующего на 1 января соответствующего финансового года, за календарный год на основании того, что такое лицо на дату применения настоящего подпункта является лицом с инвалидностью первой, второй группы;
2) 882-кратный размер месячного расчетного показателя, действующего на 1 января соответствующего финансового года, за календарный год на основании того, что такое лицо на дату применения настоящего подпункта является:
лицом с инвалидностью третьей группы;
ребенком с инвалидностью;
участником Великой Отечественной войны, лицом, приравненным по льготам к участникам Великой Отечественной войны, и (или) ветераном боевых действий на территории других государств;
лицом, награжденным орденами и медалями бывшего Союза ССР за самоотверженный труд и безупречную воинскую службу в тылу в годы Великой Отечественной войны;
лицом, проработавшим (прослужившим) не менее шести месяцев с 22 июня 1941 года по 9 мая 1945 года и не награжденным орденами и медалями бывшего Союза ССР за самоотверженный труд и безупречную воинскую службу в тылу в годы Великой Отечественной войны;
3) 882-кратный размер месячного расчетного показателя, действующего на 1 января соответствующего финансового года, за календарный год на основании того, что такое лицо на дату применения настоящего подпункта является:
одним из родителей, опекунов, попечителей ребенка с инвалидностью, - за каждого такого ребенка с инвалидностью до достижения им восемнадцатилетнего возраста;
одним из родителей, опекунов, попечителей лица, признанного лицом с инвалидностью по причине «лицо с инвалидностью с детства», - за каждое такое лицо в течение его жизни;
одним из усыновителей (удочерителей), - за каждое такое лицо до достижения усыновленным (удочеренным) ребенком восемнадцатилетнего возраста;
одним из приемных родителей, принявших детей-сирот и детей, оставшихся без попечения родителей, в приемную семью, - за каждое такое лицо на период срока действия договора о передаче детей-сирот, детей, оставшихся без попечения родителей, в приемную семью.
Положения настоящего подпункта не применяются в отношении:
работников администраций соответствующих организаций образования, медицинских организаций, организаций социальной защиты населения, являющихся опекунами и попечителями лиц, нуждающихся в опеке и попечительстве, в силу трудовых отношений с такими организациями;
лиц, вступающих в брак (супружество) с матерью или отцом усыновляемого ребенка (детей) в соответствии с брачно-семейным законодательством Республики Казахстан.
2. Социальные налоговые вычеты применяются в том календарном году, в котором возникло, имеется или имелось основание для применения данных налоговых вычетов.
Глава 41. ПОРЯДОК ИСЧИСЛЕНИЯ, УПЛАТЫ ИНДИВИДУАЛЬНОГО ПОДОХОДНОГО НАЛОГА И ПРЕДСТАВЛЕНИЯ НАЛОГОВОЙ ОТЧЕТНОСТИ ПО ДОХОДАМ, ПОДЛЕЖАЩИМ НАЛОГООБЛОЖЕНИЮ ФИЗИЧЕСКИМ ЛИЦОМ САМОСТОЯТЕЛЬНО
Параграф 1. Доходы и вычеты
Статья 405. Виды доходов
1. К доходам, подлежащим налогообложению физическим лицом самостоятельно, относятся следующие доходы:
1) имущественный доход;
2) доход индивидуального предпринимателя;
3) доход лица, занимающегося частной практикой;
4) доход работника, полученный от лица, не являющегося налоговым агентом;
5) доход в виде безвозмездно полученного имущества от лица, не являющегося налоговым агентом;
6) доход в виде пенсионных выплат, полученный от лица, не являющегося налоговым агентом;
7) доход в виде дивидендов, полученный от лица, не являющегося налоговым агентом;
8) доход в виде вознаграждений, полученный от лица, не являющегося налоговым агентом;
9) доход в виде выигрышей, полученный от лица, не являющегося налоговым агентом;
10) доход в виде стипендий, полученный от лица, не являющегося налоговым агентом;
11) доход по договорам страхования, полученный от лица, не являющегося налоговым агентом;
12) доход от реализации товаров, выполнения работ, оказания услуг лицам, не являющимся налоговыми агентами;
13) доход общественного медиатора в соответствии с Законом Республики Казахстан «О медиации»;
14) доход от оказания услуг, выполнения работ дипломатическим и приравненным к ним представительствам иностранного государства, консульским учреждениям иностранного государства, аккредитованным в Республике Казахстан, не являющимся налоговыми агентами;
15) доход от оказания услуг, выполнения работ международным организациям и государственным организациям, зарубежным и казахстанским неправительственным общественным организациям и фондам, освобожденным от обязательства по исчислению, удержанию и перечислению индивидуального подоходного налога у источника выплаты в соответствии с международными договорами, ратифицированными Республикой Казахстан;
16) доход от личного подсобного хозяйства, полученный от лица, не являющегося налоговым агентом;
17) суммарная прибыль контролируемых иностранных компаний или постоянных учреждений контролируемых иностранных компаний, определяемая в соответствии со статьей 399 настоящего Кодекса;
18) другие доходы от лица, не являющегося налоговым агентом.
2. Доходы, подлежащие налогообложению физическим лицом самостоятельно, признаются в следующем порядке:
1) доходы, указанные в подпунктах 2) и 3) пункта 1 настоящей статьи, признаются по методу начисления независимо от факта получения или выплаты денег или их эквивалента. При этом датой получения дохода является дата совершения операции, в том числе день выполнения работ, оказания услуг, отгрузки и передачи имущества, в том числе товаров, покупателю или его доверенному лицу с целью реализации или оприходования имущества;
2) остальные виды доходов, указанные в пункте 1 настоящей статьи, признаются по наиболее поздней из следующих дат:
дата, с которой доход подлежит получению;
дата получения дохода путем оплаты, передачи имущества, в том числе денег или их эквивалента, или иного имущества в качестве выплаты дохода.
Положения подпункта 2) части первой настоящего пункта не применяются к доходам, подлежащим получению и не полученным до 1 января 2026 года, которые подлежали признанию в качестве дохода до 1 января 2026 года в соответствии с законодательством Республики Казахстан, действовавшим на дату, с которой доход подлежит получению.
3. Доход, подлежащий налогообложению физическим лицом самостоятельно, подлежащий получению (полученный) в иностранной валюте, пересчитывается в национальную валюту Республики Казахстан с применением среднеарифметического официального курса валюты за календарный год, в котором получен доход.
Статья 406. Доход работника, подлежащий налогообложению самостоятельно
1. Доходом работника, подлежащим налогообложению самостоятельно, является доход работника, подлежащий получению (полученный) от лица, не являющегося налоговым агентом, в том числе:
1) доход домашнего работника;
2) доход трудового иммигранта - резидента;
3) доход работника по трудовым договорам (контрактам), заключенным с дипломатическими и приравненными к ним представительствами иностранного государства, консульскими учреждениями иностранного государства, аккредитованными в Республике Казахстан, не являющимися налоговыми агентами;
4) доход работника по трудовым договорам (контрактам), заключенным с международными и государственными организациями, зарубежными и казахстанскими неправительственными общественными организациями и фондами, освобожденными от обязательства по исчислению, удержанию и перечислению индивидуального подоходного налога у источника выплаты в соответствии с международными договорами, ратифицированными Республикой Казахстан;
5) доход работника, полученный из источников за пределами Республики Казахстан.
2. Доход работника, подлежащий, налогообложению самостоятельно, определяется в размере дохода, подлежащего получению от работодателя на основании трудового договора (контракта, соглашения), заключенного в соответствии с законодательством Республики Казахстан или иностранного государства, а также решений работодателя.
Статья 407. Доход от реализации товаров, выполнения работ, оказания услуг лицам, неявляющимся налоговыми агентами
1. При реализации физическим лицом товаров, работ, услуг лицам, не являющимся налоговыми агентами, положения настоящего параграфа применяются физическим лицом по доходам, одновременно соответствующим следующим условиям:
1) полученный доход не включен в облагаемый доход индивидуального предпринимателя, лица, занимающегося частной практикой, а также в доход специального налогового режима для самозанятых;
2) доход получен от лица, не являющегося налоговым агентом.
2. К доходу, полученному физическим лицом от реализации товаров, выполнения работ, оказания услуг, лицам, не являющимся налоговыми агентами, относятся:
1) доход от реализации товаров, выполнения работ, оказания услуг лицам, не являющимся налоговыми агентами;
2) доход общественного медиатора в соответствии с Законом Республики Казахстан «О медиации»;
3) доход по договорам гражданско-правового характера, заключенным с дипломатическими и приравненными к ним представительствами иностранного государства, консульскими учреждениями иностранного государства, аккредитованными в Республике Казахстан, не являющимися налоговыми агентами;
4) доход по договорам гражданско-правового характера, заключенным с международными и государственными организациями, зарубежными и казахстанскими неправительственными общественными организациями и фондами, освобожденными от обязательства по исчислению, удержанию и перечислению индивидуального подоходного налога у источника выплаты в соответствии с международными договорами, ратифицированными Республикой Казахстан;
5) доход, полученный (подлежащий получению) членом совета директоров или иного органа управления налогоплательщика, не являющегося высшим органом управления.
Статья 408. Доход в виде безвозмездно полученного имущества от лиц, не являющихся налоговыми агентами
Доход в виде безвозмездно полученного имущества от лиц, не являющихся налоговыми агентами, определяется в следующем размере:
1) в размере стоимости имущества, определенной договором или иным документом, на основании которого имущество передается физическому лицу;
2) суммы прощенного (списанного) долга или обязательства, определенной документом, на основании которого производится прощение (списание).
Статья 409. Особенности применения налоговых вычетов физическим лицом самостоятельно
1. Физическое лицо применяет налоговый вычет социальных платежей и социальный налоговый вычет на основании документов, подтверждающих право на применение налоговых вычетов. Оригиналы таких документов хранятся у физического лица в течение срока исковой давности, установленного пунктом 2 статьи 65 настоящего Кодекса.
2. Сумма превышения налоговых вычетов, образовавшаяся у налогового агента, а также не примененная у налогового агента сумма налогового вычета учитываются физическим лицом самостоятельно при исчислении облагаемого дохода физического лица, подлежащего налогообложению самостоятельно.
Статья 410. Особенности налогового вычета социальных платежей
Налоговый вычет социальных платежей применяется физическим лицом самостоятельно на основании документа, подтверждающего уплату взносов на обязательное социальное медицинское страхование и (или) обязательных пенсионных взносов, в том налоговом периоде, на который приходится наиболее поздняя из следующих дат:
1) дата исчисления взносов;
2) дата уплаты взносов.
Параграф 2. Объект обложения
Статья 411. Определение облагаемого дохода физического лица, подлежащего налогообложению физическим лицом самостоятельно
1. Облагаемая сумма дохода, подлежащего налогообложению физическим лицом самостоятельно (за исключением облагаемой суммы в виде дохода индивидуального предпринимателя, в виде дивидендов и в виде дохода трудового иммигранта - резидента), определяется в следующем порядке:
доходы физического лица, подлежащие налогообложению физическим лицом самостоятельно (за исключением облагаемой суммы в виде дохода индивидуального предпринимателя, в виде дивидендов и в виде дохода трудового иммигранта - резидента),
плюс
сумма начисленных налоговым агентом доходов, подлежащих налогообложению у источника выплаты (за исключением доходов в виде дивидендов),
минус
доходы, на которые уменьшается доход, подлежащий налогообложению, предусмотренные в пункте 1 статьи 400 настоящего Кодекса,
минус
налоговые вычеты, указанные в пункте 1 статьи 401 настоящего Кодекса, включая превышение налоговых вычетов, образовавшееся у налогового агента, а также не примененную у налогового агента сумму налогового вычета, указанные в пункте 2 статьи 409 настоящего Кодекса.
Положения абзацев третьего и четвертого настоящего пункта применяются в случае превышения совокупной суммы доходов, подлежащих налогообложению у источника выплаты и физическим лицом самостоятельно, 8500-кратного месячного расчетного показателя, действующего на 1 января соответствующего финансового года.
2. Облагаемая сумма дохода индивидуального предпринимателя в общеустановленном порядке определяется следующим образом:
облагаемый доход индивидуального предпринимателя, определенный в соответствии с пунктом 1 статьи 393 настоящего Кодекса,
минус
доходы, на которые уменьшается доход физического лица, подлежащий налогообложению самостоятельно, предусмотренные пунктом 1 статьи 400 настоящего Кодекса,
минус
налоговые вычеты, указанные в пункте 1 статьи 401 настоящего Кодекса, включая превышение налоговых вычетов, образовавшееся у налогового агента, а также не примененную у налогового агента сумму налогового вычета, указанные в пункте 2 статьи 409 настоящего Кодекса.
3. Крестьянские или фермерские хозяйства, применяющие общеустановленный порядок определения облагаемого дохода, на основании раздельного налогового учета определяют облагаемые суммы дохода в соответствии с пунктом 2 настоящей статьи раздельно по:
1) деятельности по производству и реализации сельскохозяйственной продукции собственного производства, а также по переработке сельскохозяйственной продукции собственного производства и реализации продуктов такой переработки;
2) прочей деятельности.
4. Облагаемая сумма дохода трудового иммигранта - резидента в виде превышения определяется как:
доходы, полученные от выполнения работ (оказания услуг) за каждый месяц выполнения работ (оказания услуг) соответствующего периода, указанного в разрешении (разрешениях) трудовому иммигранту,
минус
сумма минимального облагаемого дохода за этот же период
минус
сумма в размере 14-кратного месячного расчетного показателя, действующего на 1 января соответствующего финансового года, за каждый месяц выполнения работ (оказания услуг) за этот же период.
5. Облагаемая сумма дохода в виде дивидендов определяется следующим образом:
доходы в виде дивидендов, подлежащие налогообложению у источника выплаты,
плюс
доходы в виде дивидендов, подлежащие налогообложению физическим лицом самостоятельно, в том числе полученные из источников за пределами Республики Казахстан,
минус
доходы, на которые уменьшается доход в соответствии с пунктом 1 статьи 400 настоящего Кодекса,
минус
налоговые вычеты, примененные налоговым агентом при исчислении дохода в виде дивидендов, подлежащего налогообложению у источника выплаты.
Параграф 3. Исчисление, уплата налога и налоговый период
Статья 412. Исчисление индивидуального подоходного налога с доходов физического лица, подлежащих налогообложению самостоятельно
1. Исчисление индивидуального подоходного налога с доходов физического лица, подлежащих налогообложению самостоятельно, производится физическим лицом:
1) в декларации по индивидуальному подоходному налогу по предпринимательской деятельности - по доходу индивидуального предпринимателя, определяемому в общеустановленном порядке;
2) в декларации о доходах и имуществе - по остальным доходам, подлежащим налогообложению самостоятельно.
2. Сумма индивидуального подоходного налога с доходов физического лица, подлежащих налогообложению самостоятельно, исчисляется путем применения ставок, установленных статьей 363 настоящего Кодекса, к соответствующей облагаемой сумме дохода физического лица.
3. Сумма индивидуального подоходного налога, подлежащая уплате в бюджет, определяется в следующем порядке:
сумма индивидуального подоходного налога, исчисленная в порядке, определенном пунктом 2 настоящей статьи,
минус
сумма индивидуального подоходного налога, на которую осуществляется зачет в соответствии со статьей 413 настоящего Кодекса,
минус
сумма корпоративного подоходного налога, на которую осуществляется зачет в соответствии со статьей 414 настоящего Кодекса,
минус
сумма индивидуального подоходного налога, исчисленная с доходов, подлежащих налогообложению у источника выплаты, в случае включения их в облагаемую сумму дохода, подлежащего налогообложению физическим лицом самостоятельно.
4. Исчисление суммы индивидуального подоходного налога с доходов трудовых иммигрантов производится трудовыми иммигрантами самостоятельно:
1) с суммы минимального облагаемого дохода - в размере 4-кратного месячного расчетного показателя, действующего на 1 января соответствующего финансового года, за каждый месяц выполнения работ (оказания услуг) соответствующего периода, указанного трудовым иммигрантом - резидентом в заявлении на получение (продление) разрешения трудовому иммигранту;
2) в декларации о доходах и имуществе с суммы дохода в виде превышения дохода, полученного по трудовому договору за соответствующий период, над суммой минимального облагаемого дохода за этот же период по окончании налогового периода - путем применения ставки, установленной подпунктом 1) статьи 363 настоящего Кодекса, к облагаемой сумме дохода в виде такого превышения.
Статья 413. Зачет сумм уплаченных за пределами Республики Казахстан налогов на доходы или иного иностранного налога, аналогичного индивидуальному подоходному налогу
1. Суммы уплаченных за пределами Республики Казахстан налогов на доходы или иного иностранного налога, аналогичного индивидуальному подоходному налогу (далее в целях настоящей статьи - иностранный подоходный налог), с доходов, полученных физическим лицом - резидентом из источников за пределами Республики Казахстан, подлежат зачету в счет уплаты индивидуального подоходного налога в Республике Казахстан в порядке, определенном статьей 346 настоящего Кодекса, в пределах ставки индивидуального подоходного налога при наличии документа, подтверждающего уплату такого иностранного подоходного налога.
2. Подлежит зачету в счет уплаты индивидуального подоходного налога в Республике Казахстан сумма иностранного подоходного налога с финансовой прибыли контролируемой иностранной компании или финансовой прибыли постоянного учреждения контролируемой иностранной компании, исчисленная по следующей формуле:
Нз = П х Д х Сэ/100%, где:
Нз - сумма иностранного подоходного налога, подлежащая отнесению в зачет;
П - положительная величина финансовой прибыли контролируемой иностранной компании или положительная величина финансовой прибыли постоянного учреждения контролируемой иностранной компании, включенная в годовой доход физического лица - резидента в соответствии со статьей 399 настоящего Кодекса;
Д - коэффициент прямого или косвенного, или конструктивного участия или прямого или косвенного, или конструктивного контроля резидента в контролируемой иностранной компании, определяемый в соответствии со статьей 335 настоящего Кодекса;
Сэ - эффективная ставка, исчисленная в соответствии со статьей 332 настоящего Кодекса.
Положения настоящего пункта применяются в случае уплаты иностранного подоходного налога с финансовой прибыли контролируемой иностранной компании или финансовой прибыли постоянного учреждения контролируемой иностранной компании по эффективной ставке, составляющей менее 10 процентов, в государствах, в которых зарегистрированы:
1) контролируемая иностранная компания или постоянное учреждение контролируемой иностранной компании;
2) контролируемая иностранная компания, создавшая постоянное учреждение;
3) контролируемое лицо, через которого резидент косвенно владеет долями участия (голосующими акциями) либо имеет косвенный контроль в контролируемой иностранной компании.
В случае если финансовая прибыль контролируемой иностранной компании или финансовая прибыль постоянного учреждения контролируемой иностранной компании облагалась иностранным подоходным налогом в двух и более иностранных государствах, то в зачет принимается только тот иностранный подоходный налог, у которого эффективная ставка составляет максимальную величину из эффективных ставок иностранного подоходного налога, уплаченного в таких иностранных государствах. Положения настоящего абзаца применяются:
1) при косвенном владении долями участия (голосующими акциями) или косвенном контроле в контролируемой иностранной компании и уплате иностранного подоходного налога в двух и более иностранных государствах (в которых зарегистрировано (зарегистрированы) контролируемое лицо (контролируемые лица), через которое (которые) осуществляется такое косвенное владение или такой косвенный контроль) с финансовой прибыли контролируемой иностранной компании или финансовой прибыли постоянного учреждения контролируемой иностранной компании;
или
2) при прямом владении долями участия (голосующими акциями) или прямом контроле в контролируемой иностранной компании и уплате иностранного подоходного налога с финансовой прибыли постоянного учреждения контролируемой иностранной компании в иностранных государствах, в которых зарегистрированы:
постоянное учреждение контролируемой иностранной компании;
контролируемая иностранная компания, создавшая постоянное учреждение.
В случае владения резидентом прямо и косвенно или прямо и конструктивно долями участия (голосующими акциями) либо наличия у резидента прямого и косвенного или прямого и конструктивного контроля в контролируемой иностранной компании сумма иностранного подоходного налога с финансовой прибыли контролируемой иностранной компании или финансовой прибыли постоянного учреждения контролируемой иностранной компании, подлежащая отнесению в зачет в соответствии с настоящим пунктом, рассчитывается отдельно по каждому прямому и косвенному владению или прямому и конструктивному владению долями участия (голосующими акциями) либо прямому и косвенному контролю или прямому и конструктивному контролю в контролируемой иностранной компании. При этом отнесению в зачет в соответствии с настоящим пунктом подлежит сумма величин такого иностранного подоходного налога, рассчитанных отдельно по прямому и косвенному владению или прямому и конструктивному владению долями участия (голосующими акциями) либо прямому и косвенному контролю или прямому и конструктивному контролю в контролируемой иностранной компании.
Для применения настоящего пункта у резидента должны быть в наличии документы, указанные в части пятой пункта 4 статьи 346 настоящего Кодекса.
Статья 414. Зачет налога контролируемой иностранной компании
1. Индивидуальный подоходный налог уменьшается на величину, определяемую в одном из следующих порядков:
1) сумма корпоративного подоходного налога, удержанного у источника выплаты в Республике Казахстан в налоговом периоде с дохода или налогооблагаемого дохода контролируемой иностранной компании из источников в Республике Казахстан, включенного в финансовую прибыль контролируемой иностранной компании, подлежащую налогообложению (обложенную налогом) в отчетном или предыдущем налоговом периоде в Республике Казахстан в соответствии со статьей 399 настоящего Кодекса, за исключением суммы корпоративного подоходного налога, удержанного у источника выплаты в Республике Казахстан с доходов в виде дивидендов. Положение настоящего подпункта применяется к сумме корпоративного подоходного налога, удержанного у источника выплаты, исчисленного с применением ставки, составляющей менее 10 процентов, и в случае, если резидентом не применяются положения пункта 2 статьи 413 настоящего Кодекса;
2) величина, определяемая в следующем порядке:
Нв = Д х (Ск - Сэ)/100%, где:
Нв - налог, подлежащий вычету в соответствии с настоящим подпунктом;
Д - доход или налогооблагаемый доход, полученный контролируемой иностранной компанией из источников в Республике Казахстан, за исключением доходов в виде дивидендов;
Ск - ставка корпоративного подоходного налога, удержанного в Республике Казахстан с дохода или налогооблагаемого дохода контролируемой иностранной компании из источников в Республике Казахстан по ставке, составляющей менее 10 процентов (далее - ставка корпоративного подоходного налога);
Сэ - эффективная ставка иностранного налога на прибыль или иного иностранного налога, аналогичного корпоративному подоходному налогу в Республике Казахстан, уплаченного в иностранном государстве с финансовой прибыли контролируемой иностранной компании, включающей доход или налогооблагаемый доход из источников в Республике Казахстан, по которой исчислен иностранный налог на прибыль, отнесенный или подлежащий отнесению в зачет в соответствии с пунктом 2 статьи 413 настоящего Кодекса (далее - эффективная ставка иностранного налога на прибыль).
Положение части первой настоящего подпункта используется в случаях, если резидентом применяются положения пункта 2 статьи 413 настоящего Кодекса и если ставка корпоративного подоходного налога больше эффективной ставки иностранного налога на прибыль.
2. Положения подпункта 1) или 2) пункта 1 настоящей статьи применяются при наличии у физического лица - резидента копий следующих документов:
подтверждающих удержание и перечисление резидентом в бюджет Республики Казахстан корпоративного подоходного налога у источника выплаты с дохода или налогооблагаемого дохода контролируемой иностранной компании, полученного из источников в Республике Казахстан;
составленного (составленных) на иностранном языке (с обязательным переводом на казахский или русский язык) внутреннего документа (документов), подтверждающего (подтверждающих) включение в подлежащую налогообложению (обложенную налогом) в Республике Казахстан финансовую прибыль контролируемой иностранной компании дохода или налогооблагаемого дохода из источников в Республике Казахстан;
указанных в части пятой пункта 4 статьи 346 настоящего Кодекса при применении подпункта 2) пункта 1 настоящей статьи.
Статья 415. Налоговый период
1. Налоговым периодом для исчисления индивидуального подоходного налога с доходов, подлежащих налогообложению физическим лицом самостоятельно, является календарный год, если иное не установлено настоящей статьей.
2. При постановке физического лица на регистрационный учет в качестве индивидуального предпринимателя, лица, занимающегося частной практикой, после начала календарного года первым налоговым периодом для него является период времени со дня постановки его на такой регистрационный учет:
1) до дня снятия с регистрационного учета в качестве индивидуального предпринимателя, лица, занимающегося частной практикой, - в случае такого снятия в этом же календарном году;
2) до конца календарного года - в остальных случаях.
3. При снятии индивидуального предпринимателя, лица, занимающегося частной практикой, с регистрационного учета в качестве индивидуального предпринимателя, лица, занимающегося частной практикой, до конца календарного года последним налоговым периодом для него является период времени:
1) со дня постановки его на регистрационный учет в качестве индивидуального предпринимателя, лица, занимающегося частной практикой, до дня снятия его с такого регистрационного учета - в случае постановки физического лица на регистрационный учет в качестве индивидуального предпринимателя, лица, занимающегося частной практикой, после начала календарного года;
2) от начала календарного года до дня снятия с регистрационного учета в качестве индивидуального предпринимателя, лица, занимающегося частной практикой, - в остальных случаях.
Параграф 4. Налоговая декларация
Статья 416. Общие положения по налоговой декларации
1. Физические лица представляют следующие виды налоговых деклараций:
1) декларацию о доходах и имуществе;
2) декларацию по индивидуальному подоходному налогу по предпринимательской деятельности;
3) декларацию об активах и обязательствах.
2. Условия, порядок и сроки представления налоговых деклараций установлены в параграфе 4 настоящей главы и главы 42 настоящего Кодекса.
Статья 417. Декларация о доходах и имуществе
1. Если иное не установлено частью второй настоящего пункта, декларацию о доходах и имуществе представляют физические лица - резиденты при соответствии в течение отчетного налогового периода одному из следующих условий:
1) лица, на которых в соответствии с законами Республики Казахстан «О противодействии коррупции», «О банках и банковской деятельности в Республике Казахстан», «О страховой деятельности», «О рынке ценных бумаг» возложена обязанность по представлению декларации о доходах и имуществе;
2) руководители, учредители (участники) субъектов квазигосударственного сектора, юридических лиц, владеющие более 10 процентов доли в уставном капитале (акций акционерного общества), а также их супруги - резиденты, за исключением учредителей (участников) некоммерческих организаций;
3) физические лица, получившие доход, подлежащий налогообложению физическим лицом самостоятельно, за исключением доходов от предпринимательской деятельности;
4) физические лица, имеющие по состоянию на 31 декабря отчетного налогового периода деньги на банковских счетах в иностранных банках, находящихся за пределами Республики Казахстан, в сумме, в совокупности превышающей 1000-кратный размер месячного расчетного показателя;
5) физические лица, которые имеют по состоянию на 31 декабря отчетного налогового периода следующее имущество на праве собственности:
имущество, которое подлежит государственной или иной регистрации (учету), либо права и (или) сделки по которому подлежат государственной или иной регистрации (учету) в компетентном органе иностранного государства в соответствии с законодательством иностранного государства;
ценные бумаги, эмитенты которых зарегистрированы за пределами Республики Казахстан;
долю участия в уставном капитале юридического лица, зарегистрированного за пределами Республики Казахстан;
объекты интеллектуальной собственности, авторского права, зарегистрированные за пределами Республики Казахстан;
инвестиционное золото;
6) лица, которые в течение отчетного налогового периода приобретали имущество, совокупная стоимость которого превышает 20 000-кратный размер месячного расчетного показателя, действующего на 31 декабря отчетного налогового периода, в Республике Казахстан и (или) за ее пределами:
недвижимое имущество, подлежащее государственной или иной регистрации, а также имущество, по которому права и (или) сделки подлежат государственной или иной регистрации;
механические транспортные средства и прицепы, подлежащие государственной регистрации;
доли участия в уставном капитале юридического лица;
ценные бумаги;
производные финансовые инструменты (за исключением производных финансовых инструментов, исполнение которых происходит путем приобретения или реализации базового актива);
доли участия в жилищном строительстве;
инвестиционное золото.
Совокупная стоимость имущества определяется путем суммирования цен его приобретения в течение отчетного налогового периода;
7) лица, имеющие по состоянию на 31 декабря отчетного налогового периода в собственности цифровые активы;
8) физические лица, получившие доходы, указанные в подпункте 1) статьи 363 настоящего Кодекса, в том числе за пределами Республики Казахстан, в сумме, превышающей за отчетный налоговый период 8500 - кратный месячный расчетный показатель, действующий на 31 декабря отчетного налогового периода, за исключением получивших доход работника, подлежащий налогообложению у источника выплаты, являющийся единственным источником дохода, к которому применена ставка индивидуального подоходного налога, указанная в строке 2 таблицы, предусмотренной подпунктом 1) статьи 363 настоящего Кодекса;
9) физические лица, получившие доход в виде дивидендов, в том числе за пределами Республики Казахстан, в сумме, превышающей за отчетный налоговый период 230 000-кратный месячный расчетный показатель, действующий на 31 декабря отчетного налогового периода.
Обязательства по преставлению декларации о доходах и имуществе, возникающие в случаях, определенных подпунктами 5) и 6) настоящего пункта, не распространяются на лиц, исполняющих в текущем отчетном периоде обязанность по представлению декларации об активах и обязательствах в соответствии со статьей 422 настоящего Кодекса.
2. В декларации о доходах и имуществе отражается дебиторская задолженность других лиц физическому лицу и (или) кредиторская задолженность физического лица другим лицам, образовавшиеся на дату составления декларации:
1) между физическими лицами, - при наличии нотариально удостоверенного договора (сделки, соглашения), являющегося основанием возникновения обязательства или требования, заключенного с физическим лицом.
Задолженность, указанная в настоящем подпункте, подлежит нотариальному удостоверению в срок не позднее срока представления декларации, установленного статьей 418 настоящего Кодекса;
2) между физическим лицом и юридическим лицом и (или) индивидуальным предпринимателем, в том числе являющимся нерезидентом, - при наличии акта сверки и договора гражданско-правового характера, за исключением задолженности банковским организациям, микрофинансовым организациям, созданным в соответствии с законодательством Республики Казахстан;
3) подтвержденная вступившим в законную силу решением суда.
Документы, указанные в настоящем пункте, представляются одновременно с декларацией о доходах и имуществе.
Задолженность, по которой не представлены подтверждающие документы, считается равной нулю.
При этом в декларации о доходах и имуществе не отражаются дебиторская и (или) кредиторская задолженности по договору, заключенному с использованием заемной краудфандинговой платформы участника МФЦА, действующей на основании выданной лицензии.
3. Положения настоящей статьи не распространяются на иностранцев или лиц без гражданства, являющихся сотрудниками аккредитованных в Республике Казахстан дипломатических или приравненных к ним представительств, консульских учреждений иностранных государств, международных организаций и их представительств, а также членов их семей, проживающих вместе с ними.
4. Физические лица, указанные в подпунктах 1), 2) и 6) пункта 1, в декларации о доходах и имуществе также отражают сведения о приобретении, отчуждении и (или) безвозмездном получении имущества, а также об источниках покрытия расходов на приобретение в течение отчетного налогового периода следующего имущества, в том числе за пределами Республики Казахстан:
1) недвижимого имущества, подлежащего государственной или иной регистрации, а также имущества, по которому права и (или) сделки подлежат государственной или иной регистрации;
2) транспортных средств и прицепов, подлежащих государственной регистрации;
3) доли участия в уставном капитале юридического лица;
4) доли участия в жилищном строительстве;
5) ценных бумаг;
6) цифровых активов;
7) производных финансовых инструментов (за исключением производных финансовых инструментов, исполнение которых происходит путем приобретения или реализации базового актива);
8) инвестиционного золота;
9) объектов интеллектуальной собственности, авторского права.
5. Физические лица, принимающие в соответствии с Законом Республики Казахстан «О противодействии коррупции» антикоррупционное ограничение по открытию и владению счетами (вкладами) в иностранных банках, расположенных за пределами Республики Казахстан, хранению наличных денег и ценностей в иностранных банках, расположенных за пределами Республики Казахстан, в декларации о доходах и имуществе отражают информацию о наличии денег в иностранных банках, находящихся за пределами Республики Казахстан, вне зависимости от суммы банковского вклада.
Требование об отражении данных сведений указывается в приложении к декларации о доходах и имуществе.
6. В целях применения настоящего Кодекса налоговое обязательство несовершеннолетнего лица и (или) недееспособного или ограниченно дееспособного лица исполняется законным представителем в соответствии с законами Республики Казахстан.
7. Приложения к декларации о доходах и имуществе предназначены для детального отражения информации об исчислении налогового обязательства, используемой налоговыми органами в целях налогового контроля.
8. Непредставление физическим лицом декларации о доходах и имуществе в срок, установленный статьей 418 настоящего Кодекса, считается подтверждением отсутствия у такого физического лица:
доходов, подлежащих обложению физическим лицом самостоятельно;
имущества и обязательств, установленных настоящей статьей.
Статья 418. Сроки представления декларации о доходах и имуществе
1. Если иное не установлено пунктом 2 настоящей статьи, декларация о доходах и имуществе представляется по месту жительства (пребывания) не позднее 15 сентября года, следующего за отчетным календарным годом.
2. Декларация о доходах и имуществе представляется трудовыми иммигрантами - резидентами Республики Казахстан, получившими доходы, предусмотренные статьей 373 настоящего Кодекса, в случае превышения суммы индивидуального подоходного налога, исчисленной за отчетный налоговый период, над суммой предварительных платежей по индивидуальному подоходному налогу.
Декларация о доходах и имуществе по доходам, предусмотренным статьей 373 настоящего Кодекса, представляется трудовыми иммигрантами - резидентами в налоговый орган по месту пребывания не позднее 15 сентября года, следующего за отчетным налоговым периодом.
При этом в случае выезда за пределы Республики Казахстан трудового иммигранта - резидента, получившего доходы, предусмотренные статьей 373 настоящего Кодекса, в течение налогового периода, декларация (декларации) о доходах и имуществе представляется (представляются) до даты выезда такого лица за пределы Республики Казахстан.
3. В случае, если на дату представления декларации о доходах и имуществе отсутствует утвержденная финансовая отчетность, исчисление суммарной прибыли контролируемых иностранных компаний или постоянных учреждений контролируемых иностранных компаний производится в дополнительной декларации о доходах и имуществе, представляемой в течение шестидесяти рабочих дней, следующих за днем утверждения финансовой отчетности, но не позднее 1 июля второго года, следующего за отчетным налоговым периодом, с учетом положений статьи 115 настоящего Кодекса.
Статья 419. Порядок и сроки уплаты индивидуального подоходного налога, исчисленного в декларации о доходах и имуществе
1. Уплата индивидуального подоходного налога, исчисленного с облагаемой суммы дохода, подлежащего налогообложению физическим лицом самостоятельно по итогам календарного года, осуществляется налогоплательщиком не позднее десяти календарных дней после срока, установленного для сдачи декларации о доходах и имуществе, если иное не установлено пунктом 3 статьи 418 настоящего Кодекса, - по месту жительства (пребывания).
2. Уплата индивидуального подоходного налога, исчисленного трудовым иммигрантом - резидентом с суммы минимального облагаемого дохода, производится до получения (продления) разрешения трудовому иммигранту - по месту пребывания трудового иммигранта.
3. Уплата индивидуального подоходного налога, исчисленного с суммарной прибыли контролируемой иностранной компании и (или) постоянного учреждения контролируемой иностранной компании по итогам налогового периода производится не позднее десяти календарных дней после срока, установленного пунктом 3 статьи 418 настоящего Кодекса.
Положения настоящего пункта не применяются к индивидуальному подоходному налогу, исчисленному с суммарной прибыли контролируемых иностранных компаний и (или) постоянных учреждений контролируемых иностранных компаний, зарегистрированных в государствах с льготным налогообложением.
Параграф 5. Декларация по индивидуальному подоходному налогу по предпринимательской деятельности
Статья 420. Декларация по индивидуальному подоходному налогу по предпринимательской деятельности
1. Индивидуальные предприниматели, применяющие общеустановленный порядок налогообложения, представляют декларацию по индивидуальному подоходному налогу по предпринимательской деятельности.
2. Декларация по индивидуальному подоходному налогу по предпринимательской деятельности представляется в налоговый орган по месту нахождения не позднее 31 марта года, следующего за отчетным налоговым периодом, за исключением ликвидационной налоговой отчетности.
3. Срок представления ликвидационной декларации по индивидуальному подоходному налогу по предпринимательской деятельности при прекращении деятельности индивидуального предпринимателя установлен статьями 74 - 76 настоящего Кодекса.
Статья 421. Порядок и сроки уплаты индивидуального подоходного налога, исчисленного в декларации по индивидуальному подоходному налогу по предпринимательской деятельности
1. Если иное не установлено настоящей статьей, уплата индивидуального подоходного налога, исчисленного в декларации по индивидуальному подоходному налогу по предпринимательской деятельности, осуществляется по месту нахождения не позднее десяти календарных дней после срока, установленного для сдачи такой декларации.
2. Уплата индивидуального подоходного налога, исчисленного в ликвидационной декларации по индивидуальному подоходному налогу по предпринимательской деятельности, при прекращении деятельности индивидуального предпринимателя осуществляется по месту нахождения не позднее десяти календарных дней со дня представления ликвидационной налоговой отчетности.
Глава 42. ДЕКЛАРИРОВАНИЕ АКТИВОВ И ОБЯЗАТЕЛЬСТВ ФИЗИЧЕСКИМИ ЛИЦАМИ
Статья 422. Декларация об активах и обязательствах
1. Физические лица, указанные в пункте 2 настоящей статьи, составляют декларацию об активах и обязательствах по состоянию на 31 декабря года, предшествующего году представления декларации об активах и обязательствах, если иное не установлено Конституционным законом Республики Казахстан «О выборах в Республике Казахстан» и законами Республики Казахстан «О противодействии коррупции», «О банках и банковской деятельности в Республике Казахстан», «О страховой деятельности» и «О рынке ценных бумаг».
2. Декларацию об активах и обязательствах представляют:
1) лица, на которых возложена обязанность по представлению такой декларации в соответствии с Конституционным законом Республики Казахстан «О выборах в Республике Казахстан» и законами Республики Казахстан «О противодействии коррупции», «О банках и банковской деятельности в Республике Казахстан», «О страховой деятельности», «О рынке ценных бумаг»;
2) совершеннолетние граждане, резиденты Республики Казахстан в случае наличия за пределами Республики Казахстан на праве собственности (требования) следующего имущества:
имущества, по которому права и (или) сделки подлежат государственной или иной регистрации в компетентном органе иностранного государства в соответствии с законодательством иностранного государства;
денег на банковских счетах в иностранных банках в сумме, совокупно превышающей по всем банковским вкладам 1000-кратный размер месячного расчетного показателя, действующего на 31 декабря отчетного налогового периода;
инвестиционного золота;
доли участия в уставном капитале юридического лица, созданном за пределами Республики Казахстан;
доли участия в жилищном строительстве;
ценных бумаг, производных финансовых инструментов, эмитенты которых зарегистрированы за пределами Республики Казахстан;
денег на иностранных брокерских счетах;
объектов интеллектуальной собственности, авторского права за пределами Республики Казахстан;
задолженности других лиц перед физическим лицом (дебиторской задолженности) и (или) задолженности физического лица перед другими лицами (кредиторской задолженности) за пределами Республики Казахстан, указанной в пункте 2 статьи 423 настоящего Кодекса;
прочего имущества, указанного в пункте 3 статьи 423 настоящего Кодекса.
3. В целях применения настоящего Кодекса налоговое обязательство несовершеннолетнего лица и (или) недееспособного или ограниченно дееспособного лица исполняется законным представителем в соответствии с законами Республики Казахстан.
4. Положения настоящей статьи не распространяются на иностранцев или лиц без гражданства, являющихся сотрудниками аккредитованных в Республике Казахстан дипломатических или приравненных к ним представительств, консульских учреждений иностранных государств, международных организаций и их представительств, а также членов их семей, проживающих вместе с ними.
5. Декларация об активах и обязательствах подразделяется на следующие виды:
1) первоначальная - представляемая физическим лицом впервые;
2) очередная - представляемая физическим лицом в соответствии с Конституционным законом Республики Казахстан «О выборах в Республике Казахстан» и законами Республики Казахстан «О противодействии коррупции», «О банках и банковской деятельности», «О страховой деятельности», «О рынке ценных бумаг» после представления таким физическим лицом первоначальной декларации об активах и обязательствах;
3) дополнительная - представляемая физическим лицом при внесении изменений и (или) дополнений в ранее представленную декларацию об активах и обязательствах физического лица, к которой относятся данные изменения и (или) дополнения;
4) дополнительная по уведомлению - представляемая физическим лицом при внесении изменений и (или) дополнений в ранее представленную декларацию об активах и обязательствах, в которой налоговым органом выявлены нарушения по результатам камерального контроля по активам и обязательствам физического лица.
При непредставлении физическим лицом первоначальной декларации об активах и обязательствах в срок, установленный статьей 409 настоящего Кодекса, налоговые органы при проведении налогового администрирования используют сведения об имуществе (активах) и обязательстве, полученных от уполномоченных органов, третьих лиц, банков второго уровня и организаций, осуществляющих отдельные виды банковских операций, по состоянию на 31 декабря года, предшествующего году, в котором возникло обязательство или право представления декларации.
Уполномоченным органом в веб-приложении физического лица ежегодно в срок до 1 июня календарного года размещаются сведения по:
имуществу, подлежащему государственной или иной регистрации, а также имуществу, по которому права и (или) сделки подлежат государственной или иной регистрации;
остаткам денег на банковских счетах по состоянию на 31 декабря отчетного года;
доходам, полученным за отчетный календарный год.
6. Декларация об активах и обязательствах представляется один раз, за исключением представления:
1) лицами, на которых возложена обязанность по представлению декларации в соответствии с Конституционным законом Республики Казахстан «О выборах в Республике Казахстан» и законами Республики Казахстан «О противодействии коррупции», «О банках и банковской деятельности в Республике Казахстан», «О страховой деятельности», «О рынке ценных бумаг»;
2) дополнительной налоговой отчетности, предусмотренной статьей 117 настоящего Кодекса.
Примечание. В целях настоящего раздела под месячным расчетным показателем понимается месячный расчетный показатель, действующий на 31 декабря отчетного налогового периода, предшествующего году представления декларации об активах и обязательствах физического лица.
Статья 423. Особенности составления декларации об активах и обязательствах
1. Декларация об активах и обязательствах предназначена для отражения физическими лицами, указанными в пункте 2 статьи 422 настоящего Кодекса, информации о наличии:
1) имущества, по которому права и (или) сделки подлежат государственной или иной регистрации в компетентном органе иностранного государства в соответствии с законодательством иностранного государства:
недвижимое имущество, земельные участки и (или) земельные доли, воздушные и морские суда, суда внутреннего водного плавания, суда плавания «река-море»;
транспортные средства, специальная техника и (или) прицепы;
деньги на банковских счетах в иностранных банках, находящихся за пределами Республики Казахстан, в сумме, совокупно превышающей по всем банковским вкладам 1000-кратный размер месячного расчетного показателя;
2) имущества и обязательств в Республике Казахстан и (или) за ее пределами:
доля в строительстве недвижимости;
доля участия в уставном капитале юридического лица, созданном за пределами Республики Казахстан;
ценные бумаги, производные финансовые инструменты (за исключением производных финансовых инструментов, исполнение которых происходит путем приобретения или реализации базового актива);
цифровые активы;
инвестиционное золото;
объекты интеллектуальной собственности, авторского права;
наличные деньги, которые указываются в сумме, не превышающей предел 10000-кратного размера месячного расчетного показателя;
задолженность других лиц перед физическим лицом (дебиторская задолженность) и (или) задолженность физического лица перед другими лицами (кредиторская задолженность), указанная в пункте 2 настоящей статьи;
деньги на иностранных брокерских счетах;
3) прочего имущества, указанного в пункте 3 настоящей статьи.
2. В декларации об активах и обязательствах отражается дебиторская задолженность других лиц физическому лицу и (или) кредиторская задолженность физического лица другим лицам, образовавшаяся на дату составления такой декларации:
1) между физическими лицами, - при наличии нотариально удостоверенного договора (сделки, соглашения), являющегося основанием возникновения обязательства или требования, заключенного с физическим лицом.
Задолженность, указанная в настоящем подпункте, должна быть нотариально удостоверена в срок не позднее срока представления декларации, установленного статьей 424 настоящего Кодекса;
2) между физическим лицом и юридическим лицом и (или) индивидуальным предпринимателем, в том числе являющимся нерезидентом, - при наличии акта сверки и договора гражданско-правового характера, за исключением задолженности банковским организациям, микрофинансовым организациям, созданным в соответствии с законодательством Республики Казахстан;
3) подтвержденная вступившим в законную силу решением суда.
Документы, указанные в настоящем пункте, подлежат обязательному приложению при представлении декларации об активах и обязательствах.
Задолженность, не подтвержденная приложенными документами, считается равной нулю.
При этом в декларации об активах и обязательствах не отражается дебиторская и (или) кредиторская задолженность при наличии договора, заключенного с использованием заемной краудфандинговой платформы участника МФЦА, действующей на основании выданной лицензии.
3. В декларации об активах и обязательствах физическое лицо вправе указать другое имущество стоимостью за единицу свыше 1000-кратного размера месячного расчетного показателя, действующего на 31 декабря отчетного налогового периода, при наличии стоимости определенной в отчете об оценке, проведенной по договору между оценщиком и налогоплательщиком в соответствии с законодательством Республики Казахстан об оценочной деятельности либо законодательством иностранного государства.
При этом оценочная стоимость определяется не позднее срока представления декларации, установленного статьей 424 настоящего Кодекса.
Положение части первой настоящего подпункта не применяется в отношении имущества, подлежащего государственной или иной регистрации, а также имущества, по которому права и (или) сделки подлежат государственной или иной регистрации.
4. Лица, на которых в соответствии с Законом Республики Казахстан «О противодействии коррупции» возложена обязанность по представлению деклараций физических лиц, в приложениях к декларации об активах и обязательствах отражают также сведения о передаче имущества в доверительное управление, трасты.
5. Приложения к декларации об активах и обязательствах предназначены для детального отражения информации о сведениях, указанных в пункте 1 настоящей статьи, используемой налоговыми органами для целей налогового контроля.
Статья 424. Сроки представления декларации об активах и обязательствах
Декларация об активах и обязательствах представляется по месту жительства (пребывания) в срок до 15 сентября текущего года, в котором возникло обязательство по представлению декларации.
Положения части первой настоящей статьи в части сроков представления декларации об активах и обязательствах не распространяются на лиц, которые представляют декларацию об активах и обязательствах в качестве:
1) кандидатов на выборные должности, на государственную должность либо должность, связанную с выполнением государственных или приравненных к ним функций, в соответствии с Конституционным законом Республики Казахстан «О выборах в Республике Казахстан» и Законом Республики Казахстан «О противодействии коррупции» и их супругов;
2) лиц, желающих стать крупными участниками банка, страховой (перестраховочной) организации, управляющим инвестиционным портфелем в соответствии с законами Республики Казахстан «О банках и банковской деятельности в Республике Казахстан», «О страховой деятельности», «О рынке ценных бумаг».
Глава 43. ПОРЯДОК ИСЧИСЛЕНИЯ, УПЛАТЫ И ПРЕДСТАВЛЕНИЯ НАЛОГОВОЙ ОТЧЕТНОСТИ ПО ИНДИВИДУАЛЬНОМУ ПОДОХОДНОМУ НАЛОГУ, УДЕРЖИВАЕМОМУ У ИСТОЧНИКА ВЫПЛАТЫ
Параграф 1. Виды доходов, подлежащих налогообложению у источника выплаты
Статья 425. Виды доходов
1. К доходам, подлежащим налогообложению у источника выплаты, относятся следующие виды доходов, полученные из источников в Республике Казахстан:
1) доход работника от налогового агента;
2) доход от реализации товаров, выполнения работ, оказания услуг налоговому агенту;
3) доход в виде безвозмездно полученного имущества от налогового агента;
4) доход в виде единовременных пенсионных выплат от налогового агента;
5) доход в виде пенсионных выплат, полученный от налогового агента;
6) доход в виде дивидендов, полученный от налогового агента;
7) доход в виде вознаграждений, полученный от налогового агента;
8) доход в виде выигрышей, полученный от налогового агента;
9) доход в виде стипендий, полученный от налогового агента;
10) доход по договорам страхования, полученный от налогового агента;
11) доходы от личного подсобного хозяйства, полученные от заготовительной организации в сфере агропромышленного комплекса, сельскохозяйственного кооператива и (или) юридического лица, осуществляющего переработку сельскохозяйственного сырья;
12) другие доходы от налогового агента.
Статья 426. Доход работника от работодателя - налогового агента
Доход работника, подлежащий налогообложению у источника выплаты, определяется в размере дохода работника, начисленного работодателем, являющимся налоговым агентом:
1) признанного в бухгалтерском учете работодателя в качестве расходов (затрат) в соответствии с законодательством Республики Казахстан о бухгалтерском учете и финансовой отчетности в случае наличия у работодателя обязанности по ведению бухгалтерского учета;
2) равного подлежащей получению работником суммы, включающей все суммы, подлежащие удержанию в соответствии с законодательством Республики Казахстан и (или) по распоряжениям, поручениям работодателя, при отсутствии у работодателя обязанности по ведению бухгалтерского учета.
Статья 427. Доход от реализации товаров, выполнения работ, оказания услуг налоговому агенту
К доходу, полученному физическим лицом от реализации товаров, работ, услуг налоговому агенту, относится доход, полученный физическим лицом, не являющимся индивидуальным предпринимателем:
1) от реализации товаров, выполнения работ, оказания услуг налоговому агенту по заключенным с ним в соответствии с законодательством Республики Казахстан договорам гражданско-правового характера (кроме имущественного дохода);
2) в виде стоимости товаров, работ, услуг, которые переданы (выполнены, оказаны) физическим лицом в счет погашения задолженности перед налоговым агентом.
Статья 428. Доход в виде безвозмездно полученного имущества от налогового агента
Доход в виде безвозмездно полученного имущества определяется в следующем размере с учетом соответствующей суммы налога на добавленную стоимость и акцизов:
1) балансовой стоимости имущества без учета переоценки. В случае отсутствия балансовой стоимости такого имущества - в размере стоимости имущества, определенной договором или иным документом, на основании которого имущество передается физическому лицу;
2) стоимости выполненных работ, оказанных услуг в размере расходов налогового агента, понесенных в связи с таким выполнением работ, оказанием услуг;
3) стоимости товаров, выполненных работ, оказанных услуг, полученных физическим лицом и оплаченных налоговым агентом;
4) суммы прощенного (списанного) долга или обязательства, определенной документом, на основании которого производится прощение (списание);
5) увеличения вклада в уставный капитал юридического лица, произведенного путем увеличения уставного капитала юридического лица за счет прироста стоимости от переоценки в составе собственного капитала такого юридического лица.
Параграф 2. Доходы, на которые уменьшаются доходы физического лица, подлежащие налогообложению у источника выплаты
Статья 429. Уменьшение дохода работника, подлежащего налогообложению у источника выплаты
Доход работника, подлежащий налогообложению у источника выплаты, уменьшается на следующие доходы:
1) доходы военнослужащего в связи с исполнением обязанностей воинской службы, сотрудника специальных государственных органов, сотрудника правоохранительных органов (за исключением сотрудника таможенных органов), сотрудника государственной фельдъегерской службы, сотрудника органов гражданской защиты в связи с исполнением служебных обязанностей;
2) все виды выплат, получаемых в связи с исполнением служебных обязанностей в других войсках и воинских формированиях, правоохранительных органах (за исключением таможенных органов), на государственной фельдъегерской службе, службе в органах гражданской защиты, лицами, права которых иметь воинские, специальные звания, классные чины и носить форменную одежду упразднены с 1 января 2012 года;
3) доходы работников юридических лиц, являющихся участниками «Астана Хаб»;
4) выплаты в соответствии с законами Республики Казахстан «О социальной защите граждан, пострадавших вследствие экологического бедствия в Приаралье» и «О социальной защите граждан, пострадавших вследствие ядерных испытаний на Семипалатинском испытательном ядерном полигоне».
Положения настоящего подпункта применяются при представлении физическим лицом:
заявления с указанием размера корректировки дохода в пределах, установленных законами Республики Казахстан «О социальной защите граждан, пострадавших вследствие экологического бедствия в Приаралье» и «О социальной защите граждан, пострадавших вследствие ядерных испытаний на Семипалатинском испытательном ядерном полигоне»;
копий подтверждающих документов;
5) официальные доходы дипломатических или консульских работников, не являющихся гражданами Республики Казахстан;
6) официальные доходы иностранцев, находящихся на государственной службе иностранного государства, в котором их доход подлежит налогообложению;
7) официальные доходы в иностранной валюте физических лиц, являющихся гражданами Республики Казахстан и находящихся на службе в дипломатических и приравненных к ним представительствах Республики Казахстан за границей, выплачиваемые за счет средств бюджета;
8) доходы в виде расходов работодателя на оплату отпуска по беременности и родам, отпуска работникам, усыновившим (удочерившим) новорожденного ребенка (детей), за вычетом суммы социальной выплаты на случай потери дохода в связи с беременностью и родами, усыновлением (удочерением) новорожденного ребенка (детей), осуществленной в соответствии с законодательством Республики Казахстан об обязательном социальном страховании, - в пределах 12-кратного размера месячного расчетного показателя, действующего на 1 января соответствующего финансового года.
Положения настоящего подпункта применяются в случае, если расходы работодателя, указанные в настоящем подпункте, предусмотрены условиями трудового и (или) коллективного договора, актом работодателя;
9) страховые премии, уплачиваемые работодателем по договорам обязательного страхования своих работников.
Статья 430. Уменьшение дохода в виде вознаграждений, подлежащего налогообложению у источника выплаты
Доход в виде вознаграждений, подлежащий налогообложению у источника выплаты, уменьшается на следующие доходы:
1) вознаграждения, выплачиваемые физическим лицам по их вкладам (депозитам) в банках второго уровня и организациях, осуществляющих отдельные виды банковских операций на основании лицензии уполномоченного органа по регулированию, контролю и надзору финансового рынка и финансовых организаций, зарегистрированных на территории Республики Казахстан;
2) вознаграждения по долговым ценным бумагам, эмитенты которых созданы в соответствии с законодательством Республики Казахстан;
3) вознаграждения по ценным бумагам, находящимся на дату начисления таких вознаграждений в официальном списке фондовых бирж, функционирующих на территории Республики Казахстан;
4) доход по инвестиционному депозиту, размещенному в исламском банке.
Статья 431. Уменьшение дохода в виде единовременных пенсионных выплат, пенсионных выплат, подлежащего налогообложению у источника выплаты
Доход в виде единовременных пенсионных выплат, пенсионных выплат, подлежащий налогообложению у источника выплаты, уменьшается на следующие доходы:
1) пенсионные выплаты, осуществляемые единым накопительным пенсионным фондом и (или) добровольными накопительными пенсионными фондами из пенсионных накоплений физических лиц в соответствии с законодательством Республики Казахстан о социальной защите;
2) пенсии, осуществляемые единым накопительным пенсионным фондом в соответствии с международными договорами, ратифицированными Республикой Казахстан;
3) единовременные пенсионные выплаты в соответствии с законодательством Республики Казахстан о социальной защите;
4) единовременные выплаты на погребение умершего лица, имеющего пенсионные накопления в едином накопительном пенсионном фонде, добровольном накопительном пенсионном фонде, в порядке и размерах, которые установлены законодательством Республики Казахстан о социальной защите.
Статья 432. Уменьшение дохода в виде выплат за счет средств государственного бюджета, подлежащего налогообложению у источника выплаты
Доход в виде выплат за счет средств государственного бюджета, подлежащий налогообложению у источника выплаты, уменьшается на следующие доходы:
1) в виде положительной разницы между суммой фактически внесенных обязательных пенсионных взносов, обязательных профессиональных пенсионных взносов с учетом уровня инфляции и суммой пенсионных накоплений в едином накопительном пенсионном фонде на момент приобретения получателем права на пенсионные выплаты в соответствии с законодательством Республики Казахстан о социальной защите;
2) пенсионные выплаты по возрасту, пенсионные выплаты за выслугу лет и (или) государственная базовая пенсионная выплата в соответствии с законодательством Республики Казахстан о социальной защите;
3) при причинении вреда жизни и здоровью и (или) в случае гибели (смерти) - государственным служащим, в том числе сотрудникам специальных государственных и правоохранительных органов, органов гражданской защиты, военнослужащим, членам их семей, иждивенцам, наследникам и лицам, имеющим право на их получение в размерах, установленных законодательством Республики Казахстан;
4) в виде поощрения - лицам, сообщившим о факте коррупционного правонарушения или иным образом оказывающим содействие в противодействии коррупции в порядке, определенном уполномоченным органом по противодействию коррупции;
5) в виде возмещения вреда (ущерба) вследствие чрезвычайной ситуации, в том числе природного или техногенного характера в соответствии с законодательством Республики Казахстан о гражданской защите;
6) в виде возмещения материального ущерба, причиненного в период действия чрезвычайного положения, в соответствии с законодательством Республики Казахстан о чрезвычайном положении;
7) в виде поощрения - чемпионам и призерам международных спортивных соревнований, тренерам и членам сборных команд Республики Казахстан по видам спорта (национальных сборных команд по видам спорта) в соответствии с законодательством Республики Казахстан о физической культуре и спорте;
8) в виде ежемесячного пожизненного содержания - судьям, пребывающим в отставке, достигшим пенсионного возраста, в порядке и размерах, которые установлены Конституционным законом Республики Казахстан «О судебной системе и статусе судей Республики Казахстан»;
9) в виде государственных премий, государственных стипендий, учреждаемых Президентом Республики Казахстан, Правительством Республики Казахстан в размерах, установленных законодательством Республики Казахстан;
10) государственная адресная социальная помощь, пособия и компенсации, выплачиваемые в размерах, установленных законодательством Республики Казахстан;
11) выплаты отдельным категориям граждан за жилище, арендуемое в частном жилищном фонде, в соответствии с жилищным законодательством Республики Казахстан;
12) выходное пособие государственному служащему в размерах, случаях и порядке, которые установлены законодательством Республики Казахстан в сфере государственной службы;
13) выплаты в связи с профессиональным обучением, осуществляемые в 12-кратном размере месячного расчетного показателя, действующего на 1 января соответствующего финансового года;
14) премии по вкладам в жилищные строительные сбережения (премия государства), выплачиваемые в размерах, установленных законодательством Республики Казахстан;
15) премии государства по образовательным накопительным вкладам, договорам страхования, выплачиваемые в размерах, установленных Законом Республики Казахстан «О Государственной образовательной накопительной системе».
Статья 433. Уменьшение дохода в виде безвозмездно полученного имущества, подлежащего налогообложению у источника выплаты
Доход в виде безвозмездно полученного имущества, подлежащий налогообложению у источника выплаты, уменьшается на следующие доходы:
1) стоимость имущества, полученного в виде благотворительной и спонсорской помощи;
2) стоимость имущества, полученного в виде гуманитарной помощи.
Статья 434. Уменьшение дохода в виде стипендий, выплат и компенсаций, связанных с обучением, подлежащего налогообложению у источника выплаты
Доход в виде стипендий, выплат и компенсаций, связанных с обучением, подлежащий налогообложению у источника выплаты, уменьшается на следующие доходы:
1) государственные стипендии, выплачиваемые лицам, обучающимся в организациях образования в порядке и размерах, которые установлены Правительством Республики Казахстан;
2) специальные стипендии Президента Республики Казахстан и стипендии Президента Республики Казахстан, выплачиваемые лицам, обучающимся в организациях образования в порядке и размерах, которые установлены законодательством Республики Казахстан;
3) государственные именные стипендии, учреждаемые Правительством Республики Казахстан, выплачиваемые лицам, обучающимся в организациях образования в порядке и размерах, которые установлены законодательством Республики Казахстан;
4) выплаты для оплаты расходов, связанных с организацией обучения и прохождения стажировок победителей конкурса на присуждение международной стипендии Президента Республики Казахстан «Болашак», в порядке и размерах, которые установлены законодательством Республики Казахстан;
5) компенсации расходов на проезд лицам, обучающимся на основе государственного образовательного заказа, выплачиваемые в размерах, установленных законодательством Республики Казахстан об образовании;
6) стипендии и гранты, выплачиваемые лицам, обучающимся в организациях образования за пределами Республики Казахстан.
Статья 435. Уменьшение дохода в виде страховых выплат, подлежащего налогообложению у источника выплаты
Доход в виде страховых выплат, подлежащий налогообложению у источника выплаты, уменьшается на следующие доходы:
1) страховые выплаты, связанные со страховым случаем, наступившим в период действия договора ненакопительного страхования, выплачиваемые при любом виде страхования;
2) страховые выплаты по договорам накопительного страхования, страховые премии по которым были оплачены:
за счет пенсионных накоплений в едином накопительном пенсионном фонде и добровольных накопительных пенсионных фондах и выкупных сумм, полученных при расторжении договора пенсионного аннуитета с одной страховой организацией и направленных в другую страховую организацию в порядке, предусмотренном законодательством Республики Казахстан о социальной защите;
физическим лицом в свою пользу и (или) в пользу близких родственников, супруга (супруги);
работодателем в пользу работника;
3) страховые выплаты по договорам страхования работника от несчастных случаев при исполнении им трудовых (служебных) обязанностей и договорам аннуитетного страхования, а также по договорам предпенсионного аннуитетного страхования в соответствии с законодательством Республики Казахстан об обязательном страховании работника от несчастных случаев при исполнении им трудовых (служебных) обязанностей;
4) выкупные суммы, выплачиваемые страховыми организациями по договорам накопительного страхования в соответствии с законодательством Республики Казахстан о страховании и страховой деятельности;
5) единовременные выплаты на погребение умершего лица семье или лицу, осуществившему погребение, за счет собственных средств страховой организации в порядке и размерах, которые установлены законодательством Республики Казахстан.
Статья 436. Уменьшение другого дохода, подлежащего налогообложению у источника выплаты
Другой доход физического лица, подлежащий налогообложению, уменьшается на следующие доходы:
1) алименты, полученные в соответствии с брачно-семейным законодательством Республики Казахстан;
2) доход лица, занимающегося личным подсобным хозяйством, а также его совершеннолетних членов семьи, учтенный в книге похозяйственного учета в качестве члена личного подсобного хозяйства, - за год в пределах 282-кратного размера месячного расчетного показателя, действующего на 1 января соответствующего финансового года.
При этом доходом от личного подсобного хозяйства признается доход от реализации лицом, занимающимся личным подсобным хозяйством, сельскохозяйственной продукции от личного подсобного хозяйства заготовительной организации в сфере агропромышленного комплекса, сельскохозяйственному кооперативу и (или) юридическому лицу, осуществляющему переработку сельскохозяйственного сырья, и (или) торговому рынку по реализации сельскохозяйственных животных.
Положения настоящего подпункта применяются только одним налоговым агентом - заготовительной организацией в сфере агропромышленного комплекса, сельскохозяйственным кооперативом и (или) юридическим лицом, осуществляющим переработку сельскохозяйственного сырья, в отношении физического лица, представившего заготовительной организации в сфере агропромышленного комплекса, сельскохозяйственному кооперативу и (или) юридическому лицу, осуществляющему переработку сельскохозяйственного сырья, следующие документы:
заявление на применение уменьшения;
справку о наличии личного подсобного хозяйства в соответствии с законодательством Республики Казахстан;
подтверждение местного исполнительного органа о наличии используемых в личном подсобном хозяйстве:
земельного участка с указанием площади;
домашних животных с указанием количества;
домашних птиц с указанием количества.
При этом документы представляются налоговому агенту не менее одного раза в календарный год, в котором применено такое освобождение.
При превышении предела, установленного частью первой настоящего подпункта, доход физического лица уменьшается на 80 процентов от суммы дохода от личного подсобного хозяйства, превышающего 282-кратный размер месячного расчетного показателя, действующего на 1 января соответствующего финансового года;
3) выплаты на погребение физического лица в пределах 94-кратного размера месячного расчетного показателя, действующего на 1 января соответствующего финансового года, произведенные налоговым агентом в течение календарного года при наличии справки о смерти или свидетельства о смерти физического лица;
4) социальные выплаты из ГФСС;
5) доходы физического лица, полученные в виде расходов некоммерческой организации, кроме зарегистрированных в соответствии с гражданским законодательством Республики Казахстан в форме акционерного общества, учреждения и потребительского кооператива, в рамках реализации уставных целей и задач на проезд, проживание и питание физического лица, не состоящего в трудовых отношениях с такой организацией и (или) не заключившего договор об оказании услуг, выполнении работ;
6) чистый доход от доверительного управления учредителя доверительного управления, полученный от индивидуального предпринимателя, являющегося доверительным управляющим;
7) невостребованная сумма гарантийного возмещения, учитываемая на индивидуальном пенсионном счете для учета добровольных пенсионных взносов в соответствии с условиями договора о пенсионном обеспечении за счет добровольных пенсионных взносов в соответствии с законодательством Республики Казахстан о социальной защите;
8) выплаты за счет средств грантов (кроме выплат в виде оплаты труда);
9) возмещение вреда, причиненного жизни и здоровью физического лица, в соответствии с законодательством Республики Казахстан, за исключением морального вреда;
10) суммы возмещения материального ущерба, присуждаемые по вступившему в законную силу судебному акту, а также судебных расходов;
11) стоимость путевок в детские лагеря для детей, не достигших шестнадцатилетнего возраста;
12) выигрыш по одной лотерее в пределах 6-кратного размера месячного расчетного показателя, действующего на 1 января соответствующего финансового года;
13) дивиденды по ценным бумагам, находящимся на дату начисления таких дивидендов в официальном списке фондовых бирж, функционирующих на территории Республики Казахстан.
Положение части первой настоящего подпункта применяется к дивидендам по ценным бумагам, по которым за календарный год осуществлялись торги на бирже в соответствии с критериями, определенными Правительством Республики Казахстан.
Параграф 3. Общие положения по применению налоговых вычетов у налогового агента
Статья 437. Особенности применения налоговых вычетов у налогового агента
1. Налоговые вычеты к доходам, подлежащим налогообложению у источника выплаты, применяются в соответствии с нормами, установленными статьями 401- 404 настоящего Кодекса.
2. Базовый налоговый вычет и социальные налоговые вычеты применяются налоговым агентом у источника выплаты на основании:
1) заявления физического лица о применении налоговых вычетов;
2) копий подтверждающих документов для применения социального налогового вычета.
3. Физическое лицо вправе применить базовый налоговый вычет только у одного налогового агента.
При наличии у налогового агента за календарный месяц обязательств по выплате доходов одному физическому лицу в виде дохода работника и дохода от реализации товаров, выполнения работ, оказания услуг базовый налоговый вычет применяется в пределах суммы базового налогового вычета за календарный месяц в следующей последовательности:
1) к доходу работника - в пределах суммы такого дохода;
2) к доходу от реализации товаров, выполнения работ, оказания услуг налоговому агенту - в оставшемся размере базового налогового вычета.
При смене в течение календарного года налогового агента, за исключением случаев его реорганизации, непримененная сумма базового налогового вычета, образовавшаяся у предыдущего налогового агента, не учитывается у другого налогового агента.
4. Непримененная сумма социального налогового вычета, образовавшаяся у одного налогового агента, учитывается у другого налогового агента в пределах, установленных настоящим Кодексом. Для этого физическое лицо представляет справку о расчетах с физическим лицом, выданную налоговым агентом (налоговыми агентами), применившим (применившими) за период с начала календарного года социальный налоговый вычет в порядке, определенном статьей 446 настоящего Кодекса.
Статья 438. Налоговый вычет социальных платежей у налогового агента
Налоговый вычет социальных платежей у налогового агента применяется на сумму обязательных пенсионных взносов, социальных отчислений с доходов физических лиц по договорам гражданско-правового характера в соответствии с законодательством Республики Казахстан о социальной защите и взносов на обязательное социальное медицинское страхование, исчисленных в соответствии с Законом Республики Казахстан «Об обязательном социальном медицинском страховании».
Параграф 4. Объект обложения, исчисление, удержание и уплата налога
Статья 439. Определение суммы облагаемого дохода физического лица у источника выплаты
1. Сумма облагаемого дохода работника определяется в следующем порядке:
сумма доходов работника, подлежащих налогообложению у источника выплаты, начисленных за налоговый период,
минус
сумма доходов, на которые уменьшается доход, подлежащий налогообложению у источника выплаты, предусмотренный пунктом 1 статьи 400 настоящего Кодекса, за налоговый период
минус
сумма налоговых вычетов, указанных в пункте 1 статьи 401 настоящего Кодекса.
2. Сумма облагаемого дохода физического лица от реализации товаров, выполнения работ, оказания услуг налоговому агенту определяется в следующем порядке:
сумма доходов физического лица от реализации товаров, выполнения работ, оказания услуг налоговому агенту, подлежащих налогообложению у источника выплаты, начисленных за налоговый период,
минус
сумма доходов, на которые уменьшается доход, подлежащий налогообложению у источника выплаты, предусмотренный пунктом 1 статьи 400 настоящего Кодекса, за налоговый период
минус
сумма налоговых вычетов социальных платежей, указанных в статье 402 настоящего Кодекса,
минус
сумма социальных налоговых вычетов, указанных в статье 404 настоящего Кодекса,
минус
сумма базового вычета в порядке, установленном в пункте 3 статьи 437 настоящего Кодекса.
3. Сумма облагаемого дохода в виде пенсионных выплат, единовременных пенсионных выплат определяется в следующем порядке:
сумма дохода в виде пенсионных выплат, единовременных пенсионных выплат, подлежащего налогообложению,
минус
сумма доходов, на которые уменьшается доход, подлежащий налогообложению у источника выплаты, предусмотренный статьей 431 настоящего Кодекса, за налоговый период.
4. Сумма облагаемого дохода физического лица по договорам страхования определяется в следующем порядке:
сумма доходов физического лица по договорам страхования, подлежащих налогообложению у источника выплаты, начисленных за налоговый период,
минус
сумма доходов, на которые уменьшается доход, подлежащий налогообложению у источника выплаты, предусмотренных статьей 435 настоящего Кодекса, за налоговый период
минус
сумма социальных налоговых вычетов, указанных в пункте 1 статьи 404 настоящего Кодекса.
5. Сумма облагаемого дохода физического лица в виде вознаграждений, дивидендов, выигрышей, стипендий, выплат, компенсаций, связанных с обучением, и других доходов, подлежащих налогообложению у источника выплаты, не указанных в пунктах 1-4 настоящей статьи, определяется в следующем порядке:
сумма доходов физического лица в виде вознаграждений, дивидендов, выигрышей, стипендий и других доходов, подлежащих налогообложению у источника выплаты, не указанных в пунктах 1-4 настоящей статьи, начисленных за налоговый период,
минус
сумма доходов, на которые уменьшается доход, подлежащий налогообложению у источника выплаты, предусмотренный пунктом 1 статьи 400 настоящего Кодекса, за налоговый период,
минус
сумма социальных налоговых вычетов, указанных в пункте 1 статьи 404 настоящего Кодекса.
Статья 440. Общие положения по индивидуальному подоходному налогу, удерживаемому у источника выплаты, а также исчисление, удержание и уплата данного налога
1. Исчисление, удержание и уплата в бюджет индивидуального подоходного налога осуществляются у источника выплаты налоговым агентом по доходам, указанным в статье 425 настоящего Кодекса, в случае, если такие доходы подлежат выплате (выплачиваются) указанным налоговым агентом.
2. Исчисление индивидуального подоходного налога по доходам, подлежащим налогообложению у источника выплаты, производится налоговым агентом при начислении дохода, подлежащего налогообложению.
Сумма индивидуального подоходного налога исчисляется путем применения ставок, установленных статьей 363 настоящего Кодекса, к сумме соответствующего облагаемого дохода у источника выплаты, определяемого в соответствии с настоящим разделом, за исключением дохода работника.
Сумма индивидуального подоходного налога по доходу работника исчисляется в порядке, установленном статьей 441 настоящего Кодекса.
3. Удержание индивидуального подоходного налога производится налоговым агентом не позднее дня выплаты дохода, подлежащего налогообложению у источника выплаты.
4. Налоговый агент осуществляет перечисление индивидуального подоходного налога по выплаченным доходам не позднее двадцати пяти календарных дней после окончания месяца, в котором была осуществлена выплата дохода, по месту своего нахождения.
5. По доходам работников структурных подразделений налогового агента перечисление индивидуального подоходного налога производится в соответствующие бюджеты по месту нахождения данных структурных подразделений.
6. Юридическое лицо - резидент своим решением вправе признать одновременное исполнение обязанности своим структурным подразделением по:
исчислению, удержанию и перечислению индивидуального подоходного налога по доходам, подлежащим налогообложению у источника выплаты, которые начислены, выплачены таким структурным подразделением;
исчислению и уплате социального налога по объектам налогообложения, являющимся расходами такого структурного подразделения.
При этом такое решение юридического лица - резидента вводится в действие:
в отношении вновь созданного структурного подразделения юридического лица - со дня создания данного структурного подразделения или с начала квартала, следующего за кварталом, в котором создано данное структурное подразделение;
в остальных случаях - с начала квартала, следующего за кварталом, в котором принято такое решение.
Отмена такого решения юридического лица - резидента вводится в действие с начала квартала, следующего за кварталом, в котором отменено такое решение.
7. Исчисление и удержание индивидуального подоходного налога с доходов по депозитарным распискам производятся эмитентом базового актива таких депозитарных расписок.
8. При уплате налоговым агентом суммы индивидуального подоходного налога, исчисленной с доходов, подлежащих налогообложению у источника выплаты в соответствии с положениями настоящего Кодекса, за счет собственных средств без его удержания обязанность налогового агента по удержанию и перечислению индивидуального подоходного налога у источника выплаты считается исполненной.
Статья 441. Исчисление индивидуального подоходного налога с дохода работника
Исчисление индивидуального подоходного налога, удерживаемого у источника выплаты, с дохода работника производится налоговым агентом за налоговый период по следующей формуле:
сумма облагаемого дохода работника, подлежащая получению от налогового агента в соответствии с пунктом 1 статьи 439 настоящего Кодекса, определяемая нарастающим итогом с 1 января календарного года по налоговый период включительно, за который исчисляется индивидуальный подоходный налог в пределах суммы, предусмотренной строкой 1 таблицы подпункта 1) статьи 363 настоящего Кодекса,
умножить
ставка налога согласно строке 1 таблицы подпункта 1) статьи 363 настоящего Кодекса
плюс
сумма превышения облагаемого дохода работника, подлежащая получению от налогового агента в соответствии с пунктом 1 статьи 439 настоящего Кодекса, определяемая нарастающим итогом с 1 января календарного года по налоговый период включительно, за который исчисляется индивидуальный подоходный налог, над суммой, предусмотренной строкой 1 таблицы подпункта 1) статьи 363 настоящего Кодекса,
умножить
ставка налога согласно строке 2 таблицы подпункта 1) статьи 363 настоящего Кодекса
минус
сумма индивидуального подоходного налога, исчисленного налоговым агентом за предыдущие налоговые периоды календарного года, начиная с 1 января с нарастающим итогом.
Статья 442. Порядок исполнения налогового обязательства налоговым агентом по доходам, выплачиваемым резиденту в виде дивидендов по акциям, являющимся базовым активом депозитарных расписок, а также возврата индивидуального подоходного налога, удержанного у источника выплаты
Порядок исполнения налогового обязательства налоговым агентом по доходам, выплачиваемым резиденту в виде дивидендов по акциям, являющимся базовым активом депозитарных расписок, а также возврата индивидуального подоходного налога, удержанного у источника выплаты, определяется в соответствии со статьей 354 настоящего Кодекса.
Статья 443. Особенности исчисления, удержания и уплаты индивидуального подоходного налога государственными учреждениями
1. По решению государственного органа его структурные подразделения и (или) территориальные органы могут рассматриваться в качестве налоговых агентов по доходам работников подведомственных им государственных учреждений.
2. Государственный орган или местный исполнительный орган своим решением вправе признать одновременное исполнение обязанности своими структурными подразделениями и (или) территориальными органами по:
исчислению, удержанию и перечислению индивидуального подоходного налога по доходам, подлежащим налогообложению у источника выплаты, которые начислены, выплачены работникам структурных подразделений и (или) территориальных органов, подведомственных такому государственному органу или местному исполнительному органу;
исчислению и уплате социального налога по объектам налогообложения, являющимся расходами структурных подразделений и (или) территориальных органов, подведомственных такому государственному органу или местному исполнительному органу.
При этом такое решение государственного органа или местного исполнительного органа вводится в действие:
в отношении вновь созданного структурного подразделения юридического лица и (или) территориального органа - со дня создания данного структурного подразделения и (или) территориального органа или с начала квартала, следующего за кварталом, в котором создано данное структурное подразделение и (или) территориальный орган;
в остальных случаях - с начала квартала, следующего за кварталом, в котором принято такое решение.
Отмена такого решения государственным органом или местным исполнительным органом вводится в действие с начала квартала, следующего за кварталом, в котором отменено такое решение.
3. По решению местного исполнительного органа его структурные подразделения и (или) территориальные (нижестоящие) органы могут рассматриваться в качестве налоговых агентов по доходам работников подведомственных им государственных учреждений.
При этом государственные учреждения, признанные в порядке, определенном настоящей статьей, налоговыми агентами для целей раздела 12 настоящего Кодекса, признаются плательщиками социального налога.
Уплата индивидуального подоходного налога производится в соответствующие бюджеты по месту нахождения налогового агента.
Уплата индивидуального подоходного налога по объектам налогообложения структурного и (или) территориального органа производится по месту нахождения такого структурного и (или) территориального органа.
4. Исчисление, удержание и уплата индивидуального подоходного налога производятся налоговым агентом в порядке и сроки, которые установлены статьями 440 и 441 настоящего Кодекса.
5. Декларация по индивидуальному подоходному налогу и социальному налогу представляется налоговым агентом в порядке и сроки, которые установлены статьей 445 настоящего Кодекса.
Параграф 5. Налоговый, отчетный периоды и налоговая отчетность
Статья 444. Налоговый и отчетный периоды
1. Налоговым периодом для исчисления налоговыми агентами индивидуального подоходного налога с доходов, подлежащих налогообложению у источника выплаты, является календарный месяц.
2. Отчетным периодом для составления декларации по индивидуальному подоходному налогу и социальному налогу является календарный квартал.
Статья 445. Декларация по индивидуальному подоходному налогу и социальному налогу
1. Декларация по индивидуальному подоходному налогу и социальному налогу представляется в налоговые органы по месту нахождения налогового агента не позднее 15 числа второго месяца, следующего за отчетным периодом:
налоговыми агентами;
агентами или плательщиками социальных платежей, в том числе в свою пользу в соответствии с законами Республики Казахстан, за исключением физических лиц, не являющихся индивидуальными предпринимателями и (или) лицами, занимающимися частной практикой.
2. Налоговый агент представляет данные об исчислении, удержании и перечислении сумм индивидуального подоходного налога по каждому физическому лицу - резиденту Республики Казахстан, являющемуся получателем доходов, подлежащих налогообложению у источника выплаты, в виде приложения к декларации по индивидуальному подоходному налогу и социальному налогу, которое:
1) составляется по итогам календарного года и представляется с декларацией по индивидуальному подоходному налогу и социальному налогу за последний отчетный период календарного года;
2) составляется и представляется с декларацией по индивидуальному подоходному налогу и социальному налогу при представлении ликвидационной налоговой отчетности.
3. Налоговые агенты, имеющие структурные подразделения, представляют приложение по исчислению суммы индивидуального подоходного налога и социального налога по структурному подразделению к декларации по индивидуальному подоходному налогу и социальному налогу в налоговый орган по месту нахождения данного структурного подразделения.
Статья 446. Порядок выдачи налоговым агентом справки о расчетах с физическим лицом
1. В случае начисления и (или) выплаты в течение календарного года физическому лицу дохода, подлежащего налогообложению у источника выплаты, налоговый агент по требованию физического лица обязан выдать справку о расчетах с физическим лицом в течение пяти календарных дней после даты обращения физического лица.
2. Справка о расчетах с физическим лицом должна содержать информацию о суммах:
1) дохода, подлежащего налогообложению у источника выплаты;
2) уменьшения дохода, подлежащего налогообложению у источника выплаты;
3) примененных налоговых вычетов в виде:
обязательных пенсионных взносов;
взносов на обязательное социальное медицинское страхование;
социальных отчислений, удерживаемых с доходов по договорам гражданско-правового характера;
базового налогового вычета;
социальных налоговых вычетов;
4) облагаемого дохода физического лица;
5) исчисленного индивидуального подоходного налога;
6) выплаченного дохода.
РАЗДЕЛ 7. НАЛОГ НА ДОБАВЛЕННУЮ СТОИМОСТЬ
Глава 44. ОБЩИЕ ПОЛОЖЕНИЯ
Статья 447. Плательщики
1. Плательщиками налога на добавленную стоимость являются:
1) лица, по которым произведена постановка на регистрационный учет по налогу на добавленную стоимость в Республике Казахстан в базе налогоплательщиков;
2) лица, импортирующие товары на территорию Республики Казахстан в соответствии с таможенным законодательством ЕАЭС и (или) таможенным законодательством Республики Казахстан.
2. Постановка на регистрационный учет по налогу на добавленную стоимость производится в соответствии со статьями 99 - 101 настоящего Кодекса.
3. Иностранные компании, по которым произведена условная постановка на регистрационный учет по налогу на добавленную стоимость в Республике Казахстан в соответствии со статьей 102 настоящего Кодекса, исчисляют и уплачивают налог на добавленную стоимость в соответствии с разделом 21 настоящего Кодекса.
Статья 448. Объекты налогообложения
Объектами обложения налогом на добавленную стоимость являются:
1) облагаемый оборот;
2) облагаемый импорт.
Статья 449. Определение облагаемого оборота
1. Облагаемым оборотом являются:
1) оборот, совершаемый плательщиком налога на добавленную стоимость по реализации товаров, работ, услуг, за исключением необлагаемого оборота, указанного в статье 450 настоящего Кодекса.
В случае несоблюдения требований, установленных статьей 213 настоящего Кодекса, ранее освобожденный оборот при передаче имущества в финансовый лизинг признается облагаемым оборотом ретроспективно с даты совершения оборота по реализации;
2) оборот, совершаемый плательщиком налога на добавленную стоимость при приобретении работ, услуг от нерезидента в соответствии со статьей 454 настоящего Кодекса;
3) оборот в виде остатков товаров при снятии налогоплательщика с регистрационного учета по налогу на добавленную стоимость.
В целях настоящего подпункта оборотом в виде остатков товаров признаются товары, по которым налог на добавленную стоимость был учтен как налог на добавленную стоимость, относимый в зачет, за исключением необлагаемого оборота, указанного в подпункте 3) статьи 450 настоящего Кодекса.
В остатки товаров включаются товары, принадлежащие на праве собственности плательщику налога на добавленную стоимость на дату, предшествующую дате представления ликвидационной отчетности.
Положение настоящего пункта не применяется при снятии юридического лица с регистрационного учета по налогу на добавленную стоимость в связи с его реорганизацией при выполнении условия, что все вновь созданные в результате слияния юридические лица или юридическое лицо, к которому присоединилось (присоединились) другое юридическое лицо (юридические лица), после реорганизации являются плательщиками налога на добавленную стоимость.
2. Для целей настоящего раздела к товарам относятся основные средства, нематериальные и биологические активы, инвестиции в недвижимость и другое имущество, за исключением:
1) работ, услуг;
2) денег, в том числе авансов, в национальной и иностранной валюте;
3) цифровых активов.
Статья 450. Необлагаемый оборот
Необлагаемым оборотом являются:
1) оборот по реализации товаров, работ, услуг, освобожденный от налога на добавленную стоимость в соответствии с настоящим Кодексом;
2) оборот по реализации товаров, работ, услуг, местом реализации которых не является Республика Казахстан.
Если иное не установлено настоящей статьей, место реализации товаров, работ, услуг определяется в соответствии со статьей 459 настоящего Кодекса.
Место реализации товаров, работ, услуг в государствах - членах ЕАЭС определяется в соответствии со статьей 515 настоящего Кодекса;
3) оборот в виде остатков товаров, которые являются товарами, перечисленными в статье 474 настоящего Кодекса;
4) обороты по деятельности в сфере игорного бизнеса;
5) обороты по реализации товаров, работ, услуг, по которым применяется специальный налоговый режим налогообложения;
6) обороты по лотерейной деятельности.
Статья 451. Определение облагаемого импорта
Облагаемым импортом являются товары, ввозимые или ввезенные на территорию государств - членов ЕАЭС (за исключением освобожденных от налога на добавленную стоимость в соответствии со статьей 479 настоящего Кодекса), подлежащие декларированию в соответствии с таможенным законодательством ЕАЭС и (или) таможенным законодательством Республики Казахстан.
Глава 45. ОБОРОТ ПО РЕАЛИЗАЦИИ ТОВАРОВ, РАБОТ, УСЛУГ И ОБОРОТ ПО ПРИОБРЕТЕНИЮ РАБОТ, УСЛУГ ОТ НЕРЕЗИДЕНТА
Статья 452. Оборот по реализации товаров, работ, услуг
1. Оборот по реализации товаров означает:
1) передачу прав собственности на товар, включая:
продажу товара, отгрузку товара, в том числе на условиях рассрочки платежа и (или) в обмен на другие товары, работы, услуги;
продажу предприятия в целом как имущественного комплекса;
безвозмездную передачу товара;
передачу товара работодателем работнику в счет погашения задолженности перед работником;
передачу заложенного имущества залогодателем в собственность покупателю или залогодержателю;
2) экспорт товара;
3) отгрузку товара, в том числе на условиях рассрочки платежа и (или) в обмен на другие товары, работы, услуги;
4) передачу имущества в финансовый лизинг в части стоимости, по которой предмет лизинга передан;
5) отгрузку товара по договору комиссии или договору поручения;
6) помещение под таможенную процедуру реимпорта товара, ранее вывезенного с помещением под таможенную процедуру экспорта;
7) утрату товара, приобретенного без налога на добавленную стоимость, с помещением под таможенную процедуру свободной таможенной зоны, кроме товара, указанного в статье 474 настоящего Кодекса.
2. Оборот по реализации работ, услуг означает любое выполнение работ или оказание услуг, в том числе безвозмездное, а также любую деятельность за вознаграждение, отличную от реализации товара, в том числе:
1) предоставление имущества во временное владение и пользование по договорам имущественного найма, кроме договоров лизинга;
2) вознаграждение при передаче имущества по договору лизинга в финансовый лизинг;
3) предоставление прав на объекты интеллектуальной собственности;
4) выполнение работ, оказание услуг работодателем работнику в счет погашения задолженности перед работником;
5) уступка прав требования, связанных с реализацией товаров, работ, услуг, за исключением авансов и штрафных санкций;
6) согласие ограничить или прекратить предпринимательскую деятельность;
7) вознаграждение по кредитам (займам, микрокредитам);
8) финансирование исламским банком в соответствии с банковским законодательством Республики Казахстан физических и юридических лиц в качестве торгового посредника путем предоставления коммерческого кредита на условиях последующей продажи товара третьему лицу либо без таковых условий;
9) получение временной балансирующей платы в соответствии с законодательством Республики Казахстан о железнодорожном транспорте.
3. Нерезиденты, осуществляющие деятельность в Республике Казахстан через структурные подразделения, признают оборот по реализации работ, услуг таких структурных подразделений при соблюдении одного из следующих условий:
наличие контракта, заключенного структурным подразделением юридического лица - нерезидента;
наличие счета-фактуры по работам, услугам, выписанного структурным подразделением юридического лица - нерезидента;
наличие акта выполненных работ, оказанных услуг, подписанного структурным подразделением юридического лица - нерезидента;
наличие контракта, заключенного с юридическим лицом - нерезидентом, предусматривающего, что выполнение работ, оказание услуг осуществляются структурным подразделением такого юридического лица - нерезидента;
в акте выполненных работ, оказанных услуг, подписанном юридическим лицом - нерезидентом, указано, что работы выполнены, услуги оказаны структурным подразделением такого юридического лица - нерезидента;
выплата дохода за выполненные работы, оказанные услуги осуществляется структурному подразделению юридического лица - нерезидента.
Статья 453. Операции, не являющиеся оборотом по реализации
Не являются оборотом по реализации следующие операции:
1) передача имущества в качестве вклада в уставный капитал;
2) передача акционеру, участнику, учредителю товара при распределении имущества при:
ликвидации юридического лица или уменьшении уставного капитала - в пределах размера оплаченного уставного капитала, приходящегося на долю участия, количество акций, на которые осуществляется уменьшение уставного капитала;
выкупе юридическим лицом у учредителя, участника доли участия или ее части в этом юридическом лице - в пределах размера оплаченного уставного капитала, приходящегося на выкупаемую долю участия;
выходе адвоката, являющегося партнером адвокатской конторы, из такой адвокатской конторы, прекращении адвокатской деятельности через такую адвокатскую контору либо ликвидации адвокатской конторы - в пределах стоимости имущества, переданного адвокатом, являющимся партнером адвокатской конторы, в собственность такой адвокатской конторы;
3) безвозмездная передача в рекламных целях товара в случае, если стоимость единицы такого товара не превышает 5-кратный размер месячного расчетного показателя, действующего на дату такой передачи;
4) отгрузка давальческих товаров заказчиком подрядчику для изготовления, переработки, сборки (монтажа, установки), ремонта последним готовой продукции и (или) строительства объектов. В случае изготовления, переработки, сборки, ремонта за пределами таможенной территории ЕАЭС отгрузка указанных товаров не является оборотом по реализации, если их вывоз осуществлен в таможенной процедуре переработки вне таможенной территории в соответствии с таможенным законодательством ЕАЭС и (или) таможенным законодательством Республики Казахстан;
5) отгрузка возвратной тары. Возвратной тарой является тара, стоимость которой не включается в стоимость реализации отпускаемой в ней продукции и которая подлежит возврату поставщику на условиях и в сроки, которые установлены договором (контрактом) на поставку этой продукции, но не более срока, продолжительность которого составляет шесть месяцев. Если тара не возвращена в установленный срок, стоимость такой тары включается в оборот по реализации в соответствии с пунктом 14 статьи 462 настоящего Кодекса;
6) возврат товара получателем (покупателем), являющимся плательщиком налога на добавленную стоимость;
7) отгрузка товара, ввезенного ранее в таможенной процедуре свободной таможенной зоны на территорию специальной экономической зоны, пределы которой полностью или частично совпадают с участками таможенной границы ЕАЭС;
8) вывоз товара за пределы таможенной территории ЕАЭС для проведения выставок, других культурных и спортивных мероприятий, подлежащего обратному ввозу на условиях и в сроки, которые установлены договором, если такой вывоз оформлен в таможенной процедуре временного вывоза в соответствии с таможенным законодательством ЕАЭС и (или) таможенным законодательством Республики Казахстан;
9) передача недропользователем в собственность Республики Казахстан вновь созданного и (или) приобретенного недропользователем имущества, использовавшегося для выполнения операций по недропользованию и подлежащего передаче Республике Казахстан в соответствии с условиями заключенного контракта на недропользование;
10) размещение эмиссионных ценных бумаг эмитентом;
11) передача основных средств, нематериальных активов и иного имущества реорганизуемого юридического лица его правопреемнику (правопреемникам), в том числе товаров, по которым признан оборот в виде остатков товаров в соответствии с подпунктом 3) пункта 1 статьи 449 настоящего Кодекса;
12) передача объекта концессии концеденту, а также последующая передача объекта концессии концессионеру (правопреемнику или юридическому лицу, специально созданному исключительно концессионером для реализации договора концессии) для эксплуатации в рамках договора концессии;
13) оборот по реализации физическим лицом, являющимся индивидуальным предпринимателем или лицом, занимающимся частной практикой, личного имущества такого физического лица.
Для целей настоящего раздела личным имуществом физического лица признаются вещи физического лица в материальной форме, находящиеся на праве собственности или являющиеся его долей в общей собственности при условии, что такое имущество не используется физическим лицом в целях предпринимательской деятельности;
14) передача доверительному управляющему имущества учредителем доверительного управления;
15) возврат имущества доверительным управляющим при прекращении действия основания возникновения доверительного управления;
16) передача доверительным управляющим чистого дохода от доверительного управления учредителю доверительного управления;
17) получение вкладчиком (клиентом) суммы вознаграждения, начисленной и (или) выплаченной ему по договорам банковского счета и (или) банковского вклада;
18) вывоз товаров с территории Республики Казахстан на территорию другого государства - члена ЕАЭС в связи с их передачей (перемещением) в пределах одного юридического лица;
19) передача получателю от имени государства полезных ископаемых недропользователем в счет исполнения налогового обязательства по уплате налогов в натуральной форме;
20) реализация полезных ископаемых, переданных недропользователем в счет исполнения налогового обязательства по уплате налогов в натуральной форме, получателем от имени государства или лицом, уполномоченным получателем от имени государства на такую реализацию;
21) оказание услуг по реализации полезных ископаемых, переданных недропользователем в счет исполнения налогового обязательства по уплате налогов в натуральной форме, получателем от имени государства или лицом, уполномоченным получателем от имени государства на такую реализацию, за комиссионное вознаграждение, выраженное в возмещении расходов, связанных с реализацией таких полезных ископаемых;
22) деятельность, финансирование которой на безвозмездной основе обеспечивается за счет целевого вклада, предусмотренного бюджетным законодательством Республики Казахстан;
23) выполнение получателем благотворительной, спонсорской помощи, гранта условий их предоставления;
24) бюджетная субсидия по убыткам, определенным в виде отрицательной разницы между доходами и расходами, и (или) расходам.
Для целей настоящего подпункта доходы и расходы определяются в соответствии с международными стандартами финансовой отчетности и (или) требованиями законодательства Республики Казахстан о бухгалтерском учете и финансовой отчетности;
25) поступление денег на текущий счет частного судебного исполнителя, предназначенный для хранения взысканных сумм в пользу взыскателей;
26) распределение цифровых активов цифровым майнинговым пулом между лицами, осуществляющими деятельность по цифровому майнингу;
27) оказание Национальным оператором инфраструктуры услуг магистральной железнодорожной сети при перевозке пассажиров железнодорожным транспортом железнодорожному перевозчику, осуществляющему деятельность по перевозке пассажиров, багажа, грузобагажа, почтовых отправлений, на безвозмездной основе, в том числе с применением временного понижающего коэффициента в размере 0 к тарифу на регулируемые услуги магистральной железнодорожной сети при перевозке пассажиров железнодорожным транспортом в соответствии с законодательством Республики Казахстан;
28) передача имущества на безвозмездной основе государственному учреждению в соответствии с законодательством Республики Казахстан;
29) передача имущества, выполнение работ, оказание услуг оператором в сфере официальной помощи развитию или в его адрес на безвозмездной основе в рамках проекта официальной помощи развитию, определенных в соответствии с Законом Республики Казахстан «Об официальной помощи развитию»;
30) передача в качестве вклада адвокатской конторе имущества адвокатом, являющимся партнером такой адвокатской конторы;
31) для адвокатской конторы оказание юридической помощи по договору об оказании юридической помощи, заключенному адвокатской конторой за счет и в интересах адвокатов, осуществляющих деятельность в адвокатской конторе;
32) для юридического лица, являющегося резидентом, -реализация товаров, работ, услуг, местом реализации которых не признается Республика Казахстан, структурным подразделением такого юридического лица, которое зарегистрировано на территории иностранного государства;
33) подлежащая выплате (полученная) сумма кредита (займа, микрокредита), а также корректировка (индексация) суммы кредита (займа, микрокредита), подлежащего выплате (полученного) в тенге, в связи с изменением курса валюты.
Статья 454. Оборот по приобретению работ, услуг от нерезидента
1. Если иное не предусмотрено пунктом 3 настоящей статьи, выполненные работы, оказанные услуги нерезидентом на возмездной основе, местом реализации которых признается Республика Казахстан, при приобретении их плательщиком налога на добавленную стоимость являются оборотом такого плательщика налога на добавленную стоимость по приобретению работ, услуг от нерезидента, который подлежит обложению налогом на добавленную стоимость в соответствии с настоящим Кодексом.
2. Плательщик налога на добавленную стоимость по приобретенным работам, услугам от нерезидента, местом реализации которых признается Республика Казахстан, выписывает счет-фактуру в порядке, предусмотренном главой 50 настоящего Кодекса.
3. Работы, услуги, указанные в пункте 1 настоящей статьи, не являются оборотом по приобретению работ, услуг от нерезидента, если:
1) выполненные работы, оказанные услуги являются работами, услугами, перечисленными в статье 474 настоящего Кодекса;
2) стоимость таких работ, услуг включена в таможенную стоимость импортируемых товаров, определяемую в соответствии с таможенным законодательством ЕАЭС и (или) таможенным законодательством Республики Казахстан, по которой налог на добавленную стоимость на ввозимые товары уплачен в бюджет Республики Казахстан и не подлежит возврату в соответствии с таможенным законодательством Республики Казахстан;
3) работы выполнены и услуги оказаны юридическим лицам, указанным в статье 17 настоящего Кодекса, при условии приобретения таких работ, услуг для осуществления видов деятельности, включенных в перечень приоритетных видов деятельности в области информационно-коммуникационных технологий, утверждаемый уполномоченным органом в сфере информатизации по согласованию с центральным уполномоченным органом по государственному планированию, уполномоченным органом в области технического регулирования и уполномоченным органом;
4) стоимость таких работ, услуг включена в размер облагаемого импорта, определяемый в соответствии со статьей 518 настоящего Кодекса, по которому налог на добавленную стоимость на ввозимые товары из государств - членов ЕАЭС уплачен в бюджет Республики Казахстан и не подлежит возврату в соответствии с главой 52 настоящего Кодекса;
5) выполненные работы, оказанные услуги являются оборотом структурного подразделения юридического лица - нерезидента в соответствии с пунктом 3 статьи 452 настоящего Кодекса;
6) в стоимость услуг в электронной форме, полученных от нерезидента, включена сумма налога на добавленную стоимость, уплаченная иностранной компанией в соответствии с разделом 21 настоящего Кодекса.
Подтверждением включения иностранной компанией в стоимость услуги в электронной форме суммы налога на добавленную стоимость является выделенная сумма налога в акте выполненных работ, оказанных услуг или ином документе, подтверждающем факт оказания услуг.
Статья 455. Обороты по реализации (приобретению), осуществляемые по договорам поручения
1. Не являются оборотом по реализации (приобретению) поверенного:
1) реализация товаров, выполнение работ или оказание услуг, приобретение товаров, работ, услуг от имени и за счет доверителя;
2) передача поверенным доверителю товаров, приобретенных для доверителя;
3) выполнение работ, оказание услуг третьим лицом для доверителя по сделке, заключенной поверенным с таким третьим лицом от имени и за счет доверителя.
2. Положение пункта 1 настоящей статьи не применяется в отношении:
1) реализации товаров, полученных от доверителя-нерезидента, не являющегося плательщиком налога на добавленную стоимость в Республике Казахстан и не осуществляющего деятельность через структурное подразделение. В этом случае отгрузка товара является оборотом по реализации поверенного;
2) реализации товаров, выполнения работ, оказания услуг, а также приобретения товаров, работ, услуг оператором в случаях, предусмотренных пунктом 3 статьи 507 настоящего Кодекса.
Статья 456. Обороты по реализации, осуществляемые на условиях, соответствующих условиям договора комиссии
1. Не являются оборотом по реализации комиссионера:
1) реализация товаров, выполнение работ, оказание услуг комиссионером по поручению комитента на условиях, соответствующих условиям договора комиссии;
2) передача комиссионером комитенту товаров, приобретенных для комитента на условиях, соответствующих условиям договора комиссии;
3) выполнение работ, оказание услуг третьим лицом для комитента по сделке, заключенной таким третьим лицом с комиссионером, за исключением случаев, когда такие работы, услуги являются оборотом комиссионера по приобретению работ, услуг от нерезидента.
2. Положения пункта 1 настоящей статьи не применяются в отношении реализации товара, полученного от комитента-нерезидента, не являющегося плательщиком налога на добавленную стоимость в Республике Казахстан и не осуществляющего деятельность через структурное подразделение. В этом случае реализация товара является оборотом по реализации комиссионера.
Статья 457. Обороты по реализации (приобретению), осуществляемые по договору транспортной экспедиции
Выполнение работ, оказание услуг, определенных договором транспортной экспедиции, перевозчиком и (или) другими поставщиками для стороны, являющейся клиентом по договору транспортной экспедиции, не являются оборотом по реализации экспедитора.
Статья 458. Обороты по реализации (приобретению), осуществляемые в результате учреждения доверительного управления имуществом
Реализация товаров, выполнение работ, оказание услуг, приобретение товаров, работ, услуг, осуществляемые доверительным управляющим в соответствии с договором доверительного управления имуществом или в иных случаях возникновения доверительного управления имуществом, являются оборотом по реализации (приобретению) доверительного управляющего.
Статья 459. Место реализации товаров, работ, услуг
1. Для целей настоящего раздела местом реализации товаров признается Республика Казахстан, если:
1) началом транспортировки товаров является Республика Казахстан - по товарам, которые перевозятся (пересылаются) поставщиком, получателем или третьим лицом;
2) товар передается получателю на территории Республики Казахстан - в остальных случаях.
2. Для целей настоящего раздела местом реализации работ, услуг признается Республика Казахстан, если:
1) работы, услуги связаны непосредственно с недвижимым имуществом, находящимся на территории Республики Казахстан.
Местом нахождения недвижимого имущества признается место государственной регистрации прав на недвижимое имущество или место фактического нахождения в случае отсутствия обязательства по государственной регистрации такого имущества.
В целях настоящей статьи недвижимым имуществом признаются здания, сооружения, многолетние насаждения и иное имущество, прочно связанное с землей, то есть объекты, перемещение которых без несоразмерного ущерба их назначению невозможно, а также трубопроводы, линии электропередачи, космические объекты, предприятие как имущественный комплекс. При этом в целях настоящей статьи имущество, не отнесенное в настоящем подпункте к недвижимому имуществу, признается движимым имуществом;
2) работы, услуги, связанные с движимым имуществом, фактически оказаны на территории Республики Казахстан.
К таким работам, услугам относятся: монтаж, сборка, ремонт, техническое обслуживание;
3) услуги относятся к услугам в сфере культуры, развлечений, науки, искусства, образования, физической культуры или спорта и фактически оказаны на территории Республики Казахстан.
В целях настоящего подпункта к услугам в сфере развлечений относятся услуги развлекательно-досугового назначения, которые оказываются в развлекательных заведениях, включая игорные заведения, ночные клубы, кафе-бары, рестораны, интернет-кафе, компьютерные, бильярдные, боулинг-клубы и кинотеатры;
4) покупатель работ, услуг осуществляет предпринимательскую или любую другую деятельность на территории Республики Казахстан.
В целях настоящего подпункта местом осуществления предпринимательской или другой деятельности покупателя работ, услуг признается территория Республики Казахстан в случае присутствия покупателя работ, услуг на территории Республики Казахстан на основе государственной (учетной) регистрации в регистрирующем органе или на основе постановки на регистрационный учет в налоговых органах в качестве индивидуального предпринимателя.
В случае если покупателем работ, услуг является нерезидент, а получателем является его структурное подразделение, учетная регистрация которых произведена в регистрирующем органе, то местом реализации работ, услуг признается Республика Казахстан.
Положения настоящего подпункта применяются в отношении следующих работ, услуг:
передача прав на использование объектов интеллектуальной собственности; по техническому обслуживанию и обновлению программного обеспечения;
предоставление доступа к интернет-ресурсам;
консультационные, аудиторские, инжиниринговые, дизайнерские, маркетинговые, юридические, бухгалтерские, рекламные услуги, а также услуги по предоставлению и (или) обработке информации, кроме распространения продукции средств массовой информации, а также предоставления доступа к массовой информации, размещенной на интернет-ресурсе;
адвокатская деятельность;
предоставление персонала;
сдача в имущественный наем (аренду) движимого имущества (кроме транспортных средств);
услуги агента по приобретению товаров, работ, услуг, а также привлечению от имени основного участника договора (контракта) лиц для осуществления услуг, предусмотренных настоящим подпунктом;
услуги связи;
согласие ограничить или прекратить предпринимательскую деятельность за вознаграждение;
услуги радио и телевизионные услуги;
услуги по предоставлению в аренду и (или) пользование грузовых вагонов и контейнеров;
5) работы, услуги, не предусмотренные подпунктами 1), 2), 3) и 4) части первой настоящего пункта и пунктом 4 настоящей статьи, выполняются или оказываются налогоплательщиком, осуществляющим предпринимательскую или любую другую деятельность на территории Республики Казахстан.
Местом осуществления предпринимательской или другой деятельности налогоплательщика, выполняющего работы, оказывающего услуги, не предусмотренные подпунктами 1), 2), 3) и 4) части первой настоящего пункта, считается территория Республики Казахстан:
в отношении услуг по перевозке пассажиров и багажа, транспортировке товаров, в том числе почты, - в случае присутствия такого налогоплательщика на территории Республики Казахстан на основе государственной (учетной) регистрации в регистрирующем органе или на основе постановки на регистрационный учет в налоговых органах в качестве индивидуального предпринимателя и при соблюдении одного или нескольких из следующих условий:
пассажиры, транспортируемые товары (почта, багаж) ввозятся на территорию Республики Казахстан;
пассажиры, транспортируемые товары (почта, багаж) вывозятся за пределы территории Республики Казахстан;
пассажиры перевозятся, товары (почта, багаж) транспортируются по территории Республики Казахстан;
в отношении прочих работ, услуг - в случае присутствия такого налогоплательщика на территории Республики Казахстан на основе государственной (учетной) регистрации в регистрирующем органе или на основе постановки на регистрационный учет в налоговых органах в качестве индивидуального предпринимателя.
Для целей подпунктов 2) и 3) части первой настоящего пункта фактическим местом оказания работ, услуг признается место присутствия налогоплательщика, оказывающего такие работы, услуги.
3. Если реализация товаров, работ, услуг носит вспомогательный характер по отношению к реализации других основных товаров, работ, услуг, местом такой реализации признается место реализации основных товаров, работ, услуг.
4. Несмотря на положения настоящей статьи, местом реализации работ, услуг признается Республика Казахстан при выполнении работ, оказании услуг юридическим лицом - нерезидентом, осуществляющим деятельность на территории Республики Казахстан через постоянное учреждение без открытия структурного подразделения, налогоплательщику Республики Казахстан.
5. При применении пункта 2 настоящей статьи место выполнения работ или оказания услуг, соответствующих положениям более чем одного из подпунктов указанного пункта, определяется в соответствии с первым по порядку из этих подпунктов.
6. Положения настоящей статьи не применяются в случаях, установленных разделом 21 настоящего Кодекса.
Статья 460. Дата совершения оборота по реализации товаров, работ, услуг
1. Датой совершения оборота по реализации товаров, за исключением оборотов, указанных в пунктах 2, 5, 7 - 12 и 14 настоящей статьи, является:
1) если в соответствии с условиями договора предусмотрена обязанность поставщика (продавца) по доставке товара - одна из следующих дат:
день передачи товара лицу, осуществляющему доставку товара, определенному поставщиком (продавцом), в том числе его доверенному лицу;
день погрузки товара на транспортное средство поставщика (продавца);
2) если по договору отсутствует обязанность поставщика (продавца) по доставке товара:
когда в соответствии с законодательством Республики Казахстан о бухгалтерском учете и финансовой отчетности подлежит оформлению документ, подтверждающий факт передачи товара, - дата подписания поставщиком (продавцом) и получателем (покупателем) такого документа;
в остальных случаях - определенный в соответствии с гражданским законодательством Республики Казахстан день предоставления товара в распоряжение получателя (покупателя) или определенного им лица, в том числе осуществляющего доставку такого товара.
2. Плательщик налога на добавленную стоимость вправе при реализации товаров на основании товарораспорядительных документов, подтверждающих предоставление идентифицированных товаров в распоряжение покупателя, и реализации товаров автозаправочными станциями признавать датой совершения оборота по реализации последний день месяца, на который приходится дата фактической передачи таких товаров покупателю.
3. Датой совершения оборота по реализации работ, услуг является день выполнения работ, оказания услуг, за исключением случаев, установленных в пунктах 4,5,6 и 13 настоящей статьи.
При этом днем выполнения работ, оказания услуг признается дата подписания, указанная в:
акте выполненных работ, оказанных услуг;
документе (кроме счета-фактуры), подтверждающем факт выполнения работ, оказания услуг, оформленном в соответствии с законодательством Республики Казахстан о бухгалтерском учете и финансовой отчетности, в случае отсутствия акта выполненных работ, оказанных услуг.
4. При осуществлении банковских операций, оказании услуг по предоставлению кредита (займа, микрокредита), услуг по перевозке пассажиров, багажа, грузобагажа и почтовых отправлений на железнодорожном транспорте, услуг по предоставлению в пользование игровых автоматов без выигрыша, персональных компьютеров, игровых дорожек (боулинг (кегельбан), картов (картинг), бильярдных столов (бильярд) датой совершения оборота по реализации услуг является наиболее ранняя из следующих дат:
1) дата получения каждого платежа (независимо от формы расчета);
2) дата признания в бухгалтерском учете оказания услуг.
5. Датой совершения оборота по реализации товаров, работ, услуг является последний день календарного месяца, в котором поставлены товары, выполнены работы, оказаны услуги, при:
реализации электрической и (или) тепловой энергии, воды, газа, коммунальных услуг, услуг связи, услуг по перевозке пассажиров, багажа и грузов на воздушном транспорте, услуг по перевозке грузов по системе магистральных трубопроводов;
оказании Национальным оператором по управлению автомобильными дорогами услуг, по которым взимается плата за проезд по платным автомобильным дорогам;
оказании услуг Государственной корпорацией;
при оказании услуг по сбору, обмену, обработке и рассылке информации, формируемой при осуществлении платежей и (или) переводов денег, в том числе по операциям с платежными карточками и электронными деньгами.
Для целей настоящего раздела под коммунальными услугами понимаются работы по очистке сточных систем и канализации, услуги по сбору отходов (мусороудаление), услуги по обслуживанию лифтов, домофонов.
6. При выполнении работ, оказании услуг (кроме перевозок пассажиров, багажа, грузобагажа и почты на железнодорожном транспорте), при осуществлении которых документы оформляются в соответствии с законодательством Республики Казахстан о железнодорожном транспорте, датой совершения оборота по реализации работ, услуг является наиболее поздняя дата, указанная в документе, подтверждающем факт выполнения работ, оказания услуг.
7. При реализации периодических печатных изданий или иной продукции средств массовой информации, включая размещение на интернет-ресурсе в сетях телекоммуникаций, датой совершения оборота является день передачи периодического печатного издания или день пересылки продукции средств массовой информации на электронную почту или электронный абонентский почтовый ящик, и (или) день размещения продукции средств массовой информации на интернет-ресурсе в общедоступных телекоммуникационных сетях.
8. В случае вывоза товаров с помещением под таможенную процедуру экспорта датой совершения оборота по реализации товара является:
1) дата регистрации декларации на товары в соответствии с таможенным законодательством ЕАЭС и (или) таможенным законодательством Республики Казахстан;
2) дата регистрации полной декларации на товары с отметками таможенного органа, производившего таможенное декларирование, в случае вывоза товаров с помещением под таможенную процедуру экспорта с использованием временного таможенного декларирования;
3) дата внесения изменений (дополнений) в сведения, заявленные в декларации на товары о фактическом количестве вывезенного товара, и иные недостающие сведения, вносимые после окончания заявленного периода поставки товаров с помещением под таможенную процедуру экспорта с использованием периодического таможенного декларирования в соответствии с таможенным законодательством Республики Казахстан.
9. В случае ввоза товаров с помещением под таможенную процедуру реимпорта, ранее вывезенных с помещением под таможенную процедуру экспорта, датой совершения оборота по реализации товаров является:
1) дата регистрации декларации на товары при вывозе товара с помещением под таможенную процедуру экспорта без использования периодического или временного декларирования, определяемая в соответствии с таможенным законодательством ЕАЭС и (или) таможенным законодательством Республики Казахстан;
2) дата регистрации полной декларации на товары с отметками таможенного органа, производившего таможенное декларирование, при вывозе товаров с помещением его под таможенную процедуру экспорта с использованием временного таможенного декларирования;
3) дата внесения изменений (дополнений) в сведения, заявленные в декларации на товары о фактическом количестве вывезенного товара, и иные недостающие сведения, вносимые после окончания заявленного периода поставки товаров с помещением под таможенную процедуру экспорта с использованием периодического таможенного декларирования в соответствии с таможенным законодательством Республики Казахстан.
10. При передаче заложенного имущества (товара) залогодателем датой совершения оборота по реализации для залогодателя является день перехода права собственности на предмет залога от залогодателя к победителю торгов, проведенных в процессе обращения взыскания на заложенное имущество, или к залогодержателю.
11. При передаче имущества в финансовый лизинг датой совершения оборота по реализации является:
1) в части суммы периодического лизингового платежа, установленного договором лизинга, без учета суммы вознаграждения, за исключением случаев, указанных в подпунктах 2) и 3) настоящего пункта, -дата наступления срока получения такого платежа;
2) в части суммы всех периодических лизинговых платежей без учета суммы вознаграждения, дата наступления срока получения которых по договору лизинга установлена до даты передачи имущества лизингополучателю, - дата передачи имущества в финансовый лизинг;
3) в части досрочно погашенных сумм лизинговых платежей, предусмотренных договором лизинга без учета суммы вознаграждения при соблюдении требований статьи 213 настоящего Кодекса, - дата получения такого платежа (независимо от формы расчета);
4) в части начисленной суммы вознаграждения датой совершения оборота является наиболее ранняя из следующих дат:
последний день отчетного налогового периода;
последний день прекращения начисления вознаграждения по договору финансового лизинга.
Положения настоящего пункта применяются также в случае несоблюдения требований, установленных статьей 213 настоящего Кодекса.
12. При утрате товара, приобретенного без налога на добавленную стоимость с помещением под таможенную процедуру свободной таможенной зоны, кроме товаров, которые являются товарами, перечисленными в статье 474 настоящего Кодекса, датой совершения оборота по реализации товара является дата установления налогоплательщиком факта утраты.
13. В случае признания работ и услуг, выполненных и оказанных нерезидентом, оборотом плательщика налога на добавленную стоимость в соответствии со статьей 454 настоящего Кодекса датой совершения такого оборота является одна из следующих дат:
дата подписания поставщиком (продавцом) и получателем (покупателем), являющимися сторонами договора, акта выполненных работ, оказанных услуг;
дата признания в бухгалтерском учете затрат по приобретению работ, услуг от нерезидента - при наличии иного документа, подтверждающего факт выполнения работ, оказания услуг, в случае отсутствия акта выполненных работ, оказанных услуг.
14. При снятии с регистрационного учета по налогу на добавленную стоимость датой совершения оборота, указанного в подпункте 3) части первой пункта 1 статьи 449 настоящего Кодекса, является дата, предшествующая дате, в которой плательщик налога на добавленную стоимость представил ликвидационную налоговую отчетность по налогу на добавленную стоимость.
15. Если в документах, определенных пунктами 3 и 13 настоящей статьи, указано несколько дат, то датой подписания документа является наиболее поздняя из указанных дат.
16. При реализации на условиях рассрочки платежа залогового имущества, ранее принятого на баланс дочерней организации банка, приобретающей сомнительные и безнадежные активы родительского банка в счет погашения задолженности, датой совершения оборота по реализации является дата наступления срока получения такого платежа по договору купли-продажи или дата получения такого платежа в зависимости от того, какое событие наступит раньше.
Глава 46. ОПРЕДЕЛЕНИЕ РАЗМЕРА ОБОРОТА И ИМПОРТА
Статья 461. Размер оборота по реализации товаров, работ, услуг
1. Если иное не предусмотрено статьей 462 настоящего Кодекса, размер оборота по реализации определяется как стоимость реализуемых товаров, работ, услуг исходя из применяемых сторонами сделки цен и тарифов без включения в них налога на добавленную стоимость, если иное не предусмотрено законодательством Республики Казахстан о трансфертном ценообразовании.
При реализации товара на условиях рассрочки платежа стоимость реализуемого товара определяется с учетом всех платежей, предусмотренных условиями договора.
2. При предоставлении услуг по проплате за третьих лиц размер оборота по реализации определяется в размере комиссионного вознаграждения.
3. Сумма акциза, подлежащая уплате (уплаченная) в соответствии с положениями настоящего Кодекса:
1) при передаче бензина (за исключением авиационного), дизельного топлива, являющегося продуктом переработки давальческого сырья, не включается в размер оборота по реализации производителя такого подакцизного товара, оказывающего услуги по переработке давальческого сырья;
2) в остальных случаях - включается в размер оборота по реализации.
4. Размер оборота в виде остатков товаров плательщика налога на добавленную стоимость определяется в размере балансовой стоимости таких товаров, подлежащей отражению (отраженной) в бухгалтерском учете такого плательщика налога на добавленную стоимость, на дату совершения оборота без учета переоценки и обесценения.
Для целей настоящего пункта балансовой стоимостью товара у плательщика налога на добавленную стоимость является:
1) при снятии его с регистрационного учета по налогу на добавленную стоимость в связи с реорганизацией, а также при реорганизации путем выделения - стоимость товара, отраженная в разделительном балансе или передаточном акте, но не ниже балансовой стоимости, подлежащей отражению (отраженной) в бухгалтерском учете такого плательщика налога на добавленную стоимость, на дату совершения оборота;
2) в остальных случаях - балансовая стоимость товара, подлежащая отражению (отраженная) в бухгалтерском учете такого плательщика налога на добавленную стоимость, на дату совершения оборота без учета переоценки и обесценения.
По обороту в виде остатков товаров плательщиком налога на добавленную стоимость составляется налоговый регистр по остаткам товаров в соответствии со статьей 205 настоящего Кодекса.
5. Размер оборота, совершаемого плательщиком налога на добавленную стоимость при приобретении работ, услуг от нерезидента, определяется в соответствии со статьей 463 настоящего Кодекса.
6. Операция в иностранной валюте в целях настоящего раздела пересчитывается в национальную валюту Республики Казахстан с применением официального курса валюты, установленного на дату совершения оборота.
Статья 462. Особенности определения размера оборота по реализации в отдельных случаях
1. При передаче заложенного имущества залогодателем в собственность покупателю или залогодержателю размер оборота по реализации у залогодателя определяется при:
1) реализации залогового имущества - в размере стоимости реализуемого заложенного имущества исходя из примененной цены реализации без включения в нее налога на добавленную стоимость;
2) обращении заложенного имущества в собственность залогодержателя - в размере текущей оценочной стоимости, устанавливаемой решением суда или доверенным лицом на основании заключения физического или юридического лица, имеющего лицензию на осуществление деятельности по оценке имущества (за исключением объектов интеллектуальной собственности, стоимости нематериальных активов), без включения в нее налога на добавленную стоимость. При этом доверенное лицо определяется в соответствии с гражданским законодательством Республики Казахстан при реализации заложенного имущества в принудительном внесудебном порядке посредством торгов.
2. Размер оборота по реализации у налогоплательщика при помещении под таможенную процедуру реимпорта товара, ранее вывезенного с помещением под таможенную процедуру экспорта, определяется пропорционально объему товара, помещаемого под таможенную процедуру реимпорта, в единицах измерения, примененных при помещении товара под таможенную процедуру экспорта, на основе стоимости данного товара, по которой в декларации по налогу на добавленную стоимость был отражен оборот по реализации товара на экспорт.
3. При продаже предприятия в целом как имущественного комплекса размер оборота по реализации определяется в размере балансовой стоимости передаваемого при продаже имущества, по которому налог на добавленную стоимость ранее был отнесен в зачет:
1) увеличенной на положительную разницу между стоимостью реализации по договору купли-продажи предприятия и балансовой стоимостью передаваемых активов, уменьшенной на балансовую стоимость передаваемых обязательств, по данным бухгалтерского учета на дату реализации;
2) уменьшенной на отрицательную разницу между стоимостью реализации по договору купли-продажи предприятия и балансовой стоимостью передаваемых активов, уменьшенной на балансовую стоимость передаваемых обязательств, по данным бухгалтерского учета на дату реализации.
4. При передаче имущества в финансовый лизинг размер оборота по реализации определяется в размере:
1) на дату совершения оборота, указанную в подпункте 1) пункта 11 статьи 460 настоящего Кодекса, - на основе размера лизингового платежа, установленного в соответствии с договором финансового лизинга без включения в него суммы вознаграждения по финансовому лизингу и налога на добавленную стоимость;
2) на дату совершения оборота, указанную в подпункте 2) пункта 11 статьи 460 настоящего Кодекса, - на основе суммы всех периодических лизинговых платежей без включения в них суммы вознаграждения по финансовому лизингу и налога на добавленную стоимость, дата наступления срока получения которых в соответствии с договором финансового лизинга установлена до даты передачи имущества лизингополучателю;
3) на дату совершения оборота, указанную в подпункте 3) пункта 11 статьи 460 настоящего Кодекса, - как разница между общей суммой всех лизинговых платежей, полученных (подлежащих получению) по договору финансового лизинга без включения в них суммы вознаграждения по финансовому лизингу и налога на добавленную стоимость, и размером облагаемого оборота, определяемым как сумма размеров облагаемых оборотов, приходящихся на предыдущие даты совершения оборота по реализации согласно данному договору;
4) на дату совершения оборота, указанную в подпункте 4) пункта 11 статьи 460 настоящего Кодекса, - в размере начисленной суммы вознаграждения.
5. Размер оборота по реализации при безвозмездной передаче товаров определяется в размере балансовой стоимости передаваемых товаров, подлежащей отражению (отраженной) в бухгалтерском учете налогоплательщика на дату их передачи без учета переоценки и обесценения, если иное не предусмотрено законодательством Республики Казахстан о трансфертном ценообразовании.
Размер оборота по реализации по безвозмездно выполненным работам, оказанным услугам определяется исходя из балансовой стоимости товаров, подлежащей отражению (отраженная) в бухгалтерском учете такого плательщика налога на добавленную стоимость без учета переоценки и обесценения, стоимости работ, услуг в случае одновременного соответствия следующим условиям:
использованы на безвозмездное выполнение работ, оказание услуг;
налог на добавленную стоимость при приобретении таких товаров, работ, услуг был учтен как налог на добавленную стоимость, разрешенный к отнесению в зачет, включая определенный пропорциональным методом;
подлежат отнесению (отнесены) в бухгалтерском учете налогоплательщика к расходам в соответствии с международными стандартами финансовой отчетности и (или) требованиями законодательства Республики Казахстан о бухгалтерском учете и финансовой отчетности.
Стоимость фиксированных активов, а также активов, предусмотренных подпунктами 2), 3), 4) и 8) пункта 2 статьи 250 настоящего Кодекса, в случае передачи их в безвозмездное пользование для включения в облагаемый оборот определяется в следующем порядке:
Са = (НДС пр/Си) × Тф/ставка,
где:
Са - стоимость актива, включаемая в облагаемый оборот при передаче в безвозмездное пользование;
НДС пр - сумма налога на добавленную стоимость, отнесенного в зачет при приобретении актива, передаваемого в безвозмездное пользование;
Си - срок использования актива, исчисленный в календарных месяцах, определяется:
по активам, подлежащим амортизации в бухгалтерском учете, как срок полезного использования актива, определенный в бухгалтерском учете для амортизации в соответствии с международными стандартами финансовой отчетности и (или) законодательством Республики Казахстан о бухгалтерском учете и финансовой отчетности;
по прочим активам - как срок службы актива, определенный на основании технической документации на актив, а при отсутствии такой документации - 120 месяцев;
Тф - фактическое количество месяцев передачи в пользование, приходящихся на отчетный налоговый период;
ставка - ставка налога на добавленную стоимость в процентах, действующая на дату предоставления в пользование.
6. При уступке прав требования по реализованным товарам, работам, услугам, кроме авансов и штрафных санкций, размер оборота по реализации определяется как положительная разница между стоимостью права требования, по которой произведена уступка, и стоимостью требования, подлежащей получению от должника на дату уступки права требования, согласно первичным документам налогоплательщика.
При уступке права требования по кредитам (займам, микрокредитам) размер оборота по реализации определяется как положительная разница между суммой вознаграждения, включенной в стоимость права требования, по которой произведена уступка, и суммой вознаграждения, подлежащей получению от должника на дату уступки права требования, согласно первичным документам налогоплательщика.
7. Размер оборота по реализации определяется в размере вознаграждения без включения в него налога на добавленную стоимость, предусмотренного:
1) договором об ограничении или прекращении предпринимательской деятельности, - при согласии ограничить или прекратить предпринимательскую деятельность;
2) договором о предоставлении кредита (займа, микрокредита), - при предоставлении кредита (займа, микрокредита);
3) договором поручения, - при реализации товаров, выполнении работ, оказании услуг поверенным от имени и за счет доверителя, передаче поверенным доверителю товаров, приобретенных для доверителя, а также выполнении работ, оказании услуг третьим лицом для доверителя по сделке, заключенной поверенным с таким третьим лицом от имени и за счет доверителя.
8. Размер оборота по реализации при финансировании исламским банком в соответствии с банковским законодательством Республики Казахстан физических и юридических лиц в качестве торгового посредника путем предоставления коммерческого кредита в соответствии с подпунктами 7) и 8) пункта 2 статьи 452 настоящего Кодекса определяется в размере дохода, подлежащего получению исламским банком.
В целях настоящего пункта к доходу, подлежащему получению исламским банком, относится сумма наценки на товар, реализуемый покупателю, которая определяется условиями договора исламского банка о коммерческом кредите, заключенного в соответствии с банковским законодательством Республики Казахстан.
Положения настоящего пункта не распространяются на случаи реализации исламским банком товара третьему лицу при отказе покупателя от исполнения договора о коммерческом кредите.
9. При реализации товаров, выполнении работ, оказании услуг на условиях, соответствующих условиям договора комиссии, передаче комиссионером комитенту товаров, приобретенных для комитента на условиях, соответствующих условиям договора комиссии, а также при выполнении работ, оказании услуг третьим лицом для комитента по сделке, заключенной таким третьим лицом с комиссионером, размер оборота по реализации комиссионера определяется в размере одной из следующих сумм:
его комиссионного вознаграждения без включения в него налога на добавленную стоимость;
стоимости работ, услуг, являющихся оборотом комиссионера по приобретению работ, услуг от нерезидента.
10. При выполнении работ, оказании услуг, определенных договором транспортной экспедиции, перевозчиком и (или) другими поставщиками для стороны, являющейся клиентом по договору транспортной экспедиции, размер оборота по реализации экспедитора определяется в размере следующих сумм:
его вознаграждения без включения в него налога на добавленную стоимость, предусмотренного договором транспортной экспедиции;
стоимости работ, услуг, являющихся оборотом экспедитора по приобретению работ, услуг от нерезидента.
11. Размер оборота по реализации периодических печатных изданий и иной продукции средств массовой информации, включая размещенные на интернет-ресурсе в общедоступных телекоммуникационных сетях, определяется как стоимость реализации исходя из применяемых сторонами сделки цен и тарифов без включения в них налога на добавленную стоимость, переданных (отгруженных, размещенных) периодических печатных изданий и иной продукции средств массовой информации в отчетном налоговом периоде.
12. Размер оборота по реализации при передаче товара, выполнении работ, оказании услуг работодателем работнику в счет погашения задолженности перед работником определяется по следующей формуле:
Ор = Зр × 100/(100+ставка), где:
Ор - оборот по реализации при передаче товара, выполнении работ, оказании услуг работодателем работнику в счет погашения задолженности перед работником;
ставка - ставка налога на добавленную стоимость, действующая на дату передачи товара, в процентах;
Зр - сумма, подлежащая выплате работнику, в счет погашения которой осуществляется передача товара, выполнение работ, оказание услуг.
13. Размер оборота по реализации при утрате товара, приобретенного без налога на добавленную стоимость с помещением под таможенную процедуру свободной таможенной зоны, кроме товаров, которые являются товарами, перечисленными в статье 474 настоящего Кодекса, определяется в размере балансовой стоимости товаров, подлежащей отражению (отраженной) в бухгалтерском учете налогоплательщика, на дату их утраты без учета переоценки и обесценения.
14. Размер оборота по реализации тары, которая признана возвратной тарой в соответствии с подпунктом 5) статьи 453 настоящего Кодекса и не возвращена в установленный срок, определяется как балансовая стоимость такой тары, подлежащая отражению (отраженная) в бухгалтерском учете, на дату ее возврата без учета переоценки и обесценения.
15. Несмотря на положения пунктов 1-14 настоящей статьи, размер оборота по реализации определяется:
1) при реализации физическому лицу автомобилей, приобретенных юридическим лицом у физических лиц, - как положительная разница между стоимостью реализации и стоимостью приобретения автомобилей;
2) при оказании услуг туроператора по выездному туризму -как положительная разница между стоимостью реализации туристского продукта и стоимостью услуг по страхованию, перевозке пассажиров и проживанию, в том числе питанию, если стоимость такого питания включена в стоимость проживания, вознаграждения туристского агента;
3) при осуществлении операций с ценными бумагами, долей участия - как прирост стоимости при реализации ценных бумаг, доли участия, определяемый в соответствии со статьей 250 настоящего Кодекса;
4) при реализации товаров, по которым налог на добавленную стоимость, указанный в счетах-фактурах, выписанных при приобретении этих товаров в соответствии с налоговым законодательством Республики Казахстан, действовавшим на дату их приобретения, не признается налогом на добавленную стоимость, относимым в зачет, - как положительная разница между стоимостью реализации и балансовой стоимостью товара, отраженной в бухгалтерском учете, на дату его передачи без учета переоценки и обесценения;
5) при передаче товара:
акционеру, участнику, учредителю при ликвидации юридического лица или распределении имущества при уменьшении уставного капитала - как положительная разница между балансовой стоимостью передаваемого товара, подлежащей отражению (отраженной) в бухгалтерском учете юридического лица, передающего такой товар, на дату его передачи без учета переоценки и обесценения, и размером оплаченного уставного капитала, приходящимся на долю участия, количество акций, пропорционально которым осуществляется распределение имущества;
участнику, учредителю при выкупе юридическим лицом у такого учредителя, участника доли участия или ее части в этом юридическом лице - как положительная разница между балансовой стоимостью передаваемого товара, подлежащей отражению (отраженной) в бухгалтерском учете юридического лица, передающего такой товар, на дату его передачи без учета переоценки и обесценения, и размером оплаченного уставного капитала, приходящимся на выкупаемую долю участия;
акционеру при выкупе юридическим лицом - эмитентом у акционера акций, выпущенных этим эмитентом, - как положительная разница между балансовой стоимостью передаваемого товара, подлежащей отражению (отраженной) в бухгалтерском учете юридического лица, передающего такой товар, на дату его передачи без учета переоценки и обесценения, и размером оплаченного уставного капитала, приходящимся на выкупаемое количество акций;
6) при реализации жилого здания (части жилого здания), приобретенного без налога на добавленную стоимость, - как положительная разница между стоимостью реализации и балансовой стоимостью жилого здания (части жилого здания), отраженной в бухгалтерском учете на дату реализации без учета переоценки и обесценения.
Статья 463. Размер оборота по приобретению работ, услуг от нерезидента
1. Размер оборота по приобретению работ, услуг от нерезидента определяется исходя из стоимости приобретения работ, услуг, указанных в пункте 1 статьи 454 настоящего Кодекса, включая корпоративный или индивидуальный подоходный налог, подлежащий удержанию у источника выплаты. При этом стоимость приобретения определяется на основании:
акта выполненных работ, оказанных услуг;
при отсутствии акта выполненных работ, оказанных услуг - иного документа, подтверждающего факт выполнения работ, оказания услуг.
2. В случае, когда оплата за полученные работы, услуги производится в иностранной валюте, облагаемый оборот пересчитывается в национальную валюту Республики Казахстан с применением официального курса валюты, установленного на дату совершения оборота.
Статья 464. Корректировка размера оборота
1. При изменении размера оборота по реализации товаров, работ и услуг в ту или иную сторону в случаях, предусмотренных пунктом 2 настоящей статьи, после даты его совершения соответствующим образом корректируется размер оборота.
2. Корректировка производится в случаях:
1) полного или частичного возврата товара, за исключением ввоза товара с помещением под таможенную процедуру реимпорта, ранее вывезенного с помещением под таможенную процедуру экспорта;
2) изменения условий сделки;
3) изменения цены, компенсации за реализованные товары, работы, услуги. Положение данного подпункта применяется также при изменении подлежащей оплате стоимости реализованных товаров, работ, услуг исходя из условий договора, в том числе в связи с применением коэффициента (индекса);
4) скидки с цены, скидки с продаж;
5) возврата тары, включенной в оборот по реализации в соответствии с подпунктом 5) статьи 453 настоящего Кодекса;
6) наступления иных случаев, в результате которых происходит изменение размера оборота.
3. Положения настоящей статьи не применяются в случае изменения размера, облагаемого (необлагаемого) оборота в результате исправления ошибок.
4. Корректировка размера оборота налогоплательщика производится при наличии документов, на основании которых изменяется размер облагаемого (необлагаемого) оборота.
5. Сумма корректировки размера, облагаемого (необлагаемого) оборота включается в облагаемый (необлагаемый) оборот того налогового периода, на который приходится дата наступления случаев, предусмотренных пунктом 2 настоящей статьи. Такая дата является датой совершения оборота на сумму корректировки.
6. Корректировка размера облагаемого (необлагаемого) оборота в сторону уменьшения не должна превышать размер ранее отраженного облагаемого (необлагаемого) оборота по реализации товаров, работ, услуг.
7. При корректировке размера облагаемого оборота в сторону увеличения сумма налога на добавленную стоимость по такому обороту определяется по ставке, действующей на дату наступления случаев, предусмотренных пунктом 2 настоящей статьи.
Статья 465. Корректировка размера облагаемого оборота по сомнительным требованиям
1. Если часть или весь размер требования по реализованным товарам, работам, услугам является сомнительным требованием, плательщик налога на добавленную стоимость имеет право уменьшить размер облагаемого оборота по такому требованию:
1) по истечении трех лет с начала налогового периода, на который приходится:
срок исполнения требования по реализованным товарам, работам, услугам, если такой срок определен;
день передачи товара, выполнения работ, оказания услуг, срок исполнения требования по которым не определен;
2) в налоговом периоде, в котором вынесено решение регистрирующего органа об исключении дебитора, признанного банкротом, из Национального реестра бизнес-идентификационных номеров;
3) в налоговом периоде, в котором завершена процедура внесудебного банкротства или вынесено решение суда о применении процедуры судебного банкротства в соответствии с Законом Республики Казахстан «О восстановлении платежеспособности и банкротстве граждан Республики Казахстан».
Корректировка размера облагаемого оборота в соответствии с настоящим пунктом производится при соблюдении условий, указанных в статье 267 настоящего Кодекса.
2. Уменьшение размера облагаемого оборота по сомнительному требованию производится в пределах размера ранее отраженного облагаемого оборота по реализации товаров, выполнению работ, оказанию услуг с применением ставки налога на добавленную стоимость, действовавшей на дату совершения оборота по реализации.
3. В случае получения оплаты за реализованные товары, работы, услуги после использования плательщиком налога на добавленную стоимость права, предоставленного ему в соответствии с пунктом 1 настоящей статьи, размер облагаемого оборота подлежит увеличению на стоимость указанной оплаты в том налоговом периоде, в котором была получена оплата, с применением ставки налога на добавленную стоимость, действующей на дату совершения оборота по реализации.
Статья 466. Размер облагаемого импорта
1. Если иное не установлено настоящей статьей, в размер облагаемого импорта включаются таможенная стоимость импортируемых товаров, определяемая в соответствии с таможенным законодательством ЕАЭС и (или) таможенным законодательством Республики Казахстан, с учетом законодательства Республики Казахстан о трансфертном ценообразовании, а также суммы налогов и таможенных платежей, специальных, антидемпинговых и компенсационных пошлин, подлежащих уплате в бюджет при импорте товаров в Республику Казахстан, за исключением налога на добавленную стоимость на импорт.
2. Размер облагаемого импорта при импорте продуктов переработки с помещением под таможенную процедуру выпуска для внутреннего потребления определяется как стоимость операций по переработке товаров вне таможенной территории ЕАЭС в соответствии с таможенным законодательством ЕАЭС и (или) таможенным законодательством Республики Казахстан.
Глава 47. ОБОРОТЫ, ОБЛАГАЕМЫЕ ПО НУЛЕВОЙ СТАВКЕ
Статья 467. Оборот по реализации товаров на экспорт
1. Оборот по реализации товаров на экспорт, за исключением оборотов по реализации товаров, предусмотренных статьей 474 настоящего Кодекса, облагается по нулевой ставке.
Экспортом товаров является вывоз товаров с таможенной территории ЕАЭС, осуществляемый в соответствии с таможенным законодательством ЕАЭС и (или) таможенным законодательством Республики Казахстан.
2. Документами, подтверждающими экспорт товаров, являются:
1) договор (контракт) на поставку экспортируемых товаров;
2) копия декларации на товары с отметками таможенного органа, осуществляющего выпуск товаров с помещением под таможенную процедуру экспорта, а также с отметкой таможенного органа Республики Казахстан или таможенного органа другого государства - члена ЕАЭС, расположенного в пункте пропуска на таможенной границе ЕАЭС, кроме случаев, указанных в подпунктах 3) и 6) настоящего пункта;
3) копия полной декларации на товары с отметками таможенного органа, производившего таможенное декларирование, при вывозе товаров с помещением под таможенную процедуру экспорта:
по системе магистральных трубопроводов или по линиям электропередачи;
с использованием временного таможенного декларирования;
4) копии товаросопроводительных документов.
В случае вывоза товаров с помещением под таможенную процедуру экспорта по системе магистральных трубопроводов или по линиям электропередачи вместо копий товаросопроводительных документов представляется акт приема-сдачи товаров;
5) подтверждение уполномоченного государственного органа в области авторского права и смежных прав о праве на объект интеллектуальной собственности, а также его стоимости - в случае экспорта объекта интеллектуальной собственности;
6) копии декларации на товары с отметками таможенного органа, осуществляющего выпуск товаров в таможенной процедуре экспорта, а также с отметкой таможенного органа, расположенного в контрольно-пропускном пункте специальной экономической зоны, пределы которой полностью или частично совпадают с участками таможенной границы ЕАЭС;
7) копия декларации на товары с изменениями (дополнениями), внесенными после окончания заявленного периода поставки товаров, содержащая сведения о фактическом количестве вывезенного товара, в случае вывоза товаров с помещением под таможенную процедуру экспорта с использованием периодического таможенного декларирования.
3. В случае осуществления дальнейшего экспорта товаров, ранее вывезенных за пределы таможенной территории ЕАЭС с помещением под таможенную процедуру переработки вне таможенной территории, или продуктов их переработки подтверждение экспорта осуществляется в соответствии с пунктом 2 настоящей статьи, а также на основании следующих документов:
1) копии декларации на товары, в соответствии с которой производится изменение таможенной процедуры переработки вне таможенной территории на таможенную процедуру экспорта;
2) копии декларации на товары, оформленной с помещением под таможенную процедуру переработки вне таможенной территории;
3) копии декларации на товары, оформленной при ввозе товаров на территорию иностранного государства с помещением под таможенную процедуру переработки на таможенной территории (переработки товаров для внутреннего потребления), заверенной таможенным органом иностранного государства, осуществившим такое оформление;
4) копии декларации на товары, в соответствии с которой производится изменение таможенной процедуры переработки для внутреннего потребления на территории иностранного государства на таможенную процедуру выпуска для внутреннего потребления на территории иностранного государства или таможенную процедуру экспорта.
4. Декларация на товары в виде электронного документа, по которой в информационной системе налоговых органов имеется уведомление таможенных органов о фактическом вывозе товаров, также является документом, подтверждающим экспорт товаров. При наличии декларации на товары в виде электронного документа, предусмотренной настоящим пунктом, представление документов, установленных подпунктами 2), 3) и 6) пункта 2 и подпунктами 1) и 2) пункта 3 настоящей статьи, не требуется.
Статья 468. Налогообложение международных перевозок
1. Оборот по реализации услуг по международным перевозкам облагается по нулевой ставке.
Международной перевозкой признаются:
1) транспортировка товаров, в том числе почтовых отправлений, экспортируемых с территории Республики Казахстан и импортируемых на территорию Республики Казахстан;
2) транспортировка по территории Республики Казахстан транзитных грузов;
3) перевозка пассажиров, багажа и грузобагажа в международном сообщении;
4) услуга по проследованию пассажирских поездов (вагонов) в международном сообщении.
Для целей настоящей главы перевозка считается международной, если оформление перевозки осуществляется едиными международными перевозочными документами, установленными пунктом 4 настоящей статьи.
2. В случае осуществления международной перевозки несколькими перевозчиками, за исключением случаев, установленных пунктом 3 настоящей статьи, к международной относится перевозка, осуществляемая перевозчиком до границы Республики Казахстан или перевозчиком, посредством транспорта которого пассажиры, товары (почтовые отправления, багаж, грузобагаж) были ввезены на территорию Республики Казахстан.
3. В случаях осуществления международной перевозки несколькими перевозчиками в прямом международном железнодорожно-паромном сообщении и международном железнодорожно-водном сообщении с перевалкой груза с железнодорожного на водный транспорт международной признается перевозка, осуществляемая перевозчиками на железнодорожном и водном транспорте.
4. Для целей настоящей статьи подтверждающими международные перевозки документами являются:
1) при перевозке грузов:
в международном автомобильном сообщении - товарно-транспортная накладная;
в международном железнодорожном сообщении, в том числе в прямом международном железнодорожно-паромном сообщении и международном железнодорожно-водном сообщении с перевалкой груза с железнодорожного на водный транспорт, - накладная единого образца;
воздушным транспортом - грузовая накладная (авианакладная);
морским транспортом - коносамент или морская накладная;
транзитом двумя или более видами транспорта (смешанная перевозка) - единая товарно-транспортная накладная (единый коносамент);
по системе магистральных трубопроводов:
копия декларации на товары, помещенные под таможенные процедуры экспорта и выпуска для внутреннего потребления, за расчетный период либо декларации на товары, помещенные под таможенную процедуру таможенного транзита, за расчетный период;
акты выполненных работ (оказанных услуг), акты приема-сдачи грузов от продавца либо от других лиц, осуществлявших ранее доставку указанных грузов покупателю либо другим лицам, осуществляющим дальнейшую доставку указанных грузов;
2) при перевозке пассажиров, багажа и грузобагажа:
автомобильным транспортом:
при регулярных перевозках - отчет о продаже проездных билетов, проданных в Республике Казахстан, а также расчетные ведомости о пассажирских билетах, составленные автовокзалами (автостанциями) по пути следования;
при нерегулярных перевозках - договор об оказании транспортных услуг в международном сообщении;
железнодорожным транспортом:
отчет о продаже проездных, перевозочных и почтовых документов, проданных в Республике Казахстан;
расчетная ведомость о пассажирских билетах, проданных в Республике Казахстан, в международном сообщении;
балансовая ведомость по взаиморасчетам за пассажирские перевозки между железнодорожными администрациями и отчет об оформлении проездных и перевозочных документов;
воздушным транспортом:
генеральная декларация;
пассажирский манифест;
карго-манифест;
лоджит (центрально-загрузочный график);
сводно-загрузочная ведомость (проездной билет и багажная квитанция);
при услуге по проследованию пассажирских поездов (вагонов) в международном сообщении:
натурный лист пассажирского поезда.
Документы, указанные в настоящем пункте, могут быть составлены на бумажном носителе и (или) в электронной форме.
5. Декларация на товары в виде электронного документа, по которой в информационных системах налоговых органов имеется уведомление таможенных органов о фактическом вывозе товаров, также является документом, подтверждающим экспорт товаров. При наличии декларации на товары в виде электронного документа, предусмотренной настоящим пунктом, представление документов, установленных абзацем восьмым подпункта 1) части первой пункта 4 настоящей статьи, не требуется.
Статья 469. Налогообложение реализации горюче-смазочных материалов, осуществляемой аэропортами, поставщиками услуг наземного обслуживания, розничными реализаторами нефтепродуктов при заправке воздушных судов иностранных авиакомпаний, выполняющих международные полеты, международные воздушные перевозки
1. Оборот по реализации горюче-смазочных материалов, осуществляемой аэропортами, поставщиками услуг наземного обслуживания, розничными реализаторами нефтепродуктов при заправке воздушных судов иностранных авиакомпаний, выполняющих международные полеты, международные воздушные перевозки, облагается по нулевой ставке.
Положения настоящей статьи применяются в отношении аэропортов, поставщиков услуг наземного обслуживания, розничных реализаторов нефтепродуктов, реализующих горюче-смазочные материалы при заправке воздушных судов иностранных авиакомпаний, выполняющих международные полеты, международные воздушные перевозки.
2. Для целей настоящей статьи:
1) иностранными авиакомпаниями признаются авиакомпании иностранных государств, включая государства - члены ЕАЭС;
2) международным полетом признается полет воздушного судна, при котором воздушное судно пересекает границу иностранного государства;
3) международной воздушной перевозкой признается воздушная перевозка, при выполнении которой пункты отправления и назначения независимо от того, имеется или нет перерыв в перевозке или перегрузке, расположены на:
территории двух или более государств;
территории одного государства, если предусмотрена остановка на территории другого государства.
Положение абзаца третьего настоящего подпункта не применяется, если пунктами отправления и назначения является территория Республики Казахстан.
3. Документами, подтверждающими обороты, облагаемые по нулевой ставке, при реализации горюче-смазочных материалов, осуществляемой аэропортами, поставщиками услуг наземного обслуживания, розничными реализаторами нефтепродуктов при заправке воздушных судов иностранных авиакомпаний, выполняющих международные полеты, международные воздушные перевозки, являются:
1) договор аэропорта, поставщика услуг наземного обслуживания, розничного реализатора нефтепродуктов с иностранной авиакомпанией, предусматривающий и (или) включающий реализацию горюче-смазочных материалов, - при осуществлении регулярных рейсов;
заявка иностранной авиакомпании и (или) договор (соглашение) аэропорта, поставщика услуг наземного обслуживания, розничного реализатора нефтепродуктов с иностранной авиакомпанией - при осуществлении нерегулярных рейсов.
При этом в заявке должны быть указаны следующие сведения:
наименование авиакомпании с указанием государства, в котором она зарегистрирована;
дата предполагаемой посадки воздушного судна.
При посадке иностранного воздушного судна вследствие форс-мажорных обстоятельств заявка, предусмотренная настоящим подпунктом, не заполняется.
Для целей настоящего подпункта:
регулярным рейсом признается рейс, выполняемый согласно расписанию, установленному и опубликованному авиакомпанией в порядке, определяемом законодательством Республики Казахстан об использовании воздушного пространства Республики Казахстан и деятельности авиации;
нерегулярным рейсом (полетом) признается рейс (полет), не являющийся регулярным и выполняемый для определенного заказчика с целью воздушной перевозки или без таковой;
2) расходный ордер или требование на заправку иностранного воздушного судна с отметкой таможенного органа, подтверждающего заправку горюче-смазочными материалами воздушного судна, в котором должны быть указаны следующие сведения:
наименование авиакомпании;
количество заправленных горюче-смазочных материалов;
дата заправки воздушного судна;
подписи командира воздушного судна или представителя иностранной авиакомпании и сотрудника соответствующей службы аэропорта, поставщика услуг наземного обслуживания, розничного реализатора нефтепродуктов, осуществившего заправку.
Положения настоящего подпункта не применяются при заправке воздушных судов авиакомпаний, выполняющих международные полеты, международные воздушные перевозки, в отношении которых в соответствии с таможенным законодательством ЕАЭС и (или) Республики Казахстан не предусмотрены таможенное оформление и таможенный контроль;
3) документ, подтверждающий факт оплаты за реализованные аэропортом, поставщиком услуг наземного обслуживания, розничным реализатором нефтепродуктов горюче-смазочные материалы;
4) заключение служащего уполномоченной организации в сфере гражданской авиации, участвующего в проведении тематической проверки по подтверждению достоверности сумм налога на добавленную стоимость, предъявленных к возврату, подтверждающее факт осуществления рейса воздушным судном иностранной авиакомпании и количество реализованных горюче-смазочных материалов (в разрезе авиакомпаний).
При этом заключение, предусмотренное настоящим подпунктом, представляется служащим уполномоченной организации в сфере гражданской авиации в случаях осуществления рейсов, в отношении которых в соответствии с таможенным законодательством ЕАЭС и (или) таможенным законодательством Республики Казахстан не предусмотрены таможенное оформление и таможенный контроль.
Статья 470. Налогообложение товаров, реализуемых на территорию специальной экономической зоны
1. Реализация на территорию специальной экономической зоны товаров, полностью потребляемых при осуществлении деятельности, отвечающей целям создания специальных экономических зон, по перечню товаров, определенных центральным исполнительным органом, осуществляющим государственное регулирование в сфере создания, функционирования и упразднения специальных экономических и индустриальных зон по согласованию с уполномоченным органом и уполномоченным органом в области налоговой политики, облагается налогом на добавленную стоимость по нулевой ставке.
При этом налогоплательщик имеет право применить ставку налога на добавленную стоимость в соответствии со статьей 503 настоящего Кодекса по товарам, указанным в части первой настоящего пункта.
Для целей настоящей статьи под товарами, указанными в части первой настоящего пункта, понимаются товары, помещаемые (помещенные) под таможенную процедуру свободной таможенной зоны и находящиеся под таможенным контролем.
2. Документами, подтверждающими обороты, облагаемые по нулевой ставке, при реализации товаров, полностью потребляемых при осуществлении деятельности, отвечающей целям создания специальных экономических зон, являются:
1) договор (контракт) на поставку товаров с организациями, осуществляющими деятельность на территориях специальных экономических зон, или лицом, заключившим соглашение об инвестициях;
2) копии декларации на товары и (или) транспортных (перевозочных), коммерческих и (или) иных документов с приложением перечня товаров с отметками таможенного органа, осуществляющего выпуск товаров по таможенной процедуре свободной таможенной зоны;
3) копии товаросопроводительных документов, подтверждающих отгрузку товаров организациям, указанным в подпункте 1) настоящего пункта;
4) копии документов, подтверждающих получение товаров организациями, указанными в подпункте 1) настоящего пункта.
3. Декларация на товары в виде электронного документа, полученная налоговыми органами по информационным каналам связи от таможенных органов, также является документом, подтверждающим обороты, облагаемые по нулевой ставке. При наличии декларации на товары в виде электронного документа, предусмотренной настоящим пунктом, представление копии декларации на товары, предусмотренной подпунктом 2) пункта 2 настоящей статьи, не требуется.
4. Возврат превышения налога на добавленную стоимость поставщикам товаров, реализуемых на территорию специальной экономической зоны, производится в части ввезенных товаров, фактически потребленных при осуществлении деятельности, отвечающей целям создания специальных экономических зон.
5. При определении суммы налога на добавленную стоимость, подлежащей возврату в соответствии с настоящей статьей, учитываются сведения таможенного органа, подтверждающие фактическое потребление ввезенных товаров при осуществлении деятельности, отвечающей целям создания специальных экономических зон, которые формируются на основе данных, представленных участником специальной экономической зоны или лицом, заключившим соглашение об инвестициях.
В случае невыполнения участником специальной экономической зоны или лицом, заключившим соглашение об инвестициях, условий, предусмотренных частью первой пункта 1 настоящей статьи, товары, помещенные под таможенную процедуру свободной таможенной зоны, признаются облагаемым импортом и подлежат обложению налогом на добавленную стоимость с даты ввоза товаров на территорию специальной экономической зоны с начислением пеней со срока, установленного для уплаты налога на добавленную стоимость на импортируемые товары, в порядке и размере, которые определены таможенным законодательством ЕАЭС и (или) таможенным законодательством Республики Казахстан.
Статья 471. Особенности налогообложения товаров, реализуемых на территорию специальной экономической зоны, пределы которой полностью или частично совпадают с участками таможенной границы ЕАЭС
1. Реализация на территорию специальной экономической зоны, пределы которой полностью или частично совпадают с участками таможенной границы ЕАЭС, товаров, потребляемых или реализуемых при осуществлении деятельности, отвечающей целям создания такой специальной экономической зоны, облагается налогом на добавленную стоимость по нулевой ставке.
Для целей настоящей статьи под товарами, указанными в части первой настоящего пункта, понимаются товары, помещаемые (помещенные) под таможенную процедуру свободной таможенной зоны и находящиеся под таможенным контролем.
2. Документами, подтверждающими обороты, облагаемые по нулевой ставке, при реализации товаров, потребляемых или реализуемых при осуществлении деятельности, отвечающей целям создания специальной экономической зоны, пределы которой полностью или частично совпадают с участками таможенной границы ЕАЭС, являются:
1) договор (контракт) на поставку товаров с организациями и (или) лицами, осуществляющими деятельность на территории специальной экономической зоны, пределы которой полностью или частично совпадают с участками таможенной границы ЕАЭС;
2) копии декларации на товары и (или) транспортных (перевозочных), коммерческих и (или) иных документов с приложением перечня товаров с отметками таможенного органа, осуществляющего выпуск товаров по таможенной процедуре свободной таможенной зоны;
3) копии товаросопроводительных документов, подтверждающих отгрузку товаров организациям и (или) лицам, указанным в подпункте 1) настоящего пункта;
4) копии документов, подтверждающих получение товаров организациями и (или) лицами, указанными в подпункте 1) настоящего пункта.
3. Возврат превышения налога на добавленную стоимость поставщикам товаров, реализуемых на территорию специальной экономической зоны, пределы которой полностью или частично совпадают с участками таможенной границы ЕАЭС, производится в части ввезенных товаров, фактически потребленных при осуществлении деятельности, отвечающей целям создания специальных экономических зон.
4. При определении суммы налога на добавленную стоимость, подлежащей возврату в соответствии с настоящей статьей, учитываются сведения таможенного органа, подтверждающие реализацию или фактическое потребление ввезенных товаров при осуществлении деятельности, отвечающей целям создания специальной экономической зоны, которые формируются на основе данных, представленных участником специальной экономической зоны.
В случае невыполнения участником специальной экономической зоны условий, предусмотренных частью первой пункта 1 настоящей статьи, товары, помещенные под таможенную процедуру свободной таможенной зоны, признаются облагаемым импортом и подлежат обложению налогом на добавленную стоимость с даты ввоза товаров на территорию специальной экономической зоны, пределы которой полностью или частично совпадают с участками таможенной границы ЕАЭС, с начислением пеней со срока, установленного для уплаты налога на добавленную стоимость на импортируемые товары, в порядке и размере, которые определены таможенным законодательством ЕАЭС и (или) таможенным законодательством Республики Казахстан.
Статья 472. Оборот по реализации аффинированного золота
1. Оборот по реализации налогоплательщиками, являющимися субъектами производства драгоценных металлов и лицами, ставшими собственниками аффинированного золота в результате его переработки, Национальному Банку аффинированного золота из сырья собственного производства для пополнения активов в драгоценных металлах облагается налогом на добавленную стоимость по нулевой ставке.
2. Документами, подтверждающими оборот, облагаемый по нулевой ставке, указанный в пункте 1 настоящей статьи, являются:
1) договор об общих условиях купли-продажи аффинированного золота для пополнения активов в драгоценных металлах, заключенный между налогоплательщиком и Национальным Банком;
2) копии документов, подтверждающих стоимость аффинированного золота, реализованного Национальному Банку;
3) копии документов, подтверждающих получение аффинированного золота Национальным Банком с указанием количества аффинированного золота.
В целях настоящей статьи под сырьем собственного производства понимается сырье, добытое налогоплательщиком самостоятельно или приобретенное им в собственность с целью переработки.
Статья 473. Налогообложение в отдельных случаях
1. Облагается налогом на добавленную стоимость по нулевой ставке оборот по реализации товаров собственного производства налогоплательщикам, осуществляющим на территории Республики Казахстан деятельность в рамках контракта на недропользование, соглашения (контракта) о разделе продукции, в соответствии с условиями которых освобождаются от налога на добавленную стоимость импортируемые товары.
В случае, если контрактом на недропользование, соглашением (контрактом) о разделе продукции определен перечень импортируемых товаров, освобождаемых от налога на добавленную стоимость, по нулевой ставке облагаются обороты по реализации товаров, указанных в этом перечне.
В целях настоящей статьи товаром собственного производства признается продукт (товар), произведенный налогоплательщиком, на который имеется сертификат происхождения.
Перечень налогоплательщиков, указанных в части первой настоящего пункта, утверждается уполномоченным органом в области углеводородов по согласованию с уполномоченным органом и уполномоченным органом в области налоговой политики.
2. Облагается налогом на добавленную стоимость по нулевой ставке оборот по реализации нестабильного конденсата, добытого и реализованного недропользователем, осуществляющим деятельность в рамках контракта на недропользование, указанного в пункте 1 статьи 755 настоящего Кодекса, с территории Республики Казахстан на территорию других государств - членов ЕАЭС.
Перечень налогоплательщиков, указанных в настоящем пункте, утверждается уполномоченным органом в области углеводородов по согласованию с уполномоченным органом и уполномоченным органом в области налоговой политики.
3. Облагается налогом на добавленную стоимость по нулевой ставке оборот по реализации налогоплательщиком, осуществляющим деятельность в рамках межправительственного соглашения о сотрудничестве в газовой отрасли, на территории другого государства - члена ЕАЭС продуктов переработки из давальческого сырья, ранее вывезенного этим налогоплательщиком с территории Республики Казахстан и переработанного на территории такого другого государства - члена ЕАЭС.
Перечень налогоплательщиков, указанных в настоящем пункте, утверждается уполномоченным органом в области углеводородов по согласованию с уполномоченным органом и уполномоченным органом в области налоговой политики.
4. Документами, подтверждающими реализацию товаров налогоплательщикам, указанным в пункте 1 настоящей статьи, являются:
1) договор на поставку товаров налогоплательщикам, осуществляющим на территории Республики Казахстан деятельность в рамках контракта на недропользование, соглашения (контракта) о разделе продукции, в соответствии с условиями которых освобождаются от налога на добавленную стоимость импортируемые товары, с указанием в нем, что поставляемые товары предназначены для выполнения рабочей программы контракта на недропользование, соглашения (контракта) о разделе продукции;
2) копии товаросопроводительных документов, подтверждающих отгрузку товаров налогоплательщикам;
3) копии документов, подтверждающих получение товаров налогоплательщиками.
5. Документами, подтверждающими реализацию нестабильного конденсата, указанного в пункте 2 настоящей статьи, являются:
1) договор (контракт) на поставку нестабильного конденсата, вывезенного (вывозимого) с территории Республики Казахстан на территорию других государств - членов ЕАЭС;
2) акт снятия показаний с приборов учета количества реализованного нестабильного конденсата по системе трубопроводов;
3) акт приема-сдачи нестабильного конденсата, вывезенного с территории Республики Казахстан на территорию других государств - членов ЕАЭС по системе трубопроводов.
Порядок снятия показаний с приборов учета количества реализованного нестабильного конденсата по системе трубопроводов определяется уполномоченным органом в области углеводородов.
6. Документами, подтверждающими реализацию товаров, указанных в пункте 3 настоящей статьи, являются:
1) договоры (контракты) на переработку давальческого сырья;
2) договоры (контракты), на основании которых осуществляется реализация продуктов переработки;
3) документы, подтверждающие факт выполнения работ по переработке давальческого сырья;
4) копии товаросопроводительных документов, подтверждающих вывоз давальческого сырья с территории Республики Казахстан на территорию другого государства - члена ЕАЭС.
В случае вывоза давальческого сырья по системе магистральных трубопроводов вместо копий товаросопроводительных документов представляется акт приема-сдачи такого давальческого сырья;
5) документы, подтверждающие отгрузку продуктов переработки их покупателю - налогоплательщику государства - члена ЕАЭС, на территории которого осуществлялась переработка давальческого сырья;
6) документы, подтверждающие поступление валютной выручки по реализованным продуктам переработки на банковские счета налогоплательщика в банках второго уровня на территории Республики Казахстан, открытые в порядке, определенном законодательством Республики Казахстан;
7) заключение соответствующего уполномоченного государственного органа об условиях переработки товаров на территории государства - члена ЕАЭС, предусмотренное пунктом 8 статьи 523 настоящего Кодекса.
При определении суммы превышения налога на добавленную стоимость, подлежащей возврату, учитываются результаты проверки, осуществленной в отношении покупателя продуктов переработки налоговой службой государства - члена ЕАЭС по запросу налогового органа Республики Казахстан.
Глава 48. НЕОБЛАГАЕМЫЙ ОБОРОТ И НЕОБЛАГАЕМЫЙ ИМПОРТ
Статья 474. Обороты по реализации товаров, работ, услуг, освобожденные от налога на добавленную стоимость
Освобождаются от налога на добавленную стоимость обороты по реализации следующих товаров, работ, услуг, местом реализации которых является Республика Казахстан:
1) указанных в статьях 475 - 478 настоящего Кодекса;
2) услуг по предоставлению государственной исламской специальной финансовой компанией во временное владение и пользование по договорам имущественного найма (аренды) зданий, сооружений, приобретенных по договорам, заключенным в соответствии с условиями выпуска государственных исламских ценных бумаг, и земельных участков, занятых таким имуществом;
3) имущества в виде выигрышей, выдаваемых оператором лотереи участнику лотереи;
4) услуг по переработке и (или) ремонту товаров, ввезенных на таможенную территорию ЕАЭС с помещением под таможенную процедуру переработки на таможенной территории;
5) услуг в рамках деятельности объединения собственников имущества многоквартирного жилого дома, кооператива собственников квартир (нежилых помещений) по управлению объектом кондоминиума, осуществляемых в соответствии с жилищным законодательством Республики Казахстан;
6) банкнот и монет национальной валюты;
7) товаров, работ, услуг, если в налоговом периоде, в котором осуществлена реализация, а также за четыре предшествующих налоговых периода соблюдаются одновременно следующие условия:
средняя численность лиц с инвалидностью составляет не менее 51 процента от общего числа работников;
расходы по оплате труда лиц с инвалидностью составляют не менее 51 процента от общих расходов по оплате труда.
При этом положения настоящего подпункта применяются, если численность работников, являющихся лицами с инвалидностью, составляет не менее 10 человек и производство товаров, оказание услуг, выполнение работ осуществлены с участием таких работников.
Положения настоящего подпункта не применяются к оборотам по реализации подакцизных товаров.
В отношении оборотов по реализации в рамках долгосрочных контрактов положения настоящего подпункта применяются при соблюдении условий, установленных настоящим пунктом, в течение всего периода действия такого контракта;
8) работ, услуг по безвозмездному ремонту и (или) техническому обслуживанию товаров в период установленного сделкой гарантийного срока их эксплуатации, включая стоимость запасных частей и деталей к ним, если условиями сделки предусмотрено предоставление налогоплательщиком гарантии качества реализованных товаров, выполненных работ, оказанных услуг;
9) если иное не установлено статьей 472 настоящего Кодекса, инвестиционного золота в виде слитков и пластин на основании сделки, заключенной на фондовой бирже, либо если одной из сторон такой сделки является банк второго уровня, уполномоченная организация, которая в соответствии с Законом Республики Казахстан «О валютном регулировании и валютном контроле» имеет право на осуществление через свои обменные пункты покупки и (или) продажи аффинированного золота в слитках, выпущенных Национальным Банком, юридическое лицо - профессиональный участник рынка ценных бумаг или Национальный Банк;
10) услуг туроператора по въездному и внутреннему туризму;
11) вознаграждений по кредиту (займу, микрокредиту) в денежной форме на условиях платности, срочности и возвратности;
12) товаров, помещенных под таможенную процедуру беспошлинной торговли;
13) лома и отходов цветных и черных металлов;
14) услуг по проведению религиозными объединениями религиозных обрядов и церемоний в соответствии с законодательством Республики Казахстан;
15) предметов религиозного назначения религиозными объединениями, зарегистрированными в Республике Казахстан.
Перечень товаров, указанных в части первой настоящего подпункта, и критерии его формирования утверждаются Правительством Республики Казахстан;
16) ритуальных услуг похоронных бюро, услуг кладбищ и крематориев;
17) специальных социальных услуг, осуществляемых некоммерческими организациями в соответствии с законодательством Республики Казахстан о социальной защите;
18) услуг по проведению социально значимых мероприятий в области культуры, зрелищных культурно-массовых мероприятий, осуществляемых в рамках государственного задания в соответствии с законодательством Республики Казахстан о культуре;
19) услуг по осуществлению музеями культурных, образовательных, научно-исследовательских функций и обеспечению популяризации историко-культурного наследия Республики Казахстан;
20) услуг по осуществлению библиотеками информационных, культурных, образовательных функций;
21) услуг и работ в сфере культуры и образования, осуществляемых театрами, филармониями, культурно-досуговыми организациями;
22) научно-реставрационных работ на памятниках истории и культуры, проводимых на основании лицензии на право осуществления данного подвида деятельности;
23) образовательных услуг в сфере дошкольного воспитания и обучения;
24) услуг по дополнительному образованию, оказываемых организацией образования, имеющей лицензию на занятие образовательной деятельностью;
25) образовательных услуг, осуществляемых по лицензиям на занятие образовательной деятельностью;
26) услуг автономных организаций образования по осуществлению образовательной деятельности по установленным законами Республики Казахстан следующим уровням образования:
начальная школа, включающая дошкольное воспитание и обучение;
основная школа;
старшая школа;
послесреднее образование;
высшее образование;
послевузовское образование;
27) услуг дополнительного образования, оказываемых автономными организациями образования, осуществляющими образовательную деятельность в соответствии с подпунктом 26) настоящего пункта;
28) лекарственных средств и медицинских услуг, в том числе оказываемых в комплексе, в соответствии с законодательством Республики Казахстан субъектом здравоохранения, имеющим лицензию на медицинскую деятельность:
в рамках гарантированного объема бесплатной медицинской помощи и обязательного медицинского страхования;
для лечения орфанных и социально значимых заболеваний.
Перечень лекарственных средств и медицинских услуг, указанных в настоящем подпункте, устанавливается Правительством Республики Казахстан;
29) транспортных средств и (или) сельскохозяйственной техники, а также их компонентов при одновременном соблюдении следующих условий:
в состав реализуемого транспортного средства и (или) сельскохозяйственной техники, а также их компонентов входят ранее ввезенные сырье и (или) материалы, а также их компоненты, которые освобождаются от налога на добавленную стоимость в соответствии с подпунктом 9) пункта 1 статьи 479 или подпунктом 3) пункта 2 статьи 525 настоящего Кодекса;
ввоз сырья и (или) материалов, а также компонентов в составе реализуемого транспортного средства и (или) сельскохозяйственной техники, а также их компонентов осуществлен юридическим лицом, реализующим указанные транспортные средства и (или) сельскохозяйственную технику, а также их компоненты;
транспортные средства и (или) сельскохозяйственная техника, а также их компоненты включены в перечень транспортных средств и (или) сельскохозяйственной техники, а также их компонентов, реализация которых освобождается от налога на добавленную стоимость, утвержденный уполномоченным органом в области государственной поддержки инновационной деятельности по согласованию с центральным уполномоченным органом по государственному планированию и уполномоченным органом;
30) товаров, работ и услуг, реализуемых на территории специальной экономической зоны, пределы которой полностью или частично совпадают с участками таможенной границы ЕАЭС;
31) научно-исследовательских работ, проводимых на основании договоров на осуществление государственного задания, а также договоров государственного заказа по приоритетным направлениям в соответствии с законодательством Республики Казахстан о науке и технологической политике;
32) услуг, оказываемых физкультурно-спортивными организациями на основании договоров на осуществление государственного задания;
33) товаров, производимых и реализуемых участниками «Астана-Хаб», соответствующими условиям статьи 17 настоящего Кодекса;
34) работ, услуг, реализуемых участниками «Астана-Хаб», соответствующими условиям статьи 17 настоящего Кодекса;
35) товаров, произведенных и реализуемых при осуществлении приоритетных видов деятельности на территории специальных экономических зон при одновременном соблюдении следующих условий:
наличие договора (контракта) на поставку товаров с организациями, осуществляющими деятельность на территории специальных экономических зон Республики Казахстан;
наличие документов, подтверждающих отгрузку товаров участнику специальной экономической зоны;
наличие документов, подтверждающих получение товаров покупателем - участником специальной экономической зоны;
36) транспортных средств и (или) сельскохозяйственной техники юридическим лицом, являющимся уполномоченным представителем производителя транспортных средств и (или) сельскохозяйственной техники, при условии, что реализуемые транспортные средства и (или) сельскохозяйственная техника приобретены у производителя без налога на добавленную стоимость в соответствии с подпунктом 29) части первой настоящей статьи.
В целях применения настоящего подпункта уполномоченным представителем производителя транспортных средств и (или) сельскохозяйственной техники признается юридическое лицо, назначенное уполномоченным представителем в рамках сделки, заключенной с производителем транспортных средств и (или) сельскохозяйственной техники, и включенное в перечень уполномоченных представителей, применяющих освобождение от налога на добавленную стоимость при реализации транспортных средств и (или) сельскохозяйственной техники, приобретенных у их производителя.
Перечень уполномоченных представителей, применяющих освобождение от налога на добавленную стоимость при реализации транспортных средств и (или) сельскохозяйственной техники, приобретенных у их производителя, утверждается уполномоченным органом в области государственного стимулирования промышленности;
37) услуг назначенного оператора, оформленных едиными документами в соответствии с актами Всемирного почтового союза, по транзиту международных почтовых отправлений назначенных операторов других стран - членов Всемирного почтового союза через территорию Республики Казахстан;
38) товаров, работ, услуг на безвозмездной основе в рамках благотворительной помощи некоммерческой организацией, созданной в форме фонда, в соответствии с гражданским законодательством Республики Казахстан;
39) аффинированного золота и (или) серебра субъектами производства драгоценных металлов субъектам производства ювелирных и других изделий, осуществляющим деятельность на территории Республики Казахстан;
40) бытовых приборов и (или) приборов бытовой электроники, а также их компонентов, включенных в перечень, утвержденный уполномоченным органом в области государственного стимулирования промышленности по согласованию с центральным уполномоченным органом по государственному планированию и уполномоченным органом, при соблюдении следующих условий:
для производителя бытовых приборов и (или) приборов бытовой электроники, а также их компонентов - в состав реализуемого бытового прибора и (или) прибора бытовой электроники, а также их компонентов входят ранее ввезенные сырье и (или) материалы, которые освобождаются от налога на добавленную стоимость в соответствии с пунктом 2 статьи 479 или пунктом 5 статьи 525 настоящего Кодекса;
для уполномоченного представителя производителя бытовых приборов и (или) приборов бытовой электроники, а также их компонентов - бытовые приборы и (или) приборы бытовой электроники, а также их компоненты приобретены у производителя без налога на добавленную стоимость в соответствии с настоящим подпунктом;
для иных лиц, реализующих бытовые приборы и (или) приборы бытовой электроники, а также их компоненты - указанные бытовые приборы и (или) приборы бытовой электроники, а также их компоненты приобретены у производителя или уполномоченного представителя без налога на добавленную стоимость в соответствии с настоящим подпунктом.
В целях применения настоящего подпункта уполномоченным представителем производителя бытовых приборов и (или) приборов бытовой электроники, а также их компонентов и иным лицом, реализующим бытовые приборы и (или) приборы бытовой электроники, а также их компоненты, признается юридическое лицо, включенное в перечень уполномоченных представителей и иных лиц, реализующих бытовые приборы и (или) приборы бытовой электроники.
Перечень уполномоченных представителей и иных лиц, реализующих бытовые приборы и (или) приборы бытовой электроники, применяющих освобождение от налога на добавленную стоимость в соответствии с настоящим подпунктом, утверждается уполномоченным органом в области государственного стимулирования промышленности;
41) эксплуатации концессионером объекта концессии, находящегося в государственной собственности, с применением платы за доступность по концессионным проектам особой значимости, перечень которых определяется Правительством Республики Казахстан;
42) управления концессионером объектом концессии с применением платы за доступность по концессионным проектам особой значимости, перечень которых определяется Правительством Республики Казахстан;
43) получения операторами расширенных обязательств производителей (импортеров) платы за организацию сбора, транспортировки, подготовки к повторному использованию, переработки, обезвреживания и (или) утилизации отходов;
44) получения предприятиями финансирования в рамках стимулирования производства в Республике Казахстан экологически чистых автомобильных транспортных средств (соответствующих экологическому классу, установленному техническим регламентом ЕАЭС; с электродвигателями) и их компонентов;
45) учетно-контрольных марок, предназначенных для маркировки подакцизных товаров в соответствии со статьей 175 настоящего Кодекса;
46) книг отечественного издания, услуг по изданию книг в печатном виде;
47) археологических работ;
48) товаров, работ, услуг, реализуемых организацией, специализирующейся на улучшении качества кредитных портфелей банков второго уровня, единственным акционером которой является Правительство Республики Казахстан, по деятельности, определенной статьей 5-1 Закона Республики Казахстан «О банках и банковской деятельности в Республике Казахстан».
Статья 475. Обороты, связанные с международными перевозками
1. Освобождаются от налога на добавленную стоимость обороты по реализации следующих работ, услуг, связанных с перевозками, являющимися международными в соответствии со статьями 468 и 522 настоящего Кодекса, местом реализации которых является Республика Казахстан:
1) погрузка, разгрузка, перегрузка (слив, налив, передача продукции в другие магистральные трубопроводы, перевалка на другой вид транспорта);
2) перестановка вагонов на тележки или колесные пары другой ширины колеи при пересечении таможенной границы государств - членов ЕАЭС;
3) экспедирование товаров, в том числе почты, экспортируемых с территории Республики Казахстан, импортируемых на территорию Республики Казахстан, а также транзитных грузов;
4) услуги оператора вагонов (контейнеров);
5) услуги аэродромного и наземного обслуживания по реализации товаров, работ, услуг, входящих в состав аэропортовской деятельности в соответствии с законодательством Республики Казахстан об использовании воздушного пространства Республики Казахстан и деятельности авиации;
6) услуги морских портов по обслуживанию международных рейсов;
7) универсальные услуги почтовой связи;
8) услуги по пересылке регистрируемых почтовых отправлений.
2. В целях настоящего раздела услугами оператора вагонов (контейнеров) являются следующие услуги, оказываемые им в комплексе в целях организации перевозки грузов и предоставляемые оператором вагонов (контейнеров), указанным в перевозочном документе в качестве участника перевозочного процесса:
1) формирование плана предоставления в пользование вагонов (контейнеров) и его согласование между участниками перевозочного процесса;
2) предоставление в пользование вагонов (контейнеров);
3) диспетчеризация путем централизованного оперативного контроля и дистанционного управления фактическим движением груженых и порожних вагонов (контейнеров).
Статья 476. Обороты по реализации, связанные с землей и жилыми зданиями
1. Освобождаются от налога на добавленную стоимость:
1) реализация жилого здания (части жилого здания), строительство которого начато и (или) приемка в эксплуатацию которого осуществлена до 1 января 2026 года, кроме части жилого здания, состоящей исключительно из нежилых помещений. Положения настоящего подпункта применяются лицом, осуществляющим (осуществлявшим) строительство такого жилого здания (части жилого здания);
2) передача в аренду жилого здания (части жилого здания) по договору долгосрочной аренды жилища с правом выкупа, заключенному до 1 января 2026 года;
3) реализация студенческих и школьных общежитий, детских домов отдыха;
4) услуги по организации проживания в студенческих и школьных общежитиях, рабочих поселках, детских домах отдыха, железнодорожных спальных вагонах.
2. Передача права владения и (или) пользования, и (или) распоряжения земельным участком, и (или) аренда земельного участка (земельной доли), в том числе субаренда, освобождаются от налога на добавленную стоимость, за исключением:
1) передачи права владения и (или) пользования, и (или) распоряжения, и (или) аренды земельного участка (земельной доли), предоставленного (предоставленной) и (или) используемого (используемой) для размещения платных автостоянок (автопарковок);
2) передачи права владения и (или) пользования, и (или) распоряжения земельным участком (земельной доли) при реализации части жилого здания, состоящей исключительно из нежилых помещений;
3) передачи права владения и (или) пользования, и (или) распоряжения земельным участком (земельной доли) при реализации жилого здания (части жилого здания), подлежащего обложению налогом на добавленную стоимость с учетом положений пункта 1 настоящей статьи.
Статья 477. Обороты по реализации финансовых операций, освобождаемые от налога на добавленную стоимость
1. Освобождаются от налога на добавленную стоимость финансовые операции, предусмотренные пунктом 2 настоящей статьи.
2. К финансовым операциям, освобождаемым от налога на добавленную стоимость, относятся:
1) операции с ценными бумагами;
2) услуги профессиональных участников рынка ценных бумаг, а также лиц, осуществляющих профессиональную деятельность на рынке ценных бумаг без лицензии в соответствии с законодательством Республики Казахстан о разрешениях и уведомлениях;
3) операции с производными финансовыми инструментами;
4) операции по страхованию (перестрахованию), а также услуги страховых брокеров (страховых агентов) по заключению и исполнению договоров страхования (перестрахования);
5) деятельность по управлению активами ГФСС;
6) услуги по управлению правами требования по ипотечным жилищным займам;
7) реализация доли участия;
8) выдача кредитным товариществом своим участникам гарантий, поручительств и иных обязательств, предусматривающих исполнение в денежной форме, за участников кредитного товарищества;
9) реализация инвестиционного золота через металлические счета, открытые в банках второго уровня, а также в Национальном Банке для категории юридических лиц, обслуживаемых в Национальном Банке;
10) уступка права требования по кредитам (займам, микрокредитам);
11) операции, указанные в пункте 3 настоящей статьи;
12) услуги единого накопительного пенсионного фонда и добровольных накопительных пенсионных фондов по привлечению пенсионных взносов и добровольных пенсионных взносов, распределению и зачислению полученного инвестиционного дохода от пенсионных активов;
13) гарантирование обязательств субъектов частного предпринимательства, осуществляемое специальным фондом развития частного предпринимательства в рамках системы гарантирования обязательств субъектов частного предпринимательства;
14) услуги фонда социального медицинского страхования по аккумулированию отчислений и взносов на обязательное социальное медицинское страхование, осуществлению закупа услуг у субъектов здравоохранения по оказанию медицинской помощи, реализации иных функций, определенных законами Республики Казахстан;
15) обменные операции с иностранной валютой, включая обменные операции с наличной иностранной валютой;
16) операции с платежными карточками.
3. Освобождается от налога на добавленную стоимость сумма наценки на товар, реализуемый исламским банком покупателю, которая определяется условиями договора о коммерческом кредите, заключенного в соответствии с банковским законодательством Республики Казахстан.
Положения настоящего пункта применяются в случае передачи исламским банком имущества в соответствии с банковским законодательством Республики Казахстан в рамках финансирования физических и юридических лиц в качестве торгового посредника путем предоставления коммерческого кредита:
1) без условия о последующей продаже товара третьему лицу;
2) на условиях последующей продажи товара третьему лицу.
Положения настоящего пункта не распространяются на случаи реализации исламским банком товара третьему лицу при отказе покупателя от исполнения договора о коммерческом кредите.
4. Освобождаются от налога на добавленную стоимость услуги по организационному и техническому обеспечению торгов, выпуску, обращению и хранению цифровых активов, оказываемых биржей цифровых активов, имеющих разрешение на осуществление деятельности на территории МФЦА.
Статья 478. Передача имущества в финансовый лизинг
1. Передача имущества в финансовый лизинг освобождается от налога на добавленную стоимость в части суммы вознаграждения, подлежащего получению лизингодателем, если такая передача соответствует требованиям, установленным статьей 213 настоящего Кодекса.
2. Передача имущества в финансовый лизинг, соответствующая требованиям статьи 213 настоящего Кодекса, освобождается от налога на добавленную стоимость в части суммы всех периодических лизинговых платежей без учета суммы вознаграждения при соблюдении одного из следующих условий:
1) передаваемое имущество приобретено без налога на добавленную стоимость в соответствии с подпунктом 29) части первой статьи 474 настоящего Кодекса;
2) передаваемое имущество импортировано с уплатой налога на добавленную стоимость методом зачета в соответствии со статьями 508 или 509 настоящего Кодекса.
Статья 479. Импорт, освобождаемый от налога на добавленную стоимость
1. Освобождается от налога на добавленную стоимость импорт:
1) банкнот и монет национальной и иностранной валюты (кроме банкнот и монет, представляющих собой культурно-историческую ценность), а также ценных бумаг;
2) сырья для производства денежных знаков, осуществляемый Национальным Банком и его организациями, при наличии подтверждения Национального Банка о предназначении ввозимого сырья для производства денежных знаков;
3) товаров, осуществляемый физическими лицами по нормам беспошлинного ввоза товаров, утвержденным в соответствии с таможенным законодательством ЕАЭС и (или) таможенным законодательством Республики Казахстан;
4) товаров, ввезенных для официального пользования иностранными дипломатическими и приравненными к ним представительствами иностранного государства, консульскими учреждениями иностранного государства, аккредитованными в Республике Казахстан, а также для личного пользования лицами, относящимися к дипломатическому и административно-техническому персоналу этих представительств, включая членов их семей, проживающих вместе с ними, консульскими должностными лицами, консульскими служащими, включая членов их семей, проживающих вместе с ними, и освобождаемых от налога на добавленную стоимость в соответствии с международными договорами, ратифицированными Республикой Казахстан.
Для целей освобождения от налога на добавленную стоимость предоставляется подтверждение дипломатических или приравненных к ним представительств или консульских учреждений о ввозе товара;
5) товаров, подлежащих таможенному декларированию в соответствии с таможенным законодательством ЕАЭС и (или) таможенным законодательством Республики Казахстан, с помещением под таможенную процедуру, предусматривающую освобождение от уплаты налогов;
6) космических объектов, оборудования объектов наземной космической инфраструктуры, ввозимых участниками космической деятельности, перечень которых определен Правительством Республики Казахстан. Положения настоящего подпункта применяются на основании подтверждения уполномоченного органа в области космической деятельности о ввозе таких космических объектов и оборудования для целей космической деятельности, форма которого утверждается Правительством Республики Казахстан.
При этом при реализации или передаче в иной форме указанных товаров лицам, не участвующим в международном сотрудничестве в области исследования и использования космического пространства, в том числе оказания услуг по запуску космических аппаратов, налог на добавленную стоимость подлежит уплате с начислением пеней со срока, установленного для уплаты налога на добавленную стоимость на импортируемые товары, в порядке и размере, которые определены таможенным законодательством ЕАЭС и (или) таможенным законодательством Республики Казахстан;
7) инвестиционного золота, импортируемого Национальным Банком, банком второго уровня или юридическим лицом - профессиональным участником рынка ценных бумаг;
8) предметов религиозного назначения, ввозимых религиозными объединениями, зарегистрированными в Республике Казахстан.
Перечень указанных товаров и критерии его формирования утверждаются Правительством Республики Казахстан;
9) сырья и (или) материалов в составе транспортных средств и (или) сельскохозяйственной техники, а также их компонентов, помещенных под таможенную процедуру свободного склада или свободной таможенной зоны специальной экономической зоны «Qyzyljar» юридическим лицом в рамках заключенного специального инвестиционного контракта с уполномоченным органом по заключению специальных инвестиционных контрактов, определяемым Правительством Республики Казахстан, при соблюдении следующих условий:
в отношении производителей транспортных средств - наличие соглашения о промышленной сборке моторных транспортных средств или соглашения о промышленной сборке транспортных средств с уполномоченным органом в области государственной поддержки инновационной деятельности;
в отношении производителей сельскохозяйственной техники - наличие соглашения о промышленной сборке сельскохозяйственной техники с уполномоченным органом в области государственной поддержки инновационной деятельности;
в отношении производителей компонентов - наличие соглашения о промышленной сборке компонентов к транспортным средствам и (или) сельскохозяйственной технике с уполномоченным органом в области государственной поддержки инновационной деятельности;
10) необработанных драгоценных металлов, лома и отходов драгоценных металлов и сырьевых товаров, содержащих драгоценные металлы, если они:
ввезены юридическим лицом, включенным в перечень субъектов производства драгоценных металлов в соответствии с Законом Республики Казахстан «О драгоценных металлах и драгоценных камнях»;
используются исключительно при производстве аффинированного золота для реализации Национальному Банку;
11) товаров, ввезенных налогоплательщиками, являющимися участниками «Астана Хаб», при одновременном соответствии следующим условиям:
товары включены в перечень товаров, импорт которых освобождается от налога на добавленную стоимость, утвержденный уполномоченным органом в сфере информатизации по согласованию с центральным уполномоченным органом по государственному планированию и уполномоченным органом;
ввоз товаров оформлен документами в соответствии с таможенным законодательством ЕАЭС и (или) таможенным законодательством Республики Казахстан;
товары ввезены исключительно в целях использования при осуществлении приоритетных видов деятельности в области информационно-коммуникационных технологий по перечню, утверждаемому уполномоченным органом в сфере информатизации по согласованию с центральным уполномоченным органом по государственному планированию, уполномоченным органом области технического регулирования и уполномоченным органом;
12) товаров, ввезенных оператором в сфере официальной помощи развитию в рамках программы официальной помощи развитию в соответствии с Законом Республики Казахстан «Об официальной помощи развитию»;
13) товаров, за исключением подакцизных, ввозимых в качестве гуманитарной помощи, соответствующей Закону Республики Казахстан «О гражданской защите».
При импорте товаров, указанных в настоящем подпункте, для целей освобождения от налога на добавленную стоимость представляются:
товаросопроводительные документы, содержащие информацию о ввозе товара с указанием цели ввоза товара на безвозмездной основе;
копия международного договора, ратифицированного Республикой Казахстан (при наличии), в рамках которого осуществляется ввоз товаров на безвозмездной основе;
документ отправителя товара, свидетельствующий направление товара в качестве гуманитарной помощи (в том числе составленный на иностранном языке) или подтверждение дипломатических или приравненных к ним представительств или консульских учреждений, или международных организаций или их представительств, иных организаций или их представительств о ввозе товара с указанием цели ввоза товара на безвозмездной основе - в качестве гуманитарной помощи;
14) товаров, за исключением подакцизных, ввозимых по линии государств, правительств государств, международных организаций в целях благотворительной помощи, оказания технического содействия.
При импорте товаров, указанных в настоящем подпункте, для целей освобождения от налога на добавленную стоимость представляются:
товаросопроводительный документ, содержащий информацию о ввозе товара с указанием цели ввоза товара на безвозмездной основе;
копия международного договора, ратифицированного Республикой Казахстан (при наличии), в рамках которого осуществляется ввоз товаров на безвозмездной основе;
документ, составленный отправителем товара, подтверждающий факт безвозмездной передачи товаров с указанием цели ввоза товара на безвозмездной основе;
копия проекта (контракта) по техническому содействию, для выполнения которого поставляются товары;
15) товаров, осуществляемый за счет средств грантов, предоставленных по линии государств, правительств государств и международных организаций.
При импорте товаров, указанных в настоящем подпункте, для целей освобождения от налога на добавленную стоимость представляются:
копия международного договора Республики Казахстан (при его наличии), заключенного с иностранным государством (или государствами) либо с международной организацией;
подтверждение международной организации об импорте товаров за счет средств предоставленного ею гранта - в случае предоставления гранта такой международной организацией без заключения международного договора;
товаросопроводительные документы, содержащие информацию о ввозе товара и ссылки на международный договор (при его наличии);
подтверждение бенефициара (грантополучателя) о ввозимом товаре;
16) технологического оборудования, комплектующих и запасных частей к нему в рамках соглашения о переработке твердых полезных ископаемых при одновременном соответствии следующим условиям:
перечень технологического оборудования, комплектующих и запасных частей к нему установлены в соглашении о переработке твердых полезных ископаемых, заключенном с компетентным органом в сфере недропользования;
ввоз технологического оборудования, комплектующих и запасных частей к нему оформлен документами, предусмотренными таможенным законодательством ЕАЭС и (или) таможенным законодательством Республики Казахстан;
ввезенные технологическое оборудование, комплектующие и запасные части к нему будут использованы плательщиком налога на добавленную стоимость в пределах срока исковой давности исключительно при осуществлении деятельности в рамках соглашения о переработке твердых полезных ископаемых.
Освобождение от налога на добавленную стоимость при импорте технологического оборудования и комплектующих к нему предоставляется на срок действия соглашения о переработке твердых полезных ископаемых, но не более пяти лет с момента регистрации соглашения о переработке твердых полезных ископаемых;
17) лекарственных средств в рамках гарантированного объема бесплатной медицинской помощи и обязательного медицинского страхования, а также для лечения орфанных и социально значимых заболеваний.
Перечень лекарственных средств, указанных в настоящем подпункте, а также порядок применения освобождения от налога на добавленную стоимость при их импорте устанавливаются Правительством Республики Казахстан;
18) горюче-смазочных материалов, используемых воздушным судном при совершении воздушной перевозки.
По товарам, указанным в настоящем пункте, вместо товаросопроводительных документов предоставляется подтверждение дипломатических или приравненных к ним представительств или консульских учреждений о ввозе товара с указанием цели ввозимого товара на безвозмездной основе.
Товары, указанные в настоящем пункте, используются в целях, в соответствии с которыми предоставлено освобождение от налога на добавленную стоимость. В случае использования указанных товаров в иных целях налог на добавленную стоимость на импортируемые товары подлежит уплате с начислением пеней со срока, установленного для уплаты налога на добавленную стоимость на импортируемые товары при их ввозе, в порядке и размере, которые определены таможенным законодательством ЕАЭС и (или) таможенным законодательством Республики Казахстан.
2. Юридическое лицо, заключившее специальный инвестиционный контракт с уполномоченным органом по заключению специальных инвестиционных контрактов, определяемым Правительством Республики Казахстан, вправе применить освобождение от уплаты налога на добавленную стоимость при импорте товаров в составе готовой продукции, произведенной на территории специальной экономической зоны или свободного склада, при соблюдении следующих условий:
1) товары помещены под таможенную процедуру свободной таможенной зоны или свободного склада;
2) таможенная процедура свободной таможенной зоны или свободного склада завершается таможенной процедурой выпуска для внутреннего потребления;
3) осуществлена идентификация товаров в составе готовой продукции в соответствии с таможенным законодательством Республики Казахстан.
Глава 49. ЗАЧЕТ ПО НАЛОГУ НА ДОБАВЛЕННУЮ СТОИМОСТЬ
Статья 480. Налог на добавленную стоимость, относимый в зачет
1. Суммой налога на добавленную стоимость, относимого в зачет получателем товаров, работ, услуг, являющимся плательщиком налога на добавленную стоимость, зарегистрированным в базе налогоплательщиков, признается сумма налога на добавленную стоимость, подлежащего уплате за полученные товары, работы, услуги, указанного в документе в соответствии с пунктами 6 и 7 настоящей статьи, если они используются или будут использоваться в целях облагаемого оборота по реализации.
2. В случае получения физическим лицом услуг, расходы по которым признаны расходами плательщика налога на добавленную стоимость в соответствии с международными стандартами финансовой отчетности и законодательством Республики Казахстан о бухгалтерском учете и финансовой отчетности и подлежат отнесению на вычеты как компенсации при командировках в соответствии со статьей 260 настоящего Кодекса, такой плательщик налога на добавленную стоимость имеет право на зачет суммы налога на добавленную стоимость по указанным услугам при соблюдении требований подпунктов 1) и 2) пункта 6 настоящей статьи.
3. При наступлении случаев исключения, увеличения или уменьшения, предусмотренных статьями 483, 484 и 485 настоящего Кодекса, в том же налоговом периоде, в котором учитывается налог на добавленную стоимость, относимый в зачет, в соответствии со статьей 481 настоящего Кодекса, размер налога на добавленную стоимость, относимого в зачет, определяется с учетом такого исключения, увеличения или уменьшения.
4. Зачет по налогу на добавленную стоимость подлежит уменьшению на сумму превышения налога на добавленную стоимость после выполнения требования, указанного в подпункте 3) части первой пункта 1 статьи 449 настоящего Кодекса, в связи со снятием налогоплательщика с регистрационного учета по налогу на добавленную стоимость в том налоговом периоде, в котором представлена ликвидационная декларация по налогу на добавленную стоимость.
5. Сумма налога на добавленную стоимость по товарам, работам, услугам, использованным или которые будут использоваться Национальным оператором инфраструктуры для оказания железнодорожному перевозчику, осуществляющему деятельность по перевозке пассажиров, багажа, грузобагажа, почтовых отправлений, услуг магистральной железнодорожной сети при перевозке пассажиров железнодорожным транспортом на безвозмездной основе, в том числе с применением временного понижающего коэффициента в размере 0 к тарифу на регулируемые услуги магистральной железнодорожной сети при перевозке пассажиров железнодорожным транспортом в соответствии с законодательством Республики Казахстан, подлежит отнесению в зачет при соблюдении условий, установленных пунктом 1 настоящей статьи.
6. Для целей пункта 1 настоящей статьи в случае приобретения товаров, работ, услуг, за исключением случаев, предусмотренных подпунктами 1) и 2) пункта 7 настоящей статьи, сумма налога на добавленную стоимость, относимого в зачет, определяется на основании одного из следующих документов с выделенным в нем налогом на добавленную стоимость и указанием идентификационного номера налогоплательщика-поставщика:
1) счета-фактуры или проездного билета (на бумажном носителе, электронного билета, электронного проездного документа), выписанного поставщиком, являющимся плательщиком налога на добавленную стоимость на дату выписки счета-фактуры;
2) документа, подтверждающего факт проезда на воздушном транспорте, выписанного поставщиком, являющимся плательщиком налога на добавленную стоимость на дату выписки таких документов;
3) счета-фактуры, выписанного по приобретенным периодическим печатным изданиям и иной продукции средств массовой информации, включая размещенные на интернет-ресурсе в общедоступных телекоммуникационных сетях, в соответствии с пунктом 6 статьи 493 настоящего Кодекса, в части, приходящейся на стоимость полученных в отчетном налоговом периоде периодических печатных изданий и иной продукции средств массовой информации, включая размещенные на интернет-ресурсе в общедоступных телекоммуникационных сетях;
4) счета-фактуры, выписанного ведомством уполномоченного органа в области государственного материального резерва при выпуске товаров из государственного материального резерва. Сумма налога на добавленную стоимость определяется по следующей формуле, но не более суммы налога, уплаченного при поставке данных товаров в государственный материальный резерв:
НДС = СВТ × СтНДС / (100 % + СтНДС), где:
НДС - сумма налога на добавленную стоимость;
СВТ - стоимость выпускаемых товаров, облагаемых налогом на добавленную стоимость;
СтНДС - ставка налога на добавленную стоимость, действующая на дату выпуска товаров.
Сумма налога на добавленную стоимость, относимая в зачет на основании счета-фактуры, выписанного в электронной форме, подлежит отражению в информационной системе электронных счетов-фактур с указанием периода получения товара, работы, услуги.
7. Для целей пункта 1 настоящей статьи в случаях, указанных в настоящем пункте, сумма налога на добавленную стоимость, относимого в зачет, определяется на основании следующих документов:
1) в случае импорта товаров - декларации на товары, оформленной в соответствии с таможенным законодательством ЕАЭС и (или) таможенным законодательством Республики Казахстан, но не более суммы налога, уплаченного в бюджет Республики Казахстан и не подлежащего возврату в соответствии с условиями таможенной процедуры, или заявления (заявлений) о ввозе товаров и уплате косвенных налогов, но не более суммы налога, уплаченного в бюджет Республики Казахстан и не подлежащего возврату;
2) в случае приобретения работ, услуг, предоставленных нерезидентом и являющихся оборотом покупателя таких работ, услуг:
счета-фактуры, выписанного в электронной форме при условии, что такая сумма налога на добавленную стоимость отражена в платежном документе или документе, выданном налоговым органом по форме, установленной уполномоченным органом, и подтверждающем уплату налога на добавленную стоимость;
декларации по налогу на добавленную стоимость, но не более суммы налога, отраженной в платежном документе или документе, выданном налоговым органом по форме, установленной уполномоченным органом, и подтверждающем уплату налога на добавленную стоимость, - для плательщиков налога на добавленную стоимость, по месту нахождения которых отсутствуют в границах административно-территориальных единиц Республики Казахстан сети телекоммуникаций общего пользования. Информация об административно-территориальных единицах Республики Казахстан, на территории которых отсутствуют сети телекоммуникаций общего пользования, размещается на интернет-ресурсе уполномоченного органа.
Сумма налога на добавленную стоимость относится в зачет на основании счета-фактуры, выписанного в электронной форме при условии отражения в информационной системе электронных счетов-фактур периода получения работы, услуги и суммы налога на добавленную стоимость, подлежащего отнесению в зачет по такому счету-фактуре;
3) в случае постановки лица, указанного в подпункте 1) пункта 1 статьи 447 настоящего Кодекса, на регистрационный учет по налогу на добавленную стоимость - налогового регистра, составленного в соответствии с пунктом 4 статьи 205 настоящего Кодекса, по товарам, приобретенным, созданным, построенным налогоплательщиком до даты постановки на регистрационный учет по налогу на добавленную стоимость и имеющимся на праве собственности на дату постановки на регистрационный учет по налогу на добавленную стоимость, при условии подтверждения такой суммы согласно пункту 6 или подпункту 1) настоящего пункта.
Положения настоящего подпункта не применяются в отношении товаров, полученных вновь созданным юридическим лицом в результате реорганизации.
8. Налогоплательщик в случае признания суммы налога на добавленную стоимость относимой в зачет по счету-фактуре, полученному в электронной форме, производит в информационной системе электронных счетов-фактур отметку о таком признании до представления декларации по налогу на добавленную стоимость, в которой такая сумма налога на добавленную стоимость учтена в качестве относимого в зачет.
9. При наличии нескольких оснований для отнесения в зачет сумм налога на добавленную стоимость, указанных в пунктах 6 и 7 настоящей статьи, зачет суммы налога на добавленную стоимость производится однократно по наиболее раннему основанию.
Статья 481. Дата отнесения в зачет налога на добавленную стоимость
1. Налог на добавленную стоимость, относимый в зачет по приобретенным товарам, работам, услугам, учитывается в том налоговом периоде, на который приходится дата получения товаров, работ, услуг.
В случае выписки исправленного счета-фактуры сумма налога на добавленную стоимость учитывается в том налоговом периоде, в котором был учтен такой налог по аннулированному счету-фактуре, за исключением случаев, когда даты совершения оборота, указанные в аннулированном счете-фактуре и исправленном счете-фактуре, отличаются и приходятся на разные налоговые периоды.
В случае если в счете-фактуре, выписанном в электронной форме, указана дата выписки на бумажном носителе, то такая дата признается датой выписки счета-фактуры для целей настоящего пункта.
Положения настоящего пункта не применяются в случаях, установленных пунктами 2-5 настоящей статьи.
2. Налог на добавленную стоимость, относимый в зачет, учитывается в том налоговом периоде, на который приходится:
1) дата выпуска товара в соответствии с таможенным законодательством ЕАЭС и (или) таможенным законодательством Республики Казахстан - при импорте товаров с государств, не являющихся членами ЕАЭС;
2) дата осуществления платежа в бюджет, в том числе путем проведения зачетов в порядке, определенном статьями 122 и 123 настоящего Кодекса, но не ранее 20 числа месяца, следующего за налоговым периодом, определенным пунктом 6 статьи 530 настоящего Кодекса, за который исчислен такой налог, - при импорте товаров с территории государства - члена ЕАЭС.
3. В случае приобретения работ, услуг, предоставленных нерезидентом и являющихся оборотом покупателя таких работ, услуг, налог на добавленную стоимость, относимый в зачет, учитывается в том налоговом периоде, на который приходится дата выписки счета-фактуры, выписанного в электронной форме.
Плательщики налога на добавленную стоимость, по месту нахождения которых отсутствуют в границах административно-территориальных единиц Республики Казахстан сети телекоммуникаций общего пользования, учитывают налог на добавленную стоимость, относимый в зачет, в том налоговом периоде, на который приходится дата осуществления платежа в бюджет, в том числе путем проведения зачетов в порядке, определенном статьями 122 и 123 настоящего Кодекса, в счет уплаты налога.
4. В случае постановки лица, указанного в подпункте 1) пункта 1 статьи 447 настоящего Кодекса, на регистрационный учет по налогу на добавленную стоимость налог на добавленную стоимость, относимый в зачет, учитывается в том налоговом периоде, на который приходится дата постановки на регистрационный учет по налогу на добавленную стоимость.
5. По дополнительному счету-фактуре налог на добавленную стоимость, относимый в зачет, учитывается в том налоговом периоде, на который приходится дата выписки такого счета-фактуры. При этом сумма налога на добавленную стоимость по дополнительному счету-фактуре, предусмотренному частью третьей пункта 1 статьи 499 настоящего Кодекса, учитывается в том налоговом периоде, на который приходится дата выписки дополнительного счета-фактуры, признанного аннулированным.
Статья 482. Налог на добавленную стоимость, не относимый в зачет
1. Суммой налога на добавленную стоимость, не относимого в зачет, признается сумма налога на добавленную стоимость, не соответствующего положениям статьи 480 настоящего Кодекса, а также налога на добавленную стоимость, указанного в пунктах 2 и 3 настоящей статьи, за исключением случая, предусмотренного пунктом 6 статьи 484 настоящего Кодекса.
2. Налогом на добавленную стоимость, не относимым в зачет, признается налог на добавленную стоимость, который подлежит уплате в связи с получением:
1) товаров, работ, услуг, которые используются или будут использоваться в целях необлагаемого оборота, если плательщиком налога на добавленную стоимость применяется метод через ведение раздельного учета в соответствии со статьями 487 и 489 настоящего Кодекса;
2) товаров, работ, услуг, по которым:
в счете-фактуре не отражены или некорректно отражены идентификационные номера лица, выписавшего такой счет-фактуру, и (или) лица, которому выписан такой счет-фактура;
в счете-фактуре не отражены данные о дате выписки документа, номере счета-фактуры, наименовании товара, работы, услуги, размере облагаемого оборота;
счет-фактура не удостоверен посредством электронной цифровой подписи в соответствии с требованиями статьи 492 настоящего Кодекса;
счет-фактура выписан на бумажном носителе в нарушение требований пункта 1 статьи 492 настоящего Кодекса, за исключением случая, предусмотренного подпунктом 1) пункта 1 статьи 492 настоящего Кодекса;
3) товаров, работ, услуг по гражданско-правовой сделке, оплата которых произведена за наличный расчет с учетом налога на добавленную стоимость независимо от периодичности платежа и превышает 1 000-кратный размер месячного расчетного показателя, действующего на дату совершения платежа;
4) товаров, работ, услуг, приобретенных за счет средств ликвидационного фонда, размещенного на специальном депозитном счете в банке на территории Республики Казахстан в соответствии со статьей 301 настоящего Кодекса;
5) товаров, работ, услуг, приобретенных автономными организациями образования, определенными подпунктом 9) пункта 2 статьи 15 настоящего Кодекса, за счет полученного ими целевого вклада, предусмотренного бюджетным законодательством Республики Казахстан, или финансирования на безвозмездной основе из средств такого целевого вклада.
3. Не признается налогом на добавленную стоимость, относимым в зачет:
1) у комиссионера - налог на добавленную стоимость, подлежащий уплате по товарам, работам, услугам, приобретенным для комитента на условиях, соответствующих условиям договора комиссии;
2) у экспедитора - налог на добавленную стоимость, подлежащий уплате по работам, услугам, приобретенным у перевозчика и (или) других поставщиков при исполнении обязанностей по договору транспортной экспедиции для стороны, являющейся клиентом по такому договору.
4. Налог на добавленную стоимость по товарам, работам, услугам, которые используются или будут использоваться на строительство жилого здания (части жилого здания), предназначенного для реализации в виде оборотов как освобождаемых, так и облагаемых налогом на добавленную стоимость, учитывается плательщиком налога на добавленную стоимость, осуществляющим строительство такого жилого здания (части жилого здания), отдельно в налоговом регистре для целей, указанных в статье 489 настоящего Кодекса, и отражается в декларации до приемки в эксплуатацию жилого здания в соответствии с законодательством Республики Казахстан.
Такой налог на добавленную стоимость учитывается в дальнейшем в порядке, определенном статьей 489 настоящего Кодекса.
При реализации такого объекта строительства или его части до его приемки в эксплуатацию в виде объекта незавершенного строительства сумма налога на добавленную стоимость, учитываемого отдельно на дату такой реализации, уменьшается на сумму налога на добавленную стоимость, разрешенного к отнесению в зачет, определяемого в соответствии с пунктом 3 статьи 489 настоящего Кодекса.
Статья 483. Исключение из суммы налога на добавленную стоимость, относимого в зачет
1. Налог на добавленную стоимость, ранее признанный как налог на добавленную стоимость, относимый в зачет, подлежит исключению в следующих случаях:
1) по сделке (операции), по которой действие (действия) по выписке счета-фактуры и (или) иного документа признано (признаны) судом или постановлением органа уголовного преследования о прекращении досудебного расследования по нереабилитирующим основаниям совершенным (совершенными) субъектом частного предпринимательства без фактического выполнения работ, оказания услуг, отгрузки товаров;
2) по сделке, признанной недействительной на основании вступившего в законную силу решения суда;
3) в части суммы, ошибочно отраженной в документе, являющемся основанием для отнесения в зачет налога на добавленную стоимость;
4) по сделкам, совершенным без фактического выполнения работ, оказания услуг, отгрузки товаров, юридическим лицом, руководитель и (или) учредитель (участник) которого не причастен к регистрации (перерегистрации) и (или) осуществлению финансово-хозяйственной деятельности такого юридического лица, установленных решением суда, вступившим в законную силу, за исключением сделок, по которым судом установлено фактическое получение товаров, работ, услуг от такого налогоплательщика.
2. Исключение из суммы налога на добавленную стоимость, относимого в зачет, предусмотренное настоящей статьей, производится в том налоговом периоде, в декларации за который налог на добавленную стоимость признан как налог на добавленную стоимость, относимый в зачет.
Статья 484. Корректировка суммы налога на добавленную стоимость, относимого в зачет
1. Корректировкой суммы налога на добавленную стоимость, относимого в зачет, является увеличение или уменьшение суммы налога на добавленную стоимость, относимого в зачет, в случаях, установленных настоящей статьей и статьей 485 настоящего Кодекса.
2. Уменьшение суммы налога на добавленную стоимость, относимого в зачет, производится по товарам, работам, услугам, по которым налог на добавленную стоимость ранее был отнесен в зачет, в следующих случаях:
1) по товарам, работам, услугам, использованным не в целях облагаемого оборота, за исключением использованных в целях необлагаемого оборота, в связи с наличием которого налогоплательщиком применен пропорциональный метод в соответствии со статьями 487 и 488 настоящего Кодекса;
2) по товарам в случае их порчи, утраты (за исключением случаев, возникших в результате чрезвычайных ситуаций и (или) в период действия чрезвычайного положения). При этом порча товара означает ухудшение всех или отдельных качеств (свойств) товара, в результате которого данный товар не может быть использован для целей облагаемого оборота. Под утратой товара понимается событие, в результате которого произошли уничтожение или потеря товара. Не является утратой потеря товаров, понесенная налогоплательщиком в пределах норм естественной убыли, установленных законодательством Республики Казахстан.
При порче, утрате товаров в случаях, возникших в результате чрезвычайных ситуаций, уменьшение суммы налога на добавленную стоимость, относимого в зачет, не производится при наличии подтверждения уполномоченного органа в сфере гражданской защиты о факте возникновения чрезвычайной ситуации по товарам, по которым имеются:
документ, подтверждающий факты порчи, утраты товара, оформленный в соответствии с законодательством Республики Казахстан о бухгалтерском учете и финансовой отчетности;
сведения, отраженные в налоговом регистре, составленном в соответствии с пунктом 7 статьи 205 настоящего Кодекса.
При порче, утрате товаров в случаях, возникших в период действия чрезвычайного положения, уменьшение суммы налога на добавленную стоимость, относимого в зачет, не производится при наличии копии постановления органа, ведущего уголовное преследование, о признании налогоплательщика потерпевшим по уголовным делам, связанным с чрезвычайным положением, по товарам (за исключением товаров, по которым получены деньги на возмещение имущественного вреда, причиненного в период действия чрезвычайного положения, по решению комиссии, созданной местным исполнительным органом, при включении налогоплательщика в реестр, формируемый указанным местным исполнительным органом), по которым имеются:
документ, подтверждающий факты порчи, утраты товара, оформленный в соответствии с законодательством Республики Казахстан о бухгалтерском учете и финансовой отчетности;
сведения, отраженные в налоговом регистре, составленном в соответствии с пунктом 7 статьи 205 настоящего Кодекса;
3) по сверхнормативным потерям, понесенным субъектом естественной монополии;
4) по имуществу, переданному в качестве вклада в уставный капитал;
5) по объемам полезных ископаемых, передаваемых недропользователем в счет исполнения налогового обязательства в натуральной форме;
6) при наступлении случаев, предусмотренных пунктом 2 статьи 464 настоящего Кодекса;
7) по сельскохозяйственной продукции, продукции рыбоводства или промыслового рыболовства, использованным в целях облагаемого оборота по нулевой ставке.
3. Увеличение суммы налога на добавленную стоимость, относимого в зачет, производится при наступлении случаев, предусмотренных пунктом 2 статьи 464 настоящего Кодекса.
Увеличение или уменьшение суммы налога на добавленную стоимость, относимого в зачет, при наступлении случаев, предусмотренных пунктом 2 статьи 464 настоящего Кодекса, производится в размере суммы налога на добавленную стоимость, указанного в дополнительном счете-фактуре, выписанном поставщиком товаров, работ, услуг в связи с корректировкой размера облагаемого оборота в сторону увеличения или уменьшения.
4. Корректировка суммы налога на добавленную стоимость, относимого в зачет, в случаях, установленных подпунктами 1), 2), 3), 4), 5) и 7) пункта 2 и пунктом 3 настоящей статьи, производится в том налоговом периоде, в котором наступили такие случаи.
Корректировка суммы налога на добавленную стоимость, относимого в зачет, в случае, установленном подпунктом 6) пункта 2 настоящей статьи, производится в налоговом периоде, определенном пунктом 5 статьи 481 настоящего Кодекса.
5. В случаях, установленных подпунктами 1) - 5) пункта 2 настоящей статьи, корректировка суммы налога на добавленную стоимость, относимого в зачет, по приобретенным, построенным, созданным товарам производится в размере суммы налога на добавленную стоимость, определяемого путем применения ставки налога на добавленную стоимость, действующей на дату осуществления корректировки, к балансовой стоимости товаров по данным бухгалтерского учета на эту дату без учета переоценки и обесценения.
В случае, установленном в подпункте 7) пункта 2 настоящей статьи, корректировка суммы налога на добавленную стоимость, относимого в зачет, производится путем уменьшения 80 процентов суммы налога на добавленную стоимость, относимого в зачет по сельскохозяйственной продукции, продукции рыбоводства или промыслового рыболовства, использованным в целях облагаемого оборота по нулевой ставке.
6. В случае если оборот по реализации по передаче права владения и (или) пользования, и (или) распоряжения частью делимого земельного участка, по которому до совершения такого оборота по реализации налог на добавленную стоимость был отнесен в зачет, является освобожденным от налога на добавленную стоимость в соответствии со статьей 476 настоящего Кодекса, по которому осуществляется ведение раздельного учета в соответствии со статьей 489 настоящего Кодекса, то корректировка суммы налога на добавленную стоимость, относимого в зачет, производится на сумму налога на добавленную стоимость, приходящегося на такой земельный участок, которая определяется по следующей формуле:
НДСкорр = НДСовз × Sзем /Sобщ, где:
НДСкорр - сумма корректировки налога на добавленную стоимость;
НДСовз - сумма налога на добавленную стоимость, ранее признанного относимым в зачет;
Sобщ - общая площадь земельного участка до его деления;
Sзем - площадь земельного участка, оборот по передаче права владения и (или) пользования, и (или) распоряжения которым освобождается от налога на добавленную стоимость в соответствии со статьей 476 настоящего Кодекса, по которому осуществляется ведение раздельного учета в соответствии со статьей 489 настоящего Кодекса.
7. Не производится корректировка, предусмотренная настоящей статьей, в случаях, указанных в статье 453 настоящего Кодекса, за исключением указанных в подпунктах 1) и 6) статьи 453 настоящего Кодекса.
8. Сумма налога на добавленную стоимость, относимого в зачет, с учетом корректировки, предусмотренной настоящей статьей, может иметь отрицательное значение.
Статья 485. Корректировка сумм налога на добавленную стоимость, относимого в зачет, по сомнительным обязательствам при списании обязательств
1. Если часть или весь размер обязательства по приобретенным товарам, работам, услугам признаются сомнительными в соответствии со статьей 241 настоящего Кодекса, то производится корректировка суммы налога на добавленную стоимость, относимого в зачет, в сторону уменьшения на сумму налога на добавленную стоимость, ранее признанного относимым в зачет по таким товарам, работам, услугам, в размере, соответствующем размеру сомнительного обязательства, кроме налога на добавленную стоимость, ранее признанного относимым в зачет на основании подпунктов 1) и 2) пункта 7 статьи 480 настоящего Кодекса. Корректировка, предусмотренная настоящим пунктом, производится в налоговом периоде, в котором истек трехлетний период, исчисляемый со дня:
1) следующего за днем окончания срока исполнения обязательства по приобретенным товарам, работам, услугам, срок исполнения которого определен;
2) передачи товара, выполнения работ, оказания услуг по обязательству по приобретенным товарам, работам, услугам, срок исполнения которого не определен.
2. В случае, если после корректировки суммы налога на добавленную стоимость, относимого в зачет, в сторону уменьшения плательщиком налога на добавленную стоимость произведена оплата за товары, работы, услуги, производится корректировка суммы налога на добавленную стоимость, относимого в зачет, в сторону увеличения на сумму налога по указанным товарам, работам, услугам в размере, соответствующем сумме оплаты, в том налоговом периоде, в котором была произведена оплата.
3. При списании обязательств в случаях, указанных в пункте 1 статьи 242 настоящего Кодекса, по которым не произведена корректировка в соответствии с пунктом 1 настоящей статьи, корректировка суммы налога на добавленную стоимость, относимого в зачет, в сторону уменьшения производится в размере суммы налога на добавленную стоимость, ранее признанного относимым в зачет, подлежащего уплате в составе такого обязательства. Корректировка, предусмотренная настоящим пунктом, производится в том периоде, в котором наступили такие случаи.
4. В случае если обязательство по приобретенным товарам, работам, услугам на дату вынесения решения регистрирующего органа об исключении из Национального реестра бизнес-идентификационных номеров поставщика - плательщика налога на добавленную стоимость, признанного банкротом, не удовлетворено полностью или частично, то корректировка суммы налога на добавленную стоимость, относимого в зачет, в сторону уменьшения производится в размере суммы налога на добавленную стоимость, ранее признанного относимым в зачет, подлежащего уплате по таким товарам, работам, услугам, если такая корректировка не произведена в соответствии с пунктом 1 настоящей статьи. Корректировка, предусмотренная настоящим пунктом, производится в том налоговом периоде, в котором вынесено указанное решение регистрирующего органа.
5. Корректировка, предусмотренная настоящей статьей, производится по ставке налога на добавленную стоимость, указанной в счете-фактуре, выписанном поставщиком товаров, работ, услуг при совершении оборота по реализации товаров, работ, услуг, по которым производится корректировка.
Статья 486. Налог на добавленную стоимость, относимый в зачет, с учетом корректировки
1. Сумма налога на добавленную стоимость, относимого в зачет, с учетом корректировки исчисляется за налоговый период в следующем порядке:
сумма налога на добавленную стоимость, относимого в зачет, определенная в соответствии со статьей 480 настоящего Кодекса,
минус
сумма корректировки налога на добавленную стоимость, относимого в зачет, предусмотренной статьями 483,484 и 485 настоящего Кодекса, в сторону уменьшения
плюс
сумма корректировки налога на добавленную стоимость, относимого в зачет, предусмотренной пунктом 3 статьи 484 и пунктом 2 статьи 485 настоящего Кодекса, в сторону увеличения.
2. Сумма налога на добавленную стоимость, относимого в зачет, с учетом корректировки, определенная в соответствии с настоящей статьей, может иметь отрицательное значение.
Статья 487. Методы определения сумм налога на добавленную стоимость, разрешенного к отнесению в зачет
1. Если иное не предусмотрено пунктом 2 настоящей статьи, плательщик налога на добавленную стоимость, кроме указанного в пункте 3 настоящей статьи, определяет сумму налога на добавленную стоимость, разрешенного к отнесению в зачет, одним из следующих методов:
пропорциональным методом;
через ведение раздельного учета сумм налога на добавленную стоимость по товарам, работам, услугам, которые используются или будут использоваться для целей облагаемого и необлагаемого оборотов.
2. Следующие лица, использующие пропорциональный метод отнесения в зачет, вправе определять суммы налога на добавленную стоимость, разрешенного к отнесению в зачет, по отдельным видам оборотов через ведение раздельного учета:
1) банковские организации и организации, осуществляющие микрофинансовую деятельность (за исключением кредитных товариществ и ломбардов), - по оборотам, связанным с получением и реализацией залогового имущества (товаров);
2) дочерняя организация банка, приобретающая сомнительные и безнадежные активы родительского банка, - по оборотам, связанным с приобретением, владением и (или) реализацией:
залогового имущества (товара), полученного в результате обращения взыскания по приобретенным правам требования по сомнительным и безнадежным активам от родительского банка;
имущества (товара), перешедшего в собственность родительского банка в результате обращения взыскания на заложенное имущество и приобретенного дочерней организацией банка от родительского банка;
3) лизингодатель - по оборотам, связанным с передачей имущества в финансовый лизинг. Затраты лизингодателя, связанные с приобретением имущества, подлежащего передаче в финансовый лизинг, рассматриваются как затраты, понесенные для целей облагаемого оборота;
4) исламский банк - по финансированию физических и юридических лиц в качестве торгового посредника путем предоставления коммерческого кредита без условия о последующей продаже товара третьему лицу в соответствии с банковским законодательством Республики Казахстан;
5) плательщик налога на добавленную стоимость - по операциям купли-продажи товара в рамках финансирования физических и юридических лиц в качестве торгового посредника путем предоставления коммерческого кредита на условиях последующей продажи товара третьему лицу в соответствии с банковским законодательством Республики Казахстан;
6) индивидуальные предприниматели и юридические лица, имеющие лицензию на туристскую операторскую деятельность (туроператорскую деятельность) в соответствии с законодательством Республики Казахстан о туристской деятельности, ведут учет по товарам, работам, услугам в целях оказания услуг туроператора отдельно от остальной деятельности. Учет по товарам, работам, услугам в целях оказания услуг туроператора ведется раздельно по обороту, освобожденному от налога на добавленную стоимость в соответствии с подпунктом 10) статьи 474 настоящего Кодекса, и облагаемому обороту;
7) организация, специализирующаяся на улучшении качества кредитных портфелей банков второго уровня, единственным акционером которой является Правительство Республики Казахстан, использующая пропорциональный метод отнесения в зачет, - по оборотам, связанным с приобретением, владением и (или) реализацией:
залогового имущества (товара), полученного от банка по приобретенным у такого банка правам требования по активам;
имущества (товара), перешедшего в собственность банка в результате обращения взыскания на заложенное имущество и полученного организацией, специализирующейся на улучшении качества кредитных портфелей банков второго уровня, единственным акционером которой является Правительство Республики Казахстан, по приобретенным у такого банка правам требования по сомнительным и безнадежным активам.
3. Лицо, осуществляющее строительство объектов, по объектам строительства, предназначенным для реализации, обязано осуществлять ведение раздельного учета сумм налога на добавленную стоимость по товарам, работам, услугам, которые используются или будут использоваться в процессе строительства каждого объекта строительства.
По прочему обороту такое лицо вправе определять сумму налога на добавленную стоимость, разрешенного к отнесению в зачет, пропорциональным методом в соответствии со статьей 488 настоящего Кодекса.
Статья 488. Порядок определения сумм налога на добавленную стоимость, разрешенного к отнесению в зачет, пропорциональным методом
1. По пропорциональному методу сумма налога на добавленную стоимость, разрешенного к отнесению в зачет, за налоговый период определяется по следующей формуле:
НДСрз = НДСзач × О обл/ О общ, где:
НДСрз - сумма налога на добавленную стоимость, разрешенного к отнесению в зачет. Данная сумма может иметь отрицательное значение;
НДСзач - сумма налога на добавленную стоимость, относимого в зачет, с учетом корректировки. Данная сумма может иметь отрицательное значение;
О обл - сумма облагаемого оборота;
О общ - общая сумма оборота, определяемая как сумма облагаемых и необлагаемых оборотов.
При этом лица, указанные в пункте 2 статьи 487 настоящего Кодекса, при определении значений О обл и О общ не учитывают обороты, по которым осуществляется ведение раздельного учета в соответствии со статьей 489 настоящего Кодекса.
При отсутствии в налоговом периоде оборота по реализации сумма налога на добавленную стоимость, разрешенного к отнесению в зачет, определяется в размере суммы налога на добавленную стоимость, относимого в зачет, с учетом корректировки.
2. Налог на добавленную стоимость, не разрешенный к отнесению в зачет, за налоговый период определяется по следующей формуле:
НДСнз = НДСзач - НДСрз, где:
НДСнз - сумма налога на добавленную стоимость, не разрешенного к отнесению в зачет. Данная сумма может иметь отрицательное значение;
НДСзач - сумма налога на добавленную стоимость, относимого в зачет, с учетом корректировки. Данная сумма может иметь отрицательное значение;
НДСрз - сумма налога на добавленную стоимость, разрешенного к отнесению в зачет, определяемая в соответствии с пунктом 1 настоящей статьи. Данная сумма может иметь отрицательное значение.
Сумма налога на добавленную стоимость, не разрешенного к отнесению в зачет, в том числе ее отрицательное значение, учитывается в порядке, определенном статьей 259 настоящего Кодекса.
Статья 489. Порядок определения сумм налога на добавленную стоимость, разрешенного к отнесению в зачет, через ведение раздельного учета
1. При определении суммы налога на добавленную стоимость, разрешенного к отнесению в зачет, через ведение раздельного учета плательщик налога на добавленную стоимость ведет раздельный учет сумм налога на добавленную стоимость по полученным товарам, работам, услугам, используемым для целей облагаемых и необлагаемых оборотов.
2. Кроме случаев, предусмотренных пунктом 3 настоящей статьи, при ведении раздельного учета:
1) сумма налога на добавленную стоимость, разрешенного к отнесению в зачет, определяется в размере налога на добавленную стоимость, относимого в зачет, по полученным товарам, работам, услугам, используемым для целей облагаемого оборота, с учетом корректировки;
2) сумма налога на добавленную стоимость, не разрешенного к отнесению в зачет, определяется в размере налога на добавленную стоимость, не относимого в зачет, по полученным товарам, работам, услугам, используемым для целей необлагаемого оборота;
3) сумма налога на добавленную стоимость по полученным товарам, работам, услугам, используемым одновременно для целей облагаемых и необлагаемых оборотов, распределяется на сумму налога на добавленную стоимость, разрешенного к отнесению в зачет и не разрешенного к отнесению в зачет, определяемых по следующим формулам:
НДСрз = НДСзач × О обл/ О общ;
НДСнз = НДСзач - НДСрз, где:
НДСрз - сумма налога на добавленную стоимость, разрешенного к отнесению в зачет. Данная сумма может иметь отрицательное значение;
НДСзач - сумма налога на добавленную стоимость, относимого в зачет, с учетом корректировки по товарам, работам, услугам, используемым одновременно для целей облагаемых и необлагаемых оборотов. Данная сумма может иметь отрицательное значение;
О обл - сумма облагаемого оборота за налоговый период. При этом лица, указанные в пункте 2 статьи 487 настоящего Кодекса, определяют О обл как обороты, по которым осуществляется ведение раздельного учета в соответствии с настоящей статьей;
О общ - общая сумма оборота, определяемая как сумма облагаемых и необлагаемых оборотов;
НДСнз - сумма налога на добавленную стоимость, не разрешенного к отнесению в зачет. Данная сумма может иметь отрицательное значение.
Сумма налога на добавленную стоимость, не разрешенного к отнесению в зачет, учитывается в порядке, определенном статьей 259 настоящего Кодекса.
3. В случае реализации объекта незавершенного строительства, ранее предназначенного для реализации в виде оборота, освобождаемого от налога на добавленную стоимость в соответствии с пунктом 1 статьи 476 настоящего Кодекса, налог на добавленную стоимость, разрешенный к отнесению в зачет по товарам, работам, услугам, использованным в процессе строительства данного объекта, определяется в соответствии с данной статьей и учитывается в том налоговом периоде, в котором осуществляется реализация объекта незавершенного строительства, при:
1) реализации объекта незавершенного строительства, ранее предназначенного для реализации в виде оборота, освобождаемого от налога на добавленную стоимость в соответствии со статьей 476 настоящего Кодекса, - в размере налога на добавленную стоимость, относимого в зачет, по указанным товарам по ставке, действующей на дату их приобретения;
2) реализации объекта незавершенного строительства, являющегося частью объекта незавершенного строительства, ранее предназначенного для реализации в виде оборотов как освобождаемых в соответствии со статьей 476 настоящего Кодекса, так и облагаемых налогом на добавленную стоимость, -в размере налога на добавленную стоимость, приходящегося на реализуемую часть объекта незавершенного строительства, исчисляемого по следующей формуле:
НДС рзнс = НДСуо × Sчнс / Sнс, где:
НДС рзнс - налог на добавленную стоимость, разрешенный к отнесению в зачет, по реализуемой части объекта незавершенного строительства, ранее предназначенного для реализации в виде оборотов как освобождаемых, так и облагаемых налогом на добавленную стоимость;
НДСуо - сумма налога на добавленную стоимость по товарам, работам, услугам, использованным на строительство, учитываемого отдельно на дату реализации в соответствии с пунктом 4 статьи 482 настоящего Кодекса;
Sчнс - площадь реализуемого объекта незавершенного строительства по проектно-сметной документации, являющегося частью объекта незавершенного строительства, ранее предназначенного для реализации в виде оборотов как освобождаемых, так и облагаемых налогом на добавленную стоимость;
Sнс - общая площадь объекта незавершенного строительства, ранее предназначенного для реализации в виде оборотов как освобождаемых, так и облагаемых налогом на добавленную стоимость.
4. Плательщик налога на добавленную стоимость, осуществляющий строительство жилого здания (части жилого здания), предназначенного для реализации в виде оборотов как освобождаемых, так и облагаемых налогом на добавленную стоимость, вправе в налоговом периоде, на который приходится дата приемки в эксплуатацию жилого здания, определить сумму налога на добавленную стоимость, разрешенного к отнесению в зачет, по товарам, работам, услугам, использованным на строительство такого жилого здания (части жилого здания), по следующей формуле:
НДСрз = (НДСзач - НДСрзнс) × Sнп / Sжз, где:
НДСрз - сумма налога на добавленную стоимость, разрешенного к отнесению в зачет, по жилому зданию (части жилого здания), оборот по реализации которого подлежит обложению налога на добавленную стоимость с учетом положений пункта 1 статьи 476 настоящего Кодекса;
НДСзач - сумма учитываемого отдельно налога на добавленную стоимость, относимого в зачет, по товарам, работам, услугам, использованным на строительство жилого здания (части жилого здания), предназначенного для реализации в виде оборотов как освобождаемых, так и облагаемых налогом на добавленную стоимость. Сумма налога определяется на дату приемки в эксплуатацию жилого здания в соответствии с законодательством Республики Казахстан об архитектурной, градостроительной и строительной деятельности;
НДСрзнс - налог на добавленную стоимость, разрешенный к отнесению в зачет, по части объекта незавершенного строительства, ранее предназначенного для реализации в виде оборотов как освобождаемых, так и облагаемых налогом на добавленную стоимость. Сумма налога определяется в случае и порядке, которые предусмотрены пунктом 3 настоящей статьи;
Sнп - площадь нежилых помещений в жилом здании (части жилого здания);
Sжз - общая площадь жилого здания (части жилого здания).
При этом сумма налога на добавленную стоимость, не разрешенного к отнесению в зачет, учитывается в порядке, определенном статьей 259 настоящего Кодекса, и определяется по следующей формуле:
НДСнз = НДСзач - НДСрзнс - НДСрз, где:
НДСнз - сумма налога на добавленную стоимость, не разрешенного к отнесению в зачет, по жилому зданию (части жилого здания), обороты по реализации которого освобождаются от налога на добавленную стоимость в соответствии с пунктом 1 статьи 476 настоящего Кодекса.
Статья 490. Дополнительная сумма налога на добавленную стоимость, относимого в зачет
1. Следующие лица вправе относить в зачет дополнительную сумму налога на добавленную стоимость:
1) производители сельскохозяйственной продукции, продукции аквакультуры (рыбоводства), включая крестьянские или фермерские хозяйства, - по оборотам по реализации товаров, являющихся результатом осуществления деятельности по производству сельскохозяйственной продукции, продукции аквакультуры (рыбоводства), переработке указанной продукции собственного производства;
2) юридические лица - по оборотам по реализации товаров, являющихся результатом осуществления переработки сельскохозяйственной продукции, продукции рыбоводства или промыслового рыболовства. К переработке сельскохозяйственной продукции, продукции рыбоводства относятся следующие виды деятельности, за исключением деятельности в сфере общественного питания:
переработка и консервирование мяса и производство мясной продукции;
переработка и консервирование рыбы, ракообразных и моллюсков;
переработка и консервирование фруктов и овощей;
производство растительных и животных масел и жиров;
переработка молока и производство сыра;
производство мукомольно-крупяных продуктов;
производство крахмала и продукции из крахмала;
производство хлеба, булочных изделий, блинов;
производство сахара;
производство шоколада, сахаристых кондитерских изделий, печенья и мучных кондитерских изделий длительного хранения при условии заключения налогоплательщиком соглашения в порядке, определенном уполномоченным органом в области развития агропромышленного комплекса;
производство детского питания и диетических пищевых продуктов;
производство дрожжей;
производство готовых кормов для животных;
дубление и выделка кожи, выделка и крашение меха, подготовка и прядение текстильных волокон, подготовка шерстяного волокна, прядение шерстяного волокна;
3) сельскохозяйственные кооперативы по оборотам по:
реализации сельскохозяйственной продукции, продукции аквакультуры (рыбоводства) собственного производства, а также произведенной членами такого кооператива;
реализации продукции, полученной в результате переработки сельскохозяйственной продукции, продукции аквакультуры (рыбоводства) собственного производства, приобретенной у отечественного производителя такой продукции и (или) произведенной членами такого кооператива;
выполнению работ, оказанию услуг по перечню, определенному уполномоченным органом в области развития агропромышленного комплекса по согласованию с центральным уполномоченным органом по государственному планированию и уполномоченным органом, членам такого кооператива в целях осуществления ими оборотов, указанных в настоящем подпункте.
Положения настоящего пункта не распространяются на обороты по реализации подакцизных товаров и продуктов их переработки.
Определение видов деятельности в целях применения настоящего пункта осуществляется в соответствии с Общим классификатором видов экономической деятельности, утвержденным уполномоченным органом в области технического регулирования.
2. Налогоплательщики, указанные в пункте 1 настоящей статьи, вправе применять положения настоящей статьи при условии ведения раздельного учета:
оборотов по реализации по деятельности, предусмотренной пунктом 1 настоящей статьи, и иной деятельности;
подлежащих получению (полученных) товаров, работ, услуг, которые используются или будут использоваться в деятельности, предусмотренной пунктом 1 настоящей статьи, и иной деятельности.
Сумма налога на добавленную стоимость по полученным товарам, работам, услугам, используемым одновременно в деятельности, предусмотренной пунктом 1 настоящей статьи, и иной деятельности, распределяется на суммы налога на добавленную стоимость, разрешенного к отнесению в зачет и не разрешенного к отнесению в зачет, определяемые по следующим формулам:
НДСрз 1 = НДСзач × О обл / О общ;
НДСрз 2 = НДСзач - НДСрз 1, где:
НДСрз 1 - сумма налога на добавленную стоимость, разрешенного к отнесению в зачет, по деятельности, предусмотренной пунктом 1 настоящей статьи. Данная сумма может иметь отрицательное значение;
НДСзач - сумма налога на добавленную стоимость, относимого в зачет, с учетом корректировки по товарам, работам, услугам, используемым одновременно в деятельности, предусмотренной пунктом 1 настоящей статьи, и иной деятельности. Данная сумма может иметь отрицательное значение;
О обл - сумма облагаемого оборота за налоговый период, по которому осуществляется ведение раздельного учета в соответствии с настоящей статьей;
О общ - общая сумма оборота, определяемая как сумма оборотов по деятельности, предусмотренной пунктом 1 настоящей статьи, и иной деятельности;
НДСрз 2 - сумма налога на добавленную стоимость, разрешенного к отнесению в зачет, по иной деятельности. Данная сумма может иметь отрицательное значение.
При наличии необлагаемых оборотов сумма разрешенного к отнесению в зачет налога на добавленную стоимость по иной деятельности определяется с учетом статей 488 и 489 настоящего Кодекса.
По иному обороту такой плательщик налога на добавленную стоимость вправе определять сумму налога на добавленную стоимость, разрешенного к отнесению в зачет, пропорциональным методом в соответствии со статьей 488 настоящего Кодекса.
3. Не вправе применять положения настоящей статьи налогоплательщики, указанные в подпунктах 1) и 3) части первой пункта 1 настоящей статьи, если лицо является иностранцем, юридическим лицом - нерезидентом, осуществляющим деятельность в Республике Казахстан через постоянное учреждение.
4. Расчет дополнительной суммы налога на добавленную стоимость, относимого в зачет, производится по следующей формуле:
НДСдз = (НДСобл - НДСрз- НДСпр) × 80%, где:
НДСдз - дополнительная сумма налога на добавленную стоимость, относимого в зачет;
НДСобл - сумма налога на добавленную стоимость, начисленного с облагаемого оборота по реализации по деятельности, предусмотренной пунктом 1 настоящей статьи;
НДСрз - сумма налога на добавленную стоимость, разрешенного к отнесению в зачет, определенная в соответствии со статьями 488 и 489 настоящего Кодекса. Такая сумма определяется по подлежащим получению (полученным) товарам, работам, услугам, которые используются или будут использоваться в деятельности, предусмотренной пунктом 1 настоящей статьи;
НДСпр - сумма превышения суммы налога на добавленную стоимость, относимого в зачет, над суммой начисленного налога, сложившегося на начало отчетного налогового периода нарастающим итогом, по деятельности, предусмотренной пунктом 1 настоящей статьи.
Полученное нулевое или отрицательное значение не учитывается при исчислении налога на добавленную стоимость за налоговый период.
Глава 50. ВЫПИСКА СЧЕТА-ФАКТУРЫ ПЛАТЕЛЬЩИКАМИ НАЛОГА НА ДОБАВЛЕННУЮ СТОИМОСТЬ
Статья 491. Общие положения
1. Плательщики налога на добавленную стоимость при совершении оборота по реализации товаров, работ, услуг обязаны выписать счет-фактуру.
Положения настоящего пункта не применяются при реализации личного имущества физическим лицом, являющимся индивидуальным предпринимателем.
2. Если иное не установлено пунктом 3 настоящей статьи, выписка счета-фактуры не требуется в случаях:
1) реализации товаров, работ, услуг, расчеты за которые осуществляются:
с представлением покупателю чека контрольно-кассовой машины и (или) через терминалы оплаты услуг;
с представлением покупателю товаров, работ, услуг чека специального мобильного приложения. При этом по требованию покупателя такой чек должен содержать идентификационный номер такого покупателя товаров, работ, услуг;
2) реализации товаров, работ, услуг физическим лицам, расчеты за которые осуществляются электронными деньгами или с использованием средств электронного платежа;
3) осуществления расчетов через банки второго уровня, оператора почты за предоставленные физическому лицу коммунальные услуги, услуги связи;
4) оформления перевозки пассажира на железнодорожном или воздушном транспорте проездным билетом на бумажном носителе, электронным билетом или электронным проездным документом;
5) безвозмездной передачи товара, безвозмездного выполнения работ, оказания услуг физическому лицу, не являющемуся индивидуальным предпринимателем или лицом, занимающимся частной практикой;
6) реализации финансовых операций, предусмотренных статьей 477 настоящего Кодекса, а также реализуемых услуг физическим лицам, облагаемых налогом на добавленную стоимость.
Положения подпунктов 1) и 2) части первой настоящего пункта не применяются в случае реализации товаров, работ, услуг лицам, указанным в пункте 1 статьи 131 настоящего Кодекса.
3. Выписка счета-фактуры не требуется при реализации плательщиком налога на добавленную стоимость товаров, предусмотренных подпунктами 8) - 10) пункта 1 статьи 208 настоящего Кодекса:
1) физическим лицам, которые используют приобретенный товар в целях личного, семейного, домашнего или иного использования, не связанного с предпринимательской деятельностью (конечное потребление);
2) физическим или юридическим лицам, являющимся субъектами микропредпринимательства в соответствии с Предпринимательским кодексом Республики Казахстан.
4. Получатель товаров, работ, услуг вправе в течение пятнадцати календарных дней с даты совершения поставщиком оборота по реализации обратиться к поставщику данных товаров, работ, услуг с требованием выписать счет-фактуру в следующих случаях, предусмотренных:
подпунктами 1) и 2) пункта 2 настоящей статьи;
пунктом 3 настоящей статьи.
Поставщик обязан выполнить такое требование с учетом положений настоящей статьи, в том числе в части указания в сведениях о получателе товаров, работ, услуг реквизитов юридического лица, через доверенное лицо которого осуществляется приобретение товаров, работ, услуг, или индивидуального предпринимателя, приобретающего товары, работы, услуги.
5. Получатель услуг вправе в течение пятнадцати календарных дней с даты совершения поставщиком оборота по реализации обратиться с требованием выписать документ, подтверждающий факт проезда физического лица, или счет-фактуру к поставщику таких услуг в случае, предусмотренном подпунктом 4) пункта 2 настоящей статьи. Поставщик обязан выполнить такое требование с учетом положений настоящей статьи, в том числе в части указания в сведениях о получателе работ, услуг реквизитов физического лица, которому оказана услуга по перевозке.
Статья 492. Требования к выписке счета-фактуры плательщиками налога на добавленную стоимость
1. Счет-фактура выписывается в электронной форме, за исключением следующих случаев, когда плательщик налога на добавленную стоимость вправе выписывать счет-фактуру на бумажном носителе:
1) отсутствия по месту нахождения плательщика налога на добавленную стоимость в границах административно-территориальных единиц сети телекоммуникаций общего пользования;
2) подтверждения информации на интернет-ресурсе уполномоченного органа о невозможности выписки счетов-фактур в информационной системе электронных счетов-фактур по причине технических ошибок.
При этом счет-фактура, выписанный на бумажном носителе, подлежит введению в информационную систему электронных счетов-фактур в течение пятнадцати календарных дней с даты устранения технических ошибок;
3) при приостановлении выписки счетов-фактур в информационной системе электронных счетов-фактур в соответствии со статьей 88 настоящего Кодекса.
При этом счет-фактура, выписанный на бумажном носителе, подлежит введению в информационную систему электронных счетов-фактур в течение пятнадцати календарных дней с даты отмены приостановления выписки счетов-фактур в электронной форме в соответствии со статьей 88 настоящего Кодекса;
4) в период чрезвычайной ситуации или действия чрезвычайного положения.
При этом счет-фактура, выписанный на бумажном носителе, подлежит введению в информационную систему электронных счетов-фактур в течение тридцати календарных дней с даты завершения периода чрезвычайной ситуации или действия чрезвычайного положения. Порядок выписки и форма счета-фактуры устанавливаются уполномоченным органом.
2. Счет-фактура на бумажном носителе выписывается по форме электронного счета-фактуры в двух экземплярах, один из которых передается получателю товаров, работ, услуг.
Налогоплательщики вправе в счете-фактуре, выписываемом на бумажном носителе, указать дополнительные сведения, не предусмотренные в электронной форме счета-фактуры.
3. Стоимостные и суммовые значения в счете-фактуре указываются в национальной валюте Республики Казахстан, за исключением следующих случаев, при которых возможно указание в иностранной валюте:
1) по сделкам (операциям), заключенным (совершенным) в рамках соглашения (контракта) о разделе продукции, контракта на недропользование, утвержденного Президентом Республики Казахстан;
2) по сделкам (операциям) по реализации товаров на экспорт, облагаемым по нулевой ставке налога на добавленную стоимость в соответствии со статьями 467, 521 и 523 настоящего Кодекса;
3) по оборотам по реализации услуг по международным перевозкам, облагаемым по нулевой ставке налога на добавленную стоимость в соответствии со статьей 468 настоящего Кодекса;
4) по оборотам по реализации, облагаемым по нулевой ставке налога на добавленную стоимость в соответствии с пунктом 3 статьи 473 настоящего Кодекса.
4. В случае если от имени юридического лица в качестве поставщика товаров, работ, услуг выступает его структурное подразделение и по решению юридического лица выписка счетов-фактур производится таким структурным подразделением, а также в случае, если от имени юридического лица структурное подразделение выступает получателем товаров, работ, услуг, то в счете-фактуре допускается указание реквизитов такого структурного подразделения.
5. Плательщики налога на добавленную стоимость указывают в счете-фактуре или ином документе, предусмотренном пунктом 6 статьи 480 настоящего Кодекса:
1) по оборотам, облагаемым налогом на добавленную стоимость, - сумму налога на добавленную стоимость;
2) по необлагаемым оборотам, в том числе освобожденным от налога на добавленную стоимость, - отметку «Без НДС», местом реализации которых не является территория Республики Казахстан, - отметку «Без НДС - не РК».
6. Если иное не установлено настоящим пунктом, счет-фактура, выписанный в электронной форме, заверяется посредством электронной цифровой подписи.
Счет-фактура дополнительно заверяется биометрическими данными физического лица, осуществляющего выписку счета-фактуры в порядке, предусмотренном уполномоченным органом при выявлении в отношении налогоплательщика риска на основе системы управления рисками в соответствии со статьей 93 настоящего Кодекса.
Счет-фактура, выписанный на бумажном носителе, заверяется:
для юридических лиц - подписями руководителя и главного бухгалтера, а также печатью, содержащей название и указание организационно-правовой формы, если данное лицо в соответствии с законодательством Республики Казахстан должно иметь печать;
для индивидуальных предпринимателей - печатью (при ее наличии), содержащей фамилию, имя и отчество и (или) наименование, а также подписью индивидуального предпринимателя.
Счет-фактура может заверяться подписью работника, уполномоченного на то приказом налогоплательщика. При этом копия приказа должна быть доступна для визуального ознакомления получателей товаров, работ, услуг.
Получатель товаров, работ, услуг вправе обратиться к поставщику данных товаров, работ, услуг с требованием представить заверенную уполномоченным на то лицом копию приказа о назначении лица, уполномоченного подписывать счета-фактуры, а поставщик обязан выполнить данное требование в день обращения получателя товаров, работ, услуг.
Структурное подразделение юридического лица, являющееся поставщиком товаров, работ, услуг, по решению налогоплательщика вправе заверять выписанные им счета-фактуры печатью такого структурного подразделения, содержащей название и указание организационно-правовой формы юридического лица, если данное лицо в соответствии с законодательством Республики Казахстан должно иметь печать.
Счет-фактура, выписанный уполномоченным представителем участников простого товарищества (консорциума), в случаях, предусмотренных пунктом 2 статьи 216 настоящего Кодекса, заверяется печатью уполномоченного представителя, содержащей название и указание организационно-правовой формы, а также подписями руководителя и главного бухгалтера такого уполномоченного представителя.
В случае, если в соответствии с требованиями законодательства Республики Казахстан о бухгалтерском учете и финансовой отчетности и учетной политикой руководитель или индивидуальный предприниматель ведет бухгалтерский учет лично, вместо подписи главного бухгалтера указывается «не предусмотрен».
7. Особенности выписки счетов-фактур в отдельных случаях установлены статьями 494 - 498 настоящего Кодекса.
Статья 493. Сроки выписки счетов-фактур
1. Если иное не установлено настоящей статьей, счет-фактура выписывается не ранее даты совершения оборота по реализации и не позднее пятнадцати календарных дней после такой даты.
2. Счет-фактура выписывается по итогам месяца не позднее 20 числа месяца, следующего за месяцем, на который по таким товарам, услугам приходится дата совершения оборота, при:
1) реализации электрической и (или) тепловой энергии, воды, газа;
2) оказании коммунальных услуг;
3) оказании услуг связи;
4) оказании услуг по перевозке на железнодорожном транспорте, услуг по перевозке пассажиров, багажа и грузов на воздушном транспорте;
5) оказании услуг по договору транспортной экспедиции, по договору, условия которого соответствуют условиям договора комиссии, услуг оператора вагонов (контейнеров);
6) оказании услуг по перевозке грузов по системе магистральных трубопроводов, системных услуг, оказываемых системным оператором;
7) оказании услуг по предоставлению кредита (займа, микрокредита);
8) совершении банковских операций, облагаемых налогом на добавленную стоимость;
9) реализации товаров, работ, услуг по договорам, заключенным сроком на один год или более, лицам, указанным в пункте 1 статьи 131 настоящего Кодекса;
10) признании даты совершения оборота по пункту 2 статьи 460 настоящего Кодекса;
11) оказании Национальным оператором по управлению автомобильными дорогами услуг, по которым взимается плата за проезд по платным автомобильным дорогам;
12) оказании услуг Государственной корпорацией;
13) оказании услуг по сбору, обмену, обработке и рассылке информации, формируемой при осуществлении платежей и (или) переводов денег, в том числе по операциям с платежными карточками и электронными деньгами.
3. В случае вывоза товаров с помещением под таможенную процедуру экспорта счет-фактура выписывается не позднее двадцати календарных дней после даты совершения оборота по реализации.
4. При передаче имущества в финансовый лизинг в части начисленной суммы вознаграждения счет-фактура выписывается по итогам календарного квартала не позднее 20 числа месяца, следующего за кварталом, по итогам которого выписывается счет-фактура.
5. В случае реализации периодических печатных изданий или иной продукции средств массовой информации, включая размещенные на интернет-ресурсе в общедоступных телекоммуникационных сетях, счет-фактура выписывается не позднее пятнадцати календарных дней после даты совершения оборота по реализации.
Налогоплательщик вправе выписать счет-фактуру ранее даты совершения оборота на весь оборот по реализации, дата совершения которого приходится на календарный год.
6. Исправленный счет-фактура выписывается при наступлении случая, предусмотренного пунктом 1 статьи 499 настоящего Кодекса.
7. Если иное не установлено настоящим пунктом, дополнительный счет-фактура выписывается не ранее даты совершения оборота на сумму корректировки и не позднее пятнадцати календарных дней после такой даты.
Выписка дополнительного счета-фактуры правопреемником реорганизованного юридического лица в сторону увеличения производится не позднее ста восьмидесяти календарных дней после даты совершения оборота.
При несоблюдении требований статьи 213 настоящего Кодекса дополнительный счет-фактура выписывается лизингодателем в срок не позднее пятнадцати календарных дней с даты наступления такого случая.
8. При обращении получателя товаров, работ, услуг с требованием выписки счета-фактуры в соответствии с пунктами 4 и 5 статьи 208 и пунктами 4 и 5 статьи 491 настоящего Кодекса выписка счета-фактуры осуществляется не позднее тридцати календарных дней после даты совершения оборота.
9. В случае приобретения у нерезидента работ, услуг, являющихся оборотом покупателя таких работ, услуг, счет-фактура в электронной форме выписывается покупателем после уплаты в бюджет налога на добавленную стоимость за нерезидента по такому обороту, но не позднее пяти календарных дней со дня такой уплаты, в том числе путем проведения зачетов в порядке, определенном статьями 122 и 123 настоящего Кодекса.
Статья 494. Особенности выписки счетов-фактур экспедиторами
1. Выписка счетов-фактур при выполнении работ, оказании услуг по договору транспортной экспедиции для стороны, являющейся клиентом по такому договору, осуществляется экспедитором независимо от того является он плательщиком налога на добавленную стоимость или нет.
Счет-фактура выписывается экспедитором на основании счетов-фактур, выписанных перевозчиками и другими поставщиками работ, услуг, являющимися плательщиками налога на добавленную стоимость.
В случае, если перевозчик (поставщик) не является плательщиком налога на добавленную стоимость, счет-фактура выписывается экспедитором на основании документа, подтверждающего стоимость работ, услуг.
2. В счете-фактуре, выписываемом экспедитором, указывается облагаемый (необлагаемый) оборот с учетом стоимости работ и услуг, выполненных и оказанных перевозчиками и (или) поставщиками в рамках договора транспортной экспедиции:
1) являющимися плательщиками налога на добавленную стоимость;
2) не являющимися плательщиками налога на добавленную стоимость.
Сумма вознаграждения по договору транспортной экспедиции, включаемая в оборот экспедитора в счете-фактуре, выделяется отдельной строкой.
В счете-фактуре, выписываемом экспедитором, в качестве реквизитов:
поставщика - указываются реквизиты экспедитора;
получателя - указываются реквизиты налогоплательщика, являющегося клиентом по договору транспортной экспедиции.
3. При осуществлении деятельности по договору транспортной экспедиции экспедитор составляет налоговый регистр в соответствии со статьей 205 настоящего Кодекса, раскрывающий информацию о перевозчиках и (или) поставщиках работ, услуг, оказываемых в рамках такого договора, а также их стоимости.
4. Счет-фактура, выписанный в соответствии с указанными требованиями, является основанием для отнесения в зачет суммы налога на добавленную стоимость стороной, являющейся клиентом по договору транспортной экспедиции.
Статья 495. Особенности выписки счетов-фактур по договорам, условия которых соответствуют условиям договора комиссии
1. При реализации товаров, выполнении работ, оказании услуг на условиях, соответствующих условиям договора комиссии, в случае, если комитент и (или) комиссионер являются плательщиками налога на добавленную стоимость, выписка счетов-фактур покупателю товаров, работ, услуг осуществляется комиссионером независимо от того является он плательщиком налога на добавленную стоимость или нет.
Размер оборота по реализации товаров, работ, услуг в счете-фактуре, выписываемом комиссионером, указывается исходя из стоимости товаров, работ, услуг, по которой комиссионером осуществляется их реализация покупателю.
Счет-фактура выписывается комиссионером с учетом данных:
счета-фактуры, выписанного комиссионеру комитентом, являющимся плательщиком налога на добавленную стоимость (в этом случае сумма облагаемого (необлагаемого) оборота, указанная в счете-фактуре, выписанном комиссионеру комитентом, включается в облагаемый (необлагаемый) оборот в счете-фактуре, выписываемом комиссионером покупателю);
документа, подтверждающего стоимость товаров, работ, услуг, выписанного комитентом, не являющимся плательщиком налога на добавленную стоимость (в этом случае стоимость товаров, работ, услуг, указанная в таком документе, включается в необлагаемый оборот в счете-фактуре, выписываемом комиссионером покупателю).
Размер оборота в счете-фактуре, выписываемом комитентом комиссионеру, указывается исходя из стоимости товаров, работ, услуг, по которой они предоставлены комиссионеру с целью реализации.
Размер оборота в счете-фактуре, выписываемом комиссионером комитенту, указывается исходя из суммы комиссионного вознаграждения комиссионера и стоимости работ, услуг, являющихся оборотом комиссионера по приобретению работ, услуг от нерезидента.
2. При выписке комитентом в адрес комиссионера счета-фактуры на реализацию товаров, работ, услуг на условиях, соответствующих условиям договора комиссии в качестве реквизитов:
поставщика - указываются реквизиты комитента с указанием статуса «комитент»;
получателя - указываются реквизиты комиссионера с указанием статуса «комиссионер».
При выписке комиссионером счета-фактуры получателю товаров, работ, услуг в качестве реквизитов поставщика указываются реквизиты комиссионера с указанием статуса «комиссионер».
3. При передаче комиссионером комитенту товаров, приобретенных для комитента на условиях, соответствующих условиям договора комиссии, а также выполнении работ, оказании услуг третьим лицом для комитента по сделке, заключенной таким третьим лицом с комиссионером, выписка счетов-фактур в адрес комитента осуществляется комиссионером.
Положения настоящего пункта применяются в случае, если комиссионер и (или) лицо, у которого комиссионер приобретает товары, работы, услуги для комитента, являются плательщиками налога на добавленную стоимость.
Размер оборота по реализации товаров, работ, услуг в счете-фактуре, выписываемом комиссионером, указывается с учетом стоимости товаров, работ, услуг, приобретенных комиссионером для комитента на условиях договора комиссии.
Счет-фактура выписывается комиссионером с учетом данных:
счета-фактуры, выписанного комиссионеру третьим лицом, являющимся плательщиком налога на добавленную стоимость (в этом случае сумма облагаемого (необлагаемого) оборота, указанного в счете-фактуре, выписанном третьим лицом комиссионеру, включается в облагаемый (необлагаемый) оборот в счете-фактуре, выписываемом комиссионером комитенту);
документа, подтверждающего стоимость товаров, работ, услуг, выписанного третьим лицом, не являющимся плательщиком налога на добавленную стоимость (в этом случае стоимость товаров, работ, услуг, указанная в таком документе, включается в необлагаемый оборот в счете-фактуре, выписываемом комиссионером комитенту, кроме работ, услуг, являющихся оборотом комиссионера по приобретению работ, услуг от нерезидента);
счета-фактуры в электронной форме, выписанного комиссионером на основании документа, подтверждающего стоимость работ, услуг, являющихся оборотом комиссионера по приобретению работ, услуг от нерезидента, и платежного документа, подтверждающего уплату налога на добавленную стоимость за нерезидента;
декларации на товары, оформленной в соответствии с таможенным законодательством ЕАЭС и (или) таможенным законодательством Республики Казахстан, или заявления о ввозе товаров и уплате косвенных налогов - в случае импорта товаров.
Сумма комиссионного вознаграждения комиссионера и стоимость работ, услуг, являющихся оборотом комиссионера по приобретению работ, услуг от нерезидента, в счете-фактуре, выписываемом комитенту, указываются отдельными строками. При этом, если комиссионер не является плательщиком налога на добавленную стоимость, сумма вознаграждения указывается с отметкой «Без НДС».
4. При выписке комиссионером комитенту счета-фактуры на приобретенные для комитента на условиях договора комиссии товары, работы, услуги в качестве реквизитов:
поставщика - указываются реквизиты комиссионера с указанием статуса «комиссионер»;
получателя - указываются реквизиты комитента с указанием статуса «комитент».
При выписке третьим лицом, являющимся поставщиком товаров, работ, услуг, счета-фактуры комиссионеру в качестве реквизитов получателя указываются реквизиты комиссионера.
5. При выписке счета-фактуры комиссионером по договору, соответствующему условиям договора комиссии, в случаях, предусмотренных настоящей статьей, при наличии вознаграждения в счете-фактуре сумма такого вознаграждения выделяется отдельной строкой.
6. Счет-фактура, выписанный в соответствии с указанными требованиями, а также требованиями статьи 480 настоящего Кодекса, является основанием для отнесения в зачет суммы налога на добавленную стоимость комитентом или покупателем товаров, работ, услуг по договору комиссии.
Статья 496. Особенности выписки счетов-фактур при реализации (приобретении) товаров, работ, услуг, осуществляемых в рамках договоров о совместной деятельности
1. При реализации товаров, работ, услуг в рамках договора о совместной деятельности:
1) счет-фактура выписывается одним из участников договора о совместной деятельности с указанием в строке, отведенной для поставщика (продавца), реквизитов каждого участника договора о совместной деятельности;
2) в счете-фактуре отражается общая сумма оборота, а также сумма оборота, приходящаяся на каждого из участников согласно условиям договора о совместной деятельности.
2. При приобретении товаров, работ, услуг в рамках договора о совместной деятельности:
1) в счете-фактуре, выписанном поставщиком товаров, работ, услуг, отражается в качестве получателя товаров, работ, услуг (покупателя) один из участников договора о совместной деятельности с указанием в строке, отведенной для получателя (покупателя), реквизитов каждого участника договора о совместной деятельности;
2) в счете-фактуре отражается общая сумма приобретения, в том числе суммы налога на добавленную стоимость, приходящиеся на каждого из участников договора о совместной деятельности.
3. В случае, если реализация или приобретение товаров, работ, услуг по договору совместной деятельности производится поверенным, в счете-фактуре реквизиты поверенного отражаются в строке, отведенной для реквизитов поверенного поставщика или поверенного получателя, а реквизиты участников договора о совместной деятельности и сумма оборота или сумма приобретения отражаются с учетом положений пункта 1 и 2 настоящей статьи.
4. Положения настоящей статьи не применяются при реализации (приобретении) товаров, работ, услуг оператором в случаях, предусмотренных пунктом 3 статьи 507 настоящего Кодекса.
Статья 497. Особенности выписки счетов-фактур при оказании юридической помощи адвокатом через адвокатскую контору
1. При оказании юридической помощи адвокатом, учредившим самостоятельно или совместно с другими адвокатами адвокатскую контору, по договорам, заключенным такой адвокатской конторой, счет-фактура выписывается адвокатской конторой от своего имени с указанием:
1) в строке, отведенной для поверенного, - своих реквизитов;
2) в строке, отведенной для поставщика (продавца), - реквизитов каждого адвоката, который оказал юридическую помощь по договору об оказании юридической помощи.
2. В счете-фактуре, выписываемом в соответствии с настоящей статьей, отражаются:
1) общая сумма оборота;
2) сумма оборота, приходящаяся на каждого адвоката, который оказывал юридическую помощь в рамках договора об оказании юридической помощи.
Статья 498. Особенности выписки счетов-фактур в отдельных случаях
1. При реализации (приобретении) товаров, работ, услуг оператором в случаях, предусмотренных пунктом 3 статьи 507 настоящего Кодекса, счет-фактура выписывается в соответствии с требованиями настоящей главы с указанием реквизитов оператора в качестве поставщика (покупателя).
2. Выписка счета-фактуры покупателю товаров, работ, услуг, реализуемых на условиях, соответствующих договору поручения, осуществляется поверенным с отражением реквизитов доверителя, а в случаях, предусмотренных пунктом 2 статьи 455 настоящего Кодекса, - поверенным в порядке, определенном настоящим разделом.
3. В случае, когда налогоплательщик выписывает счет-фактуру ранее даты совершения оборота на весь оборот за календарный год по реализации периодических печатных изданий или иной продукции средств массовой информации, включая размещенные на интернет-ресурсе в общедоступных телекоммуникационных сетях, в счете-фактуре отдельно указываются размер оборота по реализации и соответствующая сумма налога на добавленную стоимость, приходящиеся на каждый налоговый период, входящий в такой календарный год.
Статья 499. Выписка исправленного счета-фактуры
1. Исправленный счет-фактура выписывается в случае необходимости внесения изменений и (или) дополнений в ранее выписанный счет-фактуру, исправления ошибок, не влекущих замену поставщика и (или) получателя товаров, работ, услуг.
При выписке исправленного счета-фактуры ранее выписанный счет-фактура аннулируется, также аннулируются дополнительные счета-фактуры при их наличии.
Для восстановления аннулированных дополнительных счетов-фактур выписываются дополнительные счета-фактуры к исправленному счету-фактуре.
2. Исправленный счет-фактура должен:
1) соответствовать требованиям, установленным настоящей главой к выписке счетов-фактур;
2) содержать следующую информацию:
пометку о том, что счет-фактура является исправленным;
порядковый номер и дату выписки исправленного счета-фактуры;
порядковый номер и дату выписки аннулируемого счета-фактуры.
3. По исправленному счету-фактуре, выписанному на бумажном носителе, обязательно наличие одного из подтверждений о получении такого счета-фактуры получателем товаров, работ, услуг:
1) заверение получателем товаров, работ, услуг такого счета-фактуры подписями и печатью в соответствии с пунктом 6 статьи 492 настоящего Кодекса;
2) направление поставщиком товаров, работ, услуг такого счета-фактуры в адрес получателя товаров, работ, услуг заказным письмом и наличие уведомления о его получении;
3) наличие письма получателя товаров, работ, услуг о получении такого счета-фактуры с подписью и печатью:
для юридических лиц - содержащей название и указание на организационно-правовую форму, если данное лицо в соответствии с законодательством Республики Казахстан должно иметь печать;
для индивидуальных предпринимателей - при ее наличии, содержащей фамилию, имя и отчество и (или) наименование.
4. По исправленному счету-фактуре, выписанному в электронной форме, получатель товаров, работ, услуг:
1) обязан подтвердить выписку такого счета-фактуры или отклонить при несогласии - в случае, если получатель такого исправленного счета-фактуры является плательщиком налога на добавленную стоимость. При этом счет-фактура считается выписанным при наличии подтверждения от получателя такого счета-фактуры;
2) вправе в течение десяти календарных дней со дня получения исправленного счета-фактуры отклонить выписку такого счета-фактуры - в случае, если получатель исправленного счета-фактуры не является плательщиком налога на добавленную стоимость. Если такое отклонение не произведено в течение срока, указанного в настоящем подпункте, то счет-фактура считается подтвержденным получателем товаров, работ, услуг. При этом получатель вправе обратиться к поставщику товаров, работ, услуг с требованием отозвать такой исправленный счет-фактуру.
Положения настоящей статьи не применяются в случаях, предусмотренных статьей 500 настоящего Кодекса.
5. Выписка исправленного счета-фактуры правопреемником реорганизованного юридического лица не производится, кроме случаев реорганизации путем преобразования.
Статья 500. Выписка дополнительного счета-фактуры
1. Выписка дополнительного счета-фактуры производится поставщиком в случаях:
1) корректировки размера оборота в соответствии со статьей 464 настоящего Кодекса;
2) несоблюдения требований статьи 213 настоящего Кодекса.
2. Дополнительный счет-фактура должен:
1) соответствовать требованиям, установленным настоящей главой к выписке счетов-фактур;
2) содержать следующую информацию:
пометку о том, что счет-фактура является дополнительным;
порядковый номер и дату выписки дополнительного счета-фактуры;
порядковый номер и дату выписки счета-фактуры, к которому выписывается дополнительный счет-фактура;
сумму корректировки размера оборота в случае его изменения;
сумму корректировки налога на добавленную стоимость в случае его изменения;
дату совершения оборота на сумму корректировки размера оборота - при выписке в электронной форме;
отметку «несоблюдение статьи 213 Налогового кодекса Республики Казахстан» в случае, установленном подпунктом 2) пункта 1 настоящей статьи.
3. По дополнительному счету-фактуре, выписанному на бумажном носителе, обязательно наличие одного из подтверждений о получении такого счета-фактуры получателем товаров, работ, услуг:
1) заверение получателем товаров, работ, услуг такого счета-фактуры подписями и печатью в соответствии с пунктом 6 статьи 492 настоящего Кодекса;
2) направление поставщиком товаров, работ, услуг такого счета-фактуры в адрес получателя товаров, работ, услуг заказным письмом и наличие уведомления о его получении;
3) наличие письма получателя товаров, работ, услуг о получении такого счета-фактуры с подписью и печатью:
для юридических лиц - содержащей название и указание на организационно-правовую форму, если данное лицо в соответствии с законодательством Республики Казахстан должно иметь печать;
для индивидуальных предпринимателей - при ее наличии, содержащей фамилию, имя и отчество и (или) наименование.
4. По дополнительному счету-фактуре, выписанному в электронной форме, получатель товаров, работ, услуг:
1) обязан подтвердить выписку такого счета-фактуры или отклонить при несогласии - в случае, если получатель такого дополнительного счета-фактуры является плательщиком налога на добавленную стоимость. При этом счет-фактура считается выписанным при наличии подтверждения от получателя такого счета-фактуры;
2) вправе в течение десяти календарных дней со дня получения дополнительного счета-фактуры отклонить выписку такого счета-фактуры - в случае, если получатель дополнительного счета-фактуры не является плательщиком налога на добавленную стоимость. Если такое отклонение не произведено в течение срока, указанного в настоящем подпункте, то счет-фактура считается подтвержденным получателем товаров, работ, услуг. При этом получатель вправе обратиться к поставщику товаров, работ, услуг с требованием отозвать такой дополнительный счет-фактуру.
Статья 501. Отзыв счета-фактуры
1. Отзыв выписанного счета-фактуры в электронной форме производится с целью признания выписки счета-фактуры недействительной. Отзыв счета-фактуры производится налогоплательщиком, выписавшим счет-фактуру.
2. По отозванному счету-фактуре, выписанному в электронной форме, получатель товаров, работ, услуг:
1) обязан подтвердить отзыв такого счета-фактуры или отклонить при несогласии - в случае, если получатель такого счета-фактуры является плательщиком налога на добавленную стоимость. При этом счет-фактура считается отозванным при наличии подтверждения от получателя такого счета-фактуры;
2) вправе в течение десяти календарных дней со дня отзыва счета-фактуры отклонить отзыв такого счета-фактуры - в случае, если получатель счета-фактуры не является плательщиком налога на добавленную стоимость. Если такое отклонение не произведено в течение срока, указанного настоящим подпунктом, то отзыв счета-фактуры считается подтвержденным получателем товаров, работ, услуг. При этом получатель вправе обратиться к поставщику товаров, работ, услуг с требованием восстановить ранее выписанный счет-фактуру.
Глава 51. ПОРЯДОК ИСЧИСЛЕНИЯ И УПЛАТЫ НАЛОГА
Статья 502. Исчисление налога на добавленную стоимость
1. Налог на добавленную стоимость, за исключением налога на добавленную стоимость, начисленного по облагаемому импорту, исчисляется за налоговый период в следующем порядке:
сумма налога на добавленную стоимость, начисленного с облагаемого оборота,
минус
сумма налога на добавленную стоимость, разрешенного к отнесению в зачет, определенная в соответствии со статьями 488 и 489 настоящего Кодекса,
минус
дополнительная сумма налога на добавленную стоимость, относимого в зачет, определенная в соответствии со статьей 490 настоящего Кодекса.
2. Сумма налога на добавленную стоимость, начисленного с облагаемого оборота, определяется в следующем порядке:
произведение ставки, установленной пунктами 1, 2 и 3 статьи 503 настоящего Кодекса, и облагаемого оборота, за исключением оборотов по реализации, указанных в главе 47 настоящего Кодекса, уменьшенного и (или) увеличенного на сумму оборотов, предусмотренных статьями 464 и 465 настоящего Кодекса,
плюс
произведение ставки, установленной пунктом 4 статьи 503 настоящего Кодекса, и оборотов по реализации, указанных в главе 47 настоящего Кодекса, уменьшенных и (или) увеличенных на сумму оборотов, предусмотренных статьями 464 и 465 настоящего Кодекса.
3. Если результат расчета, предусмотренного пунктом 1 настоящей статьи, имеет:
1) положительное значение, такой результат является суммой налога, подлежащего уплате в бюджет в порядке, определенном настоящим Кодексом;
2) отрицательное значение, такой результат является превышением суммы налога на добавленную стоимость, относимого в зачет, над суммой начисленного налога.
4. Сумма налога на добавленную стоимость за нерезидента исчисляется путем применения ставки, предусмотренной пунктом 1 статьи 503 настоящего Кодекса, к размеру оборота по приобретению работ, услуг от нерезидента.
Статья 503. Ставки налога на добавленную стоимость
1. Если иное не установлено настоящей статьей, ставка налога на добавленную стоимость составляет 16 процентов и применяется к размеру облагаемого оборота и облагаемого импорта.
2. Ставка налога на добавленную стоимость составляет с 1 января 2026 года - 5 процентов, с 1 января 2027 года -10 процентов и применяется:
1) к размеру облагаемого оборота по реализации и импорта:
лекарственных средств, за исключением товаров, предусмотренных подпунктом 28) статьи 474 настоящего Кодекса и подпунктом 17) пункта 1 статьи 479 настоящего Кодекса;
медицинских изделий, комплектующих медицинских изделий, а также технических вспомогательных (компенсаторных) средств в соответствии с законодательством Республики Казахстан о социальной защите.
Перечень лекарственных средств, медицинских изделий, комплектующих медицинских изделий, а также технических вспомогательных (компенсаторных) средств в соответствии с законодательством Республики Казахстан о социальной защите устанавливается Правительством Республики Казахстан;
2) к размеру облагаемого оборота по реализации медицинских услуг, в том числе оказываемых в комплексе, в соответствии с законодательством Республики Казахстан субъектом здравоохранения, имеющим лицензию на медицинскую деятельность.
Положения настоящего подпункта не применяются по медицинским услугам, предусмотренным подпунктом 28) статьи 474 настоящего Кодекса.
3. Ставка налога на добавленную стоимость составляет 10 процентов и применяется к размеру оборота по реализации отечественных периодических печатных изданий.
4. Обороты по реализации товаров, работ, услуг, указанные в главе 47 настоящего Кодекса, облагаются налогом на добавленную стоимость по нулевой ставке.
В случае неподтверждения в соответствии с главой 47 настоящего Кодекса оборота по реализации товаров, работ, услуг, облагаемого по нулевой ставке, указанный оборот по реализации товаров и услуг подлежит обложению налогом на добавленную стоимость по ставке, указанной в пункте 1 настоящей статьи.
Размеры и порядок уплаты единых ставок таможенных пошлин, налогов, а также совокупного таможенного платежа устанавливаются таможенным законодательством ЕАЭС и (или) таможенным законодательством Республики Казахстан.
5. При снятии лица с регистрационного учета по налогу на добавленную стоимость к размеру облагаемого оборота, определяемого в соответствии с пунктом 4 статьи 461 настоящего Кодекса, применяется ставка налога на добавленную стоимость:
1) по запасам - действовавшая на дату снятия лица с регистрационного учета по налогу на добавленную стоимость;
2) по основным средствам, нематериальным и биологическим активам, инвестициям в недвижимость - действовавшая на дату их приобретения.
Статья 504. Налоговый период
Налоговым периодом по налогу на добавленную стоимость является календарный квартал.
Статья 505. Налоговая декларация
1. Плательщик налога на добавленную стоимость, указанный в подпункте 1) пункта 1 статьи 447 настоящего Кодекса, обязан представить декларацию по налогу на добавленную стоимость в налоговый орган по месту нахождения за каждый налоговый период не ранее 15 числа месяца, следующего за отчетным налоговым периодом и не позднее 15 числа второго месяца, следующего за отчетным налоговым периодом, если иное не установлено настоящей статьей.
Обязательство по представлению декларации по налогу на добавленную стоимость не распространяется на лиц, указанных в подпункте 2) пункта 1 статьи 447 настоящего Кодекса, по которым не произведена постановка на регистрационный учет по налогу на добавленную стоимость.
В случаях, предусмотренных пунктом 3 статьи 507 настоящего Кодекса, оператор представляет декларацию по налогу на добавленную стоимость по деятельности, осуществляемой в рамках соглашения (контракта) о разделе продукции.
2. Плательщик налога на добавленную стоимость обязан представить ликвидационную декларацию по налогу на добавленную стоимость:
при снятии с регистрационного учета по налогу на добавленную стоимость в порядке, предусмотренном статьей 103 настоящего Кодекса.
при ликвидации в порядке, предусмотренном главой 7 настоящего Кодекса.
Статья 506. Сроки уплаты налога на добавленную стоимость
Налог на добавленную стоимость подлежит уплате в бюджет по месту нахождения налогоплательщика в следующие сроки:
1) не позднее 25 числа второго месяца, следующего за отчетным налоговым периодом, - сумма налога на добавленную стоимость, подлежащего уплате в бюджет за каждый налоговый период, а также исчисленного налога на добавленную стоимость за нерезидента, за исключением налога на добавленную стоимость, указанного в подпунктах 2) и 3) части первой настоящей статьи;
2) в сроки, определенные таможенным законодательством Республики Казахстан, - сумма налога на добавленную стоимость по импортируемым товарам;
3) не позднее десяти календарных дней со дня представления в налоговый орган ликвидационной декларации по налогу на добавленную стоимость - сумма налога на добавленную стоимость, отраженного в такой декларации, в случае снятия плательщика налога на добавленную стоимость с регистрационного учета по налогу на добавленную стоимость в соответствии со статьей 103 настоящего Кодекса.
В случае, если срок уплаты налога на добавленную стоимость, отраженного в декларации по налогу на добавленную стоимость, представленной за налоговый период, предшествующий налоговому периоду, за который представлена ликвидационная декларация по такому налогу, наступает после истечения срока, указанного в подпункте 3) части первой настоящей статьи, уплата налога производится не позднее десяти календарных дней со дня представления в налоговый орган ликвидационной декларации.
Статья 507. Особенности исполнения налогового обязательства по налогу на добавленную стоимость недропользователями, осуществляющими деятельность по соглашению (контракту) о разделе продукции в составе простого товарищества (консорциума)
1. Налоговое обязательство по составлению и представлению налоговых форм по налогу на добавленную стоимость в рамках деятельности по соглашению (контракту) о разделе продукции должно быть исполнено одним из следующих способов:
каждым участником простого товарищества в части доли налога на добавленную стоимость, приходящейся на указанного участника;
оператором сводно по деятельности, осуществляемой в рамках соглашения (контракта) о разделе продукции, если условиями соглашения (контракта) о разделе продукции оператор уполномочен на исполнение такого налогового обязательства.
2. При исполнении налогового обязательства по составлению и представлению налоговых форм по налогу на добавленную стоимость каждым участником простого товарищества (консорциума):
счета-фактуры по реализации (приобретению) товаров, работ, услуг выписываются в соответствии с требованиями статьи 496 настоящего Кодекса;
декларация по налогу на добавленную стоимость и реестры счетов-фактур, являющиеся приложением к декларации, представляются каждым участником простого товарищества (консорциума) в части, приходящейся на долю такого участника;
исчисленные, начисленные (уменьшенные), перечисленные и уплаченные (с учетом зачтенных и возвращенных) суммы налога на добавленную стоимость отражаются на лицевом счете каждого участника простого товарищества в части, приходящейся на долю указанного лица;
возврат суммы превышения налога на добавленную стоимость производится участнику простого товарищества (консорциума), представившему декларацию;
порядок налогового администрирования, в том числе вручения предписания, уведомления и акта налоговой проверки, применяется в отношении каждого участника простого товарищества (консорциума) в порядке, определенном настоящим Кодексом.
3. При исполнении налогового обязательства по составлению и представлению налоговых форм по налогу на добавленную стоимость оператором сводно по деятельности, осуществляемой по соглашению (контракту) о разделе продукции:
счета-фактуры по реализации (приобретению) товаров, работ, услуг выписываются в общеустановленном порядке в соответствии с требованиями главы 50 настоящего Кодекса с указанием реквизитов оператора;
декларация по налогу на добавленную стоимость и реестры счетов-фактур, являющиеся приложением к декларации, представляются оператором сводно по деятельности, осуществляемой в рамках соглашения (контракта) о разделе продукции;
исчисленные, начисленные (уменьшенные), перечисленные и уплаченные (с учетом зачтенных и возвращенных) суммы налога на добавленную стоимость отражаются на лицевом счете оператора;
возврат суммы превышения налога на добавленную стоимость производится оператору;
порядок налогового администрирования, в том числе вручение предписания, уведомления и акта налоговой проверки, применяется в отношении оператора в соответствии с порядком, предусмотренным настоящим Кодексом для налогоплательщиков (налоговых агентов), и при этом указанные документы считаются врученными каждому участнику простого товарищества (консорциума) как налогоплательщику по соглашению (контракту) о разделе продукции.
4. Выбранный способ исполнения налогового обязательства по составлению и представлению налоговых форм по налогу на добавленную стоимость в соответствии с настоящей статьей должен быть отражен в налоговой учетной политике и оставаться неизменным до истечения периода действия соглашения (контракта) о разделе продукции.
Статья 508. Уплата налога на добавленную стоимость на импортируемые товары методом зачета
1. Налог на добавленную стоимость уплачивается методом зачета в порядке, определенном настоящей статьей, плательщиками налога на добавленную стоимость, указанными в подпункте 1) пункта 1 статьи 447 настоящего Кодекса, по следующим товарам, помещаемым под таможенную процедуру выпуска для внутреннего потребления:
1) оборудование;
2) сельскохозяйственная техника;
3) грузовой подвижной состав автомобильного транспорта;
4) вертолеты и самолеты;
5) морские суда;
6) локомотивы железнодорожные и вагоны;
7) запасные части к товарам, указанным в подпунктах 2) - 6) настоящего пункта;
8) племенные животные и оборудование для искусственного осеменения;
9) крупный рогатый скот живой.
Перечень указанных товаров и порядок его формирования утверждаются Правительством Республики Казахстан.
В данный перечень включаются товары, производство которых отсутствует на территории Республики Казахстан.
В данный перечень включаются товары, указанные в подпунктах 8) и 9) части первой настоящего пункта, которые не покрывают потребности Республики Казахстан.
2. Положения настоящей статьи в части уплаты налога на добавленную стоимость методом зачета применяются в отношении товаров, ввозимых плательщиком налога на добавленную стоимость, указанным в подпункте 1) пункта 1 статьи 447 настоящего Кодекса:
1) не предназначенных для дальнейшей реализации или передачи в международный финансовый лизинг;
2) с целью передачи в финансовый лизинг, за исключением передачи в международный финансовый лизинг;
3) указанных в подпункте 7) части первой пункта 1 настоящей статьи, используемых в производстве сельскохозяйственной техники, включенной в перечень, установленный уполномоченным органом в области развития агропромышленного комплекса по согласованию с центральным уполномоченным органом по государственному планированию и уполномоченным органом.
3. Сумма налога на добавленную стоимость, уплаченная методом зачета, отражается в декларации по налогу на добавленную стоимость одновременно в начислении и зачете в порядке, определенном налоговым законодательством Республики Казахстан.
В случае нарушения в течение обязательного периода использования требований, установленных пунктом 2 настоящей статьи, налог на добавленную стоимость на импортируемые товары подлежит уплате с начислением пени со срока, установленного для уплаты налога на добавленную стоимость на импортируемые товары, в порядке и размере, которые определены таможенным законодательством ЕАЭС и (или) таможенным законодательством Республики Казахстан. Обязательным периодом использования импортированных товаров является срок с даты выпуска товаров для внутреннего потребления на территорию Республики Казахстан:
пять лет - по импортированным товарам (за исключением сельскохозяйственной птицы);
18 месяцев - по сельскохозяйственной птице.
При этом не являются нарушениями требований, установленных настоящей статьей:
1) вынужденный забой животных, указанных в подпунктах 8) и 9) части первой пункта 1 настоящей статьи, и (или) реализация мяса и мясных продуктов, полученных в результате такого вынужденного забоя, или убыль (падеж) таких животных в пределах норм естественной убыли.
Порядок вынужденного забоя и нормы естественной убыли утверждаются уполномоченным органом в области развития агропромышленного комплекса;
2) вывоз товаров в соответствии с таможенной процедурой реэкспорта ранее ввезенных товаров при соблюдении условий помещения товаров под таможенную процедуру реэкспорта;
3) снятие с регистрационного учета по налогу на добавленную стоимость после выпуска товаров;
4) выбытие (списание) товара в результате аварии, крушения и (или) неисправности при наличии документа, подтверждающего невозможность восстановления указанного товара.
4. Реализация товаров, по которым налог на добавленную стоимость на импортируемые товары уплачен методом зачета, по истечении обязательного периода использования с даты их выпуска для внутреннего потребления на территорию Республики Казахстан не подлежит обложению налогом на добавленную стоимость на импортируемые товары.
Положения настоящего пункта применяются также при реализации после 31 декабря 2008 года товаров, ввезенных по 31 декабря 2008 года для собственных производственных нужд, при импорте которых налог на добавленную стоимость уплачен методом зачета.
5. Обороты по реализации товаров, указанных в пункте 1 настоящей статьи, по которым налог на добавленную стоимость уплачен методом зачета, при передаче в финансовый лизинг освобождаются от налога на добавленную стоимость.
Положение настоящего пункта применяется также при передаче после 31 декабря 2008 года в финансовый лизинг товаров, ввезенных по 31 декабря 2008 года для собственных производственных нужд, по которым налог на добавленную стоимость уплачен методом зачета.
Статья 509. Уплата налога на добавленную стоимость на импортируемые товары на территорию Республики Казахстан с территории государств - членов ЕАЭС методом зачета
1. Налог на добавленную стоимость уплачивается методом зачета в порядке, определенном настоящей статьей, плательщиками налога на добавленную стоимость, указанными в подпункте 1) пункта 1 статьи 447 настоящего Кодекса, по следующим товарам, импортируемым на территорию Республики Казахстан с территории государств - членов ЕАЭС:
1) оборудование;
2) сельскохозяйственная техника;
3) грузовой подвижной состав автомобильного транспорта;
4) вертолеты и самолеты;
5) морские суда;
6) локомотивы железнодорожные и вагоны;
7) запасные части к товарам, указанным в подпунктах 2) - 6) настоящего пункта;
8) племенные животные и оборудование для искусственного осеменения;
9) крупный рогатый скот живой.
Перечень указанных товаров и порядок его формирования утверждаются Правительством Республики Казахстан.
В данный перечень включаются товары, производство которых отсутствует на территории Республики Казахстан.
В данный перечень включаются товары, указанные в подпунктах 8) и 9) части первой настоящего пункта, которые не покрывают потребности Республики Казахстан.
2. Положения настоящей статьи в части уплаты налога на добавленную стоимость методом зачета применяются в отношении товаров, ввозимых плательщиком налога на добавленную стоимость, указанным в подпункте 1) пункта 1 статьи 447 настоящего Кодекса:
1) не предназначенных для дальнейшей реализации или передачи в международный финансовый лизинг;
2) с целью передачи в финансовый лизинг, за исключением передачи в международный финансовый лизинг;
3) указанных в подпункте 7) части первой пункта 1 настоящей статьи, используемых в производстве сельскохозяйственной техники, включенной в перечень, установленный уполномоченным органом в области развития агропромышленного комплекса по согласованию с центральным уполномоченным органом по государственному планированию и уполномоченным органом.
3. Плательщик налога на добавленную стоимость, указанный в подпункте 1) пункта 1 статьи 447 настоящего Кодекса, одновременно с заявлением о ввозе товаров и уплате косвенных налогов представляет в налоговый орган:
1) документы, указанные в пункте 2 статьи 530 настоящего Кодекса;
2) документы, описывающие основные технические, коммерческие характеристики товаров, позволяющие отнести товар к конкретной товарной подсубпозиции единой Товарной номенклатуры внешнеэкономической деятельности ЕАЭС. При необходимости представляются фотографии, рисунки, чертежи, паспорта изделий, пробы, образцы товаров и другие документы.
4. Ввоз товаров, указанных в пункте 1 настоящей статьи, производится без фактической уплаты налога на добавленную стоимость при условии уплаты в установленном порядке акцизов по подакцизным товарам.
5. Сумма налога на добавленную стоимость, уплаченная методом зачета, отражается в декларации по налогу на добавленную стоимость одновременно в начислении и зачете в порядке, определенном налоговым законодательством Республики Казахстан.
В случае нарушения в течение обязательного периода использования требований, установленных пунктом 2 настоящей статьи, налог на добавленную стоимость на ввозимые товары подлежит уплате с начислением пеней со срока, установленного для уплаты налога на добавленную стоимость при ввозе товаров, в порядке и размере, которые определены налоговым законодательством Республики Казахстан. Обязательным периодом использования ввезенных товаров является срок с даты ввоза товаров на территорию Республики Казахстан:
пять лет - по импортированным товарам (за исключением сельскохозяйственной птицы);
18 месяцев - по сельскохозяйственной птице.
При этом не являются нарушениями требований, установленных настоящей статьей:
1) вынужденный забой животных, указанных в подпунктах 8) и 9) части первой пункта 1 настоящей статьи, и (или) реализация мяса и мясных продуктов, полученных в результате такого забоя, или убыль (падеж) таких животных в пределах норм естественной убыли.
Порядок вынужденного забоя и нормы естественной убыли утверждаются уполномоченным органом в области развития агропромышленного комплекса;
2) снятие с регистрационного учета по налогу на добавленную стоимость после даты принятия на учет импортированных товаров, определенных в соответствии со статьей 516 настоящего Кодекса;
3) выбытие (списание) товара в результате аварии, крушения и (или) неисправности при наличии документа, подтверждающего невозможность восстановления указанного товара.
6. Обороты по реализации товаров, указанных в пункте 1 настоящей статьи, по которым налог на добавленную стоимость уплачен методом зачета, при передаче в финансовый лизинг освобождаются от налога на добавленную стоимость.
7. Положения настоящей статьи также распространяются на товары, импортированные на территорию Республики Казахстан с территории государств - членов ЕАЭС, по договорам (контрактам) лизинга в части суммы налога на добавленную стоимость, приходящейся на сумму лизингового платежа, предусмотренного договором лизинга, без учета вознаграждения.
Статья 510. Взаимоотношения с бюджетом по налогу на добавленную стоимость
1. Превышение суммы налога на добавленную стоимость, относимого в зачет, над суммой начисленного налога, сложившееся по декларации нарастающим итогом на конец отчетного налогового периода (далее в целях настоящей статьи - сумма превышения налога), зачитывается в счет предстоящих платежей по налогу на добавленную стоимость (далее в целях настоящей статьи - налог).
Сумма превышения налога не зачитывается в счет уплаты налога по импортируемым товарам и (или) при приобретении работ, услуг от нерезидента.
2. Возврату из бюджета подлежат:
1) налог, излишне уплаченный в бюджет в соответствии с параграфом 1 главы 10 настоящего Кодекса;
2) сумма превышения налога в соответствии с параграфом 2 главы 10 настоящего Кодекса;
3) налог по иным основаниям в соответствии с параграфом 3 главы 10 настоящего Кодекса.
3. По налогоплательщикам, снятым с регистрационного учета плательщика налога, подлежит списанию сумма превышения налога, сложившаяся:
на дату снятия с регистрационного учета плательщика налога, в случае невыполнения условий, предусмотренных пунктом 2 статьи 496 настоящего Кодекса;
после выполнения требований, указанных в подпункте 3) пункта 1 статьи 439 настоящего Кодекса.
Списание превышения налога с лицевого счета налогоплательщика осуществляется в соответствии с порядком ведения лицевого счета, определенным уполномоченным органом.
Глава 52. ОСОБЕННОСТИ ОБЛОЖЕНИЯ НАЛОГОМ НА ДОБАВЛЕННУЮ СТОИМОСТЬ ПРИ ЭКСПОРТЕ ИМПОРТЕ ТОВАРОВ, ВЫПОЛНЕНИИ РАБОТ, ОКАЗАНИИ УСЛУГ В ЕАЭС
Статья 511. Общие положения
1. Положения настоящей главы установлены на основании международных договоров, заключенных между государствами - членами ЕАЭС, и регулируют налогообложение в части налога на добавленную стоимость при экспорте и импорте товаров, выполнении работ, оказании услуг, а также его налоговое администрирование во взаимной торговле государств - членов ЕАЭС.
Если настоящей главой установлены иные нормы в части обложения налогом на добавленную стоимость при экспорте и импорте товаров, выполнении работ, оказании услуг, а также его налогового администрирования, чем те, которые содержатся в других главах настоящего Кодекса, применяются нормы настоящей главы.
Не урегулированные в настоящей главе вопросы, касающиеся обложения налогом на добавленную стоимость при экспорте и импорте товаров, выполнении работ, оказании услуг, а также его налогового администрирования, регулируются другими главами настоящего Кодекса, а также Законом Республики Казахстан о введении в действие настоящего Кодекса.
Применяемые в настоящей главе понятия предусмотрены ратифицированными Республикой Казахстан международными договорами, заключенными между государствами - членами ЕАЭС.
Если в ратифицированных Республикой Казахстан международных договорах, заключенных между государствами - членами ЕАЭС, не предусмотрены понятия, используемые в настоящей главе, применяются понятия, предусмотренные соответствующими статьями настоящего Кодекса, гражданским и другими отраслями законодательства Республики Казахстан.
Взимание налога на добавленную стоимость по товарам, импортируемым на территорию Республики Казахстан с территории другого государства - члена ЕАЭС, осуществляется налоговыми органами по ставке, установленной пунктом 1 статьи 503 настоящего Кодекса, применяемой к размеру облагаемого импорта.
Налоговый контроль за исполнением налогоплательщиком налогового обязательства по налогу на добавленную стоимость при экспорте и импорте товаров, выполнении работ, оказании услуг во взаимной торговле государств - членов ЕАЭС осуществляется налоговыми органами на основании налоговой отчетности, представленной налогоплательщиком, а также сведений и (или) документов о деятельности налогоплательщика, полученных от государственных органов и иных лиц.
Для целей настоящей главы стоимость товаров, работ, услуг в иностранной валюте пересчитывается в тенге по официальному курсу валюты, установленному на дату совершения оборота по реализации товаров, работ, услуг, облагаемого импорта.
2. В целях настоящей главы лизингом признается передача имущества (предмета лизинга) по договору лизинга на срок свыше трех лет, если она отвечает одному из следующих условий:
1) передача имущества (предмета лизинга) в собственность лизингополучателю по фиксированной цене определена договором лизинга;
2) срок лизинга превышает 75 процентов срока полезной службы передаваемого по лизингу имущества (предмета лизинга);
3) текущая (дисконтированная) стоимость лизинговых платежей за весь срок лизинга превышает 90 процентов стоимости передаваемого по лизингу имущества (предмета лизинга).
В целях настоящей главы такая передача рассматривается как продажа имущества (предмета лизинга) лизингодателем и покупка данного имущества (предмета лизинга) лизингополучателем. При этом лизингополучатель рассматривается как владелец предмета лизинга, а лизинговые платежи - как платежи по кредиту, предоставленному лизингополучателю, в размере части стоимости товаров.
В целях настоящей главы под лизинговым платежом понимается часть стоимости товара (предмета лизинга) с учетом вознаграждения, предусмотренной договором (контрактом) лизинга.
В целях настоящей главы не признаются лизингом лизинговые сделки в случае несоблюдения указанных выше условий или расторжения по ним договора лизинга (прекращения обязательств по договору лизинга) до истечения трех лет с даты заключения таких договоров.
В целях настоящей главы под вознаграждением по договору лизинга понимаются все выплаты, связанные с передачей имущества (предмета лизинга) в лизинг, за исключением стоимости, по которой такое имущество (предмет лизинга) получено (передано), выплат лицу, не являющемуся для лизингополучателя лизингодателем, взаимосвязанной стороной.
Статья 512. Плательщики налога на добавленную стоимость в ЕАЭС
Плательщиками налога на добавленную стоимость в ЕАЭС являются:
1) лица, указанные в подпункте 1) пункта 1 статьи 447 настоящего Кодекса;
2) лица, импортирующие товары на территорию Республики Казахстан с территории государств - членов ЕАЭС:
юридическое лицо - резидент;
структурное подразделение юридического лица - резидента в случае, если оно является стороной договора (контракта);
структурное подразделение юридического лица - резидента на основании соответствующего решения такого юридического лица в случае, если по условиям договора (контракта) между юридическим лицом - резидентом и налогоплательщиком государства - члена ЕАЭС получателем товаров является структурное подразделение юридического лица - резидента;
юридическое лицо - нерезидент, осуществляющее деятельность через постоянное учреждение без открытия структурного подразделения, зарегистрированное в качестве налогоплательщика в налоговых органах Республики Казахстан;
юридическое лицо - нерезидент, осуществляющее деятельность в Республике Казахстан через структурное подразделение;
юридическое лицо - нерезидент, осуществляющее деятельность без образования постоянного учреждения;
доверительные управляющие, импортирующие товары в рамках осуществления деятельности по договорам доверительного управления с учредителями доверительного управления либо с выгодоприобретателями в иных случаях возникновения доверительного управления;
дипломатическое и приравненное к нему представительство иностранного государства, аккредитованное в Республике Казахстан, лица, относящиеся к дипломатическому, административно-техническому персоналу этих представительств, включая членов их семей, проживающих вместе с ними; консульское учреждение иностранного государства, аккредитованное в Республике Казахстан, консульские должностные лица, консульские служащие, включая членов их семей, проживающих вместе с ними;
лица, занимающиеся частной практикой, импортирующие товары в целях осуществления нотариальной деятельности, деятельности по исполнению исполнительных документов, адвокатской деятельности, профессиональной деятельности медиатора;
физическое лицо, импортирующее товары в целях предпринимательской деятельности. Критерии отнесения товаров к импортируемым в целях предпринимательской деятельности устанавливаются уполномоченным органом.
Статья 513. Объекты налогообложения, определение облагаемого оборота
Если иное не установлено статьей 514 настоящего Кодекса, объекты обложения налогом на добавленную стоимость в ЕАЭС, а также облагаемый оборот определяются в соответствии со статьями 448, 449 и 454 настоящего Кодекса.
Статья 514. Определение оборота по реализации товаров, работ, услуг и облагаемого импорта в ЕАЭС
1. Оборотом по реализации товаров является экспорт товаров с территории Республики Казахстан на территорию другого государства - члена ЕАЭС.
2. Не является оборотом по реализации временный вывоз товаров с территории Республики Казахстан на территорию государств - членов ЕАЭС, которые в последующем будут ввезены на территорию Республики Казахстан без изменения их свойств и характеристик.
3. Оборотом по реализации работ, услуг в ЕАЭС являются обороты в соответствии с пунктом 2 статьи 452 настоящего Кодекса, если на основании пункта 2 статьи 515 настоящего Кодекса местом реализации работ, услуг признается Республика Казахстан.
4. Облагаемым импортом являются:
1) товары, ввезенные (ввозимые) на территорию Республики Казахстан (за исключением освобожденных от налога на добавленную стоимость в соответствии с пунктом 2 статьи 525 настоящего Кодекса).
Положение настоящего подпункта применяется также в отношении ввезенных (ввозимых) транспортных средств, подлежащих государственной регистрации в государственных органах Республики Казахстан;
2) товары, являющиеся продуктами переработки давальческого сырья, ввезенные на территорию Республики Казахстан с территории другого государства - члена ЕАЭС.
5. Не является облагаемым импортом:
1) временный ввоз товаров на территорию Республики Казахстан с территории государств - членов ЕАЭС, которые в последующем будут вывезены с территории Республики Казахстан без изменения их свойств и характеристик;
2) ввоз товаров на территорию Республики Казахстан с территории государств - членов ЕАЭС без изменения свойств и характеристик, которые ранее были временно вывезены на территорию государств - членов ЕАЭС.
Положения настоящего пункта применяются при временном ввозе товаров:
1) по договорам имущественного найма (аренды) движимого имущества и транспортных средств;
2) на выставки и ярмарки.
Положения настоящего пункта не распространяются на транспортные средства, посредством которых оказываются услуги по международным перевозкам, предусмотренным пунктом 2 статьи 468 настоящего Кодекса.
В случае реализации товаров, указанных в настоящем пункте, ввоз таких товаров признается облагаемым импортом и подлежит обложению налогом на добавленную стоимость по импортированным товарам с даты принятия на учет таких товаров в порядке и размере, которые определены настоящим Кодексом.
В случае нахождения временно ввезенных товаров на территории Республики Казахстан более двух лет с даты ввоза ввоз таких товаров признается облагаемым импортом и подлежит обложению налогом на добавленную стоимость по импортированным товарам с даты принятия на учет таких товаров в порядке и размере, которые определены настоящим Кодексом.
6. Косвенные налоги не взимаются при импорте на территорию Республики Казахстан:
1) товаров, ввозимых физическими лицами не в целях предпринимательской деятельности;
2) товаров, ввозимых с территории государства - члена ЕАЭС в связи с их передачей в пределах одного юридического лица.
7. Налогоплательщик обязан уведомлять налоговые органы при ввозе (вывозе) товаров, указанных в подпунктах 1) и 2) части второй пункта 5 и подпункте 2) пункта 6 настоящей статьи.
При временном ввозе товаров на территорию Республики Казахстан с территории государств - членов ЕАЭС юридическим лицом - нерезидентом, осуществляющим деятельность без образования постоянного учреждения в Республике Казахстан, обязанность по представлению уведомления возникает у налогоплательщика Республики Казахстан, который получил во временное пользование товары.
Форма уведомления о ввозе (вывозе) товаров, порядок и сроки его представления в налоговые органы утверждаются уполномоченным органом.
Статья 515. Место реализации товаров, работ, услуг
1. Место реализации товаров определяется в соответствии с пунктом 1 статьи 459 настоящего Кодекса.
2. Местом реализации работ, услуг признается территория государства - члена ЕАЭС, если:
1) работы, услуги связаны непосредственно с недвижимым имуществом, находящимся на территории этого государства.
Положения настоящего подпункта применяются также в отношении услуг по аренде, найму и предоставлению в пользование на иных основаниях недвижимого имущества.
Для целей настоящего подпункта недвижимым имуществом признаются земельные участки, участки недр, обособленные водные объекты и все, что прочно связано с землей, то есть объекты, перемещение которых без несоразмерного ущерба их назначению невозможно, в том числе леса, многолетние насаждения, здания, сооружения, трубопроводы, линии электропередачи, предприятия как имущественные комплексы и космические объекты;
2) работы, услуги связаны непосредственно с движимым имуществом, транспортными средствами, находящимися на территории этого государства (кроме услуг по аренде, лизингу и предоставлению в пользование на иных основаниях движимого имущества и транспортных средств).
Для целей настоящего подпункта движимым имуществом признаются вещи, не относящиеся к недвижимому имуществу, указанному в подпункте 1) настоящего пункта, транспортным средствам.
Для целей настоящего подпункта транспортными средствами признаются морские и воздушные суда, суда внутреннего плавания, суда смешанного (река-море) плавания; единицы железнодорожного или трамвайного подвижного состава; автобусы; автомобили, включая прицепы и полуприцепы; грузовые контейнеры; карьерные самосвалы;
3) услуги в сфере культуры, искусства, обучения (образования), физической культуры, туризма, отдыха и спорта оказаны на территории этого государства;
4) налогоплательщиком этого государства приобретаются:
консультационные, юридические, бухгалтерские, аудиторские, инжиниринговые, рекламные, дизайнерские, маркетинговые услуги, услуги по обработке информации, а также научно-исследовательские, опытно-конструкторские и опытно-технологические (технологические) работы;
работы, услуги по разработке программ для электронных вычислительных машин и баз данных (программных средств и информационных продуктов вычислительной техники), их адаптации и модификации, сопровождению таких программ и баз данных;
услуги по предоставлению персонала в случае, если персонал работает в месте деятельности покупателя.
Положения настоящего подпункта применяются также при:
передаче, предоставлении, уступке патентов, лицензий, иных документов, удостоверяющих права на охраняемые государством объекты промышленной собственности, торговых марок, товарных знаков, фирменных наименований, знаков обслуживания, авторских, смежных прав или иных аналогичных прав;
аренде, лизинге и предоставлении в пользование на иных основаниях движимого имущества, за исключением аренды, лизинга и предоставления в пользование на иных основаниях транспортных средств;
оказании услуг лицом, привлекающим от имени основного участника договора (контракта) другое лицо для выполнения работ, услуг, предусмотренных настоящим подпунктом;
5) работы выполняются, услуги оказываются налогоплательщиком этого государства, если иное не предусмотрено подпунктами 1), 2), 3) и 4) настоящего пункта.
Положения настоящего подпункта применяются также при аренде, лизинге и предоставлении в пользование на иных основаниях транспортных средств.
3. Документами, подтверждающими место реализации работ, услуг, являются:
договор (контракт) на выполнение работ, оказание услуг, заключенный между налогоплательщиком Республики Казахстан и налогоплательщиком государства - члена ЕАЭС;
документы, подтверждающие факт выполнения работ, оказания услуг;
иные документы, предусмотренные законодательством Республики Казахстан.
4. В случае если налогоплательщиком выполняются, оказываются несколько видов работ, услуг, порядок налогообложения которых регулируется настоящим разделом, и реализация одних работ, услуг носит вспомогательный характер по отношению к реализации других работ, услуг, то местом реализации вспомогательных работ, услуг признается место реализации основных работ, услуг.
5. Положения настоящей статьи не применяются в случаях, установленных разделом 21 настоящего Кодекса.
Статья 516. Дата совершения оборота по реализации товаров, работ, услуг, облагаемого импорта
1. В целях исчисления налога на добавленную стоимость при реализации товаров на экспорт датой совершения оборота по реализации товаров является дата отгрузки, определяемая как дата первого по времени составления первичного бухгалтерского (учетного) документа, подтверждающего отгрузку товаров, оформленного на покупателя товаров (первого перевозчика).
2. Если иное не установлено настоящей статьей, датой совершения облагаемого импорта является дата принятия налогоплательщиком на учет импортированных товаров (в том числе товаров, являющихся результатом выполнения работ по договорам (контрактам) об их изготовлении), а также товаров, полученных по договору (контракту), предусматривающему предоставление займа в виде вещей, товаров, являющихся продуктами переработки давальческого сырья.
Если иное не установлено настоящим пунктом, для целей настоящей главы датой принятия на учет импортированных товаров являются:
1) наиболее ранняя из дат признания (отражения) таких товаров в бухгалтерском учете в соответствии с международными стандартами финансовой отчетности и (или) требованиями законодательства Республики Казахстан о бухгалтерском учете и финансовой отчетности;
2) дата ввоза таких товаров на территорию Республики Казахстан.
При наличии у налогоплательщика обеих дат, указанных в подпунктах 1) и 2) части второй настоящего пункта, датой принятия на учет импортированных товаров признается наиболее поздняя из указанных дат.
Для целей настоящего пункта датой ввоза товаров на территорию Республики Казахстан являются:
при перевозке товаров воздушными или морскими судами - дата ввоза в аэропорт или порт, расположенные на территории Республики Казахстан;
при перевозке товаров в международном автомобильном сообщении - дата пересечения Государственной границы Республики Казахстан.
При этом дата пересечения Государственной границы Республики Казахстан определяется на основании талона о прохождении государственного контроля (либо копии талона о прохождении государственного контроля), выдаваемого территориальными подразделениями (структурными подразделениями) Пограничной службы Комитета национальной безопасности Республики Казахстан, форма и порядок представления которого устанавливаются совместно с уполномоченным органом и Комитетом национальной безопасности Республики Казахстан. В целях налогового администрирования уполномоченным органом и Комитетом национальной безопасности Республики Казахстан организуется взаимодействие по передаче сведений посредством единой информационной системы;
при перевозке товаров в международном и межгосударственном сообщении железнодорожным транспортом - дата ввоза на первый приграничный пункт пропуска (станцию), установленный Правительством Республики Казахстан;
при транспортировке товаров по системе магистральных трубопроводов или по линиям электропередачи - дата ввоза на пункт сдачи товаров;
при пересылке товаров по международным почтовым отправлениям - дата проставления почтового штемпеля на территории Республики Казахстан в соответствии с законодательством Республики Казахстан о почте.
При отсутствии сведений о дате ввоза товаров на территорию Республики Казахстан датой принятия на учет импортированных товаров является дата, указанная в подпункте 1) части второй настоящего пункта.
При отсутствии признания (отражения) товаров в бухгалтерском учете в соответствии с международными стандартами финансовой отчетности и (или) требованиями законодательства Республики Казахстан о бухгалтерском учете и финансовой отчетности датой принятия на учет импортированных товаров является дата, указанная в подпункте 2) части второй настоящего пункта.
В иных случаях, не указанных в частях второй - седьмой настоящего пункта, а также для лиц, обязанность осуществлять ведение бухгалтерского учета которых не предусмотрена законодательством Республики Казахстан, дата принятия на учет импортированных товаров определяется по дате выписки документа, подтверждающего получение (либо приобретение) таких товаров. При этом при наличии документов, подтверждающих доставку товаров, датой принятия на учет импортированных товаров признается дата передачи товаров перевозчиком покупателю.
3. Датой совершения облагаемого импорта при ввозе товаров (предметов лизинга) на территорию Республики Казахстан с территории другого государства - члена ЕАЭС по договору лизинга, предусматривающему переход права собственности на данные товары (предметы лизинга) к лизингополучателю, является дата оплаты части стоимости товаров (предметов лизинга), предусмотренная договором лизинга (независимо от фактического размера и даты осуществления платежа) без учета вознаграждения.
В случае, если по договору лизинга дата наступления срока оплаты части стоимости товаров (предметов лизинга) установлена до даты ввоза товаров (предмета лизинга) на территорию Республики Казахстан, первой датой совершения облагаемого импорта является дата принятия на учет импортированных товаров (предметов лизинга).
В случае, если досрочное погашение лизингополучателем лизинговых платежей, предусмотренных договором лизинга, осуществляется после истечения трех лет, дата окончательного расчета является последней датой совершения облагаемого импорта по данному договору лизинга.
В случае несоблюдения требований, установленных пунктом 2 статьи 511 настоящего Кодекса, а также в случае расторжения договора лизинга после истечения трех лет с момента передачи имущества (предмета лизинга) датой совершения облагаемого импорта является дата принятия на учет импортированных товаров (предметов лизинга).
4. Датой совершения оборота по реализации работ, услуг является день выполнения работ, оказания услуг, если иное не предусмотрено настоящим пунктом.
Днем выполнения работ, оказания услуг признается дата подписания документа, подтверждающего факт выполнения работ, оказания услуг.
Если работы, услуги реализуются на постоянной (непрерывной) основе, то датой совершения оборота по реализации является дата, которая наступит первой:
дата выписки счета-фактуры;
дата получения каждого платежа (независимо от формы расчета).
Реализация на постоянной (непрерывной) основе означает выполнение работ, оказание услуг на основе долгосрочного контракта, заключенного на срок двенадцать месяцев и более, при условии, что получатель работ, услуг может использовать их результаты в своей производственной деятельности в день выполнения работ, оказания услуг.
В случае приобретения налогоплательщиком Республики Казахстан работ, услуг от нерезидента, не являющегося плательщиком налога на добавленную стоимость в Республике Казахстан, не осуществляющего деятельность через структурное подразделение и являющегося налогоплательщиком (плательщиком) государства - члена ЕАЭС, датой совершения оборота является дата подписания документов, подтверждающих факт выполнения работ, оказания услуг.
Статья 517. Определение размера облагаемого оборота при экспорте товаров
1. Размер облагаемого оборота при экспорте товаров определяется на основе стоимости реализуемых товаров исходя из применяемых сторонами сделки цен и тарифов, если иное не предусмотрено настоящей статьей и законодательством Республики Казахстан о трансфертном ценообразовании.
2. Размер облагаемого оборота при экспорте товаров (предметов лизинга) по договору (контракту) лизинга, предусматривающему переход права собственности на них к лизингополучателю, определяется на дату, предусмотренную договором (контрактом) лизинга для уплаты каждого лизингового платежа в размере части первоначальной стоимости товаров (предметов лизинга), приходящейся на каждый лизинговый платеж.
При этом под первоначальной стоимостью товара (предмета лизинга) следует понимать стоимость предмета лизинга, указанную в договоре, без учета вознаграждения.
3. Размер облагаемого оборота при экспорте товаров по договорам (контрактам), предусматривающим предоставление займа в виде вещей, определяется как стоимость передаваемых (предоставляемых) товаров, предусмотренная договором (контрактом), при отсутствии стоимости в договоре (контракте) - стоимость, указанная в товаросопроводительных документах, при отсутствии стоимости в договорах (контрактах) и товаросопроводительных документах - стоимость товаров, отраженная в бухгалтерском учете.
При этом для целей настоящей главы под товаросопроводительными документами понимаются: международная автомобильная накладная, железнодорожная транспортная накладная, товарно-транспортная накладная, накладная единого образца, багажная ведомость, почтовая ведомость, багажная квитанция, авианакладная, коносамент, а также документы, используемые при перемещении товаров трубопроводным транспортом и по линиям электропередачи, и иные документы, используемые при перемещении отдельных видов подакцизных товаров, а также сопровождающие товары и транспортные средства при перевозках, предусмотренные законами Республики Казахстан и международными договорами, участницей которых является Республика Казахстан; счета-фактуры, спецификации, отгрузочные и упаковочные листы, а также другие документы, подтверждающие сведения о товарах, в том числе стоимость товаров, и используемые в соответствии с международными договорами, участницей которых является Республика Казахстан.
4. Если иное не установлено настоящей статьей, при изменении в сторону увеличения (уменьшения) цены реализованных товаров либо при уменьшении количества (объема) реализованных товаров в связи с их возвратом по причине ненадлежащих качества и (или) комплектации размер облагаемого оборота при экспорте товаров корректируется в том налоговом периоде, в котором участники договора (контракта) изменили цену (согласовали возврат) экспортированных товаров.
Статья 518. Определение размера облагаемого импорта
1. Размер облагаемого импорта товаров, в том числе товаров, являющихся результатом выполнения работ по договору (контракту) об их изготовлении, определяется на основе стоимости приобретенных товаров.
2. Для целей настоящей статьи стоимость приобретенных товаров определяется на основании принципа определения цены в целях налогообложения.
Принцип определения цены в целях налогообложения означает определение стоимости приобретенных товаров на основе цены сделки, подлежащей уплате за товары, согласно условиям договора (контракта).
Если по условиям договора (контракта) цена сделки состоит из стоимости приобретенных товаров, а также других расходов и при этом стоимость приобретенных товаров и (или) стоимость других расходов указаны отдельно, то размером облагаемого импорта является исключительно стоимость приобретенных товаров.
Если по условиям договора (контракта) цена сделки состоит из стоимости приобретенных товаров, а также других расходов и при этом стоимость приобретенных товаров и (или) стоимость других расходов не указаны отдельно, то размером облагаемого импорта является цена сделки, указанная в договоре (контракте).
Минимальный уровень цен определяется уполномоченным органом по товарам, включенным в перечень отдельных видов товаров, в отношении которых применяется минимальный уровень цен, в соответствии с порядком определения минимального уровня цен.
Перечень отдельных видов товаров, в отношении которых применяется минимальный уровень цен, а также порядок определения минимального уровня цен утверждаются уполномоченным органом по согласованию с уполномоченным органом в области регулирования торговой деятельности.
При заявлении стоимости по импортируемому товару, включенному в перечень отдельных видов товаров, в отношении которых применяется минимальный уровень цен, ниже установленного минимального уровня цен налогоплательщик обязан уплатить налог с учетом разницы указанных сумм по ставке, установленной пунктом 1 статьи 503 настоящего Кодекса, в срок, предусмотренный статьей 530 настоящего Кодекса.
При выявлении налоговым органом несоблюдения налогоплательщиком требования, установленного частью шестой настоящего пункта, сумма разницы между минимальным уровнем цены и суммой заявленной стоимости импортированного товара, включенного в перечень отдельных видов товаров, в отношении которых применяется минимальный уровень цен, начисляется на лицевой счет в соответствии с порядком ведения лицевого счета.
3. В размер облагаемого импорта товаров включаются суммы акциза по подакцизным товарам.
В размер облагаемого импорта товаров (предметов лизинга) по договорам лизинга исчисленные суммы акциза по подакцизным товарам включаются на дату принятия на учет импортированных подакцизных товаров (предметов лизинга).
4. Размер облагаемого импорта товаров, полученных по товарообменным (бартерным) договорам (контрактам), а также договорам (контрактам), предусматривающим предоставление займа в виде вещей, определяется на основе стоимости товаров с учетом принципа определения цены в целях налогообложения, предусмотренного пунктом 2 настоящей статьи.
При этом стоимость товаров определяется на основе цены товаров, предусмотренной договором (контрактом), при отсутствии цены товаров в договоре (контракте) - цены товаров, указанной в товаросопроводительных документах, при отсутствии цены товаров в договорах (контрактах) и товаросопроводительных документах - цены товаров, отраженной в бухгалтерском учете.
5. Размер облагаемого импорта товаров, являющихся продуктами переработки давальческого сырья, определяется на основе стоимости работ по переработке данного давальческого сырья, включая акцизы, подлежащие уплате по подакцизным продуктам переработки.
6. Размер облагаемого импорта товаров (предметов лизинга) по договору лизинга, предусматривающему переход права собственности на них к лизингополучателю, определяется в размере части стоимости товара (предмета лизинга), предусмотренной на дату, установленную пунктом 3 статьи 516 настоящего Кодекса, без учета вознаграждения на основании принципа определения цены в целях налогообложения, предусмотренного пунктом 2 настоящей статьи.
В случае, если по договору (контракту) лизинга дата наступления срока оплаты части стоимости товаров (предметов лизинга) установлена до даты ввоза товаров (предмета лизинга) на территорию Республики Казахстан, размер облагаемого импорта на первую дату совершения облагаемого импорта товаров (предметов лизинга) определяется как сумма всех лизинговых платежей по договору (контракту) лизинга без учета вознаграждения, дата наступления срока оплаты которых в соответствии с договором (контрактом) лизинга установлена до даты передачи товаров (предметов лизинга) лизингополучателю.
В случае досрочного погашения лизингополучателем лизинговых платежей, предусмотренных договором (контрактом) лизинга, соответствующим условиям пункта 2 статьи 511 настоящего Кодекса, размер облагаемого импорта на последнюю дату его совершения определяется как разница между суммой всех лизинговых платежей по договору (контракту) лизинга без учета вознаграждения и погашенными платежами без учета вознаграждения.
В случае несоблюдения требований, установленных пунктом 2 статьи 511 настоящего Кодекса, а также в случае расторжения договора лизинга после истечения трех лет с момента передачи имущества (предмета лизинга) размер облагаемого импорта определяется на основе стоимости товаров (предметов лизинга), ввезенных на территорию Республики Казахстан с территории государств - членов ЕАЭС, с учетом принципа определения цены в целях налогообложения, уменьшенный на сумму лизинговых платежей (без учета вознаграждения) по договору (контракту) лизинга, по которым ранее были уплачены косвенные налоги. При этом в размер облагаемого импорта включается вознаграждение, предусмотренное договором (контрактом) лизинга до момента наступления указанных случаев.
7. Налоговые органы при осуществлении контроля за исполнением налоговых обязательств по налогу на добавленную стоимость при импорте товаров на территорию Республики Казахстан с территории государств - членов ЕАЭС вправе корректировать размер облагаемого импорта в порядке, определенном уполномоченным органом, и (или) с учетом требований законодательства Республики Казахстан о трансфертном ценообразовании.
При этом налогоплательщик самостоятельно корректирует размер облагаемого импорта с учетом указанного выше порядка, определенного уполномоченным органом, и (или) требований законодательства Республики Казахстан о трансфертном ценообразовании.
8. В случае изменения в сторону увеличения участниками договора (контракта) цены импортированных товаров после истечения месяца, в котором такие товары приняты на учет, соответствующим образом корректируется размер облагаемого импорта.
Статья 519. Определение размера облагаемого оборота по реализации работ, услуг
Если иное не установлено настоящей главой, размер облагаемого оборота по реализации работ, услуг определяется в соответствии со статьями 461, 462 и 463 настоящего Кодекса.
Статья 520. Экспорт товаров в ЕАЭС
1. При экспорте товаров с территории Республики Казахстан на территорию другого государства - члена ЕАЭС применяется нулевая ставка налога на добавленную стоимость.
Если иное не установлено настоящей главой, при экспорте товаров с территории Республики Казахстан на территорию другого государства - члена ЕАЭС плательщик налога на добавленную стоимость имеет право на отнесение налога на добавленную стоимость в зачет в соответствии с главой 49 настоящего Кодекса.
2. Положения настоящей статьи применяются также в отношении товаров, являющихся результатом выполнения работ по договорам об их изготовлении, вывозимых с территории Республики Казахстан, на территории которой выполнялись работы по их изготовлению, на территорию другого государства - члена ЕАЭС. К указанным товарам не относятся товары, являющиеся результатом выполнения работ по переработке давальческого сырья.
3. При вывозе товаров (предметов лизинга) с территории Республики Казахстан на территорию другого государства - члена ЕАЭС по договору (контракту) лизинга, предусматривающему переход права собственности на них к лизингополучателю, по договору (контракту), предусматривающему предоставление займа в виде вещей, по договору (контракту) об изготовлении товаров применяется нулевая ставка налога на добавленную стоимость.
Статья 521. Подтверждение экспорта товаров
1. Документами, подтверждающими экспорт товаров, являются:
1) договоры (контракты) с учетом изменений, дополнений и приложений к ним (далее - договоры (контракты), на основании которых осуществляется экспорт товаров, а в случае лизинга товаров или предоставления займа в виде вещей - договоры (контракты) лизинга, договоры (контракты), предусматривающие предоставление займа в виде вещей, договоры (контракты) на изготовление товаров;
2) заявление о ввозе товаров и уплате косвенных налогов с отметкой налогового органа государства - члена ЕАЭС, на территорию которого импортированы товары, об уплате косвенных налогов и (или) освобождении и (или) ином способе уплаты (на бумажном носителе в оригинале или копии либо в электронной форме);
3) копии товаросопроводительных документов, подтверждающих перемещение товаров с территории одного государства - члена ЕАЭС на территорию другого государства - члена ЕАЭС.
В случае экспорта товаров по системе магистральных трубопроводов или по линиям электропередачи вместо копий товаросопроводительных документов представляется акт приема-сдачи товаров;
4) подтверждение уполномоченного государственного органа, осуществляющего государственное регулирование в области авторского права и смежных прав о праве на объект интеллектуальной собственности, а также его стоимости - в случае экспорта объекта интеллектуальной собственности.
2. В случае реализации на территории государств - членов ЕАЭС продуктов переработки давальческого сырья, ранее вывезенного с территории Республики Казахстан на территорию государств - членов ЕАЭС для переработки, за исключением случаев, предусмотренных пунктом 3 статьи 473 настоящего Кодекса, подтверждение экспорта продуктов переработки осуществляется на основании следующих документов:
1) договоров (контрактов) на переработку давальческого сырья;
2) договоров (контрактов), на основании которых осуществляется экспорт продуктов переработки;
3) документов, подтверждающих факт выполнения работ по переработке давальческого сырья;
4) копий товаросопроводительных документов, подтверждающих вывоз давальческого сырья с территории Республики Казахстан на территорию другого государства - члена ЕАЭС.
В случае вывоза давальческого сырья по системе магистральных трубопроводов или по линиям электропередачи вместо копий товаросопроводительных документов представляется акт приема-сдачи товаров;
5) заявления о ввозе товаров и уплате косвенных налогов (с отметкой налогового органа государства - члена ЕАЭС, на территорию которого импортированы продукты переработки, об уплате косвенных налогов и (или) освобождении и (или) ином способе уплаты (на бумажном носителе в оригинале или копии либо в электронной форме);
6) копий товаросопроводительных документов, подтверждающих вывоз продуктов переработки с территории государства - члена ЕАЭС.
В случае, если продукты переработки реализованы налогоплательщику государства - члена ЕАЭС, на территории которого были выполнены работы по переработке давальческого сырья, - на основании документов, подтверждающих отгрузку таких продуктов переработки.
В случае вывоза продуктов переработки по системе магистральных трубопроводов или по линиям электропередачи вместо копий товаросопроводительных документов представляется акт приема-сдачи товаров;
7) документов, подтверждающих поступление валютной выручки на банковские счета налогоплательщика в банках второго уровня на территории Республики Казахстан, открытые в порядке, определенном законодательством Республики Казахстан.
В случае экспорта продуктов переработки по внешнеторговым товарообменным (бартерным) операциям при определении суммы налога на добавленную стоимость, подлежащей возврату, учитывается наличие договора (контракта), а также документов, подтверждающих импорт товаров (выполнение работ, оказание услуг), полученных по указанной операции.
3. В случае дальнейшего экспорта на территорию государства, не являющегося членом ЕАЭС, продуктов переработки давальческого сырья, ранее вывезенного с территории Республики Казахстан для переработки на территории другого государства - члена ЕАЭС, подтверждение экспорта продуктов переработки осуществляется на основании следующих документов:
1) договоров (контрактов) на переработку давальческого сырья;
2) договоров (контрактов), на основании которых осуществляется экспорт продуктов переработки;
3) документов, подтверждающих факт выполнения работ по переработке давальческого сырья;
4) копий товаросопроводительных документов, подтверждающих вывоз давальческого сырья с территории Республики Казахстан на территорию другого государства - члена ЕАЭС.
В случае вывоза давальческого сырья по системе магистральных трубопроводов или по линиям электропередачи вместо копий товаросопроводительных документов представляется акт приема-сдачи товаров;
5) копий товаросопроводительных документов.
В случае вывоза продуктов переработки по системе магистральных трубопроводов или по линиям электропередачи вместо копий товаросопроводительных документов представляется акт приема-сдачи товаров;
6) декларации на товары с отметками таможенного органа государства - члена ЕАЭС, осуществляющего выпуск товаров в таможенной процедуре экспорта, а также с отметкой таможенного органа государства - члена ЕАЭС, расположенного в пункте пропуска на таможенной границе ЕАЭС, кроме случаев, указанных в подпункте 7) настоящего пункта;
7) полной декларации на товары с отметками таможенного органа государства - члена ЕАЭС, производившего таможенное декларирование, в следующих случаях при:
вывозе товаров в таможенной процедуре экспорта по системе магистральных трубопроводов или по линиям электропередачи;
вывозе товаров в таможенной процедуре экспорта с применением процедуры временного декларирования;
8) копии декларации на товары с изменениями (дополнениями), внесенными после окончания заявленного периода поставки товаров, содержащей сведения о фактическом количестве вывезенного товара, в случае вывоза товаров с помещением под таможенную процедуру экспорта с использованием периодического таможенного декларирования;
9) декларации на товары в виде электронного документа, по которой в информационных системах налоговых органов имеется уведомление таможенных органов о фактическом вывозе товаров, также являющейся документом, подтверждающим экспорт товаров. При наличии декларации на товары в виде электронного документа, предусмотренной настоящим подпунктом, представление документов, установленных подпунктами 6) и 7) настоящего пункта, не требуется;
10) документов, подтверждающих поступление валютной выручки на банковские счета налогоплательщика в банках второго уровня на территории Республики Казахстан, открытые в порядке, определенном законодательством Республики Казахстан.
4. В случае экспорта продуктов переработки по внешнеторговым товарообменным (бартерным) операциям при определении суммы налога на добавленную стоимость, подлежащей возврату, учитывается наличие договора (контракта), а также документов, подтверждающих импорт товаров (выполнение работ, оказание услуг), полученных по указанной операции.
Статья 522. Налогообложение международных перевозок в ЕАЭС
1. Если иное не установлено настоящей статьей, налогообложение международных перевозок в ЕАЭС производится в соответствии со статьей 468 настоящего Кодекса.
2. Перевозка экспортируемых или импортируемых товаров по системе магистральных трубопроводов на таможенной территории ЕАЭС считается международной, если оформление перевозки осуществляется документами, подтверждающими передачу экспортируемых или импортируемых товаров покупателю либо другим лицам, осуществляющим дальнейшую доставку указанных товаров до покупателя на таможенной территории ЕАЭС.
3. Для целей пункта 2 настоящей статьи подтверждающими документами являются:
1) в случае экспорта - копия заявления о ввозе товаров и уплате косвенных налогов, полученного экспортером от импортера товаров;
2) в случае импорта - копия заявления о ввозе товаров и уплате косвенных налогов, полученного от налогоплательщика, импортировавшего товары на территорию Республики Казахстан;
3) акты выполненных работ, акты приема-сдачи грузов от продавца либо от других лиц, осуществлявших ранее доставку указанных грузов покупателю либо другим лицам, осуществляющим дальнейшую доставку указанных грузов;
4) счета-фактуры.
4. Перевозка грузов по системе магистральных трубопроводов с территории одного государства - члена ЕАЭС на территорию этого же или другого государства - члена ЕАЭС через территорию Республики Казахстан считается международной, если оформление перевозки осуществляется следующими документами:
1) актами выполненных работ, оказанных услуг, приема-сдачи грузов от продавца либо других лиц, осуществлявших ранее доставку указанных грузов покупателю либо другим лицам, осуществляющим дальнейшую доставку указанных грузов;
2) счетами-фактурами.
Статья 523. Налогообложение работ по переработке давальческого сырья в ЕАЭС
1. Работы по переработке давальческого сырья, ввезенного на территорию Республики Казахстан с территории другого государства - члена ЕАЭС с последующим вывозом продуктов переработки на территорию другого государства, облагаются налогом на добавленную стоимость по нулевой ставке при соблюдении условий переработки товаров и срока переработки давальческого сырья, которые предусмотрены пунктом 7 настоящей статьи и статьей 524 настоящего Кодекса.
2. В случае выполнения налогоплательщиком Республики Казахстан работ по переработке давальческого сырья, ввезенного на территорию Республики Казахстан с территории государства - члена ЕАЭС с последующим вывозом продуктов переработки на территорию того же государства - члена ЕАЭС, подтверждением факта выполнения работ по переработке давальческого сырья налогоплательщиком Республики Казахстан являются:
1) договоры (контракты), заключенные между налогоплательщиками государств - членов ЕАЭС;
2) документы, подтверждающие факт выполнения работ по переработке давальческого сырья;
3) документы, подтверждающие ввоз давальческого сырья на территорию Республики Казахстан (в том числе обязательство о ввозе (вывозе) продуктов переработки);
4) документы, подтверждающие вывоз продуктов переработки с территории Республики Казахстан (в том числе исполнение обязательства о ввозе (вывозе) продуктов переработки);
5) заявление о ввозе товаров и уплате косвенных налогов (на бумажном носителе в оригинале или копии либо в электронной форме), подтверждающее уплату налога на добавленную стоимость со стоимости работ по переработке давальческого сырья.
В случае вывоза продуктов переработки давальческого сырья на территорию государства, не являющегося членом ЕАЭС, заявление, указанное в части первой настоящего подпункта, не представляется;
6) документы, предусмотренные пунктом 9 статьи 166 настоящего Кодекса, подтверждающие поступление валютной выручки на банковские счета налогоплательщика в банках второго уровня на территории Республики Казахстан, открытые в порядке, определенном законодательством Республики Казахстан;
7) заключение соответствующего уполномоченного государственного органа об условиях переработки товаров.
3. В случае выполнения налогоплательщиком Республики Казахстан работ по переработке давальческого сырья, ввезенного на территорию Республики Казахстан с территории одного государства - члена ЕАЭС с последующей реализацией продуктов переработки на территорию другого государства - члена ЕАЭС, для подтверждения факта выполнения работ по переработке давальческого сырья налогоплательщиком Республики Казахстан представляются:
1) договоры (контракты) на переработку давальческого сырья, поставку готовой продукции, заключенные между налогоплательщиками государств - членов ЕАЭС;
2) документы, подтверждающие факт выполнения работ по переработке давальческого сырья;
3) акты приема-сдачи давальческого сырья и готовой продукции;
4) документы, подтверждающие ввоз давальческого сырья на территорию Республики Казахстан (в том числе обязательство о ввозе (вывозе) продуктов переработки);
5) документы, подтверждающие вывоз продуктов переработки с территории Республики Казахстан (в том числе исполнение обязательства о ввозе (вывозе) продуктов переработки);
6) заявление о ввозе товаров и уплате косвенных налогов, подтверждающее уплату налога на добавленную стоимость со стоимости работ по переработке давальческого сырья, полученное от собственника давальческого сырья;
7) заключение соответствующего уполномоченного государственного органа об условиях переработки товаров;
8) документы, предусмотренные пунктом 9 статьи 166 настоящего Кодекса, подтверждающие поступление валютной выручки на банковские счета налогоплательщика в банках второго уровня на территории Республики Казахстан, открытые в порядке, определенном законодательством Республики Казахстан.
4. В случае выполнения налогоплательщиком Республики Казахстан работ по переработке давальческого сырья, ввезенного на территорию Республики Казахстан с территории другого государства - члена ЕАЭС с последующей реализацией продуктов переработки на территорию государства, не являющегося членом ЕАЭС, для подтверждения факта выполнения работ по переработке давальческого сырья налогоплательщиком Республики Казахстан представляются:
1) договоры (контракты), заключенные между налогоплательщиками государств - членов ЕАЭС;
2) документы, подтверждающие факт выполнения работ по переработке давальческого сырья;
3) документы, подтверждающие ввоз давальческого сырья на территорию Республики Казахстан (в том числе обязательство о ввозе (вывозе) продуктов переработки);
4) документы, подтверждающие вывоз продуктов переработки с территории Республики Казахстан (в том числе исполнение обязательства о ввозе (вывозе) продуктов переработки);
5) копия декларации на товары, оформленной при вывозе товаров на территорию государства, не являющегося членом ЕАЭС, в таможенной процедуре экспорта, заверенной таможенным органом государства - члена ЕАЭС, осуществившим таможенное декларирование;
6) декларация на товары в виде электронного документа, по которой в информационных системах налоговых органов имеется уведомление таможенных органов о фактическом вывозе товаров, также являющаяся документом, подтверждающим экспорт товаров. При наличии декларации на товары в виде электронного документа, предусмотренной настоящим подпунктом, представление документа, установленного подпунктом 5) пункта 4 настоящей статьи, не требуется;
7) документы, предусмотренные пунктом 9 статьи 166 настоящего Кодекса, подтверждающие поступление валютной выручки на банковские счета налогоплательщика в банках второго уровня на территории Республики Казахстан, открытые в порядке, определенном законодательством Республики Казахстан;
8) заключение соответствующего уполномоченного государственного органа об условиях переработки товаров.
5. Работы по переработке давальческого сырья, ввезенного на территорию Республики Казахстан с территории другого государства - члена ЕАЭС с последующей реализацией продуктов переработки на территории Республики Казахстан, подлежат обложению налогом на добавленную стоимость по ставке, установленной пунктом 1 статьи 503 настоящего Кодекса.
6. В случае осуществления ввоза (вывоза) давальческого сырья на переработку налогоплательщиком Республики Казахстан представляется обязательство о вывозе (ввозе) продуктов переработки, а также его исполнение в порядке, по форме и в сроки, которые определены уполномоченным органом по согласованию с центральным уполномоченным органом по государственному планированию.
7. Переработка давальческого сырья должна соответствовать условиям переработки товаров, определенным уполномоченным органом.
8. Заключение соответствующего уполномоченного государственного органа об условиях переработки товаров должно содержать следующие сведения:
1) наименования, классификацию товаров и продуктов переработки в соответствии с единой Товарной номенклатурой внешнеэкономической деятельности ЕАЭС, их количество и стоимость;
2) дату и номер договора (контракта) на переработку, срок переработки;
3) нормы выхода продуктов переработки;
4) характер переработки;
5) сведения о лице, осуществляющем переработку.
9. По мотивированному запросу лица с разрешения налогового органа допускается замена продуктов переработки товарами, произведенными переработчиком ранее, если они совпадают по своему описанию, количеству, стоимости, качеству и техническим характеристикам с продуктами переработки.
Статья 524. Срок переработки давальческого сырья
1. Срок переработки давальческого сырья, вывезенного с территории Республики Казахстан на территорию государства - члена ЕАЭС, а также ввезенного на территорию Республики Казахстан с территории государств - членов ЕАЭС, определяется согласно условиям договора (контракта) на переработку давальческого сырья и не может превышать два года с даты принятия на учет и (или) отгрузки давальческого сырья.
2. В случае превышения срока, установленного в пункте 1 настоящей статьи, давальческое сырье, ввезенное для переработки на территорию Республики Казахстан, в целях налогообложения признается облагаемым импортом и подлежит обложению налогом на добавленную стоимость с даты ввоза товаров на территорию Республики Казахстан в соответствии с настоящей главой.
3. В случае превышения срока, установленного в пункте 1 указанной статьи, давальческое сырье, вывезенное для переработки с территории Республики Казахстан на территорию государства - члена ЕАЭС, в целях налогообложения признается облагаемым оборотом по реализации и подлежит обложению налогом на добавленную стоимость с даты вывоза давальческого сырья с территории Республики Казахстан по ставке, установленной пунктом 1 статьи 503 настоящего Кодекса, за исключением случаев, установленных пунктом 3 статьи 473 и пунктами 2 и 3 статьи 521 настоящего Кодекса.
В целях настоящего пункта размер облагаемого оборота по давальческому сырью, приходящемуся на не ввезенный обратно на территорию Республики Казахстан в установленные сроки объем продуктов переработки давальческого сырья, определяется в размере стоимости давальческого сырья, включенной в себестоимость таких продуктов переработки, на основании учетной политики, разработанной в соответствии с международными стандартами финансовой отчетности и (или) требованиями законодательства Республики Казахстан о бухгалтерском учете и финансовой отчетности.
Для целей применения настоящей статьи метод определения себестоимости, установленный в учетной политике налогоплательщика, не подлежит изменению в течение календарного года.
Статья 525. Обороты и импорт, освобожденные от налога на добавленную стоимость в Евразийском экономическом союзе
1. Освобождаются от налога на добавленную стоимость обороты по реализации:
1) работ, услуг, указанных в главе 48 настоящего Кодекса, если местом их реализации является Республика Казахстан;
2) услуг по ремонту товара, ввезенного на территорию Республики Казахстан с территории государств - членов ЕАЭС, включая его восстановление, замену составных частей.
Документами, подтверждающими оказание услуг, указанных в настоящем подпункте, являются документы, предусмотренные пунктом 3 статьи 515 настоящего Кодекса.
Перечень услуг, указанных в настоящем подпункте, утверждается уполномоченным органом;
3) услуг международной связи, оказываемых налогоплательщиком Республики Казахстан налогоплательщику другого государства - члена ЕАЭС.
2. Освобождается от налога на добавленную стоимость импорт следующих товаров:
1) предусмотренных подпунктами 1), 2), 4) - 8) и 10) -18) пункта 1 статьи 479 настоящего Кодекса.
Порядок освобождения от налога на добавленную стоимость импорта товаров в рамках ЕАЭС, указанных в настоящем подпункте, определяется уполномоченным органом;
2) импортируемых в рамках гарантийного обслуживания, предусмотренного договором (контрактом).
Подтверждением импорта товаров в рамках гарантийного обслуживания являются договор (контракт), предусматривающий гарантийное обслуживание, на основании которого приобретен товар, товаросопроводительные документы, претензия и дефектный акт, подтвержденные участниками договора (контракта);
3) сырья и (или) материалов в составе транспортных средств и (или) сельскохозяйственной техники, а также их компонентов, помещенных под таможенную процедуру свободного склада или свободной таможенной зоны специальной экономической зоны «Qyzyljar» юридическим лицом в рамках заключенного специального инвестиционного контракта с уполномоченным органом по заключению специальных инвестиционных контрактов, определяемым Правительством Республики Казахстан, при соблюдении следующих условий:
в отношении производителей транспортных средств - наличие соглашения о промышленной сборке моторных транспортных средств или соглашения о промышленной сборке транспортных средств с уполномоченным органом в области государственной поддержки инновационной деятельности;
в отношении производителей сельскохозяйственной техники -наличие соглашения о промышленной сборке сельскохозяйственной техники с уполномоченным органом в области государственной поддержки инновационной деятельности;
в отношении производителей компонентов - наличие соглашения о промышленной сборке компонентов к транспортным средствам и (или) сельскохозяйственной технике с уполномоченным органом в области государственной поддержки инновационной деятельности.
3. В случае использования товаров, ранее ввезенных на территорию Республики Казахстан, в иных целях, чем те, в связи с которыми в соответствии с законодательством Республики Казахстан предоставлено освобождение от налога на добавленную стоимость по импорту, налог на добавленную стоимость по импорту таких товаров подлежит уплате на последнюю дату срока, установленного настоящим Кодексом для уплаты налога на добавленную стоимость при ввозе товара.
4. Вознаграждение, выплачиваемое лизингополучателем - налогоплательщиком Республики Казахстан лизингодателю другого государства - члена ЕАЭС по договору лизинга, освобождается от налога на добавленную стоимость.
5. Юридическое лицо, заключившее специальный инвестиционный контракт с уполномоченным органом по заключению специальных инвестиционных контрактов, определяемым Правительством Республики Казахстан, вправе применить освобождение от уплаты налога на добавленную стоимость при импорте товаров в составе готовой продукции, произведенной на территории специальной экономической зоны или свободного склада при соблюдении следующих условий:
1) товары помещены под таможенную процедуру свободной таможенной зоны или свободного склада;
2) таможенная процедура свободной таможенной зоны или свободного склада завершается таможенной процедурой выпуска для внутреннего потребления;
3) осуществлена идентификация товаров в составе готовой продукции в соответствии с таможенным законодательством Республики Казахстан.
Статья 526. Порядок отнесения в зачет сумм налога на добавленную стоимость в ЕАЭС
1. Если иное не установлено настоящей статьей, налог на добавленную стоимость относится в зачет в порядке, определенном главой 49 настоящего Кодекса.
2. При импорте товаров на территорию Республики Казахстан с территории государств - членов ЕАЭС отнесению в зачет подлежит сумма налога на добавленную стоимость по импортированным товарам, уплаченного в установленном порядке в бюджет Республики Казахстан, в пределах исчисленных и (или) начисленных сумм.
Суммой налога на добавленную стоимость, относимого в зачет при импорте товаров по договору (контракту) лизинга, является сумма налога на добавленную стоимость, уплаченного в бюджет, но не превышающая сумму налога на добавленную стоимость, приходящегося на размер облагаемого импорта за налоговый период, определяемого в соответствии с пунктом 6 статьи 518 настоящего Кодекса. При этом суммы налога на добавленную стоимость, начисленные (исчисленные) за предыдущие налоговые периоды и уплаченные, в том числе путем проведения зачета в порядке, определенном статьями 120, 121, 122 и 123 настоящего Кодекса, в текущем налоговом периоде, подлежат зачету в текущем налоговом периоде.
3. При передаче лизингодателем - налогоплательщиком Республики Казахстан товаров (предметов лизинга) в лизинг, подлежащих получению лизингополучателем - налогоплательщиком другого государства - члена ЕАЭС, сумма налога на добавленную стоимость, подлежащего отнесению в зачет лизингодателем - налогоплательщиком Республики Казахстан, определяется в части, приходящейся на стоимость товаров (предметов лизинга) по каждому лизинговому платежу, без учета вознаграждения.
Статья 527. Счет-фактура
1. Порядок выписки счетов-фактур определяется в соответствии с параграфом 1 главы 20 настоящего Кодекса, если иное не установлено настоящей статьей.
2. В случае экспорта товаров с территории Республики Казахстан на территорию другого государства - члена ЕАЭС счет-фактура выписывается не позднее двадцати календарных дней после даты совершения оборота по реализации.
3. В случае выполнения работ по переработке давальческого сырья, ввезенного на территорию Республики Казахстан с территории другого государства - члена ЕАЭС с последующим вывозом продуктов переработки на территорию другого государства, счет-фактура выписывается на дату подписания документа, подтверждающего выполнение работ по переработке давальческого сырья.
4. Счет-фактура, выписываемый в случаях, указанных в пунктах 2 и 3 настоящей статьи, должен соответствовать требованиям, установленным пунктом 2 статьи 207 настоящего Кодекса, а также отражать:
1) дату совершения оборота по реализации;
2) номер, идентифицирующий лицо в качестве налогоплательщика-покупателя в государстве - члене ЕАЭС.
5. При передаче лизингодателем - налогоплательщиком Республики Казахстан товаров (предметов лизинга) в лизинг, подлежащих получению лизингополучателем - налогоплательщиком другого государства - члена ЕАЭС, счет-фактура выписывается на дату каждого лизингового платежа без учета вознаграждения в размере части первоначальной стоимости товара (предмета лизинга), предусмотренной договором лизинга, но не превышающей сумму фактически полученного платежа.
Сумма вознаграждения лизингодателя - налогоплательщика Республики Казахстан в счете-фактуре должна быть выделена отдельной строкой.
6. При реализации импортером товаров, ввезенных с территории государств - членов ЕАЭС на территорию Республики Казахстан в одном налоговом периоде, счет-фактура в электронной форме выписывается не позднее 20 числа месяца, следующего за налоговым периодом.
В иных случаях счет-фактура при реализации импортером товаров, ввезенных с территории государств - членов ЕАЭС на территорию Республики Казахстан, выписывается в сроки, установленные параграфом 1 главы 20 настоящего Кодекса.
Статья 528. Особенности определения плательщиков налога на добавленную стоимость при импорте товаров
1. В случае, если товары приобретаются налогоплательщиком Республики Казахстан на основании договора (контракта) с налогоплательщиком другого государства - члена ЕАЭС, уплата налога на добавленную стоимость осуществляется налогоплательщиком Республики Казахстан (собственником товаров либо комиссионером, поверенным, оператором), на территорию которой импортированы товары.
В целях настоящей главы под собственником товаров следует понимать лицо, которое обладает правом собственности на товары или к которому переход права собственности на товары предусматривается договором (контрактом).
2. В случае, если товары приобретаются налогоплательщиком Республики Казахстан на основании договора (контракта) с налогоплательщиком другого государства - члена ЕАЭС и при этом товары импортируются с территории третьего государства - члена ЕАЭС, налог на добавленную стоимость уплачивается налогоплательщиком Республики Казахстан, на территорию которой импортированы товары, - собственником товаров.
3. В случае, если товары реализуются налогоплательщиком одного государства - члена ЕАЭС на основании договора комиссии, поручения налогоплательщику Республики Казахстан и импортируются с территории третьего государства - члена ЕАЭС, уплата налога на добавленную стоимость осуществляется налогоплательщиком Республики Казахстан, на территорию которой импортированы товары, - комиссионером, поверенным.
4. В случае, если налогоплательщик Республики Казахстан приобретает на выставочно-ярмарочной торговле, организованной другим налогоплательщиком Республики Казахстан, товары, ранее импортированные на территорию Республики Казахстан налогоплательщиком другого государства - члена ЕАЭС, по которым не был уплачен налог на добавленную стоимость, уплата налога на добавленную стоимость осуществляется налогоплательщиком Республики Казахстан - собственником товаров либо комиссионером, поверенным (оператором), если иное не предусмотрено настоящим пунктом.
При приобретении налогоплательщиком Республики Казахстан на выставочно-ярмарочной торговле, организованной налогоплательщиком Республики Казахстан, товаров, ранее импортированных на территорию Республики Казахстан с территории государств - членов ЕАЭС, по которым не был уплачен налог на добавленную стоимость, уплата налога на добавленную стоимость осуществляется собственником товаров при наличии договоров (контрактов) с нерезидентом на их куплю-продажу.
При отсутствии договоров (контрактов) на куплю-продажу товаров уплата налога на добавленную стоимость по таким товарам осуществляется налогоплательщиком Республики Казахстан, организовавшим выставочно-ярмарочную торговлю.
Налогоплательщик Республики Казахстан, организующий выставочно-ярмарочную торговлю, обязан письменно уведомить о проведении такой торговли налоговый орган по месту нахождения за десять рабочих дней до начала ее проведения с приложением списка участников торговли из государств - членов ЕАЭС.
Порядок контроля за уплатой налога на добавленную стоимость по выставочно-ярмарочной торговле определяется уполномоченным органом.
5. В случае, если товары приобретаются на основании договора между налогоплательщиком Республики Казахстан и налогоплательщиком государства, не являющегося членом ЕАЭС, и при этом товары импортируются с территории другого государства - члена ЕАЭС, налог на добавленную стоимость уплачивается налогоплательщиком Республики Казахстан, на территорию которой импортированы товары, - собственником товаров либо комиссионером, поверенным (оператором).
Статья 529. Особенности исчисления налога на добавленную стоимость при импорте товаров на территорию Республики Казахстан по договорам комиссии (поручения) с территорий государств - членов ЕАЭС
1. При ввозе товаров на территорию Республики Казахстан комиссионером (поверенным) на основе договоров комиссии (поручения) обязанность по исчислению и перечислению в бюджет налога на добавленную стоимость по импортированным товарам возлагается на комиссионера (поверенного).
При этом суммы налога на добавленную стоимость, уплаченные комиссионером (поверенным) по товарам, импортированным на территорию Республики Казахстан, подлежат отнесению в зачет покупателем таких товаров на основании счета-фактуры, выставленного комиссионером (поверенным) в адрес покупателя, а также копии заявления о ввозе товаров и уплате косвенных налогов, содержащего отметку налогового органа, предусмотренную пунктом 7 статьи 530 настоящего Кодекса.
2. Реализация товаров, выполнение работ или оказание услуг комиссионером от своего имени и за счет комитента не являются оборотом по реализации комиссионера.
3. Реализация товаров, выполнение работ или оказание услуг поверенным от имени и за счет доверителя не являются оборотом по реализации поверенного.
4. Выписка счетов-фактур по товарам, ввезенным на территорию Республики Казахстан по договорам комиссии (поручения), заключенным между комитентом (доверителем) - налогоплательщиком государства - члена ЕАЭС и комиссионером (поверенным) - налогоплательщиком Республики Казахстан, реализующим товары на территории Республики Казахстан, осуществляется комиссионером (поверенным). При этом счет-фактура выписывается с указанием статуса поставщика «комиссионер» («поверенный»).
В счете-фактуре, выписываемом комиссионером (поверенным) покупателю, должны быть указаны реквизиты, установленные пунктом 2 статьи 207 настоящего Кодекса, стоимость товаров без учета налога на добавленную стоимость, а также номер и дата заявления о ввозе товаров и уплате косвенных налогов, прилагаемого к счету-фактуре.
Сумма налога на добавленную стоимость, уплаченная комиссионером (поверенным) по импортируемым товарам, в счете-фактуре выделяется отдельной строкой.
К такому счету-фактуре прилагается полученная от комиссионера (поверенного) копия заявления о ввозе товаров и уплате косвенных налогов, являющегося основанием для отнесения в зачет налога на добавленную стоимость, уплаченного при импорте товаров комиссионером (поверенным).
Налог на добавленную стоимость по импортированным товарам, уплаченный комиссионером (поверенным) при импорте товаров на территорию Республики Казахстан, не подлежит отнесению в зачет комиссионером (поверенным).
5. Датой совершения облагаемого импорта при ввозе товаров на территорию Республики Казахстан на основании договоров комиссии (поручения) является дата принятия на учет комиссионером (поверенным) импортированных товаров.
Для целей настоящего пункта датой принятия на учет является дата первичного документа, составленного комитентом (доверителем) в адрес комиссионера (поверенного), подтверждающего передачу товаров.
6. При реализации товаров, выполнении работ, оказании услуг на условиях, соответствующих условиям договора комиссии (поручения), размер облагаемого оборота комиссионера (поверенного) определяется на основе вознаграждения по договору комиссии (поручения).
Статья 530. Порядок исчисления и уплаты налога на добавленную стоимость при импорте товаров в ЕАЭС
1. Если иное не установлено настоящей статьей, порядок исчисления и уплаты налога на добавленную стоимость в ЕАЭС определяется в соответствии с главой 51 настоящего Кодекса.
2. При импорте товаров, в том числе товаров, являющихся продуктами переработки давальческого сырья, на территорию Республики Казахстан с территории государств - членов ЕАЭС налогоплательщик обязан представить в налоговый орган по месту нахождения (жительства) заявление о ввозе товаров и уплате косвенных налогов, в том числе по договорам (контрактам) лизинга, на бумажном носителе и в электронной форме либо только в электронной форме не позднее 20 числа месяца, следующего за налоговым периодом, если иное не установлено настоящим пунктом.
Одновременно с заявлением о ввозе товаров и уплате косвенных налогов налогоплательщик представляет в налоговый орган следующие документы:
1) выписку банка, подтверждающую фактическую уплату косвенных налогов по импортированным товарам, и (или) иной платежный документ, предусмотренный банковским законодательством Республики Казахстан, подтверждающий исполнение налогового обязательства по уплате косвенных налогов по импортированным товарам, или документы, подтверждающие освобождение от налога на добавленную стоимость, с учетом требований статьи 525 настоящего Кодекса.
При этом указанные документы не представляются при ином порядке уплаты налога на добавленную стоимость, а также в случае наличия переплаты на лицевых счетах по налогу на добавленную стоимость по импортированным товарам, которая подлежит зачету в счет предстоящих платежей по налогу на добавленную стоимость по импортированным товарам при условии, что налогоплательщиком не подано заявление на зачет указанных сумм переплаты по другим видам налогов и платежей в бюджет или возврат на расчетный счет.
По договорам (контрактам) лизинга указанные в настоящем подпункте документы представляются в срок, установленный в настоящем пункте по сроку лизингового платежа, предусмотренного договором (контрактом) лизинга, приходящегося на отчетный налоговый период;
2) товаросопроводительные и (или) иные документы, подтверждающие перемещение товаров с территории одного государства - члена ЕАЭС на территорию Республики Казахстан (указанные документы не представляются, если для отдельных видов перемещения товаров, в том числе перемещения товаров без использования транспортных средств, оформление этих документов не предусмотрено законодательством Республики Казахстан);
3) счета-фактуры, оформленные в соответствии с законодательством государства - члена ЕАЭС при отгрузке товаров, в случае, если их выставление (выписка) предусмотрено (предусмотрена) законодательством государства - члена ЕАЭС.
Если выставление (выписка) счета-фактуры не предусмотрено (не предусмотрена) законодательством государства - члена ЕАЭС либо товары приобретаются у налогоплательщика государства, не являющегося государством - членом ЕАЭС, вместо счета-фактуры представляется иной документ, выставленный (выписанный) продавцом, подтверждающий стоимость импортированных товаров;
4) договоры (контракты), на основании которых приобретены товары, импортированные на территорию Республики Казахстан с территории государства - члена ЕАЭС, в случае лизинга товаров (предметов лизинга) - договоры (контракты) лизинга, в случае предоставления займа в виде вещей - договоры займа, договоры (контракты) об изготовлении товаров, договоры (контракты) на переработку давальческого сырья;
5) информационное сообщение (в случаях, предусмотренных пунктами 2, 3, 4 и 5 статьи 528 настоящего Кодекса), представленное налогоплательщику Республики Казахстан налогоплательщиком другого государства - члена ЕАЭС либо налогоплательщиком государства, не являющегося членом ЕАЭС, подписанное руководителем (индивидуальным предпринимателем) и заверенное печатью организации, реализующей товары, импортированные с территории третьего государства - члена ЕАЭС, содержащее сведения о налогоплательщике третьего государства - члена ЕАЭС и договоре (контракте), заключенном с налогоплательщиком этого третьего государства - члена ЕАЭС, о приобретении импортированного товара:
номер, идентифицирующий лицо в качестве налогоплательщика государства - члена ЕАЭС;
наименование налогоплательщика (организации, индивидуального предпринимателя) государства - члена ЕАЭС;
место нахождения (жительства) налогоплательщика государства - члена ЕАЭС;
номер и дата контракта (договора);
номер и дата спецификации.
В случае если налогоплательщик государства - члена ЕАЭС, у которого приобретается товар, не является собственником реализуемого товара (является комиссионером, поверенным), то сведения, указанные в абзацах втором - шестом части первой настоящего подпункта, представляются также в отношении собственника реализуемого товара.
В случае представления информационного сообщения на иностранном языке обязательно наличие перевода на казахский и русский языки.
Информационное сообщение не представляется в случае, если сведения, предусмотренные настоящим подпунктом, содержатся в договоре (контракте), указанном в подпункте 4) части второй настоящего пункта;
6) договоры (контракты) комиссии или поручения (в случаях их заключения);
7) договоры (контракты), на основании которых приобретены товары, импортированные на территорию Республики Казахстан с территории другого государства - члена ЕАЭС, по договорам комиссии или поручения (в случаях, предусмотренных пунктами 2 и 3 статьи 528 настоящего Кодекса, за исключением случаев, когда налог на добавленную стоимость уплачивается комиссионером, поверенным).
В случае розничной купли-продажи при отсутствии документов, указанных в подпунктах 2), 3) и 4) части второй настоящего пункта, представляются документы, подтверждающие получение (либо приобретение) импортированных на территорию Республики Казахстан товаров (в том числе чеки контрольно-кассовой машины, товарные чеки, закупочные акты).
Документы, указанные в подпунктах 1) - 7) части второй настоящего пункта, могут быть представлены в копиях, заверенных подписями руководителя и главного бухгалтера (при его наличии) либо иных лиц, уполномоченных на то по решению налогоплательщика, а также печатью налогоплательщика, за исключением случаев, когда у налогоплательщика печать отсутствует по основаниям, предусмотренным законодательством Республики Казахстан.
При этом указанные копии документов могут быть представлены в виде книги (книг), прошнурованной (прошнурованных), пронумерованной (пронумерованных) с указанием на последнем листе общего количества листов и заверенной (заверенных) на последнем листе подписями руководителя и главного бухгалтера (при его наличии) либо иных лиц, уполномоченных на то по решению налогоплательщика, а также печатью налогоплательщика, за исключением случаев, когда у налогоплательщика печать отсутствует по основаниям, предусмотренным законодательством Республики Казахстан.
По договорам (контрактам) лизинга налогоплательщик представляет в налоговый орган не позднее 20 числа месяца, следующего за налоговым периодом - месяцем принятия на учет импортированных товаров (предметов лизинга), одновременно с заявлением о ввозе товаров и уплате косвенных налогов документы, предусмотренные подпунктами 1) - 7) части второй настоящего пункта. В последующем налогоплательщик представляет в налоговый орган не позднее 20 числа месяца, следующего за налоговым периодом - месяцем срока платежа, предусмотренного договором (контрактом) лизинга, одновременно с заявлением о ввозе товаров и уплате косвенных налогов документы (их копии), предусмотренные подпунктом 1) части второй настоящего пункта.
В случае, если дата наступления срока оплаты части стоимости товаров (предметов лизинга), предусмотренная договором (контрактом) лизинга, наступает после ввоза товаров (предметов лизинга) на территорию Республики Казахстан, налогоплательщик представляет в налоговый орган не позднее 20 числа месяца, следующего за налоговым периодом - месяцем принятия на учет импортированных товаров (предметов лизинга), одновременно с заявлением о ввозе товаров и уплате косвенных налогов документы, предусмотренные подпунктами 2), 3) и 4) части второй настоящего пункта. При этом налогоплательщик в заявлении о ввозе товаров и уплате косвенных налогов не отражает налоговую базу по налогу на добавленную стоимость.
В случае, если по договору (контракту) лизинга дата наступления срока оплаты части стоимости товаров (предметов лизинга) установлена до даты ввоза товаров (предметов лизинга) на территорию Республики Казахстан, налогоплательщик представляет в налоговый орган не позднее 20 числа месяца, следующего за налоговым периодом - месяцем принятия на учет импортированных товаров (предметов лизинга), одновременно с заявлением о ввозе товаров и уплате косвенных налогов документы, предусмотренные подпунктами 1) - 4) части второй настоящего пункта.
В последующем налогоплательщик представляет в налоговый орган не позднее 20 числа месяца, следующего за налоговым периодом - месяцем срока платежа, предусмотренного договором (контрактом) лизинга, одновременно с заявлением о ввозе товаров и уплате косвенных налогов документы (их копии), предусмотренные подпунктом 1) части второй настоящего пункта.
3. Заявление о ввозе товаров и уплате косвенных налогов на бумажном носителе (в четырех экземплярах) и в электронной форме представляется:
1) лицами, импортирующими на территорию Республики Казахстан с территории государств - членов ЕАЭС товары с освобождением от уплаты налога на добавленную стоимость в соответствии с пунктом 2 статьи 525 настоящего Кодекса и (или) уплатой налога на добавленную стоимость методом зачета в соответствии со статьей 509 настоящего Кодекса;
2) налогоплательщиком в случае внесения изменений и дополнений в заявление о ввозе товаров и уплате косвенных налогов, предусмотренном пунктом 2 статьи 533 настоящего Кодекса.
4. При представлении заявления о ввозе товаров и уплате косвенных налогов только в электронной форме документы, указанные в подпунктах 1) - 7) части второй пункта 2 настоящей статьи, не представляются.
Положение настоящего пункта не применяется в случаях, установленных пунктом 3 настоящей статьи.
5. Налог на добавленную стоимость по импортированным товарам уплачивается по месту нахождения (жительства) налогоплательщиков не позднее 20 числа месяца, следующего за налоговым периодом.
В случае изменения в сторону увеличения цены импортированных товаров в соответствии с пунктом 8 статьи 518 настоящего Кодекса налог на добавленную стоимость по импортированным товарам уплачивается не позднее 20 числа месяца, следующего за месяцем, в котором участники договора (контракта) изменили цену импортированных товаров.
6. Налоговым периодом для исчисления и уплаты косвенных налогов при импорте товаров, в том числе товаров, являющихся продуктами переработки давальческого сырья, товаров (предметов лизинга) по договорам (контрактам) лизинга, на территорию Республики Казахстан с территории государств - членов ЕАЭС является календарный месяц, в котором приняты на учет такие импортированные товары или наступает срок платежа, предусмотренного договором (контрактом) лизинга.
При этом допускается исполнение налогового обязательства в течение налогового периода.
7. Подтверждение налоговыми органами факта уплаты налога на добавленную стоимость по импортированным товарам в заявлении о ввозе товаров и уплате косвенных налогов путем проставления соответствующей отметки либо мотивированный отказ в подтверждении осуществляются в случаях и порядке, которые предусмотрены уполномоченным органом.
По заявлениям, представленным на бумажном носителе и в электронной форме, подтверждение факта уплаты налога на добавленную стоимость производится налоговым органом в течение десяти рабочих дней со дня поступления заявления на бумажном носителе путем проставления соответствующей отметки на таком заявлении.
По заявлениям, представленным в соответствии с пунктом 4 настоящей статьи, подтверждение факта уплаты налога на добавленную стоимость производится налоговым органом в течение трех рабочих дней со дня поступления заявления в электронной форме путем направления налогоплательщику уведомления о подтверждении факта уплаты косвенных налогов в электронной форме.
8. По заявлениям, представленным на бумажном носителе и в электронной форме, отказ в подтверждении факта уплаты налога на добавленную стоимость производится налоговым органом в течение десяти рабочих дней со дня поступления заявления на бумажном носителе путем направления налогоплательщику мотивированного отказа на бумажном носителе.
По заявлениям, представленным в соответствии с пунктом 4 настоящей статьи, отказ в подтверждении факта уплаты налога на добавленную стоимость производится налоговым органом в течение трех рабочих дней со дня поступления заявления в электронной форме путем направления налогоплательщику мотивированного отказа в электронной форме.
9. В случаях, указанных в пункте 8 настоящей статьи, налогоплательщик обязан представить в налоговый орган заявление о ввозе товаров и уплате косвенных налогов с устранением нарушений в течение пятнадцати календарных дней с даты получения мотивированного отказа.
10. В случае изменения в сторону увеличения цены импортированных товаров в соответствии с пунктом 8 статьи 518 настоящего Кодекса заявление о ввозе товаров и уплате косвенных налогов в электронной форме представляется не позднее 20 числа месяца, следующего за месяцем, в котором участники договора (контракта) изменили цену импортированных товаров.
При этом в заявлении о ввозе товаров и уплате косвенных налогов отражается измененная стоимость приобретенных импортированных товаров.
Документами, подтверждающими увеличение цены импортированных товаров, являются: договор (контракт) об изменении цены, дополнительный счет-фактура, в котором содержится измененное значение по облагаемому импорту и налогу на добавленную стоимость (в случае, если выставление (выписка) счета-фактуры предусмотрено (предусмотрена) законодательством государства - члена ЕАЭС), и (или) иной документ, подтверждающий изменение цены импортированных товаров.
Статья 531. Порядок исчисления и уплаты налога на добавленную стоимость при экспорте товаров в Евразийском экономическом союзе
1. В случае получения от налоговых органов государств - членов ЕАЭС, налогоплательщиками которых импортированы товары, заявления о ввозе товаров и уплате косвенных налогов в электронной форме налогоплательщику Республики Казахстан, осуществившему экспорт товаров, налоговым органом Республики Казахстан направляется уведомление о получении такого заявления.
Уведомление, указанное в настоящем пункте, направляется в течение десяти рабочих дней со дня поступления такого заявления.
2. При непоступлении в электронной форме в налоговый орган Республики Казахстан заявления о ввозе товаров и уплате косвенных налогов в течение ста восьмидесяти календарных дней с даты совершения оборота по реализации товаров при их экспорте, по реализации работ, услуг в случае выполнения работ по переработке давальческого сырья плательщик налога на добавленную стоимость, указанный в подпункте 1) пункта 1 статьи 521 настоящего Кодекса, обязан уплатить налог по ставке, установленной пунктом 1 статьи 503 настоящего Кодекса, в срок, предусмотренный статьей 506 настоящего Кодекса.
Порядок начисления налоговым органом указанных в настоящем пункте сумм налога на добавленную стоимость устанавливается в порядке ведения лицевых счетов.
3. В случае несвоевременной и неполной уплаты суммы налога на добавленную стоимость, исчисленной в соответствии с пунктом 2 настоящей статьи, налоговый орган применяет способы обеспечения исполнения не выполненного в срок налогового обязательства и меры принудительного взыскания в порядке, определенном настоящим Кодексом.
4. В случае поступления заявления о ввозе товаров и уплате косвенных налогов в электронной форме в налоговый орган Республики Казахстан по истечении срока, предусмотренного пунктом 2 настоящей статьи, уплаченные суммы налога на добавленную стоимость подлежат зачету и возврату в соответствии со статьями 120, 121 и 122 настоящего Кодекса.
При этом уплаченные суммы пеней, начисленные в соответствии с пунктом 3 настоящей статьи, возврату не подлежат.
Статья 532. Отзыв заявления о ввозе товаров и уплате косвенных налогов при импорте товаров в Евразийском экономическом союзе
1. Заявление о ввозе товаров и уплате косвенных налогов подлежит отзыву из налоговых органов самостоятельно налогоплательщиком, а также на основании налогового заявления об отзыве налоговой отчетности, представленного налогоплательщиком в налоговый орган по месту нахождения (жительства) налогоплательщика.
2. Отзыв заявления о ввозе товаров и уплате косвенных налогов производится налогоплательщиком самостоятельно в случае внесения изменения и дополнения в сведения, ранее указанные в заявлении о ввозе товаров и уплате косвенных налогов, не влияющих на размер налоговой базы для исчисления сумм косвенных налогов.
3. Отзыв заявления о ввозе товаров и уплате косвенных налогов производится налогоплательщиком путем подачи налогового заявления в налоговый орган в случаях:
1) ошибочного представления заявления о ввозе товаров и уплате косвенных налогов;
2) установления налоговым органом факта отсутствия импорта товара;
3) внесения изменений и дополнений в сведения, ранее указанные в заявлении о ввозе товаров и уплате косвенных налогов, влияющих на размер налоговой базы для исчисления сумм косвенных налогов, в том числе в случаях, предусмотренных пунктами 2 и 3 статьи 533 настоящего Кодекса.
4. Отзыв заявления о ввозе товаров и уплате косвенных налогов производится одним из следующих методов:
1) удаления из центрального узла системы приема и обработки налоговой отчетности, который применяется по заявлениям о ввозе товаров и уплате косвенных налогов, представленным ошибочно или представленным по импортированным товарам, которые в полном объеме были возвращены по причине ненадлежащих качества и (или) комплектации, а также при установлении налоговым органом факта отсутствия импорта товара.
В целях части первой настоящего подпункта заявление о ввозе товаров и уплате косвенных налогов считается ошибочно представленным в случае, если обязанность по представлению такого заявления настоящим Кодексом не предусмотрена;
2) замены, при котором внесение изменений и дополнений в заявление о ввозе товаров и уплате косвенных налогов производится налогоплательщиком путем отзыва ранее представленного заявления с одновременным представлением нового заявления;
3) изменения в случае направления заявления о ввозе товаров и уплате косвенных налогов в налоговый орган не по месту нахождения (жительства).
В целях подпунктов 2) и 3) части первой настоящего пункта при отзыве заявления о ввозе товаров и уплате косвенных налогов методом замены или изменения в лицевых счетах налогоплательщика налоговым органом по месту регистрационного учета осуществляется сторнирование сумм, отраженных в отзываемом заявлении о ввозе товаров и уплате косвенных налогов, с последующим отражением в лицевом счете данных по заявлению о ввозе товаров и уплате косвенных налогов с учетом заявленных изменений и (или) дополнений.
5. Не допускается внесение налогоплательщиком изменений и дополнений в заявление о ввозе товаров и уплате косвенных налогов:
1) проверяемого налогового периода - в период проведения комплексных проверок и тематических проверок по налогу на добавленную стоимость и акцизам, указанным в предписании на проведение налоговой проверки;
2) обжалуемого налогового периода - в период срока подачи и рассмотрения жалобы на уведомление о результатах проверки с учетом восстановленного срока подачи жалобы по налогу на добавленную стоимость и акцизам, указанным в жалобе налогоплательщика.
6. Порядок отзыва заявления о ввозе товаров и уплате косвенных налогов определяется уполномоченным органом.
Статья 533. Порядок корректировки сумм налога на добавленную стоимость, уплаченного при импорте товаров
1. В случае осуществления частичного и (или) полного возврата товаров, импортированных на территорию Республики Казахстан с территории государств - членов ЕАЭС, по причине ненадлежащих качества и (или) комплектации до истечения месяца, в котором такие товары ввезены, отражение сведений по таким товарам в заявлении о ввозе товаров и уплате косвенных налогов не производится.
2. При частичном возврате товаров по причине ненадлежащих качества и (или) комплектации после истечения месяца, в котором такие товары ввезены, сведения по таким товарам подлежат отражению в заявлении о ввозе товаров и уплате косвенных налогов, представленном взамен отозванного заявления.
3. При полном возврате товаров по причине ненадлежащих качества и (или) комплектации после истечения месяца, в котором такие товары ввезены, заявление о ввозе товаров и уплате косвенных налогов, представленное по таким товарам, отзывается методом удаления в соответствии с подпунктом 1) пункта 3 статьи 532 настоящего Кодекса.
4. В целях настоящей статьи документами, подтверждающими полный и (или) частичный возврат товаров, импортированных на территорию Республики Казахстан с территории государств - членов ЕАЭС, по причине ненадлежащих качества и (или) комплектации, являются:
1) согласованная налогоплательщиком-экспортером и налогоплательщиком-импортером претензия, содержащая сведения о количестве импортированных товаров, подлежащих возврату по причине ненадлежащих качества и (или) комплектации;
2) акты приема-передачи товара (в случае отсутствия транспортировки возвращенных товаров);
3) транспортные (товаросопроводительные) документы (в случае транспортировки возвращенных товаров);
4) акты уничтожения (в случае уничтожения товаров).
Копии документов, указанных в настоящем пункте, на бумажном носителе представляются в налоговый орган одновременно с документами, предусмотренными подпунктами 1) - 7) части второй пункта 2 статьи 530 настоящего Кодекса.
5. Не подлежат обложению налогом на добавленную стоимость:
1) утрата товаров, понесенная налогоплательщиком в пределах норм естественной убыли, установленных законодательством Республики Казахстан;
2) порча товаров, возникшая в результате чрезвычайных ситуаций природного и техногенного характера.
Для целей настоящей статьи под утратой товара понимается событие, в результате которого произошли уничтожение или потеря товара. Порча товара означает ухудшение всех или отдельных качеств (свойств) товара, в результате которого данный товар не может быть использован для целей облагаемого оборота.
РАЗДЕЛ 8. АКЦИЗЫ
Глава 53. ОБЩИЕ ПОЛОЖЕНИЯ
Статья 534. Применение акцизов
Акцизами облагаются товары, произведенные на территории Республики Казахстан, импортируемые на территорию Республики Казахстан, указанные в подпунктах 1) - 9) части первой статьи 536 настоящего Кодекса, а также приобретенные на территории Республики Казахстан товары, указанные в подпункте 10) части первой статьи 536 настоящего Кодекса.
Статья 535. Плательщики
1. Плательщиками акцизов являются физические и юридические лица, которые:
1) производят подакцизные товары на территории Республики Казахстан, за исключением импорта подакцизных товаров, по которым произведена уплата, в соответствии с таможенным законодательством Республики Казахстан, а также при наличии соглашения о промышленной сборке;
2) импортируют подакцизные товары на территорию Республики Казахстан;
3) осуществляют оптовую, розничную реализацию бензина (за исключением авиационного) и дизельного топлива газохола, бензанола, нефраса, смеси легких углеводородов, экологического топлива на территории Республики Казахстан;
4) осуществляют реализацию конфискованных, бесхозяйных, перешедших по праву наследования к государству и безвозмездно переданных в собственность государства на территории Республики Казахстан подакцизных товаров, указанных в подпунктах 5) - 7) части первой статьи 536 настоящего Кодекса, и по которым акциз на территории Республики Казахстан ранее не был уплачен в соответствии с законодательством Республики Казахстан;
5) осуществляют реализацию имущественной массы подакцизных товаров, указанных в статье 536 настоящего Кодекса, и по которым акциз на территории Республики Казахстан ранее не был уплачен в соответствии с законодательством Республики Казахстан;
6) осуществляют сборку (комплектацию) подакцизных товаров, предусмотренных подпунктом 6) части первой статьи 536 настоящего Кодекса, за исключением импорта подакцизных товаров, по которым произведена уплата, в соответствии с таможенным законодательством Республики Казахстан, а также при наличии соглашения о промышленной сборке.
2. Плательщиками акцизов являются также физические лица:
1) импортирующие подакцизные товары с территории государств - членов ЕАЭС в целях предпринимательской деятельности.
Критерии отнесения подакцизных товаров к импортируемым в целях предпринимательской деятельности устанавливаются уполномоченным органом;
2) импортирующие подакцизные товары, указанные в подпункте 10) части первой статьи 536 настоящего Кодекса, на территорию Республики Казахстан с территории государств - членов ЕАЭС и (или) государств, не являющихся членами ЕАЭС, а также приобретающие подакцизные товары, указанные в подпункте 10) части первой статьи 536 настоящего Кодекса.
3. Плательщиками акцизов с учетом положений пункта 1 настоящей статьи являются также юридические лица - нерезиденты и их структурные подразделения.
4. Плательщиками акцизов не являются уполномоченные государственные органы, осуществляющие реализацию конфискованных, бесхозяйных, перешедших по праву наследования к государству и безвозмездно переданных в собственность государства, закладку и выпуск материальных ценностей из государственного материального резерва на территории Республики Казахстан подакцизных товаров, указанных в подпунктах 5), 6) и 7) части первой статьи 536 настоящего Кодекса.
Статья 536. Перечень подакцизных товаров
Если иное не установлено настоящей статьей, подакцизными товарами являются:
1) все виды спирта;
2) алкогольная продукция;
3) табачные изделия;
4) изделия с нагреваемым табаком;
5) бензин (за исключением авиационного), дизельное топливо, газохол, бензанол, нефрас, смесь легких углеводородов, экологическое топливо;
6) моторные транспортные средства, предназначенные для перевозки 10 и более человек с объемом двигателя более 3000 кубических сантиметров, за исключением микроавтобусов, автобусов и троллейбусов;
автомобили легковые и прочие моторные транспортные средства, предназначенные для перевозки людей с объемом двигателя более 3000 кубических сантиметров (кроме автомобилей с ручным управлением или адаптером ручного управления, специально предназначенных для лиц с инвалидностью);
моторные транспортные средства на шасси легкового автомобиля с платформой для грузов и кабиной водителя, отделенной от грузового отсека жесткой стационарной перегородкой, с объемом двигателя более 3000 кубических сантиметров (кроме автомобилей с ручным управлением или адаптером ручного управления, специально предназначенных для лиц с инвалидностью);
7) сырая нефть, газовый конденсат;
8) спиртосодержащая продукция медицинского назначения, зарегистрированная в соответствии с законодательством Республики Казахстан в качестве лекарственного средства;
9) энергетические напитки;
10) автомобили легковые, стоимость приобретения которых составляет 18 000-кратный месячный расчетный показатель, действующий на 1 января соответствующего финансового года, и выше;
суда, стоимость приобретения которых составляет 24 000-кратный месячный расчетный показатель, действующий на 1 января соответствующего финансового года, и выше;
воздушные суда, стоимость приобретения которых составляет 24 000-кратный месячный расчетный показатель, действующий на 1 января соответствующего финансового года, и выше.
Уполномоченный орган в области регулирования торговой деятельности определяет дополнительный перечень импортируемых товаров, которые будут подлежать обложению акцизами по стране происхождения, в порядке, определенном Правительством Республики Казахстан.
Ставки акцизов на товары, указанные в дополнительном перечне импортируемых товаров, определенном в соответствии с частью второй настоящей статьи, устанавливаются Правительством Республики Казахстан на основании предложений уполномоченного органа в области регулирования торговой деятельности.
Статья 537. Ставки акцизов
1. Ставки акцизов устанавливаются в абсолютной сумме на единицу измерения в натуральном выражении.
2. Сумма акциза по подакцизным товарам, в отношении которых установлены комбинированные налоговые ставки (состоящие из твердой (специфической) и адвалорной (в процентах) налоговых ставок), исчисляется как сумма, полученная в результате сложения сумм акциза, исчисленных как произведение твердой (специфической) налоговой ставки и объема реализованных (переданных, ввозимых) подакцизных товаров в натуральном выражении, и как соответствующая адвалорной (в процентах) налоговой ставке процентная доля максимальной розничной цены таких товаров.
3. Ставки акцизов на алкогольную продукцию утверждаются в соответствии с пунктом 1 настоящей статьи либо в зависимости от объемного содержания в ней безводного (стопроцентного) спирта.
4. На все виды спирта и вино наливом (виноматериал) ставки акциза дифференцируются в зависимости от целей дальнейшего использования спирта и вина наливом (виноматериала).
5. Ставки акцизов на подакцизные товары, указанные в подпункте 10) части первой статьи 536 настоящего Кодекса, устанавливаются в процентах к их стоимости, определяемой в соответствии с настоящей статьей.
6. Исчисление суммы акциза производится по следующим ставкам:
1) на подакцизные товары, указанные в подпунктах 1) - 4), 6) - 10) статьи 536 настоящего Кодекса:
|
№ п/п |
Код ТН ВЭД ЕАЭС |
Виды подакцизных товаров |
Ставки акцизов (в тенге за единицу измерения) |
|
1 |
2 |
3 |
4 |
|
1. |
из 2207 |
Спирт этиловый неденатурированный с концентрацией спирта 80 объемных процентов или более (кроме спирта этилового неденатурированного, реализуемого или используемого для производства алкогольной продукции, отпускаемого государственным медицинским учреждениям в пределах установленных квот), этиловый спирт и прочие спирты денатурированные любой концентрации (кроме спирта этилового (этанола) денатурированного топливного (не бесцветного, окрашенного) для потребления на внутреннем рынке) |
600 тенге/литр |
|
2. |
из 2207 |
Спирт этиловый (этанол) денатурированный топливный (не бесцветный, окрашенный для потребления на внутреннем рынке) |
1,0 тенге/литр |
|
3. |
из 2208 |
Спирт этиловый неденатурированный, спиртовые настойки и прочие спиртные напитки с концентрацией спирта менее 80 объемных процентов (кроме спирта этилового неденатурированного, реализуемого или используемого для производства алкогольной продукции и отпускаемого государственным медицинским учреждениям в пределах установленных квот), этиловый спирт и прочие спирты денатурированные любой концентрации (кроме спирта этилового (этанола) денатурированного топливного (не бесцветного, окрашенного) для потребления на внутреннем рынке) |
2550 тенге/литр 100% спирта |
|
4. |
из 2207 |
Спирт этиловый неденатурированный, реализуемый или используемый для лечебных и фармацевтических препаратов |
600 тенге/литр 100% спирта |
|
5. |
из 2207 |
Спирт этиловый неденатурированный с концентрацией спирта 80 объемных процентов или более, реализуемый или используемый для производства алкогольной продукции |
0 тенге/литр |
|
6. |
из 2208 |
Спирт этиловый неденатурированный, спиртовые настойки и прочие спиртные напитки с концентрацией спирта менее 80 объемных процентов, реализуемые или используемые для производства алкогольной продукции |
75 тенге/литр 100% спирта |
|
7. |
из 3003, 3004 |
Спиртосодержащая продукция медицинского назначения, зарегистрированная в соответствии с законодательством Республики Казахстан в качестве лекарственного средства |
500 тенге/литр 100% спирта |
|
8. |
из 2205, 2206, 2208 |
Алкогольная продукция (кроме вин, вина наливом (виноматериала), пива и пивного напитка) |
2805 тенге/литр 100% спирта |
|
9. |
из 2204 |
Вино |
38 тенге/литр |
|
10. |
из 2204 |
Вино наливом (виноматериал) (кроме реализуемого или используемого для производства этилового спирта и алкогольной продукции) |
187 тенге/литр |
|
11. |
из 2204 |
Вино наливом (виноматериал), реализуемое или используемое для производства этилового спирта и алкогольной продукции |
1 тенге/литр |
|
12. |
220300 |
Пиво и пивной напиток |
99 тенге/литр |
|
13. |
2202 91 000 0 |
Пиво и пивной напиток с объемным содержанием этилового спирта не более 0,5 процента |
0 тенге/литр |
| 14. | из 2402 | Сигареты с фильтром: | |
| с 1 января 2026 года по 31 декабря 2026 года включительно | 18 051 тенге/1000 штук | ||
| с 1 января 2027 года по 31 декабря 2027 года включительно | 21163 тенге/1000 штук | ||
| с 1 января 2028 года по 31 декабря 2028 года включительно | 21880 тенге/1000 штук | ||
| с 1 января 2029 года по 31 декабря 2029 года включительно | 23 279 тенге/1000 штук | ||
| с 1 января 2030 года | 25 607 тенге/1000 штук | ||
| 15. | из 2402 | Сигареты без фильтра, папиросы: | |
| с 1 января 2026 года по 31 декабря 2026 года включительно | 18 051 тенге/1000 штук | ||
| с 1 января 2027 года по 31 декабря 2027 года включительно | 21163 тенге/1000 штук | ||
| с 1 января 2028 года по 31 декабря 2028 года включительно | 21880 тенге/1000 штук | ||
| с 1 января 2029 года по 31 декабря 2029 года включительно | 23 279 тенге/1000 штук | ||
| с 1 января 2030 года | 25 607 тенге/1000 штук | ||
| 16. | из 2402 | Сигариллы: | |
| с 1 января 2026 года по 31 декабря 2026 года включительно | 18 051 тенге/1000 штук | ||
| с 1 января 2027 года по 31 декабря 2027 года включительно | 21163 тенге/1000 штук | ||
| с 1 января 2028 года по 31 декабря 2028 года включительно | 21880 тенге/1000 штук | ||
| с 1 января 2029 года по 31 декабря 2029 года включительно | 23 279 тенге/1000 штук | ||
| с 1 января 2030 года | 25 607 тенге/1000 штук | ||
| 17. | из 2402 | Сигары | 825 тенге/штука |
| 18. | из 2403 | Табак трубочный, курительный, кальянный и прочий, упакованный в потребительскую тару и предназначенный для конечного потребления, за исключением фармацевтической продукции, содержащей никотин: | |
| с 1 января 2026 года по 31 декабря 2026 года включительно | 15 863 тенге/килограмм | ||
| с 1 января 2027 года по 31 декабря 2027 года включительно | 18 835 тенге/килограмм | ||
| с 1 января 2028 года по 31 декабря 2028 года включительно | 19 692 тенге/килограмм | ||
| с 1 января 2029 года по 31 декабря 2029 года включительно | 20 719 тенге/килограмм | ||
| с 1 января 2030 года | 22 791 тенге/килограмм | ||
| 19. | из 2403, 2404 | Изделия с нагреваемым табаком (нагреваемая табачная палочка, нагреваемая капсула с табаком и прочие): | |
| с 1 января 2026 года по 31 декабря 2026 года включительно | 11230 тенге/ 1000 штук | ||
| с 1 января 2027 года по 31 декабря 2027 года включительно | 11330 тенге/ 1000 штук | ||
| с 1 января 2028 года по 31 декабря 2028 года включительно | 11430 тенге/ 1000 штук | ||
| с 1 января 2029 года по 31 декабря 2029 года включительно | 11640 тенге/ 1000 штук | ||
| с 1 января 2030 года | 12803 тенге/ 1000 штук | ||
| 20. | из 2709 00 | Сырая нефть, газовый конденсат | 0 тенге/тонна |
|
21. |
из 8702 | Моторные транспортные средства, предназначенные для перевозки 10 и более человек, с объемом двигателя более 3 000 куб. см, за исключением микроавтобусов, автобусов и троллейбусов |
100 тенге/ куб. см |
| из 8703 | Автомобили легковые и прочие моторные транспортные средства, предназначенные главным образом для перевозки людей, с объемом двигателя более 3 000 куб. см (кроме автомобилей с ручным управлением или адаптером ручного управления, специально предназначенных для лиц с инвалидностью) | ||
| из 8704 | Моторные транспортные средства на шасси легкового автомобиля с платформой для грузов и кабиной водителя, отделенной от грузового отсека жесткой стационарной перегородкой, с объемом двигателя более 3 000 куб. см (кроме автомобилей с ручным управлением или адаптером ручного управления, специально предназначенных для лиц с инвалидностью) | ||
| 22. | из 2204, 2205, 2206 00 и 2208 | Импорт алкогольной продукции стоимостью свыше 500,0 тыс. тенге от таможенной стоимости (кроме личного потребления) | 10% от стоимости в тенге/литр |
| 23. | из 2402 | Импорт табачных изделий (сигары) стоимостью свыше 10,0 тыс. тенге от таможенной стоимости (кроме личного потребления) | 10% от стоимости в тенге/штука |
| 24. | из 8703 | Автомобили легковые, стоимость приобретения которых составляет 18 000-кратный месячный расчетный показатель, действующий на 1 января соответствующего финансового года, и выше | 10% от стоимости приобретенного транспортного средства* |
| 25. | из 8903 | Суда, стоимость приобретения которых составляет 24 000-кратный месячный расчетный показатель, действующий на 1 января соответствующего финансового года, и выше | |
| 26. | из 8802 | Воздушные суда, стоимость приобретения которых составляет 24 000-кратный месячный расчетный показатель, действующий на 1 января соответствующего финансового года, и выше | |
| 27. | из 2202 | Энергетические напитки: | |
| с 1 января 2026 года по 31 декабря 2026 года включительно | 100 тенге/ литр | ||
| с 1 января 2027 года по 31 декабря 2027 года включительно | 140 тенге/ литр | ||
| с 1 января 2028 года по 31 декабря 2028 года включительно | 180 тенге/ литр | ||
| с 1 января 2029 года по 31 декабря 2029 года включительно | 200 тенге/ литр | ||
| с 1 января 2030 года | 240 тенге/ литр |
Примечание.
* Стоимость приобретения подакцизных товаров, указанных в подпункте 10) части первой статьи 536 настоящего Кодекса, для целей применения ставок, установленных строками 24, 25 и 26 таблицы настоящего подпункта, устанавливается:
в порядке определения таможенной стоимости для целей уплаты таможенных платежей и пошлин при ввозе на территорию Республики Казахстан с территории государств, не являющихся членами ЕАЭС, в соответствии с таможенным законодательством Республики Казахстан;
в порядке определения стоимости товаров, приобретенных при ввозе на территорию Республики Казахстан с территории государств - членов ЕАЭС, в соответствии с пунктами 1, 2, 4 - 8 статьи 518 настоящего Кодекса;
по стоимости приобретения, указанной в договоре купли-продажи или ином виде соглашения, согласно которому были приобретены такие транспортные средства на территории Республики Казахстан;
2) на подакцизные товары, указанные в подпункте 5) части первой статьи 536 настоящего Кодекса, утверждаемые Правительством Республики Казахстан.
Примечание.
Номенклатура товара определяется кодом единой Товарной номенклатуры внешнеэкономической деятельности ЕАЭС и (или) наименованием товара.
Глава 54. НАЛОГООБЛОЖЕНИЕ ПОДАКЦИЗНЫХ ТОВАРОВ, ПРОИЗВОДИМЫХ, РЕАЛИЗУЕМЫХ В РЕСПУБЛИКЕ КАЗАХСТАН
Статья 538. Объект налогообложения
1. Объектом обложения акцизом являются:
1) следующие операции, осуществляемые плательщиком акциза, с произведенными и (или) добытыми, и (или) розлитыми им подакцизными товарами:
реализация подакцизных товаров, за исключением импорта подакцизных товаров, по которым произведена уплата, в соответствии с таможенным законодательством Республики Казахстан, а также при наличии соглашения о промышленной сборке;
передача подакцизных товаров на переработку на давальческой основе;
передача подакцизных товаров, являющихся продуктом переработки давальческих сырья и материалов, в том числе подакцизных;
взнос в уставный капитал;
использование подакцизных товаров при натуральной оплате, кроме случаев передачи подакцизных товаров в натуральной форме в счет уплаты налога на добычу полезных ископаемых, рентного налога на экспорт;
отгрузка подакцизных товаров, осуществляемая производителем своим структурным подразделениям;
использование производителем произведенных и (или) добытых, и (или) розлитых подакцизных товаров для собственных производственных нужд и для собственного производства подакцизных товаров;
перемещение подакцизных товаров, осуществляемое производителем с указанного в лицензии адреса производства;
2) оптовая реализация бензина (за исключением авиационного), дизельного топлива, газохола, бензанола, нефраса, смеси легких углеводородов и экологического топлива;
3) розничная реализация бензина (за исключением авиационного), дизельного топлива, газохола, бензанола, нефраса, смеси легких углеводородов и экологического топлива;
4) реализация имущественной массы, конфискованных и (или) бесхозяйных, перешедших по праву наследования к государству и безвозмездно переданных в собственность государства подакцизных товаров;
5) порча, утрата подакцизных товаров;
6) импорт подакцизных товаров на территорию Республики Казахстан;
7) приобретение подакцизных товаров, указанных в подпункте 10) части первой статьи 536 настоящего Кодекса, на территории Республики Казахстан.
2. Порча, утрата средств идентификации, учетно-контрольных марок рассматриваются как реализация подакцизных товаров.
3. Освобождаются от обложения акцизом:
1) экспорт подакцизных товаров, если он отвечает требованиям, установленным статьей 545 настоящего Кодекса;
2) спирт этиловый в пределах квот, определяемых уполномоченным государственным органом по контролю за производством и оборотом этилового спирта и алкогольной продукции, отпускаемый государственным организациям здравоохранения, уведомившим о начале своей деятельности в установленном порядке;
3) подакцизные товары, указанные в пункте 2 статьи 175 настоящего Кодекса, подлежащие перемаркировке учетно-контрольными марками нового образца, если по указанным товарам акциз был ранее уплачен;
4) спиртосодержащая продукция медицинского назначения (кроме бальзамов), зарегистрированная в соответствии с законодательством Республики Казахстан в качестве лекарственного средства;
5) средства идентификации, которые выведены из оборота по причине брака, утраты, повреждения, принятые налоговыми органами на основании акта о списании и уничтожении;
6) передача подакцизных товаров, указанных в подпункте 5) статьи 536 настоящего Кодекса, являющихся продуктом переработки давальческих сырья и материалов, в том числе подакцизных, реализованных на экспорт, если он отвечает требованиям, установленным статьей 545 настоящего Кодекса.
Статья 539. Дата совершения операции
1. Если иное не предусмотрено настоящей статьей, во всех случаях датой совершения операции является день отгрузки (передачи) подакцизных товаров получателю.
2. В случае реализации производителем произведенных им подакцизных товаров через сеть своих структурных подразделений датой совершения операции является день отгрузки товаров структурным подразделениям юридического лица.
3. При передаче подакцизных товаров, являющихся давальческим сырьем, датой совершения операции является день передачи указанных товаров подрядчику (переработчику).
При изготовлении подакцизных товаров, указанных в подпункте 5) статьи 536 настоящего Кодекса, являющихся продуктом переработки давальческого сырья, датой совершения операции является день передачи изготовленных подакцизных товаров заказчику, указанный в документе, оформленном в соответствии с законодательством Республики Казахстан о бухгалтерском учете и финансовой отчетности. Под передачей изготовленных подакцизных товаров заказчику понимается фактическая отгрузка подакцизных товаров в натуральном выражении путем налива в автомобильные и (или) железнодорожные цистерны либо прокачки по трубопроводу в резервуар или заправочную станцию поставщика нефти, принадлежащие ему на праве собственности или иных законных основаниях, подтвержденная актами приема-передачи.
Срок переработки давальческого сырья, являющегося подакцизным, вывезенного с территории Республики Казахстан на территорию государства - члена ЕАЭС, а также ввезенного на территорию Республики Казахстан с территории государств - членов ЕАЭС, определяется согласно условиям договора (контракта) на переработку давальческого сырья и не может превышать два года с даты принятия на учет и (или) отгрузки давальческого сырья.
В случае превышения установленного срока переработки давальческого сырья объектом обложения акцизом является предполагаемый объем продукта переработки в соответствии с условиями договора (контракта) по ставкам, утвержденным Правительством Республики Казахстан.
В случае осуществления ввоза (вывоза) давальческого сырья на переработку налогоплательщиком Республики Казахстан представляется обязательство о вывозе (ввозе) продуктов переработки, а также его исполнении в порядке, по форме и в сроки, которые определены уполномоченным органом по согласованию с центральным уполномоченным органом по государственному планированию.
4. При использовании подакцизных товаров для собственных производственных нужд и собственного производства подакцизных товаров датой совершения операции является день передачи указанных товаров для такого использования.
5. При перемещении подакцизных товаров, осуществляемом производителем с адреса производства, датой совершения операции является день перемещения подакцизных товаров с указанного в лицензии адреса производства.
6. В случае порчи подакцизных товаров, средств идентификации, учетно-контрольных марок датой совершения операции является день составления акта о списании испорченных подакцизных товаров, акта о списании и уничтожении средств идентификации, учетно-контрольных марок или день принятия решения об их дальнейшем использовании в производственном процессе.
В случае утраты подакцизных товаров, средств идентификации, учетно-контрольных марок датой совершения операции является день, когда произошла утрата подакцизных товаров, средств идентификации, учетно-контрольных марок.
7. При импорте подакцизных товаров на территорию Республики Казахстан с территории другого государства - члена ЕАЭС датой совершения операции является дата принятия налогоплательщиком на учет импортированных подакцизных товаров.
При этом для целей настоящего раздела датой принятия на учет импортированных подакцизных товаров является дата оприходования таких товаров в соответствии с международными стандартами финансовой отчетности и (или) требованиями законодательства Республики Казахстан о бухгалтерском учете и финансовой отчетности.
8. При импорте подакцизных товаров, указанных в подпункте 10) части первой статьи 536 настоящего Кодекса, датой совершения операции является дата ввоза таких товаров на территорию Республики Казахстан.
9. При приобретении на территории Республики Казахстан подакцизных товаров, указанных в подпункте 10) части первой статьи 536 настоящего Кодекса, датой совершения операции является дата регистрации транспортного средства в регистрирующем органе.
Статья 540. Налоговая база
По подакцизным товарам налоговая база определяется как объем (количество) произведенных, реализованных подакцизных товаров в натуральном выражении, если иное не установлено настоящей статьей.
По подакцизным товарам, указанным в подпункте 10) части первой статьи 536 настоящего Кодекса, приобретенным на территории Республики Казахстан, налоговой базой является стоимость приобретения, определяемая в порядке, установленном статьей 537 настоящего Кодекса.
По бензину (за исключением авиационного), дизельному топливу, газохолу, бензанолу, нефрасу, смеси легких углеводородов и экологическому топливу, являющимися продуктами переработки давальческого сырья, налоговая база определяется как объем (количество) переданных подакцизных товаров в натуральном выражении.
Статья 541. Особенности налогообложения всех видов спирта и вина наливом (виноматериала) в случае установления разных ставок
1. В случае установления в соответствии с пунктом 3 статьи 536 настоящего Кодекса разных ставок акциза на все виды спирта и вино наливом (виноматериал) налоговая база определяется отдельно по операциям, облагаемым по одним и тем же ставкам.
2. При использовании спирта, приобретенного производителем алкогольной продукции с акцизом по ставке ниже базовой, не для производства алкогольной продукции сумма акциза по данному спирту подлежит пересчету и уплате в бюджет по базовой ставке акциза, установленной для всех видов спирта, реализуемого лицам, не являющимся производителями алкогольной продукции. Пересчет и уплата акциза производятся получателем спирта.
3. При использовании вина наливом (виноматериала), приобретенного производителем алкогольной продукции с акцизом по ставке ниже базовой, не для производства спирта и (или) алкогольной продукции сумма акциза по данному вину наливом (виноматериалу) подлежит пересчету и уплате в бюджет по базовой ставке акциза, установленной для вина наливом (виноматериала), реализуемого лицам, не являющимся производителями алкогольной продукции. Пересчет и уплата акциза производятся получателем вина наливом (виноматериала).
4. Положения пункта 2 настоящей статьи применяются также в случае нецелевого использования спирта, приобретенного для оказания медицинских услуг. Плательщиками акциза по данному спирту являются государственные медицинские учреждения, получившие спирт без акциза.
Статья 542. Порча, утрата подакцизных товаров
1. При порче, утрате произведенных на территории Республики Казахстан и импортируемых, а также ввозимых на таможенную территорию ЕАЭС подакцизных товаров акциз уплачивается в полном размере, за исключением случаев, возникших в результате чрезвычайных ситуаций и (или) в период действия чрезвычайного положения.
Настоящее положение применяется также в случае порчи, утраты бензина (за исключением авиационного), дизельного топлива, приобретенных для дальнейшей реализации.
2. Для целей настоящей статьи:
1) под порчей подакцизного товара понимается ухудшение всех или отдельных качеств (свойств) товара, в том числе на всех технологических стадиях его производства;
2) под утратой подакцизного товара понимается событие, в результате которого произошли уничтожение или потеря товара, в том числе на всех технологических стадиях его производства.
Не являются утратой потеря подакцизных товаров, понесенная налогоплательщиком в пределах норм естественной убыли, установленных законодательством Республики Казахстан, а также потери в пределах норм, регламентируемых нормативной и технической документацией производителя.
Статья 543. Порча, утрата средств идентификации, учетно-контрольных марок
1. Если иное не предусмотрено настоящей статьей, при порче, утрате средств идентификации, учетно-контрольных марок акциз уплачивается в размере заявленного ассортимента.
Исчисление акциза по испорченным или утерянным (в том числе похищенным) учетно-контрольным маркам, предназначенным для маркировки алкогольной продукции в соответствии со статьей 175 настоящего Кодекса, производится исходя из установленных ставок, применяемых к объему емкости (тары), указанному на марке.
2. При порче, утрате средств идентификации, выданных при импорте табачных изделий, учетно-контрольных марок, уплаченные суммы акциза подлежат перерасчету в следующих случаях:
1) порча, утрата средств идентификации, учетно-контрольных марок возникли в результате чрезвычайных ситуаций и (или) в период действия чрезвычайного положения;
2) испорченные средства идентификации, учетно-контрольные марки приняты налоговыми органами на основании акта о списании и уничтожении.
3. При порче, утрате средств идентификации, выданных на табачные изделия, акциз не уплачивается в случае порчи, утраты средств идентификации, возникших в результате чрезвычайных ситуаций и (или) в период действия чрезвычайного положения.
Статья 544. Критерии отнесения к оптовой и розничной реализации бензина (за исключением авиационного), дизельного топлива, газохола, бензанола, нефраса, смеси легких углеводородов и экологического топлива, осуществляемой на территории Республики Казахстан
1. Реализация бензина (за исключением авиационного), дизельного топлива, газохола, бензанола, нефраса, смеси легких углеводородов и экологического топлива относится к сфере оптовой реализации, если по договору купли-продажи (мены) покупатель обязуется принять указанные подакцизные товары и использовать их для дальнейшей реализации при условии, что поставщиками по данному договору купли-продажи (мены) являются:
1) производитель бензина (за исключением авиационного), дизельного топлива, газохола, бензанола, нефраса, смеси легких углеводородов и экологического топлива;
2) поставщик нефти, получивший бензин (за исключением авиационного), дизельное топливо, газохол, бензанол, нефрас, смесь легких углеводородов и (или) экологическое топливо в результате переработки принадлежащего ему на праве собственности давальческого сырья с целью их дальнейшей реализации;
3) налогоплательщик, состоящий на регистрационном учете по отдельным видам деятельности в соответствии со статьей 104 настоящего Кодекса и осуществивший ввоз (в том числе импорт) на территорию Республики Казахстан собственных бензина (за исключением авиационного), дизельного топлива, газохола, бензанола, нефраса, смеси легких углеводородов и (или) экологического топлива с целью их дальнейшей реализации.
К сфере оптовой реализации относится также отгрузка бензина (за исключением авиационного), дизельного топлива, газохола, бензанола, нефраса, смеси легких углеводородов и экологического топлива структурным подразделениям юридического лица для дальнейшей реализации.
2. К сфере розничной реализации бензина (за исключением авиационного), дизельного топлива, газохола, бензанола, нефраса, смеси легких углеводородов и экологического топлива относятся следующие операции, осуществляемые поставщиками, указанными в пункте 1 настоящей статьи:
1) реализация, а также передача производителем нефтепродуктов, изготовленных из давальческого сырья и материалов, бензина (за исключением авиационного), дизельного топлива, газохола, бензанола, нефраса, смеси легких углеводородов и экологического топлива лицам для их производственных нужд;
2) реализация бензина (за исключением авиационного), дизельного топлива, газохола, бензанола, нефраса, смеси легких углеводородов и экологического топлива физическим лицам;
3) использование на собственные производственные нужды произведенного или приобретенного для дальнейшей реализации бензина (за исключением авиационного), дизельного топлива, газохола, бензанола, нефраса, смеси легких углеводородов и экологического топлива.
Статья 545. Подтверждение экспорта подакцизных товаров
1. Документами, подтверждающими экспорт подакцизных товаров, являются:
1) договор (контракт) на поставку экспортируемых подакцизных товаров;
2) декларация на товары или ее копия, заверенная таможенным органом, с отметкой таможенного органа, осуществившего выпуск подакцизных товаров в таможенной процедуре экспорта.
В случае вывоза подакцизных товаров в таможенной процедуре экспорта по системе магистральных трубопроводов либо с применением процедуры неполного периодического декларирования подтверждением экспорта служит полная декларация на товары с отметкой таможенного органа, производившего таможенное декларирование;
3) копии товаросопроводительных документов с отметкой таможенного органа, расположенного в пункте пропуска на таможенной границе ЕАЭС.
В случае вывоза подакцизных товаров в таможенной процедуре экспорта по системе магистральных трубопроводов вместо копий товаросопроводительных документов представляется акт приема-сдачи товаров;
4) платежные документы и выписка банка, которые подтверждают фактическое поступление выручки от реализации подакцизных товаров на банковские счета налогоплательщика в Республике Казахстан, открытые в соответствии с законодательством Республики Казахстан.
2. При экспорте подакцизных товаров в государства - участники Содружества Независимых Государств (за исключением государств - членов ЕАЭС), с которыми Республикой Казахстан заключены международные договоры, предусматривающие освобождение от акциза экспорта подакцизных товаров, дополнительным документом, подтверждающим экспорт подакцизных товаров, является декларация на товары, оформленная в стране импорта подакцизных товаров, вывезенных с таможенной территории Республики Казахстан в таможенной процедуре экспорта.
3. При экспорте подакцизных товаров на территорию государства - члена ЕАЭС для подтверждения обоснованности освобождения от уплаты акцизов в соответствии с пунктом 3 статьи 538 настоящего Кодекса налогоплательщик представляет в налоговый орган по месту нахождения одновременно с декларацией по акцизу документы, предусмотренные статьей 521 настоящего Кодекса, за исключением документов, указанных в подпункте 4) пункта 1 статьи 521 настоящего Кодекса.
При этом налогоплательщик вправе представить указанные документы, за исключением декларации по акцизу, в налоговый орган в течение ста восьмидесяти календарных дней с даты совершения операции.
4. Декларация на товары в виде электронного документа, по которой в информационных системах налоговых органов имеется уведомление таможенных органов о фактическом вывозе товаров, также является документом, подтверждающим экспорт подакцизных товаров. При наличии декларации на товары в виде электронного документа, предусмотренной настоящим пунктом, представление документов, установленных подпунктом 2) пункта 1 настоящей статьи, не требуется.
5. В случае неподтверждения реализации подакцизных товаров на экспорт в соответствии с пунктами 1,2 и 3 настоящей статьи такая реализация подлежит обложению акцизом в порядке, определенном настоящим разделом для реализации подакцизных товаров на территории Республики Казахстан, с начислением пеней в связи с неподтверждением реализации подакцизных товаров.
Алкогольная продукция, за исключением вина наливом (виноматериала), пива и пивного напитка, подлежит маркировке учетно-контрольными марками.
6. В случае подтверждения реализации подакцизных товаров на экспорт по истечении сроков, установленных пунктом 3 настоящей статьи, уплаченные в соответствии с пунктом 5 настоящей статьи суммы акцизов подлежат зачету и возврату в соответствии со статьями 120 и 122 настоящего Кодекса.
При этом уплаченная сумма пеней, начисленная в связи с неподтверждением реализации подакцизных товаров на экспорт на территорию государства - члена ЕАЭС, возврату не подлежит.
Статья 546. Исчисление суммы акциза
Исчисление суммы акциза производится путем применения установленной ставки акциза к налоговой базе.
Статья 547. Корректировка налоговой базы
1. Если иное не установлено настоящей статьей, налоговая база корректируется в том налоговом периоде, в котором произведен возврат подакцизного товара.
Корректировка размера налоговой базы в соответствии с настоящей статьей производится на основании дополнительного счета-фактуры, в котором отдельной строкой выделена сумма акциза, подлежащая корректировке, а также двусторонних актов, подтверждающих основание для возврата подакцизного товара, и других документов, подтверждающих наступление указанных в договоре (контракте) случаев возврата.
Корректировка размера налоговой базы при возврате подакцизных товаров производителю на адрес производства производится на основании товаросопроводительных документов производителя в случае, если подакцизные товары были перемещены производителем с адреса производства, но не были реализованы.
Корректировка размера налоговой базы при импорте подакцизных товаров из государств - членов ЕАЭС производится в соответствии с пунктами 1, 2, 3 и 4 статьи 533 настоящего Кодекса.
2. Налоговая база по подакцизным товарам, указанным в подпунктах 2) и 3) статьи 536 настоящего Кодекса, за исключением водки, водки особой и другой алкогольной продукции с объемной долей этилового спирта более пятнадцати процентов, корректируется производителем подакцизного товара на объем подакцизного товара, реализованного на экспорт, в случае, если по такому подакцизному товару ранее уплачен акциз в связи с его перемещением, осуществленным производителем с указанного в лицензии адреса производства.
Корректировка налоговой базы, предусмотренной настоящим пунктом, производится в том налоговом периоде, в котором такой подакцизный товар реализован на экспорт.
При этом налоговая база с учетом такой корректировки может иметь отрицательное значение.
Статья 548. Вычет из налога
1. Налогоплательщик имеет право уменьшить сумму акциза, исчисленную в соответствии со статьей 546 настоящего Кодекса, на установленные настоящей статьей вычеты.
2. В соответствии с настоящей статьей на вычет относятся суммы акциза, уплаченные в Республике Казахстан, по подакцизным товарам, использованным в качестве основного сырья для производства других подакцизных товаров.
3. Вычету подлежат суммы акциза, уплаченные:
1) на территории Республики Казахстан при приобретении или импорте подакцизных товаров на территорию Республики Казахстан, за исключением подакцизных товаров, указанных в подпункте 10) части первой статьи 536 настоящего Кодекса;
2) за подакцизное сырье собственного производства;
3) при передаче подакцизных товаров, изготовленных из давальческого подакцизного сырья.
Не подлежат вычету суммы акциза на все виды спирта, сырую нефть, газовый конденсат.
4. Вычет производится на сумму акциза, исчисленную исходя из объема подакцизного сырья, фактически использованного на изготовление подакцизных товаров в налоговом периоде.
5. Вычет суммы акциза, уплаченной при приобретении подакцизного сырья на территории Республики Казахстан, осуществляется при наличии следующих документов:
1) договора купли-продажи подакцизного сырья;
2) платежных документов или квитанции к приходно-кассовому ордеру с приложением чеков контрольно-кассовой машины, подтверждающих оплату подакцизного сырья;
3) товаротранспортных накладных на поставку подакцизного сырья;
4) счета-фактуры с выделенной отдельной строкой суммой акциза;
5) купажных листов (при производстве алкогольной продукции);
6) акта о списании подакцизного сырья в производство.
6. Вычет суммы акциза, уплаченной за подакцизное сырье собственного производства, осуществляется при наличии следующих документов:
1) платежных документов или иных документов, подтверждающих уплату акциза в бюджет;
2) купажных листов (при производстве алкогольной продукции);
3) акта о списании подакцизного сырья в производство.
7. Вычет суммы акциза, уплаченной в Республике Казахстан при импорте подакцизного сырья на территорию Республики Казахстан, осуществляется при наличии следующих документов:
1) договора купли-продажи подакцизного сырья;
2) платежных документов или иных документов, подтверждающих уплату акциза в бюджет при таможенном декларировании;
3) декларации на товары на импортируемое подакцизное сырье при импорте подакцизного сырья на территорию Республики Казахстан с территории государств, не являющихся членами ЕАЭС, или заявления о ввозе товаров и уплате косвенных налогов при импорте на территорию Республики Казахстан с территории государств - членов ЕАЭС;
4) купажных листов (при производстве алкогольной продукции);
5) акта о списании подакцизного сырья в производство.
8. Вычету также подлежит сумма акциза, уплаченная при передаче подакцизных товаров, изготовленных на территории Республики Казахстан из давальческого подакцизного сырья, при наличии следующих документов:
1) договора о переработке давальческого сырья между собственником давальческого подакцизного сырья и переработчиком;
2) платежных документов или иных документов, подтверждающих уплату акциза в бюджет собственником давальческого подакцизного сырья;
3) накладной на отпуск или акта приема-передачи подакцизного сырья.
9. В случае превышения суммы акциза, уплаченной производителями подакцизных товаров при приобретении на территории Республики Казахстан или импорте подакцизного сырья, над суммой акциза, исчисленной для изготовленных из этого сырья подакцизных товаров, сумма такого превышения вычету не подлежит.
10. При исчислении суммы акциза на импортированные подакцизные товары, указанные в подпункте 10) части первой статьи 536 настоящего Кодекса, подлежат вычету суммы акциза, уплаченного по ставкам, указанным в строке 21 таблицы подпункта 1) пункта 6 статьи 537 настоящего Кодекса.
Статья 549. Сроки уплаты акциза
1. Если иное не предусмотрено настоящим Кодексом, акциз на подакцизные товары подлежит перечислению в бюджет не позднее 20 числа месяца, следующего за отчетным налоговым периодом.
2. По подакцизным товарам, произведенным из давальческих сырья и материалов, акциз уплачивается в день передачи продукции заказчику или лицу, указанному заказчиком, за исключением передачи продукции, реализуемой в дальнейшем на экспорт.
3. При передаче сырой нефти, газового конденсата, добытых на территории Республики Казахстан, на промышленную переработку акциз уплачивается в день их передачи.
4. Акциз на подакцизные товары, установленные подпунктом 2) части первой статьи 536 настоящего Кодекса, за исключением вина наливом (виноматериала), пива и пивного напитка, производителями алкогольной продукции уплачивается по выбору:
1) до получения учетно-контрольных марок;
2) в день отгрузки (передачи) подакцизных товаров в случае представления обязательства об уплате акциза в соответствии со статьей 175 настоящего Кодекса.
5. Подтверждение налоговыми органами факта уплаты акциза по импортированным с территории государств - членов ЕАЭС подакцизным товарам в заявлении о ввозе товаров и уплате косвенных налогов путем проставления соответствующей отметки либо мотивированный отказ в подтверждении осуществляется в порядке, определенном уполномоченным органом.
6. Уплата акцизов при приобретении на территории Республики Казахстан физическими лицами транспортных средств, относящихся к подакцизным товарам, указанным в подпункте 10) части первой статьи 536 настоящего Кодекса, производится не позднее одной из следующих дат, которая наступает первой:
не позднее 20 числа месяца, следующего за месяцем, в котором были приобретены такие подакцизные товары;
не позднее дня подачи документов для проведения государственной регистрации таких транспортных средств.
Статья 550. Место уплаты акциза
1. Уплата акциза производится по месту нахождения объекта обложения, за исключением случаев, указанных в пунктах 2 и 3 настоящей статьи.
2. Плательщики акциза, осуществляющие оптовую, розничную реализацию бензина (за исключением авиационного) и дизельного топлива, уплачивают акциз по месту нахождения объектов, связанных с налогообложением.
3. В случае импорта подакцизных товаров с территории государств - членов ЕАЭС, импорта подакцизных товаров, указанных в подпункте 10) части первой статьи 536 настоящего Кодекса, с территории государств, не являющихся членами ЕАЭС, а также при приобретении подакцизных товаров, указанных в подпункте 10) части первой статьи 536 настоящего Кодекса, на территории Республики Казахстан уплата акциза производится по месту нахождения (жительства) плательщика акциза.
Статья 551. Налоговый период и налоговая декларация по акцизу
1. Применительно к акцизу налоговым периодом является календарный месяц.
2. Если иное не предусмотрено настоящей статьей, по окончании каждого налогового периода плательщики акцизов обязаны представить в налоговый орган по месту своего нахождения декларацию по акцизу не позднее 15 числа второго месяца, следующего за отчетным налоговым периодом.
3. Плательщики акциза, имеющие структурные подразделения, представляют приложение по исчислению суммы акциза по такому структурному (территориальному) подразделению к декларации по акцизу в налоговый орган по месту нахождения такого структурного (территориального) подразделения.
4. Налогоплательщики, импортирующие подакцизные товары на территорию Республики Казахстан с территории государств - членов ЕАЭС, обязаны представить в налоговый орган по месту нахождения (жительства) заявление о ввозе товаров и уплате косвенных налогов и иные документы в соответствии с пунктом 2 статьи 530 настоящего Кодекса в срок не позднее 20 числа месяца, следующего за месяцем принятия на учет импортированных подакцизных товаров.
5. Физические лица, которые приобрели на территории Республики Казахстан подакцизные товары, указанные в подпункте 10) части первой статьи 536 настоящего Кодекса, обязаны представить в налоговый орган по месту своего нахождения декларацию по акцизу не позднее 15 числа месяца, следующего за месяцем приобретения таких транспортных средств.
6. При импорте подакцизных товаров, указанных в подпункте 10) части первой статьи 536 настоящего Кодекса, на территорию Республики Казахстан с территории государств - членов ЕАЭС налогоплательщик обязан представить в налоговый орган по месту нахождения (жительства) заявление о ввозе товаров и уплате косвенных налогов на бумажном носителе и в электронной форме либо только в электронной форме не позднее 20 числа месяца, следующего за месяцем, в котором был осуществлен ввоз таких подакцизных товаров на территорию Республики Казахстан.
Глава 55. НАЛОГООБЛОЖЕНИЕ ИМПОРТА ПОДАКЦИЗНЫХ ТОВАРОВ
Статья 552. Налоговая база импортируемых подакцизных товаров
По импортируемым на территорию Республики Казахстан подакцизным товарам налоговая база определяется как объем, стоимость и количество импортируемых подакцизных товаров в натуральном выражении.
Статья 553. Сроки уплаты акциза на импортируемые подакцизные товары
1. Акцизы на импортируемые подакцизные товары с территории государств, не являющихся членами ЕАЭС, уплачиваются в определяемый таможенным законодательством ЕАЭС и (или) таможенным законодательством Республики Казахстан день для уплаты таможенных платежей, за исключением случаев, предусмотренных пунктом 2 настоящей статьи, в порядке, определенном уполномоченным органом.
2. Акциз на импортируемые подакцизные товары, подлежащие маркировке в соответствии со статьей 175 настоящего Кодекса, уплачивается до получения средств идентификации, учетно-контрольных марок.
При осуществлении импорта подакцизных товаров, указанных в части первой настоящего пункта, сумма акциза подлежит уточнению и применяется ставка акциза, действующая на дату импорта подакцизных товаров.
3. Акцизы по подакцизным товарам (за исключением маркируемых подакцизных товаров), импортированным с территории государств - членов ЕАЭС, уплачиваются в срок не позднее 20 числа месяца, следующего за месяцем принятия на учет импортированных подакцизных товаров.
Уплата акцизов по маркируемым подакцизным товарам производится в сроки, установленные пунктом 2 настоящей статьи.
Уплата акцизов по импортируемым физическими лицами на территорию Республики Казахстан подакцизным товарам, указанным в подпункте 10) части первой статьи 536 настоящего Кодекса, производится в срок не позднее 20 числа месяца, следующего за месяцем, в котором был осуществлен ввоз таких подакцизных товаров.
4. В случае использования подакцизных товаров, импорт которых на территорию Республики Казахстан в соответствии с законодательством Республики Казахстан осуществлен без уплаты акцизов, в иных целях, чем те, в связи с которыми предоставлены освобождение или иной порядок уплаты, данные подакцизные товары подлежат обложению акцизами в порядке и по ставкам акцизов, которые установлены статьями 537 и 552 настоящего Кодекса и постановлением Правительства Республики Казахстан.
Статья 554. Импорт подакцизных товаров, освобожденных от акциза
1. Акцизами не облагаются подакцизные товары, импортируемые физическими лицами по нормам, предусмотренным таможенным законодательством ЕАЭС (или) таможенным законодательством Республики Казахстан.
2. Освобождаются от уплаты акциза следующие импортируемые подакцизные товары:
1) необходимые для эксплуатации транспортных средств, осуществляющих международные перевозки, во время следования в пути и в пунктах промежуточной остановки;
2) оказавшиеся вследствие повреждения до пропуска их через таможенную границу ЕАЭС не пригодными к использованию в качестве изделий и материалов;
3) ввезенные для официального пользования иностранными дипломатическими и приравненными к ним представительствами, а также для личного пользования лицами из числа дипломатического и административно-технического персонала этих представительств, включая членов их семей, проживающих вместе с ними. Указанные товары освобождаются от уплаты акциза в соответствии с международными договорами, участницей которых является Республика Казахстан;
4) перемещаемые через таможенную границу ЕАЭС, освобождаемые от уплаты акциза на территории Республики Казахстан в рамках таможенных процедур, установленных таможенным законодательством ЕАЭС и (или) таможенным законодательством Республики Казахстан, за исключением таможенной процедуры выпуска для внутреннего потребления;
5) спиртосодержащая продукция медицинского назначения (кроме бальзамов), зарегистрированная в соответствии с законодательством Республики Казахстан;
6) самолеты для осуществления гражданских воздушных авиаперевозок согласно расписанию в соответствии с законодательством Республики Казахстан об использовании воздушного пространства Республики Казахстан и деятельности авиации.
РАЗДЕЛ 9. СОЦИАЛЬНЫЙ НАЛОГ
Глава 56. ОБЩИЕ ПОЛОЖЕНИЯ
Статья 555. Плательщики
1. Если иное не предусмотрено пунктом 2 настоящей статьи, плательщиками социального налога являются:
1) индивидуальные предприниматели;
2) лица, занимающиеся частной практикой;
3) юридические лица - резиденты Республики Казахстан, если иное не установлено пунктом 3 настоящей статьи;
4) юридические лица - нерезиденты, осуществляющие деятельность в Республике Казахстан через постоянные учреждения;
5) юридические лица - нерезиденты, осуществляющие деятельность через структурное подразделение, которая не приводит к образованию постоянного учреждения.
2. Не являются плательщиками социального налога следующие налогоплательщики:
1) применяющие специальный налоговый режим:
для самозанятых;
на основе упрощенной декларации;
для крестьянских или фермерских хозяйств;
2) специализированные организации лиц с инвалидностью в соответствии с Социальным кодексом Республики Казахстан.
3. Юридическое лицо - резидент своим решением вправе признать плательщиком социального налога свое структурное подразделение, которое исполняет обязанности одновременно по:
исчислению и уплате социального налога по объектам налогообложения, являющимся расходами такого структурного подразделения;
исчислению, удержанию и перечислению индивидуального подоходного налога по доходам, подлежащим налогообложению у источника выплаты, которые начислены, выплачены таким структурным подразделением.
Принятие такого решения юридического лица - резидента или его отмена вводится в действие с начала квартала, следующего за кварталом, в котором принято такое решение.
В случае если плательщиком социального налога признается вновь созданное структурное подразделение, то решение юридического лица о таком признании вводится в действие со дня создания данного структурного подразделения или с начала квартала, следующего за кварталом, в котором создано данное структурное подразделение.
Статья 556. Объект налогообложения
1.Объектом налогообложения для плательщиков социального налога являются расходы:
1) работодателя по доходам работника, указанным в статье 426 настоящего Кодекса (в том числе расходы работодателя, указанные в подпунктах 23), 25), 26) и 27) пункта 1 статьи 679 настоящего Кодекса);
2) налогового агента по доходам иностранного персонала, указанного в подпункте 2) пункта 2 статьи 226 настоящего Кодекса.
Положения настоящего пункта не распространяются на плательщиков социального налога, являющихся лицами, занимающимися частной практикой, и (или) индивидуальными предпринимателями.
2. Объект налогообложения, указанный в пункте 1 настоящей статьи, уменьшается на следующие исключения из объекта:
1) обязательные пенсионные взносы в единый накопительный пенсионный фонд в соответствии с законодательством Республики Казахстан;
2) взносы на обязательное социальное медицинское страхование в соответствии с законодательством Республики Казахстан об обязательном социальном медицинском страховании;
3) доходы, установленные статьей 429 настоящего Кодекса, за исключением:
доходов, установленных подпунктом 2) статьи 429 настоящего Кодекса;
доходов, установленных подпунктом 3) статьи 429 настоящего Кодекса в части доходов работников, являющихся гражданами Республики Казахстан;
4) доходы, установленные подпунктом 12) статьи 681 настоящего Кодекса.
3. В случае если объект налогообложения, указанный в пункте 1 настоящей статьи, составляет за календарный месяц сумму от одного тенге до 14-кратного месячного расчетного показателя, действующего на первое число этого календарного месяца, то объект налогообложения определяется исходя из 14-кратного месячного расчетного показателя. Положения настоящего пункта не применяются к доходам работника, начисленным за календарный месяц, в котором произведен наем и (или) увольнение такого работника.
4. Если иное не предусмотрено настоящим пунктом, объектами налогообложения для плательщиков социального налога, являющихся лицами, занимающимися частной практикой, и (или) индивидуальными предпринимателями, являются:
сам плательщик социального налога;
численность работников плательщика социального налога.
Объектом налогообложения не являются:
1) сами плательщики социального налога в период временного приостановления ими представления налоговой отчетности в соответствии со статьей 117 настоящего Кодекса;
2) сами плательщики социального налога, которые не получали в налоговом периоде доход;
3) работники плательщика социального налога, которым не начислялся доход за налоговый период.
Статья 557. Ставки налога
1. Социальный налог исчисляется по ставке 6 процентов, за исключением случаев, установленных пунктами 2, 3 и 4 настоящей статьи.
2. Социальный налог исчисляется по ставке 1,8 процента по объектам налогообложения, связанным с осуществлением деятельности по:
производству и реализации сельскохозяйственной продукции собственного производства;
переработке сельскохозяйственной продукции собственного производства и реализации продуктов такой переработки.
3. Плательщики социального налога, являющиеся индивидуальными предпринимателями или лицами, занимающимися частной практикой, за исключением случаев, установленных пунктом 4 настоящей статьи, исчисляют социальный налог:
за себя - в 2-кратном размере месячного расчетного показателя, действующего на дату уплаты;
за каждого работника в 1-кратном размере месячного расчетного показателя, действующего на дату уплаты.
4. Крестьянские или фермерские хозяйства по объектам налогообложения, связанным с осуществлением деятельности, указанной в пункте 2 настоящей статьи, исчисляют социальный налог:
за себя - в 0,6-кратном размере месячного расчетного показателя, действующего на дату уплаты;
за каждого работника - в 0,3-кратном размере месячного расчетного показателя, действующего на дату уплаты.
Глава 57. ПОРЯДОК ИСЧИСЛЕНИЯ И УПЛАТЫ НАЛОГА
Статья 558. Порядок исчисления социального налога
1. Если иное не установлено настоящей статьей, сумма социального налога, подлежащая уплате в бюджет, определяется путем применения ставок, установленных пунктами 1 и 2 статьи 557 настоящего Кодекса, к:
1) объекту налогообложения, предусмотренному пунктом 1 статьи 556 настоящего Кодекса, уменьшенному на сумму исключений из объекта согласно пункту 2 статьи 556 настоящего Кодекса;
или
2) объекту налогообложения, предусмотренному пунктом 3 статьи 556 настоящего Кодекса, в случаях, предусмотренных данным пунктом.
2. Плательщики социального налога, являющиеся индивидуальными предпринимателями или лицами, занимающимися частной практикой, исчисление социального налога производят путем применения к объекту налогообложения, предусмотренному пунктом 4 статьи 556 настоящего Кодекса, следующих ставок:
1) установленных пунктом 4 статьи 557 настоящего Кодекса, - плательщики социального налога, являющиеся крестьянскими или фермерскими хозяйствами, по деятельности, указанной в пункте 2 статьи 557 настоящего Кодекса;
2) установленных пунктом 3 статьи 557 настоящего Кодекса, - прочие индивидуальные предприниматели или лица, занимающиеся частной практикой.
Статья 559. Особенности исчисления и уплаты социального налога государственными учреждениями
1. Государственный орган или местный исполнительный орган своим решением вправе признать плательщиком социального налога свои структурные подразделения и (или) территориальные органы, которые исполняют обязанности одновременно по:
исчислению и уплате социального налога по объектам налогообложения, являющимся расходами структурных подразделений и (или) территориальных органов, подведомственных такому государственному органу или местному исполнительному органу;
исчислению, удержанию и перечислению индивидуального подоходного налога по доходам, подлежащим налогообложению у источника выплаты, которые начислены, выплачены работникам структурных подразделений и (или) территориальных органов, подведомственных такому государственному органу или местному исполнительному органу.
2. Сумма социального налога, исчисленная государственными учреждениями за налоговый период, уменьшается на сумму выплаченного в соответствии с законодательством Республики Казахстан социального пособия по временной нетрудоспособности.
3. В случае превышения за налоговый период суммы выплаченного социального пособия, указанного в пункте 2 настоящей статьи, над суммой исчисленного социального налога сумма превышения переносится на следующий налоговый период.
Статья 560. Уплата социального налога
1. Уплата социального налога производится не позднее 25 числа месяца, следующего за налоговым периодом, по месту нахождения налогоплательщика.
2. Уплата социального налога по объектам налогообложения, являющимся расходами структурного (территориального) подразделения, производится по месту нахождения такого структурного (территориального) подразделения.
Глава 58. НАЛОГОВЫЙ ПЕРИОД И НАЛОГОВАЯ ДЕКЛАРАЦИЯ
Статья 561. Налоговый период
1. Налоговым периодом для исчисления социального налога является календарный месяц.
2. Отчетным периодом для составления декларации по индивидуальному подоходному налогу и социальному налогу является календарный квартал.
Статья 562. Декларация по индивидуальному подоходному налогу и социальному налогу
1. Декларация по индивидуальному подоходному налогу и социальному налогу представляется плательщиками в налоговые органы по месту нахождения ежеквартально не позднее 15 числа второго месяца, следующего за отчетным периодом.
2. Плательщики, имеющие структурные подразделения, на которых не возложена обязанность по исчислению и уплате социального налога, представляют приложение по исчислению суммы социального налога по такому структурному (территориальному) подразделению к декларации по индивидуальному подоходному налогу и социальному налогу в налоговый орган по месту нахождения такого структурного (территориального) подразделения.
РАЗДЕЛ 10. НАЛОГ НА ТРАНСПОРТНЫЕ СРЕДСТВА
Глава 59. ОБЩИЕ ПОЛОЖЕНИЯ
Статья 563. Налогоплательщики
1. Плательщиками налога на транспортные средства являются физические лица, имеющие объекты налогообложения на праве собственности, и юридические лица, имеющие объекты налогообложения на праве собственности, хозяйственного ведения или оперативного управления, если иное не установлено настоящей статьей.
Юридическое лицо своим решением вправе признать самостоятельным плательщиком налога на транспортные средства свое структурное подразделение по транспортным средствам, зарегистрированным за таким структурным подразделением в соответствии с законодательством Республики Казахстан о транспорте.
Если иное не установлено настоящей статьей, решение юридического лица о таком признании или прекращении такого признания вводится в действие с 1 января года, следующего за годом принятия такого решения.
В случае если самостоятельным плательщиком налога на транспортные средства признается вновь созданное структурное подразделение, то решение юридического лица о таком признании вводится в действие со дня создания данного структурного подразделения или с 1 января года, следующего за годом создания данного структурного подразделения.
2. Плательщиком налога на транспортные средства по объектам обложения, переданным (полученным) по договору финансового лизинга, является лизингополучатель.
3. Если иное не установлено настоящей статьей, не являются плательщиками налога на транспортные средства:
1) юридические лица - производители сельскохозяйственной продукции, указанные в подпунктах 1) и 2) пункта 2 статьи 357 настоящего Кодекса, а также глава и (или) члены крестьянского или фермерского хозяйства - по используемой в процессе собственного производства сельскохозяйственной продукции специализированной сельскохозяйственной технике, включенной в перечень, установленный уполномоченным органом в области развития агропромышленного комплекса по согласованию с центральным уполномоченным органом по государственному планированию и уполномоченным органом;
2) глава и (или) члены крестьянского или фермерского хозяйства, применяющего специальный налоговый режим для крестьянских или фермерских хозяйств, - по легковым и грузовым транспортным средствам, используемым в деятельности, на которую распространяется действие такого специального налогового режима, в пределах следующих нормативов потребности:
по одному легковому автомобилю с объемом двигателя включительно до 2500 кубических сантиметров на одно крестьянское или фермерское хозяйство;
по одному легковому моторному транспортному средству (автомобилю-пикапу) с платформой для грузов и кабиной водителя, отделенной от грузового отсека жесткой стационарной перегородкой, на одно крестьянское или фермерское хозяйство;
по грузовым автомобилям с предельной суммарной мощностью двигателя в размере 1000 кВт на 1000 гектаров пашни (сенокосов, пастбищ) с соблюдением соотношения 1:1 на одно крестьянское или фермерское хозяйство.
При этом в случаях, если по итогам расчета количество транспортных средств составит более одной единицы с дробным значением от 0,5 и выше, такое значение подлежит округлению до целых единиц, если ниже 0,5 - округлению не подлежит.
В случае, если по итогам расчета количество грузовых автомобилей составит менее одной единицы, освобождению подлежит один грузовой автомобиль с наименьшей мощностью двигателя;
3) государственные учреждения и государственные учебные заведения среднего образования;
4) общественные объединения лиц с инвалидностью - по одному легковому автотранспорту с объемом двигателя не более 3000 кубических сантиметров и одному автобусу;
5) ветераны Великой Отечественной войны, ветераны, приравненные по льготам к ветеранам Великой Отечественной войны, и ветераны боевых действий на территории других государств, лица, награжденные орденами и медалями бывшего Союза ССР за самоотверженный труд и безупречную воинскую службу в тылу в годы Великой Отечественной войны, а также лица, проработавшие (прослужившие) не менее шести месяцев с 22 июня 1941 года по 9 мая 1945 года и не награжденные орденами и медалями бывшего Союза ССР за самоотверженный труд и безупречную воинскую службу в тылу в годы Великой Отечественной войны, герои Советского Союза и герои Социалистического Труда, лица, удостоенные званий «Халық қаһарманы», «Қазақстанның Еңбек Epi», кавалеры ордена Трудовой Славы трех степеней и ордена «Отан», многодетные матери, удостоенные звания «Мать-героиня» или награжденные подвеской «Алтын алқа» либо «Күмiс алқа», - по одному автотранспортному средству, являющемуся объектом обложения налогом;
6) лица с инвалидностью по имеющимся в собственности мотоколяскам и автомобилям - по одному автотранспортному средству, являющемуся объектом обложения налогом.
Не применяются положения подпунктов 1), 2) и 4) части первой настоящего пункта в случаях передачи таких транспортных средств в пользование, доверительное управление или аренду.
4. Положения подпунктов 5) и 6) части первой пункта 3 настоящей статьи применяются в течение налогового периода по одному автотранспортному средству (кроме легкового автомобиля с объемом двигателя свыше 4 000 кубических сантиметров, в отношении которого в уполномоченном государственном органе произведены регистрационные действия, связанные со сменой собственника транспортного средства, после 31 декабря 2013 года) независимо от того, относится ли физическое лицо, имеющее право применения положений таких подпунктов, к одной или к нескольким категориям, указанным в них.
5. В случае наличия на праве собственности у лица, имеющего право применения положений подпунктов 5) и 6) части первой пункта 3 настоящей статьи, в течение налогового периода нескольких автотранспортных средств данные положения применяются в отношении одного из автотранспортных средств с наибольшей суммой исчисленного налога.
6. В случае возникновения или прекращения в течение налогового периода права на применение положений подпунктов 5) и 6) части первой пункта 3 настоящей статьи такие положения:
при возникновении права - применяются с 1 числа месяца, в котором такое право возникло, до окончания налогового периода или до 1 числа месяца, в котором такое право прекращается;
при прекращении права - не применяются с 1 числа месяца, в котором такое право прекращается.
7. Плательщик налога по транспортным средствам, переданным государственными учреждениями в доверительное управление, определяется в соответствии со статьей 67 настоящего Кодекса.
Статья 564. Объекты налогообложения
1. Объектами налогообложения являются транспортные средства, за исключением прицепов, зарегистрированные и (или) состоящие на учете в Республике Казахстан.
2. Не являются объектами налогообложения:
1) карьерные автосамосвалы грузоподъемностью 40 тонн и выше;
2) специализированные медицинские транспортные средства;
3) морские суда, зарегистрированные в международном судовом реестре Республики Казахстан;
4) специальные автомобили, являющиеся объектом обложения налогом на имущество.
Глава 60. НАЛОГОВЫЕ СТАВКИ, ПОРЯДОК ИСЧИСЛЕНИЯ И СРОКИ УПЛАТЫ НАЛОГА
Статья 565. Налоговые ставки
1. Если иное не установлено настоящей статьей, исчисление налога производится по следующим ставкам, установленным в месячных расчетных показателях:
|
№ п/п |
Объект налогообложения |
Налоговая ставка (МРП) |
|
1 |
2 |
3 |
|
1. |
Легковые автомобили со следующей градацией по объему двигателя (куб. см): |
|
|
до 1 100 включительно |
1 |
|
|
свыше 1100 до 1 500 включительно |
2 |
|
|
свыше 1500 до 2 000 включительно |
3 |
|
|
свыше 2 000 до 2 500 включительно |
6 |
|
|
свыше 2 500 до 3 000 включительно |
9 |
|
|
свыше 3 000 до 4 000 включительно |
15 |
|
|
свыше 4 000 |
117 |
|
|
2. |
Грузовые, специальные автомобили со следующей градацией по грузоподъемности (без учета прицепов): |
|
|
до 1 тонны включительно |
3 |
|
|
свыше 1 тонны до 1,5 тонны включительно |
5 |
|
|
свыше 1,5 до 5 тонн включительно |
7 |
|
|
свыше 5 тонн |
9 |
|
|
3. |
Тракторы, самоходные сельскохозяйственные, мелиоративные и дорожно-строительные машины и механизмы, специальные машины повышенной проходимости и другие автотранспортные средства, не предназначенные для движения по автомобильным дорогам общего пользования |
3 |
|
4. |
Автобусы со следующей градацией по количеству посадочных мест: |
|
|
до 12 посадочных мест включительно |
9 |
|
|
свыше 12 до 25 посадочных мест включительно |
14 |
|
|
свыше 25 посадочных мест |
20 |
|
|
5. |
Мотоциклы, мотороллеры, мотосани, маломерные суда со следующей градацией по мощности двигателя: |
|
|
до 55 кВт (75 лошадиных сил) включительно |
1 |
|
|
свыше 55 кВт (75 лошадиных сил) |
10 |
|
|
6. |
Катера, суда, буксиры, баржи, яхты со следующей градацией по мощности двигателя (в лошадиных силах): |
|
|
до 160 включительно |
6 |
|
|
свыше 160 до 500 включительно |
18 |
|
|
свыше 500 до 1000 включительно |
32 |
|
|
свыше 1000 |
55 |
|
|
7. |
Летательные аппараты |
4 процента от МРП с каждого киловатта мощности |
|
8. |
Железнодорожный тяговый подвижной состав, используемый: для вождения поездов любых категорий по магистральным путям; для производства маневровой работы на магистральных, станционных и подъездных путях узкой и (или) широкой колеи; на путях промышленного железнодорожного транспорта и не выходящий на магистральные и станционные пути |
1 процент от МРП с каждого киловатта общей мощности транспортного средства |
|
|
Моторвагонный подвижной состав, используемый для организации перевозок пассажиров по магистральным и станционным путям узкой и широкой колеи, а также транспортные средства городского рельсового транспорта |
1 процент от МРП с каждого киловатта общей мощности транспортного средства |
2. Для исчисления налога применяется месячный расчетный показатель, действующий на 1 января соответствующего финансового года.
3. Для целей настоящего Кодекса:
1) к легковым автомобилям относятся:
автомобили категории В (включая BE, B1);
2) к грузовым автомобилям относятся:
автомобили категории С (включая СЕ, С1Е, С1);
3) к специальным автомобилям относятся автомобили со специальным оборудованием, предназначенные для выполнения определенных технологических процессов или операций;
4) к автобусам относятся автомобили категории D (включая DE, D1E, D1).
При этом для целей налогообложения применяется категория на право управления транспортным средством.
4. По легковым автомобилям с объемом двигателя свыше 1500 кубических сантиметров сумма налога увеличивается на 7 тенге за каждую единицу превышения нижней границы соответствующей градации по объему двигателя, установленной пунктом 1 настоящей статьи.
5. В зависимости от срока эксплуатации к ставкам налога на летательные аппараты применяются следующие поправочные коэффициенты:
на летательные аппараты, приобретенные после 1 апреля 1999 года за пределами Республики Казахстан:
свыше 5 до 15 лет эксплуатации включительно - 2,0;
свыше 15 лет эксплуатации - 3,0.
6. Срок эксплуатации транспортного средства исчисляется исходя из года выпуска, указанного в паспорте транспортного средства (руководстве по летной эксплуатации воздушного судна).
7. Для исчисления налога по грузовым и специальным автомобилям используется показатель грузоподъемности транспортного средства, указанный в инструкции и (или) руководстве по эксплуатации транспортного средства. Если в инструкции (руководстве) по эксплуатации транспортного средства показатель грузоподъемности не указан, он рассчитывается как разница между разрешенной максимальной массой транспортного средства и массой транспортного средства без нагрузки (массой снаряженного транспортного средства).
8. При исчислении налога по легковым автомобилям в зависимости от срока эксплуатации транспортного средства исходя из года производства применяются следующие поправочные коэффициенты:
свыше 10 до 20 лет эксплуатации включительно - 0,7;
свыше 20 лет эксплуатации - 0,5.
Статья 566. Порядок исчисления налога
1. Налогоплательщик исчисляет сумму налога за налоговый период самостоятельно путем применения к объекту налогообложения ставок налога в соответствии со статьей 565 настоящего Кодекса.
2. Юридические лица - производители сельскохозяйственной продукции, продукции аквакультуры (рыбоводства), сельскохозяйственные кооперативы, указанные в подпунктах 1) и 2) пункта 2 статьи 357 настоящего Кодекса, производят исчисление налога на транспортные средства, за исключением транспортных средств, указанных в подпункте 1) пункта 3 статьи 563 настоящего Кодекса, с правом уменьшения на 70 процентов суммы налога.
3. В случае нахождения транспортного средства на праве собственности, праве хозяйственного ведения или праве оперативного управления менее налогового периода сумма налога исчисляется за период фактического нахождения транспортного средства на таком праве посредством деления годовой суммы налога на двенадцать и умножения на количество месяцев фактического нахождения транспортного средства на таком праве.
4. При передаче права собственности, права хозяйственного ведения или оперативного управления на объекты налогообложения в течение налогового периода сумма налога исчисляется в следующем порядке:
1) для передающей стороны:
по транспортным средствам, имеющимся на начало налогового периода, сумма налога исчисляется за период с начала налогового периода до 1 числа месяца, в котором передано право собственности, право хозяйственного ведения или право оперативного управления на транспортное средство;
по транспортным средствам, приобретенным передающей стороной в течение налогового периода, сумма налога исчисляется за период с 1 числа месяца, в котором было приобретено право собственности, право хозяйственного ведения или право оперативного управления на транспортное средство, до 1 числа месяца, в котором такое право передано;
2) для приобретающей стороны - сумма налога исчисляется за период с 1 числа месяца, в котором приобретено право собственности, право хозяйственного ведения или право оперативного управления на транспортное средство, до конца налогового периода или до 1 числа месяца, в котором приобретающей стороной впоследствии было передано такое право.
5. Физические лица при приобретении транспортного средства, не состоявшего на момент приобретения на учете в Республике Казахстан, исчисляют сумму налога за период с 1 числа месяца, в котором возникло право собственности на транспортное средство, до конца налогового периода или до 1 числа месяца, в котором право собственности прекращено.
6. Основанием для освобождения от уплаты налога на период розыска транспортного средства, числящегося угнанным и (или) похищенным у владельцев, являются сведения, подтверждающие факт (дату) регистрации заявления в Едином реестре досудебных расследований об угоне и (или) похищении транспортного средства, представляемые в налоговые органы органами внутренних дел.
При этом исчисление (начисление) такого налога прекращается с даты регистрации заявления в Едином реестре досудебных расследований об угоне и (или) похищении транспортного средства.
Исчисление (начисление) налога возобновляется с даты прекращения уголовного дела об угоне и (или) похищении транспортного средства и его возврате на основании сведений, представленных в налоговые органы органами внутренних дел.
7. Юридические лица по транспортным средствам, находящимся на конец налогового периода на праве собственности, праве хозяйственного ведения или праве оперативного управления, а также по транспортным средствам, по которым возникли и (или) прекращены такие права в период с начала налогового периода до 31 декабря налогового периода, исчисляют сумму налога:
1) в случае, если право собственности, право хозяйственного ведения или право оперативного управления на транспортные средства возникло в период с начала налогового периода до 31 декабря налогового периода и не прекращено до 31 декабря налогового периода, - в размере суммы налога, исчисленной за период с 1 числа месяца, в котором возникло такое право, до конца налогового периода;
2) в случае, если в период с начала налогового периода до 31 декабря налогового периода право собственности, право хозяйственного ведения или право оперативного управления на транспортные средства:
прекращено, - в размере суммы налога, исчисленной за период с начала налогового периода до 1 числа месяца, в котором прекращено такое право;
возникло и прекращено, - в размере суммы налога, исчисленной за период с 1 числа месяца, в котором возникло право собственности, право хозяйственного ведения или право оперативного управления на транспортные средства, до 1 числа месяца, в котором прекращено такое право;
3) в остальных случаях - в размере годовой суммы налога. При этом в случае прекращения права собственности, права хозяйственного ведения или права оперативного управления на транспортные средства в период с 1 января налогового периода до конца налогового периода в декларации указывается сумма налога, исчисленная за период с начала налогового периода до 1 числа месяца, в котором прекращено такое право.
8. В целях определения сальдо расчетов по налогу на транспортные средства физических лиц за отчетный налоговый период налоговые органы производят исчисление налога в срок не позднее 1 мая года, следующего за отчетным налоговым периодом, на основании сведений, представляемых в автоматизированном режиме уполномоченными органами, осуществляющими учет и регистрацию транспортных средств.
Статья 567. Сроки и порядок уплаты налога
1. Юридические лица производят уплату налога не позднее десяти календарных дней после наступления срока представления декларации за налоговый период.
2. Уплата налога физическими лицами производится в бюджет по месту жительства не позднее 1 апреля года, следующего за отчетным налоговым периодом.
3. Уплата налога на транспортные средства за налоговый период физическим лицом, являющимся поверенным на основании доверенности на управление транспортным средством с правом отчуждения, от имени собственника транспортного средства является исполнением налогового обязательства собственника транспортного средства за данный налоговый период.
Глава 61. НАЛОГОВЫЙ ПЕРИОД И НАЛОГОВАЯ ОТЧЕТНОСТЬ
Статья 568. Налоговый период
Налоговым периодом для исчисления налога на транспортные средства является календарный год с 1 января по 31 декабря.
Статья 569. Налоговая отчетность
1. Плательщики - юридические лица представляют в налоговые органы по месту регистрации объектов налогообложения декларацию не позднее 31 марта года, следующего за отчетным.
2. Налогоплательщики, применяющие специальный налоговый режим для крестьянских или фермерских хозяйств, налоговую отчетность по налогу на транспортные средства представляют в виде соответствующего приложения к декларации для налогоплательщиков, применяющих специальный налоговый режим для крестьянских или фермерских хозяйств.
РАЗДЕЛ 11. ЗЕМЕЛЬНЫЙ НАЛОГ
Глава 62. ОБЩИЕ ПОЛОЖЕНИЯ
Статья 570. Общие положения
1. В целях налогообложения все земли рассматриваются в зависимости от их целевого назначения и принадлежности к соответствующим категориям.
2. Принадлежность земель к той или иной категории устанавливается земельным законодательством Республики Казахстан. Земли населенных пунктов для целей налогообложения разделены на две группы:
1) земли населенных пунктов, за исключением земель, занятых жилищным фондом, в том числе строениями и сооружениями при нем;
2) земли, занятые жилищным фондом, в том числе строениями и сооружениями при нем.
3. Налогообложению не подлежат следующие категории земель:
1) земли особо охраняемых природных территорий;
2) земли лесного фонда;
3) земли водного фонда;
4) земли запаса;
5) земли зоны ядерной безопасности.
В случае передачи указанных земель (за исключением земель запаса и зоны ядерной безопасности) в постоянное землепользование или первичное безвозмездное временное землепользование они подлежат налогообложению в порядке, определенном статьей 580 настоящего Кодекса.
4. Земельный налог исчисляется на основании:
1) идентификационных документов: акта на право собственности, акта на право постоянного землепользования, акта на право безвозмездного временного землепользования;
2) данных государственного количественного и качественного учета земель по состоянию на 1 января каждого года, предоставленных центральным уполномоченным органом по управлению земельными ресурсами.
Статья 571. Плательщики
1. Плательщиками земельного налога являются лица, имеющие объекты обложения:
1) на праве собственности;
2) на праве постоянного землепользования;
3) на праве первичного безвозмездного временного землепользования.
2. Юридическое лицо своим решением вправе признать самостоятельным плательщиком земельного налога свое структурное подразделение.
Если иное не установлено настоящей статьей, решение юридического лица о таком признании или прекращении такого признания вводится в действие с 1 января года, следующего за годом принятия такого решения.
В случае если самостоятельным плательщиком земельного налога признается вновь созданное структурное подразделение юридического лица, то решение юридического лица о таком признании вводится в действие со дня создания данного структурного подразделения или с 1 января года, следующего за годом создания данного структурного подразделения.
3. Если иное не установлено настоящей статьей, не являются плательщиками земельного налога:
1) налогоплательщики, применяющие специальный налоговый режим для крестьянских или фермерских хозяйств, по земельным участкам, используемым в деятельности, на которую распространяется данный специальный налоговый режим;
2) государственные учреждения и государственные учебные заведения среднего образования;
3) государственные предприятия исправительных учреждений уполномоченного государственного органа в сфере исполнения уголовных наказаний;
4) религиозные объединения.
4. Налогоплательщики, указанные в подпунктах 3) и 4) пункта 3 настоящей статьи, являются плательщиками налога по земельным участкам, переданным в пользование, доверительное управление или по договору имущественного найма (аренды).
5. Плательщик налога по земельным участкам, переданным государственными учреждениями в доверительное управление, определяется в соответствии со статьей 67 настоящего Кодекса.
Статья 572. Определение плательщика в отдельных случаях
1. По земельному участку, находящемуся в общей собственности (пользовании) нескольких лиц, за исключением земельного участка, входящего в состав активов паевого инвестиционного фонда, плательщиком земельного налога является каждое из этих лиц, если иное не предусмотрено в документах, удостоверяющих право владения или пользования этими земельными участками, или соглашением сторон.
Плательщиком земельного налога по земельному участку, входящему в состав активов паевого инвестиционного фонда, является управляющая компания данного паевого инвестиционного фонда.
2. В случае отсутствия идентификационных документов на земельный участок основанием для признания пользователя плательщиком земельного налога в отношении земельного участка является фактическое владение и пользование таким участком на основании:
1) актов государственных органов о предоставлении земельного участка - при предоставлении земельного участка из государственной собственности;
2) гражданско-правовых сделок или иных оснований, предусмотренных законодательством Республики Казахстан, -в остальных случаях.
3. По земельному участку, переданному (полученному) в финансовый лизинг вместе с объектом недвижимости в соответствии с договором финансового лизинга, плательщиком земельного налога является лизингополучатель.
Статья 573. Объект налогообложения
1. Объектом налогообложения является земельный участок (при общей долевой собственности на земельный участок - земельная доля).
2. Не являются объектом налогообложения:
1) земельные участки общего пользования населенных пунктов.
К землям общего пользования населенных пунктов относятся земли, занятые и предназначенные для занятия площадями, улицами, проездами, дорогами, набережными, парками, скверами, бульварами, водоемами, пляжами, кладбищами и иными объектами в целях удовлетворения нужд населения (водопроводы, отопительные трубы, линии электропередачи, очистные сооружения, золошлакопроводы, теплотрассы и другие инженерные системы общего пользования);
2) земельные участки, занятые сетью государственных автомобильных дорог общего пользования.
К землям, занятым сетью государственных автомобильных дорог общего пользования в полосе отвода, относятся земли, занимаемые земляным полотном, транспортными развязками, путепроводами, искусственными сооружениями, притрассовыми резервами и иными сооружениями по обслуживанию дорог, служебными и жилыми помещениями дорожной службы, снегозащитными и декоративными насаждениями;
3) земельные участки, занятые под объекты, находящиеся на консервации по решению Правительства Республики Казахстан;
4) земельные участки, приобретенные для содержания арендных домов;
5) земельные участки, занятые зданиями, сооружениями, указанными в подпункте 6) пункта 3 статьи 590 настоящего Кодекса.
Статья 574. Определение объекта налогообложения в отдельных случаях
1. Объектом налогообложения для организаций железнодорожного транспорта являются земельные участки, предоставленные в установленном законодательством Республики Казахстан порядке под объекты организаций железнодорожного транспорта, включая земельные участки, занятые железнодорожными путями, полосами отчуждения, железнодорожными станциями, вокзалами.
2. Объектом налогообложения для организаций системы энергетики и электрификации, на балансе которых находятся линии электропередачи, являются земельные участки, предоставленные в установленном законодательством Республики Казахстан порядке этим организациям, включая земельные участки, занятые опорами линий электропередачи и подстанциями.
3. Объектом налогообложения для организаций, осуществляющих добычу, транспортировку нефти и газа, на балансе которых находятся нефтепроводы, газопроводы, являются земельные участки, предоставленные в установленном законодательством Республики Казахстан порядке этим организациям, включая земельные участки, занятые нефтепроводами, газопроводами.
4. Объектом налогообложения для организаций связи, на балансе которых находятся радиорелейные, воздушные, кабельные линии связи, являются земельные участки, предоставленные в установленном законодательством Республики Казахстан порядке этим организациям, включая земельные участки, занятые опорами линий связи.
Статья 575. Налоговая база
Налоговой базой для определения земельного налога является площадь земельного участка и (или) земельной доли.
Глава 63. НАЛОГОВЫЕ СТАВКИ
Статья 576. Базовые налоговые ставки на земли сельскохозяйственного назначения
1. Базовые ставки земельного налога на земли сельскохозяйственного назначения устанавливаются в расчете на один гектар и дифференцируются по качеству почв.
2. На земли степной и сухостепной зон устанавливаются следующие базовые налоговые ставки земельного налога пропорционально баллам бонитета:
|
№ п/п |
Балл бонитета |
Базовая налоговая ставка (тенге) |
|
1 |
2 |
3 |
|
1. |
1 |
2,4 |
|
2. |
2 |
3,35 |
|
3. |
3 |
4,35 |
|
4. |
4 |
5,3 |
|
5. |
5 |
6,25 |
|
6. |
6 |
7,25 |
|
7. |
7 |
8,4 |
|
8. |
8 |
9,65 |
|
9. |
9 |
10,8 |
|
10. |
10 |
12,05 |
|
11. |
11 |
14,45 |
|
12. |
12 |
15,45 |
|
13. |
13 |
16,4 |
|
14. |
14 |
17,35 |
|
15. |
15 |
18,35 |
|
16. |
16 |
19,3 |
|
17. |
17 |
20,45 |
|
18. |
18 |
21,7 |
|
19. |
19 |
22,85 |
|
20. |
20 |
24,1 |
|
21. |
21 |
26,55 |
|
22. |
22 |
28,95 |
|
23. |
23 |
31,35 |
|
24. |
24 |
33,75 |
|
25. |
25 |
36,2 |
|
26. |
26 |
38,6 |
|
27. |
27 |
41 |
|
28. |
28 |
43,4 |
|
29. |
29 |
45,85 |
|
30. |
30 |
48,25 |
|
31. |
31 |
72,35 |
|
32. |
32 |
77,7 |
|
33. |
33 |
82,95 |
|
34. |
34 |
90,4 |
|
35. |
35 |
93,8 |
|
36. |
36 |
99,1 |
|
37. |
37 |
104,4 |
|
38. |
38 |
110 |
|
39. |
39 |
115,3 |
|
40. |
40 |
120,6 |
|
41. |
41 |
144,75 |
|
42. |
42 |
150,05 |
|
43. |
43 |
155,35 |
|
44. |
44 |
160,85 |
|
45. |
45 |
166,15 |
|
46. |
46 |
171,45 |
|
47. |
47 |
176,8 |
|
48. |
48 |
182,4 |
|
49. |
49 |
187,7 |
|
50. |
50 |
193 |
|
51. |
51 |
217,1 |
|
52. |
52 |
222 45 |
|
53. |
53 |
227,75 |
|
54. |
54 |
233,25 |
|
55. |
55 |
238,55 |
|
56. |
56 |
243,85 |
|
57. |
57 |
249,15 |
|
58. |
58 |
254,75 |
|
59. |
59 |
260,05 |
|
60. |
60 |
265,35 |
|
61. |
61 |
289,5 |
|
62. |
62 |
303,15 |
|
63. |
63 |
316,3 |
|
64. |
64 |
329,75 |
|
65. |
65 |
343,05 |
|
66. |
66 |
356,55 |
|
67. |
67 |
369,8 |
|
68. |
68 |
383,3 |
|
69. |
69 |
396,6 |
|
70. |
70 |
410,1 |
|
71. |
71 |
434,25 |
|
72. |
72 |
447,75 |
|
73. |
73 |
460,95 |
|
74. |
74 |
474,45 |
|
75. |
75 |
487,8 |
|
76. |
76 |
501,3 |
|
77. |
77 |
514,55 |
|
78. |
78 |
528,05 |
|
79. |
79 |
541,35 |
|
80. |
80 |
554,85 |
|
81. |
81 |
579 |
|
82. |
82 |
595,1 |
|
83. |
83 |
611,05 |
|
84. |
84 |
627,25 |
|
85. |
85 |
643,35 |
|
86. |
86 |
659,3 |
|
87. |
87 |
675,5 |
|
88. |
88 |
691,6 |
|
89. |
89 |
707,55 |
|
90. |
90 |
723,75 |
|
91. |
91 |
747,85 |
|
92. |
92 |
772 |
|
93. |
93 |
796,1 |
|
94. |
94 |
820,25 |
|
95. |
95 |
844,35 |
|
96. |
96 |
868,5 |
|
97. |
97 |
892,6 |
|
98. |
98 |
916,75 |
|
99. |
99 |
940,85 |
|
100. |
100 |
965 |
|
101. |
свыше 100 |
1013,3 |
3. На земли полупустынной, пустынной и предгорно-пустынной зон устанавливаются следующие базовые налоговые ставки земельного налога пропорционально баллам бонитета:
|
№ п/п |
Балл бонитета |
Базовая налоговая ставка (тенге) |
|
1 |
2 |
3 |
|
1. |
1 |
2,4 |
|
2. |
2 |
2,7 |
|
3. |
3 |
2,9 |
|
4. |
4 |
3,1 |
|
5. |
5 |
3,35 |
|
6. |
6 |
3,65 |
|
7. |
7 |
3,85 |
|
8. |
8 |
4,05 |
|
9. |
9 |
4,35 |
|
10. |
10 |
4,8 |
|
11. |
11 |
7,25 |
|
12. |
12 |
9,15 |
|
13. |
13 |
11,1 |
|
14. |
14 |
12,75 |
|
15. |
15 |
14,65 |
|
16. |
16 |
16,6 |
|
17. |
17 |
18,55 |
|
18. |
18 |
20,25 |
|
19. |
19 |
22,2 |
|
20. |
20 |
24,1 |
|
21. |
21 |
26,55 |
|
22. |
22 |
28,95 |
|
23. |
23 |
31,35 |
|
24. |
24 |
33,75 |
|
25. |
25 |
36,2 |
|
26. |
26 |
38,6 |
|
27. |
27 |
41 |
|
28. |
28 |
43,4 |
|
29. |
29 |
45,85 |
|
30. |
30 |
48,25 |
|
31. |
31 |
50,65 |
|
32. |
32 |
53,05 |
|
33. |
33 |
55,45 |
|
34. |
34 |
57,9 |
|
35. |
35 |
60,3 |
|
36. |
36 |
62,7 |
|
37. |
37 |
65,15 |
|
38. |
38 |
67,55 |
|
39. |
39 |
69,95 |
|
40. |
40 |
72,35 |
|
41. |
41 |
74,8 |
|
42. |
42 |
77,2 |
|
43. |
43 |
79,6 |
|
44. |
44 |
82 |
|
45. |
45 |
84,45 |
|
46. |
46 |
86,85 |
|
47. |
47 |
89,25 |
|
48. |
48 |
91,65 |
|
49. |
49 |
94,1 |
|
50. |
50 |
96,5 |
|
51. |
51 |
98,9 |
|
52. |
52 |
101,3 |
|
53. |
53 |
103,75 |
|
54. |
54 |
106,15 |
|
55. |
55 |
108,55 |
|
56. |
56 |
110,95 |
|
57. |
57 |
113,4 |
|
58. |
58 |
115,8 |
|
59. |
59 |
118,2 |
|
60. |
60 |
120,6 |
|
61. |
61 |
123,05 |
|
62. |
62 |
126,4 |
|
63. |
63 |
129,1 |
|
64. |
64 |
132,2 |
|
65. |
65 |
135,1 |
|
66. |
66 |
138,2 |
|
67. |
67 |
141,1 |
|
68. |
68 |
144,25 |
|
69. |
69 |
147,45 |
|
70. |
70 |
150,35 |
|
71. |
71 |
153,45 |
|
72. |
72 |
156,35 |
|
73. |
73 |
159,4 |
|
74. |
74 |
162,3 |
|
75. |
75 |
165,45 |
|
76. |
76 |
168,4 |
|
77. |
77 |
171,55 |
|
78. |
78 |
174,65 |
|
79. |
79 |
177,55 |
|
80. |
80 |
180,75 |
|
81. |
81 |
183,55 |
|
82. |
82 |
186,7 |
|
83. |
83 |
189,6 |
|
84. |
84 |
192,8 |
|
85. |
85 |
195,9 |
|
86. |
86 |
198,8 |
|
87. |
87 |
201,9 |
|
88. |
88 |
204,75 |
|
89. |
89 |
207,95 |
|
90. |
90 |
210,85 |
|
91. |
91 |
210,9 |
|
92. |
92 |
216,95 |
|
93. |
93 |
220 |
|
94. |
94 |
223,1 |
|
95. |
95 |
226 |
|
96. |
96 |
229,2 |
|
97. |
97 |
231,9 |
|
98. |
98 |
235,15 |
|
99. |
99 |
238,05 |
|
100. |
100 |
241,25 |
|
101. |
свыше 100 |
250,9 |
Статья 577. Базовые налоговые ставки на земли населенных пунктов
Базовые налоговые ставки на земли населенных пунктов устанавливаются в расчете на один квадратный метр площади в следующих размерах:
|
№ п/п |
Категория населенного пункта |
Базовые налоговые ставки на земли населенных пунктов, за исключением земель, занятых жилищным фондом, в том числе строениями и сооружениями при нем (тенге) |
Базовые налоговые ставки на земли, занятые жилищным фондом, в том числе строениями и сооружениями при нем (тенге) |
|
1 |
2 |
3 |
4 |
|
|
Города: |
|
|
|
1. |
Алматы |
28,95 |
0,96 |
|
2. |
Шымкент |
9,17 |
0,58 |
|
3. |
Астана |
19,30 |
0,96 |
|
4. |
Актау |
9,65 |
0,58 |
|
5. |
Актобе |
6,75 |
0,58 |
|
6. |
Атырау |
8,20 |
0,58 |
|
7. |
Жезказган |
8,20 |
0,58 |
|
8. |
Кокшетау |
5,79 |
0,58 |
|
9. |
Караганда |
9,65 |
0,58 |
|
10. |
Қонаев |
9,17 |
0,58 |
|
11. |
Костанай |
6,27 |
0,58 |
|
12. |
Кызылорда |
8,68 |
0,58 |
|
13. |
Уральск |
5,79 |
0,58 |
|
14. |
Усть-Каменогорск |
9,65 |
0,58 |
|
15. |
Павлодар |
9,65 |
0,58 |
|
16. |
Петропавловск |
5,79 |
0,58 |
|
17. |
Семей |
8,68 |
0,58 |
|
18. |
Талдыкорган |
9,17 |
0,58 |
|
19. |
Тараз |
9,17 |
0,58 |
|
20. |
Туркестан |
7,79 |
0,39 |
|
21. |
Алматинская область: |
|
|
|
22. |
города областного значения |
6,75 |
0,39 |
|
23. |
города районного значения |
5,79 |
0,39 |
|
24. |
Акмолинская область: |
|
|
|
25. |
города областного значения |
5,79 |
0,39 |
|
26. |
города районного значения |
5,02 |
0,39 |
|
27. |
Остальные города областного значения |
85 процентов от ставки, установленной для областного центра |
0,39 |
|
28. |
Остальные города районного значения |
75 процентов от ставки, установленной для областного центра |
0,19 |
|
29. |
Поселки |
0,96 |
0,13 |
|
30. |
Села |
0,48 |
0,09 |
При этом категории населенных пунктов устанавливаются в соответствии с классификатором административно-территориальных объектов, утвержденным уполномоченным органом в области технического регулирования.
Статья 578. Базовые налоговые ставки на земли промышленности, транспорта, связи, обороны и иного несельскохозяйственного назначения (далее - земли промышленности), расположенные вне населенных пунктов
1. Базовые налоговые ставки на расположенные вне населенных пунктов земли промышленности устанавливаются в расчете на один гектар в следующих размерах пропорционально баллам бонитета:
|
№ п/п |
Балл бонитета |
Базовая налоговая ставка (тенге) |
№ п/п |
Балл бонитета |
Базовая налоговая ставка (тенге) |
|
1 |
2 |
3 |
4 |
5 |
6 |
|
1. |
0 |
48,25 |
52. |
51 |
2634,45 |
|
2. |
1 |
91,67 |
53. |
52 |
2690,23 |
|
3. |
2 |
135,1 |
54. |
53 |
2745,95 |
|
4. |
3 |
178,52 |
55. |
54 |
2801,72 |
|
5. |
4 |
221,95 |
56. |
55 |
2857,46 |
|
6. |
5 |
265,37 |
57. |
56 |
2913,24 |
|
7. |
6 |
308,8 |
58. |
57 |
2968,96 |
|
8. |
7 |
352,22 |
59. |
58 |
3024,73 |
|
9. |
8 |
395,65 |
60. |
59 |
3080,47 |
|
10. |
9 |
439,07 |
61. |
60 |
3136,25 |
|
11. |
10 |
482,5 |
62. |
61 |
3188,36 |
|
12. |
11 |
530,75 |
63. |
62 |
3247,75 |
|
13. |
12 |
592,41 |
64. |
63 |
3325,49 |
|
14. |
13 |
654,08 |
65. |
64 |
3364,61 |
|
15. |
14 |
715,68 |
66. |
65 |
3423,05 |
|
16. |
15 |
777,35 |
67. |
66 |
3489,25 |
|
17. |
16 |
839,01 |
68. |
67 |
3539,95 |
|
18. |
17 |
900,67 |
69. |
68 |
3598,39 |
|
19. |
18 |
962,29 |
70. |
69 |
3656,81 |
|
20. |
19 |
1023,96 |
71. |
70 |
3715,25 |
|
21. |
20 |
1084,66 |
72. |
71 |
3769,29 |
|
22. |
21 |
1138,7 |
73. |
72 |
3829,64 |
|
23. |
22 |
1189,07 |
74. |
73 |
3890,53 |
|
24. |
23 |
1239,35 |
75. |
74 |
3951,67 |
|
25. |
24 |
1287,73 |
76. |
75 |
4012,79 |
|
26. |
25 |
1340,29 |
77. |
76 |
4073,88 |
|
27. |
26 |
1390,66 |
78. |
77 |
4135,02 |
|
28. |
27 |
1441,07 |
79. |
78 |
4196,15 |
|
29. |
28 |
1491,45 |
80. |
79 |
4257,23 |
|
30. |
29 |
1541,88 |
81. |
80 |
4319,34 |
|
31. |
30 |
1592,25 |
82. |
81 |
4371,45 |
|
32. |
31 |
1646,29 |
83. |
82 |
4432,57 |
|
33. |
32 |
1693,03 |
84. |
83 |
4493,66 |
|
34. |
33 |
1740,76 |
85. |
84 |
4554,8 |
|
35. |
34 |
1788,47 |
86. |
85 |
4615,92 |
|
36. |
35 |
1836,2 |
87. |
86 |
4677,01 |
|
37. |
36 |
1883,87 |
88. |
87 |
4738,15 |
|
38. |
37 |
1931,58 |
89. |
88 |
4799,27 |
|
39. |
38 |
1979,31 |
90. |
89 |
4860,36 |
|
40. |
39 |
2027,02 |
91. |
90 |
4921,5 |
|
41. |
40 |
2074,75 |
92. |
91 |
4975,54 |
|
42. |
41 |
2126,86 |
93. |
92 |
5054,48 |
|
43. |
42 |
2178,19 |
94. |
93 |
5134,32 |
|
44. |
43 |
2228,61 |
95. |
94 |
5214,22 |
|
45. |
44 |
2278,98 |
96. |
95 |
5294,09 |
|
46. |
45 |
2329,41 |
97. |
96 |
5373,99 |
|
47. |
46 |
2379,79 |
98. |
97 |
5453,83 |
|
48. |
47 |
2340,22 |
99. |
98 |
5533,73 |
|
49. |
48 |
2480,57 |
100. |
99 |
5613,59 |
|
50. |
49 |
2531 |
101. |
100 |
5693,5 |
|
51. |
50 |
2582,34 |
102. |
свыше 100 |
5790 |
2. Земли, предоставленные для нужд обороны, за исключением земель, временно используемых другими землепользователями в соответствии с земельным законодательством Республики Казахстан, подлежат налогообложению по ставкам, установленным пунктом 1 настоящей статьи.
3. Земли, предоставленные для нужд обороны, временно не используемые для нужд обороны и предоставленные для сельскохозяйственных целей другим землепользователям, подлежат налогообложению по ставкам, установленным статьей 576 настоящего Кодекса, с учетом условий пункта 1 статьи 582 настоящего Кодекса.
4. Земли предприятий железнодорожного транспорта, занятые защитными лесными насаждениями вдоль магистральных железных дорог, облагаются налогом по ставкам, установленным статьей 576 настоящего Кодекса, с учетом условий пункта 1 статьи 582 настоящего Кодекса.
Статья 579. Налоговые ставки на земли промышленности, расположенные в черте населенных пунктов
1. Земли промышленности (включая шахты, карьеры), за исключением земель, указанных в пункте 3 настоящей статьи и статье 581 настоящего Кодекса, облагаются налогом по базовым ставкам, установленным статьей 577 настоящего Кодекса, с учетом условий пункта 1 статьи 582 настоящего Кодекса.
2. Базовые ставки на земли промышленности (включая шахты, карьеры), за исключением земель, указанных в пункте 3 настоящей статьи и статье 581 настоящего Кодекса, могут быть снижены решениями местных представительных органов. Общее снижение ставок налога на указанные земли с учетом снижения, предусмотренного пунктом 1 статьи 582 настоящего Кодекса, не должно превышать 30 процентов базовой ставки.
3. Земли промышленности, расположенные в черте населенного пункта, занятые аэродромами, облагаются налогом по базовым ставкам, установленным статьей 578 настоящего Кодекса, с учетом условий пункта 1 статьи 582 настоящего Кодекса.
Земли промышленности, расположенные в черте населенного пункта, занятые аэропортами, за исключением земель, занятых аэродромами, облагаются налогом по базовым ставкам, установленным статьей 577 настоящего Кодекса, с учетом условий пункта 1 статьи 582 настоящего Кодекса.
Для целей настоящего Кодекса под аэродромом понимается земельный участок, специально подготовленный и оборудованный для обеспечения взлета, посадки, руления, стоянки и обслуживания воздушных судов.
Статья 580. Налоговые ставки на земли особо охраняемых природных территорий, лесного фонда и водного фонда
1. Земли особо охраняемых природных территорий, лесного фонда и водного фонда, используемые в сельскохозяйственных целях, облагаются земельным налогом по базовым ставкам, установленным статьей 576 настоящего Кодекса, с учетом условий пункта 1 статьи 582 настоящего Кодекса.
2. Земли особо охраняемых природных территорий, лесного фонда и водного фонда, предоставленные физическим и юридическим лицам в пользование для иных целей, помимо сельскохозяйственных, подлежат налогообложению по ставкам, установленным статьей 578 настоящего Кодекса, с учетом условий пункта 1 статьи 582 настоящего Кодекса.
Статья 581. Налоговые ставки на земельные участки, выделенные под автостоянки (паркинги), автозаправочные станции, занятые под казино, а также не используемые в соответствующих целях или используемые с нарушением законодательства Республики Казахстан
1. Земли населенных пунктов, выделенные под автозаправочные станции, подлежат налогообложению по базовым ставкам на земли населенных пунктов, установленным в графе 3 таблицы статьи 577 настоящего Кодекса, увеличенным в десять раз.
Земли других категорий, выделенные под автозаправочные станции, подлежат налогообложению по базовым ставкам на земли населенных пунктов, установленным для земель близлежащего населенного пункта в графе 3 таблицы статьи 577 настоящего Кодекса, увеличенным в десять раз. При этом местным представительным органом определяется близлежащий населенный пункт, базовые ставки на земли которого будут применяться при исчислении налога.
По решению местного представительного органа ставки налога могут быть уменьшены, но не менее установленных статьей 577 настоящего Кодекса.
2. Земли населенных пунктов, занятые под казино, подлежат налогообложению по базовым ставкам на земли населенных пунктов, установленным статьей 577 настоящего Кодекса, увеличенным в десять раз.
Земли других категорий, занятые под казино, подлежат налогообложению по базовым ставкам на земли населенных пунктов, за исключением земель, занятых жилищным фондом, в том числе строениями и сооружениями при нем, установленным для земель близлежащего населенного пункта статьей 577 настоящего Кодекса, увеличенным в десять раз.
Базовые ставки на земли населенного пункта, которые применяются при исчислении налога, устанавливаются местным представительным органом.
По решению местного представительного органа ставки налога могут быть уменьшены, но не менее установленных статьей 577 настоящего Кодекса.
3. Земли населенных пунктов, выделенные под автостоянки (паркинги), подлежат налогообложению по базовым ставкам на земли населенных пунктов, установленным в графе 3 таблицы статьи 577 настоящего Кодекса.
Земли других категорий, выделенные под автостоянки (паркинги), подлежат налогообложению по базовым ставкам на земли населенных пунктов, установленным для земель близлежащего населенного пункта в графе 3 таблицы статьи 577 настоящего Кодекса. При этом местным представительным органом определяется близлежащий населенный пункт, базовые ставки на земли которого будут применяться при исчислении налога.
По решению местного представительного органа базовые ставки налога на земли, занятые под автостоянки (паркинги), могут быть увеличены, но не более чем в десять раз. Увеличение ставок, предусмотренное настоящим пунктом, производится в зависимости от категорий автостоянок (паркингов), устанавливаемых местным представительным органом.
При этом запрещается понижение или повышение ставок земельного налога индивидуально для отдельных налогоплательщиков.
4. По земельным участкам, предназначенным для строительства объектов и не используемым в соответствующих целях или используемым с нарушением законодательства Республики Казахстан, базовые ставки налога, установленные статьями 577, 578 и 579 настоящего Кодекса и настоящей статьей, кроме ставок, указанных в строках 27 - 30 таблицы статьи 577 настоящего Кодекса, увеличиваются в десять раз с даты вручения территориальным подразделением по управлению земельными ресурсами областей, городов республиканского значения, столицы ведомства центрального уполномоченного органа, осуществляющего государственный контроль за использованием и охраной земель, предписания собственнику или землепользователю о необходимости использования земельного участка по назначению и (или) устранения нарушения законодательства Республики Казахстан.
Порядок выявления земельных участков, не используемых в соответствующих целях или используемых с нарушением законодательства Республики Казахстан, для целей части первой настоящего пункта и пункта 5 настоящей статьи определяется центральным уполномоченным органом по управлению земельными ресурсами по согласованию с уполномоченным органом.
Положения настоящего пункта не распространяются на организацию, специализирующуюся на улучшении качества кредитных портфелей банков второго уровня, единственным акционером которой является Правительство Республики Казахстан, и на ее дочерние компании.
5. По земельным участкам сельскохозяйственного назначения, не используемым по назначению или используемым с нарушением законодательства Республики Казахстан, базовые ставки налога, установленные статьей 576 настоящего Кодекса, увеличиваются в сорок раз с даты вручения собственнику или землепользователю предписания об устранении нарушений требований земельного законодательства Республики Казахстан территориальным подразделением по управлению земельными ресурсами областей, городов республиканского значения, столицы ведомства центрального уполномоченного органа, осуществляющего государственный контроль за использованием и охраной земель.
Положения настоящего пункта не распространяются на организацию, специализирующуюся на улучшении качества кредитных портфелей банков второго уровня, единственным акционером которой является Правительство Республики Казахстан, и на ее дочерние компании.
6. Территориальные подразделения по управлению земельными ресурсами областей, городов республиканского значения, столицы ведомства центрального уполномоченного органа, осуществляющего государственный контроль за использованием и охраной земель, представляют в налоговые органы сведения по земельным участкам, указанным в пунктах 4 и 5 настоящей статьи.
7. По земельным участкам, указанным в пунктах 4 и 5 настоящей статьи, сведения по которым представляются территориальным подразделением по управлению земельными ресурсами областей, городов республиканского значения, столицы ведомства центрального уполномоченного органа, осуществляющего государственный контроль за использованием и охраной земель, земельный налог исчисляется налоговыми органами исходя из установленных ставок земельного налога и площади земельного участка с направлением налогоплательщику уведомления о сумме налогов и (или) плат, исчисленных налоговым органом.
Статья 582. Корректировка базовых налоговых ставок
1. Местные представительные органы на основании проектов (схем) зонирования земель, проводимого в соответствии с земельным законодательством Республики Казахстан, имеют право понижать или повышать ставки земельного налога не более чем на 50 процентов от базовых ставок земельного налога, установленных статьями 577 и 578 настоящего Кодекса.
При этом запрещается понижение или повышение ставок земельного налога индивидуально для отдельных налогоплательщиков.
Такое решение о понижении или повышении ставок земельного налога принимается местным представительным органом не позднее 1 декабря года, предшествующего году его введения, и вводится в действие с 1 января года, следующего за годом его принятия.
Решение местного представительного органа о понижении или повышении ставок земельного налога подлежит официальному опубликованию.
Положения части первой настоящего пункта не распространяются на земельные участки, указанные в статье 581 настоящего Кодекса.
2. При исчислении земельного налога к соответствующим ставкам коэффициент 0 применяют следующие плательщики:
1) специализированные организации лиц с инвалидностью в соответствии с Социальным кодексом Республики Казахстан;
2) организации, осуществляющие деятельность на территориях специальных экономических зон, - по земельным участкам, расположенным на территории специальной экономической зоны и используемым при осуществлении приоритетных видов деятельности с учетом положений, установленных главой 80 настоящего Кодекса;
3) организации, реализующие инвестиционный приоритетный проект, - по земельным участкам, используемым для реализации инвестиционного приоритетного проекта, с учетом положений, установленных статьей 837 настоящего Кодекса;
4) лица, заключившие соглашение об инвестициях и применяющие положения главы 81 настоящего Кодекса, - по земельным участкам, используемым для реализации инвестиционного проекта;
5) управляющие компании специальных экономических и индустриальных зон по объектам налогообложения (объектам обложения), используемым (планируемым к использованию) для обслуживания специальных экономических и индустриальных зон.
3. При исчислении налога к соответствующим ставкам коэффициент 0,1 применяют следующие плательщики:
1) оздоровительные детские учреждения - по земельным участкам, используемым ими в деятельности таких детских оздоровительных учреждений по оздоровлению детей;
2) государственные предприятия, основным видом деятельности которых является выполнение работ по противопожарному устройству лесов, борьбе с пожарами, вредителями и болезнями лесов, воспроизводству природных биологических ресурсов и повышению экологического потенциала лесов, - по земельным участкам, используемым ими в данной деятельности;
3) государственные предприятия рыбовоспроизводственного назначения - по земельным участкам, используемым ими в деятельности по воспроизводству рыбы;
4) лечебно-производственные предприятия при психоневрологических и туберкулезных учреждениях;
5) технологические парки - по земельным участкам, используемым для осуществления основного вида деятельности, предусмотренного Законом Республики Казахстан «О промышленной политике».
Положения настоящего подпункта вправе применять технологические парки, соответствующие одновременно следующим условиям:
такие технологические парки созданы в соответствии с Предпринимательским кодексом Республики Казахстан;
50 и более процентов голосующих акций (долей участия) таких технологических парков принадлежат национальному институту развития в области технологического развития;
6) некоммерческие организации, за исключением зарегистрированных в соответствии с гражданским законодательством Республики Казахстан в форме акционерного общества, учреждения, потребительского кооператива, религиозного объединения;
7) организации, осуществляющие деятельность в социальной сфере, кроме некоммерческих организаций, указанных в подпункте 6) настоящего пункта, - по земельным участкам, используемым при осуществлении видов деятельности, указанных в пункте 2 статьи 15 настоящего Кодекса.
4. Положения подпункта 1) пункта 2 и подпункта 4) пункта 3 настоящей статьи не применяются в случаях предоставления земельного участка и (или) его части (вместе с находящимися на нем зданиями, строениями, сооружениями либо без них) по договору имущественного найма (аренды), передачи в пользование на иных основаниях или использования их в коммерческих целях, за исключением случая, когда доход от такого предоставления земельного участка и (или) его части по договору имущественного найма (аренды), передачи в пользование на иных основаниях зачисляется в государственный бюджет.
При применении положений части первой настоящего пункта:
плательщики налога обязаны вести раздельный учет объектов налогообложения;
размер земельного налога по части земельного участка определяется по удельному весу площади такой части участка к общей площади всего земельного участка.
Глава 64. ПОРЯДОК ИСЧИСЛЕНИЯ И СРОКИ УПЛАТЫ НАЛОГА
Статья 583. Общий порядок исчисления и уплаты налога
1. Исчисление налога производится путем применения соответствующей налоговой ставки, определенной с учетом положений настоящей главы, к налоговой базе отдельно по каждому земельному участку.
2. Если иное не установлено настоящей главой, при предоставлении государством права собственности, права постоянного или первичного безвозмездного временного землепользования на земельный участок налогоплательщик исчисляет земельный налог начиная с месяца, следующего за месяцем предоставления таких прав на земельный участок.
3. В случае прекращения права владения или права пользования земельным участком земельный налог исчисляется за фактический период пользования земельным участком.
4. Уплата земельного налога производится в бюджет по месту нахождения земельного участка.
5. При переводе в течение налогового года населенного пункта из одной категории поселений в другую земельный налог за налоговый период, в котором произведен такой перевод, исчисляется по ставкам, установленным для категории населенного пункта, к которой относился данный населенный пункт до такого перевода.
6. При изменении границ административно-территориальной единицы земельный налог по земельным участкам, расположенным в населенном пункте, территория которого в связи с таким изменением переведена в границы другой административно-территориальной единицы, за налоговый период, в котором произведено такое изменение, исчисляется по ставкам, установленным для категории населенного пункта, в границах которого находился данный населенный пункт до даты такого изменения.
7. При невозможности определить балл бонитета земельных участков, занимаемых налогоплательщиками, размер земельного налога определяется исходя из балла бонитета смежно расположенных земель.
8. По объектам налогообложения, находящимся в общей долевой собственности, налог исчисляется пропорционально доле каждого из собственников в общей площади таких объектов.
9. Земельный участок, являющийся частью объекта кондоминиума, подлежит обложению земельным налогом пропорционально доле каждого собственника помещения (части здания), за исключением физического лица - собственника квартиры (жилища), в общем имуществе, являющемся частью объекта кондоминиума.
При этом часть земельного участка, соответствующая:
1) доле собственника жилища, за исключением физического лица, в общем имуществе, подлежит обложению земельным налогом по базовым ставкам налога на земли населенных пунктов, установленным в графе 4 таблицы статьи 577 настоящего Кодекса;
2) доле собственника нежилого помещения (части здания, не являющегося жилым) в общем имуществе, подлежит обложению земельным налогом по базовым ставкам налога на земли населенных пунктов, установленным в графе 3 таблицы статьи 577 настоящего Кодекса.
Статья 584. Порядок исчисления и сроки уплаты налога юридическими лицами и индивидуальными предпринимателями
1. Налогоплательщики самостоятельно исчисляют суммы земельного налога путем применения соответствующей ставки налога к налоговой базе.
2. В случае передачи в течение налогового периода прав на объекты налогообложения сумма налога исчисляется за фактический период владения земельным участком.
Сумма налога, подлежащая уплате за фактический период владения земельным участком лицом, передающим данные права, должна быть внесена в бюджет до или в момент государственной регистрации прав. При этом лицом, передающим данные права, сумма налога исчисляется с 1 января текущего года до начала месяца, в котором он передает земельный участок. Лицом, получившим такие права, сумма налога исчисляется за период с начала месяца, в котором у него возникло право на земельный участок.
3. Налогоплательщик уплачивает земельный налог не позднее десяти календарных дней после наступления срока представления декларации за налоговый период.
4. При изменении границ административно-территориальной единицы земельный налог по земельным участкам населенных пунктов, которые относились до даты такого изменения к землям сельскохозяйственного назначения, исчисляется по ставкам, установленным статьей 576 настоящего Кодекса, при условии использования таких участков в сельскохозяйственных целях.
Статья 585. Особенности исчисления, уплаты налога и представления отчетности по налогу в отдельных случаях
1. За земельные участки, на которых расположены здания, строения и сооружения, находящиеся в пользовании нескольких налогоплательщиков, земельный налог исчисляется отдельно по каждому налогоплательщику пропорционально площади зданий и строений, находящихся в их раздельном пользовании.
2. При передаче юридическими лицами, указанными в подпунктах 3) и 4) пункта 3 статьи 571 настоящего Кодекса, в пользование, доверительное управление или аренду части здания либо части сооружения земельный налог подлежит исчислению в зависимости от удельного веса площади переданных в пользование, доверительное управление или аренду части здания либо части сооружения в общей площади всех зданий, сооружений, находящихся на данном земельном участке.
3. В случае приобретения юридическим лицом недвижимого имущества, находящегося в составе жилищного фонда, земельный налог подлежит исчислению по базовым ставкам налога на земли населенных пунктов, за исключением земель, занятых жилищным фондом, в том числе строениями и сооружениями при нем, установленным статьей 577 настоящего Кодекса.
Глава 65. НАЛОГОВЫЙ ПЕРИОД И НАЛОГОВАЯ ОТЧЕТНОСТЬ
Статья 586. Налоговый период
Налоговым периодом для исчисления земельного налога является календарный год с 1 января по 31 декабря.
Статья 587. Налоговая отчетность
1. Декларация представляется в налоговые органы по месту нахождения земельных участков в срок не позднее 31 марта года, следующего за отчетным налоговым периодом:
1) юридическими лицами;
2) индивидуальными предпринимателями - по налоговым обязательствам, определенным по земельным участкам, используемым (подлежащим использованию) в предпринимательской деятельности;
3) физическими лицами (в том числе лицами, занимающимися частной практикой) - по налоговым обязательствам, определенным по земельным участкам, используемым (подлежащим использованию) в предпринимательской деятельности и (или) в деятельности, связанной с такой частной практикой.
РАЗДЕЛ 12. НАЛОГ НА ИМУЩЕСТВО
Глава 66. НАЛОГ НА ИМУЩЕСТВО ЮРИДИЧЕСКИХ ЛИЦ И ИНДИВИДУАЛЬНЫХ ПРЕДПРИНИМАТЕЛЕЙ
Статья 588. Налогоплательщики
1. Плательщиками налога на имущество являются:
1) юридические лица, имеющие объект налогообложения на праве собственности, хозяйственного ведения или оперативного управления на территории Республики Казахстан;
2) индивидуальные предприниматели, имеющие объект налогообложения на праве собственности на территории Республики Казахстан;
3) концессионер, имеющий на праве владения, пользования объект налогообложения, являющийся объектом концессии в соответствии с договором концессии;
4) лица, указанные в статье 589 настоящего Кодекса.
2. Юридическое лицо своим решением вправе признать самостоятельным плательщиком налога на имущество свое структурное подразделение.
Если иное не установлено настоящей статьей, решение юридического лица о таком признании или прекращении такого признания вводится в действие с 1 января года, следующего за годом принятия такого решения.
В случае если самостоятельным плательщиком налога на имущество признается вновь созданное структурное подразделение юридического лица, то решение юридического лица о таком признании вводится в действие со дня создания данного структурного подразделения или с 1 января года, следующего за годом создания данного структурного подразделения.
3. Если иное не установлено настоящей статьей, плательщиками налога на имущество не являются:
1) индивидуальные предприниматели, применяющие специальный налоговый режим для крестьянских или фермерских хозяйств, по объектам налогообложения, имеющимся на праве собственности, непосредственно используемым ими в процессе производства сельскохозяйственной продукции, ее хранения и переработки.
Налогоплательщики, указанные в настоящем подпункте, по объектам налогообложения, не используемым непосредственно в процессе производства, хранения и переработки собственной сельскохозяйственной продукции, уплачивают налог на имущество в порядке, определенном настоящим разделом;
2) государственные учреждения и государственные учебные заведения среднего образования;
3) государственные предприятия исправительных учреждений уполномоченного государственного органа в сфере исполнения уголовных наказаний;
4) религиозные объединения;
5) недропользователи по контрактам на разведку и добычу или добычу углеводородов по сложным проектам (за исключением газовых проектов на суше) в рамках контрактной деятельности с учетом особенностей, предусмотренных пунктом 4 статьи 756 настоящего Кодекса.
Юридические лица, указанные в подпунктах 3) и 4) части первой настоящего пункта, являются плательщиками налога по объектам налогообложения, переданным в пользование, доверительное управление или аренду.
Статья 589. Определение налогоплательщика в отдельных случаях
1. При передаче государственным учреждением объекта налогообложения в доверительное управление налогоплательщик определяется в соответствии со статьей 67 настоящего Кодекса.
2. Если объект налогообложения находится в общей долевой собственности нескольких лиц, за исключением объектов налогообложения, входящих в состав активов паевого инвестиционного фонда, налогоплательщиком признается каждое из этих лиц.
3. Плательщиком налога по объектам налогообложения, находящимся в общей совместной собственности, может являться один из собственников данных объектов налогообложения по согласованию между ними.
4. Если иное не установлено настоящим пунктом, плательщиком налога по объектам, переданным в финансовую аренду, соответствующую международным стандартам финансовой отчетности и (или) требованиям законодательства Республики Казахстан о бухгалтерском учете и финансовой отчетности, является арендодатель.
Плательщиком налога по объектам, переданным в финансовый лизинг, является лизингополучатель.
5. Плательщиком налога по объектам налогообложения, входящим в состав активов паевого инвестиционного фонда, является управляющая компания паевого инвестиционного фонда.
6. В случае отсутствия государственной регистрации прав на здания, сооружения, подлежащие такой регистрации, плательщиком налога на такой объект признается лицо, фактически им владеющее и использующее (эксплуатирующее) данный объект на основании:
1) акта государственной приемочной комиссии и (или) акта приемки (ввода) построенного объекта в эксплуатацию - для вновь возведенных (построенных) объектов;
2) гражданско-правовых сделок или иных оснований, предусмотренных законодательством Республики Казахстан, -в остальных случаях.
Статья 590. Объект налогообложения
1. Объектом налогообложения для индивидуальных предпринимателей, за исключением индивидуальных предпринимателей, не осуществляющих ведение бухгалтерского учета и составление финансовой отчетности в соответствии с Законом Республики Казахстан «О бухгалтерском учете и финансовой отчетности», и юридических лиц являются находящиеся на территории Республики Казахстан:
1) здания, сооружения, относящиеся к таковым в соответствии с классификацией, установленной уполномоченным органом в области технического регулирования, части таких зданий, учитываемые в составе основных средств, инвестиций в недвижимость в соответствии с международными стандартами финансовой отчетности и (или) требованиями законодательства Республики Казахстан о бухгалтерском учете и финансовой отчетности;
2) здания, относящиеся к таковым в соответствии с классификацией, установленной уполномоченным органом в области технического регулирования, части таких зданий, предоставленные физическим лицам по договорам долгосрочной аренды жилища с правом выкупа, учитываемые в соответствии с международными стандартами финансовой отчетности и (или) требованиями законодательства Республики Казахстан о бухгалтерском учете и финансовой отчетности как долгосрочная дебиторская задолженность;
3) здания, сооружения, являющиеся объектами концессии, права владения, пользования которыми переданы по договору концессии;
4) активы, указанные в статье 316 настоящего Кодекса;
5) здания, сооружения, относящиеся к таковым в соответствии с классификацией, установленной уполномоченным органом в области технического регулирования, части таких зданий, учитываемые в соответствии с международными стандартами финансовой отчетности и (или) требованиями законодательства Республики Казахстан о бухгалтерском учете и финансовой отчетности в составе активов банков второго уровня, перешедшие в собственность в результате обращения взыскания на имущество, выступающее в качестве залога, иного обеспечения, за исключением зданий (частей зданий) и сооружений, указанных в подпункте 1) настоящего пункта;
6) здания, сооружения, указанные в пункте 6 статьи 589 настоящего Кодекса;
7) здания и сооружения, относящиеся к таковым в соответствии с классификацией, установленной уполномоченным органом в области технического регулирования, части таких зданий и сооружений, предоставленные в финансовую аренду и учитываемые в соответствии с международными стандартами финансовой отчетности и (или) требованиями законодательства Республики Казахстан о бухгалтерском учете и финансовой отчетности как дебиторская задолженность.
2. Объектом налогообложения для индивидуальных предпринимателей, не осуществляющих ведение бухгалтерского учета и составление финансовой отчетности в соответствии с Законом Республики Казахстан «О бухгалтерском учете и финансовой отчетности», признаются находящиеся на территории Республики Казахстан здания, сооружения, относящиеся к таковым в соответствии с классификацией, установленной уполномоченным органом в области технического регулирования, и являющиеся основными средствами в соответствии с подпунктом 9) статьи 218 настоящего Кодекса.
3. Не являются объектами налогообложения:
1) земля как объект обложения земельным налогом в соответствии со статьями 573 и 574 настоящего Кодекса;
2) здания, сооружения, находящиеся на консервации по решению Правительства Республики Казахстан;
3) государственные автомобильные дороги общего пользования и дорожные сооружения на них:
полоса отвода;
конструктивные элементы дорог;
обстановка и обустройство дорог;
мосты;
путепроводы;
виадуки;
транспортные развязки;
тоннели;
защитные галереи;
сооружения и устройства, предназначенные для повышения безопасности дорожного движения;
водоотводные и водопропускные сооружения;
лесополосы вдоль дорог;
линейные жилые дома и комплексы дорожно-эксплуатационной службы;
4) объекты незавершенного строительства, за исключением объектов, указанных в пункте 6 статьи 589 и подпункте 4) пункта 1 настоящей статьи;
5) здания, сооружения, являющиеся неотъемлемой частью транспортного комплекса, обеспечивающие функционирование метрополитена;
6) здания, сооружения, приобретенные государственной исламской специальной финансовой компанией по договорам, заключенным в соответствии с условиями выпуска государственных исламских ценных бумаг;
7) используемые в предпринимательской деятельности жилища и другие объекты физических лиц, по которым налоговая база определяется в соответствии со статьей 600 настоящего Кодекса и исчисление налога производится налоговыми органами в соответствии со статьями 603 и 604 настоящего Кодекса;
8) здания, сооружения, являющиеся объектами концессии, права владения, пользования которыми переданы по договору концессии с применением платы за доступность по концессионным проектам особой значимости, перечень которых определяется Правительством Республики Казахстан, при условии превышения стоимости объектов концессии 50 000 000-кратного размера месячного расчетного показателя, действующего на 1 января соответствующего финансового года;
9) здания, сооружения, расположенные на территории земель зоны ядерной безопасности, используемые для размещения радиоактивных отходов и обеспечения ядерной физической защиты.
Статья 591. Налоговая база
1. Если иное не установлено настоящей статьей, налоговой базой по объектам налогообложения индивидуальных предпринимателей и юридических лиц, указанным в подпунктах 1), 3), 4) и 5) пункта 1 статьи 590 настоящего Кодекса, является среднегодовая балансовая стоимость объектов налогообложения, определяемая по данным бухгалтерского учета, с учетом произведенной переоценки имущества.
При этом такая оценка имущества должна производиться не реже одного раза в каждые три года.
2. По объектам налогообложения индивидуальных предпринимателей и юридических лиц, указанным в подпунктах 2) и 7) пункта 1 статьи 590 настоящего Кодекса, налоговая база устанавливается в размере среднегодовой суммы дебиторской задолженности, в том числе долгосрочной, определяемой в соответствии с международными стандартами финансовой отчетности и (или) требованиями законодательства Республики Казахстан о бухгалтерском учете и финансовой отчетности.
3. Среднегодовая балансовая стоимость объектов налогообложения определяется как одна тринадцатая суммы, полученной при сложении балансовых стоимостей объектов налогообложения на 1 число каждого месяца текущего налогового периода и 1 число месяца налогового периода, следующего за отчетным.
В случае если условиями контракта на недропользование предусмотрено выполнение обязательств по демонтажу и удалению объектов налогообложения, а также положениями Экологического кодекса Республики Казахстан - выполнение мероприятий, связанных с ликвидационным фондом полигонов захоронения отходов, то оценка таких обязательств, определенная в соответствии с международными стандартами финансовой отчетности и (или) требованиями законодательства Республики Казахстан о бухгалтерском учете и финансовой отчетности, не включается в балансовую стоимость объектов налогообложения при ведении отдельного учета.
В случае если положениями Закона Республики Казахстан «О магистральном трубопроводе» предусмотрено выполнение обязательств по ликвидации магистрального трубопровода, то оценка таких обязательств, определенная в соответствии с международными стандартами финансовой отчетности и (или) требованиями законодательства Республики Казахстан о бухгалтерском учете и финансовой отчетности, не включается в балансовую стоимость объектов налогообложения при ведении отдельного учета стоимости таких обязательств.
В случае, если энергопередающая организация принимает на свой баланс электрические сети, признанные бесхозяйными в соответствии с гражданским законодательством Республики Казахстан или полученные на безвозмездной основе в соответствии с законодательством Республики Казахстан, стоимость таких сетей не включается в налоговую базу до учета суммы налога на имущество по таким сетям в тарифной смете в соответствии с пунктом 8 статьи 13-1 Закона Республики Казахстан «Об электроэнергетике».
4. Среднегодовая сумма дебиторской задолженности, в том числе долгосрочной, устанавливаемой в соответствии с международными стандартами финансовой отчетности и (или) требованиями законодательства Республики Казахстан о бухгалтерском учете и финансовой отчетности, определяется как одна тринадцатая суммы, полученной при сложении сумм дебиторской задолженности, в том числе долгосрочной, на 1 число каждого месяца текущего налогового периода и 1 число месяца налогового периода, следующего за отчетным.
5. По объектам налогообложения юридических лиц, указанных в подпунктах 3) и 4) пункта 3 статьи 588 настоящего Кодекса, налоговая база определяется исходя из доли данных объектов налогообложения, переданных в пользование, доверительное управление или аренду.
6. Если иное не предусмотрено настоящим пунктом, налоговой базой по объектам налогообложения индивидуальных предпринимателей, не осуществляющих ведение бухгалтерского учета и составление финансовой отчетности в соответствии с Законом Республики Казахстан «О бухгалтерском учете и финансовой отчетности», являются:
в первые три года после признания в качестве объекта налогообложения - совокупность затрат на их приобретение, производство, строительство, монтаж, установку, а также на реконструкцию и модернизацию.
При этом признание реконструкции, модернизации осуществляется в соответствии с пунктом 2 статьи 278 настоящего Кодекса;
в последующие периоды - рыночная стоимость.
При этом такая оценка должна производиться не реже одного раза в каждые три года по состоянию на 1 января.
При отсутствии первичных документов, подтверждающих затраты на приобретение, производство, строительство, монтаж, установку, реконструкцию, модернизацию, и по объектам налогообложения, полученным по сделкам, цена (стоимость) которых неизвестна, либо безвозмездно, в том числе в виде дарения, наследования, пожертвования, благотворительной помощи, налоговой базой в первые три года после признания в качестве объекта налогообложения является рыночная стоимость:
1) объекта налогообложения на дату возникновения права собственности на данный актив;
2) объекта налогообложения плательщиков, указанных в пункте 6 статьи 589 настоящего Кодекса, на дату признания плательщиками по таким объектам.
При этом рыночная стоимость определяется в отчете об оценке, проведенной по договору между оценщиком и налогоплательщиком в соответствии с законодательством Республики Казахстан об оценочной деятельности.
7. В случае, когда в соответствии с положениями статьи 67 настоящего Кодекса налоговые обязательства по налогу на имущество подлежат исполнению доверительным управляющим, налоговой базой является среднегодовая балансовая стоимость таких объектов налогообложения, установленная в порядке, определенном пунктом 3 настоящей статьи:
1) доверительным управляющим самостоятельно - в случае, если такое имущество передано ему на баланс;
2) государственным учреждением, на балансе которого находится такое имущество. При этом данные по налоговой базе такого имущества должны передаваться доверительному управляющему ежегодно в срок не позднее 1 февраля.
В случае отсутствия при составлении налоговой отчетности по налогу на имущество данных по среднегодовой балансовой стоимости имущества, указанной в подпункте 2) части первой настоящего пункта, налоговой базой по такому имуществу является его балансовая стоимость, отраженная в соответствии с пунктом 4 статьи 67 настоящего Кодекса в акте приема-передачи.
8. В случае, когда в соответствии с подпунктом 5) пункта 3 статьи 588 настоящего Кодекса недропользователь не является плательщиком налога на имущество в рамках контрактной деятельности по контракту на разведку и добычу или добычу углеводородов по сложным проектам (за исключением газовых проектов на суше), налоговая база для такого недропользователя определяется за вычетом доли среднегодовой балансовой стоимости имущества, приходящегося на соответствующий контракт на разведку и добычу или добычу углеводородов по сложным проектам (за исключением газовых проектов на суше).
При этом определение такой доли производится недропользователем самостоятельно на основании принятых недропользователем в налоговой учетной политике одного или нескольких методов ведения раздельного налогового учета, предусмотренных пунктом 12 статьи 757 настоящего Кодекса.
Статья 592. Налоговые ставки
1. Если иное не предусмотрено настоящей статьей, юридические лица исчисляют налог на имущество по ставке 1,5 процента к налоговой базе.
2. Налог на имущество по ставке 0,5 процента к налоговой базе исчисляют следующие плательщики:
1) индивидуальные предприниматели;
2) юридические лица, применяющие специальный налоговый режим на основе упрощенной декларации;
3) субъекты социального предпринимательства.
3. Юридические лица, указанные ниже, исчисляют налог на имущество по ставке 0,1 процента к налоговой базе:
1) некоммерческие организации, за исключением зарегистрированных в соответствии с гражданским законодательством Республики Казахстан в форме акционерного общества, учреждения, потребительского кооператива, религиозного объединения;
2) организации, осуществляющие деятельность в социальной сфере;
3) специализированные организации лиц с инвалидностью в соответствии с Социальным кодексом Республики Казахстан;
4) организации, основным видом деятельности которых является выполнение работ (оказание услуг) в области библиотечного обслуживания;
5) юридические лица по объектам водохранилищ, гидроузлов, находящимся в государственной собственности и финансируемым за счет средств бюджета;
6) юридические лица по объектам гидромелиоративных сооружений, используемым для орошения земель юридических лиц - сельскохозяйственных товаропроизводителей и крестьянских или фермерских хозяйств;
7) юридические лица по объектам питьевого водоснабжения;
8) юридические лица по взлетно-посадочным полосам на аэродромах и терминалам аэропортов, за исключением взлетно-посадочных полос на аэродромах и терминалов аэропортов городов Астаны и Алматы;
9) технологические парки по объектам, используемым при осуществлении ими основного вида деятельности, предусмотренного Законом Республики Казахстан «О промышленной политике».
Положения настоящего подпункта вправе применять технологические парки, соответствующие одновременно следующим условиям:
созданные в соответствии с Законом Республики Казахстан «О промышленной политике»;
50 и более процентов голосующих акций (долей участия) таких технологических парков принадлежат национальному институту развития в области технологического развития.
Положения настоящего подпункта не применяются в случаях передачи объектов налогообложения в пользование, доверительное управление или аренду;
10) организация, осуществляющая деятельность по организации и проведению международной специализированной выставки на территории Республики Казахстан, послевыставочному использованию территории международной специализированной выставки.
Для целей части первой настоящего подпункта под организацией, осуществляющей деятельность по организации и проведению международной специализированной выставки на территории Республики Казахстан, понимается юридическое лицо со стопроцентным участием государства в уставном капитале, основным предметом деятельности которого являются организация и проведение международной специализированной выставки на территории Республики Казахстан, послевыставочное использование территории международной специализированной выставки.
4. Юридические лица, указанные в пункте 3 настоящей статьи, по объектам налогообложения, переданным в пользование, доверительное управление или аренду, исчисляют и уплачивают налог на имущество по ставке налога, установленной пунктом 1 настоящей статьи, за исключением юридических лиц, определенных подпунктами 1), 2), 3) и 10) пункта 3 настоящей статьи.
5. Налог на имущество по ставке 0 процентов к налоговой базе исчисляют:
1) юридические лица, определенные подпунктом 9) пункта 2 статьи 15 настоящего Кодекса;
2) организации, осуществляющие деятельность на территориях специальных экономических зон, - по объектам налогообложения, используемым при осуществлении приоритетных видов деятельности с учетом положений, установленных главой 80 настоящего Кодекса;
3) лицо, заключившее соглашение об инвестициях с учетом положений главы 80 настоящего Кодекса;
4) организация, являющаяся оператором в сфере официальной помощи развитию;
5) управляющие компании специальных экономических и индустриальных зон по объектам налогообложения, используемым (планируемым к использованию) для обслуживания специальных экономических и индустриальных зон.
6. Юридические лица, определенные в перечне, утвержденном уполномоченным государственным органом, осуществляющим руководство и межотраслевую координацию в сфере жилищных отношений и жилищно-коммунального хозяйства по согласованию с уполномоченным органом в области налоговой политики, исчисляют налог по ставкам, установленным статьей 602 настоящего Кодекса, по объектам налогообложения, предоставленным в рамках реализации государственных и (или) правительственных программ жилищного строительства по договорам долгосрочной аренды жилища физическому лицу, являющемуся участником такой программы.
7. В случае если субъект социального предпринимательства соответствует нескольким положениям пунктов 2, 3, 4 и 5 настоящей статьи, то применяется одна из наименьших ставок, установленных настоящей статьей.
Статья 593. Порядок исчисления и уплаты налога
1. Исчисление налога производится налогоплательщиками самостоятельно путем применения соответствующей ставки налога к налоговой базе.
Юридические лица - производители сельскохозяйственной продукции, продукции аквакультуры (рыбоводства), указанные в подпункте 1) пункта 2 статьи 357 настоящего Кодекса, производят исчисление налога на имущество с правом уменьшения на 70 процентов суммы налога.
2. Лица, определенные в пункте 6 статьи 592 настоящего Кодекса, исчисляют сумму налога путем применения ставок, установленных статьей 602 настоящего Кодекса, к налоговой базе, определяемой отдельно по каждому объекту в соответствии:
с пунктом 1 статьи 591 настоящего Кодекса, - в случае предоставления объектов обложения в аренду физическим лицам по договору долгосрочной аренды жилища без права выкупа;
с пунктом 2 статьи 591 настоящего Кодекса, - в случае предоставления объектов обложения в аренду физическим лицам по договору долгосрочной аренды жилища с правом выкупа.
3. По объектам налогообложения, находящимся в общей долевой собственности, налог на имущество для каждого налогоплательщика исчисляется пропорционально его доле в стоимости имущества.
4. Уплата налога производится в бюджет по месту нахождения объектов налогообложения.
5. Размер текущих платежей по налогу на имущество определяется налогоплательщиками, которые в соответствии с пунктом 1 статьи 596 настоящего Кодекса являются плательщиками таких текущих платежей, путем применения соответствующих налоговых ставок к балансовой стоимости объектов налогообложения, определенной по данным бухгалтерского учета на начало налогового периода.
6. Налогоплательщики, которые в соответствии с пунктом 1 статьи 596 настоящего Кодекса являются плательщиками текущих платежей по налогу на имущество, уплачивают суммы таких текущих платежей равными долями не позднее 25 февраля, 25 мая, 25 августа и 25 ноября налогового периода.
7. Корректировка размеров текущих платежей по налогу на имущество производится плательщиками текущих платежей в случае поступления и (или) выбытия объектов налогообложения в течение налогового периода.
В случае поступления в течение налогового периода объектов налогообложения у плательщика текущих платежей по налогу на имущество суммы таких текущих платежей увеличиваются на сумму, определяемую путем применения налоговой ставки к 1/13 первоначальной стоимости поступивших объектов налогообложения, определенной по данным бухгалтерского учета на дату поступления, умноженной на количество месяцев текущего налогового периода, начиная с месяца, в котором объекты налогообложения поступили, до конца налогового периода.
В случае выбытия у плательщика текущих платежей по налогу на имущество в течение налогового периода объектов налогообложения суммы таких текущих платежей уменьшаются на сумму, определяемую путем применения налоговой ставки к 1/13 стоимости выбывших объектов налогообложения, умноженной на количество месяцев текущего налогового периода, начиная с месяца, в котором объекты налогообложения выбыли, до конца налогового периода.
При этом стоимостью выбывших объектов налогообложения являются:
первоначальная стоимость по данным бухгалтерского учета на дату поступления - по объектам налогообложения, поступившим в текущем налоговом периоде;
балансовая стоимость по данным бухгалтерского учета на начало налогового периода - по остальным объектам налогообложения.
8. Налогоплательщики уплачивают налог на имущество не позднее десяти календарных дней после наступления срока представления декларации за налоговый период.
9. Для лица, являющегося плательщиком налога на основании подпункта 2) пункта 6 статьи 589 настоящего Кодекса, сумма налога исчисляется в случае передачи прав на незарегистрированный объект налогообложения:
1) для передающей стороны - за период с 1 числа месяца фактического владения и (или) использования (эксплуатации) такого объекта налогообложения до 1 числа месяца, в котором передан такой объект на основании акта приема передачи или иного документа;
2) для приобретающей стороны - за период с 1 числа месяца, в котором передан такой объект на основании акта приема-передачи или иного документа.
Статья 594. Исчисление и уплата налога в отдельных случаях
По объектам налогообложения, используемым (подлежащим использованию) в предпринимательской деятельности, индивидуальный предприниматель исчисляет и уплачивает налог по ставкам и в порядке, которые установлены настоящей главой.
При этом для целей настоящей главы объектом налогообложения, используемым (подлежащим использованию) в предпринимательской деятельности, не признается объект налогообложения при одновременном соблюдении условий, если такой объект:
является жилищем, по которому налоговая база определяется в соответствии со статьей 600 настоящего Кодекса и налог исчисляется налоговыми органами;
предоставлен в аренду (пользование) исключительно для целей проживания и не выведен из жилого фонда.
Статья 595. Налоговый период
1. Налоговым периодом для исчисления налога на имущество является календарный год с 1 января по 31 декабря.
2. Для юридических лиц, указанных в подпунктах 3) и 4) пункта 3 статьи 588 настоящего Кодекса, налоговый период определяется с момента передачи объектов налогообложения в пользование, доверительное управление или аренду до момента окончания такого использования.
Статья 596. Налоговая отчетность
1. Индивидуальные предприниматели (за исключением индивидуальных предпринимателей, применяющих специальный налоговый режим на основе упрощенной декларации) по объектам обложения, используемым (подлежащим использованию) в предпринимательской деятельности, и юридические лица являются плательщиками текущих платежей по налогу на имущество, если у них расчетная сумма налога составляет свыше 300-кратного месячного расчетного показателя, действующего на 1 января соответствующего финансового года. Для целей настоящего пункта расчетная сумма налога определяется как произведение соответствующей ставки налога и балансовой стоимости объектов налогообложения, определенной по данным бухгалтерского учета на начало налогового периода.
Плательщики текущих платежей по налогу на имущество представляют в налоговые органы по месту нахождения объектов обложения расчет текущих платежей по налогу не позднее 15 февраля текущего налогового периода.
2. Плательщик текущих платежей по налогу на имущество представляет в срок не позднее десяти календарных дней до наступления очередного (в течение налогового периода) срока уплаты текущих платежей дополнительный расчет текущих платежей с соответствующей корректировкой размеров таких платежей и распределением их равными долями на предстоящие сроки уплаты - при поступлении и (или) выбытии объектов налогообложения в течение налогового периода.
При этом дополнительный расчет текущих платежей представляется по объектам, которые поступили и (или) выбыли по состоянию на первое число месяца наступления очередного срока уплаты текущих платежей.
3. Декларация по налогу представляется в налоговые органы по месту нахождения объектов обложения в срок не позднее 31 марта года, следующего за отчетным налоговым периодом:
1) юридическими лицами;
2) индивидуальными предпринимателями - по налоговым обязательствам, определенным по объектам обложения, используемым (подлежащим использованию) в предпринимательской деятельности;
3) физическими лицами (в том числе лицами, занимающимися частной практикой) - по налоговым обязательствам, определенным по объектам обложения, используемым (подлежащим использованию) в предпринимательской деятельности и (или) деятельности, связанной с такой частной практикой.
Глава 67. НАЛОГ НА ИМУЩЕСТВО ФИЗИЧЕСКИХ ЛИЦ
Статья 597. Налогоплательщики
1. Плательщиками налога на имущество физических лиц являются физические лица, имеющие объект налогообложения в соответствии со статьей 599 настоящего Кодекса.
2. Плательщиками налога на имущество физических лиц не являются:
1) герои Советского Союза, герои Социалистического Труда, лица, удостоенные званий «Халық қаһарманы», «Қазақстанның Еңбек Epi», кавалеры ордена Трудовой Славы трех степеней и ордена «Отан», - в пределах 1000-кратного размера месячного расчетного показателя, действующего на 1 января соответствующего финансового года, от общей стоимости всех объектов налогообложения, указанных в подпункте 1) статьи 599 настоящего Кодекса;
2) ветераны Великой Отечественной войны, ветераны, приравненные по льготам к ветеранам Великой Отечественной войны, и ветераны боевых действий на территории других государств, лица, награжденные орденами и медалями бывшего Союза ССР за самоотверженный труд и безупречную воинскую службу в тылу в годы Великой Отечественной войны, а также лица, проработавшие (прослужившие) не менее шести месяцев с 22 июня 1941 года по 9 мая 1945 года и не награжденные орденами и медалями бывшего Союза ССР за самоотверженный труд и безупречную воинскую службу в тылу в годы Великой Отечественной войны, лица с инвалидностью по:
земельным участкам, занятым жилищным фондом, в том числе строениями и сооружениями при нем;
придомовым земельным участкам;
земельным участкам, предоставленным для ведения личного домашнего (подсобного) хозяйства, садоводства и дачного строительства, включая земли, занятые под постройки;
земельным участкам, занятым под гаражи;
в пределах 1500-кратного размера месячного расчетного показателя, действующего на 1 января соответствующего финансового года, от общей стоимости всех объектов налогообложения, указанных в подпункте 1) статьи 599 настоящего Кодекса;
3) дети-сироты и дети, оставшиеся без попечения родителей, на период до достижения ими 18-летнего возраста по:
земельным участкам, занятым жилищным фондом, в том числе строениями и сооружениями при нем;
придомовым земельным участкам;
земельным участкам, предоставленным для ведения личного домашнего (подсобного) хозяйства, садоводства и дачного строительства, включая земли, занятые под постройки;
земельным участкам, занятым под гаражи;
объектам налогообложения, указанным в подпункте 1) статьи 599 настоящего Кодекса;
4) один из родителей лица с инвалидностью с детства, ребенка с инвалидностью по:
земельным участкам, занятым жилищным фондом, в том числе строениями и сооружениями при нем;
придомовым земельным участкам;
земельным участкам, предоставленным для ведения личного домашнего (подсобного) хозяйства, садоводства и дачного строительства, включая земли, занятые под постройки;
земельным участкам, занятым под гаражи;
5) многодетные матери, удостоенные звания «Мать-героиня», награжденные подвеской «Алтын алқа», отдельно проживающие пенсионеры по:
земельным участкам, занятым жилищным фондом, в том числе строениями и сооружениями при нем;
придомовым земельным участкам;
в пределах 1000-кратного размера месячного расчетного показателя, действующего на 1 января соответствующего финансового года, от общей стоимости всех объектов налогообложения, указанных в подпункте 1) статьи 599 настоящего Кодекса.
Для целей настоящего Кодекса под отдельно проживающими пенсионерами понимаются пенсионеры, по юридическому адресу (адресу места их жительства) которых зарегистрированы исключительно пенсионеры;
6) индивидуальные предприниматели по объектам налогообложения, используемым в предпринимательской деятельности, за исключением жилищ и других объектов, по которым налоговая база определяется в соответствии со статьей 600 настоящего Кодекса, и налог исчисляется налоговыми органами в соответствии со статьями 603 и 604 настоящего Кодекса;
7) физические лица - собственники квартиры (комнаты) по доле собственника квартиры (комнаты) в земельном участке, занятом многоквартирным жилым домом.
3. Положения подпунктов 1) - 5) пункта 2 настоящей статьи не применяются по объектам налогообложения, переданным в пользование или имущественный наем (аренду).
Статья 598. Определение налогоплательщика в отдельных случаях
1. При передаче государственным учреждением объектов налогообложения в доверительное управление налогоплательщик определяется в соответствии со статьей 67 настоящего Кодекса.
2. Если объект налогообложения находится в общей долевой собственности нескольких лиц, налогоплательщиком признается каждое из этих лиц.
3. Плательщиком налога по объектам налогообложения, находящимся в общей совместной собственности, может являться один из собственников данного объекта налогообложения по согласованию между ними.
При этом по объектам налогообложения, находящимся в общей совместной собственности, по которым государственная регистрация права собственности произведена, плательщиком налога может являться один из собственников данного объекта налогообложения, указанный собственниками в заявлении на осуществление государственной регистрации права собственности на такой объект.
4. В случае отсутствия идентификационных документов на земельный участок основаниями для признания пользователя плательщиком налога в отношении земельного участка являются фактическое владение и пользование таким участком на основании:
1) актов государственных органов о предоставлении земельного участка - при предоставлении земельного участка из государственной собственности;
2) гражданско-правовых сделок или иных оснований, предусмотренных законодательством Республики Казахстан, - в остальных случаях.
Статья 599. Объект налогообложения
Объектом обложения налогом на имущество физических лиц являются находящиеся на территории Республики Казахстан:
1) жилища, здания, дачные постройки, гаражи, парковочные места и иные строения, сооружения, помещения, принадлежащие им на праве собственности;
2) земельные участки, принадлежащие физическим лицам на праве собственности.
Статья 600. Налоговая база
1. По жилищам, дачным постройкам для физических лиц стоимость объектов налогообложения определяется Государственной корпорацией по состоянию на 1 января каждого года, следующего за налоговым периодом, в следующем порядке:
C = C б × S × К физ × К функц × К зон × К изм. мрп. × К роск, где:
С - стоимость имущества для целей налогообложения;
С б - базовая стоимость одного квадратного метра жилища, дачной постройки;
S - полезная площадь жилища, дачной постройки в квадратных метрах;
К физ - коэффициент физического износа;
К функц - коэффициент функционального износа;
К зон - коэффициент зонирования;
К изм. мрп - коэффициент изменения месячного расчетного показателя;
К роск. - коэффициент роскоши.
2. Базовая стоимость одного квадратного метра жилища, дачной постройки в национальной валюте (С б) определяется в зависимости от вида населенного пункта в следующих размерах:
|
№ п/п |
Категория населенного пункта |
Базовая стоимость в тенге |
|
1 |
2 |
3 |
|
|
Города: |
|
|
1. |
Алматы |
60 000 |
|
2. |
Шымкент |
60 000 |
|
3. |
Астана |
60 000 |
|
4. |
Актау |
36 000 |
|
5. |
Актобе |
36 000 |
|
6. |
Атырау |
36 000 |
|
7. |
Жезказган |
36 000 |
|
8. |
Кокшетау |
36 000 |
|
9. |
Караганда |
36 000 |
|
10. |
Қонаев |
36 000 |
|
11. |
Костанай |
36 000 |
|
12. |
Кызылорда |
36 000 |
|
13. |
Уральск |
36 000 |
|
14. |
Усть-Каменогорск |
36 000 |
|
15. |
Павлодар |
36 000 |
|
16. |
Петропавловск |
36 000 |
|
17. |
Семей |
36 000 |
|
18. |
Талдыкорган |
36 000 |
|
19. |
Тараз |
36 000 |
|
20. |
Туркестан |
36 000 |
|
21. |
Города областного значения |
12 000 |
|
22. |
Города районного значения |
6 000 |
|
23. |
Поселки |
4 200 |
|
24. |
Села |
2 700 |
При этом категории населенных пунктов определяются в соответствии с классификатором административно-территориальных объектов, утвержденным уполномоченным органом в области технического регулирования.
3. По кладовке, находящейся в многоквартирном жилом доме и используемой в личных целях, холодной пристройке, хозяйственной (служебной) постройке, цокольному этажу, подвалу жилища, гаражу, парковочному месту стоимость каждого такого объекта по состоянию на 1 января каждого года, следующего за налоговым периодом, определяется Государственной корпорацией по формуле:
C = C б × S × К физ × К изм. мрп × К зон, где:
С - стоимость для целей налогообложения;
С б - базовая стоимость одного квадратного метра, определенная в следующем размере от базовой стоимости, установленной пунктом 2 настоящей статьи:
по кладовке, находящейся в многоквартирном жилом доме и используемой в личных целях, холодной пристройке, хозяйственной (служебной) постройке, цокольному этажу, подвалу жилища - 25 процентов,
по гаражу, парковочному месту - 15 процентов;
S - общая площадь холодной пристройки, хозяйственной (служебной) постройки, цокольного этажа, подвала жилища, гаража в квадратных метрах;
К физ - коэффициент физического износа, установленный в порядке, определенном пунктом 4 настоящей статьи;
К изм. мрп - коэффициент изменения месячного расчетного показателя, определенный в порядке, установленном пунктом 7 настоящей статьи;
К зон - коэффициент зонирования, установленный в порядке, определенном пунктом 6 настоящей статьи.
4. Коэффициент физического износа жилища, дачной постройки определяется с учетом норм амортизации и эффективного возраста по формуле:
К физ = 1 - И физ, где:
И физ - физический износ жилища, дачной постройки.
Физический износ определяется по формуле:
И физ = (Т баз - Т ввода) × Н аморт/100, где:
Т баз - год начисления налога;
Т ввода - год ввода объекта налогообложения в эксплуатацию;
H аморт - норма амортизации.
В зависимости от характеристики здания при определении физического износа применяются следующие нормы амортизации:
|
№ п/п |
Группа капитальности |
Характеристика здания |
H аморт,% |
Срок службы |
|
1 |
2 |
3 |
4 |
5 |
|
1. |
1. |
Здания каменные, особо капитальные, стены кирпичные толщиной свыше 2,5 кирпича или кирпичные с железобетонным или металлическим каркасом, перекрытия железобетонные и бетонные; здания с крупнопанельными стенами, перекрытия железобетонные |
0,7 |
143 |
|
2. |
2. |
Здания с кирпичными стенами толщиной в 1,5-2,5 кирпича, перекрытия железобетонные, бетонные или деревянные; здания с крупноблочными стенами, перекрытия железобетонные |
0,8 |
125 |
|
3. |
3. |
Здания со стенами облегченной кладки из кирпича, монолитного шлакобетона, легких шлакоблоков, ракушечников, перекрытия железобетонные или бетонные; здания со стенами крупноблочными или облегченной кладки из кирпича, монолитного шлакобетона, мелких шлакоблоков |
1,0 |
100 |
|
4. |
4. |
Здания со стенами смешанными, деревянными рублеными или брусчатыми |
2,0 |
50 |
|
5. |
5. |
Здания сырцовые, сборно-щитовые, каркасно-засыпные, глинобитные, саманные |
3,3 |
30 |
|
6. |
6. |
Здания каркасно-камышитовые и другие облегченные |
6,6 |
15 |
Если физический износ каменного или из несущих панелей жилища, дачной постройки превышает 70 процентов, из иных материалов - 65 процентов, то коэффициент физического износа принимается равным 0,2.
5. Коэффициент функционального износа (К функц), учитывающий изменения требований к качеству жилища, дачной постройки, рассчитывается по формуле:
К функц = К этаж × К угл × К мат. ст × К благ × К отопл, где:
К этаж - коэффициент, учитывающий изменения базовой стоимости в зависимости от этажа расположения жилища;
К угл - коэффициент, учитывающий расположение жилища на угловых участках здания;
К мат. ст - коэффициент, учитывающий материал стен;
К благ - коэффициент, учитывающий уровень благоустроенности жилища, дачной постройки и обеспеченности его инженерно-техническими устройствами;
К отопл - коэффициент, учитывающий вид отопления.
В зависимости от этажности применяются следующие поправочные коэффициенты этажности (К этаж):
|
№ п/п |
Этаж |
К этаж |
|
1 |
2 |
3 |
|
1. |
Первый |
0,95 |
|
2. |
Промежуточный или индивидуальный жилой дом |
1,00 |
|
3. |
Последний |
0,9 |
Для многоквартирных жилых зданий высотой не более трех этажей для любого этажа коэффициент этажности принимается равным 1.
В зависимости от расположения жилища на угловых участках здания применяются следующие поправочные коэффициенты (К угл):
|
№ п/п |
Расположение жилища на угловых участках здания |
К угл |
|
1 |
2 |
3 |
|
1. |
Угловое |
0,95 |
|
2. |
Неугловое или индивидуальный жилой дом |
1,0 |
В зависимости от материала стен применяются следующие поправочные коэффициенты (К мат. ст):
|
№ п/п |
Материал стен |
Коэффициент |
|
1 |
2 |
3 |
|
1. |
Из кирпича |
1,1 |
|
2. |
Сборный из керамзитобетонных блоков |
1,0 |
|
3. |
Сборный из керамзитобетонных блоков, облицованный кирпичом |
1,05 |
|
4. |
Железобетонные панели |
1,0 |
|
5. |
Из железобетонных панелей, облицованных кирпичом |
1,05 |
|
6. |
Саманно-глинобитные |
0,5 |
|
7. |
Саманные, облицованные снаружи в 0,5 кирпича |
0,6 |
|
8. |
Монолитные шлакобетонные |
0,7 |
|
9. |
Из железобетонных блоков |
1,0 |
|
10. |
Сборно-щитовые |
0,6 |
|
11. |
Сборно-щитовые, облицованные в 0,5 кирпича |
0,75 |
|
12. |
Деревянные рубленые |
0,85 |
|
13. |
Шпальные |
0,75 |
|
14. |
Шпальные, облицованные кирпичом |
0,95 |
|
15. |
Каркасно-камышитовые |
0,6 |
|
16. |
Прочие |
1,0 |
При обеспечении жилища, дачной постройки всеми соответствующими инженерными системами и техническими устройствами поправочный коэффициент благоустройства (К благ) принимается равным 1.
В случае отсутствия инженерных систем и технических устройств, создающих нормативные либо комфортные условия проживания (быта), пребывания людей (водопровод, канализация, другие виды благоустройства), К благ принимается равным 0,8.
В зависимости от вида отопления применяются следующие поправочные коэффициенты отопления (К отопл):
|
№ п/п |
Вид отопления |
К отопл |
|
1 |
2 |
3 |
|
1. |
Центральное отопление |
1,0 |
|
2. |
Местное отопление на газе или мазуте |
0,98 |
|
3. |
Местное водяное отопление на твердом топливе |
0,95 |
|
4. |
Печное отопление |
0,9 |
6. Коэффициент зонирования (К зон), учитывающий месторасположение объекта налогообложения в населенном пункте, утверждается в соответствии с методикой расчета коэффициента зонирования местными исполнительными органами в срок не позднее 1 декабря года, предшествующего году введения такого коэффициента, и вводится в действие с 1 января года, следующего за годом его утверждения.
Утвержденные коэффициенты зонирования подлежат официальному опубликованию.
Методика расчета коэффициента зонирования утверждается уполномоченным государственным органом, определяемым решением Правительства Республики Казахстан из числа центральных государственных органов.
7. Коэффициент изменения месячного расчетного показателя (далее - К изм. мрп) определяется по формуле:
К изм. мрп = мрп тек. г. / мрп предыд. г.,
где:
мрп тек. г. - МРП, действующий на 1 января соответствующего финансового года;
мрп предыд. г. - МРП, действующий на 1 января предыдущего финансового года.
8. Коэффициент роскоши (К роск.) равен 1.
При этом по решению местного представительного органа коэффициент роскоши может быть увеличен не более, чем на 50% по жилищам.
Такое решение о повышении коэффициента роскоши принимается местным представительным органом не позднее 1 декабря года, предшествующего году его введения, и вводится в действие с 1 января года, следующего за годом его принятия.
9. В случае, когда холодная пристройка, хозяйственная (служебная) постройка, цокольный этаж, подвал жилого дома, гараж являются частью жилища, совокупная стоимость таких объектов налогообложения определяется Государственной корпорацией в соответствии с настоящей статьей.
10. По объектам налогообложения, находящимся в общей долевой собственности нескольких физических лиц, в налоговую базу каждого такого лица включается стоимость объекта налогообложения, исчисляемая пропорционально его доле в этом имуществе.
11. При изменении границ административно-территориальной единицы стоимость объектов налогообложения, находящихся в населенном пункте на территории, которая в результате такого изменения границ переведена в границы другой административно-территориальной единицы, за налоговый период, в котором произведено такое изменение, определяется исходя из базовой стоимости, установленной для категории населенного пункта, в границах которого находился данный населенный пункт до даты такого изменения.
12. По объектам налогообложения, указанным в подпункте 1) статьи 599 настоящего Кодекса, налоговой базой являются:
1) стоимость объекта налогообложения отдельно по каждому объекту - в случае, если у одного плательщика налога совокупная стоимость таких объектов налогообложения, имеющихся на 31 декабря налогового периода, меньше или равна предельному размеру стоимости;
2) совокупная стоимость таких объектов налогообложения, имеющихся на 31 декабря налогового периода, - в случае, если у одного налогоплательщика такая совокупная стоимость превышает предельный размер стоимости.
При этом для целей настоящей главы предельный размер стоимости составляет 450 000 000 тенге.
13. По земельным участкам, указанным в подпункте 2) статьи 599 настоящего Кодекса, налоговой базой является площадь земельного участка и (или) земельной доли.
Статья 601. Исчисление и уплата налога в отдельных случаях
По объектам обложения, используемым (подлежащим использованию) в предпринимательской деятельности (в деятельности, связанной с частной практикой), физическое лицо, в том числе лицо, занимающееся частной практикой, исчисляет и уплачивает налог на имущество и представляет налоговую отчетность по данному виду налога в порядке, определенном главами 64, 65 и 66 настоящего Кодекса для индивидуальных предпринимателей, применяющих специальный налоговый режим на основе упрощенной декларации.
Налоговая база по объектам обложения, указанным в подпункте 1) статьи 599 настоящего Кодекса, определяется в соответствии с пунктом 6 статьи 591 настоящего Кодекса.
При этом для целей настоящей главы объектами обложения, используемыми (подлежащими использованию) в предпринимательской деятельности, не признаются жилище и другие объекты, налоговая база по которым определяется в соответствии со статьей 600 настоящего Кодекса, и исчисление налога производится налоговыми органами, а также земельный участок, занятый таким жилищем и другими объектами, при соблюдении условий, что такие жилище и другие объекты предоставлены в аренду (пользование) исключительно для целей проживания и не выведены из жилого фонда.
Статья 602. Налоговые ставки и налоговый период
1. Налог на имущество физических лиц, налоговая база по которым определяется в соответствии с подпунктом 1) пункта 12 статьи 600 настоящего Кодекса, исчисляется в зависимости от стоимости объектов налогообложения по следующим ставкам:
|
1 |
2 |
3 |
|
1. |
до 2 000 000 тенге включительно |
0,05 процента от стоимости объектов налогообложения |
|
2. |
свыше 2 000 000 тенге до 4 000 000 тенге включительно |
1 000 тенге + 0,08 процента с суммы, превышающей 2 000 000 тенге |
|
3. |
свыше 4 000 000 тенге до 6 000 000 тенге включительно |
2 600 тенге + 0,1 процента с суммы, превышающей 4 000 000 тенге |
|
4. |
свыше 6 000 000 тенге до 8 000 000 тенге включительно |
4 600 тенге + 0,15 процента с суммы, превышающей 6 000 000 тенге |
|
5. |
свыше 8 000 000 тенге до 10 000 000 тенге включительно |
7 600 тенге + 0,2 процента с суммы, превышающей 8 000 000 тенге |
|
6. |
свыше 10 000 000 тенге до 12 000 000 тенге включительно |
11 600 тенге + 0,25 процента с суммы, превышающей 10 000 000 тенге |
|
7. |
свыше 12 000 000 тенге до 14 000 000 тенге включительно |
16 600 тенге + 0,3 процента с суммы, превышающей 12 000 000 тенге |
|
8. |
свыше 14 000 000 тенге до 16 000 000 тенге включительно |
22 600 тенге + 0,35 процента с суммы, превышающей 14 000 000 тенге |
|
9. |
свыше 16 000 000 тенге до 18 000 000 тенге включительно |
29 600 тенге + 0,4 процента с суммы, превышающей 16 000 000 тенге |
|
10. |
свыше 18 000 000 тенге до 20 000 000 тенге включительно |
37 600 тенге + 0,45 процента с суммы, превышающей 18 000 000 тенге |
|
11. |
свыше 20 000 000 тенге до 75 000 000 тенге включительно |
46 600 тенге + 0,5 процента с суммы, превышающей 20 000 000 тенге |
|
12. |
свыше 75 000 000 тенге до 100 000 000 тенге включительно |
321 600 тенге + 0,6 процента с суммы, превышающей 75 000 000 тенге |
|
13. |
свыше 100 000 000 тенге до 150 000 000 тенге включительно |
471 600 тенге + 0,65 процента с суммы, превышающей 100 000 000 тенге |
|
14. |
свыше 150 000 000 тенге до 350 000 000 тенге включительно |
796 600 тенге + 0,7 процента с суммы, превышающей 150 000 000 тенге |
|
15. |
свыше 350 000 000 тенге до 450 000 000 тенге включительно |
2 196 600 тенге + 0,75 процента с суммы, превышающей 350 000 000 тенге |
|
16. |
свыше 450 000 000 тенге |
2 946 600 тенге + 2 процента с суммы, превышающей 450 000 000 тенге |
Совокупная сумма налога на имущество физических лиц, налоговая база по которым определяется в соответствии с подпунктом 2) пункта 12 статьи 600 настоящего Кодекса, исчисляется по следующей ставке: 2 946 600 тенге + 2 процента с налоговой базы, превышающей предельный размер стоимости.
2. Базовые налоговые ставки на земли, занятые жилищным фондом, в том числе строениями и сооружениями при нем (за исключением придомовых участков), устанавливаются в расчете на один квадратный метр площади в следующих размерах:
|
№ п/п |
Категория населенного пункта |
Базовые налоговые ставки на земли, занятые жилищным фондом, в том числе строениями и сооружениями при нем (тенге) |
|
1 |
2 |
3 |
|
|
Города: |
|
|
1. |
Алматы |
0,96 |
|
2. |
Шымкент |
0,58 |
|
3. |
Астана |
0,96 |
|
4. |
Актау |
0,58 |
|
5. |
Актобе |
0,58 |
|
6. |
Атырау |
0,58 |
|
7. |
Жезказган |
0,58 |
|
8. |
Кокшетау |
0,58 |
|
9. |
Караганда |
0,58 |
|
10. |
Конаев |
0,58 |
|
11. |
Костанай |
0,58 |
|
12. |
Кызылорда |
0,58 |
|
13. |
Уральск |
0,58 |
|
14. |
Усть-Каменогорск |
0,58 |
|
15. |
Павлодар |
0,58 |
|
16. |
Петропавловск |
0,58 |
|
17. |
Семей |
0,58 |
|
18. |
Талдыкорган |
0,58 |
|
19. |
Тараз |
0,58 |
|
20. |
Туркестан |
0,39 |
|
21. |
Алматинская область: |
|
|
22. |
города областного значения |
0,39 |
|
23. |
города районного значения |
0,39 |
|
24. |
Акмолинская область: |
|
|
25. |
города областного значения |
0,39 |
|
26. |
города районного значения |
0,39 |
|
27. |
Остальные города областного значения |
0,39 |
|
28. |
Остальные города районного значения |
0,19 |
|
29. |
Поселки |
0,13 |
|
30. |
Села |
0,09 |
При этом категории населенных пунктов устанавливаются в соответствии с классификатором административно-территориальных объектов, утвержденным уполномоченным органом в области технического регулирования.
3. Придомовые земельные участки подлежат налогообложению по следующим базовым налоговым ставкам:
1) для городов республиканского значения, столицы и городов областного значения:
при площади до 1000 квадратных метров включительно - 0,20 тенге за 1 квадратный метр;
на площадь, превышающую 1000 квадратных метров, - 6,00 тенге за 1 квадратный метр.
По решению местных представительных органов ставки налога на земельные участки, превышающие 1000 квадратных метров, могут быть снижены с 6,00 до 0,20 тенге за 1 квадратный метр;
2) для остальных населенных пунктов:
при площади до 5000 квадратных метров включительно - 0,20 тенге за 1 квадратный метр;
на площадь, превышающую 5000 квадратных метров, - 1,00 тенге за 1 квадратный метр.
По решению местных представительных органов ставки налога на земельные участки, превышающие 5000 квадратных метров, могут быть снижены с 1,00 тенге до 0,20 тенге за 1 квадратный метр.
Придомовым земельным участком считается часть земельного участка, относящегося к землям населенных пунктов, предназначенная для обслуживания жилого дома (жилого здания) и не занятая жилым домом (жилым зданием), в том числе строениями и сооружениями при нем.
4. Базовые налоговые ставки на земли сельскохозяйственного назначения, а также земли населенных пунктов, предоставленные физическим лицам для ведения личного домашнего (подсобного) хозяйства, садоводства и дачного строительства, включая земли, занятые под соответствующие постройки, устанавливаются в следующих размерах:
1) при площади до 0,50 гектара включительно - 20 тенге за 0,01 гектара;
2) на площадь, превышающую 0,50 гектара, - 100 тенге за 0,01 гектара.
5. Земли населенных пунктов, за исключением земель, занятых жилищным фондом, в том числе строениями и сооружениями при нем, подлежат обложению по базовым ставкам на земли населенных пунктов, установленным в графе 3 таблицы статьи 577 настоящего Кодекса.
6. Местные представительные органы на основании проектов (схем) зонирования земель, проводимого в соответствии с земельным законодательством Республики Казахстан, имеют право понижать или повышать базовые налоговые ставки на земли, занятые жилищным фондом, в том числе строениями и сооружениями при нем, не более чем на 50 процентов от базовых ставок налога.
При этом запрещается понижение или повышение ставок индивидуально для отдельных налогоплательщиков.
Такое решение о понижении или повышении ставок принимается местным представительным органом не позднее 1 декабря года, предшествующего году его введения, и вводится в действие с 1 января года, следующего за годом его принятия.
Решение местного представительного органа о понижении или повышении ставок подлежит официальному опубликованию.
7. Налоговым периодом для исчисления налога на имущество физических лиц является календарный год с 1 января по 31 декабря.
При уничтожении, разрушении, сносе объектов налогообложения физических лиц в расчет налогового периода включается месяц, в котором произошел факт уничтожения, разрушения, сноса объектов налогообложения.
Статья 603. Порядок исчисления и уплаты налога
1. Исчисление налога физических лиц по объектам налогообложения, кроме указанных в статье 604 настоящего Кодекса, производится налоговыми органами не позднее 1 июля года, следующего за отчетным налоговым периодом, по месту нахождения объекта налогообложения независимо от места жительства налогоплательщика путем применения соответствующей ставки налога к налоговой базе с учетом фактического срока владения на праве собственности по объектам налогообложения физических лиц, права на которые были зарегистрированы до 1 января года, следующего за отчетным налоговым периодом.
2. Налог на имущество физических лиц включает суммы налогов, исчисленных отдельно по каждому объекту налогообложения, указанному в статье 599 настоящего Кодекса, за налоговый период.
3. Если в течение налогового периода объект налогообложения находится на праве собственности менее двенадцати месяцев, налог на имущество, подлежащий уплате по таким объектам, рассчитывается путем деления суммы налога, определенной в соответствии с пунктом 1 настоящей статьи, на двенадцать и умножения на количество месяцев фактического периода нахождения объекта налогообложения на праве собственности.
При этом фактический период нахождения объекта на праве собственности определяется с начала налогового периода (в случае, если объект находился на праве собственности на такую дату) или с 1 числа месяца, в котором возникло право собственности на объект, до 1 числа месяца, в котором было передано право собственности на такой объект, или до конца налогового периода (в случае, если объект находится на праве собственности на такую дату).
4. За объект налогообложения, находящийся в общей долевой собственности нескольких физических лиц, налог исчисляется пропорционально их доле в этом имуществе.
5. При уничтожении, разрушении, сносе объекта налогообложения перерасчет суммы налога производится при наличии документов, выдаваемых уполномоченным государственным органом, подтверждающих факт уничтожения, разрушения, сноса.
6. В случае возникновения или прекращения в течение налогового периода права на применение положений подпунктов 1) - 5) пункта 2 статьи 597 настоящего Кодекса такие положения:
при возникновении права - применяются с 1 числа месяца, в котором такое право возникло, до окончания налогового периода или до 1 числа месяца, в котором такое право прекращается;
при прекращении права - не применяются с 1 числа месяца, в котором такое право прекращается.
7. Если иное не установлено пунктом 8 настоящей статьи, уплата налога производится в бюджет по месту нахождения объектов обложения не позднее 1 октября года, следующего за отчетным налоговым периодом.
8. Сумма налога, подлежащая уплате за фактический период владения объектом налогообложения лицом, передающим право собственности, должна быть внесена в бюджет не позднее дня государственной регистрации права собственности.
При этом в целях исчисления налога на имущество физических лиц в случае, предусмотренном частью первой настоящего пункта, используется налоговая база, определенная за налоговый период, предшествующий году, в котором произведена передача права собственности на объект налогообложения.
9. При изменении границ административно-территориальной единицы налог на имущество физических лиц, находящееся в населенном пункте на территории, которая в результате такого изменения границ переведена в границы другой административно-территориальной единицы, за налоговый период, в котором произведено такое изменение, исчисляется исходя из базовой стоимости, установленной для категории населенного пункта, в границах которого находился данный населенный пункт до даты такого изменения.
10. При переводе в течение налогового года населенного пункта из одной категории поселений в другую налог на имущество по земельным участкам, принадлежащим физическим лицам на праве собственности, за налоговый период, в котором произведен такой перевод, исчисляется по ставкам, установленным для категории населенного пункта, к которой относился данный населенный пункт до такого перевода.
Статья 604. Порядок исчисления и уплаты налога при превышении предельного размера стоимости
1. Исчисление налога по объектам налогообложения физических лиц, предусмотренным подпунктом 1) статьи 599 настоящего Кодекса, налоговая база по которым превышает предельный размер стоимости, производится налоговыми органами не позднее 1 июля года, следующего за налоговым периодом.
Исчисление налога производится за налоговый период в следующем порядке:
1) определяется совокупная сумма налога плательщика налога по всем объектам налогообложения, имеющимся у него на праве собственности на 31 декабря налогового периода, путем применения соответствующей ставки налога к налоговой базе;
2) определяется сумма налога по каждому объекту налогообложения, включенному в налоговую базу, по следующей формуле: совокупная сумма налога * стоимость объекта налогообложения/налоговая база.
2. Уплата налога производится в бюджет по месту нахождения объектов налогообложения не позднее 1 октября года, следующего за налоговым периодом.
РАЗДЕЛ 13. НАЛОГ НА ИГОРНЫЙ БИЗНЕС
Глава 68. НАЛОГ НА ИГОРНЫЙ БИЗНЕС
Статья 605. Плательщики
Плательщиками налога на игорный бизнес являются юридические лица (организаторы игорного бизнеса), осуществляющие в сфере игорного бизнеса следующие виды деятельности:
1) казино;
2) зала игровых автоматов;
3) тотализатора;
4) букмекерской конторы.
Статья 606. Объекты налогообложения
Объектами обложения налогом на игорный бизнес при осуществлении деятельности в сфере игорного бизнеса являются:
1) игровой стол;
2) игровой автомат;
3) касса тотализатора;
4) электронная касса тотализатора;
5) касса букмекерской конторы;
6) электронная касса букмекерской конторы.
Статья 607. Ставки налога
1. Ставка налога на игорный бизнес с единицы объекта налогообложения составляет на:
1) игровой стол - 1 660-кратный размер месячного расчетного показателя в месяц;
2) игровой автомат - 60-кратный размер месячного расчетного показателя в месяц;
3) кассу тотализатора - 300-кратный размер месячного расчетного показателя в месяц;
4) электронную кассу тотализатора - 4 000-кратный размер месячного расчетного показателя в месяц;
5) кассу букмекерской конторы - 300-кратный размер месячного расчетного показателя в месяц;
6) электронную кассу букмекерской конторы - 3 000-кратный размер месячного расчетного показателя в месяц.
2. Ставки налога, установленные пунктом 1 настоящей статьи, определяются исходя из размера месячного расчетного показателя, действующего на 1 число налогового периода.
Статья 608. Налоговый период
Налоговым периодом для налога на игорный бизнес является календарный квартал.
Статья 609. Порядок исчисления налога
1. Исчисление налога на игорный бизнес производится путем применения соответствующей ставки налога к каждому объекту налогообложения, определенному статьей 606 настоящего Кодекса, если иное не установлено пунктом 2 настоящей статьи.
2. При вводе в эксплуатацию объектов налогообложения до 15 числа месяца включительно налог на игорный бизнес исчисляется по установленной ставке, после 15 числа - в размере 1/2 от установленной ставки.
При выбытии объектов налогообложения до 15 числа месяца включительно налог на игорный бизнес исчисляется в размере 1/2 от установленной ставки, после 15 числа - по установленной ставке.
Статья 610. Срок представления налоговой декларации
Декларация по налогу на игорный бизнес представляется не позднее 15 числа второго месяца, следующего за отчетным кварталом.
Декларация по налогу на игорный бизнес представляется в налоговый орган по месту регистрационного учета в качестве налогоплательщика, осуществляющего отдельные виды деятельности.
Статья 611. Срок уплаты налога
Налог на игорный бизнес подлежит уплате в бюджет по месту регистрации объекта налогообложения не позднее 25 числа второго месяца, следующего за отчетным налоговым периодом.
РАЗДЕЛ 14. ПЛАТЕЖИ В БЮДЖЕТ
Глава 69. СБОРЫ
Статья 612. Общие положения о сборах
1. Сборами являются разовые платежи в бюджет, которые взимаются налоговыми органами, местными исполнительными органами и другими уполномоченными государственными органами при совершении:
1) регистрационных действий;
2) действий по выдаче разрешительных документов или их дубликатов.
При этом для целей настоящей главы под разрешительными документами также подразумеваются согласия, выдаваемые уполномоченным органом по регулированию, контролю и надзору финансового рынка и финансовых организаций, и документ, подтверждающий резидентство иностранца или лица без гражданства, являющегося инвестиционным резидентом МФЦА, выдаваемый налоговыми органами в порядке и случаях, которые установлены законодательством Республики Казахстан, не относящиеся к разрешениям.
2. Для целей настоящей главы под регистрационными действиями подразумевается совершение уполномоченными государственными органами в порядке, определенном законодательством Республики Казахстан, следующих действий:
1) государственной регистрации юридических лиц и учетной регистрации филиалов и представительств, а также их перерегистрации;
2) государственной регистрации транспортных средств, а также их перерегистрации.
3. Сборы взимаются при выдаче соответствующими уполномоченными государственными органами, налоговыми органами, местными исполнительными органами в порядке, определенном законодательством Республики Казахстан, следующих документов или их дубликатов:
1) лицензий на занятие определенными видами деятельности, подлежащими лицензированию в соответствии с законодательством Республики Казахстан о разрешениях и уведомлениях;
2) разрешительных документов, выдаваемых за проезд автотранспортных средств по территории Республики Казахстан (далее - сбор за проезд автотранспортных средств по территории Республики Казахстан):
выезд с территории Республики Казахстан отечественных автотранспортных средств, осуществляющих перевозку пассажиров и грузов в международном сообщении;
въезд (выезд) на территорию (с территории) Республики Казахстан, транзит по территории Республики Казахстан иностранных автотранспортных средств, осуществляющих перевозку пассажиров и грузов в международном сообщении;
проезд отечественных и иностранных крупногабаритных и (или) тяжеловесных автотранспортных средств по территории Республики Казахстан;
3) разрешения на привлечение иностранной рабочей силы в Республику Казахстан (его продления);
4) документа, подтверждающего резидентство иностранца или лица без гражданства, являющегося инвестиционным резидентом МФЦА.
4. Уполномоченные государственные органы, осуществляющие соответствующие действия, при совершении которых предусмотрено взимание сбора, производят исчисление и начисление сумм сборов в соответствии с законодательством Республики Казахстан, а также несут ответственность за полноту взимания, своевременность уплаты исчисленных (начисленных) сборов в бюджет, а также за достоверность сведений, представляемых органам государственных доходов согласно пункту 5 настоящей статьи.
5. Уполномоченные государственные органы ежеквартально не позднее 20 числа месяца, следующего за отчетным кварталом, представляют налоговому органу по месту своего нахождения (до полной автоматизации передачи) сведения о плательщиках сбора и объектах обложения, за исключением случаев, предусмотренных статьей 54 настоящего Кодекса.
Статья 613. Плательщики сборов
1. Если иное не установлено настоящей статьей, плательщиками сборов являются лица, а также структурные подразделения юридических лиц, в интересах которых уполномоченные государственные органы совершают действия, при осуществлении которых предусмотрено взимание сборов.
2. Не являются плательщиками сбора за выдачу или продление разрешения на привлечение иностранной рабочей силы в Республику Казахстан лица, привлекающие иностранную рабочую силу, в случаях, определяемых законодательством Республики Казахстан о социальной защите и законодательством Республики Казахстан в области миграции населения.
Статья 614. Порядок исчисления и уплаты сборов
1. Суммы сборов исчисляются по установленным ставкам и уплачиваются по месту нахождения плательщика сборов до подачи соответствующих документов в уполномоченный государственный орган и местный исполнительный орган или до получения разрешительных документов.
2. В случае выявления факта проезда автотранспортного средства без оформления соответствующих разрешительных документов, а также с нарушением допустимых параметров автотранспортного средства, установленных уполномоченным государственным органом, осуществляющим руководство в области автомобильного транспорта, сумма сбора за проезд автотранспортного средства по территории Республики Казахстан уплачивается в бюджет в срок не позднее пяти рабочих дней со дня выявления такого факта.
3. Уплата в бюджет суммы сбора за проезд автотранспортных средств по территории Республики Казахстан производится путем перечисления через банковские организации либо путем внесения наличными деньгами на контрольно-пропускных пунктах либо в иных специально оборудованных местах уполномоченного государственного органа на основании бланков строгой отчетности по форме, установленной уполномоченным органом.
Принятые наличными деньгами суммы сбора за проезд автотранспортных средств по территории Республики Казахстан сдаются уполномоченным государственным органом, осуществляющим руководство в области автомобильного транспорта, в банки или организации, осуществляющие отдельные виды банковских операций, ежедневно не позднее следующего операционного дня со дня, в котором был осуществлен прием денег, для последующего зачисления их в бюджет. В случае, если ежедневные поступления наличных денег составляют менее 10-кратного размера месячного расчетного показателя, действующего на дату уплаты сбора, зачисление денег осуществляется один раз в три операционных дня со дня, в котором был осуществлен прием денег.
При уплате физическими лицами суммы сбора за проезд автотранспортных средств по территории Республики Казахстан наличными деньгами на бланках строгой отчетности проставляется бизнес-идентификационный номер уполномоченного государственного органа.
4. Сбор за выдачу или продление разрешения работодателям на привлечение иностранной рабочей силы в Республику Казахстан взимается в течение десяти рабочих дней со дня получения уведомления местного исполнительного органа области, города республиканского значения, столицы о принятии решения о выдаче либо продлении разрешения работодателям на привлечение иностранной рабочей силы в Республику Казахстан в порядке, определяемом законодательством Республики Казахстан о социальной защите и законодательством Республики Казахстан в области миграции населения.
5. Сбор за выдачу документа, подтверждающего резидентство иностранца или лица без гражданства, являющегося инвестиционным резидентом МФЦА, уплачивается по месту нахождения МФЦА до подачи соответствующих документов в налоговый орган.
Статья 615. Ставки регистрационных сборов
1. Ставки регистрационных сборов определяются в размере, кратном месячному расчетному показателю (далее по тексту настоящей главы - МРП), действующему на дату уплаты таких сборов.
2. Ставки сбора за государственную (учетную) регистрацию юридических лиц, их филиалов и представительств, за исключением коммерческих организаций, а также их перерегистрацию составляют:
|
№ п/п |
Виды регистрационных действий |
Ставки (МРП) |
|
1 |
2 |
3 |
|
1. |
За государственную регистрацию (перерегистрацию), государственную регистрацию прекращения деятельности юридических лиц (в том числе при реорганизации в случаях, предусмотренных законодательством Республики Казахстан), учетную регистрацию (перерегистрацию), снятие с учетной регистрации их филиалов и представительств, за исключением коммерческих организаций: |
|
|
1.1. |
юридических лиц, их филиалов и представительств |
6,5 |
|
1.2. |
политических партий, их филиалов и представительств |
14 |
|
2. |
За государственную регистрацию (перерегистрацию), государственную регистрацию прекращения деятельности (в том числе при реорганизации в случаях, предусмотренных законодательством Республики Казахстан) учреждений, финансируемых из средств бюджета, казенных предприятий, объединений собственников имущества многоквартирного жилого дома и кооператива собственников квартир (помещений), учетную регистрацию (перерегистрацию), снятие с учетной регистрации их филиалов и представительств: |
|
|
2.1. |
за государственную регистрацию, регистрацию прекращения деятельности, учетную регистрацию, снятие с учетной регистрации |
1 |
|
2.2. |
за перерегистрацию |
0,5 |
|
3. |
За государственную регистрацию (перерегистрацию), государственную регистрацию прекращения деятельности (в том числе при реорганизации в случаях, предусмотренных законодательством Республики Казахстан) детских и молодежных общественных объединений, а также общественных объединений лиц с инвалидностью и (или) созданных ими организаций, соответствующих условиям статьи 322 настоящего Кодекса, учетную регистрацию (перерегистрацию), снятие с учетной регистрации их филиалов и представительств, филиалов республиканских и региональных национально-культурных общественных объединений: |
|
|
3.1. |
за регистрацию (в том числе при реорганизации в случаях, предусмотренных законодательством Республики Казахстан |
2 |
|
3.2. |
за перерегистрацию, государственную регистрацию прекращения деятельности (в том числе при реорганизации в случаях, предусмотренных законодательством Республики Казахстан), снятие с учетной регистрации |
1 |
3. Ставки сбора за государственную регистрацию транспортных средств, а также их перерегистрацию составляют:
|
№ п/п |
Виды регистрационных действий |
Ставки (МРП) |
|
1 |
2 |
3 |
|
1. |
За государственную регистрацию: |
|
|
1.1. |
механического транспортного средства (кроме транспортного средства, в отношении которого производится первичная государственная регистрация) или прицепа |
0,25 |
|
1.2. |
морских судов |
60 |
|
1.3. |
речных судов |
15 |
|
1.4. |
судов маломерного флота: |
|
|
1.4.1. |
самоходных маломерных судов мощностью свыше 50 лошадиных сил (37 кВт) |
3 |
|
1.4.2. |
самоходных маломерных судов мощностью до 50 лошадиных сил (37 кВт) |
2 |
|
1.4.3. |
несамоходных маломерных судов |
1,5 |
|
1.5. |
городского рельсового транспорта |
0,25 |
|
1.6. |
железнодорожного тягового, а также моторвагонного подвижного состава |
0,25 |
|
2. |
За перерегистрацию: |
|
|
2.1. |
механического транспортного средства или прицепа |
0,25 |
|
2.2. |
морских судов |
30 |
|
2.3. |
речных судов |
7,5 |
|
2.4. |
судов маломерного флота: |
|
|
2.4.1. |
самоходных маломерных судов мощностью свыше 50 лошадиных сил (37 кВт) |
1,5 |
|
2.4.2. |
самоходных маломерных судов мощностью до 50 лошадиных сил (37 кВт) |
1 |
|
2.4.3. |
несамоходных маломерных судов |
0,75 |
|
2.5. |
городского рельсового транспорта |
0,25 |
|
2.6. |
железнодорожного тягового, а также моторвагонного подвижного состава |
0,25 |
|
3. |
За выдачу дубликата документа, удостоверяющего государственную регистрацию: |
|
|
3.1. |
механического транспортного средства или прицепа |
0,25 |
|
3.2. |
морских судов |
15 |
|
3.3. |
речных судов |
3,75 |
|
3.4. |
судов маломерного флота: |
|
|
3.4.1. |
самоходных маломерных судов мощностью свыше 50 лошадиных сил (37 кВт) |
0,75 |
|
3.4.2. |
самоходных маломерных судов мощностью до 50 лошадиных сил (37 кВт) |
0,5 |
|
3.4.3. |
несамоходных маломерных судов |
0,38 |
|
3.5. |
городского рельсового транспорта |
0,25 |
|
3.6. |
железнодорожного тягового, а также моторвагонного подвижного состава |
0,25 |
|
4. |
За первичную государственную регистрацию механических транспортных средств: |
|
|
4.1. |
транспортные средства категории М1 с электродвигателями, за исключением гибридных транспортных средств: |
|
|
4.1.1. |
до 2 лет, включая год выпуска |
0,25 |
|
4.1.2. |
от 2 до 3 лет, включая год выпуска |
25 |
|
4.1.3. |
от 3 лет и выше, включая год выпуска |
250 |
|
4.2. |
транспортные средства категории М1, за исключением транспортных средств с электродвигателями: |
|
|
4.2.1. |
до 2 лет, включая год выпуска |
0,25 |
|
4.2.2. |
от 2 до 3 лет, включая год выпуска |
50 |
|
4.2.3. |
от 3 лет и выше, включая год выпуска |
500 |
|
4.3. |
транспортные средства категории М2, М3, N1, N2, N3 (за исключением седельных тягачей): |
|
|
4.3.1. |
до 2 лет, включая год выпуска |
0,25 |
|
4.3.2. |
от 2 до 3 лет, включая год выпуска |
240 |
|
4.3.3. |
от 3 до 5 лет, включая год выпуска |
350 |
|
4.3.4. |
от 5 лет и выше, включая год выпуска |
2500 |
|
4.4. |
транспортные средства категории N3 (седельные тягачи): |
|
|
4.4.1. |
до 2 лет, включая год выпуска |
0,25 |
|
4.4.2. |
от 2 до 3 лет, включая год выпуска |
240 |
|
4.4.3. |
от 3 до 7 лет, включая год выпуска |
350 |
|
4.4.4. |
от 7 лет и выше, включая год выпуска |
2500 |
Статья 616. Ставки сборов за выдачу разрешительных документов
1. Ставки сборов за выдачу разрешительных документов определяются в размере, кратном МРП, действующему на дату уплаты таких сборов.
2. Ставки сбора за проезд автотранспортных средств по территории Республики Казахстан составляют:
1) за выезд с территории Республики Казахстан отечественных автотранспортных средств, осуществляющих перевозку:
пассажиров и грузов в международном сообщении, - 1-кратный размер МРП;
пассажиров и багажа в международном сообщении на регулярной основе с получением согласно международным договорам Республики Казахстан иностранного разрешения на один календарный год - 10-кратный размер МРП;
2) за въезд (выезд) на территорию (с территории) Республики Казахстан, транзит по территории Республики Казахстан иностранных автотранспортных средств, осуществляющих перевозку пассажиров и грузов в международном сообщении, - 30-кратный размер МРП;
3) за проезд отечественных и иностранных крупногабаритных и (или) тяжеловесных автотранспортных средств по территории Республики Казахстан - в размерах, установленных пунктом 3 настоящей статьи.
3. Ставки сбора за проезд отечественных и иностранных крупногабаритных и (или) тяжеловесных автотранспортных средств по территории Республики Казахстан составляют:
1) за превышение общей фактической массы автотранспортного средства (с грузом или без груза) над допускаемой общей массой - 0,005-кратный размер МРП за каждую тонну (включая неполную) превышения.
Сумма сбора за превышение общей фактической массы автотранспортного средства (с грузом или без груза) над допускаемой общей массой определяется путем умножения указанной ставки сбора на размер такого превышения и соответствующее расстояние перевозки по маршруту (в километрах);
2) за превышение фактических осевых нагрузок автотранспортного средства (с грузом или без груза) над допускаемыми осевыми нагрузками (за каждые перегруженные одиночные, сдвоенные и утроенные оси):
|
№ п/п |
Фактическое превышение над допускаемыми осевыми нагрузками, в % |
Тариф за превышение над допускаемыми осевыми нагрузками (МРП) |
|
1 |
2 |
3 |
|
1. |
до 10 % включительно |
0,011 |
|
2. |
от 10,0 % до 20,0 % включительно |
0,014 |
|
3. |
от 20,0 % до 30,0 % включительно |
0,190 |
|
4. |
от 30,0 % до 40,0 % включительно |
0,380 |
|
5. |
от 40,0 % до 50,0 % включительно |
0,500 |
|
6. |
свыше 50,0 % |
1 |
Сумма сбора определяется путем умножения ставки, соответствующей размеру фактического превышения над допускаемыми осевыми нагрузками, на расстояние перевозки по маршруту (в километрах);
3) за превышение габаритов автотранспортного средства (с грузом или без груза) над допустимыми габаритными параметрами по высоте, ширине и длине автотранспортных средств:
|
№ п/п |
Габаритные параметры автотранспортных средств, в метрах |
Ставки за превышение допустимых габаритных параметров (МРП) |
|
1 |
2 |
3 |
|
1. |
Высота: |
|
|
1.1. |
свыше 4 до 4,5 включительно |
0,009 |
|
1.2. |
свыше 4,5 до 5 включительно |
0,018 |
|
1.3. |
свыше 5 |
0,036 |
|
2. |
Ширина: |
|
|
2.1. |
свыше 2,55 (2,6 для изометрических кузовов) до 3 включительно |
0,009 |
|
2.2. |
свыше 3 до 3,75 включительно |
0,019 |
|
2.3. |
свыше 3,75 |
0,038 |
|
3. |
Длина: |
|
|
3.1. |
за каждый метр (включая неполный), превышающий допустимую длину |
0,004 |
Сумма сбора за превышение габаритов автотранспортного средства (с грузом или без груза) над допустимыми габаритными параметрами по высоте, ширине и длине автотранспортных средств определяется в следующем порядке:
сумма сбора за превышение габаритов автотранспортного средства (с грузом или без груза) над допустимыми габаритными параметрами по высоте, полученная путем умножения ставки, соответствующей фактическому габаритному размеру автотранспортного средства по высоте, на расстояние перевозки по маршруту (в километрах), плюс сумма сбора за превышение габаритов автотранспортного средства (с грузом или без груза) над допустимыми габаритными параметрами по ширине, полученная путем умножения ставки, соответствующей фактическому габаритному размеру автотранспортного средства по ширине, на расстояние перевозки по маршруту (в километрах), плюс сумма сбора за превышение габаритов автотранспортного средства (с грузом или без груза) над допустимыми габаритными параметрами по длине, полученная путем умножения ставки, соответствующей фактическому габаритному размеру автотранспортного средства по длине, на расстояние перевозки по маршруту (в километрах).
4. Ставки лицензионного сбора за право занятия отдельными видами деятельности (сбора за выдачу лицензий на занятие отдельными видами деятельности) составляют:
|
№ п/п |
Виды лицензируемой деятельности |
Ставки сбора (МРП) |
|
1 |
2 |
3 |
|
1. |
Ставки лицензионного сбора за право занятия отдельными видами деятельности: |
|
|
1.1. |
Эксплуатация горных и химических производств |
10 |
|
1.2. |
Покупка электрической энергии в целях энергоснабжения |
10 |
|
1.3. |
Выполнение работ, связанных с этапами жизненного цикла объектов использования атомной энергии |
100 |
|
1.4. |
Обращение с ядерными материалами |
50 |
|
1.5. |
Обращение с радиоактивными веществами, приборами и установками, содержащими радиоактивные вещества |
10 |
|
1.6. |
Обращение с приборами и установками, генерирующими ионизирующее излучение |
5 |
|
1.7. |
Предоставление услуг в области использования атомной энергии |
5 |
|
1.8. |
Обращение с радиоактивными отходами |
50 |
|
1.9. |
Транспортировка, включая транзитную, ядерных материалов, радиоактивных веществ, радиоизотопных источников ионизирующего излучения, радиоактивных отходов в пределах территории Республики Казахстан |
50 |
|
1.10. |
Деятельность на территориях бывших испытательных ядерных полигонов и других территориях, загрязненных в результате проведенных ядерных испытаний |
10 |
|
1.11. |
Производство, переработка, приобретение, хранение, реализация, использование, уничтожение ядов |
10 |
|
1.12. |
Производство (формуляция) пестицидов, реализация пестицидов, применение пестицидов аэрозольным и фумигационным способами |
10 |
|
1.13. |
Нерегулярная перевозка пассажиров автобусами, микроавтобусами в междугородном межобластном, межрайонном (междугородном внутриобластном) и международном сообщениях, а также регулярная перевозка пассажиров автобусами, микроавтобусами в международном сообщении |
3 |
|
1.14. |
Деятельность по перевозке грузов железнодорожным транспортом |
6 |
|
1.15. |
Деятельность, связанная с оборотом наркотических средств, психотропных веществ и прекурсоров |
20 |
|
1.16. |
Разработка и реализация (в том числе иная передача) средств криптографической защиты информации |
9 |
|
1.17. |
Разработка, производство, ремонт и реализация специальных технических средств, предназначенных для проведения оперативно-розыскных мероприятий |
20 |
|
1.18. |
Оказание услуг по выявлению технических каналов утечки информации и специальных технических средств, предназначенных для проведения оперативно-розыскных мероприятий |
20 |
|
1.19. |
Выдача заключения (разрешительного документа) на ввоз на таможенную территорию ЕАЭС и вывоз с таможенной территории ЕАЭС специальных технических средств, предназначенных для негласного получения информации |
0 |
|
1.20. |
Выдача заключения (разрешительного документа) на ввоз на таможенную территорию ЕАЭС и вывоз с таможенной территории ЕАЭС шифровальных (криптографических) средств |
0 |
|
1.21. |
Проведение технического исследования на предмет отнесения товаров к средствам криптографической защиты информации и специальным техническим средствам, предназначенным для проведения оперативно-розыскных мероприятий |
0 |
|
1.22. |
Регистрация нотификаций о характеристиках товаров (продукции), содержащих шифровальные (криптографические) средства |
0 |
|
1.23. |
Разработка, производство, ремонт, приобретение и реализация боеприпасов, вооружения и военной техники, запасных частей, комплектующих изделий и приборов к ним, а также специальных материалов и оборудования для их производства, включая монтаж, наладку, модернизацию, установку, использование, хранение, ремонт и сервисное обслуживание |
22 |
|
1.24. |
Разработка, производство, приобретение, реализация, хранение взрывчатых и пиротехнических (за исключением гражданских) веществ и изделий с их применением |
22 |
|
1.25. |
Ликвидация (уничтожение, утилизация, захоронение) и переработка высвобождаемых боеприпасов, вооружения, военной техники, специальных средств |
22 |
|
1.26. |
Разработка, производство, ремонт, торговля, коллекционирование, экспонирование гражданского и служебного оружия и патронов к нему |
10 |
|
1.27. |
Разработка, производство, торговля, использование гражданских пиротехнических веществ и изделий с их применением |
10 |
|
1.28. |
Деятельность в сфере использования космического пространства |
186 |
|
1.29. |
Предоставление услуг в области связи |
6 |
|
1.30. |
Образовательная деятельность |
10 |
|
1.31. |
Деятельность по распространению теле-, радиоканалов |
6 |
|
1.32. |
Медицинская деятельность |
10 |
|
1.33. |
Фармацевтическая деятельность |
10 |
|
1.34. |
Адвокатская деятельность |
6 |
|
1.35. |
Нотариальная деятельность |
6 |
|
1.36. |
Деятельность по исполнению исполнительных документов |
6 |
|
1.37. |
Аудиторская деятельность |
10 |
|
1.38. |
Выполнение работ и оказание услуг в области охраны окружающей среды |
50 |
|
1.39. |
Осуществление охранной деятельности юридическими лицами |
6 |
|
1.40. |
Туроператорская деятельность |
10 |
|
1.41. |
Деятельность в области ветеринарии |
6 |
|
1.42. |
Судебно-экспертная деятельность |
6 |
|
1.43. |
Осуществление научно-реставрационных работ на памятниках истории и культуры и (или) археологических работ |
10 |
|
1.44. |
Банковские операции, осуществляемые*: |
|
|
1.44.1. |
банками второго уровня, филиалами банков - нерезидентов Республики Казахстан |
800 |
|
1.44.2. |
организациями, осуществляющими отдельные виды банковских операций |
400 |
|
1.45. |
Операции банков, филиалов банков - нерезидентов Республики Казахстан по осуществлению профессиональной деятельности на рынке ценных бумаг |
800 |
|
1.46. |
Иные операции, осуществляемые банками, филиалами банков - нерезидентов Республики Казахстан |
800 |
|
1.46.1. |
Микрофинансовая деятельность |
30 |
|
1.47. |
Операции юридических лиц, осуществляющих деятельность исключительно через обменные пункты на основании лицензии Национального Банка на обменные операции с наличной иностранной валютой |
40 |
|
1.48. |
Деятельность в сфере страхования жизни** |
500 |
|
1.49. |
Деятельность в сфере общего страхования* |
500 |
|
1.50. |
Деятельность по перестрахованию как исключительный вид деятельности |
500 |
|
1.51. |
Деятельность по перестрахованию |
200 |
|
1.52. |
Деятельность страхового брокера |
300 |
|
1.53. |
Актуарная деятельность |
10 |
|
1.54. |
Брокерская деятельность |
30 |
|
1.55. |
Дилерская деятельность |
30 |
|
1.56. |
Деятельность по управлению инвестиционным портфелем |
30 |
|
1.57. |
Кастодиальная деятельность |
30 |
|
1.58. |
Трансферагентская деятельность |
10 |
|
1.59. |
Деятельность по организации торговли с ценными бумагами и иными финансовыми инструментами |
10 |
|
1.60. |
Клиринговая деятельность по сделкам с финансовыми инструментами |
40 |
|
1.61. |
Изыскательская деятельность |
10 |
|
1.62. |
Строительно-монтажные работы |
10 |
|
1.63. |
Проектная деятельность |
10 |
|
1.64. |
Деятельность по организации строительства жилых зданий за счет привлечения денег дольщиков |
10 |
|
1.65. |
Изготовление Государственного Флага Республики Казахстан и Государственного Герба Республики Казахстан |
10 |
|
1.66. |
Производство этилового спирта |
3 000 |
|
1.67. |
Производство алкогольной продукции, кроме пивоваренной продукции |
3 000 |
|
1.68. |
Производство пивоваренной продукции |
2 000 |
|
1.69. |
Хранение и оптовая реализация алкогольной продукции, за исключением деятельности по хранению и оптовой реализации алкогольной продукции на территории ее производства, за каждый объект деятельности |
200 |
|
1.70. |
Хранение и розничная реализация алкогольной продукции, за исключением деятельности по хранению и розничной реализации алкогольной продукции на территории ее производства, за каждый объект деятельности для субъектов, осуществляющих деятельность: |
|
|
1.70.1. |
в столице, городах республиканского и областного значения |
100 |
|
1.70.2. |
в городах районного значения и поселках |
70 |
|
1.70.3. |
в сельских населенных пунктах |
30 |
|
1.71. |
Производство табачных изделий |
500 |
|
1.72. |
Экспорт и импорт товаров |
10 |
|
1.73. |
Экспорт и импорт продукции, подлежащей экспортному контролю |
10 |
|
1.74. |
Оказание услуг по складской деятельности с выпуском зерновых расписок |
10 |
|
1.75. |
Деятельность в сфере игорного бизнеса: |
|
|
1.75.1. |
для казино и зала игровых автоматов |
3 845 |
|
1.75.2. |
для тотализатора и букмекерской конторы |
640 |
|
1.76. |
Деятельность в сфере товарных бирж: |
|
|
1.76.1. |
для товарной биржи |
10 |
|
1.77. |
Оказание услуг по дезинфекции, дезинсекции и дератизации в области здравоохранения |
10 |
|
1.78. |
I подвид - осуществление деятельности по цифровому майнингу цифровым майнером, имеющим на праве собственности или других законных основаниях центр обработки данных цифрового майнинга |
2 000 |
|
1.79. |
II подвид - осуществление деятельности по цифровому майнингу цифровым майнером, не имеющим на праве собственности или других законных основаниях центр обработки данных цифрового майнинга и осуществляющим цифровой майнинг с использованием принадлежащего ему на праве собственности аппаратно-программного комплекса для цифрового майнинга, размещенного в центре обработки данных цифрового майнинга |
5 |
|
2. |
Ставки сбора за выдачу дубликата лицензии: |
|
|
2.1. |
на все виды деятельности, за исключением указанных в пунктах 1.45. - 1.47.1., 1.49. - 1.53., 1.67. - 1.74. |
100 % от соответствующей ставки, установленной в пункте 1 настоящей таблицы |
|
2.2. |
на виды деятельности, указанные в пунктах 1.45. - 1.47.1., 1.49. - 1.53. |
10 % от соответствующей ставки, установленной в пункте 1 настоящей таблицы |
|
2.3. |
на виды деятельности, указанные в пунктах 1.67. - 1.74. |
1 |
|
3. |
Ставки за переоформление лицензий: |
|
|
3.1. |
за все виды лицензий, за исключением переоформления лицензии на экспорт и импорт товаров, а также на экспорт и импорт продукции, подлежащей экспортному контролю |
10% от соответствующей ставки, установленной в пункте 1 настоящей таблицы |
|
3.2. |
за переоформление лицензии на экспорт и импорт товаров, а также на экспорт и импорт продукции, подлежащей экспортному контролю |
1 |
Примечание.
* За каждую банковскую операцию; ** за каждый класс страхования.
5. Ставки лицензионного сбора за выдачу лицензии, связанной с правом занятия отдельными подвидами деятельности в сфере углеводородов, составляют:
|
№ п/п |
Подвиды лицензируемой деятельности |
Ставки сбора (МРП) |
|
1 |
2 |
3 |
|
1. |
Ставки лицензионного сбора за право занятия отдельными подвидами деятельности: |
|
|
1.1. |
промысловые исследования при разведке и добыче углеводородов |
100 |
|
1.2. |
сейсморазведочные работы при разведке и добыче углеводородов |
100 |
|
1.3. |
геофизические работы при разведке и добыче углеводородов |
100 |
|
1.4. |
прострелочно-взрывные работы в скважинах при разведке и добыче углеводородов |
100 |
|
1.5. |
бурение скважин на суше, на море и на внутренних водоемах при разведке и добыче углеводородов |
100 |
|
1.6. |
подземный ремонт, испытание, освоение, опробование, консервация, ликвидация скважин при разведке и добыче углеводородов |
100 |
|
1.7. |
цементация скважин при разведке и добыче углеводородов |
100 |
|
1.8. |
повышение нефтеотдачи нефтяных пластов и увеличение производительности скважин при разведке и добыче углеводородов |
100 |
|
1.9. |
работы по предотвращению и ликвидации разливов на месторождениях углеводородов на море |
100 |
|
1.10. |
эксплуатация нефтегазохимических производств |
100 |
|
1.11. |
составление базовых проектных документов для месторождений углеводородов и анализ разработки месторождений углеводородов |
100 |
|
1.12. |
составление технических проектных документов для месторождений углеводородов |
100 |
|
1.13. |
эксплуатация магистральных трубопроводов |
100 |
|
2. |
ставка за переоформление лицензий на подвиды деятельности, указанные в пунктах 1.1 - 1.13 (при электронной подаче заявления на получение лицензии) |
8% от ставки при выдаче лицензии |
|
3. |
ставка сбора за выдачу дубликата лицензии (при электронной подаче заявления на получение лицензии) |
80% от ставки при выдаче лицензии |
6. Ставки сбора за выдачу или продление разрешения на привлечение иностранной рабочей силы в Республику Казахстан устанавливаются Правительством Республики Казахстан.
7. Ставка сбора за выдачу документа, подтверждающего резидентство иностранца или лица без гражданства, являющегося инвестиционным резидентом МФЦА, составляет 7000 МРП.
Глава 70. ПЛАТЫ
Параграф 1. Плата за пользование земельными участками
Статья 617. Общие положения
1. Плата за пользование земельными участками (далее в целях настоящего параграфа - плата) взимается за предоставление государством:
земельного участка во временное возмездное землепользование (аренду);
участка недр в соответствии с законодательством Республики Казахстан о недрах и недропользовании на основании лицензии на разведку или добычу твердых полезных ископаемых.
2. Порядок предоставления земельных участков и участков недр устанавливается Земельным кодексом Республики Казахстан и законодательством Республики Казахстан о недрах и недропользовании.
3. Уполномоченные государственные органы по земельным отношениям, а на территориях специальных экономических зон - местные исполнительные органы или управляющие компании специальных экономических зон ежеквартально в срок не позднее 15 числа месяца, следующего за отчетным кварталом, представляют налоговым органам по месту своего нахождения сведения о плательщиках платы, объектах обложения и периодах, на которые предоставлены земельные участки во временное возмездное землепользование (аренду).
4. Уполномоченные государственные органы по предоставлению права недропользования ежеквартально в срок не позднее 15 числа месяца, следующего за отчетным кварталом, представляют налоговым органам по месту нахождения плательщиков платы сведения о плательщиках платы, объектах обложения, периоде действия лицензии на разведку или добычу твердых полезных ископаемых, идентифицирующих координатах блоков и их индивидуальных кодах.
Статья 618. Плательщики платы
1. Плательщиками платы являются лица, получившие:
земельный участок во временное возмездное землепользование (аренду);
участок недр на основании лицензии на разведку или добычу твердых полезных ископаемых.
2. Юридическое лицо своим решением вправе признать самостоятельным плательщиком платы свое структурное подразделение.
Решение юридического лица или отмена такого решения вводится в действие с 1 января года, следующего за годом принятия такого решения.
В случае если юридическое лицо своим решением признало самостоятельным плательщиком платы вновь созданное структурное подразделение юридического лица, то такое решение вводится в действие со дня создания данного структурного подразделения или с 1 января года, следующего за годом создания данного структурного подразделения.
Положения настоящего пункта не распространяются на налогоплательщиков, получивших участок недр на основании лицензии на разведку или добычу твердых полезных ископаемых.
3. Не являются плательщиками платы:
налогоплательщики, применяющие специальный налоговый режим для крестьянских или фермерских хозяйств, - по земельным участкам, используемым в деятельности, на которую распространяется данный специальный налоговый режим;
концессионер - по земельным участкам, предоставленным в целях реализации договора концессии, заключенного в соответствии с законодательством Республики Казахстан, в течение срока, указанного в договоре концессии, но не более пяти лет со дня принятия решения местным исполнительным органом о предоставлении права временного возмездного землепользования.
Статья 619. Объект обложения
Объектом обложения является:
земельный участок, предоставляемый государством во временное возмездное землепользование (аренду);
участок недр на основании лицензии на разведку или добычу твердых полезных ископаемых.
Статья 620. Налоговый период
Налоговый период определяется в соответствии со статьей 358 настоящего Кодекса.
Статья 621. Ставки платы
1. По участку недр, предоставленному на основании лицензии на разведку или добычу твердых полезных ископаемых, ставки платы определяются исходя из размера МРП, действующего на 1 число налогового периода, и составляют:
|
№ |
Период |
Ставки платы (МРП) |
|
1 |
2 |
3 |
|
1. |
с 1 по 36 месяцы действия лицензии на разведку, за 1 блок |
15, если количество блоков менее 70; 30, если количество блоков от 70 до 120; 40, если количество блоков от 120 и больше |
|
2. |
с 37 по 60 месяцы действия лицензии на разведку, за 1 блок |
23, если количество блоков менее 60; 50, если количество блоков от 60 до 100; 60, если количество блоков от 100 и больше |
|
3. |
с 61 по 84 месяцы действия лицензии на разведку, за 1 блок |
32, если количество блоков менее 50; 60, если количество блоков от 50 до 100; 80, если количество блоков от 100 и больше |
|
4. |
с 85 месяца действия лицензии на разведку и далее, за 1 блок |
60, если количество блоков менее 30; 80, если количество блоков от 30 до 80; 100, если количество блоков от 80 и больше |
|
5. |
с 1 месяца действия лицензии на добычу и далее, за 1 км2 |
450 |
Для целей настоящей главы блок означает территорию, на которую в соответствии с законодательством Республики Казахстан о недрах и недропользовании выдана лицензия на разведку или добычу твердых полезных ископаемых. Каждый блок имеет идентифицирующие его координаты и индивидуальный код, присваиваемый ему уполномоченным органом по изучению недр.
2. По остальным земельным участкам ставки платы определяются в соответствии с земельным законодательством Республики Казахстан. При этом ставки платы устанавливаются не ниже размеров ставок земельного налога без учета положений, предусмотренных пунктами 2 и 3 статьи 582 настоящего Кодекса.
Статья 622. Порядок исчисления и уплаты платы по земельным участкам в отдельных случаях
1. Сумма платы по земельным участкам, полученным во временное возмездное землепользование (аренду), исчисляется на основании договоров временного возмездного землепользования, заключенных с уполномоченным органом по земельным отношениям, а на территории специальной экономической зоны - с местным исполнительным органом или управляющей компанией специальной экономической зоны.
Ежегодные суммы платы по земельным участкам, полученным во временное возмездное землепользование (аренду), устанавливаются в расчетах, составляемых уполномоченными органами по земельным отношениям, а на территориях специальных экономических зон - местными исполнительными органами или администрациями специальных экономических зон.
Расчеты суммы платы по земельным участкам, полученным во временное возмездное землепользование (аренду), пересматриваются уполномоченными органами по земельным отношениям, а на территориях специальных экономических зон -местными исполнительными органами или администрациями специальных экономических зон в случаях изменения условий договоров, а также порядка исчисления земельного налога, установленного настоящим Кодексом, влекущих изменение сумм земельного налога.
2. Размер платы по земельным участкам, полученным во временное возмездное землепользование (аренду), подлежащей уплате за налоговый период, определяется исходя из ставок платы, установленных в расчетах, указанных в пункте 1 настоящей статьи, и фактического срока пользования земельным участком в налоговом периоде.
При этом фактический срок пользования земельным участком определяется с начала налогового периода (в случае, если земельный участок находился на праве первичного возмездного землепользования на дату начала налогового периода) или с 1 числа месяца, в котором возникло такое право на земельный участок, до 1 числа месяца, в котором было прекращено такое право, или до конца налогового периода (в случае, если земельный участок находился на таком праве на дату окончания налогового периода).
3. Размер платы по земельным участкам, полученным во временное возмездное землепользование (аренду), устанавливается не ниже размера суммы земельного налога, рассчитанного по таким земельным участкам в соответствии с настоящим Кодексом.
По физическим лицам размер платы по земельным участкам, указанным в подпункте 2) статьи 599 настоящего Кодекса, полученным во временное возмездное землепользование (аренду), устанавливается не ниже размера суммы налога на имущество физических лиц, рассчитанного по таким земельным участкам в соответствии с настоящим Кодексом.
4. Плательщики платы уплачивают в бюджет сумму платы равными долями не позднее 25 февраля, 25 мая, 25 августа и 25 ноября текущего года, если иное не установлено пунктами 5 и 6 настоящей статьи.
В случае предоставления государством земельных участков во временное возмездное землепользование после одного из вышеперечисленных сроков уплаты платы первым сроком внесения в бюджет платы является следующий очередной срок уплаты.
5. Физические лица по земельным участкам, полученным в возмездное землепользование и не используемым (не подлежащим использованию) в предпринимательской деятельности, уплачивают суммы платы не позднее 25 февраля.
В случае заключения договора временного возмездного землепользования после установленного частью первой настоящего пункта срока уплата платы физическим лицом за налоговый период, в котором заключен такой договор, производится не позднее 25 числа месяца, следующего за месяцем заключения такого договора.
6. В случае истечения срока действия договора временного возмездного землепользования или его расторжения до окончания налогового периода внесению в бюджет подлежит сумма платы по земельным участкам, полученным во временное возмездное землепользование (аренду), за фактический период землепользования в таком году не позднее 25 числа месяца, следующего за месяцем, в котором истек срок действия договора или расторгнут такой договор.
7. Сумма платы уплачивается в бюджет по месту нахождения земельного участка - по плате, исчисленной по земельному участку, предоставленному во временное возмездное землепользование (аренду).
8. Организации, осуществляющие деятельность на территориях специальных экономических зон, а также управляющие компании специальных экономических и индустриальных зон исчисляют плату за пользование земельными участками с учетом положений, установленных главой 80 настоящего Кодекса.
9. По земельным участкам, предназначенным для строительства объектов и не используемым в соответствующих целях или используемым с нарушением законодательства Республики Казахстан, за исключением земельных участков населенных пунктов, указанных в строках 27 - 30 таблицы статьи 577 настоящего Кодекса, сумма платы по земельным участкам, полученным во временное возмездное землепользование (аренду), исчисленная на основании договоров временного возмездного землепользования, заключенных с уполномоченным органом по земельным отношениям, а на территории специальной экономической зоны - с местным исполнительным органом или управляющей компанией специальной экономической зоны, увеличивается в десять раз с даты вручения территориальным подразделением по управлению земельными ресурсами областей, городов республиканского значения, столицы ведомства центрального уполномоченного органа, осуществляющего государственный контроль за использованием и охраной земель, предписания землепользователю о необходимости использования земельного участка по назначению и (или) устранения нарушения законодательства Республики Казахстан.
Порядок выявления земельных участков, не используемых в соответствующих целях или используемых с нарушением законодательства Республики Казахстан, для целей части первой настоящего пункта и пункта 10 настоящей статьи определяется центральным уполномоченным органом по управлению земельными ресурсами по согласованию с уполномоченным органом.
Положения настоящего пункта не распространяются на организацию, специализирующуюся на улучшении качества кредитных портфелей банков второго уровня, единственным акционером которой является Правительство Республики Казахстан, и на ее дочерние компании, если право землепользования не превышает трех лет.
10. По земельным участкам сельскохозяйственного назначения, не используемым по назначению или используемым с нарушением законодательства Республики Казахстан, сумма платы по земельным участкам, полученным во временное возмездное землепользование (аренду), исчисленная на основании договоров временного возмездного землепользования, заключенных с уполномоченным органом по земельным отношениям, а на территории специальной экономической зоны - с местным исполнительным органом или управляющей компанией специальной экономической зоны, увеличивается в сорок раз с даты вручения землепользователю письменного предписания об устранении нарушений требований земельного законодательства Республики Казахстан территориальным подразделением по управлению земельными ресурсами областей, городов республиканского значения, столицы ведомства центрального уполномоченного органа, осуществляющего государственный контроль за использованием и охраной земель.
Положения настоящего пункта не распространяются на организацию, специализирующуюся на улучшении качества кредитных портфелей банков второго уровня, единственным акционером которой является Правительство Республики Казахстан, и на ее дочерние компании, если право землепользования не превышает пяти лет.
11. Территориальные подразделения по управлению земельными ресурсами областей, городов республиканского значения, столицы ведомства центрального уполномоченного органа, осуществляющего государственный контроль за использованием и охраной земель, представляют в налоговые органы сведения по земельным участкам, указанным в пунктах 9 и 10 настоящей статьи.
12. По земельным участкам, указанным в пункта 9 и 10 настоящей статьи, сведения по которым представляются территориальным подразделением по управлению земельными ресурсами областей, городов республиканского значения, столицы ведомства центрального уполномоченного органа, осуществляющего государственный контроль за использованием и охраной земель, плата исчисляется налоговыми органами исходя из установленных ставок с направлением налогоплательщику уведомления о сумме налогов и (или) плат, исчисленных налоговым органом.
Статья 623. Порядок исчисления и уплаты платы за участки недр в соответствии с законодательством Республики Казахстан о недрах и недропользовании на основании лицензии на разведку или добычу твердых полезных ископаемых
1. Недропользователи по участку недр, предоставленному на основании лицензии на разведку или добычу твердых полезных ископаемых, уплачивают годовую сумму платы не позднее 25 февраля отчетного налогового периода - в случае действия лицензии по состоянию на 1 января отчетного года и до его окончания или при получении лицензии до 1 февраля отчетного года включительно - в размере годовой суммы платы, определяемой по ставкам, установленным пунктом 1 статьи 621 настоящего Кодекса.
2. В случае если по состоянию на 1 февраля отчетного налогового периода известно, что срок действия лицензии на разведку или добычу твердых полезных ископаемых истекает в текущем налоговом периоде, то в срок не позднее 25 февраля отчетного налогового периода должна быть произведена уплата платы за фактический период действия такой лицензии, исчисленной в соответствии с пунктом 3 настоящей статьи.
3. В случае получения лицензии на разведку или добычу твердых полезных ископаемых после 1 февраля отчетного налогового периода или прекращения действия лицензии в течение отчетного налогового периода сумма платы определяется недропользователем исходя из ставок платы, установленных пунктом 1 статьи 621 настоящего Кодекса, и фактического периода действия в отчетном налоговом периоде такой лицензии.
При этом фактический период действия лицензии определяется с начала налогового периода (в случае, если такая лицензия действовала на дату начала налогового периода) или с 1 числа месяца, в котором начала действовать такая лицензия, до 1 числа месяца, в котором было прекращено действие такой лицензии, или до конца налогового периода (в случае, если такая лицензия действовала на дату окончания налогового периода).
4. В случае получения или прекращения действия лицензии на разведку или добычу твердых полезных ископаемых после 1 февраля отчетного налогового периода сумма платы за фактический период действия такой лицензии подлежит внесению в бюджет в срок не позднее 25 числа второго месяца квартала, следующего за кварталом, в котором истек срок действия лицензии.
5. Сумма платы уплачивается в бюджет по месту нахождения участка недр - по плате по участку недр, предоставленному на основании лицензии на разведку или добычу твердых полезных ископаемых.
Статья 624. Налоговая отчетность
1. Плательщики платы, за исключением физических лиц, не являющихся индивидуальными предпринимателями, а также индивидуальных предпринимателей по земельным участкам, занятым объектами налогообложения, налоговая база по налогу на имущество по которым исчисляется в соответствии со статьей 600 настоящего Кодекса, и (или) выделенным под индивидуальное жилищное строительство, представляют расчет сумм текущих платежей в налоговые органы:
1) по месту нахождения земельного участка - по плате, исчисленной по земельному участку, предоставленному во временное возмездное землепользование (аренду);
2) по месту нахождения участка недр - по плате по участку недр, предоставленному недропользователю на основании лицензии на разведку или добычу твердых полезных ископаемых.
2. Расчет сумм текущих платежей представляется плательщиками платы не позднее 20 февраля отчетного налогового периода.
3. Лица, заключившие договор о временном возмездном землепользовании или получившие лицензию на разведку или добычу твердых полезных ископаемых после 20 февраля отчетного налогового периода, представляют расчет сумм текущих платежей не позднее 20 числа месяца, следующего за месяцем заключения договора или получения лицензии.
4. При расторжении с местным исполнительным органом или с администрацией специальной экономической зоны договора о временном землепользовании или прекращении действия лицензии на разведку или добычу твердых полезных ископаемых после 20 февраля отчетного налогового периода представляется дополнительный расчет сумм текущих платежей не позднее десяти календарных дней со дня окончания срока действия (расторжения) договора.
Параграф 2. Плата за пользование природными ресурсами
Статья 625. Общие положения
1. Платой за пользование природными ресурсами (далее в целях настоящего параграфа - плата) взимается за пользование:
1) водными ресурсами поверхностных водных объектов;
2) животным миром;
3) растительными и лесными ресурсами;
4) участками рыбохозяйственных водоемов международного и (или) республиканского значения для осуществления садковой хозяйственной деятельности при реализации проекта.
2. Плата за пользование водными ресурсами поверхностных водных объектов взимается за виды специального водопользования, осуществляемого на основании разрешения на специальное водопользование, выдаваемого в порядке, установленном водным законодательством Республики Казахстан.
Специальное водопользование без оформленного разрешительного документа рассматривается как водопользование с превышением фактических объемов забора воды над установленными объемами забора и (или) использования водных ресурсов.
3. Плата за пользование животным миром взимается в порядке специального пользования животным миром.
Плата за пользование редкими и находящимися под угрозой исчезновения видами животных устанавливается в каждом отдельном случае Правительством Республики Казахстан при выдаче разрешения на изъятие этих животных из природной среды.
Плата не взимается при:
1) изъятии из природной среды животных для целей мечения, кольцевания, переселения, искусственного разведения и скрещивания в научно-исследовательских и хозяйственных целях с последующим их выпуском в природную среду;
2) использовании объектов животного мира, являющихся собственностью физических и юридических лиц, разведенных искусственным путем и содержащихся в неволе и (или) полувольных условиях;
3) осуществлении уполномоченным государственным органом в области охраны, воспроизводства и использования животного мира контрольного лова рыб и других водных животных в целях биологического обоснования на пользование рыбными ресурсами и другими видами водных животных;
4) изъятии видов животных, численность которых подлежит регулированию в целях охраны здоровья населения, предохранения от заболеваний сельскохозяйственных и других домашних животных, предотвращения ущерба окружающей среде, предупреждения опасности нанесения существенного ущерба сельскохозяйственной деятельности.
4. Плата за пользование растительными ресурсами на участках всех категорий земель, кроме земель государственного лесного фонда и особо охраняемых природных территорий, взимается в порядке специального пользования при заготовке (сборе) дикорастущих видов растений для фармацевтических, продовольственных и технических нужд;
5. Плата взимается за следующие лесные пользования на участках государственного лесного фонда:
1) заготовка древесины;
2) заготовка живицы и древесных соков;
3) заготовка второстепенных древесных ресурсов (коры, ветвей, пней, корней, листьев, почек деревьев и кустарников);
4) побочные лесные пользования (сенокошение, пастьба скота, мараловодство, звероводство, размещение ульев и пасек, огородничество, бахчеводство, садоводство и выращивание иных сельскохозяйственных культур, заготовка и сбор лекарственных растений и технического сырья, дикорастущих плодов, орехов, грибов, ягод и других пищевых продуктов, мха, лесной подстилки и опавших листьев, камыша);
5) пользование участками государственного лесного фонда для:
культурно-оздоровительных, рекреационных, туристских и спортивных целей;
нужд охотничьего хозяйства;
6) пользование участками государственного лесного фонда для выращивания посадочного материала древесных и кустарниковых пород и плантационных насаждений специального назначения.
Для целей настоящей главы к лесным пользованиям также относится изъятие редких и находящихся под угрозой исчезновения видов растений, их частей или дериватов на основании соответствующего решения Правительства Республики Казахстан.
При принятии решения об изъятии редких и находящихся под угрозой исчезновения видов растений из природной среды, их частей или дериватов объемы таких изъятий, размер платы и срок ее уплаты устанавливаются в каждом отдельном случае Правительством Республики Казахстан.
Право лесопользования на участках государственного лесного фонда предоставляется на основании лесорубочного билета и лесного билета (далее - разрешительный документ), выдаваемых в порядке и сроки, которые установлены лесным законодательством Республики Казахстан.
Право пользования растительными ресурсами в порядке специального пользования растительным миром предоставляется при условии внесения платы за пользование растительными ресурсами в соответствии с налоговым законодательством Республики Казахстан и направления уведомления о заготовке (сборе) дикорастущих растений для фармацевтических, продовольственных и технических нужд.
6. Плата за пользование участками рыбохозяйственных водоемов международного и (или) республиканского значения для осуществления садковой хозяйственной деятельности при реализации проекта, закрепляемых в соответствии с законодательством Республики Казахстан в области аквакультуры, взимается за право осуществления садковой хозяйственной деятельности.
7. Бассейновые водные инспекции по охране и регулированию использования водных ресурсов ежеквартально не позднее 25 числа второго месяца, следующего за отчетным кварталом, представляют налоговым органам по месту своего нахождения сведения о плательщиках платы и объектах обложения, их месте нахождения, выданных разрешениях на специальное водопользование, установленных объемах забора и (или) использования водных ресурсов, изменениях, внесенных в разрешения и объемы забора и (или) использования водных ресурсов, о результатах государственного контроля и надзора в области охраны и использования водного фонда по соблюдению водного законодательства Республики Казахстан, судебных актов по обжалованию результатов государственного контроля в области использования и охраны водного фонда по соблюдению водного законодательства Республики Казахстан.
8. Уполномоченный государственный орган в области охраны, воспроизводства и использования животного мира и местные исполнительные органы ежеквартально в срок не позднее 15 числа месяца, следующего за отчетным кварталом, представляют налоговым органам по месту своего нахождения сведения о плательщиках платы и объектах обложения.
9. Государственные лесовладельцы (государственные учреждения лесного хозяйства местных исполнительных органов; государственные учреждения лесного хозяйства и государственные организации уполномоченного органа в области лесного хозяйства; природоохранные учреждения уполномоченного органа в области особо охраняемых природных территорий; государственные организации уполномоченного государственного органа, осуществляющего реализацию государственной политики в области железнодорожного транспорта и уполномоченного государственного органа по автомобильным дорогам в соответствии с ведомственной подчиненностью) ежеквартально в срок не позднее 15 числа второго месяца, следующего за отчетным кварталом, представляют налоговым органам по месту своего нахождения сведения о плательщиках платы и объектах обложения.
10. Местные исполнительные органы областей, городов республиканского значения и столицы ежеквартально в срок не позднее 15 числа второго месяца, следующего за отчетным кварталом (годом), представляют налоговым органам по месту своего нахождения сведения о плательщиках платы за пользование растительными ресурсами и объектах обложения.
11. Уполномоченные органы в области лесного хозяйства, особо охраняемых природных территорий и охраны, защиты, восстановления и использования растительного мира ежегодно в срок не позднее 15 числа второго месяца, следующего за отчетным годом, представляют налоговым органам по месту своего нахождения сведения о плательщиках платы, размер которой определяется в соответствии с пунктами 4 и 5 настоящей статьи, и объектах обложения.
12. Уполномоченный орган в области аквакультуры ежегодно в срок не позднее 15 числа второго месяца, следующего за отчетным годом, представляет налоговым органам по месту своего нахождения сведения о плательщиках платы и объектах обложения.
Статья 626. Плательщики платы
1. Плательщиками платы являются:
1) физические и юридические лица, получившие право специального водопользования на забор водных ресурсов непосредственно из поверхностного водного объекта в порядке, установленном водным законодательством Республики Казахстан;
2) лица, получившие в порядке, определенном законодательством Республики Казахстан, право на специальное пользование животным миром;
3) государственные лесовладельцы и лица, получившие право лесопользования в порядке, определенном Лесным кодексом Республики Казахстан;
4) лица, получившие право на изъятие редких и находящихся под угрозой исчезновения видов растений, их частей или дериватов на основании соответствующего решения Правительства Республики Казахстан;
5) лица, осуществляющие заготовку (сбор) дикорастущих видов растений для фармацевтических, продовольственных и технических нужд;
6) юридические лица, осуществляющие садковую хозяйственную деятельность на участках рыбохозяйственных водоемов международного и (или) республиканского значения для осуществления садковой хозяйственной деятельности при реализации проекта в порядке, установленном законодательством Республики Казахстан в области аквакультуры.
2. Не являются плательщиками платы:
лесовладельцы, осуществляющие лесопользование на участках частного лесного фонда, находящихся в их собственности или долгосрочном землепользовании в соответствии с Земельным кодексом Республики Казахстан при получении права лесопользования с целевым назначением для лесоразведения;
государственные лесовладельцы и лица, получившие право лесопользования в порядке, определенном Лесным кодексом Республики Казахстан, осуществляющие рубки промежуточного пользования и прочие рубки на участках, пройденных пожарами, если площадь таких пожаров составила свыше ста гектаров.
3. Юридическое лицо вправе своим решением признать самостоятельным плательщиком платы за пользование водными ресурсами поверхностных водных объектов свое структурное подразделение.
Решение юридического лица или отмена такого решения вводится в действие с 1 января года, следующего за годом принятия такого решения.
В случае если юридическое лицо своим решением признало самостоятельным плательщиком платы за пользование водными ресурсами поверхностных водных объектов вновь созданное структурное подразделение юридического лица, то такое решение вводится в действие со дня создания данного структурного подразделения или с 1 января года, следующего за годом создания данного структурного подразделения.
Статья 627. Объекты обложения
1. Объектами обложения являются:
1) объем воды, забранной из поверхностного водного объекта, за исключением:
объема воды, аккумулируемого плотинами и другими подпорными гидротехническими и водорегулирующими сооружениями;
потерь воды на фильтрацию и испарение в каналах, осуществляющих межбассейновую переброску стока, и во внерусловых водохранилищах, осуществляющих регулирование стока, подтвержденных уполномоченным органом в области охраны и использования водного фонда на основании проектных данных водохозяйственных систем;
объема природоохранного и (или) санитарно-эпидемиологического попуска, утвержденного уполномоченным органом в области охраны и использования водного фонда в установленном законодательством Республики Казахстан порядке;
объема вынужденного водозабора в оросительные системы, осуществляемого в целях предотвращения наводнений, затоплений и подтоплений, подтвержденного уполномоченным органом в области охраны и использования водного фонда;
2) объем выработанной электроэнергии;
3) объем перевозок водным транспортом;
4) объем заготовок (сбора) дикорастущих видов растений для фармацевтических, продовольственных и технических нужд вне территории государственного лесного фонда и особо охраняемых природных территорий;
5) объем лесных пользований и (или) площадь участков государственного лесного фонда, предоставляемых в пользование, в том числе на особо охраняемых природных территориях, за исключением:
объема древесины, отпускаемой на корню, при осуществлении рубок ухода за составом и формой насаждений, а также регулировании ее полноты в молодняках (осветление, прочистка) и рубок, связанных с реконструкцией малоценных лесных насаждений и формированием ландшафтов;
объема древесных ресурсов, живицы, второстепенных лесных ресурсов, изъятых для проведения научно-исследовательских работ;
6) площадь участков рыбохозяйственных водоемов международного и (или) республиканского значения для осуществления садковой хозяйственной деятельности при реализации проекта.
2. Плата не взимается за:
1) сплав древесины без судовой тяги, рекреацию;
2) применение землеройной техники;
3) осушение болот.
Статья 628. Ставки платы за пользование водными ресурсами поверхностных водных объектов, пользование участками рыбохозяйственных водоемов международного и (или) республиканского значения для осуществления садковой хозяйственной деятельности при реализации проекта
1. Ставки платы за пользование водными ресурсами поверхностных водных объектов устанавливаются местными представительными органами областей, городов республиканского значения и столицы на основании методики расчета ставок платы за пользование водными ресурсами поверхностных водных объектов, утвержденной уполномоченным органом в области охраны и использования водного фонда.
При превышении фактических объемов забора воды над объемами забора и (или) использования водных ресурсов, установленными бассейновыми водными инспекциями по охране и регулированию использования водных ресурсов, к объему такого превышения применяются ставки платы за пользование водными ресурсами поверхностных водных объектов, увеличенные в пять раз.
2. Ставки платы за пользование участками рыбохозяйственных водоемов международного и (или) республиканского значения для осуществления садковой хозяйственной деятельности при реализации проекта определяются правилами закрепления участков таких рыбохозяйственных водоемов, утвержденными уполномоченным органом в области аквакультуры.
Статья 629. Ставки платы за пользование животным миром
1. Ставки платы за пользование животным миром определяются в размере, кратном месячному расчетному показателю (далее - МРП), действующему на дату уплаты такой платы.
2. Ставки платы за пользование животным миром при проведении промысловой, любительской и спортивной охоты в Республике Казахстан составляют:
|
№ п/п |
Виды диких животных |
Ставка платы (МРП) за одну особь |
|
|
промысловая охота |
любительская и спортивная охота |
||
|
1 |
2 |
3 |
4 |
|
1. |
Млекопитающие: |
|
|
|
1.1. |
лось (самец) |
- |
16 |
|
1.2. |
лось (самка) |
- |
11 |
|
1.3. |
лось (сеголетка) |
- |
6 |
|
1.4. |
марал (самец) |
- |
13 |
|
1.5. |
марал (самка) |
- |
7 |
|
1.6. |
марал (сеголетка) |
- |
4 |
|
1.7. |
асканийский олень (самец) |
- |
9 |
|
1.8. |
асканийский олень (самка) |
- |
5 |
|
1.9. |
асканийский олень (сеголетка) |
- |
3,5 |
|
1.10. |
косуля (северная часть ареала, самец) |
|
4 |
|
1.11. |
косуля (северная часть ареала, самка, сеголетка) |
- |
3 |
|
1.12. |
косуля (южная часть ареала, самец) |
- |
3 |
|
1.13. |
косуля (южная часть ареала, самка, сеголетка) |
- |
2 |
|
1.14. |
сибирский горный козел (самец)- |
- |
4 |
|
1.15. |
сибирский горный козел (самка, сеголетка) |
- |
3,5 |
|
1.16. |
кабарга |
- |
2 |
|
1.17. |
кабан (самец) |
- |
4 |
|
1.18. |
кабан (самка, сеголетка) |
- |
3 |
|
1.19. |
сайгак (самец) |
4 |
5 |
|
1.20. |
сайгак (самка, сеголетка) |
3 |
4 |
|
1.21. |
бурый медведь (кроме тянь-шаньского) |
- |
14 |
|
1.22. |
речной бобр, выдра (кроме среднеазиатской) |
1 |
2 |
|
1.23. |
соболь |
2 |
4 |
|
1.24. |
сурки (кроме сурка Мензбира) |
0,060 |
0,12 |
|
1.25. |
ондатра |
0,045 |
0,9 |
|
1.26. |
барсук, лисица |
0,10 |
0,20 |
|
1.27. |
корсак |
0,045 |
0,10 |
|
1.28. |
американская норка |
0,12 |
0,25 |
|
1.29. |
рысь (кроме туркестанской) |
- |
0,45 |
|
1.30. |
зайцы (толай, русак, беляк) |
0,010 |
0,045 |
|
1.31. |
енотовидная собака, енот-полоскун, росомаха, солонгой, ласка, горностай, колонок, степной хорек, обыкновенная белка |
0,020 |
0,35 |
|
1.32. |
желтый суслик (песчаник) |
0,015 |
0,025 |
|
1.33. |
волк |
0 |
0 |
|
1.34. |
шакал |
0 |
0 |
|
2. |
Птицы |
|
|
|
2.1. |
гагара (краснозобая, чернозобая) |
0,015 |
0,030 |
|
2.2. |
глухарь |
- |
0,15 |
|
2.3. |
тетерев |
- |
0,055 |
|
2.4. |
гималайский улар |
- |
0,20 |
|
2.5. |
фазан |
0,020 |
0,060 |
|
2.6. |
гуси* (серый, белолобый, гуменник), черная казарка |
0,020 |
0,045 |
|
2.7. |
утки* (огарь, пеганка, кряква, клоктун, чирок-свистунок, серая, свиязь, шилохвость, чирок-трескунок, широконоска, красноносый нырок, красноголовая чернеть, хохлатая чернеть, морская чернеть, морянка, обыкновенный гоголь, гага-гребенушка, синьга, луток, длинноносый крохаль, большой крохаль) |
0,010 |
0,020 |
|
2.8. |
лысуха, чибис, куропатки (белая, тундряная, пустынная, серая, бородатая), кеклик, рябчик, голуби (вяхирь, клинтух, сизый, скалистый), горлица (обыкновенная, большая), кулики (турухтан, гаршнеп, бекас, лесной дупель, азиатский бекас, горный дупель, дупель, вальдшнеп, большой кроншнеп, средний кроншнеп, большой веретенник, малый веретенник) |
0,005 |
0,010 |
|
2.9. |
перепел |
0,005 |
0,010 |
Примечание.
* Кроме видов, занесенных в Красную книгу Республики Казахстан.
3. Ставки платы за пользование видами животных, являющихся объектами рыболовства, составляют:
|
№ п/п |
Виды водных животных |
Ставки платы (МРП) |
|
|
за одну особь |
за один килограмм |
||
|
1 |
2 |
3 |
4 |
|
1. |
В промысловых, научных и воспроизводственных целях: |
|
|
|
1.1. |
осетровые (белуга, осетр, севрюга, стерлядь, шип, сибирский осетр, сырдарьинский лжелопатонос) |
|
0,064 |
|
1.2. |
сельди (пузанок, бражниковская, черноспинка), кефаль, камбала, килька |
|
0 |
|
1.3. |
лососевые (радужная форель, ленок, хариус, каспийский лосось, аральский лосось, таймень, нельма, белорыбица) |
|
0,017 |
|
1.4. |
сиговые (рипус, ряпушка, пелядь, чир, муксун), длиннопалый рак |
|
0,012 |
|
1.5. |
вобла |
|
0,004 |
|
1.6. |
тюлень |
1,93 |
|
|
1.7. |
крупный частик: |
|
|
|
1.7.1. |
белый амур, сазан, карп, жерех, берш, сом, налим, толстолобик, щука, змееголов, судак, кутум, щуковидный жерех (лысач), аральский усач, туркестанский усач |
|
0,013 |
|
1.8. |
мелкий частик: |
|
|
|
1.8.1. |
лещ, плотва, голавль, шемая, подуст, осман, язь, карась, окунь, линь, елец обыкновенный и таласский, красноперка, густера, востробрюшка, белоглазка, синец, чехонь, буффало, маринка, илийская маринка (илийская популяция), чуйская остро лучка, балхашский окунь (балхаш-илийская популяция), чаткальский подкаменщик, волжская многотычинковая сельдь |
|
0,004 |
|
2. |
При проведении спортивно-любительского (рекреационного) рыболовства: |
|
|
|
2.1. |
с изъятием: |
|
|
|
2.1.1. |
крупный частик |
|
0,017 |
|
2.1.2. |
белуга |
|
6,5 |
|
2.1.3. |
осетровые |
|
5,5 |
|
2.1.4. |
сиговые, лососевые |
|
0,042 |
|
2.1.5. |
мелкий частик |
|
0,008 |
|
2.1.6. |
Рак |
0,008 |
|
|
2.2. |
на основе принципа «поймал-отпустил»: |
|
|
|
2.2.1. |
крупный частик |
|
0,1 |
|
2.2.2. |
осетровые (белуга, осетр, севрюга, стерлядь, шип) |
4,97 |
|
|
2.2.3. |
сиговые и лососевые |
|
0,27 |
|
2.2.4. |
мелкий частик |
|
0,068 |
4. Ставки платы за пользование видами животных, используемых в иных хозяйственных целях (кроме охоты и рыболовства), составляют:
|
№ п/п |
Виды животных |
Ставки платы (МРП) |
|
|
за одну особь |
за один килограмм |
||
|
1 |
2 |
3 |
4 |
|
1. |
Млекопитающие: |
|
|
|
1.1. |
пятнистая или степная кошка |
0,030 |
- |
|
1.2. |
лесная соня |
0,015 |
- |
|
2. |
Птицы: |
|
|
|
2.1. |
малая, черношейная, красношейная, серощекая, большая поганка, большой баклан, большая выпь, кваква, серая и рыжая цапля |
0,010 |
- |
|
2.2. |
большая белая цапля |
0,015 |
- |
|
2.3. |
тулес, бурокрылая и золотистая ржанка, галстучник, малый зуек, монгольский зуек, каспийский зуек, восточный зуек, морской зуек, хрустан, камнешарка, пастушок, погоныш, малый погоныш, погоныш-крошка, камышница, кулик, сорока, черныш, фифи, большой улит, травник, щеголь, поручейник, перевозчик, мородунка, плосконосый плавунчик, круглоносый плавунчик, кулик-воробей, песочник-красношейка, длиннопалый песочник, белохвостый песочник, краснозобик, чернозобик, острохвостый песочник, песчанка, грязовик, луговая и степная тиркушка, кольчатая горлица, майна, альпийская галка, скворец обыкновенный, обыкновенный щегол, красношапочный вьюрок, сизоворонка, жаворонки (хохлатый, малый, тонкоклювый, серый, солончаковый, степной, двупятнистый, белокрылый, черный, рогатый, лесной, полевой, индийский), клушица, пестрый каменный дрозд |
0,005 |
- |
|
2.4. |
ястреб-тетеревятник |
0,010 |
- |
|
2.5. |
ястреб-перепелятник, сплюшка, домовой сыч, мохноногий сыч, ушастая сова, болотная сова, канюк |
0,045 |
- |
|
3. |
Пресмыкающиеся: |
|
|
|
3.1. |
среднеазиатская черепаха, болотная черепаха |
0,020 |
- |
|
3.2. |
степная агама, ушастая круглоголовка, такырная круглоголовка, сцинковый геккон |
0,010 |
- |
|
3.3. |
обыкновенный щитомордник |
0,045 |
- |
|
3.4. |
узорчатый полоз, восточный и песчаный удавчик |
0,035 |
- |
|
3.5. |
лягушка озерная |
0,005 |
- |
|
4. |
Водные беспозвоночные животные: |
|
|
|
4.1. |
артемия (цисты) |
- |
0,045 |
|
4.2. |
гаммарус, дафнии |
- |
0,010 |
|
4.3. |
пиявки |
- |
0,030 |
|
4.4. |
другие водные беспозвоночные и цисты |
- |
0,005 |
|
4.5. |
артемия |
- |
0,0043 |
Статья 630. Ставки платы за пользование лесными и растительными ресурсами
1. Ставки платы за пользование лесными и растительными ресурсами, за исключением указанных в пункте 2 настоящей статьи, устанавливаются местными представительными органами областей, городов республиканского значения и столицы на основании расчетов местных исполнительных органов областей, городов республиканского значения и столицы, составленных в соответствии с порядком, определенным уполномоченными органами в области лесного хозяйства и охраны, защиты, восстановления и использования растительного мира.
2. Ставки платы за пользование лесными и растительными ресурсами за древесину, отпускаемую на корню, определяются в размере, кратном МРП, действующему на первое число соответствующего финансового года, в котором возникнет право на лесопользование, за один плотный кубический метр и составляют:
|
№ п/п |
Наименование древесно-кустарниковых пород |
Деловая древесина в зависимости от диаметра отрезков ствола в верхнем торце, без коры (МРП) |
Дровяная древесина в коре (МРП) |
||
|
крупная (25 см и более) |
средняя (от 13 до 24 см) |
мелкая (от 3 до 12 см) |
|||
|
1 |
2 |
3 |
4 |
5 |
6 |
|
1. |
сосна |
1,48 |
1,05 |
0,52 |
0,21 |
|
2. |
ель Шренка |
1,93 |
1,37 |
0,68 |
0,27 |
|
3. |
ель сибирская, пихта |
1,34 |
0,95 |
0,48 |
0,16 |
|
4. |
лиственница |
1,19 |
0,85 |
0,41 |
0,15 |
|
5. |
кедр |
2,67 |
1,91 |
0,93 |
0,23 |
|
6. |
можжевельник древовидный (арча) |
1,79 |
1,26 |
0,63 |
0,27 |
|
7. |
дуб, ясень |
2,67 |
1,91 |
0,93 |
0,41 |
|
8. |
ольха черная, клен, вяз, липа |
0,60 |
0,42 |
0,21 |
0,14 |
|
9. |
саксаул |
|
|
|
0,60 |
|
10. |
береза |
0,69 |
0,48 |
0,23 |
0,16 |
|
11. |
осина, ива древовидная, тополь |
0,52 |
0,37 |
0,18 |
0,11 |
|
12. |
орех грецкий, фисташка |
3,24 |
2,32 |
1,15 |
0,35 |
|
13. |
абрикос, акация белая, алыча, боярышник, вишня, лох, рябина, слива, черемуха, шелковица, яблоня, прочие древесные породы |
1,90 |
1,35 |
0,68 |
0,23 |
|
14. |
можжевельник, кедровый стланик |
|
|
0,34 |
0,18 |
|
15. |
гребенщик |
|
|
0,3 |
0,25 |
|
16. |
акация желтая, ивы кустарниковые, облепиха, жузгун, чингил и прочие кустарники |
|
|
0,19 |
0,12 |
3. К ставкам платы применяются следующие коэффициенты:
1) в зависимости от удаленности лесосек от дорог общего пользования:
|
№ |
Удаленность |
Коэффициент |
|
1 |
2 |
3 |
|
1. |
до 10 км |
1,30 |
|
2. |
10,1 - 25 км |
1,20 |
|
3. |
25,1 - 40 км |
1,00 |
|
4. |
40,1 - 60 км |
0,75 |
|
5. |
60,1 - 80 км |
0,55 |
|
6. |
80,1 - 100 км |
0,40 |
|
7. |
более 100 км |
0,30 |
Удаленность лесосеки от дорог общего пользования определяется по картографическим материалам по кратчайшему расстоянию от центра лесосеки до дороги и корректируется в зависимости от рельефа местности по следующим коэффициентам:
равнинный рельеф - 1,1;
холмистый рельеф или заболоченная местность - 1,25;
горный рельеф - 1,5;
2) при проведении рубок промежуточного пользования - 0,6;
3) при проведении выборочных рубок главного пользования - 0,8;
4) при отпуске древесины на горных склонах с крутизной свыше 20 градусов - 0,7.
4. За порубочные остатки (дрова из кроны), образовавшиеся при отпуске древесины на корню, ставка платы за пользование лесными ресурсами устанавливается в размере 20 процентов от ставки на дровяную древесину соответствующей породы, указанной в пункте 2 настоящей статьи.
5. Ставки платы за пользование растительными ресурсами, находящимися вне территории государственного лесного фонда и особо охраняемых природных территорий, определяются в размере, кратном МРП, действующему на первое число соответствующего финансового года, в котором возникнет право на пользование, за один килограмм.
Статья 631. Порядок исчисления и уплаты платы за пользование водными ресурсами поверхностных водных объектов, платы за пользование участками рыбохозяйственных водоемов международного и (или) республиканского значения для осуществления садковой хозяйственной деятельности при реализации проекта
1. Сумма платы исчисляется плательщиками исходя из фактических объемов забора и (или) использования водных ресурсов поверхностных водных объектов и установленных ставок.
2. За объем перевозок водным транспортом в водных объектах, имеющих подпорные гидротехнические и водорегулирующие сооружения, сумма платы исчисляется за тонну/километр перевезенных грузов.
3. Плательщики (кроме налогоплательщиков, применяющих специальный налоговый режим для крестьянских или фермерских хозяйств) уплачивают в бюджет текущие суммы платы за фактические объемы водопользования не позднее 25 числа второго месяца, следующего за отчетным кварталом, на основании ежемесячных объемов забора и (или) использования водных ресурсов поверхностных водных объектов, установленных бассейновыми водными инспекциями по охране и регулированию использования водных ресурсов.
4. Сумма платы уплачивается в бюджет по месту специального водопользования, указанному в разрешительном документе.
5. Налогоплательщики, применяющие специальный налоговый режим для крестьянских или фермерских хозяйств, производят уплату платы в сроки, установленные статьей 732 настоящего Кодекса.
6. Предприятия теплоэнергетики размер платы за воду, расходуемую для производства теплоэнергии для жилищно-эксплуатационных и коммунальных нужд, а также на технологические нужды для охлаждения агрегатов (возвратное водопотребление) в пределах объема забора и (или) использования водных ресурсов поверхностных водных объектов, определяют по ставкам, предусмотренным для организаций, оказывающих жилищно-эксплуатационные и коммунальные услуги.
За безвозвратное водопотребление размер платы определяется по ставкам, установленным для промышленных предприятий.
7. Размер платы за пользование участками рыбохозяйственных водоемов международного и (или) республиканского значения для осуществления садковой хозяйственной деятельности при реализации проекта определяется правилами закрепления участков таких рыбохозяйственных водоемов, утвержденными уполномоченным органом в области аквакультуры.
8. Сумма платы за пользование участками рыбохозяйственных водоемов международного и (или) республиканского значения для осуществления садковой хозяйственной деятельности уплачивается в бюджет по месту нахождения органа, осуществляющего закрепление на участках таких рыбохозяйственных водоемов.
Уплата производится после принятия решения уполномоченного органа в области аквакультуры о закреплении участка рыбохозяйственного водоема международного и (или) республиканского значения для осуществления садковой хозяйственной деятельности при реализации проекта в порядке, установленном законодательством Республики Казахстан в области аквакультуры.
Статья 632. Порядок исчисления и уплаты платы за пользование животным миром
1. Сумма платы исчисляется плательщиками исходя из установленных ставок и количества животных или веса (для отдельных видов водных животных).
При расчете суммы платы для иностранцев при проведении охоты в Республике Казахстан к установленным ставкам применяется коэффициент, равный 10.
2. Сумма платы уплачивается в бюджет по месту получения разрешения на пользование животным миром. Уплата производится до получения разрешения путем перечисления через банковские организации, за исключением платы за пользование видами животных, являющихся объектами промыслового рыболовства, при превышении суммы платы, подлежащей уплате в бюджет, в сумме более 350-кратного размера месячного расчетного показателя по квотам изъятия объектов промыслового рыболовства текущего года.
Уплата платы за пользование видами животных, являющихся объектами промыслового рыболовства, при превышении суммы платы, подлежащей уплате в бюджет, в сумме более 350-кратного размера месячного расчетного показателя по квотам изъятия объектов промыслового рыболовства текущего года производится долями в следующие сроки:
до 25 декабря текущего года - 20 процентов от общей квоты, выданной в текущем году;
до 25 марта года, следующего за годом, в котором выдана квота, - 40 процентов от общей квоты, выданной в текущем году;
до 25 июня года, следующего за годом, в котором выдана квота, - 40 процентов от общей квоты, выданной в текущем году.
Статья 633. Порядок исчисления и уплаты платы за пользование лесными и растительными ресурсами
1. Сумма платы за лесные пользования исчисляется государственными лесовладельцами и указывается в разрешительном документе, за исключением платы, размер которой устанавливается в соответствии с пунктом 2 настоящей статьи.
2. Сумма платы за пользование растительными ресурсами вне территории государственного лесного фонда и особо охраняемых природных территорий исчисляется местными исполнительными органами областей, городов республиканского значения, столицы.
3. Размер платы определяется:
при отпуске древесины на корню - исходя из объема лесопользования и ставок платы с учетом коэффициентов, установленных статьей 630 настоящего Кодекса;
при иных видах лесопользования, за исключением лесных пользований, размер платы по которым определяется в соответствии с пунктом 2 статьи 630 настоящего Кодекса, - исходя из объема и (или) площади лесопользования, ставок платы за иные виды лесопользования, устанавливаемых местными представительными органами областей, городов республиканского значения и столицы.
4. Сумма платы за лесные пользования уплачивается в бюджет по месту нахождения объекта лесопользования в сроки:
1) при долгосрочном лесопользовании - ежеквартально равными долями от общей суммы ежегодного объема лесопользования в срок не позднее 20 числа месяца, следующего за отчетным кварталом;
2) при краткосрочном лесопользовании - до или в день получения разрешительных документов. При этом в разрешительном документе делается отметка о произведенной оплате с указанием реквизитов платежного документа;
3) за древесину, отпускаемую на корню, - ежеквартально равными долями от годовой суммы платы по выписанным лесорубочным билетам в срок не позднее 15 числа месяца, следующего за отчетным кварталом;
4) за изъятие редких и находящихся под угрозой исчезновения видов растений, их частей или дериватов - в сроки, устанавливаемые в каждом отдельном случае на основании соответствующего решения Правительства Республики Казахстан.
5. Сумма платы за пользование растительными ресурсами вне территории государственного лесного фонда и особо охраняемых природных территорий уплачивается в бюджет по месту нахождения объекта пользования ежеквартально равными долями от годовой суммы платы в срок не позднее 20 числа месяца, следующего за отчетным кварталом.
6. В случае, если при отпуске древесины на корню, живицы, древесных соков и второстепенных лесных ресурсов общее количество заготовленной древесины, живицы, древесных соков и второстепенных лесных ресурсов не совпадает с количеством (площадью), предусмотренным в лесорубочном билете, государственными лесовладельцами производится перерасчет суммы платы за фактически заготовленный объем. Сумма платы, установленная при перерасчете, уплачивается в очередной срок ее уплаты.
7. За передаваемые в рубку на очередной срок недорубы, а также не начатые рубкой лесосеки предыдущего года уплата суммы платы производится в порядке, определенном статьей 630 настоящего Кодекса.
8. Уплата суммы платы производится путем перечисления через банковские организации либо внесения ее наличными деньгами в кассы государственных лесовладельцев на основании бланков строгой отчетности по форме, установленной уполномоченным органом в области лесного хозяйства.
Принятые суммы платы наличными деньгами сдаются государственными лесовладельцами в банковские организации не позднее следующего операционного дня со дня, в который был осуществлен прием денег для последующего зачисления их в бюджет. В случае, если ежедневные поступления наличных денег составляют менее 10-кратного размера месячного расчетного показателя, сдача денег для зачисления в бюджет осуществляется один раз в три операционных дня со дня, в который был осуществлен прием денег.
9. При уплате физическими лицами суммы платы наличными деньгами на бланках строгой отчетности проставляется бизнес-идентификационный номер государственных лесовладельцев.
Статья 634. Налоговый период
Налоговый период определяется в соответствии со статьей 358 настоящего Кодекса.
Статья 635. Налоговая отчетность
1. Плательщики платы за пользование водными ресурсами поверхностных водных объектов (за исключением плательщиков платы за пользование лесными, растительными ресурсами и животным миром и участками рыбохозяйственных водоемов международного и (или) республиканского значения для осуществления садковой хозяйственной деятельности при реализации проекта) представляют декларацию по плате в налоговые органы по месту специального водопользования.
2. Декларация представляется плательщиками платы за пользование водными ресурсами поверхностных водных объектов, за исключением налогоплательщиков, применяющих специальный налоговый режим для крестьянских или фермерских хозяйств, ежеквартально в срок не позднее 15 числа второго месяца, следующего за отчетным кварталом.
3. Налогоплательщики, применяющие специальный налоговый режим для крестьянских или фермерских хозяйств, налоговую отчетность по плате за использование водными ресурсами поверхностных водных объектов представляют в виде соответствующего приложения к декларации для налогоплательщиков, применяющих специальный налоговый режим для крестьянских или фермерских хозяйств.
Параграф 3. Плата за негативное воздействие на окружающую среду
Статья 636. Общие положения
1. Плата за негативное воздействие на окружающую среду (далее по тексту настоящего параграфа - плата) взимается за выбросы и сбросы загрязняющих веществ (эмиссии в окружающую среду), размещение серы в открытом виде на серных картах и захоронение отходов, осуществляемые на основании соответствующего экологического разрешения и декларации о воздействии на окружающую среду в соответствии с экологическим законодательством Республики Казахстан.
2. Территориальные подразделения уполномоченного органа в области охраны окружающей среды и местные исполнительные органы областей, городов республиканского значения и столицы ежеквартально в срок не позднее 15 числа второго месяца, следующего за отчетным кварталом, представляют налоговым органам по месту своего нахождения сведения о плательщиках платы и объектах обложения, выданных экологических разрешениях, установленных нормативах эмиссий в окружающую среду, изменениях, внесенных в экологические разрешения и установленные нормативы эмиссий в окружающую среду, а также сведения по природопользователям, касающиеся временного хранения ими отходов производства и потребления (объемы, установленные сроки временного хранения, фактический период размещения).
3. Уполномоченный орган в области охраны окружающей среды и его территориальные органы представляют налоговым органам по месту своего нахождения сведения о фактических объемах негативного воздействия на окружающую среду, установленных в ходе осуществления проверок по соблюдению экологического законодательства Республики Казахстан (государственный экологический контроль), с учетом обжалования результатов таких проверок в соответствии с законами Республики Казахстан, в срок не позднее десяти рабочих дней по истечении сроков обжалования результатов таких проверок, предусмотренных законами Республики Казахстан.
Статья 637. Плательщики платы
1. Плательщиками платы являются операторы объектов I, II и III категорий, определенные в соответствии с Экологическим кодексом Республики Казахстан.
2. Юридическое лицо вправе своим решением признать самостоятельным плательщиком платы свое структурное подразделение по объемам эмиссии в окружающую среду такого структурного подразделения.
Решение юридического лица, указанное в части первой настоящего пункта, или отмена такого решения вводится в действие с 1 января года, следующего за годом принятия такого решения.
В случае если юридическое лицо своим решением признало самостоятельным плательщиком платы вновь созданное структурное подразделение юридического лица, то такое решение вводится в действие со дня создания данного структурного подразделения или с 1 января года, следующего за годом создания данного структурного подразделения.
3. Не являются плательщиками платы налогоплательщики, применяющие специальный налоговый режим для крестьянских или фермерских хозяйств, по негативному воздействию на окружающую среду, возникающему в результате осуществления деятельности, на которую распространяется специальный налоговый режим для крестьянских или фермерских хозяйств.
Статья 638. Объект обложения
Объектом обложения является фактический объем негативного воздействия на окружающую среду (масса, единица измерения активности - для радиоактивных отходов) в отчетном периоде (для объектов I и II категорий - в пределах установленных нормативов и лимитов, для объектов III категории - в пределах задекларированного объема), в том числе установленный по результатам осуществления уполномоченным органом в области охраны окружающей среды и его территориальными органами государственного экологического контроля за соблюдением экологического законодательства Республики Казахстан (государственный экологический контроль), в виде:
1) выбросов загрязняющих веществ;
2) сбросов загрязняющих веществ;
3) захороненных отходов;
4) размещенной серы в открытом виде на серных картах, образующейся при проведении операций по разведке и (или) добыче углеводородов.
Статья 639. Ставки платы
1. Ставки платы определяются в размере, кратном месячному расчетному показателю, действующему на первое число налогового периода.
2. Ставки платы за выбросы загрязняющих веществ от стационарных источников объектов первой категории, за исключением объектов жизнеобеспечения первой категории с 1 января 2026 года до 1 января 2028 года и объектов второй, третьей категорий, составляют:
|
№ п/п |
Виды загрязняющих веществ |
Ставки платы за 1 тонну (МРП) |
Ставки платы за 1 килограмм (МРП) |
|
1 |
2 |
3 |
4 |
|
1. |
Оксиды серы (SOx) |
20 |
|
|
2. |
Оксиды азота (NOx) |
20 |
|
|
3. |
Пыль и зола |
10 |
|
|
4. |
Свинец и его соединения |
3 986 |
|
|
5. |
Сероводород |
124 |
|
|
6. |
Фенолы |
332 |
|
|
7. |
Углеводороды |
0,32 |
|
|
8. |
Формальдегид |
332 |
|
|
9. |
Монооксид углерода |
0,32 |
|
|
10. |
Метан |
0,02 |
|
|
11. |
Сажа |
24 |
|
|
12. |
Окислы железа |
30 |
|
|
13. |
Аммиак |
24 |
|
|
14. |
Хром шестивалентный |
798 |
|
|
15. |
Окислы меди |
598 |
|
|
16. |
Бенз(а)пирен |
|
996,6 |
3. Ставки платы за выбросы загрязняющих веществ от стационарных источников объектов первой категории, за исключением объектов жизнеобеспечения первой категории, составляют:
1) с 1 января 2028 года до 1 января 2031 года:
|
№ п/п |
Виды загрязняющих веществ |
Ставки платы за 1 тонну (МРП) |
Ставки платы за 1 килограмм (МРП) |
|
1 |
2 |
3 |
4 |
|
1. |
Оксиды серы (SOx) |
40 |
|
|
2. |
Оксиды азота (NOx) |
40 |
|
|
3. |
Пыль и зола |
20 |
|
|
4. |
Свинец и его соединения |
7972 |
|
|
5. |
Сероводород |
248 |
|
|
6. |
Фенолы |
664 |
|
|
7. |
Углеводороды |
0,64 |
|
|
8. |
Формальдегид |
664 |
|
|
9. |
Монооксид углерода |
0,64 |
|
|
10. |
Метан |
0,04 |
|
|
11. |
Сажа |
48 |
|
|
12. |
Окислы железа |
60 |
|
|
13. |
Аммиак |
48 |
|
|
14. |
Хром шестивалентный |
1569 |
|
|
15. |
Окислы меди |
1196 |
|
|
16. |
Бенз(а)пирен |
|
1993,2 |
2) с 1 января 2031 года:
|
№ п/п |
Виды загрязняющих веществ |
Ставки платы за 1 тонну (МРП) |
Ставки платы за 1 килограмм (МРП) |
|
1 |
2 |
3 |
4 |
|
1. |
Оксиды серы (SOx) |
60 |
|
|
2. |
Оксиды азота (NOx) |
60 |
|
|
3. |
Пыль и зола |
30 |
|
|
4. |
Свинец и его соединения |
11958 |
|
|
5. |
Сероводород |
372 |
|
|
6. |
Фенолы |
996 |
|
|
7. |
Углеводороды |
0,96 |
|
|
8. |
Формальдегид |
996 |
|
|
9. |
Монооксид углерода |
0,96 |
|
|
10. |
Метан |
0,06 |
|
|
11. |
Сажа |
72 |
|
|
12. |
Окислы железа |
90 |
|
|
13. |
Аммиак |
72 |
|
|
14. |
Хром шестивалентный |
2394 |
|
|
15. |
Окислы меди |
1794 |
|
|
16. |
Бенз(а)пирен |
|
2989,8 |
4. Ставки платы за выбросы загрязняющих веществ от стационарных источников для объектов жизнеобеспечения первой категории составляют:
|
№ п/п |
Виды загрязняющих веществ |
Ставки платы за 1 тонну (МРП) |
Ставки платы за 1 килограмм (МРП) |
|
1 |
2 |
3 |
4 |
|
1. |
Оксиды серы (SOx) |
20 |
|
|
2. |
Оксиды азота (NOx) |
20 |
|
|
3. |
Пыль и зола |
10 |
|
|
4. |
Свинец и его соединения |
3 986 |
|
|
5. |
Сероводород |
124 |
|
|
6. |
Фенолы |
332 |
|
|
7. |
Углеводороды |
0,32 |
|
|
8. |
Формальдегид |
332 |
|
|
9. |
Монооксид углерода |
0,32 |
|
|
10. |
Метан |
0,02 |
|
|
11. |
Сажа |
24 |
|
|
12. |
Окислы железа |
30 |
|
|
13. |
Аммиак |
24 |
|
|
14. |
Хром шестивалентный |
798 |
|
|
15. |
Окислы меди |
598 |
|
|
16. |
Бенз(а)пирен |
|
996,6 |
5. Ставки платы за выбросы загрязняющих веществ от сжигания попутного и (или) природного газа в факелах составляют:
|
№ п/п |
Виды загрязняющих веществ |
Ставки платы за 1 тонну (МРП) |
|
1 |
2 |
3 |
|
1. |
Углеводороды |
44,6 |
|
2. |
Окислы углерода |
14,6 |
|
3. |
Метан |
0,8 |
|
4. |
Диоксид серы |
200 |
|
5. |
Диоксид азота |
200 |
|
6. |
Сажа |
240 |
|
7. |
Сероводород |
1 240 |
|
8. |
Меркаптан |
199 320 |
6. Ставки платы за выбросы загрязняющих веществ в атмосферный воздух от передвижных источников составляют:
|
№ п/п |
Виды топлива |
Ставка за 1 тонну использованного топлива (МРП) |
|
1 |
2 |
3 |
|
1. |
Для неэтилированного бензина |
0,33 |
|
2. |
Для дизельного топлива |
0,45 |
|
3. |
Для сжиженного, сжатого газа, керосина |
0,24 |
7. Ставки платы за сбросы загрязняющих веществ объектов первой категории, за исключением объектов жизнеобеспечения первой категории с 1 января 2026 года до 1 января 2028 года и объектов второй, третьей категорий, составляют:
|
№ п/п |
Виды загрязняющих веществ |
Ставки платы за 1 тонну (МРП) |
|
1 |
2 |
3 |
|
1. |
Нитриты |
1 340 |
|
2. |
Цинк |
2 680 |
|
3. |
Медь |
26 804 |
|
4. |
Биологическое потребление кислорода |
8 |
|
5. |
Аммоний солевой |
68 |
|
6. |
Нефтепродукты |
536 |
|
7. |
Нитраты |
2 |
|
8. |
Железо общее |
268 |
|
9. |
Сульфаты (анион) |
0,8 |
|
10. |
Взвешенные вещества |
2 |
|
11. |
Синтетические поверхностно-активные вещества |
54 |
|
12. |
Хлориды (анион) |
0,2 |
|
13. |
Алюминий |
54 |
8. Ставки платы за сбросы загрязняющих веществ объектов первой категории, за исключением объектов жизнеобеспечения первой категории, составляют:
1) с 1 января 2028 года до 1 января 2031 года:
|
№ п/п |
Виды загрязняющих веществ |
Ставки платы за 1 тонну (МРП) |
|
1 |
2 |
3 |
|
1. |
Нитриты |
2680 |
|
2. |
Цинк |
5360 |
|
3. |
Медь |
53608 |
|
4. |
Биологическое потребление кислорода |
16 |
|
5. |
Аммоний солевой |
136 |
|
6. |
Нефтепродукты |
1072 |
|
7. |
Нитраты |
4 |
|
8. |
Железо общее |
536 |
|
9. |
Сульфаты (анион) |
0,16 |
|
10. |
Взвешенные вещества |
4 |
|
11. |
Синтетические поверхностно-активные вещества |
108 |
|
12. |
Хлориды (анион) |
0,4 |
|
13. |
Алюминий |
108 |
2) с 1 января 2031 года:
|
№ п/п |
Виды загрязняющих веществ |
Ставки платы за 1 тонну (МРП) |
|
1 |
2 |
3 |
|
1. |
Нитриты |
4020 |
|
2. |
Цинк |
8040 |
|
3. |
Медь |
80412 |
|
4. |
Биологическое потребление кислорода |
24 |
|
5. |
Аммоний солевой |
204 |
|
6. |
Нефтепродукты |
1608 |
|
7. |
Нитраты |
6 |
|
8. |
Железо общее |
804 |
|
9. |
Сульфаты (анион) |
0,24 |
|
10. |
Взвешенные вещества |
6 |
|
11. |
Синтетические поверхностно-активные вещества |
162 |
|
12. |
Хлориды (анион) |
0,6 |
|
13. |
Алюминий |
162 |
9. Ставки платы за сбросы загрязняющих веществ для объектов жизнеобеспечения первой категории составляют:
|
№ п/п |
Виды загрязняющих веществ |
Ставки платы за 1 тонну (МРП) |
|
1 |
2 |
3 |
|
1. |
Нитриты |
1 340 |
|
2. |
Цинк |
2 680 |
|
3. |
Медь |
26 804 |
|
4. |
Биологическое потребление кислорода |
8 |
|
5. |
Аммоний солевой |
68 |
|
6. |
Нефтепродукты |
536 |
|
7. |
Нитраты |
2 |
|
8. |
Железо общее |
268 |
|
9. |
Сульфаты (анион) |
0,8 |
|
10. |
Взвешенные вещества |
2 |
|
11. |
Синтетические поверхностно-активные вещества |
54 |
|
12. |
Хлориды (анион) |
0,2 |
|
13. |
Алюминий |
54 |
10. Ставки платы за захоронение отходов производства и потребления объектов первой категории, за исключением объектов жизнеобеспечения первой категории с 1 января 2026 года до 1 января 2028 года и объектов второй, третьей категорий, составляют:
|
№ п/п |
Виды отходов |
Ставки платы (МРП) |
|
|
за 1 тонну |
за 1 гигабеккерель (Гбк) |
||
|
1 |
2 |
3 |
4 |
|
1. |
За захоронение отходов производства и потребления на полигонах, в накопителях, на санкционированных свалках и в специально отведенных местах: |
|
|
|
1.1. |
Отходы, по которым для целей исчисления платы учитываются свойства опасности, за исключением отходов, указанных в строке 1.2 настоящей таблицы: |
|
|
|
1.1.1. |
опасные отходы |
8,01 |
|
|
1.1.2. |
неопасные отходы |
1,06 |
|
|
1.2. |
Отдельные виды отходов, по которым для целей исчисления платы свойства опасности не учитываются: |
|
|
|
1.2.1. |
Коммунальные отходы (твердые бытовые отходы, ил канализационных очистных сооружений) |
0,38 |
|
|
1.2.2. |
Отходы горнодобывающей промышленности и разработки карьеров (кроме добычи нефти и природного газа): |
|
|
|
1.2.2.1. |
вскрышные породы |
0,004 |
|
|
1.2.2.2. |
вмещающие породы |
0,026 |
|
|
1.2.2.3. |
отходы обогащения |
0,02 |
|
|
1.2.2.4. |
шлаки, шламы |
0,038 |
|
|
1.2.3. |
Шлаки, шламы, образуемые на металлургическом переделе при переработке руд, концентратов, агломератов и окатышей, содержащих полезные ископаемые, производстве сплавов и металлов |
0,038 |
|
|
1.2.4. |
Зола и золошлаки |
0,66 |
|
|
1.2.5. |
Отходы сельхозпроизводства, в том числе навоз, птичий помет |
0,002 |
|
|
1.2.6. |
Радиоактивные отходы: |
|
|
|
1.2.6.1. |
трансурановые |
|
0,76 |
|
1.2.6.2. |
альфа-радиоактивные |
|
0,38 |
|
1.2.6.3. |
бета-радиоактивные |
|
0,04 |
|
1.2.6.4. |
ампульные радиоактивные источники |
|
0,38 |
11. Ставки платы за захоронение отходов производства и потребления объектов первой категории, за исключением объектов жизнеобеспечения первой категории, составляют:
1) с 1 января 2028 года до 1 января 2031 года:
|
№ п/п |
Виды отходов |
Ставки платы (МРП) |
|
|
за 1 тонну |
за 1 гигабеккерель (Гбк) |
||
|
1 |
2 |
3 |
4 |
|
1. |
За захоронение отходов производства и потребления на полигонах, в накопителях, на санкционированных свалках и в специально отведенных местах: |
|
|
|
1.1. |
Отходы, по которым для целей исчисления платы учитываются свойства опасности, за исключением отходов, указанных в строке 1.2 настоящей таблицы: |
||
|
1.1.1. |
опасные отходы |
16,02 |
|
|
1.1.2. |
неопасные отходы |
2,12 |
|
|
1.2. |
Отдельные виды отходов, по которым для целей исчисления платы свойства опасности не учитываются: |
|
|
|
1.2.1. |
Коммунальные отходы (твердые бытовые отходы, ил канализационных очистных сооружений) |
0,76 |
|
|
1.2.2. |
Отходы горнодобывающей промышленности и разработки карьеров (кроме добычи нефти и природного газа): |
|
|
|
1.2.2.1. |
вскрышные породы |
0,008 |
|
|
1.2.2.2. |
вмещающие породы |
0,052 |
|
|
1.2.2.3. |
отходы обогащения |
0,04 |
|
|
1.2.2.4. |
шлаки, шламы |
0,076 |
|
|
1.2.3. |
Шлаки, шламы, образуемые на металлургическом переделе при переработке руд, концентратов, агломератов и окатышей, содержащих полезные ископаемые, производстве сплавов и металлов |
0,076 |
|
|
1.2.4. |
Зола и золошлаки |
1,32 |
|
|
1.2.5. |
Отходы сельхозпроизводства, в том числе навоз, птичий помет |
0,004 |
|
|
1.2.6. |
Радиоактивные отходы: |
|
|
|
1.2.6.1. |
трансурановые |
|
1,52 |
|
1.2.6.2. |
альфа-радиоактивные |
|
0,76 |
|
1.2.6.3. |
бета-радиоактивные |
|
0,08 |
|
1.2.6.4 |
ампульные радиоактивные источники |
|
0,76 |
2) с 1 января 2031 года:
|
№ п/п |
Виды отходов |
Ставки платы (МРП) |
|
|
за 1 тонну |
за 1 гигабеккерель (Гбк) |
||
|
1 |
2 |
3 |
4 |
|
1. |
За захоронение отходов производства и потребления на полигонах, в накопителях, на санкционированных свалках и в специально отведенных местах: |
||
|
1.1. |
Отходы, по которым для целей исчисления платы учитываются свойства опасности, за исключением отходов, указанных в строке 1.2 настоящей таблицы |
||
|
1.1.1. |
опасные отходы |
24,03 |
|
|
1.1.2. |
неопасные отходы |
3,18 |
|
|
1.2. |
Отдельные виды отходов, по которым для целей исчисления платы свойства опасности не учитываются: |
||
|
1.2.1. |
Коммунальные отходы (твердые бытовые отходы, ил канализационных очистных сооружений) |
1,14 |
|
|
1.2.2. |
Отходы горнодобывающей промышленности и разработки карьеров (кроме добычи нефти и природного газа): |
||
|
1.2.2.1. |
вскрышные породы |
0,012 |
|
|
1.2.2.2. |
вмещающие породы |
0,078 |
|
|
1.2.2.3. |
отходы обогащения |
0,06 |
|
|
1.2.2.4 |
шлаки, шламы |
0,114 |
|
|
1.2.3. |
Шлаки, шламы, образуемые на металлургическом переделе при переработке руд, концентратов, агломератов и окатышей, содержащих полезные ископаемые, производстве сплавов и металлов |
0,114 |
|
|
1.2.4. |
Зола и золошлаки |
1,98 |
|
|
1.2.5. |
Отходы сельхозпроизводства, в том числе навоз, птичий помет |
0,006 |
|
|
1.2.6. |
Радиоактивные отходы: |
||
|
1.2.6.1. |
трансурановые |
2,28 |
|
|
1.2.6.2. |
альфа-радиоактивные |
1,14 |
|
|
1.2.6.3. |
бета-радиоактивные |
0,12 |
|
|
1.2.6.4. |
ампульные радиоактивные источники |
1,14 |
|
12. Ставки платы за захоронение отходов производства и потребления для объектов жизнеобеспечения первой категории составляют:
|
№ п/п |
Виды отходов |
Ставки платы (МРП) |
|
|
за 1 тонну |
за 1 гигабеккерель (Гбк) |
||
|
1 |
2 |
3 |
4 |
|
1. |
За захоронение отходов производства и потребления на полигонах, в накопителях, на санкционированных свалках и в специально отведенных местах: |
||
|
1.1. |
Отходы, по которым для целей исчисления платы учитываются свойства опасности, за исключением отходов, указанных в строке 1.2 настоящей таблицы: |
||
|
1.1.1. |
опасные отходы |
8,01 |
|
|
1.1.2. |
неопасные отходы |
1,06 |
|
|
1.2. |
Отдельные виды отходов, по которым для целей исчисления платы свойства опасности не учитываются: |
||
|
1.2.1. |
Коммунальные отходы (твердые бытовые отходы, ил канализационных очистных сооружений) |
0,38 |
|
|
1.2.2. |
Отходы горнодобывающей промышленности и разработки карьеров (кроме добычи нефти и природного газа): |
||
|
1.2.2.1. |
вскрышные породы |
0,004 |
|
|
1.2.2.2. |
вмещающие породы |
0,026 |
|
|
1.2.2.3. |
отходы обогащения |
0,02 |
|
|
1.2.2.4 |
шлаки, шламы |
0,038 |
|
|
1.2.3. |
Шлаки, шламы, образуемые на металлургическом переделе при переработке руд, концентратов, агломератов и окатышей, содержащих полезные ископаемые, производстве сплавов и металлов |
0,038 |
|
|
1.2.4. |
Зола и золошлаки |
0,66 |
|
|
1.2.5. |
Отходы сельхозпроизводства, в том числе навоз, птичий помет |
0,002 |
|
|
1.2.6. |
Радиоактивные отходы: |
||
|
1.2.6.1. |
трансурановые |
0,76 |
|
|
1.2.6.2. |
альфа-радиоактивные |
0,38 |
|
|
1.2.6.3. |
бета-радиоактивные |
0,04 |
|
|
1.2.6.4 |
ампульные радиоактивные источники |
0,38 |
|
13. Ставки платы за размещение серы в открытом виде на серных картах, образующейся при проведении операций по разведке и (или) добыче углеводородов, составляют 3,77 месячного расчетного показателя за одну тонну.
Статья 640. Порядок исчисления и уплаты
1. Сумма платы:
1) исчисляется плательщиками, являющимися операторами объектов I и II категорий, исходя из объектов обложения, указанных в статье 638 настоящего Кодекса, и установленных ставок платы с применением коэффициентов, предусмотренных настоящей статьей;
2) исчисляется плательщиками, являющимися операторами объектов Ш категории, исходя из задекларированных объектов обложения, указанных в статье 638 настоящего Кодекса, и установленных ставок платы;
3) начисляется налоговыми органами с применением коэффициентов, предусмотренных настоящей статьей, исходя из установленных ставок платы и незадекларированной части объектов обложения, определенных статьей 638 настоящего Кодекса, выявленной, в том числе, по сведениям, полученным в результате государственного экологического или налогового контроля.
В случае начисления суммы платы в соответствии с подпунктом 3) части первой настоящего пункта налоговым органом выносится соответствующее уведомление в течение десяти рабочих дней со дня получения сведений, предусмотренных пунктом 3 статьи 636 настоящего Кодекса.
2. В целях стимулирования внедрения и применения наилучших доступных техник на территории Республики Казахстан, предотвращения или снижения уровня вредного антропогенного воздействия на окружающую среду при исчислении платы по объектам, оказывающим негативное воздействие на окружающую среду, по которым выдано комплексное экологическое разрешение, в том числе до 1 июля 2021 года, плательщиками применяются следующие коэффициенты:
коэффициент 0 - к ставкам платы, предусмотренным пунктами 2, 3, 4 и 5 статьи 639 настоящего Кодекса, за выбросы загрязняющих веществ от стационарных источников и от сжигания попутного и (или) природного газа в факелах в пределах нормативов, установленных в комплексном экологическом разрешении, со дня его выдачи;
коэффициент 0 - к ставкам платы, предусмотренным пунктами 7, 8 и 9 статьи 639 настоящего Кодекса, за сбросы загрязняющих веществ в пределах нормативов, установленных в комплексном экологическом разрешении, со дня его выдачи;
коэффициент 0 - к ставкам платы, предусмотренным пунктами 10, 11 и 12 статьи 639 настоящего Кодекса, за захоронение отходов в пределах лимитов и в соответствии с отчетностью, представляемой при образовании, использовании, обезвреживании и захоронении отходов производства и потребления, со дня выдачи комплексного экологического разрешения;
коэффициент 0 - к ставке платы, предусмотренной пунктом 13 статьи 639 настоящего Кодекса, за размещение серы в открытом виде на серных картах в пределах лимитов при проведении операций по разведке и (или) добыче углеводородов и в соответствии с отчетностью, представляемой при образовании и размещении серы, со дня выдачи комплексного экологического разрешения.
3. С 1 января 2026 года до 1 января 2028 года при исчислении отдельными плательщиками суммы платы по объектам, оказывающим негативное воздействие на окружающую среду, по которым не действует комплексное экологическое разрешение, к соответствующим ставкам платы применяются следующие коэффициенты:
1) по объектам I категории, включенным в перечень пятидесяти объектов I категории, наиболее крупных по суммарным выбросам загрязняющих веществ на 1 января 2021 года, утвержденный Правительством Республики Казахстан:
плательщиками, являющимися субъектами естественных монополий, - при оказании коммунальных услуг, плательщиками, являющимися энергопроизводящими организациями, - при производстве электроэнергии:
0,6 - к ставкам, установленным пунктом 4 статьи 639 настоящего Кодекса;
0,86 - к ставкам, установленным пунктом 9 статьи 639 настоящего Кодекса;
0,1 - к ставкам, установленным строкой 1.2.4 таблицы пункта 12 статьи 639 настоящего Кодекса;
иными плательщиками:
2 - к ставкам, установленным пунктами 2, 5, 7, 10 и 13 статьи 639 настоящего Кодекса;
2) по объектам I категории, кроме объектов, указанных в подпункте 1) части первой настоящего пункта, а также по объектам II и III категорий:
плательщиками, являющимися субъектами естественных монополий, - при оказании коммунальных услуг, плательщиками, являющимися энергопроизводящими организациями, - при производстве электроэнергии:
0,3 - к ставкам, установленным пунктом 4 статьи 639 настоящего Кодекса;
0,43 - к ставкам, установленным пунктом 9 статьи 639 настоящего Кодекса;
0,05 - к ставкам, установленным строкой 1.2.4 таблицы пункта 12 статьи 639 настоящего Кодекса;
плательщиками, являющимися операторами полигонов и осуществляющими захоронение коммунальных отходов:
0,2 - к ставкам, установленным строкой 1.2.1 таблицы пункта 12 статьи 639 настоящего Кодекса за объем твердых бытовых отходов, образуемых физическими лицами по месту их жительства.
При этом коэффициенты, установленные частью первой настоящего пункта, применяются в отношении объемов негативного воздействия на окружающую среду в пределах нормативов и лимитов, установленных соответствующими экологическими разрешениями плательщиков по объектам I и II категорий, или объемов негативного воздействия на окружающую среду, указанных в декларациях по объектам III категории.
4. С 1 января 2028 года до 1 января 2031 года при исчислении отдельными плательщиками суммы платы по объектам, оказывающим негативное воздействие на окружающую среду, по которым не действует комплексное экологическое разрешение, к соответствующим ставкам платы применяются следующие коэффициенты:
1) по объектам I категории, включенным в перечень пятидесяти объектов I категории, наиболее крупных по суммарным выбросам загрязняющих веществ на 1 января 2021 года, утвержденный Правительством Республики Казахстан:
плательщиками, являющимися субъектами естественных монополий, - при оказании коммунальных услуг, плательщиками, являющимися энергопроизводящими организациями, - при производстве электроэнергии:
1,2 - к ставкам, установленным пунктом 4 статьи 639 настоящего Кодекса;
1,72 - к ставкам, установленным пунктом 9 статьи 639 настоящего Кодекса;
0,2 - к ставкам, установленным строкой 1.2.4 таблицы подпункта 1) пункта 11 статьи 639 настоящего Кодекса;
иными плательщиками:
4 - к ставкам, установленным подпунктом 1) пункта 3, пунктом 5, подпунктом 1) пункта 8, подпунктом 1) пункта 11 и пунктом 13 статьи 639 настоящего Кодекса;
2) по объектам I категории, кроме объектов, указанных в подпункте 1) части первой настоящего пункта, а также по объектам II и III категорий:
плательщиками, являющимися субъектами естественных монополий, - при оказании коммунальных услуг, плательщиками, являющимися энергопроизводящими организациями, - при производстве электроэнергии:
0,3 - к ставкам, установленным пунктом 4 статьи 639 настоящего Кодекса;
0,43 - к ставкам, установленным подпунктом 1) пункта 8 и пунктом 9 статьи 639 настоящего Кодекса;
0,05 - к ставкам, установленным строкой 1.2.4 таблицы подпункта 1) пункта 11 статьи 639 настоящего Кодекса;
плательщиками, являющимися операторами полигонов и осуществляющими захоронение коммунальных отходов:
0,2 - к ставкам, установленным строкой 1.2.1 таблицы подпункта 1) пункта 11 статьи 639 настоящего Кодекса за объем твердых бытовых отходов, образуемых физическими лицами по месту их жительства.
При этом коэффициенты, установленные частью первой настоящего пункта, применяются в отношении объемов негативного воздействия на окружающую среду в пределах нормативов и лимитов, установленных в соответствующих экологических разрешениях плательщиков по объектам I и II категорий, или объемов негативного воздействия на окружающую среду, указанных в декларациях по объектам III категории.
5. С 1 января 2031 года до 1 января 2034 года при исчислении отдельными плательщиками суммы платы по объектам, оказывающим негативное воздействие на окружающую среду, по которым не действует комплексное экологическое разрешение, к соответствующим ставкам платы применяются следующие коэффициенты:
1) по объектам I категории, включенным в перечень пятидесяти объектов I категории, наиболее крупных по суммарным выбросам загрязняющих веществ на 1 января 2021 года, утвержденный Правительством Республики Казахстан:
плательщиками, являющимися субъектами естественных монополий, - при оказании коммунальных услуг, плательщиками, являющимися энергопроизводящими организациями, - при производстве электроэнергии:
2,4 - к ставкам, установленным пунктом 4 статьи 639 настоящего Кодекса;
3,44 - к ставкам, установленным пунктом 9 статьи 639 настоящего Кодекса;
0,4 - к ставкам, установленным строкой 1.2.4 таблицы подпункта 2) пункта 11 статьи 639 настоящего Кодекса;
иными плательщиками:
8 - к ставкам, установленным подпунктом 2) пункта 3, пунктом 5, подпунктом 2) пункта 8, подпунктом 2) пункта
II и пунктом 13 статьи 639 настоящего Кодекса;
2) по объектам I категории, кроме объектов, указанных в подпункте 1) части первой настоящего пункта:
плательщиками, являющимися субъектами естественных монополий, - при оказании коммунальных услуг, плательщиками, являющимися энергопроизводящими организациями, - при производстве электроэнергии:
0,6 - к ставкам, установленным пунктом 4 статьи 639 настоящего Кодекса;
0,86 - к ставкам, установленным пунктом 9 статьи 639 настоящего Кодекса;
0,1 - к ставкам, установленным строкой 1.2.4 таблицы подпункта 2) пункта 11 статьи 639 настоящего Кодекса;
плательщиками, являющимися операторами полигонов и осуществляющими захоронение коммунальных отходов:
0,4 - к ставкам, установленным строкой 1.2.1 таблицы подпункта 2) пункта 11 статьи 639 настоящего Кодекса за объем твердых бытовых отходов, образуемых физическими лицами по месту их жительства;
иными плательщиками:
2 - к ставкам, установленным подпунктом 2) пункта 3, пунктом 5, подпунктом 2) пункта 8, подпунктом 2) пункта 11 и пунктом 13 статьи 639 настоящего Кодекса;
3) по объектам II и III категорий:
плательщиками, являющимися субъектами естественных монополий, - при оказании коммунальных услуг, плательщиками, являющимися энергопроизводящими организациями, - при производстве электроэнергии:
0,3 - к ставкам, установленным пунктом 2 статьи 639 настоящего Кодекса;
0,43 - к ставкам, установленным пунктом 7 статьи 639 настоящего Кодекса;
0,05 - к ставкам, установленным строкой 1.2.4 таблицы пункта 10 статьи 639 настоящего Кодекса;
плательщиками, являющимися операторами полигонов и осуществляющими захоронение коммунальных отходов:
0,2 - к ставкам, установленным строкой 1.2.1 таблицы пункта 10 статьи 639 настоящего Кодекса за объем твердых бытовых отходов, образуемых физическими лицами по месту их жительства.
При этом коэффициенты, установленные частью первой настоящего пункта, применяются в отношении объемов негативного воздействия на окружающую среду в пределах нормативов и лимитов, установленных в соответствующих экологических разрешениях плательщиков по объектам I и II категорий, или объемов негативного воздействия на окружающую среду, указанных в декларациях по объектам III категории.
6. С 1 января 2034 года до 1 января 2037 года при исчислении отдельными плательщиками суммы платы по объектам, оказывающим негативное воздействие на окружающую среду, по которым не действует комплексное экологическое разрешение, к соответствующим ставкам платы применяются следующие коэффициенты:
1) по объектам I категории, включенным в перечень пятидесяти объектов I категории, наиболее крупных по суммарным выбросам загрязняющих веществ на 1 января 2021 года, утвержденный Правительством Республики Казахстан:
плательщиками, являющимися субъектами естественных монополий, - при оказании коммунальных услуг, плательщиками, являющимися энергопроизводящими организациями, - при производстве электроэнергии:
2,4 - к ставкам, установленным пунктом 4 статьи 639 настоящего Кодекса;
3,44 - к ставкам, установленным пунктом 9 статьи 639 настоящего Кодекса;
0,4 - к ставкам, установленным строкой 1.2.4 таблицы подпункта 2) пункта 11 статьи 639 настоящего Кодекса;
иными плательщиками:
8 - к ставкам, установленным подпунктом 2) пункта 3, пунктом 5, подпунктом 2) пункта 8, подпунктом 2) пункта 11 и пунктом 13 статьи 639 настоящего Кодекса;
2) по объектам I категории, кроме объектов, указанных в подпункте 1) части первой настоящего пункта:
плательщиками, являющимися субъектами естественных монополий, - при оказании коммунальных услуг, плательщиками, являющимися энергопроизводящими организациями, - при производстве электроэнергии:
1,2 - к ставкам, установленным пунктом 4 статьи 639 настоящего Кодекса;
0,72 - к ставкам, установленным пунктом 9 статьи 639 настоящего Кодекса;
0,2 - к ставкам, установленным строкой 1.2.4 таблицы подпункта 2) пункта 11 статьи 639 настоящего Кодекса;
плательщиками, являющимися операторами полигонов и осуществляющими захоронение коммунальных отходов:
0,8 - к ставкам, установленным строкой 1.2.1 таблицы подпункта 2) пункта 11 статьи 639 настоящего Кодекса за объем твердых бытовых отходов, образуемых физическими лицами по месту их жительства;
иными плательщиками:
4 - к ставкам, установленным подпунктом 2) пункта 3, пунктом 5, подпунктом 2) пункта 8, подпунктом 2) пункта 11 и пунктом 13 статьи 639 настоящего Кодекса;
3) по объектам II и Ш категорий:
плательщиками, являющимися субъектами естественных монополий, - при оказании коммунальных услуг, плательщиками, являющимися энергопроизводящими организациями, - при производстве электроэнергии:
0,3 - к ставкам, установленным пунктом 2 статьи 639 настоящего Кодекса;
0,43 - к ставкам, установленным пунктом 7 статьи 639 настоящего Кодекса;
0,05 - к ставкам, установленным строкой 1.2.4 таблицы пункта 10 статьи 639 настоящего Кодекса;
плательщиками, являющимися операторами полигонов и осуществляющими захоронение коммунальных отходов:
0,2 - к ставкам, установленным строкой 1.2.1 таблицы пункта 10 статьи 639 настоящего Кодекса за объем твердых бытовых отходов, образуемых физическими лицами по месту их жительства.
При этом коэффициенты, установленные частью первой настоящего пункта, применяются в отношении объемов негативного воздействия на окружающую среду в пределах нормативов и лимитов, установленных в соответствующих экологических разрешениях плательщиков по объектам I и П категорий, или объемов негативного воздействия на окружающую среду, указанных в декларациях по объектам III категории.
7. При исчислении суммы платы юридическими лицами, осуществляющими размещение радиоактивных отходов, образованных в результате проведенных ядерных испытаний на территории Республики Казахстан, на территории земель зоны ядерной безопасности, к ставкам платы, установленным строками 1.2.6.1, 1.2.6.2 и 1.2.6.3 таблицы пунктов 10, 11 и 12 статьи 639 настоящего Кодекса, применяется коэффициент 0.
8. Плательщики платы, являющиеся операторами объектов I и П категорий, с объемами платежей до 100 месячного расчетного показателя в суммарном годовом объеме вправе выкупить нормативы или лимиты негативного воздействия на окружающую среду, установленные органом, выдающим разрешительный документ. Выкуп нормативов или лимитов производится с полной предварительной оплатой за текущий год при оформлении разрешительного документа не позднее 20 марта отчетного налогового периода.
При получении разрешительного документа после указанного срока выкуп норматива производится не позднее 20 числа месяца, следующего за месяцем, в котором получен разрешительный документ.
9. Сумма платы уплачивается в бюджет по месту нахождения источника (объекта) негативного воздействия на окружающую среду, указанному в разрешительном документе, за исключением передвижных источников загрязнения.
Сумма платы по передвижным источникам загрязнения вносится в бюджет:
1) по передвижным источникам, подлежащим государственной регистрации, - по месту регистрации передвижных источников, определяемому уполномоченным государственным органом при проведении такой регистрации;
2) по передвижным источникам загрязнения, не подлежащим государственной регистрации, - по месту нахождения налогоплательщика, в том числе по месту нахождения структурного подразделения юридического лица (если на него возложено исполнение налогового обязательства).
10. Текущие суммы платы за фактический объем негативного воздействия на окружающую среду вносятся плательщиками не позднее 25 числа второго месяца, следующего за отчетным кварталом, за исключением плательщиков, указанных в пункте 3 настоящей статьи.
11. В случае недостижения к сроку, установленному в графике достижения показателей поэтапного снижения негативного воздействия на окружающую среду в рамках программы повышения экологической эффективности (далее в целях настоящего пункта - программа) к комплексному экологическому разрешению, выданному в отношении объекта I категории, показателя поэтапного снижения негативного воздействия на окружающую среду по маркерному загрязняющему веществу менее чем на 30 процентов от величины такого показателя в целях начисления суммы платы в отношении эмиссий указанного вещества коэффициент, предусмотренный пунктом 2 настоящей статьи, приобретает значение соответствующего коэффициента, предусмотренного пунктами 3, 4, 5 и 6 настоящей статьи, начиная с налогового периода, предшествующего году недостижения установленного показателя поэтапного снижения негативного воздействия, и до даты достижения такого показателя.
В случае недостижения к дате завершения срока выполнения программы к комплексному экологическому разрешению, выданному в отношении объекта I категории, установленных технологических нормативов по 30 процентам и менее от общего количества маркерных загрязняющих веществ в целях начисления суммы платы коэффициенты, предусмотренные пунктом 2 настоящей статьи, приобретают значения соответствующих коэффициентов, предусмотренных пунктами 3, 4, 5 и 6 настоящей статьи, за соответствующие годы начиная со дня получения комплексного экологического разрешения в отношении эмиссий маркерных загрязняющих веществ, по которым не достигнуты установленные технологические нормативы.
В случае отзыва, лишения или прекращения действия комплексного экологического разрешения, выданного в отношении объекта I категории под условием и в период выполнения программы, по основаниям, предусмотренным законами Республики Казахстан, в целях начисления суммы платы коэффициенты, предусмотренные пунктом 2 настоящей статьи, приобретают значения соответствующих коэффициентов, предусмотренных пунктами 3, 4, 5 и 6 настоящей статьи, за соответствующие годы начиная со дня получения комплексного экологического разрешения по всем видам негативного воздействия на окружающую среду по данному объекту I категории, за которые взимается плата, за исключением случая, предусмотренного частью четвертой настоящего пункта.
При этом, если в рамках выполнения программы технологические нормативы достигнуты по 70 процентам и более от общего количества маркерных загрязняющих веществ, часть третья настоящего пункта не применяется в отношении эмиссий маркерных загрязняющих веществ, осуществленных до даты отзыва, лишения или прекращения действия комплексного экологического разрешения, выданного в отношении объекта I категории, по которым к указанной дате технологические нормативы в рамках выполнения программы были достигнуты.
На сумму платы, возникшую и начисленную в соответствии с частями первой, второй и третьей настоящего пункта, со дня применения коэффициентов, указанных в пунктах 3, 4, 5 и 6 настоящей статьи, начисляются пени в размере, определенном настоящим Кодексом.
Статья 641. Налоговый период
Налоговый период определяется в соответствии со статьей 358 настоящего Кодекса.
Статья 642. Налоговая отчетность
1. Плательщики платы представляют в налоговые органы декларацию по месту нахождения объекта загрязнения, за исключением декларации по передвижным источникам загрязнения.
Декларация представляется в налоговые органы по передвижным источникам загрязнения:
1) подлежащим государственной регистрации, - по месту регистрации передвижных источников, определяемому уполномоченным государственным органом при проведении такой регистрации;
2) не подлежащим государственной регистрации, - по месту нахождения налогоплательщика.
2. Декларация представляется плательщиками платы, за исключением указанных в пункте 3 настоящей статьи, ежеквартально не позднее 15 числа второго месяца, следующего за отчетным кварталом.
3. Плательщики платы с объемами платежей до 100 месячного расчетного показателя в суммарном годовом объеме представляют декларацию не позднее 20 марта отчетного налогового периода.
В случае оформления разрешительного документа после указанного срока плательщики представляют декларацию не позднее 20 числа месяца, следующего за месяцем, в котором получен разрешительный документ.
Параграф 4. Плата за использование радиочастотного спектра
Статья 643. Общие положения
1. Плата за использование радиочастотного спектра (далее в целях настоящего параграфа - плата) взимается за выделенные уполномоченным государственным органом, осуществляющим реализацию государственной политики в области связи, номиналы (полосы, диапазоны) радиочастотного спектра (далее - номиналы радиочастотного спектра).
2. Право использования радиочастотного спектра удостоверяется разрешительными документами, выданными уполномоченным государственным органом, осуществляющим реализацию государственной политики в области связи, в порядке, определенном Законом Республики Казахстан «О связи».
3. Суммы разовой платы за осуществление предпринимательской деятельности по оказанию услуг в области связи с использованием радиочастотного спектра, подлежащие уплате в бюджет в соответствии с Законом Республики Казахстан «О связи», не засчитываются в счет платы.
4. Территориальные подразделения уполномоченного государственного органа, осуществляющего реализацию государственной политики в области связи, представляют в налоговые органы по месту нахождения плательщиков сведения о плательщиках, об объектах обложения, выданных разрешениях, периоде их действия, внесенных изменениях и дополнениях в выданные разрешения, направленных налогоплательщикам извещениях и о суммах платы в следующие сроки:
1) в случае, установленном частью первой пункта 3 статьи 646 настоящего Кодекса, - не позднее 25 февраля налогового периода;
2) в случае, установленном частью второй пункта 3 статьи 646 настоящего Кодекса, - не позднее 25 числа месяца, следующего за месяцем получения налогоплательщиком разрешения на использование радиочастотного спектра.
5. Территориальные подразделения уполномоченного государственного органа, осуществляющего реализацию государственной политики в области связи, в срок не позднее 25 числа месяца, следующего за отчетным кварталом, представляют в налоговые органы по месту нахождения плательщиков сведения о плательщиках разовой платы за осуществление предпринимательской деятельности по оказанию услуг в области связи с использованием радиочастотного спектра, суммах такой разовой платы, подлежащей уплате в бюджет, и сроках ее уплаты.
Статья 644. Плательщики платы
1. Плательщиками платы являются лица, получившие в установленном законодательством Республики Казахстан порядке право использования радиочастотного спектра.
2. Юридическое лицо вправе своим решением признать самостоятельным плательщиком платы свое структурное подразделение за номиналы радиочастотного спектра, используемые таким структурным подразделением.
Решение юридического лица или отмена такого решения вводится в действие с 1 января года, следующего за годом принятия такого решения.
В случае если юридическое лицо своим решением признало самостоятельным плательщиком платы вновь созданное структурное подразделение юридического лица, то такое решение вводится в действие со дня создания данного структурного подразделения или с 1 января года, следующего за годом создания данного структурного подразделения.
3. Не являются плательщиками платы:
1) государственные учреждения, использующие радиочастотный спектр при исполнении возложенных на них основных функциональных обязанностей;
2) владельцы радиостанций СВ-диапазона (27 МГц) за используемые частоты для одной станции.
Статья 645. Ставки платы
1. Годовые ставки платы определяются в размере, кратном МРП, действующему на первое число налогового периода.
2. Годовые ставки платы для следующих видов радиосвязи составляют:
|
№п/п |
Виды радиосвязи |
Территория использования |
Ставка платы (МРП) |
|
1 |
2 |
3 |
4 |
|
1. |
Радиосистемы персонального радиовызова (за частотное присвоение шириной 25 кГц) |
область, город республиканского значения и столица |
10 |
|
2. |
Транкинговая связь (за радиоканал шириной 25 кГц на прием/25 кГц на передачу) |
|
|
|
2.1. |
|
город республиканского значения и столица |
140 |
|
2.2. |
|
населенный пункт с количеством населения свыше 50 тысяч человек |
80 |
|
2.3. |
|
остальные административно-территориальные единицы (город районного значения, район, поселок, село, сельский округ) |
10 |
|
3. |
Радиосвязь УКВ-диапазона (за дуплексный канал шириной 25 кГц на прием/25 кГц на передачу) |
|
|
|
3.1. |
|
город республиканского значения и столица |
80 |
|
3.2. |
|
населенный пункт с количеством населения свыше 50 тысяч человек |
60 |
|
3.3. |
|
остальные административно-территориальные единицы (город районного значения, район, поселок, село, сельский округ) |
15 |
|
4. |
Радиосвязь УКВ-диапазона (за симплексный канал шириной 25 кГц) |
|
|
|
4.1. |
|
город республиканского значения и столица |
30 |
|
4.2. |
|
населенный пункт с количеством населения свыше 50 тысяч человек |
20 |
|
4.3. |
|
остальные административно-территориальные единицы (город районного значения, район, поселок, село, сельский округ) |
10 |
|
5. |
KB-связь (за одно частотное присвоение) при выходной мощности передатчика: - до 50 Вт включительно; - свыше 50 Вт |
область, город республиканского значения и столица |
10 20 |
| 6. | Радиоудлинители (за канал) | область, город республиканского значения и столица | 2 |
| 7. | Сотовая связь (за полосу частот шириной 1 МГц на прием/1 МГц на передачу | область, город республиканского значения и столица | 2 300 |
| Сотовая связь 5G/IMT за полосу частот шириной 5 МГц на прием/5 МГц на передачу); | область, город республиканского значения и столица | 1 150 | |
| 8. | Глобальная персональная подвижная спутниковая связь (за дуплексную полосу частот шириной 100 кГц на прием/100 кГц на передачу) | Республика Казахстан | 20 |
| 9. | Спутниковая связь с HUB-технологией (за ширину полосой 100 кГц на прием/100 кГц на передачу, используемую на HUB) | Республика Казахстан | 30 |
| 9.1. | Спутниковая связь с применением негеостационарных спутников (за ширину полосой 2 МГц на прием/2 МГц на передачу, на одно приемо-передающее устройство станции сопряжения) | Республика Казахстан | 1 |
| 10. | Спутниковая связь без HUB-технологии (за используемые частоты одной станцией) | Республика Казахстан | 100 |
| 11. | Радиорелейные линии (за дуплексный ствол на одном пролете): | ||
| 11.1. | Местные | район, город, поселок, село, сельский округ | 40 |
| 11.2. | зоновые и магистральные | Республика Казахстан | 10 |
| 12. | Системы беспроводного радиодоступа (за дуплексный канал шириной 25 кГц на прием/25кГц на передачу) | ||
| 12.1. | населенный пункт с количеством населения свыше 50 тысяч человек | 25 | |
| 12.2. | остальные административно-территориальные единицы (город районного значения, район, поселок, село, сельский округ) | 2 | |
| 13. | Системы беспроводного радиодоступа при использовании ШПС-технологии (за дуплексный канал шириной на прием 2 МГц/2 МГц на передачу) | ||
| 13.1. | город республиканского значения и столица | 140 | |
| 13.2. | населенный пункт с количеством населения свыше 50 тысяч человек | 70 | |
| 13.3. | остальные административно-территориальные единицы (город районного значения, район, поселок, село, сельский округ) | 5 | |
| 14. | Эфирно-кабельное телевидение (за полосу частот 8 МГц) | ||
| 14.1. | населенный пункт с количеством населения свыше 200 тысяч человек | 300 | |
| 14.2. | населенный пункт с количеством населения от 50 тысяч до 200 тысяч человек | 135 | |
| 14.3. | город районного значения с количеством населения до 50 тысяч человек, район | 45 | |
| 14.4. | остальные административно-территориальные единицы (поселок, село, сельский округ) | 5 | |
| 15. | Морская радиосвязь (радиомодем, береговая связь, телеметрия, радиолокационная и т. д.), за один радиоканал | область | 10 |
3. Годовые ставки платы для цифрового эфирного телерадиовещания составляют:
|
№ п/п |
Диапазон частот для цифрового эфирного телерадиовещания |
Территория использования |
Ставка платы (МРП) |
|
1 |
2 |
3 |
4 |
|
1. |
Телевидение/метровый диапазон частот |
|
|
|
1.1. |
Мощность передающего радиоэлектронного средства до 50 Вт включительно |
город республиканского значения и столица |
81 |
|
|
|
область |
15 |
|
1.2. |
Мощность передающего радиоэлектронного средства до 250 Вт включительно |
город республиканского значения и столица |
361 |
|
|
|
область |
65 |
|
1.3. |
Мощность передающего радиоэлектронного средства до 500 Вт включительно |
город республиканского значения и столица |
957 |
|
|
|
область |
174 |
|
1.4. |
Мощность передающего радиоэлектронного средства до 1 000 Вт включительно |
город республиканского значения и столица |
1 353 |
|
|
|
область |
245 |
|
1.5. |
Мощность передающего радиоэлектронного средства свыше 1 000 Вт |
город республиканского значения и столица |
2 344 |
|
|
|
область |
425 |
|
2. |
Телевидение/дециметровый диапазон частот |
|
|
|
2.1. |
Мощность передающего радиоэлектронного средства до 50 Вт включительно |
город республиканского значения и столица |
51 |
|
|
|
область |
9 |
|
2.2. |
Мощность передающего радиоэлектронного средства до 250 Вт включительно |
город республиканского значения и столица |
228 |
|
|
|
область |
41 |
|
2.3. |
Мощность передающего радиоэлектронного средства до 500 Вт включительно |
город республиканского значения и столица |
605 |
|
|
|
область |
110 |
|
2.4. |
Мощность передающего радиоэлектронного средства до 1 000 Вт включительно |
город республиканского значения и столица |
855 |
|
|
|
область |
155 |
|
2.5. |
Мощность передающего радиоэлектронного средства свыше 1 000 Вт |
город республиканского значения и столица |
1 481 |
|
|
|
область |
269 |
4. При использовании радиочастотного спектра на период проведения опытной эксплуатации, соревнований, выставок и иных мероприятий сроком до шести месяцев включительно плата устанавливается в зависимости от вида радиосвязи, территории использования радиочастотного спектра и мощности передающего радиоэлектронного средства в размере, соответствующем сроку его фактического использования, но не менее 1/12 размера годовой ставки платы.
В случае применения технологий с использованием полосы дуплексного (симплексного) канала шириной, отличающейся от указанной в пунктах 2 и 3 настоящей статьи, ставки платы определяются исходя из удельного веса фактически применяемой плательщиком ширины полосы дуплексного (симплексного) канала к ширине полосы дуплексного (симплексного) канала, указанной в пунктах 2 и 3 настоящей статьи.
При использовании технологии широкополосного сигнала плата взимается за полосу шириной 2 МГц на прием/2 МГц на передачу.
Статья 646. Порядок исчисления и уплаты
1. Сумма платы исчисляется уполномоченным государственным органом, осуществляющим реализацию государственной политики в области связи, в соответствии с техническими параметрами, в том числе мощностью передающего радиоэлектронного средства, указанными в разрешительных документах, на основании годовых ставок платы в зависимости от вида радиосвязи и территории использования радиочастотного спектра.
2. В случае, если период использования радиочастотного спектра в налоговом периоде составляет менее одного года, сумма платы определяется делением суммы платы, исчисленной на год, на двенадцать и умножением на соответствующее количество месяцев фактического периода использования радиочастотного спектра в году.
При этом фактический период использования радиочастотного спектра определяется с начала налогового периода (в случае, если право на использование радиочастотного спектра на основании разрешительного документа действовало (возникло) на дату начала налогового периода) или с 1 числа месяца возникновения такого права до 1 числа месяца, в котором прекращается (прекратилось) такое право, или до конца налогового периода (в случае, если такое право имелось (действовало) на дату окончания налогового периода).
3. Уполномоченный государственный орган, осуществляющий реализацию государственной политики в области связи, выписывает извещение с указанием годовой суммы платы и направляет его плательщикам платы не позднее 20 февраля текущего отчетного периода.
В случае получения разрешительного документа, удостоверяющего право использования радиочастотного спектра, после указанного срока уполномоченный государственный орган, осуществляющий реализацию государственной политики в области связи, направляет налогоплательщику извещение с указанием суммы платы не позднее 20 числа месяца, следующего за месяцем, в котором налогоплательщиком получено разрешение на использование радиочастотного спектра.
4. Если иное не установлено настоящим пунктом, сумма годовой платы уплачивается в бюджет по месту нахождения плательщика платы равными долями не позднее 25 марта, 25 июня, 25 сентября и 25 декабря текущего года.
В случае получения разрешительного документа на использование радиочастотного спектра после одного из вышеперечисленных сроков уплаты первым сроком внесения в бюджет платы является следующий очередной срок уплаты после получения извещения, указанного в пункте 3 настоящей статьи.
При этом сумма платы, подлежащая уплате в бюджет, перераспределяется равными долями на предстоящие сроки уплаты в текущем налоговом периоде.
5. Иностранцы, лица без гражданства и юридические лица - нерезиденты, не осуществляющие деятельность в Республике Казахстан и не зарегистрированные в качестве налогоплательщиков Республики Казахстан, уплачивают плату в бюджет по месту нахождения уполномоченного государственного органа, осуществляющего реализацию государственной политики в области связи, за весь период действия права на использование радиочастотного спектра, указанного в разрешительном документе на использование радиочастотного спектра, но не менее чем за 1 месяц, в срок не позднее 25 числа месяца, следующего за месяцем, в котором получено такое разрешение.
Статья 647. Налоговый период
Налоговый период определяется в соответствии со статьей 358 настоящего Кодекса.
Параграф 5. Плата за предоставление междугородной и (или) международной телефонной связи, а также сотовой связи
Статья 648. Общие положения
1. Плата за предоставление междугородной и (или) международной телефонной связи, а также сотовой связи (далее в целях настоящего параграфа - плата) взимается за право предоставления:
1) междугородной и (или) международной телефонной связи;
2) сотовой связи.
2. Право предоставления междугородной и (или) международной телефонной связи, а также сотовой связи удостоверяется разрешительными документами, выданными уполномоченным государственным органом, осуществляющим реализацию государственной политики в области связи в порядке, определенном законодательством Республики Казахстан.
3. Территориальные подразделения уполномоченного государственного органа, осуществляющего реализацию государственной политики в области связи, представляют налоговым органам по месту нахождения плательщиков платы сведения о плательщиках, объектах обложения платой, выданных разрешениях, периоде их действия, внесенных изменениях и дополнениях в выданные разрешения, суммах платы в следующие сроки:
1) в случае, установленном частью первой пункта 3 статьи 652 настоящего Кодекса, - не позднее 25 февраля налогового периода;
2) в случае, установленном частью второй пункта 3 статьи 652 настоящего Кодекса, - не позднее 25 числа месяца, следующего за месяцем получения налогоплательщиком разрешения на предоставление междугородной и (или) международной телефонной связи, а также сотовой связи.
Статья 649. Плательщики платы
Плательщиками платы являются юридические лица, являющиеся операторами междугородной и (или) международной телефонной связи, а также сотовой связи, получившие право на предоставление междугородной и (или) международной телефонной связи, а также сотовой связи в порядке, определенном Законом Республики Казахстан «О связи».
Статья 650. Налоговый период
Налоговым периодом для исчисления платы является календарный год с 1 января по 31 декабря.
Статья 651. Ставки платы
Ставки платы устанавливаются Правительством Республики Казахстан.
Статья 652. Порядок исчисления и уплаты
1. Сумма платы исчисляется уполномоченным государственным органом, осуществляющим реализацию государственной политики в области связи, исходя из доходов плательщиков от предоставления услуг электрической связи (телекоммуникаций) за предшествующий год и установленных ставок платы.
2. В случае, если период предоставления междугородной и (или) международной телефонной связи, а также сотовой связи в отчетном налоговом периоде составляет менее одного года, сумма платы определяется путем деления суммы платы, исчисленной по году, на двенадцать и умножения на фактическое количество месяцев предоставления междугородной и (или) международной телефонной связи, а также сотовой связи в отчетном периоде.
При этом фактический период предоставления междугородной и (или) международной телефонной связи, а также сотовой связи в отчетном налоговом периоде определяется с начала налогового периода (в случае, если право на предоставление междугородной и (или) международной телефонной связи, а также сотовой связи на основании разрешительного документа действовало (возникло) на дату начала налогового периода) или с 1 числа месяца возникновения такого права до 1 числа месяца, в котором прекращено такое право, или до конца налогового периода (в случае, если такое право имелось (действовало) на дату окончания налогового периода).
3. Уполномоченный государственный орган, осуществляющий реализацию государственной политики в области связи, выписывает извещение с указанием годовой суммы платы и направляет его плательщику не позднее 20 февраля текущего отчетного периода.
В случае получения разрешительного документа, удостоверяющего право, после срока, установленного частью первой настоящего пункта, уполномоченный государственный орган, осуществляющий реализацию государственной политики в области связи, направляет плательщику извещение с указанием суммы платы в срок не позднее 20 числа месяца, следующего за месяцем получения налогоплательщиком разрешения на предоставление междугородной и (или) международной телефонной связи, а также сотовой связи.
4. Если иное не установлено настоящим пунктом, сумма годовой платы уплачивается в бюджет по месту нахождения плательщика платы равными долями в срок не позднее 25 марта, 25 июня, 25 сентября и 25 декабря текущего года.
В случае получения разрешительного документа, удостоверяющего право предоставления междугородной и (или) международной телефонной связи, а также сотовой связи, после одного из вышеперечисленных сроков уплаты платы первым сроком внесения в бюджет платы является следующий очередной срок уплаты после получения извещения, указанного в пункте 3 настоящей статьи.
При этом сумма платы, подлежащая уплате в бюджет, перераспределяется равными долями на предстоящие сроки уплаты в текущем году.
Параграф 6. Плата за размещение наружной (визуальной) рекламы
Статья 653. Общие положения
1. Плата за размещение наружной (визуальной) рекламы (далее в целях настоящего параграфа - плата) взимается за размещение наружной (визуальной) рекламы.
2. В случае ненаправления соответствующего уведомления основанием для взыскания и внесения в бюджет суммы платы является фактическое размещение наружной (визуальной) рекламы.
В случае, установленном частью первой настоящего пункта, ставки платы, определенные статьей 655 настоящего Кодекса с учетом решения местного представительного органа, увеличиваются в два раза.
3. Местные исполнительные органы ежемесячно в срок не позднее 15 числа месяца, следующего за отчетным, представляют налоговым органам по месту размещения наружной (визуальной) рекламы сведения о плательщиках платы, суммах платы, периоде и месте размещения наружной (визуальной) рекламы, направлении (ненаправлении) уведомления.
Статья 654. Плательщики платы
1. Плательщиками платы являются собственники объектов наружной (визуальной) рекламы или собственники зданий (сооружений), на которых размещается наружная (визуальная) реклама.
2. Юридическое лицо вправе своим решением признать самостоятельным плательщиком платы свое структурное подразделение.
Решение юридического лица или отмена такого решения вводится в действие с 1 января года, следующего за годом принятия такого решения.
В случае если юридическое лицо признало плательщиком платы вновь созданное структурное подразделение юридического лица, то такое решение вводится в действие со дня создания данного структурного подразделения или с 1 января года, следующего за годом создания данного структурного подразделения.
3. Не являются плательщиками платы государственные органы Республики Казахстан по наружной (визуальной) рекламе, размещаемой в связи с реализацией возложенных на них функциональных обязанностей.
Статья 655. Ставки платы
1. Ставки платы определяются в размере, кратном месячному расчетному показателю, действующему на первое число соответствующего календарного месяца, в котором осуществляется размещение наружной (визуальной) рекламы.
2. Базовые ежемесячные ставки платы за размещение наружной (визуальной) рекламы в полосе отвода автомобильных дорог общего пользования международного и республиканского значения с площадью стороны размещаемой наружной (визуальной) рекламы до трех квадратных метров включительно составляют:
|
№ п/п |
Категория дорог |
Ставка платы (МРП) |
|
1 |
2 |
3 |
|
Подходы к городу |
8 |
|
|
2. |
I, II |
7 |
|
3. |
III |
3 |
|
4. |
IV |
2 |
При размещении наружной (визуальной) рекламы с площадью стороны размещения такой рекламы три и более квадратных метра базовые ежемесячные ставки платы повышаются пропорционально увеличению площади стороны размещаемой наружной (визуальной) рекламы по отношению к трем квадратным метрам.
3. Базовые ежемесячные ставки платы за размещение наружной (визуальной) рекламы на открытом пространстве за пределами помещений в населенных пунктах, в полосе отвода автомобильных дорог общего пользования областного и районного значения, на открытом пространстве за пределами помещений вне населенных пунктов и вне полосы отвода автомобильных дорог общего пользования устанавливаются исходя из места расположения и площади стороны размещения наружной (визуальной) рекламы:
|
№ п/п |
Виды наружной (визуальной) рекламы |
Ставки платы за сторону размещения наружной (визуальной) рекламы (МРП) |
||
|
в городе республиканского значения и столице |
в городе областного значения и в полосе отвода автомобильных дорог общего пользования областного значения |
в городе районного значения, селе, поселке, в полосе отвода автомобильных дорог общего пользования районного значения, вне населенных пунктов и вне полосы отвода автомобильных дорог общего пользования |
||
|
1 |
2 |
3 |
4 |
5 |
|
1. |
Наружная (визуальная) реклама до 2 кв.м, включительно за исключением наружной (визуальной) рекламы, распространяемой посредством видеоизображения |
2 |
1 |
0,5 |
|
2. |
Лайтбоксы (сити-формата) |
3 |
2 |
1 |
|
3. |
Наружная (визуальная) реклама, за исключением наружной (визуальной) рекламы, распространяемой посредством видеоизображения, площадью: |
|||
|
3.1. |
от 2 до 5 кв.м включительно |
5 |
3 |
1 |
|
3.2. |
от 5 до 10 кв.м включительно |
10 |
5 |
2 |
|
3.3. |
от 10 до 20 кв.м включительно |
20 |
10 |
3 |
|
3.4. |
от 20 до 30 кв.м включительно |
30 |
15 |
5 |
|
3.5. |
от 30 до 50 кв.м включительно |
50 |
20 |
7 |
|
3.6. |
от 50 до 70 кв.м включительно |
70 |
30 |
12 |
|
37 |
свыше 70 кв.м |
100 |
50 |
25 |
|
4. |
Надкрышная световая наружная (визуальная) реклама (светодинамические панно или объемные неоновые буквы): |
|||
|
4.1. |
до 30кв.м включительно |
30 |
20 |
6 |
|
4.2. |
свыше 30 кв.м |
50 |
30 |
8 |
|
5. |
Наружная (визуальная) реклама на палатках, тентах, шатрах, навесах, зонтах, флагах, вымпелах, штандартах, уличной мебели (оборудовании), за исключением наружной (визуальной) рекламы, распространяемой посредством видеоизображения: |
|||
|
5.1. |
до 5 кв.м включительно |
1 |
1 |
0 |
|
5.2. |
от 5 до 10 кв.м включительно |
2 |
1 |
0 |
|
5.3. |
свыше 10 кв.м |
3 |
2 |
1 |
|
6. |
Наружная (визуальная) реклама на киосках временного типа, за исключением наружной (визуальной) рекламы, распространяемой посредством видеоизображения: |
|||
|
6.1. |
до 2 кв.м включительно |
2 |
1 |
0 |
|
6.2. |
от2до5кв.м включительно |
2 |
1 |
0 |
|
6.3. |
от 5 до 10 кв.м включительно |
3 |
2 |
1 |
|
6.4. |
свыше 10 кв.м |
8 |
4 |
2 |
|
7. |
Выносная передвижная реклама |
10 |
5 |
1 |
|
8. |
Наружная (визуальная) реклама, распространяемая посредством видеоизображения, площадью: |
|||
|
8.1. |
до 20 кв.м включительно |
20 |
14 |
6 |
|
8? |
свыше 20 кв.м |
30 |
24 |
16 |
|
9. |
Наружная (визуальная) реклама, распространяемая посредством бегущей строки |
3 |
2 |
1 |
Местные представительные органы областей по наружной (визуальной) рекламе, размещаемой на открытом пространстве за пределами помещений в населенных пунктах и в полосе отвода автомобильных дорог общего пользования областного значения, имеют право понижать размеры базовых ежемесячных ставок платы не более чем на 50 процентов или повышать не более чем на 100 процентов в зависимости от месторасположения и размеров наружной (визуальной) рекламы.
Местные представительные органы столицы и городов республиканского значения по наружной (визуальной) рекламе, размещаемой на открытом пространстве за пределами помещений в населенных пунктах, имеют право понижать размеры базовых ежемесячных ставок платы не более чем на 50 процентов или повышать не более чем на 200 процентов в зависимости от месторасположения и размеров наружной (визуальной) рекламы.
Примечание. Под стороной размещения наружной (визуальной) рекламы понимается сторона объекта наружной (визуальной) рекламы исходя из места расположения и площади стороны размещения наружной (визуальной) рекламы, вне зависимости от количества размещаемой наружной (визуальной) рекламы, в том числе изображений, видеоизображений, бегущих строк на казахском и русском языках.
Статья 656. Порядок исчисления, уплаты и сроки уплаты
1. Размер платы исчисляется исходя из ставок платы и фактического срока размещения наружной (визуальной) рекламы:
1) указанного в уведомлении;
2) установленного местным исполнительным органом города республиканского значения, столицы, города областного значения и района - в случае размещения наружной (визуальной) рекламы без направления уведомления.
При размещении наружной (визуальной) рекламы на срок менее одного календарного месяца размер платы определяется за один календарный месяц.
2. Сумма платы, подлежащая внесению в бюджет, уплачивается ежемесячно в срок не позднее 25 числа текущего месяца.
При этом в случае размещения наружной (визуальной) рекламы на основании уведомления уплата платы за первый месяц размещения рекламы должна быть произведена до направления уведомления.
3. При направлении уведомления местным исполнительным органам городов республиканского значения, столицы, городов областного значения и районов плательщики платы прилагают документ, подтверждающий внесение в бюджет суммы платы за первый месяц размещения наружной (визуальной) рекламы.
4. Сумма платы уплачивается в бюджет по месту размещения наружной (визуальной) рекламы.
Параграф 7. Плата за цифровой майнинг
Статья 657. Общие положения
1. Плата за цифровой майнинг (далее в целях настоящего параграфа - плата) взимается за объем электрической энергии, потребленной при цифровом майнинге.
Статья 658. Плательщики платы
В целях настоящей главы плательщиками платы являются лица:
осуществляющие цифровой майнинг на территории Республики Казахстан;
оказывающие услуги по обеспечению комплексной вычислительной инфраструктурой для выполнения вычислительных операций и обработки данных лицам, осуществляющим деятельность по цифровому майнингу.
Статья 659. Ставка платы
1. Если иное не предусмотрено настоящей статьей, в целях цифрового майнинга исчисление платы производится по ставке в размере 2 тенге за 1 киловатт-час потребленной электрической энергии за отчетный период.
2. В целях цифрового майнинга плата исчисляется по ставке 1 тенге за 1 киловатт-час потребленной электрической энергии при использовании электрической энергии, произведенной из возобновляемых источников электрической энергии на собственных электростанциях на территории Республики Казахстан или из генерирующих установок, не подключенных к единой электроэнергетической системе Республики Казахстан.
При отсутствии лицензии на осуществление деятельности по цифровому майнингу, контрольных приборов учета объема потребления электрической энергии и (или) нахождении их в неисправном состоянии в целях цифрового майнинга плата исчисляется по ставке 25 тенге за 1 киловатт-час потребленной электрической энергии.
3. В случаях отсутствия контрольных приборов учета объема потребления электрической энергии и (или) нахождения их в неисправном состоянии в целях цифрового майнинга объем потребленной электрической энергии рассчитывается из расчета круглосуточного потребления максимальной мощности электрической энергии.
Статья 660. Налоговый период и налоговая декларация
1. Налоговым периодом для исчисления платы является квартал.
2. Декларация представляется в налоговый орган по месту нахождения налогоплательщика ежеквартально не позднее 15 числа второго месяца, следующего за отчетным кварталом.
Статья 661. Порядок исчисления и уплаты
1. Сумма платы исчисляется плательщиками платы исходя из фактических объемов электрической энергии, потребленной при осуществлении цифрового майнинга, и установленной ставки платы.
2. Плательщики платы уплачивают в бюджет текущие суммы платы ежеквартально не позднее 25 числа второго месяца, следующего за отчетным кварталом.
3. Сумма платы подлежит уплате в бюджет по месту нахождения налогоплательщика.
Глава 71. ГОСУДАРСТВЕННАЯ ПОШЛИНА. КОНСУЛЬСКИЙ СБОР
Параграф 1. Государственная пошлина
Статья 662. Общие положения
1. Государственной пошлиной является платеж в бюджет, взимаемый за совершение юридически значимых действий, в том числе связанных с выдачей документов (их копий, дубликатов) уполномоченными государственными органами или должностными лицами.
2. Уполномоченные государственные органы или должностные лица ежеквартально в срок не позднее 20 числа месяца, следующего за отчетным кварталом, предоставляют налоговому органу по месту своего нахождения информацию о плательщиках государственной пошлины и исчисленных ими суммах государственной пошлины.
Статья 663. Плательщики государственной пошлины
1. Плательщиками государственной пошлины являются лица, обращающиеся по поводу совершения юридически значимых действий в уполномоченные государственные органы или к должностным лицам.
2. Юридическое лицо вправе своим решением возложить обязанность по уплате сумм государственной пошлины на свое структурное подразделение при совершении соответствующими уполномоченными органами юридически значимых действий в интересах такого структурного подразделения.
Статья 664. Объекты взимания
1. Государственная пошлина взимается:
1) с подаваемых в Конституционный Суд Республики Казахстан обращений граждан, в суд административных исков, исков, заявлений особого искового производства, заявлений (жалоб) по делам особого производства, заявлений о вынесении судебного приказа, заявлений о выдаче дубликата исполнительного листа, заявлений о выдаче исполнительных листов на принудительное исполнение решений арбитража и иностранных судов, ходатайств об отмене арбитражного решения, заявлений о повторной выдаче копий судебных актов, исполнительных листов и иных документов;
2) за совершение нотариальных действий, а также за выдачу копий (дубликатов) нотариально удостоверенных документов уполномоченными лицами, предусмотренных Законом Республики Казахстан «О нотариате»;
3) за оформление документов на выезд из Республики Казахстан на постоянное место жительства;
4) за оформление приглашений на въезд иностранцев и лиц без гражданства в Республику Казахстан по частным делам, прием и согласование приглашений принимающих лиц по выдаче виз Республики Казахстан;
5) за выдачу, восстановление или продление на территории Республики Казахстан иностранцам и лицам без гражданства виз на право выезда из Республики Казахстан и въезда в Республику Казахстан;
6) за оформление документов о приобретении гражданства Республики Казахстан, восстановлении гражданства Республики Казахстан и прекращении гражданства Республики Казахстан;
7) за выдачу (переоформление) удостоверения охотника (дубликата удостоверения охотника);
8) за выдачу документов, удостоверяющих личность, за исключением удостоверения беженца, выдачи удостоверений личности гражданина Республики Казахстан впервые и по истечении срока действия;
9) за выдачу разрешений на приобретение, хранение или хранение и ношение, перевозку гражданского, служебного оружия и патронов к нему;
10) за выдачу заключений на ввоз на территорию Республики Казахстан и вывоз с территории Республики Казахстан гражданского, служебного оружия и патронов к нему;
11) за регистрацию и перерегистрацию каждой единицы гражданского, служебного оружия физических и юридических лиц (за исключением холодного охотничьего, сигнального оружия, механических распылителей, аэрозольных и других устройств, снаряженных слезоточивыми или раздражающими веществами, пневматического оружия с дульной энергией не более 7,5 Дж и калибра до 4,5 мм включительно);
12) за проставление уполномоченными Правительством Республики Казахстан государственными органами апостиля на официальных документах, совершенных в Республике Казахстан, в соответствии с международным договором, ратифицированным Республикой Казахстан;
13) за выдачу водительских удостоверений, удостоверений тракториста-машиниста, свидетельств о государственной регистрации механических транспортных средств;
14) за выдачу государственных регистрационных номерных знаков (дубликатов), за исключением государственных регистрационных номерных знаков на автомобиль, находившихся на хранении в течение периода, не превышающего срока, установленного для их хранения законодательством Республики Казахстан о дорожном движении;
15) за выдачу разрешения на приобретение гражданских пиротехнических веществ и изделий с их применением;
16) за выдачу разрешения на постоянное проживание в Республике Казахстан.
2. Ставки государственной пошлины определяются в размере, кратном месячному расчетному показателю, действующему на дату уплаты государственной пошлины (далее по тексту настоящей главы - МРП), или в процентах от суммы иска, если иное не установлено статьей 665 настоящего Кодекса.
Статья 665. Ставки государственной пошлины в Конституционном Суде Республики Казахстан и в судах
1. С подаваемых в суд административных исков, исков, заявлений особого искового производства, заявлений (жалоб) по делам особого производства, заявлений о вынесении судебного приказа, заявлений о выдаче дубликата исполнительного листа, заявлений о выдаче исполнительных листов на принудительное исполнение решений арбитража и иностранных судов, заявлений о повторной выдаче копий судебных актов, исполнительных листов и иных документов государственная пошлина взимается в следующих размерах:
1) если иное не установлено настоящим пунктом, с исков имущественного характера:
для физических лиц - 1 процент от суммы иска, но не более 10 000 МРП;
для юридических лиц - 3 процента от суммы иска, но не более 20 000 МРП;
2) с жалоб на неправомерные действия (бездействие) и решения государственных органов и их должностных лиц, ущемляющие права физических лиц, - 0,3 МРП;
3) с жалоб на неправомерные действия (бездействие) и решения государственных органов и их должностных лиц, ущемляющие права юридических лиц, - 5 МРП;
4) с административных исков об оспаривании уведомлений по актам проверок:
для индивидуальных предпринимателей и крестьянских или фермерских хозяйств - 0,1 процента от оспариваемой суммы налогов, таможенных платежей и платежей в бюджет (включая пени), указанных в уведомлении, но не более 500 МРП;
для юридических лиц -1 процент от оспариваемой суммы налогов, таможенных платежей и платежей в бюджет (включая пени), указанных в уведомлении, но не более 20 тысяч МРП;
5) с исков о расторжении брака - 0,3 МРП.
В случаях раздела имущества при расторжении брака пошлина определяется от цены иска согласно подпункту 1) настоящего пункта;
6) с исков о разделе имущества при расторжении брака с лицами, признанными в установленном порядке безвестно отсутствующими или недееспособными вследствие психического заболевания или слабоумия, либо с лицами, осужденными к лишению свободы на срок свыше трех лет, - согласно подпункту 1) настоящего пункта;
7) с исков об изменении или расторжении договора найма жилища, о продлении срока принятия наследства, об освобождении имущества от ареста и с других исков неимущественного характера или не подлежащих оценке, - 0,5 МРП;
8) с заявлений особого искового производства, заявлений (жалоб) по делам особого производства, административных исков в рамках Административного процедурно-процессуального кодекса Республики Казахстан, за исключением указанных в подпунктах 2), 3), 4) и 13) настоящего пункта, - 0,5 МРП;
9) с ходатайств об отмене решений арбитража - 50 процентов от размера государственной пошлины, взимаемой при подаче исков неимущественного характера в суд Республики Казахстан, а по спорам имущественного характера - 50 процентов от размера государственной пошлины, взимаемой при подаче иска имущественного характера в суд Республики Казахстан и исчисленной исходя из оспариваемой заявителем суммы;
10) с заявлений о вынесении судебного приказа - 50 процентов от ставок государственной пошлины, указанных в подпункте 1) настоящего пункта;
11) с заявлений о выдаче дубликата исполнительного листа, заявлений о выдаче исполнительных листов на принудительное исполнение решений арбитража и иностранных судов - 5 МРП;
12) с заявлений о повторной выдаче копий (дубликатов) судебных решений, приговоров, определений, прочих постановлений судов, а также копий других документов из дела, выдаваемых судами по просьбе сторон и других лиц, участвующих в деле, - 0,1 МРП за каждый документ, а также 0,03 МРП за каждую изготовленную страницу;
13) с заявлений о признании юридических лиц банкротами, применении реабилитационной процедуры - 0,5 МРП;
14) с заявлений о применении процедуры восстановления платежеспособности или процедуры судебного банкротства - 0,3 МРП;
15) с исков физических лиц о взыскании в денежном выражении компенсации морального вреда, причиненного распространением сведений, порочащих честь, достоинство и деловую репутацию, -1 процент от суммы иска;
16) с исков юридических лиц о взыскании убытков, причиненных распространением сведений, порочащих деловую репутацию, - 3 процента от суммы иска.
2. С подаваемых в Конституционный Суд Республики Казахстан обращений граждан государственная пошлина взимается в размере нулевой ставки.
3. С кассационных жалоб о пересмотре судебных актов в кассационном порядке на определения по вопросам отмены решений арбитража и выдачи исполнительных листов на принудительное исполнение решений арбитража и иностранных судов, решения и постановления судов по спорам неимущественного и имущественного характера государственная пошлина взимается в размере 50 процентов от соответствующей ставки государственной пошлины, установленной пунктом 1 настоящей статьи для субъекта обращения.
4. За иски, содержащие одновременно требования имущественного и неимущественного характера, взимается одновременно государственная пошлина, установленная для исков имущественного характера и для исков неимущественного характера.
Статья 666. Ставки государственной пошлины при выдаче виз Республики Казахстан, оформлении документов на выезд из Республики Казахстан на постоянное место жительства, оформлении и согласовании приглашений на въезд иностранцев и лиц без гражданства в Республику Казахстан, приобретении гражданства Республики Казахстан, восстановлении гражданства Республики Казахстан или выходе из гражданства Республики Казахстан, выдаче разрешения на постоянное проживание в Республике Казахстан
За совершение действий, связанных с выдачей виз Республики Казахстан, оформлением документов на выезд из Республики Казахстан на постоянное место жительства, оформлением и согласованием приглашений на въезд иностранцев и лиц без гражданства в Республику Казахстан, приобретением гражданства Республики Казахстан, восстановлением гражданства Республики Казахстан или выходом из гражданства Республики Казахстан, выдачей разрешения на постоянное проживание в Республике Казахстан, государственная пошлина взимается в следующих размерах:
1) за выдачу, восстановление или продление на территории Республики Казахстан иностранцам и лицам без гражданства визы на право:
выезда из Республики Казахстан - 0,5 МРП;
въезда в Республику Казахстан и выезда из Республики Казахстан - 7 МРП;
многократного въезда в Республику Казахстан и выезда из Республики Казахстан - 30 МРП;
2) за оформление документов на выезд из Республики Казахстан на постоянное место жительства гражданам Республики Казахстан, а также иностранцам и лицам без гражданства, постоянно проживающим на территории Республики Казахстан, - 1 МРП;
3) за оформление приглашений на въезд иностранцев и лиц без гражданства в Республику Казахстан по частным делам, согласование приглашений принимающих лиц по выдаче виз Республики Казахстан - 0,5 МРП за каждого приглашаемого;
4) за оформление документов о приобретении гражданства Республики Казахстан, восстановлении в гражданстве Республики Казахстан, выходе из гражданства Республики Казахстан - 1 МРП;
5) за выдачу разрешения на постоянное проживание в Республике Казахстан - 4 МРП.
Статья 667. Ставки государственной пошлины за совершение нотариальных и прочих действий. Освобождение от уплаты государственной пошлины при совершении нотариальных действий
1. За совершение нотариальных действий государственная пошлина взимается в следующих размерах:
1) за удостоверение договоров об отчуждении недвижимого имущества (земельных участков, жилищ, дач, гаражей, сооружений и иного недвижимого имущества) в городской местности:
если одной из сторон является юридическое лицо, - 10 МРП;
стоимостью до 30 МРП:
детям, супругу (супруге), родителям, родным братьям и сестрам, внукам - 1 МРП;
другим лицам - 3 МРП;
стоимостью свыше 30 МРП:
детям, супругу (супруге), родителям, родным братьям и сестрам, внукам - 5 МРП;
другим лицам - 7 МРП;
если сделка совершается в целях приобретения недвижимого имущества за счет средств, полученных по ипотечному жилищному займу, - 2 МРП;
2) за удостоверение договоров об отчуждении недвижимого имущества (земельных участков, жилищ, дач, гаражей, сооружений и иного недвижимого имущества) в сельской местности:
если одной из сторон является юридическое лицо, - 1 МРП;
детям, супругу (супруге), родителям, родным братьям и сестрам, внукам - 0,5 МРП;
другим лицам - 0,7 МРП;
3) за удостоверение договоров отчуждения автомототранспортных средств:
если одной из сторон является юридическое лицо, - 7 МРП;
детям, супругу (супруге), родителям, родным братьям и сестрам, внукам - 2 МРП;
другим лицам - 5 МРП;
4) за удостоверение договоров аренды, займа (за исключением договоров ипотечного жилищного займа), задатка, лизинга, подряда, брачных контрактов, раздела имущества, находящегося в общей собственности, раздела наследственного имущества, соглашений по уплате алиментов, учредительных договоров - 5 МРП;
5) за удостоверение договоров ипотечного жилищного займа - 2 МРП;
6) за удостоверение завещаний - 1 МРП;
7) за выдачу свидетельств о праве на наследство - 1 МРП за каждое выданное свидетельство;
8) за выдачу свидетельств о праве собственности на долю в общем имуществе супругов и иных лиц, имеющих имущество на праве общей совместной собственности, - 1 МРП;
9) за удостоверение доверенностей на право пользования и распоряжения имуществом - 0,5 МРП;
10) за удостоверение доверенностей на право пользования и управления автотранспортными средствами без права продажи - 1 МРП;
11) за удостоверение доверенностей на продажу, дарение, мену автотранспортных средств - 2 МРП;
12) за удостоверение прочих доверенностей:
для физических лиц - 0,1 МРП;
для юридических лиц - 0,5 МРП;
13) за удостоверение согласий, для которых законодательством Республики Казахстан предусмотрено обязательное нотариальное удостоверение, - 0,5 МРП;
14) за принятие мер по охране наследственного имущества - 1 МРП;
15) за совершение морского протеста - 0,5 МРП;
16) за свидетельствование верности копий документов и выписок из документов (за страницу):
для физических лиц - 0,05 МРП;
для юридических лиц - 0,1 МРП;
17) за свидетельствование подлинности подписи на документах, а также верности перевода документов с одного языка на другой (за каждый документ):
для физических лиц - 0,03 МРП;
для юридических лиц - 0,1 МРП;
18) за передачу заявлений физических и юридических лиц другим физическим и юридическим лицам - 0,2 МРП;
19) за выдачу нотариально засвидетельствованных копий документов - 0,2 МРП;
20) за выдачу дубликата - 1 МРП;
21) за свидетельствование подлинности подписей при открытии счетов в банках второго уровня (за каждый документ):
для физических лиц - 0,1 МРП;
для юридических лиц - 0,5 МРП;
22) за удостоверение договоров залога недвижимости, прав требования и ипотечных свидетельств по ипотечным жилищным займам - 2 МРП; за удостоверение иных договоров залога - 7 МРП;
23) за совершение протеста векселя и за удостоверение неоплаты чека - 0,5 МРП;
24) за совершение исполнительной надписи - 0,5 МРП;
25) за хранение документов и ценных бумаг - 0,1 МРП за каждый месяц;
26) за удостоверение договоров поручительства и гарантии - 0,5 МРП;
27) за совершение других нотариальных действий, предусмотренных иными законами Республики Казахстан, - 0,2 МРП.
2. От уплаты государственной пошлины при совершении нотариальных действий освобождаются:
1) физические лица - за удостоверение их завещаний, договоров дарения имущества в пользу государства;
2) государственные учреждения - за выдачу им свидетельств (дубликатов свидетельств) о праве государства на наследство, а также за все документы, необходимые для получения этих свидетельств (дубликатов свидетельств);
3) физические лица - за выдачу им свидетельств о праве на наследство:
имущества лиц, погибших при защите Республики Казахстан, в связи с выполнением иных государственных или общественных обязанностей либо в связи с выполнением долга гражданина Республики Казахстан по спасению человеческой жизни, охране государственной собственности и правопорядка;
жилища или пая в жилищно-строительном кооперативе, если наследник проживал с наследодателем не менее трех лет на день смерти наследодателя и продолжает проживать в этом жилище после его смерти;
страховых выплат по договорам страхования, облигаций государственных займов, сумм оплаты труда, авторских прав, сумм авторского гонорара и вознаграждения за открытия, изобретения и промышленные образцы;
имущества реабилитированных граждан;
4) ветераны Великой Отечественной войны, ветераны, приравненные по льготам к ветеранам Великой Отечественной войны, и ветераны боевых действий на территории других государств, лица, награжденные орденами и медалями бывшего Союза ССР за самоотверженный труд и безупречную воинскую службу в тылу в годы Великой Отечественной войны, лица, проработавшие (прослужившие) не менее шести месяцев с 22 июня 1941 года по 9 мая 1945 года и не награжденные орденами и медалями бывшего Союза ССР за самоотверженный труд и безупречную воинскую службу в тылу в годы Великой Отечественной войны, лица с инвалидностью, а также один из родителей лица с инвалидностью с детства, ребенка с инвалидностью - по всем нотариальным действиям;
5) кандасы - по всем нотариальным действиям, связанным с приобретением гражданства Республики Казахстан;
6) многодетные матери, удостоенные звания «Мать-героиня», награжденные подвесками «Алтын алқа», «Күміс алқа», - по всем нотариальным действиям;
7) физические лица, страдающие психическим заболеванием или слабоумием, над которыми учреждена опека в установленном законодательством Республики Казахстан порядке, - за получение свидетельств о наследовании ими имущества;
8) союз «Добровольное общество лиц с инвалидностью Казахстана», Казахское общество глухих, Казахское общество слепых, а также их производственные предприятия - по всем нотариальным действиям;
9) дети-сироты и дети, оставшиеся без попечения родителей, до достижения ими восемнадцатилетнего возраста - за выдачу им свидетельств о праве на наследство.
3. За совершение прочих действий государственная пошлина взимается в следующих размерах:
1) за выдачу (переоформление) удостоверения охотника (дубликата удостоверения охотника) - 2 МРП;
2) за выдачу:
паспорта гражданина Республики Казахстан объемом:
24 страницы - 4 МРП (для детей до 16 лет);
36 страниц - 8 МРП;
48 страниц - 12 МРП;
удостоверения лица без гражданства, проездного документа - 8 МРП;
удостоверения личности гражданина Республики Казахстан - 0,2 МРП;
удостоверения личности гражданина Республики Казахстан в связи с его утратой в течение года более двух раз - 1 МРП;
вида на жительство иностранца в Республике Казахстан - 0,2 МРП;
3) за выдачу:
юридическим лицам:
заключения на ввоз на территорию Республики Казахстан гражданского, служебного оружия и патронов к нему - 2 МРП;
заключения на вывоз с территории Республики Казахстан гражданского, служебного оружия и патронов к нему - 2 МРП;
разрешения на хранение гражданского, служебного оружия и патронов к нему - 1 МРП;
разрешения на хранение и ношение гражданского, служебного оружия и патронов к нему - 1 МРП;
разрешения на перевозку гражданского, служебного оружия и патронов к нему - 2 МРП;
разрешения на приобретение гражданского, служебного оружия и патронов к нему - 3 МРП;
разрешения на приобретение гражданских пиротехнических веществ и изделий с их применением - 3 МРП;
физическим лицам:
разрешения на приобретение гражданского оружия и патронов к нему - 0,5 МРП;
разрешения на хранение гражданского оружия и патронов к нему - 0,5 МРП;
разрешения на хранение и ношение гражданского оружия и патронов к нему - 0,5 МРП;
разрешения на перевозку гражданского оружия и патронов к нему - 0,1 МРП;
4) за регистрацию и перерегистрацию каждой единицы гражданского, служебного оружия физических и юридических лиц (за исключением холодного охотничьего, сигнального оружия, механических распылителей, аэрозольных и других устройств, снаряженных слезоточивыми или раздражающими веществами, пневматического оружия с дульной энергией не более 7,5 Дж и калибра до 4,5 мм включительно) - 0,1 МРП;
5) за внесение изменений в документы, удостоверяющие личность, - 0,1 МРП;
6) за проставление уполномоченными Правительством Республики Казахстан государственными органами апостиля на официальных документах, совершенных в Республике Казахстан, в соответствии с международным договором, ратифицированным Республикой Казахстан, - 0,5 МРП за каждый документ;
7) за выдачу:
водительского удостоверения - 1,25 МРП;
свидетельства о государственной регистрации транспортных средств - 1,25 МРП;
государственного регистрационного номерного знака на автомобиль, если иное не установлено настоящим подпунктом, - 2,8 МРП;
дубликата государственного регистрационного номерного знака в количестве 2 единиц на автомобиль - 2,8 МРП;
дубликата государственного регистрационного номерного знака в количестве 1 единицы на автомобиль - 1,4 МРП;
государственных регистрационных номерных знаков цифрового обозначения 010, 020, 030, 040, 050, 060, 070, 077, 080, 090, 707 на автомобиль - 57 МРП;
государственных регистрационных номерных знаков цифрового обозначения 010, 020, 030, 040, 050, 060, 070, 077, 080, 090, 707 с одинаковыми буквенными обозначениями на автомобиль - 114 МРП;
государственных регистрационных номерных знаков цифрового обозначения 100, 111, 200, 222, 300, 333, 400, 444, 500, 555, 600, 666, 700, 800, 888, 900, 999 на автомобиль - 137 МРП;
государственных регистрационных номерных знаков цифрового обозначения 100, 111, 200, 222, 300, 333, 400, 444, 500, 555, 600, 666, 700, 800, 888, 900, 999 с одинаковыми буквенными обозначениями на автомобиль - 194 МРП;
государственных регистрационных номерных знаков цифрового обозначения 001, 002, 003, 004, 005, 006, 007, 008, 009, 777 на автомобиль - 228 МРП;
государственных регистрационных номерных знаков цифрового обозначения 001, 002, 003, 004, 005, 006, 007, 008, 009, 777 с одинаковыми буквенными обозначениями на автомобиль - 285 МРП;
государственных регистрационных номерных знаков цифрового обозначения 101, 121, 131, 141, 151, 161, 171, 181, 191, 202, 212, 232, 242, 252, 262, 272, 282, 292, 303, 313, 323, 343, 353, 363, 373, 383, 393, 404, 414, 424, 434, 454, 464, 474, 484, 494, 505, 515, 525, 535, 545, 565, 575, 585, 595, 606, 616, 626, 636, 646, 656, 676, 686, 696, 717, 727, 737, 747, 757, 767, 787, 797, 808, 818, 828, 838, 848, 858, 868, 878, 898, 909, 919, 929, 939, 949, 959, 969, 979, 989 - 15 МРП;
государственных регистрационных номерных знаков цифрового обозначения 101, 121, 131, 141, 151, 161, 171, 181, 191, 202, 212, 232, 242, 252, 262, 272, 282, 292, 303, 313, 323, 343, 353, 363, 373, 383, 393, 404, 414, 424, 434, 454, 464, 474, 484, 494, 505, 515, 525, 535, 545, 565, 575, 585, 595, 606, 616, 626, 636, 646, 656, 676, 686, 696, 717, 727, 737, 747, 757, 767, 787, 797, 808, 818, 828, 838, 848, 858, 868, 878, 898, 909, 919, 929, 939, 949, 959, 969, 979, 989 с одинаковыми буквенными обозначениями на автомобиль - 72 МРП;
государственных регистрационных номерных знаков (за исключением государственных регистрационных номерных знаков цифрового обозначения 001, 002, 003, 004, 005, 006, 007, 008, 009, 010, 020, 030, 040, 050, 060, 070, 077, 080, 090, 100, 101, 111, 121, 131, 141, 151, 161, 171, 181, 191, 200, 202, 212, 222, 232, 242, 252, 262, 272, 282, 292, 300, 303, 313, 323, 333, 343, 353, 363, 373, 383, 393, 400, 404, 414, 424, 434, 444, 454, 464, 474, 484, 494, 500, 505, 515, 525, 535, 545, 555, 565, 575, 585, 595, 600, 606, 616, 626, 636, 646, 656, 666, 676, 686, 696, 700, 707, 717, 727, 737, 747, 757, 767, 777, 787, 797, 800, 808, 818, 828, 838, 848, 858, 868, 878, 888, 898, 900, 909, 919, 929, 939, 949, 959, 969, 979, 989, 999) с одинаковыми буквенными обозначениями на автомобиль - 57 МРП;
государственных регистрационных номерных знаков с любым желаемым цифровым и (или) буквенным обозначениями (за исключением государственных регистрационных номерных знаков цифрового обозначения 001, 002, 003, 004, 005, 006, 007, 008, 009, 010, 020, 030, 040, 050, 060, 070, 077, 080, 090, 100, 101, 111, 121, 131, 141, 151, 161, 171, 181, 191, 200, 202, 212, 222, 232, 242, 252, 262, 272, 282, 292, 300, 303, 313, 323, 333, 343, 353, 363, 373, 383, 393, 400, 404, 414, 424, 434, 444, 454, 464, 474, 484, 494, 500, 505, 515, 525, 535, 545, 555, 565, 575, 585, 595, 600, 606, 616, 626, 636, 646, 656, 666, 676, 686, 696, 700, 707, 717, 727, 737, 747, 757, 767, 777, 787, 797, 800, 808, 818, 828, 838, 848, 858, 868, 878, 888, 898, 900, 909, 919, 929, 939, 949, 959, 969, 979, 989, 999 и (или) с одинаковыми буквенными обозначениями) на автомобиль - 10 МРП;
государственного регистрационного номерного знака на мототранспорт, прицеп к автомобилю - 1,4 МРП;
дубликата государственного регистрационного номерного знака на мототранспорт, прицеп к автомобилю - 1,4 МРП;
государственного регистрационного номерного знака (транзитного) для перегона транспортного средства - 0,35 МРП.
При этом размер государственной пошлины за выдачу государственного регистрационного номерного знака на автомобиль, находящийся в ведении государственного органа, составляет 2,8 МРП;
8) за выдачу:
удостоверения тракториста-машиниста - 0,5 МРП;
государственного регистрационного номерного знака на тракторы, изготовленные на их базе самоходные шасси и механизмы, прицепы к ним, (включая прицепы со смонтированным специальным оборудованием), самоходные сельскохозяйственные, мелиоративные и дорожно-строительные машины и механизмы - 1 МРП;
технического паспорта для государственной регистрации тракторов, изготовленных на их базе самоходных шасси и механизмов, прицепов к ним (включая прицепы со смонтированным специальным оборудованием), самоходных сельскохозяйственных, мелиоративных и дорожно-строительных машин и механизмов - 0,5 МРП;
Статья 668. Освобождение от уплаты государственной пошлины в Конституционном Суде Республики Казахстан и в судах
От уплаты государственной пошлины в судах освобождаются:
1) истцы - по искам о взыскании сумм оплаты труда и другим требованиям, связанным с трудовой деятельностью;
2) истцы - авторы, исполнители и организации, управляющие их имущественными правами на коллективной основе, - по искам, вытекающим из авторского права и смежных прав;
3) истцы - авторы объектов промышленной собственности -по искам, вытекающим из права на изобретение, полезные модели и промышленные образцы;
4) истцы - по искам о взыскании алиментов;
5) истцы - по искам о возмещении вреда, причиненного увечьем или иным повреждением здоровья, а также смертью кормильца;
6) истцы - по искам о возмещении материального ущерба, причиненного уголовным правонарушением;
7) физические и юридические лица, кроме лиц, не имеющих отношения к делу, - за выдачу им документов в связи с уголовными делами и делами по алиментам;
8) истцы - по искам о взыскании в доход государства средств в счет возмещения ущерба, причиненного государству нарушением экологического законодательства Республики Казахстан;
9) заявители - по заявлениям о нарушениях избирательных прав граждан и общественных объединений, прав граждан и общественных объединений участвовать в республиканском референдуме;
10) профессиональные школы и профессиональные лицеи, обеспечивающие подготовку работников квалифицированного труда и рабочих кадров повышенного уровня квалификации, -по искам о взыскании понесенных государством расходов на содержание учащихся, самовольно оставивших учебные заведения или исключенных из них;
11) физические и юридические лица, обратившиеся в случаях, предусмотренных законодательством Республики Казахстан, в суд с заявлением в защиту прав и охраняемых законом интересов других лиц или государства;
12) поверенный (агент), обратившийся в суд с иском по возврату бюджетных кредитов, а также государственных и гарантированных государством займов в соответствии с бюджетным законодательством Республики Казахстан;
13) ветераны Великой Отечественной войны, ветераны, приравненные по льготам к ветеранам Великой Отечественной войны, и ветераны боевых действий на территории других государств, лица, награжденные орденами и медалями бывшего Союза ССР за самоотверженный труд и безупречную воинскую службу в тылу в годы Великой Отечественной войны, лица, проработавшие (прослужившие) не менее шести месяцев с 22 июня 1941 года по 9 мая 1945 года и не награжденные орденами и медалями бывшего Союза ССР за самоотверженный труд и безупречную воинскую службу в тылу в годы Великой Отечественной войны, лица с инвалидностью, а также один из родителей лица с инвалидностью с детства, ребенка с инвалидностью - по всем делам и документам;
14) истцы-кандасы - по всем делам и документам, связанным с приобретением гражданства Республики Казахстан;
15) физические и юридические лица - за подачу в суд заявлений о (об):
отмене определения суда о прекращении производства по делу или оставлении заявления без рассмотрения;
отсрочке или рассрочке исполнения решения;
изменении способа и порядка исполнения решения;
обеспечении исков или замене одного вида обеспечения другим;
пересмотре решений, определений или постановлений суда по вновь открывшимся обстоятельствам;
сложении или уменьшении штрафов, наложенных определениями суда;
повороте исполнения решений суда о восстановлении пропущенных сроков;
отмене заочного решения суда;
помещении в специальные организации образования и организации образования с особым режимом содержания;
а также:
жалоб на действия судебных исполнителей;
частных жалоб на определения судов об отказе в сложении или уменьшении штрафов;
других частных жалоб на определения суда;
жалоб на постановления по делам об административных правонарушениях;
16) органы прокуратуры - по всем искам;
17) государственные учреждения и государственные учебные заведения среднего образования - при предъявлении исков и обжаловании решений судов, за исключением случаев защиты интересов третьих лиц;
18) общественные объединения лиц с инвалидностью и (или) созданные ими организации, в которых работают не менее 35 процентов лиц с инвалидностью по потере слуха, речи, а также зрения, - при подаче исков в своих интересах;
19) страхователи и страховщики - по искам, возникающим из договоров обязательного страхования;
20) истцы и ответчики - по спорам, связанным с возмещением ущерба, причиненного гражданину незаконным осуждением, незаконным применением меры пресечения в виде заключения под стражу либо незаконным наложением административного взыскания в виде ареста;
21) Национальный Банк, его филиалы, представительства и ведомства - при подаче исков по вопросам, входящим в их компетенцию;
22) Уполномоченный по правам человека в Республике Казахстан - при подаче исков по вопросам, входящим в его компетенцию;
23) ликвидационные комиссии принудительно ликвидируемых финансовых организаций - по искам, заявлениям, жалобам, поданным в интересах ликвидационного производства;
24) ликвидационные комиссии принудительно прекращающих деятельность филиалов банков - нерезидентов Республики Казахстан, филиалов страховых (перестраховочных) организаций -нерезидентов Республики Казахстан - по искам, заявлениям, жалобам, поданным в интересах процедуры принудительного прекращения деятельности;
25) временные администрации принудительно ликвидируемых финансовых организаций - по искам, заявлениям, жалобам, поданным в интересах временной администрации;
26) банки, уполномоченные в соответствии с законом Республики Казахстан на реализацию государственной инвестиционной политики, - при подаче исков о (об):
взыскании задолженности по кредитам, выданным на возвратной основе за счет бюджетных средств;
обращении взыскания на имущество;
банкротстве должников в связи с неисполнением ими обязательств по внешним государственным и гарантированным государством займам, а также займам, выданным за счет бюджетных средств;
27) представители держателей облигаций - при подаче исков от имени держателей облигаций по вопросам неисполнения эмитентами обязательств, установленных проспектом выпуска облигаций;
28) банкротные и реабилитационные управляющие - при подаче исков в интересах процедуры банкротства, реабилитационной процедуры в пределах своих полномочий, предусмотренных законодательством Республики Казахстан о реабилитации и банкротстве;
29) единый накопительный пенсионный фонд, добровольные накопительные пенсионные фонды - при предъявлении исков и обжаловании решений судов в рамках проводимых работ по взысканию с должников задолженности, образовавшейся в связи с неисполнением ими обязательств в отношении пенсионных активов;
30) органы внутренних дел - при подаче заявлений по вопросам, связанным с выдворением иностранцев и лиц без гражданства за пределы Республики Казахстан за нарушение законодательства Республики Казахстан;
31) истцы (заявители) - по искам (заявлениям) о защите прав, свобод и законных интересов физических и юридических лиц, в том числе в интересах неопределенного круга лиц, по вопросам охраны окружающей среды и использования природных ресурсов;
32) организация, специализирующаяся на улучшении качества кредитных портфелей банков второго уровня, единственным акционером которой является Правительство Республики Казахстан, - при предъявлении исков и обжаловании решений судов;
33) истцы - по искам о признании потенциального поставщика или поставщика недобросовестным участником государственных закупок;
34) организация, осуществляющая обязательное гарантирование депозитов физических лиц, - по спорам, связанным со взысканием с банка - участника системы обязательного гарантирования депозитов сумм неуплаченных взносов, а также неустойки за неисполнение им своих обязательств по договору присоединения.
Лица, указанные в части первой настоящей статьи, освобождаются от уплаты государственной пошлины в судах также при обжаловании судебных актов.
От уплаты государственной пошлины в Конституционном Суде Республики Казахстан освобождаются физические лица - герои Советского Союза, герои Социалистического Труда, лица, награжденные орденами Славы трех степеней и Трудовой Славы трех степеней, «Алтын Қыран», «Отан», удостоенные званий «Халық қаһарманы», «Қазақстанның Еңбек Ері», многодетные матери, удостоенные звания «Мать-героиня», награжденные подвесками «Алтын алқа», «Күміс алқа», ветераны Великой Отечественной войны, ветераны, приравненные по льготам к ветеранам Великой Отечественной войны, и ветераны боевых действий на территории других государств, лица, награжденные орденами и медалями бывшего Союза ССР за самоотверженный труд и безупречную воинскую службу в тылу в годы Великой Отечественной войны, лица, проработавшие (прослужившие) не менее шести месяцев с 22 июня 1941 года по 9 мая 1945 года и не награжденные орденами и медалями бывшего Союза ССР за самоотверженный труд и безупречную воинскую службу в тылу в годы Великой Отечественной войны, лица с инвалидностью, а также один из родителей лица с инвалидностью с детства, ребенка с инвалидностью.
Статья 669. Освобождение от уплаты государственной пошлины при оформлении документов о приобретении гражданства Республики Казахстан
1. От уплаты государственной пошлины освобождаются:
1) лица, вынужденно покинувшие территорию Республики Казахстан в периоды массовых репрессий, насильственной коллективизации, в результате иных антигуманных политических акций, и их потомки - за оформление документов о приобретении гражданства Республики Казахстан;
2) кандасы - за оформление документов о приобретении гражданства Республики Казахстан.
2. Указанное освобождение от уплаты государственной пошлины предоставляется один раз.
Статья 670. Освобождение от уплаты государственной пошлины при согласовании приглашений принимающих лиц по выдаче виз Республики Казахстан, а также при выдаче, восстановлении или продлении виз Республики Казахстан
От уплаты государственной пошлины освобождаются:
1) при согласовании приглашений принимающих лиц по выдаче виз Республики Казахстан:
физические и юридические лица государств, заключивших с Республикой Казахстан международный договор о взаимном отказе от взимания консульских сборов;
принимающие лица, ходатайствующие о согласовании приглашений по выдаче виз Республики Казахстан:
членам иностранных официальных делегаций и сопровождающим их лицам, направляющимся в Республику Казахстан;
иностранцам, направляющимся в Республику Казахстан по приглашениям Администрации Президента Республики Казахстан, Правительства Республики Казахстан, Парламента Республики Казахстан, Конституционного Суда Республики Казахстан, Верховного Суда Республики Казахстан, Центральной избирательной комиссии Республики Казахстан, Аппарата Правительства Республики Казахстан, государственных органов, акиматов областей, городов республиканского значения и столицы;
иностранцам, направляющимся в Республику Казахстан с гуманитарной помощью, согласованной с заинтересованными государственными органами Республики Казахстан;
иностранным инвесторам;
этническим казахам;
детям до 16 лет на основе принципа взаимности;
2) за выдачу, восстановление или продление на территории Республики Казахстан визы иностранцам и лицам без гражданства:
членам иностранных официальных делегаций и сопровождающим их лицам, прибывающим в Республику Казахстан;
прибывающим в Республику Казахстан по приглашению Администрации Президента Республики Казахстан, Правительства Республики Казахстан, Парламента Республики Казахстан, Конституционного Суда Республики Казахстан, Верховного Суда Республики Казахстан, Центральной избирательной комиссии Республики Казахстан, Аппарата Правительства Республики Казахстан, государственных органов, акиматов областей, городов республиканского значения и столицы;
иностранцам, направляющимся в Республику Казахстан с гуманитарной помощью, согласованной с заинтересованными государственными органами Республики Казахстан;
этническим казахам;
детям до 16 лет на основе принципа взаимности;
лицам, которые ранее состояли в гражданстве Республики Казахстан, постоянно проживающим за границей и направляющимся в Республику Казахстан на похороны близких родственников;
иностранным инвесторам;
3) за выдачу повторных виз взамен первичных виз, содержащих ошибки, допущенные сотрудниками консульских учреждений Республики Казахстан, Министерства иностранных дел, Министерства внутренних дел Республики Казахстан.
Статья 671. Освобождение от уплаты государственной пошлины при совершении прочих действий
Освобождаются от уплаты государственной пошлины при:
1) предъявлении гражданского иска в уголовном деле;
2) проставлении апостиля на документах, поступающих на апостилирование через дипломатические представительства и консульские учреждения Республики Казахстан;
3) выдаче повторных свидетельств о регистрации актов гражданского состояния - граждане, обратившиеся через дипломатические представительства и консульские учреждения Республики Казахстан;
4) выдаче паспортов и удостоверений личности граждан Республики Казахстан, а также видов на жительство иностранного гражданина в Республике Казахстан и удостоверений лица без гражданства:
герои Советского Союза, герои Социалистического Труда;
лица, награжденные орденами Славы трех степеней и Трудовой Славы трех степеней, «Алтын Қыран», «Отан», удостоенные званий «Халық қаһарманы», «Қазақстанның Еңбек Epi»;
многодетные матери, удостоенные звания «Мать-героиня», награжденные подвесками «Алтын алқа», «Күміс алқа»;
ветераны Великой Отечественной войны, ветераны, приравненные по льготам к ветеранам Великой Отечественной войны, и ветераны боевых действий на территории других государств, лица, награжденные орденами и медалями бывшего Союза ССР за самоотверженный труд и безупречную воинскую службу в тылу в годы Великой Отечественной войны, лица, проработавшие (прослужившие) не менее шести месяцев с 22 июня 1941 года по 9 мая 1945 года и не награжденные орденами и медалями бывшего Союза ССР за самоотверженный труд и безупречную воинскую службу в тылу в годы Великой Отечественной войны, лица с инвалидностью, а также один из родителей лица с инвалидностью с детства, ребенка с инвалидностью;
престарелые, проживающие в медико-социальных учреждениях общего типа для престарелых и лиц с инвалидностью, дети-сироты и дети, оставшиеся без попечения родителей, находящиеся на полном государственном обеспечении, проживающие в детских домах и (или) интернатах;
граждане, пострадавшие вследствие Чернобыльской катастрофы;
5) выдаче государственного регистрационного номерного знака на автомобиль, прицеп к автомобилю, мототранспорт, за исключением выдачи государственных регистрационных номерных знаков повышенного спроса:
герои Советского Союза, герои Социалистического Труда, лица, награжденные орденами Славы трех степеней и Трудовой Славы трех степеней, «Алтын Қыран», «Отан», удостоенные званий «Халық қаһарманы», «Қазақстанның Еңбек Epi»;
ветераны Великой Отечественной войны, ветераны, приравненные по льготам к ветеранам Великой Отечественной войны, и ветераны боевых действий на территории других государств, лица, награжденные орденами и медалями бывшего Союза ССР за самоотверженный труд и безупречную воинскую службу в тылу в годы Великой Отечественной войны, лица, проработавшие (прослужившие) не менее шести месяцев с 22 июня 1941 года по 9 мая 1945 года и не награжденные орденами и медалями бывшего Союза ССР за самоотверженный труд и безупречную воинскую службу в тылу в годы Великой Отечественной войны, лица с инвалидностью, а также один из родителей лица с инвалидностью с детства, ребенка с инвалидностью;
граждане, пострадавшие вследствие Чернобыльской катастрофы.
Статья 672. Порядок уплаты государственной пошлины
1. Государственная пошлина уплачивается:
1) по делам, рассматриваемым судами, - до подачи соответствующего иска, административного иска, заявления (жалобы) или заявления о вынесении судебного приказа, за исключением случаев, предусмотренных статьей 135 настоящего Кодекса, дел, предусмотренных частью третьей статьи 106 Гражданского процессуального кодекса Республики Казахстан, а также при выдаче судом копий документов;
по обращениям граждан, рассматриваемым Конституционным Судом Республики Казахстан, - до подачи обращения;
2) до выдачи соответствующих документов:
за выдачу паспортов и удостоверений личности граждан Республики Казахстан, удостоверений лица без гражданства, вида на жительство иностранца в Республике Казахстан и проездного документа;
за выдачу (переоформление) удостоверения охотника (дубликата удостоверения охотника);
за выдачу разрешений на приобретение, хранение или хранение и ношение, перевозку, заключений на ввоз на территорию Республики Казахстан и вывоз с территории Республики Казахстан гражданского, служебного оружия и патронов к нему;
за выдачу разрешений на приобретение гражданских пиротехнических веществ и изделий с их применением;
за регистрацию и перерегистрацию каждой единицы гражданского, служебного оружия физических и юридических лиц (за исключением холодного охотничьего, сигнального оружия, механических распылителей, аэрозольных и других устройств, снаряженных слезоточивыми или раздражающими веществами, пневматического оружия с дульной энергией не более 7,5 Дж и калибра до 4,5 мм включительно);
по делам, связанным с приобретением гражданства Республики Казахстан или прекращением гражданства Республики Казахстан, а также с выездом из Республики Казахстан и въездом в Республику Казахстан;
3) за выдачу водительских удостоверений, удостоверений тракториста-машиниста, свидетельств о государственной регистрации механических транспортных средств и прицепов, государственных регистрационных номерных знаков, а также дубликата государственного регистрационного номерного знака - до выдачи соответствующих документов, государственных регистрационных номерных знаков, дубликата государственного регистрационного номерного знака;
4) за проставление уполномоченными Правительством Республики Казахстан государственными органами апостиля на официальных документах, исходящих из государственных органов и от нотариусов Республики Казахстан, - до проставления апостиля.
2. Государственная пошлина зачисляется по месту совершения юридически значимых действий и (или) выдачи документов уполномоченными государственными органами или должностными лицами.
3. Уплата в бюджет суммы государственной пошлины производится путем перечисления через банковские организации либо внесения ее наличными деньгами на основании бланков строгой отчетности по форме, установленной уполномоченным органом.
4. При уплате суммы государственной пошлины наличными деньгами такие принятые суммы государственной пошлины сдаются уполномоченными государственными органами в банковские организации не позднее следующего операционного дня со дня, в который был осуществлен прием денег для последующего зачисления их в бюджет. В случае, если ежедневные поступления наличных денег составляют менее 10-кратного размера МРП, сдача денег осуществляется один раз в три операционных дня со дня, в который был осуществлен прием денег.
Параграф 2. Консульский сбор
Статья 673. Общие положения
Консульским сбором является платеж в бюджет, взимаемый дипломатическими представительствами и консульскими учреждениями Республики Казахстан, Министерством иностранных дел с иностранцев, лиц без гражданства, иностранных юридических лиц - нерезидентов, физических и юридических лиц Республики Казахстан, за совершение консульских действий и выдачу документов, имеющих юридическое значение.
Статья 674. Плательщики консульского сбора
Плательщиками консульского сбора являются иностранцы, лица без гражданства и иностранные юридические лица -нерезиденты, физические и юридические лица Республики Казахстан, в интересах которых совершаются консульские действия, предусмотренные статьей 675 настоящего Кодекса.
Статья 675. Объекты взимания
Консульский сбор взимается за совершение следующих консульских действий:
1) оформление паспорта гражданина Республики Казахстан, за исключением оформления дипломатического и служебного паспортов Республики Казахстан;
2) проработка обращений граждан и юридических лиц Республики Казахстан, а также иностранцев и лиц без гражданства, иностранных юридических лиц о выдаче виз и направление указания загранучреждениям Республики Казахстан о выдаче виз (визовой поддержке);
3) выдача виз Республики Казахстан;
4) выдача свидетельства на возвращение в Республику Казахстан;
5) оформление ходатайств граждан Республики Казахстан по вопросам пребывания за границей;
6) оформление документов по вопросам гражданства Республики Казахстан;
7) регистрация актов гражданского состояния;
8) истребование документов;
9) легализация документов, а также прием и препровождение документов для апостилирования;
10) совершение нотариальных действий;
11) хранение завещания, пакета с документами (кроме завещания), денег, ценных бумаг и других ценностей (за исключением наследственных) в консульском учреждении;
12) продажа товаров или иного имущества с публичных торгов;
13) принятие в депозит на срок до шести месяцев имущества или денежных сумм для передачи по принадлежности;
14) направление документов дипломатической почтой в адрес юридических лиц;
15) выдача временного свидетельства на право плавания под Государственным Флагом Республики Казахстан в случае приобретения судна за границей;
16) составление или заверение любой декларации или другого документа, предусмотренных законодательством Республики Казахстан или международными договорами, участницей которых является Республика Казахстан, в отношении судов Республики Казахстан;
17) составление акта о морском протесте в случае гибели или повреждения судна или груза (кораблекрушения судов) Республики Казахстан, находящихся за границей;
18) выдача иных документов (справок), имеющих юридическое значение.
Статья 676. Ставки консульского сбора
Министерство иностранных дел по согласованию с уполномоченным органом и уполномоченным органом в области налоговой политики разрабатывает и утверждает ставки консульского сбора:
1) взимаемого на территории Республики Казахстан;
2) за совершение консульских действий на территории иностранного государства.
Министерство иностранных дел вправе устанавливать дополнительно к ставкам, утвержденным в соответствии с подпунктом 2) части первой настоящей статьи, ставки консульского сбора за срочность на основе принципа взаимности.
Статья 677. Освобождение от уплаты консульского сбора
Консульский сбор не взимается:
1) в случаях, предусмотренных статьями 667 - 671 настоящего Кодекса;
2) с физических и юридических лиц государств, заключивших с Республикой Казахстан международный договор о взаимном отказе от взимания консульских сборов;
3) за истребование по запросам властей и отдельных граждан государств, заключивших с Республикой Казахстан международный договор о правовой помощи, документов по семейным, гражданским и уголовным делам, об алиментах, государственных пособиях и пенсиях, об усыновлении (удочерении);
4) за составление и печатание нот в иностранные дипломатические представительства и консульские учреждения о выдаче виз:
членам официальных делегаций Республики Казахстан и сопровождающим их лицам;
депутатам Парламента Республики Казахстан;
государственным служащим Республики Казахстан - владельцам дипломатического, служебного или национального паспортов Республики Казахстан, выезжающим по служебным делам;
членам семей персонала загранучреждений Республики Казахстан;
близким родственникам персонала загранучреждений Республики Казахстан и сопровождающим их лицам, выезжающим в связи с болезнью или смертью сотрудника или работника загранучреждения Республики Казахстан;
5) за проработку обращений граждан и юридических лиц Республики Казахстан, а также иностранцев и лиц без гражданства, иностранных юридических лиц о выдаче виз и направление указания загранучреждениям Республики Казахстан о выдаче виз (визовой поддержке):
членам иностранных официальных делегаций и сопровождающим их лицам, направляющимся в Республику Казахстан;
иностранцам, направляющимся в Республику Казахстан для участия в мероприятиях республиканского и международного значения (симпозиумы, конференции и иные политические, культурные, научные и спортивные мероприятия);
иностранцам, направляющимся в Республику Казахстан по приглашению Администрации Президента Республики Казахстан, Правительства Республики Казахстан, Парламента Республики Казахстан, Конституционного Суда Республики Казахстан, Верховного Суда Республики Казахстан, Центральной избирательной комиссии Республики Казахстан, Аппарата Правительства Республики Казахстан, государственных органов, акиматов областей, городов республиканского значения и столицы;
иностранцам, направляющимся в Республику Казахстан с гуманитарной помощью, согласованной с заинтересованными государственными органами Республики Казахстан;
сотрудникам международных организаций, направляющимся в Республику Казахстан по служебным делам;
иностранцам, направляющимся в Республику Казахстан по приглашению иностранных дипломатических представительств и консульских учреждений, а также международных организаций, аккредитованных в Республике Казахстан, на основе принципа взаимности;
инвесторских виз;
лицам казахской национальности, не являющимся гражданами Республики Казахстан;
детям до 16 лет на основе принципа взаимности;
6) за выдачу виз:
членам иностранных официальных делегаций и сопровождающим их лицам, направляющимся в Республику Казахстан;
иностранцам, направляющимся в Республику Казахстан для участия в мероприятиях республиканского и международного значения (симпозиумы, конференции и иные политические, культурные, научные и спортивные мероприятия);
иностранцам, направляющимся в Республику Казахстан по приглашению Администрации Президента Республики Казахстан, Правительства Республики Казахстан, Парламента Республики Казахстан, Конституционного Суда Республики Казахстан, Верховного Суда Республики Казахстан, Центральной избирательной комиссии Республики Казахстан, Управления делами Президента Республики Казахстан, Аппарата Правительства Республики Казахстан;
иностранцам, направляющимся в Республику Казахстан с гуманитарной помощью, согласованной с заинтересованными государственными органами Республики Казахстан;
сотрудникам международных организаций, направляющимся в Республику Казахстан по служебным делам;
иностранцам, направляющимся в Республику Казахстан по приглашению иностранных дипломатических представительств и консульских учреждений, а также международных организаций, аккредитованных в Республике Казахстан, на основе принципа взаимности;
иностранцам - владельцам дипломатических и служебных паспортов, направляющимся в Республику Казахстан по служебным делам;
детям до 16 лет на основе принципа взаимности;
лицам казахской национальности, не являющимся гражданами Республики Казахстан;
бывшим гражданам Республики Казахстан, постоянно проживающим за границей и направляющимся в Республику Казахстан на похороны близких родственников;
инвесторских виз;
служебных виз;
дипломатических виз;
7) за выдачу повторных виз взамен первичных виз, содержащих ошибки, допущенные сотрудниками консульских учреждений Республики Казахстан и Министерства иностранных дел;
8) за выдачу свидетельств на возвращение в Республику Казахстан и справок гражданам Республики Казахстан, у которых отсутствуют документы и деньги вследствие их утери, стихийных бедствий или других форс-мажорных обстоятельств;
9) за выдачу свидетельств о смерти и справок при отправке в Республику Казахстан гробов и урн с прахом граждан Республики Казахстан, умерших за границей;
10) за истребование документов по ходатайствам иностранных дипломатических представительств и консульских учреждений на основе принципа взаимности;
11) за легализацию документов граждан Республики Казахстан, истребуемых через загранучреждения Республики Казахстан;
12) за легализацию документов по ходатайствам иностранных дипломатических представительств и консульских учреждений, а также международных организаций на основе принципа взаимности;
13) за постановку на консульский учет и снятие с консульского учета граждан Республики Казахстан, временно и постоянно проживающих за границей, а также детей, являющихся гражданами Республики Казахстан, переданных на усыновление (удочерение) иностранцам.
Статья 678. Порядок уплаты консульского сбора
1. Консульский сбор уплачивается до совершения консульских действий.
2. Дипломатические представительства и консульские учреждения Республики Казахстан осуществляют консульские действия после уплаты плательщиком консульского сбора.
3. Уплата консульских сборов на территории Республики Казахстан, ставка которых установлена в долларах США, производится в тенге по официальному курсу, установленному Национальным Банком на день уплаты сбора.
4. Консульский сбор уплачивается:
1) на территории Республики Казахстан - путем перечисления через банки второго уровня или организации, осуществляющие отдельные виды банковских операций, в бюджет по месту осуществления консульских действий или наличными деньгами в консульских учреждениях на основании бланков строгой отчетности по форме, установленной Министерством иностранных дел.
В случае уплаты консульского сбора наличными деньгами данные суммы консульского сбора сдаются уполномоченным государственным органом в банковские организации не позднее следующего операционного дня со дня, в который был осуществлен прием денег для последующего зачисления их в бюджет. В случае, если ежедневные поступления наличных денег составляют менее 10-кратного размера месячного расчетного показателя, сдача денег осуществляется один раз в три операционных дня со дня, в который был осуществлен прием денег;
2) за пределами территории Республики Казахстан - путем перечисления через банки или организации, осуществляющие отдельные виды банковских операций, на банковский счет дипломатического представительства или консульского учреждения без права хозяйственного пользования или наличными деньгами в консульских учреждениях на основании бланков строгой отчетности по форме, установленной Министерством иностранных дел.
5. Уплата консульского сбора производится в валюте государства, на территории которого совершаются консульские действия, или в любой другой свободно конвертируемой валюте.
6. Принятые суммы консульского сбора за рубежом сдаются дипломатическим представительством или консульским учреждением в иностранный банк государства пребывания дипломатического представительства или консульского учреждения не позднее десяти операционных дней со дня их приема для зачисления на иностранный банковский счет.
Консульские сборы, поступившие на иностранный банковский счет в валюте государства пребывания дипломатического представительства или консульского учреждения, конвертируются в доллары США, евро, английские фунты стерлингов, швейцарские франки, канадские доллары, японские иены, российские рубли, китайские юани иностранным банком по поручению дипломатического представительства или консульского учреждения Республики Казахстан.
Распорядителем иностранного банковского счета является руководитель дипломатического представительства или консульского учреждения Республики Казахстан с правом первой подписи.
Консульские сборы, поступившие на иностранный банковский счет, ежемесячно в срок не позднее 10 числа месяца, следующего за отчетным, переводятся дипломатическим представительством или консульским учреждением на валютный счет Министерства иностранных дел для дальнейшего зачисления в доход бюджета. В случае, если ежемесячные поступления от консульских сборов в дипломатическое представительство или консульское учреждение составляют менее 1000 долларов США или его эквивалент в видах валюты, указанных в настоящем пункте, по курсу на конец отчетного периода, перевод осуществляется ежеквартально в срок не позднее 10 числа месяца, следующего за отчетным.
Министерство иностранных дел переведенные дипломатическим представительством или консульским учреждением консульские сборы в течение трех рабочих дней со дня получения из Национального Банка выписок по корреспондентским счетам в иностранной валюте с приложением платежных документов в электронной форме перечисляет в доход республиканского бюджета.
7. Уплаченные суммы консульских сборов возврату не подлежат.
РАЗДЕЛ 15. НАЛОГООБЛОЖЕНИЕ НЕРЕЗИДЕНТОВ
Статья 679. Доходы нерезидента из источников в Республике Казахстан
1. Доходами нерезидента из источников в Республике Казахстан признаются следующие виды доходов:
1) доход от реализации товаров на территории Республики Казахстан, а также доход от реализации товаров, находящихся в Республике Казахстан, за ее пределы в рамках осуществления внешнеторговой деятельности;
2) доход от выполнения работ, оказания услуг на территории Республики Казахстан;
3) доход от оказания услуг по обработке информации, управленческих, финансовых, консультационных, инжиниринговых, маркетинговых, аудиторских, дизайнерских, рекламных, юридических (за исключением услуг по представительству и защите прав и законных интересов в судах, арбитраже или третейском суде, а также нотариальных услуг) услуг за пределами Республики Казахстан.
В целях настоящего раздела финансовыми услугами признаются:
деятельность участников страхового рынка (за исключением услуг по страхованию и (или) перестрахованию), рынка ценных бумаг;
деятельность единого накопительного пенсионного фонда и добровольных накопительных пенсионных фондов;
банковская деятельность, деятельность организаций по проведению отдельных видов банковских операций (за исключением услуг, оказанных структурному подразделению юридического лица - резидента Республики Казахстан, расположенному за пределами Республики Казахстан, по открытию и ведению банковских счетов, переводным, кассовым операциям, обменным операциям с иностранной валютой, включая обменные операции с наличной иностранной валютой, приему на инкассо платежных документов);
деятельность центрального депозитария и обществ взаимного страхования;
деятельность фонда социального медицинского страхования;
деятельность фонда социального страхования;
4) доходы лица, зарегистрированного в государстве с льготным налогообложением, от выполнения работ, оказания услуг независимо от места их фактического выполнения, оказания, а также иные доходы, установленные настоящей статьей.
Положения настоящего подпункта не применяются в отношении дохода от:
оказания туристских услуг физическому лицу на территории такого государства;
осуществления аэропортовской деятельности, определенной в соответствии с законодательством Республики Казахстан;
5) доходы лица, зарегистрированного в иностранном государстве, в виде обязательств по полученному авансу (предоплате) при выполнении одного из следующих условий:
не удовлетворенных нерезидентом в течение двенадцати месяцев со дня выплаты такого аванса (предоплаты);
не удовлетворенных нерезидентом на дату представления ликвидационной налоговой отчетности при ликвидации лица, выплатившего аванс (предоплату).
В случае, когда при ликвидации лица, выплатившего аванс (предоплату), в соответствии с настоящим Кодексом предусмотрено проведение ликвидационной налоговой проверки или выдача заключения по результатам камерального контроля, размер такого обязательства определяется как:
сумма обязательств (за исключением суммы налога на добавленную стоимость), подлежавшая выплате в соответствии с первичными документами налогоплательщика и подлежащая отражению (отраженная) в промежуточном ликвидационном балансе, на день утверждения такого баланса
минус
сумма обязательств, которые будут удовлетворены в период со дня утверждения промежуточного ликвидационного баланса и до дня завершения ликвидационной налоговой проверки или камерального контроля.
По результатам ликвидационной налоговой проверки размер обязательства определяется налоговым органом исходя из фактической суммы удовлетворенных обязательств за указанный период. Размер такого обязательства отражается в акте налоговой проверки.
По результатам камерального контроля размер обязательства определяется налоговым органом исходя из фактической суммы удовлетворенных обязательств за указанный период и отражается в уведомлении о предполагаемых расхождениях по результатам камерального контроля;
6) доходы в виде обязательств по оплате резиденту за поставку товаров, оказание услуг и выполнение работ, не удовлетворенных нерезидентом в течение двенадцати месяцев со дня такой поставки товаров, оказания услуг и выполнения работ;
7) доход от прироста стоимости при реализации:
находящегося на территории Республики Казахстан имущества, права на которое или сделки по которому подлежат государственной регистрации в соответствии с законами Республики Казахстан;
находящегося на территории Республики Казахстан имущества, подлежащего государственной регистрации в соответствии с законами Республики Казахстан;
ценных бумаг, выпущенных резидентом, а также долей участия в уставном капитале юридического лица - резидента, консорциума, расположенного в Республике Казахстан;
акций, выпущенных нерезидентом, а также долей участия в уставном капитале юридического лица - нерезидента, консорциума, если 50 и более процентов стоимости таких акций, долей участия или активов юридического лица - нерезидента составляет имущество, находящееся в Республике Казахстан;
8) доход от уступки права требования долга резиденту или юридическому лицу - нерезиденту, осуществляющему деятельность в Республике Казахстан через постоянное учреждение, - для нерезидента, уступившего право требования.
При этом размер такого дохода определяется в виде положительной разницы между стоимостью права требования, по которой произведена уступка, и стоимостью требования, подлежащей получению от должника на дату уступки права требования, согласно первичным документам нерезидента;
9) доход от уступки прав требования при приобретении права требования долга у резидента или юридического лица - нерезидента, осуществляющего деятельность в Республике Казахстан через постоянное учреждение, за исключением дохода, предусмотренного подпунктом 10) настоящего пункта, - для нерезидента, приобретающего право требования.
При этом размер такого дохода определяется в виде положительной разницы между суммой, подлежащей получению от должника по требованию основного долга, в том числе суммы сверх основного долга на дату уступки права требования, и стоимостью приобретения права требования;
10) доход от уступки прав требования при приобретении права требования долга у резидента или юридического лица - нерезидента, осуществляющего деятельность в Республике Казахстан через постоянное учреждение, которые уступлены (переуступлены) в соответствии с законами Республики Казахстан «О банках и банковской деятельности в Республике Казахстан» и «О микрофинансовой деятельности», - для нерезидента, приобретающего право требования.
При этом размер такого дохода определяется в виде положительной разницы между суммой, фактически уплаченной должником, и стоимостью приобретения права требования.
Доход от уступки права требования признается в том налоговом периоде, в котором возникает (увеличивается) положительная разница. При этом не учитывается положительная разница, ранее признанная в предыдущих налоговых периодах;
11) доход в виде неустойки (штрафов, пеней) и других видов санкций, кроме возвращенных из бюджета необоснованно удержанных ранее штрафов;
12) доход в виде дивидендов, получаемый от юридического лица - резидента, а также от паевых инвестиционных фондов, созданных в соответствии с законами Республики Казахстан;
13) доход в виде вознаграждений, за исключением вознаграждений по долговым ценным бумагам;
14) доход в виде вознаграждений по долговым ценным бумагам, получаемый от эмитента;
15) доход в виде роялти;
16) доход от сдачи в имущественный наем (аренду) имущества, которое находится или будет находиться в Республике Казахстан, кроме финансового лизинга;
17) доход, получаемый от недвижимого имущества, находящегося в Республике Казахстан;
18) доход в виде страховых премий, выплачиваемый по договорам страхования рисков, возникающих в Республике Казахстан;
19) доход в виде страховых премий, выплачиваемый по договорам перестрахования рисков, возникающих в Республике Казахстан;
20) доход от оказания услуг по международной перевозке.
В целях настоящего раздела международными перевозками признаются любые перевозки пассажиров, багажа, товаров, в том числе почты, морским, речным или воздушным судном, автотранспортным средством или железнодорожным транспортом, осуществляемые между пунктами, находящимися в разных государствах, одним из которых является Республика Казахстан.
Международными перевозками в целях настоящего раздела не признаются:
перевозка, осуществляемая исключительно между пунктами, находящимися за пределами Республики Казахстан, а также исключительно между пунктами, находящимися на территории Республики Казахстан;
транспортировка товаров по магистральным трубопроводам;
21) доход в виде платежа за простой судна при погрузочно-разгрузочных операциях сверх сталийного времени, предусмотренного в договоре (контракте) морской перевозки;
22) доход, получаемый от эксплуатации трубопроводов, линий электропередачи, линий волоконно-оптической связи, находящихся на территории Республики Казахстан;
23) доход физического лица - нерезидента от деятельности в Республике Казахстан по трудовому договору (соглашению, контракту), заключенному с резидентом или нерезидентом, являющимися работодателями;
24) доход трудового иммигранта - нерезидента по трудовому договору, заключенному в соответствии с трудовым законодательством Республики Казахстан на основании разрешения трудовому иммигранту;
25) гонорар руководителя и (или) иные выплаты членам органа управления (совета директоров или иного органа), получаемые указанными лицами в связи с выполнением возложенных на них управленческих обязанностей в отношении резидента, независимо от места фактического выполнения таких обязанностей;
26) надбавки физическому лицу - нерезиденту, выплачиваемые ему в связи с проживанием в Республике Казахстан резидентом или нерезидентом, являющимися работодателями;
27) доход физического лица - нерезидента от деятельности в Республике Казахстан в виде материальной выгоды, полученной от работодателя.
В целях настоящего раздела материальной выгодой признаются в том числе:
оплата и (или) возмещение стоимости товаров, выполненных работ, оказанных услуг, полученных физическим лицом - нерезидентом от третьих лиц;
отрицательная разница между стоимостью товаров, работ, услуг, реализованных физическому лицу - нерезиденту, и ценой приобретения или себестоимостью этих товаров, работ, услуг;
списание суммы долга или обязательства физического лица - нерезидента;
28) доход физического лица - нерезидента в виде материальной выгоды, полученной от лица, не являющегося работодателем.
В целях настоящего раздела материальной выгодой признаются в том числе:
оплата и (или) возмещение стоимости товаров, выполненных работ, оказанных услуг, полученных физическим лицом - нерезидентом от третьих лиц;
отрицательная разница между стоимостью товаров, работ, услуг, реализованных физическому лицу - нерезиденту, и ценой приобретения или себестоимостью этих товаров, работ, услуг;
списание суммы долга или обязательства физического лица - нерезидента;
29) пенсионные выплаты, осуществляемые накопительным пенсионным фондом - резидентом;
30) страховые выплаты физическим лицам - нерезидентам, осуществляемые по договору пенсионного аннуитета;
31) доход артиста театра, кино, радио, телевидения, музыканта, художника, спортсмена и иного физического лица - нерезидента от деятельности в Республике Казахстан в области культуры, искусства и спорта, независимо от того, как и кому осуществляются выплаты;
32) доход в виде выигрыша;
33) доход от оказания независимых личных (профессиональных) услуг в Республике Казахстан;
34) доход в виде безвозмездно полученного или унаследованного имущества, в том числе работ, услуг, за исключением безвозмездно полученного имущества физическим лицом - нерезидентом от физического лица - резидента.
Стоимость безвозмездно выполненных работ, оказанных услуг определяется в размере расходов, понесенных в связи с выполнением таких работ, оказанием услуг.
Стоимость безвозмездно полученного имущества, за исключением безвозмездно выполненных работ, оказанных услуг, определяется в размере его балансовой стоимости по данным бухгалтерского учета лица, передавшего такое имущество, на дату передачи имущества.
В случае невозможности определения стоимости безвозмездно полученного имущества по данным бухгалтерского учета, а также унаследованного имущества стоимость такого имущества на дату передачи или вступления в наследство устанавливается одним из следующих способов:
на основе стоимости, установленной Государственной корпорацией по состоянию на 1 января календарного года, в течение которого получено такое имущество;
на основе стоимости котировки ценной бумаги, торгуемой на казахстанской или иностранной фондовой бирже, на день получения указанной ценной бумаги (вступления) в наследство.
В случае невозможности определения стоимости безвозмездно полученного или унаследованного имущества в порядке, определенном настоящим подпунктом, стоимость определяется на основе отчета об оценке имущества;
35) доход по производным финансовым инструментам;
36) доход, полученный от передачи в доверительное управление имущества резиденту, на которого не возложено исполнение налогового обязательства в Республике Казахстан за нерезидента, являющегося учредителем доверительного управления;
37) доход по инвестиционному депозиту, размещенному в исламском банке;
38) другие доходы, возникающие от деятельности на территории Республики Казахстан;
39) доходы в виде:
полученного финансового займа (за исключением банковского займа) в размере непогашенного или частично непогашенного основного долга в сроки, установленные условиями финансового займа, срок погашения которого не более двадцати четырех месяцев.
В случае если условиями финансового займа предусмотрен график погашения основного долга финансового займа, то доходом признается каждое обязательство, не исполненное нерезидентом перед резидентом в соответствии с графиком погашения основного долга финансового займа;
полученного финансового займа (за исключением банковского займа) в размере непогашенного или частично непогашенного основного долга в сроки, установленные условиями финансового займа, срок погашения которого более двадцати четырех месяцев, но не более шестидесяти месяцев;
полученного финансового займа (за исключением банковского займа) в размере основного долга, срок погашения которого более шестидесяти месяцев;
платежей, осуществляемых резидентом в целях погашения финансового займа (за исключением банковского займа), полученного им и зачисленного на счет в иностранном банке, находящемся за пределами Республики Казахстан;
платежей, осуществляемых в целях предоставления нерезиденту финансового займа (за исключением банковского займа), по условиям которого погашение такого займа будет осуществлено на счет в иностранном банке, находящемся за пределами Республики Казахстан;
суммы, исчисляемой путем умножения среднерыночной ставки на сумму платежа по выдаче финансового займа (за исключением банковского займа), предоставляемого резидентом неаффилированному нерезиденту, по условиям которого не предусмотрена выплата вознаграждения за пользование займом.
Понятие финансового займа применяется в значении, указанном в Законе Республики Казахстан «О валютном регулировании и валютном контроле».
2. В целях настоящего раздела под выплатой дохода понимается передача денег в наличной и (или) безналичной формах, ценных бумаг, доли участия, товаров, имущества, выполнение работ, оказание услуг, списание и (или) зачет требования долга, в том числе в счет погашения задолженности перед нерезидентом по выплате доходов из источников в Республике Казахстан.
При отсутствии фактической выплаты дохода выплатой дохода признается государственная регистрация приобретаемого имущества.
При налогообложении дивидендов, возникающих при корректировке объектов налогообложения в соответствии с настоящим Кодексом и законодательством Республики Казахстан о трансфертном ценообразовании, под выплатой дохода понимается определение дохода в соответствии со статьей 13 настоящего Кодекса. При этом датой выплаты дохода является 31 марта года, следующего за отчетным налоговым периодом.
Статья 680. Суммы и выплаты, не являющиеся доходом нерезидента из источников в Республике Казахстан
1. Доходом нерезидента из источников в Республике Казахстан не признаются:
1) сумма подоходного налога, исчисленная с дохода нерезидента в соответствии с положениями настоящего Кодекса и уплаченная в бюджет Республики Казахстан налоговым агентом за счет собственных средств без удержания такого подоходного налога;
2) компенсация расходов членам органа управления (совета директоров или иного органа), понесенных в связи с выполнением возложенных на них резидентом управленческих обязанностей, в пределах:
фактически произведенных расходов на проезд к месту выполнения управленческих обязанностей и обратно, включая оплату расходов за бронь, на основании документов, подтверждающих такие расходы (в том числе электронного билета, электронного проездного документа при наличии документа, подтверждающего факт оплаты его стоимости, а также посадочного талона или иного документа, подтверждающего факт проезда и выданного перевозчиком);
фактически произведенных расходов по найму жилого помещения за пределами Республики Казахстан на основании документов, подтверждающих такие расходы, но не более предельных норм возмещения расходов по найму одноместных стандартных номеров в отелях государственным служащим, находящимся в командировках за границей;
фактически произведенных расходов по найму жилого помещения в пределах Республики Казахстан на основании документов, подтверждающих такие расходы;
суммы денег не более 6-кратного месячного расчетного показателя, действующего на 1 января соответствующего финансового года, за каждый календарный день нахождения в пределах Республики Казахстан для выполнения управленческих обязанностей в течение периода, не превышающего сорока календарных дней;
суммы денег не более 8-кратного размера месячного расчетного показателя, действующего на 1 января соответствующего финансового года, за каждый календарный день нахождения за пределами Республики Казахстан для выполнения управленческих обязанностей в течение периода, не превышающего сорока календарных дней. При этом место выполнения управленческих обязанностей не должно совпадать с местом постоянного проживания;
3) стоимость имущества, полученного в виде вклада в уставный капитал юридического лица - нерезидента, а также стоимость имущества, полученного эмитентом-нерезидентом от размещения выпущенных им акций;
4) выплаты, связанные с поставкой товаров на территорию Республики Казахстан в рамках внешнеторговой деятельности, за исключением оказанных услуг, выполненных работ на территории Республики Казахстан, связанных с данной поставкой.
В случае если по условиям договора (контракта) на поставку товаров в цену сделки включены расходы на оказание услуг, выполнение работ на территории Республики Казахстан без выделения в договоре (контракте) отдельно сумм по приобретенным товарам и (или) таким расходам, то стоимость приобретенных товаров определяется на основе цены сделки, указанной в договоре (контракте) с учетом таких расходов.
В случае если по условиям договора (контракта) на поставку товаров в цену сделки включены расходы на оказание услуг, выполнение работ на территории Республики Казахстан, при этом сумма по приобретенным товарам указана отдельно от таких расходов, то стоимость по приобретенным товарам определяется без учета стоимости таких расходов.
5) оплата государственным учреждением расходов физических лиц - нерезидентов по проживанию, питанию, проезду, пребыванию в залах ожидания аэропорта, посещению культурных мероприятий, оформлению виз и стоимости сувенирной продукции, предусмотренных бюджетом (сметой расходов) в рамках проведения мероприятий (в том числе приемов, презентаций, заседаний, конференций и семинаров), или их компенсация физическим лицам - нерезидентам на основании документов, подтверждающих такие расходы.
Статья 681. Доходы нерезидента, не подлежащие налогообложению в Республике Казахстан
Налогообложению не подлежат:
1) суммы накопленных (начисленных) вознаграждений по долговым ценным бумагам, оплаченные при их покупке покупателями-резидентами;
2) доходы от передачи основных средств в финансовый лизинг по договорам международного финансового лизинга;
3) выплаты, связанные с корректировкой стоимости по качеству реализации сырой нефти, транспортируемой по единой трубопроводной системе за пределы Республики Казахстан;
4) доходы от прироста стоимости физического лица -нерезидента при реализации методом открытых торгов на фондовой бирже, функционирующей на территории Республики Казахстан, ценных бумаг, находящихся на день реализации в официальных списках данной фондовой биржи;
5) доходы от выполнения работ, оказания услуг за пределами Республики Казахстан, за исключением доходов:
указанных в подпунктах 3), 4) и 5) пункта 1 статьи 679 настоящего Кодекса;
связанных с деятельностью постоянного учреждения в Республике Казахстан;
6) материальная выгода, фактически произведенная оператором официальной помощи развитию, в виде оплаты (возмещения) расходов на проживание, медицинское страхование, проезд воздушным транспортом от места жительства за пределами Республики Казахстан до места осуществления деятельности в Республике Казахстан и обратно, полученная физическим лицом - нерезидентом:
являющимся работником оператора официальной помощи развитию;
осуществляющим деятельность в Республике Казахстан по выполнению работ, оказанию услуг оператору официальной помощи развитию;
7) вознаграждения и дивиденды по ценным бумагам, находящимся на дату начисления таких вознаграждений и дивидендов в официальном списке фондовых бирж, функционирующих на территории Республики Казахстан.
При этом положения настоящего подпункта применяются к вознаграждениям и дивидендам, начисленным по ценным бумагам, по которым за календарный год осуществлялись торги на бирже в соответствии с критериями, определенными Правительством Республики Казахстан;
8) доход юридического лица - нерезидента, полученный от:
автономных организаций образования, определенных подпунктом 9) пункта 2 статьи 15 настоящего Кодекса;
некоммерческой организации, применяющей положения статьи 329 настоящего Кодекса, учрежденной лицом, указанным в абзаце втором настоящего подпункта;
автономных организаций образования, определенных подпунктом 9) пункта 2 статьи 15 настоящего Кодекса, за выполнение работ, оказание услуг по видам деятельности, указанным в подпункте 9) пункта 2 статьи 15 настоящего Кодекса;
органов МФЦА или организаций органа МФЦА;
9) доходы от прироста стоимости при реализации долговых ценных бумаг, эмитентом которых является юридическое лицо - резидент, за исключением доходов лица, являющегося резидентом государства с льготным налогообложением, при одновременном выполнении следующих условий:
на день реализации долговых ценных бумаг налогоплательщик владеет данными долговыми ценными бумагами более трех лет;
такое юридическое лицо - эмитент не является недропользователем;
имущество лиц (лица), являющихся (являющегося) недропользователями (недропользователем), в стоимости активов такого юридического лица - эмитента на день такой реализации составляет не более 50 процентов.
В целях настоящего подпункта недропользователем не признается недропользователь, являющийся таковым исключительно из-за обладания правом на добычу подземных вод и (или) общераспространенных полезных ископаемых для собственных нужд.
При этом доля имущества лиц (лица), являющихся (являющегося) недропользователями (недропользователем), в стоимости активов юридического лица - эмитента определяется уполномоченным органом;
10) имущество, переданное нерезидентам оператором официальной помощи развитию;
11) доход, за исключением дохода лица, зарегистрированного в государстве с льготным налогообложением, от оказания консультационных, маркетинговых, инжиниринговых услуг, услуг в сфере информационной безопасности, выполнения работ по созданию центров обработки данных, выплачиваемый юридическим лицом - участником «Астана Хаб».
Положение настоящего подпункта применяется при условии приобретения таких работ, услуг для осуществления видов деятельности, включенных в перечень приоритетных видов деятельности в области информационно-коммуникационных технологий, утверждаемый уполномоченным органом в сфере информатизации по согласованию с центральным уполномоченным органом по государственному планированию, уполномоченным органом в области технического регулирования и уполномоченным органом;
12) материальная выгода, фактически произведенная автономной организацией образования, указанной в подпункте 9) пункта 2 статьи 15 настоящего Кодекса, в виде оплаты (возмещения) расходов на проживание, медицинское страхование, проезд воздушным транспортом от места жительства за пределами Республики Казахстан до места осуществления деятельности в Республике Казахстан и обратно, полученная физическим лицом - нерезидентом:
являющимся работником такой автономной организации образования;
осуществляющим деятельность в Республике Казахстан по выполнению работ, оказанию услуг такой автономной организации образования;
являющимся работником юридического лица - нерезидента, выполняющего работы, оказывающего услуги такой автономной организации образования, и непосредственно выполняющим такие работы и оказывающим такие услуги;
13) доход юридического лица - нерезидента, за исключением дохода лица, зарегистрированного в государстве с льготным налогообложением, в виде роялти, выплачиваемый юридическим лицом - участником «Астана Хаб».
Положение настоящего подпункта применяется к доходу в виде роялти, выплачиваемому в целях осуществления деятельности, включенной в перечень приоритетных видов деятельности в области информационно-коммуникационных технологий, утверждаемый уполномоченным органом в сфере информатизации по согласованию с центральным уполномоченным органом по государственному планированию, уполномоченным органом в области государственной поддержки индустриально-инновационной деятельности и уполномоченным органом;
14) вознаграждения по государственным эмиссионным ценным бумагам, агентским облигациям, а также доходы от прироста стоимости при их реализации;
15) доходы от оказания услуг по открытию и ведению корреспондентских счетов банков-резидентов и проведению расчетов по ним, а также расчетов посредством международных платежных карточек.
Статья 682. Ставки подоходного налога у источника выплаты
1. Доходы нерезидента из источников в Республике Казахстан подлежат налогообложению у источника выплаты по следующим ставкам, если иное не установлено пунктом 2 настоящей статьи:
1) доходы, определенные статьей 679 настоящего Кодекса, за исключением доходов, указанных в подпунктах 2) - 9) настоящего пункта, - 20 процентов;
2) страховые премии по договорам страхования рисков - 15 процентов;
3) страховые премии по договорам перестрахования рисков - 5 процентов;
4) доходы от оказания услуг по международной перевозке - 5 процентов;
5) доходы от прироста стоимости, дивиденды, вознаграждения, роялти, за исключением доходов, указанных в подпунктах 6) - 7) настоящего пункта, - 15 процентов;
6) дивиденды, выплачиваемые лицу, прямо или косвенно владеющему не менее двадцатью пятью процентами капитала юридического лица - резидента, выплачивающего дивиденды:
|
№ |
Сумма облагаемого дохода |
Ставка |
|
1 |
до 230 000-кратного месячного расчетного показателя* (включительно) |
5 процентов |
|
2 |
свыше 230 000-кратного месячного расчетного показателя* |
сумма налога с облагаемого дохода в размере 230 000-кратного месячного расчетного показателя* + 15 процентов с суммы, превышающей его |
* в целях применения подпунктов 6) и 8) настоящей статьи применятся месячный расчетный показатель, действующий на 1 января соответствующего финансового года.
7) вознаграждения по кредитам (займам), долговым ценным бумагам -10 процентов;
8) доходы, указанные в пункте 3 статьи 693 настоящего Кодекса:
|
№ |
Сумма облагаемого дохода |
Ставка |
|
1 |
до 8 500-кратного месячного расчетного показателя* (включительно) |
10 процентов |
|
2 |
свыше 8 500-кратного месячного расчетного показателя* |
сумма налога с облагаемого дохода в размере 8 500-кратного месячного расчетного показателя* +15 процентов с суммы, превышающей его |
9) доходы в виде выигрышей в азартной игре и (или) пари - 10 процентов.
Налогоплательщик вправе применить ставки, установленные международным договором в порядке, установленном настоящим Кодексом.
2. Доходы лица, зарегистрированного в государстве с льготным налогообложением, подлежат налогообложению у источника выплаты по ставке 20 процентов.
3. Доходы от прироста стоимости при реализации акций, выпущенных юридическими лицами, указанными в статье 17 настоящего Кодекса, долей участия в юридических лицах, указанными в статье 17 настоящего Кодекса, а также дивиденды, полученные от юридических лиц, указанными в статье 17 настоящего Кодекса, подлежат налогообложению у источника выплаты по ставке 5 процентов.
Положение настоящей статьи не распространяется на нерезидента, осуществляющего деятельность в Республике Казахстан через постоянное учреждение.
Глава 72. ПОРЯДОК НАЛОГООБЛОЖЕНИЯ ДОХОДОВ ЮРИДИЧЕСКОГО ЛИЦА - НЕРЕЗИДЕНТА, ДЕЯТЕЛЬНОСТЬ КОТОРОГО НЕ ПРИВОДИТ К ОБРАЗОВАНИЮ ПОСТОЯННОГО УЧРЕЖДЕНИЯ В РЕСПУБЛИКЕ КАЗАХСТАН
Статья 683. Порядок исчисления и удержания корпоративного подоходного налога у источника выплаты
1. Доходы из источников в Республике Казахстан юридического лица - нерезидента, деятельность которого не приводит к образованию постоянного учреждения в Республике Казахстан (далее в целях настоящей главы - нерезидент), облагаются корпоративным подоходным налогом у источника выплаты без осуществления вычетов.
При этом сумма корпоративного подоходного налога, удерживаемого у источника выплаты, исчисляется налоговым агентом путем применения ставок, установленных статьей 682 настоящего Кодекса, к сумме доходов, указанных в статье 679 настоящего Кодекса, за исключением доходов, указанных в статье 681 настоящего Кодекса.
Исчисление и удержание корпоративного подоходного налога по доходам, облагаемым у источника выплаты, производятся налоговым агентом:
1) не позднее дня выплаты доходов нерезиденту - по начисленным и выплаченным доходам;
2) не позднее срока, установленного пунктом 1 статьи 359 настоящего Кодекса для представления декларации по подоходному налогу, - по начисленным и невыплаченным доходам, которые отнесены на вычеты.
2. Корпоративный подоходный налог у источника выплаты удерживается налоговым агентом независимо от формы и места осуществления выплаты дохода нерезиденту.
3. Налогообложение доходов нерезидента у источника выплаты производится независимо от распоряжения данным нерезидентом своими доходами в пользу третьих лиц и (или) своих структурных подразделений в других государствах.
4. Несмотря на положения настоящей статьи, исчисление, удержание и перечисление корпоративного подоходного налога у источника выплаты в бюджет с доходов юридического лица -нерезидента от прироста стоимости производятся в порядке, определенном статьей 687 настоящего Кодекса.
5. При налогообложении доходов нерезидента в виде роялти суммы дохода за оказание услуг по сопровождению, услуг по технической поддержке не подлежат налогообложению как доход в виде роялти, если указаны отдельно от суммы дохода, являющегося роялти.
В случае отсутствия указанного разделения налогообложению как роялти подлежит вся сумма дохода нерезидента.
6. При уплате налоговым агентом суммы корпоративного подоходного налога, исчисленной с доходов нерезидента в соответствии с положениями настоящего Кодекса, за счет собственных средств без его удержания обязанность налогового агента по удержанию и перечислению корпоративного подоходного налога у источника выплаты считается исполненной.
7. Обязанность и ответственность по исчислению, удержанию и перечислению в бюджет корпоративного подоходного налога у источника выплаты возлагаются на следующих лиц, выплачивающих доход нерезиденту и признанных налоговыми агентами:
1) индивидуального предпринимателя;
2) юридическое лицо - нерезидента, осуществляющее деятельность в Республике Казахстан через структурное подразделение;
3) юридическое лицо - нерезидента, осуществляющее деятельность в Республике Казахстан через постоянное учреждение без открытия структурного подразделения;
4) юридическое лицо - резидента, в том числе эмитента базового актива депозитарных расписок;
5) лицо, выплачивающее доход от прироста стоимости, указанный в части первой пункта 1 статьи 687 настоящего Кодекса.
При этом физическое лицо, выплачивающее доход, указанный в пункте 1 части первой статьи 687 настоящего Кодекса, в целях реализации части первой настоящего подпункта признается налоговым агентом, за исключением случаев совершения сделок с ценными бумагами на фондовой бирже;
6) юридическое лицо - резидента, являющееся сервисной компанией при выплате должником нерезидентом дохода, установленного подпунктом 10) пункта 1 статьи 679 настоящего Кодекса, по активам права требования, по которым уступлены (переуступлены) в соответствии с законами Республики Казахстан «О банках и банковской деятельности в Республике Казахстан и «О микрофинансовой деятельности»;
7) индивидуального предпринимателя, юридическое лицо - резидента, которые являются должниками по активам, права (требования) по которым уступлены (переуступлены) в соответствии с законами Республики Казахстан «О банках и банковской деятельности в Республике Казахстан» и «О микрофинансовой деятельности», по доходу, установленному подпунктом 10) пункта 1 статьи 679 настоящего Кодекса, при отсутствии договора доверительного управления между нерезидентом и сервисной компанией, определенной подпунктом 6) настоящего пункта.
8. При наличии в контракте, заключенном с нерезидентом, положений, предусматривающих выполнение, оказание различных видов работ, услуг на территории Республики Казахстан и за ее пределами, порядок исчисления и удержания подоходного налога у источника выплаты, установленный настоящей статьей, применяется к каждому виду работ, услуг отдельно. Каждый этап выполненных работ, оказанных услуг нерезидентом в рамках единого производственно-технологического цикла рассматривается как отдельный вид работ, услуг в целях исчисления и удержания подоходного налога у источника выплаты с доходов нерезидента.
При этом общая сумма доходов нерезидента по вышеуказанному контракту должна быть обоснованно распределена на доходы, полученные от выполнения работ, оказания услуг в Республике Казахстан и за ее пределами.
В целях применения положений настоящего пункта нерезидент обязан представить получателю услуг копии учетной документации, составленной в соответствии с законодательством Республики Казахстан и (или) иностранного государства, подтверждающей распределение общей суммы дохода нерезидента на доходы, полученные от выполнения работ, оказания услуг в Республике Казахстан, и на доходы, полученные от выполнения работ, оказания услуг за ее пределами.
При отсутствии такого распределения или необоснованном распределении дохода нерезидента, приведшего к занижению суммы дохода нерезидента, подлежащего налогообложению в Республике Казахстан в соответствии с положениями настоящей статьи, налогообложению подлежит совокупная сумма дохода нерезидента, полученного по вышеуказанному контракту от выполнения работ, оказания услуг как в Республике Казахстан, так и за ее пределами.
Статья 684. Порядок и сроки перечисления корпоративного подоходного налога у источника выплаты
1. Корпоративный подоходный налогу источника выплаты, удерживаемый с доходов нерезидента, подлежит перечислению налоговым агентом в бюджет:
1) по начисленным и выплаченным суммам дохода, кроме случая, указанного в подпункте 3) настоящего пункта, - не позднее двадцати пяти календарных дней после окончания месяца, в котором производилась выплата дохода, по официальному курсу валюты, установленному на дату выплаты дохода;
2) по начисленным, но невыплаченным суммам дохода при отнесении их на вычеты - не позднее десяти календарных дней после срока, установленного для сдачи декларации по корпоративному подоходному налогу, по официальному курсу, установленному на последний день налогового периода, установленного пунктом 1 статьи 358 настоящего Кодекса, в декларации по корпоративному подоходному налогу, за который доходы нерезидента отнесены на вычеты.
Положение настоящего подпункта не распространяется на вознаграждения по долговым ценным бумагам и депозитам, сроки погашения которых наступают по истечении десяти календарных дней после срока, установленного для сдачи декларации по корпоративному подоходному налогу. В таком случае применяются положения подпункта 1) пункта 1 настоящей статьи;
3) в случае выплаты предоплаты (аванса) - не позднее двадцати пяти календарных дней после окончания месяца, в котором был начислен доход нерезидента в пределах суммы выплаченной предоплаты, по официальному курсу валюты, установленному на дату начисления дохода.
4) в случае поставки товаров, оказания услуг и выполнения работ резидентом - не позднее двадцати пяти календарных дней после окончания месяца, в котором был начислен доход нерезидента в пределах суммы обязательств по осуществленной поставке товаров, оказанной услуге и выполненной работе, по официальному курсу валюты, установленному на дату начисления дохода.
В случае полного исполнения нерезидентом обязательств перед резидентом по условиям, указанным в абзаце втором подпункта 5) и подпункте 6) пункта 1 статьи 679 настоящего Кодекса, налоговый агент вправе внести изменения и дополнения в ранее представленную налоговую отчетность по подоходному налогу, удерживаемому у источника выплаты с дохода нерезидента, согласно статье 116 настоящего Кодекса. При возникновении излишне уплаченной суммы корпоративного подоходного налога налоговый агент имеет право на проведение зачета и (или) возврата такой суммы в порядке, предусмотренном параграфом 1 главы 10 настоящего Кодекса;
2. Корпоративный подоходный налогу источника выплаты, удерживаемый с доходов нерезидента, указанных в подпункте 39) пункта 1 статьи 679 настоящего Кодекса, подлежит перечислению налоговым агентом в бюджет:
1) по доходам, предусмотренным абзацем первым подпункта 39) пункта 1 статьи 679 настоящего Кодекса, -не позднее двадцати пяти календарных дней после окончания месяца, в котором истек срок погашения финансового займа;
2) по доходам, предусмотренным абзацем четвертым подпункта 39) пункта 1 статьи 679 настоящего Кодекса, - не позднее двадцати пяти календарных дней после окончания месяца, в котором истек двадцати четырех месячный срок погашения финансового займа с даты его выдачи;
3) по доходам, предусмотренным абзацем пятым подпункта 39) пункта 1 статьи 679 настоящего Кодекса, - не позднее двадцати пяти календарных дней после окончания месяца, в котором была осуществлена выдача финансового займа;
4) по доходам, предусмотренным абзацем шестым подпункта 39) пункта 1 статьи 679 настоящего Кодекса, - не позднее двадцати пяти календарных дней после окончания месяца, в котором осуществлен платеж по погашению финансового займа;
5) по доходам, предусмотренным абзацами седьмым и восьмым подпункта 39) пункта 1 статьи 679 настоящего Кодекса, - не позднее двадцати пяти календарных дней после окончания месяца, в котором осуществлен платеж по выдаче финансового займа.
Исчисление, начисление, удержание подоходного налога осуществляются по официальному курсу валюты, установленному на дату выплаты дохода.
3. В случае полного исполнения нерезидентом обязательств перед резидентом в сроки, установленные условиями финансового займа в частях второй и третьей подпункта 39) пункта 1 статьи 679 настоящего Кодекса, налоговый агент вправе внести изменения и дополнения в ранее представленную налоговую отчетность по подоходному налогу, удерживаемому у источника выплаты с дохода нерезидента, согласно статьи 116 настоящего Кодекса. При возникновении излишне уплаченной суммы корпоративного подоходного налога налоговый агент имеет право на проведение зачета и (или) возврата такой суммы в порядке, предусмотренном параграфом 1 главы 10 настоящего Кодекса;
4. Если начисленная сумма дохода нерезидента была отнесена на вычеты в декларации по корпоративному подоходному налогу за налоговый период, установленный пунктом 1 статьи 358 настоящего Кодекса, но при этом выплата такого дохода нерезиденту была произведена по истечении такого периода, то подоходный налог у источника выплаты подлежит перечислению налоговым агентом в бюджет в сроки, установленные подпунктом 2) пункта 1 настоящей статьи.
5. Перечисление суммы подоходного налога с дохода нерезидента у источника выплаты в бюджет осуществляется налоговым агентом по месту нахождения.
Статья 685. Представление налоговой отчетности
Налоговый агент обязан представлять в налоговый орган по месту своего нахождения расчет по корпоративному подоходному налогу, удерживаемому у источника выплаты с дохода нерезидента, и любой выплате из источников в Республике Казахстан в следующие сроки:
1) за первый, второй и третий кварталы - не позднее 15 числа второго месяца, следующего за кварталом, в котором произведена выплата дохода нерезиденту;
2) за четвертый квартал - не позднее 31 марта года, следующего за отчетным налоговым периодом, установленным пунктом 1 статьи 358 настоящего Кодекса, в котором произведена выплата дохода нерезиденту и (или) за который начисленный, но невыплаченный доход нерезидента отнесен на вычеты.
Статья 686. Особенности представления налоговой отчетности
Нерезидент, осуществляющий деятельность в Республике Казахстан через структурное подразделение, не приводящую к образованию постоянного учреждения в соответствии с международным договором или пунктом 2 статьи 226 настоящего Кодекса, представляет декларацию по корпоративному подоходному налогу в налоговый орган по месту нахождения в срок, установленный пунктом 1 статьи 359 настоящего Кодекса.
Статья 687. Исчисление, удержание и перечисление налога с доходов от прироста стоимости при реализации имущества, находящегося в Республике Казахстан
1. Настоящая статья применяется к доходам нерезидента из источников в Республике Казахстан от прироста стоимости при реализации:
1) находящегося на территории Республики Казахстан имущества, права на которое или сделки по которому подлежат государственной регистрации в соответствии с законами Республики Казахстан;
2) находящегося на территории Республики Казахстан имущества, подлежащего государственной регистрации в соответствии с законами Республики Казахстан;
3) ценных бумаг, выпущенных резидентом, и долей участия в уставном капитале юридического лица - резидента или консорциума, участником (участниками) которого является (являются) юридическое лицо - резидент, в том числе недропользователь (недропользователи);
4) акций лицами - резидентами, включая юридическим лицом -эмитентом, когда стоимость активов такого юридического лица, акции которого реализуются, на 50 и более процентов состоит из имущества лица - резидента, в том числе недропользователя, на день такой реализации.
Положение настоящего подпункта распространяется также при реализации доли участия в юридическом лице или консорциуме;
5) акций лицами-нерезидентами, включая юридическим лицом - эмитентом нерезидентом, когда стоимость активов такого юридического лица - нерезидента, акции которого реализуются, на 50 и более процентов состоит из имущества лица - резидента, в том числе недропользователя, находящегося в Республике Казахстан, на день такой реализации. Положение настоящего подпункта также распространяется при реализации доли участия в юридическом лице или консорциуме.
При этом прирост стоимости определяется в следующем порядке:
1) при реализации имущества, указанного в подпунктах 1) и 2) настоящего пункта, - как положительная разница между стоимостью реализации имущества и стоимостью его приобретения;
2) при реализации акций и долей участия - в соответствии со статьями 250,251 и 252 настоящего Кодекса.
В целях настоящего пункта недропользователем не признается недропользователь, являющийся таковым исключительно из-за обладания правом на добычу подземных вод и (или) общераспространенных полезных ископаемых для собственных нужд.
2. Порядок определения доли имущества в процентном соотношении к стоимости реализуемых акций или доли участия на день реализации, а также доли имущества лиц (лица), являющихся (являющегося) недровользователями (недропользователем), в стоимости активов юридического лица - резидента, в том числе юридического лица - эмитента, определяется уполномоченным органом.
3. Доходы нерезидента, указанные в пункте 1 настоящей статьи, за исключением доходов, указанных в подпунктах 4) и 9) статьи 681 настоящего Кодекса, подлежат обложению подоходным налогом у источника выплаты по ставке, установленной статьей 682 настоящего Кодекса.
4. Уполномоченные государственные и местные исполнительные органы, в том числе осуществляющие государственное регулирование в сфере недропользования в соответствии с законодательством Республики Казахстан о недрах и недропользовании, обязаны представлять в уполномоченный орган сведения о сделке по купле-продаже имущества, указанного в пункте 1 настоящей статьи.
5. По запросу налогового органа лицо, имуществом которого обеспечены реализуемые ценные бумаги и доля участия, обязано представить сведения о сделке по купле-продаже ценных бумаг и долей участия, указанного в пункте 1 настоящей статьи, с приложением нотариально засвидетельствованных копий подтверждающих документов.
6. Уполномоченный орган в течение тридцати рабочих дней со дня получения в соответствии с пунктом 4 настоящей статьи сведений направляет такие сведения в налоговый орган по месту нахождения юридического лица, имуществом которого обеспечены реализуемые ценные бумаги и доля участия.
7. Налоговый орган по месту нахождения юридического лица, имуществом которого обеспечены реализуемые ценные бумаги и доля участия, в течение пяти рабочих дней со дня получения сведений, указанных в пункте 4 настоящей статьи, обязан направить юридическому лицу, имуществом которого обеспечены реализуемые ценные бумаги и доля участия, сведения о приобретателе акций (долей участия), а также о цене приобретения таких акций (долей участия). Сведения по иному имуществу, указанному в пункте 1 настоящей статьи, направляются в налоговый орган по месту нахождения юридического лица - резидента, реализующего такое имущество.
8. Лицо, реализующее имущество, в том числе акции, доли участия, обязано представить покупателю-налоговому агенту копию документа, подтверждающего стоимость приобретения (вклада).
В случае непредставления налоговому агенту документа, подтверждающего стоимость приобретения (вклада), обложению подоходным налогом у источника выплаты подлежит стоимость реализации.
9. Обязанность и ответственность по исчислению, удержанию и перечислению подоходного налога у источника выплаты в бюджет возлагаются на налогового агента, выплачивающего доход.
10. Юридическое лицо - нерезидент, являющееся налоговым агентом, обязано осуществить постановку на регистрационный учет в налоговом органе.
11. Подоходный налог у источника выплаты удерживается налоговым агентом в момент выплаты дохода нерезиденту независимо от формы и места осуществления выплаты дохода.
12. Перечисление суммы подоходного налога в бюджет производится налоговым агентом в сроки, установленные статьей 684 настоящего Кодекса.
Налоговая отчетность по подоходному налогу, удерживаемому у источника выплаты с доходов нерезидентов, представляется налоговым агентом - налогоплательщиком в сроки, установленные статьями 685 и 694 настоящего Кодекса, в налоговый орган по месту его регистрационного учета в Республике Казахстан.
13. Подоходный налог может быть уплачен за счет средств налогового агента (налогоплательщика) юридическим лицом - резидентом, в том числе являющимся недропользователем.
При этом подоходный налог подлежит перечислению в бюджет таким юридическим лицом - резидентом в срок не позднее двадцати пяти календарных дней после окончания месяца, в котором получена сумма подоходного налога от налогового агента (налогоплательщика).
Налоговая отчетность по подоходному налогу, удерживаемому у источника выплаты с доходов нерезидента, представляется таким юридическим лицом - резидентом не позднее 15 числа второго месяца, следующего за кварталом, в котором получена сумма подоходного налога от налогового агента (налогоплательщика), в налоговый орган по месту нахождения юридического лица -резидента в Республике Казахстан.
Сумма подоходного налога, перечисленная налоговым агентом (налогоплательщиком) юридическому лицу - резиденту, на имущество, в том числе акции, доля участия которого реализуется, не признаются доходом такого юридического лица - резидента.
14. В случае несоблюдения налоговым агентом (налогоплательщиком) положений пунктов 12 и 13 настоящей статьи юридическое лицо - резидент, акции, доля участия которого реализуются, вправе самостоятельно за счет своих средств произвести уплату подоходного налога с доходов от прироста стоимости за нерезидента.
Уплата подоходного налога в указанном случае производится в срок не позднее двадцати пяти календарных дней после окончания месяца, в котором получены сведения, указанные в пункте 6 настоящей статьи.
Юридическое лицо - резидент, акции, доля участия которого реализуются, при уплате подоходного налога в соответствии с настоящим пунктом обязано представить налоговую отчетность по подоходному налогу в налоговый орган по месту своего нахождения не позднее 15 числа второго месяца, следующего за кварталом, в котором получены сведения, указанные в пункте 6 настоящей статьи.
При этом сумма налога, уплаченная за нерезидента, не подлежит вычету при определении налогооблагаемого дохода юридического лица - резидента, акции, доля участия которого реализуются.
15. В случае неисполнения налоговым агентом, юридическим лицом -резидентом, реализующим акции, доли участия, положений пунктов 11, 12, 13 и 14 настоящей статьи налоговый орган вправе провести начисление налогов на основании сведений уполномоченных государственных и местных исполнительных органов юридическому лицу-резиденту, имуществом которого обеспечены реализуемые акции, доля участия, в порядке установленном настоящей статьей, с применением ставок, определенных статьей 682 настоящего Кодекса.
Исполнение обязательства возлагается на юридическое лицо - резидента, имуществом которого обеспечены реализуемые акции, доля участия, в том числе являющееся недропользователем, в порядке, определенном статьей 95 и главой 17 настоящего Кодекса.
В целях настоящего пункта порядок и сроки начисления налога определяются уполномоченным органом.
Глава 73. ПОРЯДОК НАЛОГООБЛОЖЕНИЯ ДОХОДОВ ЮРИДИЧЕСКОГО ЛИЦА - НЕРЕЗИДЕНТА, ОСУЩЕСТВЛЯЮЩЕГО ДЕЯТЕЛЬНОСТЬ В РЕСПУБЛИКЕ КАЗАХСТАН ЧЕРЕЗ ПОСТОЯННОЕ УЧРЕЖДЕНИЕ
Статья 688. Определение налогооблагаемого дохода
1. Если иное не установлено настоящей статьей и статьей 690 настоящего Кодекса, определение налогооблагаемого дохода, исчисление и уплата корпоративного подоходного налога с дохода постоянного учреждения юридического лица - нерезидента производятся в соответствии с положениями настоящей статьи и главами 24 - 32 и 34 - 38 настоящего Кодекса.
2. Совокупный годовой доход постоянного учреждения юридического лица - нерезидента составляют доходы:
1) из источников в Республике Казахстан, предусмотренные пунктом 1 статьи 679 настоящего Кодекса;
2) указанные в пункте 1 статьи 237 настоящего Кодекса, не включенные в подпункт 1) части первой настоящего пункта;
3) из источников за пределами Республики Казахстан, в том числе через работников или другой нанятый персонал;
4) юридического лица - нерезидента, включая доходы его структурных подразделений в других государствах, получаемые от осуществления деятельности в Республике Казахстан, идентичной или аналогичной той, которая осуществляется через постоянное учреждение этого юридического лица -нерезидента в Республике Казахстан.
Доходы постоянного учреждения юридического лица -нерезидента, предусмотренные настоящим пунктом, для включения в совокупный годовой доход должны быть связаны с его деятельностью и получены (подлежат получению) с даты начала осуществления деятельности в Республике Казахстан.
В совокупный годовой доход постоянного учреждения юридического лица - нерезидента не включается превышение суммы положительной курсовой разницы над суммой отрицательной курсовой разницы, возникающей в соответствии с международными стандартами финансовой отчетности и законодательством Республики Казахстан о бухгалтерском учете и финансовой отчетности, по обязательствам перед:
1) юридическим лицом - нерезидентом, создавшим такое постоянное учреждение;
2) другим структурным подразделением указанного юридического лица - нерезидента.
3. При осуществлении нерезидентом совместно со своим постоянным учреждением предпринимательской деятельности в Республике Казахстан или за ее пределами в рамках одного проекта или связанных проектов доходом такого постоянного учреждения будет считаться доход, который оно могло бы получить при осуществлении такой же деятельности на таких же или аналогичных условиях в качестве отдельного юридического лица.
4. При реализации товаров, произведенных постоянным учреждением юридического лица - нерезидента в Республике Казахстан, другим находящимся за пределами Республики Казахстан структурным подразделением юридического лица - нерезидента, создавшего такое постоянное учреждение, доходом постоянного учреждения признается доход, который указанное постоянное учреждение могло бы получить при реализации товаров на таких же или аналогичных условиях в качестве отдельного юридического лица.
5. Доход постоянного учреждения юридического лица -нерезидента в целях применения настоящей статьи определяется с учетом норм законодательства Республики Казахстан о трансфертном ценообразовании.
6. На вычеты относятся расходы, непосредственно связанные с получением доходов от деятельности в Республике Казахстан через постоянное учреждение, независимо от того, понесены они в Республике Казахстан или за ее пределами.
Положения настоящего пункта не применяются к расходам, не подлежащим вычету в соответствии с настоящим Кодексом.
7. Юридическое лицо - нерезидент не имеет права относить на вычеты постоянному учреждению суммы, предъявленные постоянному учреждению в виде:
1) роялти, гонораров, сборов и других платежей за пользование или предоставление права пользования собственностью или интеллектуальной собственностью этого юридического лица -нерезидента;
2) доходов за услуги, оказанные юридическим лицом -нерезидентом постоянному учреждению;
3) вознаграждений по займам, предоставленным этим юридическим лицом - нерезидентом постоянному учреждению;
4) расходов, не связанных с получением доходов от деятельности юридического лица - нерезидента через постоянное учреждение в Республике Казахстан;
5) документально неподтвержденных расходов;
6) управленческих и общеадминистративных расходов юридического лица - нерезидента, определенных пунктом 2 статьи 708 настоящего Кодекса, не связанных с осуществлением деятельности в Республике Казахстан через постоянное учреждение.
8. Не подлежит отнесению на вычеты постоянного учреждения юридического лица - нерезидента превышение суммы отрицательной курсовой разницы над суммой положительной курсовой разницы, возникающих в соответствии с международными стандартами финансовой отчетности и законодательством Республики Казахстан о бухгалтерском учете и финансовой отчетности по обязательствам постоянного учреждения юридического лица - нерезидента:
1) юридическим лицом - нерезидентом, создавшим такое постоянное учреждение;
2) другим структурным подразделением указанного юридического лица - нерезидента.
Статья 689. Порядок налогообложения чистого дохода
1. Чистый доход юридического лица - нерезидента от деятельности в Республике Казахстан через постоянное учреждение облагается корпоративным подоходным налогом на чистый доход по ставке 15 процентов.
Чистый доход определяется в следующем порядке:
налогооблагаемый доход, уменьшенный на сумму доходов и расходов, предусмотренных главой 24 настоящего Кодекса, а также на сумму убытков, переносимых в соответствии с главой 35 настоящего Кодекса,
минус
сумма корпоративного подоходного налога, исчисленного путем произведения ставки, установленной статьей 357 настоящего Кодекса, и налогооблагаемого дохода, уменьшенного на сумму доходов и расходов, предусмотренных главой 24 настоящего Кодекса, а также на сумму убытков, переносимых в соответствии с главой 35 настоящего Кодекса.
2. Исчисленная сумма корпоративного подоходного налога отражается в декларации по корпоративному подоходному налогу.
3. Юридическое лицо - нерезидент, осуществляющее деятельность в Республике Казахстан через постоянное учреждение, производит уплату корпоративного подоходного налога на чистый доход в бюджет по месту нахождения постоянного учреждения в течение десяти календарных дней после срока, установленного для сдачи декларации по корпоративному подоходному налогу.
Статья 690. Порядок налогообложения доходов юридического лица - нерезидента в Республике Казахстан при наличии зарегистрированного в Республике Казахстан постоянного учреждения
1. Налоговый агент производит исчисление, удержание и перечисление корпоративного подоходного налога по ставке 20 процентов без осуществления вычетов при выплате юридическому лицу - нерезиденту следующих доходов:
1) от выполнения работ, оказания услуг на территории Республики Казахстан;
2) получаемых юридическим лицом - нерезидентом, включая доходы, получаемые его структурными подразделениями в других государствах при осуществлении деятельности в Республике Казахстан, идентичной или аналогичной той, которая осуществляется через постоянное учреждение этого юридического лица - нерезидента в Республике Казахстан;
3) от осуществления в Республике Казахстан и за ее пределами совместно со своим постоянным учреждением в Республике Казахстан предпринимательской деятельности в рамках одного проекта и (или) связанных проектов.
Положение части первой настоящего пункта применяется при одновременном выполнении следующих условий:
1) отсутствие контракта, заключенного со структурным подразделением юридического лица - нерезидента или его постоянным учреждением без открытия филиала, представительства;
2) отсутствие счета-фактуры по реализованным товарам, работам, услугам, выписанного филиалом или представительством юридического лица - нерезидента либо его постоянным учреждением без открытия филиала, представительства.
2. Юридическое лицо - нерезидент, осуществляющее деятельность в Республике Казахстан через постоянное учреждение:
1) включает в ретроспективном порядке в совокупный годовой доход постоянного учреждения в Республике Казахстан доходы, указанные в пункте 1 настоящей статьи, если такие доходы связаны с деятельностью постоянного учреждения;
2) исчисляет корпоративный подоходный налог в соответствии со статьями 688 и 689 настоящего Кодекса;
3) представляет декларацию по корпоративному подоходному налогу в налоговый орган по месту нахождения такого постоянного учреждения с включением указанных доходов;
4) уменьшает (зачет) сумму исчисленного постоянным учреждением налога на сумму корпоративного подоходного налога, удержанного у источника выплаты с доходов такого юридического лица - нерезидента в соответствии с настоящим пунктом. Уменьшение корпоративного подоходного налога производится при наличии документов, подтверждающих удержание налога налоговым агентом.
Положительная разница между суммой корпоративного подоходного налога, удержанного налоговым агентом, и суммой корпоративного подоходного налога, исчисленного постоянным учреждением юридического лица - нерезидента в Республике Казахстан, переносится на последующие налоговые периоды в пределах срока исковой давности.
3. В случае, если доходы, указанные в пункте 1 настоящей статьи не связаны с деятельностью постоянного учреждения, нерезидент вправе применить положение международного договора в части возврата удержанного корпоративного подоходного налога из бюджета в порядке, определенном настоящим Кодексом.
Статья 691. Порядок налогообложения доходов юридического лица - нерезидента от деятельности, приводящей к образованию постоянного учреждения в Республике Казахстан, не зарегистрированного в налоговом органе либо зарегистрированного с нарушением сроков
1. Доходы юридического лица - нерезидента, получаемые от деятельности в Республике Казахстан через постоянное учреждение, не осуществившего постановку на регистрационный учет в налоговых органах, подлежат обложению корпоративным подоходным налогом у источника выплаты без осуществления вычетов по ставке 20 процентов.
2. Юридическое лицо - нерезидент, осуществляющее деятельность через постоянное учреждение, осуществляющее постановку на регистрационный учет в налоговых органах с нарушением сроков постановки на такой учет, обязано ретроспективно с даты начала осуществления предпринимательской деятельности, которая привела к образованию постоянного учреждения:
1) исчислить возникшие налоговые обязательства по уплате налогов с даты начала осуществления предпринимательской деятельности, кроме налоговых обязательств налогового агента;
2) отразить в первоначально представляемых декларациях по соответствующим видам налогов объекты обложения и объекты, связанные с налогообложением.
Сумма корпоративного подоходного налога, исчисленного постоянным учреждением юридического лица - нерезидента в Республике Казахстан, уменьшается на сумму корпоративного подоходного налога, удержанного у источника выплаты налоговым агентом с доходов такого юридического лица - нерезидента за указанный период.
Уменьшение корпоративного подоходного налога производится при наличии документов, подтверждающих удержание налога налоговым агентом.
Глава 74. ПОРЯДОК НАЛОГООБЛОЖЕНИЯ ДОХОДОВ ФИЗИЧЕСКИХ ЛИЦ - НЕРЕЗИДЕНТОВ
Статья 692. Порядок исчисления, удержания и перечисления индивидуального подоходного налога по доходам, подлежащим налогообложению у источника выплаты
1. Доходы физического лица - нерезидента из источников в Республике Казахстан, за исключением доходов, указанных в пункте 1 статьи 693 и пункте 4 статьи 738 настоящего Кодекса, облагаются индивидуальным подоходным налогом у источника выплаты по ставкам, указанным в статье 682 настоящего Кодекса, без осуществления налоговых вычетов, если иное не установлено настоящей статьей.
2. Несмотря на положения настоящей статьи, исчисление, удержание и перечисление индивидуального подоходного налога у источника выплаты в бюджет с доходов физического лица -нерезидента от прироста стоимости производятся в порядке, определенном статьей 687 настоящего Кодекса.
3. Исчисление индивидуального подоходного налога у источника выплаты производится налоговым агентом без осуществления налоговых вычетов путем применения ставки, установленной подпунктом 8) пункта 1 статьи 682 настоящего Кодекса, к сумме следующих доходов физического лица -нерезидента, включая доходы, определенные статьей 372 настоящего Кодекса, с учетом положений, предусмотренных пунктом 5 статьи 372 настоящего Кодекса:
от деятельности в Республике Казахстан по трудовому договору (соглашению, контракту), заключенному с резидентом или нерезидентом, являющимся работодателем;
от деятельности в Республике Казахстан в виде материальной выгоды, полученной от работодателя;
гонорары руководителя и (или) иные выплаты членам органа управления (совета директоров или иного органа), получаемые указанными лицами в связи с выполнением возложенных на них управленческих обязанностей в отношении резидента, независимо от места фактического выполнения таких обязанностей;
надбавки, выплачиваемые ему в связи с проживанием в Республике Казахстан резидентом или нерезидентом, являющимся работодателем;
страховая выплата физическим лицам - нерезидентам, осуществляемая по договору пенсионного аннуитета;
пенсионные выплаты, осуществляемые накопительным пенсионным фондом - резидентом.
4. Налогообложение доходов физического лица - нерезидента у источника выплаты производится независимо от распоряжения данным нерезидентом своими доходами в пользу третьих лиц.
5. Исчисление и удержание индивидуального подоходного налога, за исключением случая, указанного в пункте 8 настоящей статьи, производятся налоговым агентом по начисленным и выплаченным доходам, облагаемым у источника выплаты, не позднее дня выплаты доходов нерезиденту.
Индивидуальный подоходный налогу источника выплаты удерживается налоговым агентом независимо от формы и места осуществления выплаты дохода физическому лицу - нерезиденту.
6. Налоговый агент обязан перечислить сумму индивидуального подоходного налога у источника выплаты, удержанного у источника выплаты, по месту нахождения не позднее 25 числа месяца, следующего за месяцем, в котором налог подлежит удержанию.
7. При выплате дохода в иностранной валюте размер дохода, облагаемого у источника выплаты, пересчитывается в тенге с применением официального курса валюты, установленного на дату выплаты дохода.
8. При предоставлении иностранного персонала нерезидентом, деятельность которого не образует постоянного учреждения в Республике Казахстан в соответствии с положениями подпункта 2) пункта 2 статьи 226 настоящего Кодекса, доход такого персонала от деятельности в Республике Казахстан облагается индивидуальным подоходным налогом у источника выплаты.
При этом объектом обложения индивидуальным подоходным налогом являются доходы физического лица - нерезидента, в том числе иная материальная выгода, получаемая таким лицом в связи с деятельностью в Республике Казахстан.
В случае, если доход выплачивается предоставленному персоналу нерезидентом, налоговая база в целях исчисления индивидуального подоходного налога определяется налоговым агентом на основании документов, представляемых нерезидентом в соответствии с подпунктом 2) пункта 2 статьи 226 настоящего Кодекса.
Удержание индивидуального подоходного налога у источника выплаты с дохода иностранного персонала производится налоговым агентом при выплате дохода юридическому лицу - нерезиденту за услуги по предоставлению иностранного персонала.
Исчисление индивидуального подоходного налога, удерживаемого у источника выплаты, производится налоговым агентом путем применения ставки, установленной подпунктом 8) пункта 1 статьи 682 настоящего Кодекса, к сумме доходов иностранного персонала, определенных в соответствии с настоящим пунктом с учетом положений пункта 5 статьи 372 настоящего Кодекса, без осуществления налоговых вычетов.
Налоговый агент обязан перечислить суммы индивидуального подоходного налога, удержанного у источника выплаты, по месту нахождения до 25 числа месяца, следующего за месяцем, в котором налог подлежит удержанию.
9. Обязанность и ответственность по исчислению, удержанию и перечислению индивидуального подоходного налога у источника выплаты в бюджет возлагаются на следующих лиц, выплачивающих доход нерезиденту и признанных налоговыми агентами:
1) индивидуального предпринимателя;
2) юридическое лицо - нерезидента, осуществляющее деятельность в Республике Казахстан через структурное подразделение;
3) юридическое лицо - нерезидента, осуществляющее деятельность в Республике Казахстан через постоянное учреждение без открытия структурного подразделения;
4) юридическое лицо - резидента, в том числе эмитента базового актива депозитарных расписок.
Для целей настоящей главы юридическое лицо - резидент своим решением вправе признать налоговым агентом по индивидуальному подоходному налогу, удерживаемому у источника выплаты, свое структурное подразделение по доходам, облагаемым у источника выплаты, которые выплачены (подлежат выплате) таким структурным подразделением в порядке, определенном статьей 439 настоящего Кодекса;
5) лицо, выплачивающее доход от прироста стоимости, указанный в части первой пункта 1 статьи 687 настоящего Кодекса.
При этом физическое лицо, выплачивающее доход, указанный в части первой пункта 1 статьи 687 настоящего Кодекса, в целях реализации части первой настоящего подпункта признается налоговым агентом, за исключением случаев совершения сделок с ценными бумагами на фондовой бирже.
10. При уплате налоговым агентом суммы индивидуального подоходного налога, исчисленной с доходов физического лица - нерезидента в соответствии с положениями настоящего Кодекса, за счет собственных средств без его удержания обязанность налогового агента по удержанию и перечислению индивидуального подоходного налога у источника выплаты считается исполненной.
Статья 693. Порядок налогообложения доходов иностранцев и лиц без гражданства, направленных в Республику Казахстан юридическим лицом - нерезидентом, не зарегистрированным в качестве налогоплательщика Республики Казахстан
1. Порядок налогообложения, установленный настоящей статьей, распространяется на доходы иностранцев и лиц без гражданства, направленных в Республику Казахстан юридическим лицом - нерезидентом, не зарегистрированным в качестве налогоплательщика Республики Казахстан, включая доходы, определенные статьей 372 настоящего Кодекса, полученные (подлежащие получению):
от деятельности в Республике Казахстан по трудовому договору (соглашению, контракту), заключенному с таким юридическим лицом - нерезидентом, являющимся работодателем;
от деятельности в Республике Казахстан по договору (контракту) гражданско-правового характера, заключенному с таким юридическим лицом - нерезидентом;
от деятельности в Республике Казахстан в виде материальной выгоды, полученной от лица, не являющегося работодателем;
надбавки, выплачиваемые в связи с проживанием в Республике Казахстан таким юридическим лицом - нерезидентом.
В целях настоящей статьи под юридическим лицом - нерезидентом, не зарегистрированным в качестве налогоплательщика Республики Казахстан, признается также юридическое лицо - нерезидент, зарегистрированное в качестве налогоплательщика Республики Казахстан в связи с открытием текущего счета в банках-резидентах и (или) в связи с возникновением обязательств в соответствии со статьей 687 настоящего Кодекса.
Положения настоящей статьи применяются к указанным в настоящей статье доходам иностранца или лица без гражданства, направленного в Республику Казахстан, если иное не установлено пунктом 8 статьи 692 настоящего Кодекса, при одновременном выполнении следующих условий:
1) иностранец или лицо без гражданства является работником и (или) подрядчиком (субподрядчиком) юридического лица - нерезидента, не зарегистрированного в качестве налогоплательщика Республики Казахстан, либо работником подрядчика (субподрядчика) указанного юридического лица - нерезидента;
2) иностранец или лицо без гражданства признается постоянно пребывающим в Республике Казахстан в соответствии с подпунктом 1) пункта 2 статьи 222 настоящего Кодекса.
При этом в случае если иностранец или лицо без гражданства не признается постоянно пребывающим в Республике Казахстан в соответствии с пунктом 2 статьи 222 настоящего Кодекса, то доходы от деятельности в Республике Казахстан в виде материальной выгоды, полученной от лица, не являющегося работодателем, подлежат налогообложению по ставке, установленной статьей 682 настоящего Кодекса.
2. Обязанность и ответственность по исчислению, удержанию и перечислению индивидуального подоходного налога у источника выплаты в бюджет с дохода иностранца или лица без гражданства, указанного в пункте 1 настоящей статьи, возлагаются на лицо (в том числе нерезидента, осуществляющего деятельность через постоянное учреждение), в пользу которого выполняются работы, оказываются услуги юридическим лицом - нерезидентом. Такое лицо признается налоговым агентом.
3. Исчисление индивидуального подоходного налога производится налоговым агентом с дохода иностранца или лица без гражданства, указанного в документе, представленном нерезидентом в соответствии с настоящим пунктом, без осуществления налоговых вычетов по ставке, установленной подпунктом 8) пункта 1 статьи 682 настоящего Кодекса. При этом юридическое лицо-нерезидент обязано представить налоговому агенту:
нотариально засвидетельствованные копии индивидуального трудового договора (контракта) и (или) договора гражданско-правового характера, заключенных с иностранцем или лицом без гражданства, направленным в Республику Казахстан;
иной документ, содержащий сведения о доходах физического лица, получаемых от работы по найму в рамках трудового договора и (или) договора гражданско-правового характера, заключенного с таким нерезидентом.
В случае непредставления налоговому агенту документов, указанных в настоящем пункте, обложению индивидуальным подоходным налогом у источника выплаты подлежит доход в размере 80 процентов от суммы дохода, подлежащего выплате юридическому лицу - нерезиденту за выполненные работы, оказанные услуги, который распределяется равными долями на всех иностранцев и лиц без гражданства.
При этом доход, указанный в настоящем пункте, подлежит уменьшению на сумму:
дохода, указанного в документах, определенных настоящим пунктом, в случае их представления;
дохода от деятельности в Республике Казахстан в виде материальной выгоды, полученной от лица, не являющегося работодателем, в случае, если такой доход предусмотрен условиями договора (контракта, соглашения).
4. Индивидуальный подоходный налог у источника выплаты исчисляется и удерживается налоговым агентом не позднее дня выплаты дохода юридическому лицу - нерезиденту независимо от формы и места осуществления выплаты дохода.
5. Перечисление индивидуального подоходного налога с доходов иностранца или лица без гражданства в бюджет производится налоговым агентом по месту своего нахождения до 25 числа месяца, следующего за месяцем, в котором налог подлежит удержанию в соответствии с пунктом 4 настоящей статьи.
6. При выплате дохода в иностранной валюте размер дохода, облагаемого у источника выплаты, пересчитывается в тенге с применением официального курса валюты, установленного на дату выплаты дохода.
Статья 694. Представление декларации по индивидуальному подоходному налогу и социальному налогу
Декларация по индивидуальному подоходному налогу и социальному налогу представляется налоговым агентом в налоговый орган по месту уплаты налога ежеквартально не позднее 15 числа второго месяца, следующего за кварталом, в который входят отчетные налоговые периоды.
Статья 695. Порядок исчисления и уплаты индивидуального подоходного налога с доходов физического лица - нерезидента, полученных из источников в Республике Казахстан от лица, не являющегося налоговым агентом
1. Положения настоящей статьи распространяются на доходы физического лица - нерезидента, полученные из источников в Республике Казахстан от лица, не являющегося налоговым агентом в соответствии с положениями настоящего Кодекса.
2. Исчисление индивидуального подоходного налога с доходов физического лица - нерезидента, полученных из источников в Республике Казахстан от лица, не являющегося налоговым агентом в соответствии с положениями настоящего Кодекса, производится путем применения ставки, установленной статьей 682 настоящего Кодекса, к начисленной сумме дохода без осуществления налоговых вычетов.
3. Уплата индивидуального подоходного налога производится физическим лицом - нерезидентом самостоятельно не позднее десяти календарных дней после срока, установленного для сдачи декларации о доходах и имуществе физического лица за налоговый период.
Статья 696. Порядок исчисления и уплаты индивидуального подоходного налога с доходов трудового иммигранта - нерезидента
1. Доход трудового иммигранта - нерезидента, заключившего трудовой договор в соответствии с трудовым законодательством Республики Казахстан на основании разрешения трудовому иммигранту на выполнение работ, оказание услуг состоит из следующих доходов:
1) суммы минимального облагаемого дохода в 40-кратном размере месячного расчетного показателя, действующего на 1 января соответствующего финансового года, за каждый месяц выполнения работ, оказания услуг соответствующего периода, указанного трудовым иммигрантом - нерезидентом в заявлении на получение (продление) разрешения трудовому иммигранту - нерезиденту;
2) суммы превышения дохода, подлежащего получению по трудовому договору, за соответствующий период, указанный трудовым иммигрантом -нерезидентом в заявлении на получение (продление) разрешения трудовому иммигранту - нерезиденту, над суммой минимального облагаемого дохода за этот же период - при наличии такого превышения.
2. Облагаемая сумма дохода трудового иммигранта - нерезидента в виде превышения определяется как:
доходы, полученные от выполнения работ, оказания услуг за каждый месяц выполнения работ, оказания услуг соответствующего периода, указанного в разрешении трудовому иммигранту:
минус
сумма минимального облагаемого дохода за этот же период
минус
сумма в размере 14-кратного размера месячного расчетного показателя, действующего на 1 января соответствующего финансового года, за каждый месяц выполнения работ (оказания услуг) за этот же период.
3. Уплата индивидуального подоходного налога, исчисленного трудовым иммигрантом - нерезидентом с суммы минимального облагаемого дохода, производится до получения (продления) разрешения трудовому иммигранту - по месту пребывания трудового иммигранта - нерезидента.
4. Уплата индивидуального подоходного налога, исчисленного с облагаемой суммы дохода трудового иммигранта - нерезидента в виде превышения за налоговый период, производится трудовым иммигрантом - нерезидентом не позднее десяти календарных дней после срока представления декларации о доходах и имуществе - по месту пребывания.
5. В случае если сумма уплаченного в течение налогового периода индивидуального подоходного налога, исчисленного с суммы минимального облагаемого дохода, превышает сумму индивидуального подоходного налога, исчисленную за отчетный налоговый период с дохода трудового иммигранта-нерезидента, то такое превышение не является суммой излишне уплаченного индивидуального подоходного налога и не подлежит возврату или зачету.
Статья 697. Представление декларации о доходах и имуществе физического лица
1. Если иное не установлено настоящей статьей, декларация о доходах и имуществе физического лица представляется в налоговый орган по месту пребывания (жительства) налогоплательщика не позднее 1 июля года, следующего за отчетным календарным годом, физическим лицом - нерезидентом, получающим доходы из источников в Республике Казахстан, подлежащие налогообложению самостоятельно в соответствии с настоящим Кодексом.
В случае выезда за пределы Республики Казахстан в течение текущего налогового периода без последующего въезда на территорию Республики Казахстан до 1 июля года, следующего за отчетным календарным годом, физическое лицо - нерезидент вправе представить декларацию о доходах и имуществе физического лица и уплатить индивидуальный подоходный налог в течение текущего налогового периода. При этом декларация о доходах и имуществе физического лица представляется за период с начала текущего налогового периода до даты выезда такого лица за пределы Республики Казахстан.
2. Декларация о доходах и имуществе физического лица представляется трудовым иммигрантом - нерезидентом, получившим доходы, указанные в подпункте 24) пункта 1 статьи 679 настоящего Кодекса, в случае превышения суммы индивидуального подоходного налога, исчисленной за отчетный налоговый период, над суммой индивидуального подоходного налога, уплаченного с минимального облагаемого дохода.
Декларация о доходах и имуществе физического лица по доходам, предусмотренным настоящим пунктом, представляется трудовым иммигрантом - нерезидентом в налоговый орган по месту пребывания не позднее 1 июля года, следующего за отчетным налоговым периодом.
При этом в случае выезда за пределы Республики Казахстан трудового иммигранта - нерезидента, получившего доходы, указанные в подпункте 24) пункта 1 статьи 679, в течение налогового периода, декларация (декларации) о доходах и имуществе физического лица представляется (представляются) до даты выезда такого лица за пределы Республики Казахстан.
Глава 75. СПЕЦИАЛЬНЫЕ ПОЛОЖЕНИЯ ПО МЕЖДУНАРОДНЫМ ДОГОВОРАМ, РЕГУЛИРУЮЩИМ ВОПРОСЫ ИЗБЕЖАНИЯ ДВОЙНОГО НАЛОГООБЛОЖЕНИЯ И ПРЕДОТВРАЩЕНИЯ УКЛОНЕНИЯ ОТ УПЛАТЫ НАЛОГОВ
Параграф 1. Общие положения
Статья 698. Условия и порядок применения международного договора
1. Международный договор, регулирующий вопросы избежания двойного налогообложения и предотвращения уклонения от уплаты налогов, одной из сторон которого является Республика Казахстан (далее - международный договор), применяется к лицам, которые являются резидентами одного или обоих государств, заключивших такой договор.
Положения настоящей статьи не применяются к резиденту государства, с которым заключен международный договор, если этот резидент использует положения данного международного договора в интересах другого лица, не являющегося резидентом государства, с которым заключен международный договор.
2. Применение положений международного договора осуществляется в порядке, определенном настоящим Кодексом и соответствующим международным договором.
Если в международный договор внесены изменения многосторонним международным договором по выполнению мер, относящихся к налоговым соглашениям, в целях противодействия размыванию налоговой базы и выводу прибыли из-под налогообложения (далее - многосторонний международный договор), такой международный договор применяется с учетом внесенных изменений.
3. При уплате налоговым агентом суммы подоходного налога, исчисленной с доходов нерезидента в соответствии с положениями настоящего Кодекса, за счет собственных средств без его удержания с дохода нерезидента положения международного договора не применяются.
Статья 699. Порядок представления нерезидентом заявления на возврат уплаченного подоходного налога из бюджета на основании международного договора
1. При применении положений международного договора нерезидент имеет право на возврат подоходного налога в порядке, определенном настоящей статьей и статьями 700 и 701 настоящего Кодекса, в следующих случаях:
1) удержания и перечисления в бюджет налоговым агентом в соответствии с положениями настоящего Кодекса подоходного налога с доходов нерезидента, полученных из источников в Республике Казахстан;
2) исчисления и уплаты нерезидентом подоходного налога с доходов от осуществления деятельности в Республике Казахстан через структурное подразделение, не приводящей к образованию постоянного учреждения в соответствии с международным договором;
3) уплаты нерезидентом в бюджет подоходного налога с доходов, полученных из источников в Республике Казахстан, в соответствии с положениями настоящего Кодекса.
При этом нерезидент обязан представить в налоговый орган налоговое заявление на возврат уплаченного подоходного налога из бюджета (далее в целях настоящей статьи и статей 700 и 701 настоящего Кодекса - заявление) с приложением документов, определенных пунктами 3 и 4 настоящей статьи.
2. Заявление представляется нерезидентом по форме, утвержденной уполномоченным органом, в двух экземплярах в налоговый орган, являющийся вышестоящим по отношению к налоговому органу по месту нахождения (жительства, пребывания) налогового агента.
Датой представления заявления в налоговый орган является дата получения заявления налоговым органом.
3. К заявлению должны быть приложены следующие документы:
1) копии контрактов (договоров, соглашений) на выполнение работ, оказание услуг или на иные цели;
2) документ, подтверждающий резидентство нерезидента;
3) копии бухгалтерских или иных документов, подтверждающих суммы полученных доходов и удержанных, уплаченных налогов;
4) копии документов, подтверждающих факт оказания услуг, выполнения работ;
5) в случае выполнения работ, оказания услуг нерезидентом на территории Республики Казахстан через работников или другой персонал, нанятый нерезидентом для таких целей, - копии документов, удостоверяющих личность таких физических лиц, и документов, подтверждающих сроки их пребывания на территории Республики Казахстан;
6) дополнительно в случае представления заявления юридическим лицом
нотариально засвидетельствованные копии учредительных документов либо
выписки из торгового реестра (реестра акционеров) или иного аналогичного документа, предусмотренного законодательством государства, в котором зарегистрирован нерезидент, с указанием учредителей (участников) и мажоритарных акционеров юридического лица - нерезидента.
В случае отсутствия у нерезидента в соответствии с требованиями законодательства иностранного государства учредительных документов или обязательства по регистрации в торговом реестре (реестре акционеров) или ином аналогичном документе, предусмотренном законодательством государства, в котором зарегистрирован нерезидент, такой нерезидент представляет налоговому агенту:
документ (акт), послуживший основанием для создания нерезидента, правовая (юридическая) сила которого подтверждена соответствующим органом иностранного государства, в котором зарегистрирован такой нерезидент,
либо иной документ, указывающий организационную структуру консолидированной группы, участником которой является нерезидент, с отражением наименования всех ее участников и их географического местонахождения (наименования государств (территорий), где участники консолидированной группы созданы (учреждены), и номеров государственной и налоговой регистрации всех участников консолидированной группы.
Дополнительно в случае представления заявления физическим лицом - копия документа, удостоверяющего личность.
Положения настоящего пункта не применяются в случае представления заявления в соответствии с пунктом 4 настоящей статьи.
4. При представлении нерезидентом заявления на возврат подоходного налога с доходов, полученных по акциям, являющимся базовым активом депозитарных расписок, к заявлению прилагаются следующие документы:
1) выписка со счета, полученная из центрального депозитария, содержащая:
наименование или фамилию, имя и отчество нерезидента;
информацию о количестве и виде депозитарных расписок;
наименование и реквизиты документа, удостоверяющего личность нерезидента (для физического лица), номер налоговой регистрации в стране инкорпорации нерезидента или его аналог (при его наличии), номер и дату государственной регистрации нерезидента (для юридического лица);
2) решение общего собрания акционеров эмитента акций, являющихся базовым активом депозитарных расписок, о выплате дивидендов за определенный период с указанием размера дивиденда в расчете на одну акцию и даты составления списка акционеров, имеющих право на получение дивидендов;
3) выписки с валютного счета по поступившим суммам дивидендов;
4) документ, подтверждающий резидентство нерезидента, являющегося окончательным (фактическим) получателем (владельцем) доходов по акциям, являющимся базовым активом депозитарных расписок.
5. При представлении нерезидентом заявления на возврат подоходного налога с доходов, полученных от прироста стоимости, к заявлению прилагаются следующие копии документов:
1) указанных в подпунктах 1) - 3), 5) и 6) пункта 3 настоящей статьи;
2) подтверждающих куплю-продажу акций, долей участия и иного имущества с указанием цены приобретения и реализации.
6. Если документы, указанные в пунктах 3,4 и 5 настоящей статьи, составлены на иностранном языке, нерезидент обязан приложить их нотариально засвидетельствованный перевод на казахском или русском языках.
7. Заявление на возврат подоходного налога, удержанного с доходов от выполнения работ, оказания услуг, представляется нерезидентом по завершении выполнения работ, оказания услуг в Республике Казахстан.
По долгосрочным контрактам нерезидент вправе представлять заявление в налоговый орган по мере завершения каждого этапа выполнения работ, оказания услуг.
В целях настоящего раздела долгосрочным контрактом является контракт (договор) на выполнение работ, оказание услуг, не завершенный в течение двенадцатимесячного периода со дня его заключения.
8. Заявление представляется нерезидентом в налоговый орган до истечения срока исковой давности, если иное не установлено международным договором.
9. Налоговый орган отказывает в рассмотрении заявления в следующих случаях:
1) подачи нерезидентом заявления по истечении срока, установленного пунктом 7 настоящей статьи.
При этом нерезидент не вправе повторно подать заявление;
2) несоответствия документа, подтверждающего резидентство, требованиям, установленным статьей 702 настоящего Кодекса;
3) непредставления нерезидентом документов, определенных в пунктах 3, 4 и 5 настоящей статьи;
4) несоблюдения нерезидентом положений пункта 2 настоящей статьи;
5) при повторном представлении заявления за ранее рассмотренный (проверенный) период, по итогам которого налоговым органом вынесено решение об отказе в возврате подоходного налога из бюджета по одному из следующих оснований:
признание постоянным учреждением (постоянным местом деятельности) нерезидента в Республике Казахстан в соответствии со статьей 226 настоящего Кодекса;
удержание и перечисление в бюджет налоговым агентом подоходного налога с доходов нерезидента, полученных из источников в Республике Казахстан, за счет собственных средств;
6) ненаступления случаев, указанных в пункте 1 настоящей статьи.
При этом решение налогового органа об отказе в рассмотрении заявления вручается нерезиденту под роспись или направляется по почте заказным письмом с уведомлением с приложением заявления и представленных документов в течение десяти рабочих дней со дня их получения налоговым органом с указанием причин отказа.
В случае отказа налогового органа в рассмотрении заявления по основаниям, предусмотренным подпунктами 2), 3) и 4) настоящего пункта, нерезидент вправе в пределах срока, установленного пунктом 8 настоящей статьи, повторно подать заявление, если им будут устранены допущенные нарушения.
Статья 700. Порядок рассмотрения заявления нерезидента и принятия решения по результатам рассмотрения
1. Налоговый орган рассматривает заявление нерезидента, представленное в соответствии со статьей 699 настоящего Кодекса, в течение двадцати рабочих дней со дня его представления нерезидентом.
Срок рассмотрения заявления, предусмотренный частью первой настоящего пункта, приостанавливается на период:
1) проведения тематической проверки, указанной в пункте 3 настоящей статьи;
2) с даты направления налоговым органом запроса, указанного в пунктах 2 и 5 настоящей статьи, до даты получения ответа на такой запрос.
2. В ходе рассмотрения заявления нерезидента налоговый орган вправе направить запросы в другие налоговые органы, уполномоченные государственные органы, компетентные органы иностранных государств, банки и организации, осуществляющие отдельные виды банковских операций, и иные организации, осуществляющие деятельность на территории Республики Казахстан, о предоставлении необходимой информации, а также нерезиденту - по вопросам, связанным с возвратом налога.
3. При рассмотрении заявления нерезидента налоговый орган проводит в порядке, определенном главой 15 настоящего Кодекса, тематическую проверку по вопросу возврата уплаченного подоходного налога из бюджета на основании заявления нерезидента, за исключением случаев, указанных в пунктах 5 и 6 настоящей статьи.
4. В случае, если нерезидент имеет структурное подразделение в Республике Казахстан, налоговый орган, рассматривающий заявление, обязан направить в налоговый орган по месту нахождения такого структурного подразделения запрос на проведение комплексной налоговой проверки нерезидента за период срока исковой давности на предмет исполнения им налоговых обязательств и наличия либо отсутствия постоянного учреждения в Республике Казахстан.
5. В случае ликвидации (прекращения деятельности), банкротства налогового агента налоговый орган вправе направить запрос в компетентный орган страны резидентства нерезидента, заявление которого рассматривается, о предоставлении информации о взаимоотношениях налогового агента и нерезидента.
При этом решение, указанное в пункте 7 настоящей статьи, принимается на основании полученной информации от компетентного органа страны резидентства нерезидента на запрос налогового органа и (или) данных налоговой отчетности по подоходному налогу, удержанному у источника выплаты, предоставленной ликвидированным (прекратившим деятельность) или признанным банкротом налоговым агентом.
В случае письменного отказа компетентного органа иностранного государства в предоставлении информации по запросу, направленному по основаниям, предусмотренным частью первой настоящего пункта, или непредставления ответа в течение более двух лет с даты направления запроса налоговый орган обязан отказать в рассмотрении заявления. При этом налогоплательщик вправе инициировать процедуру взаимного согласования в соответствии с положениями статьи 232 настоящего Кодекса.
6. В случае уплаты физическим лицом - нерезидентом в бюджет подоходного налога с доходов, полученных от лиц, не являющихся налоговыми агентами, решение, указанное в пункте 7 настоящей статьи, принимается на основании документов, приложенных к заявлению на возврат подоходного налога, определенных пунктом 3 статьи 686 настоящего Кодекса, и данных налоговой отчетности по подоходному налогу, представленной нерезидентом.
7. По итогам рассмотрения заявления нерезидента налоговым органом выносится одно из следующих решений:
1) о возврате подоходного налога полностью или в части;
2) об отказе в возврате подоходного налога.
Решение налогового органа оформляется в письменной форме и подписывается руководителем или его заместителем.
При принятии налоговым органом решения о возврате подоходного налога полностью или в части на представленном заявлении проставляется сумма подоходного налога, подлежащая возврату в соответствии с положениями международного договора, и заявление заверяется подписью руководителя или его заместителя и печатью налогового органа.
В решении налогового органа по результатам рассмотрения заявления должны быть указаны:
1) дата принятия решения;
2) наименование налогового органа, принявшего решение;
3) полное наименование нерезидента, подавшего заявление;
4) номер налоговой регистрации в стране инкорпорации нерезидента или его аналог (при его наличии);
5) в случае принятия решения о возврате - сумма подоходного налога, подлежащая возврату нерезиденту из бюджета;
6) в случае вынесения решения об отказе в возврате подоходного налога полностью или в части - обоснование со ссылкой на нормы законодательства Республики Казахстан, с учетом результатов тематической налоговой проверки, проведенной согласно главе 15 настоящего Кодекса, и (или) международного договора и (или) с указанием информации, полученной на основании запроса налогового органа от компетентного органа иностранного государства, которыми руководствовался налоговый орган при вынесении такого решения.
8. В случае уплаты подоходного налога в бюджет и принятия налоговым органом решения о возврате подоходного налога полностью или в части копии решения и заявления нерезидента направляются таким налоговым органом в налоговый орган, в котором зарегистрирован по месту нахождения (жительства, пребывания) налоговый агент (налогоплательщик), производивший уплату подоходного налога.
Налоговый орган, в котором зарегистрирован по месту нахождения (жительства, пребывания) налоговый агент (налогоплательщик), производит нерезиденту возврат суммы подоходного налога из бюджета в порядке, определенном параграфом 1 главы 11 настоящего Кодекса, в течение тридцати рабочих дней со дня принятия такого решения.
9. Решение налогового органа с приложением одного экземпляра заявления нерезидента вручается нерезиденту под роспись или направляется по почте заказным письмом с уведомлением о получении.
Датой получения нерезидентом решения налогового органа является дата вручения или отметки нерезидента в уведомлении почтовой или иной организации связи.
Статья 701. Порядок обжалования решения по результатам рассмотрения заявления нерезидента и вынесения решения по результатам рассмотрения жалобы
1. В случае несогласия с решением налогового органа, указанным в пункте 7 статьи 700 настоящего Кодекса, нерезидент вправе обжаловать его в уполномоченный орган.
Жалоба подается в письменной форме в течение девяноста календарных дней со дня, следующего за днем получения решения налогового органа.
При этом копия жалобы должна быть направлена нерезидентом в налоговый орган, решение которого обжалуется.
Датой подачи жалобы в уполномоченный орган является дата получения жалобы уполномоченным органом.
2. В жалобе должны быть указаны:
1) дата подписания жалобы нерезидентом;
2) фамилия, имя и отчество либо полное наименование лица, подающего жалобу, его место жительства (место нахождения);
3) номер налоговой регистрации в стране инкорпорации нерезидента или его аналог (при его наличии);
4) наименование налогового органа, решение которого обжалуется нерезидентом;
5) обстоятельства, на которых нерезидент, подающий жалобу, обосновывает свои требования, и доказательства, подтверждающие эти обстоятельства;
6) перечень прилагаемых документов.
Жалоба подписывается нерезидентом либо лицом, являющимся его представителем.
3. К жалобе прилагаются:
1) копии заявления и решения налогового органа;
2) документы, установленные пунктами 3 или 4 статьи 699 настоящего Кодекса, за исключением заявления;
3) документы, подтверждающие обстоятельства, на которых нерезидент обосновывает свои требования;
4) иные документы, имеющие отношение к делу.
4. Уполномоченный орган отказывает нерезиденту в рассмотрении жалобы в следующих случаях:
1) подачи нерезидентом жалобы по истечении срока, установленного частью второй пункта 1 настоящей статьи;
2) несоответствия содержания жалобы требованиям, установленным пунктом 2 настоящей статьи;
3) несоответствия документа, подтверждающего резидентство, требованиям, установленным статьей 702 настоящего Кодекса;
4) непредставления нерезидентом документов, установленных пунктами 3 или 4 статьи 699 настоящего Кодекса;
5) подачи нерезидентом жалобы (заявления) в суд на решение налогового органа, указанное в пункте 7 статьи 700 настоящего Кодекса.
Решение об отказе в рассмотрении жалобы направляется нерезиденту в письменной форме в течение десяти рабочих дней со дня подачи жалобы в уполномоченный орган.
В случае отказа уполномоченным органом в рассмотрении жалобы по основаниям, предусмотренным подпунктами 2), 3) и 4) части первой настоящего пункта, нерезидент вправе в течение девяноста календарных дней со дня получения решения об отказе в рассмотрении жалобы повторно подать ее, если им будут устранены допущенные нарушения.
5. Уполномоченный орган рассматривает жалобу нерезидента в течение тридцати рабочих дней со дня подачи жалобы в уполномоченный орган.
При этом срок рассмотрения жалобы приостанавливается в случае направления уполномоченным органом запросов компетентному органу иностранного государства или другим государственным органам Республики Казахстан, банкам и организациям, осуществляющим отдельные виды банковских операций, иным организациям, осуществляющим деятельность на территории Республики Казахстан, о предоставлении необходимой информации, а также нерезиденту - по вопросам, связанным с рассмотрением его заявления, до получения такой информации.
6. По итогам рассмотрения жалобы нерезидента уполномоченным органом выносится одно из следующих решений:
1) о возврате подоходного налога полностью или в части;
2) об отказе в возврате подоходного налога.
Решение уполномоченного органа вручается нерезиденту под роспись или направляется ему по почте заказным письмом с уведомлением о получении.
Датой получения решения уполномоченного органа нерезидентом является дата вручения или отметки нерезидента в уведомлении почтовой или иной организации связи.
В решении уполномоченного органа по результатам рассмотрения жалобы должны быть указаны:
1) дата принятия решения;
2) полное наименование нерезидента, подавшего заявление;
3) номер налоговой регистрации в стране инкорпорации нерезидента или его аналог (при его наличии);
4) в случае принятия решения о возврате - сумма подоходного налога, подлежащая возврату нерезиденту из государственного бюджета;
5) в случае вынесения решения об отказе в возврате подоходного налога - обоснование со ссылкой на нормы законодательства Республики Казахстан и (или) международного договора и (или) с указанием информации, полученной на основании запроса уполномоченного органа от компетентного органа иностранного государства, которыми руководствовался налоговый орган при вынесении такого решения.
7. Копия решения уполномоченного органа направляется в налоговый орган, решение которого обжаловалось нерезидентом.
В случае принятия уполномоченным органом решения о возврате подоходного налога налоговый орган, решение которого обжаловалось нерезидентом, указывает на заявлении, ранее представленном нерезидентом в такой налоговый орган, сумму подоходного налога, подлежащую возврату в соответствии с положениями международного договора. Датой заверения заявления является дата получения таким налоговым органом копии решения уполномоченного органа. При этом заявление заверяется подписью руководителя или его заместителя и печатью такого налогового органа и вручается нерезиденту под роспись или направляется по почте заказным письмом с уведомлением о получении.
Налоговый орган, решение которого обжаловалось нерезидентом, направляет копии указанного решения и заверенного заявления такого нерезидента в налоговый орган, в котором зарегистрирован по месту нахождения (жительства, пребывания) налоговый агент (налогоплательщик), производивший уплату подоходного налога.
Статья 702. Требования, предъявляемые к документу, подтверждающему резидентство нерезидента
1. В целях применения положений настоящего раздела документом, подтверждающим резидентство нерезидента, является официальный документ, подтверждающий, что нерезидент - получатель дохода является резидентом государства, с которым Республикой Казахстан заключен международный договор, представленный в одном из следующих видов:
1) оригинала, заверенного компетентным органом иностранного государства, резидентом которого является нерезидент. Подпись должностного лица и печать компетентного органа, подтверждающего резидентство нерезидента, должны быть легализованы в порядке, определенном законодательством Республики Казахстан, или документ, легализующий подпись должностного лица, и печать компетентного органа, размещен на:
интернет-ресурсе государственного органа, осуществляющего легализацию;
интернет-ресурсе иной государственной организации или общественной нотариальной палаты, осуществляющей сбор (хранение) электронных апостилей иностранного государства;
2) нотариально засвидетельствованной копии оригинала документа, соответствующего требованиям подпункта 1) настоящего пункта. Подпись и печать иностранного нотариуса должны быть легализованы в порядке, определенном законодательством Республики Казахстан, или документ, легализующий подпись и печать иностранного нотариуса, размещен на:
интернет-ресурсе государственного органа, осуществляющего легализацию;
интернет-ресурсе иной государственной организации или общественной нотариальной палаты, осуществляющей сбор (хранение) электронных апостилей иностранного государства;
3) бумажной копии электронного документа, подтверждающего резидентство нерезидента, размещенного на интернет-ресурсе компетентного органа иностранного государства.
Если на интернет-ресурсе компетентного органа иностранного государства размещена сокращенная (не полная) версия бумажной копии электронного документа, но в нем подтверждается, что нерезидент является резидентом иностранного государства, такой документ признается документом, подтверждающим резидентство данного лица за указанный период.
2. Легализация в порядке, определенном законодательством Республики Казахстан, не требуется в случае, если:
документ, подтверждающий резидентство нерезидента, размещен на интернет-ресурсе компетентного органа иностранного государства;
установлен иной порядок удостоверения подлинности подписи и печати лица (лиц), указанного (указанных) в пункте 1 настоящей статьи:
международным договором Республики Казахстан;
между уполномоченным органом и компетентным органом иностранного государства в рамках процедуры взаимного согласования, проводимой в соответствии со статьей 232 настоящего Кодекса;
решением органа ЕАЭС.
3. Нерезидент признается резидентом государства, с которым Республикой Казахстан заключен международный договор, при:
указании периода времени в документе, подтверждающем резидентство нерезидента, - в течение указанного периода;
подтверждении резидентства на определенную дату - на период времени с начала календарного года до даты, на которую подтверждено резидентство нерезидента;
отсутствии периода времени в документе, подтверждающем резидентство нерезидента, - в течение календарного года, в котором такой документ выдан (размещен на интернет-ресурсе компетентного органа иностранного государства).
Статья 703. Справка о суммах полученных доходов из источников в Республике Казахстан и удержанных, уплаченных налогов
1. Нерезидент вправе получить в налоговом органе справку о суммах полученных доходов из источников в Республике Казахстан и удержанных, уплаченных налогов (далее в целях настоящей статьи - справка) в случае, если такой налог подлежит уплате в бюджет Республики Казахстан, в том числе на основании международного договора, и не подлежит возврату в соответствии со статьями 699, 700 и 701 настоящего Кодекса.
Справку в налоговом органе вправе также получить налоговый агент по сумме начисленных и (или) выплаченных таким налоговым агентом доходов нерезиденту и удержанных (уплаченных) налогов с такого дохода. При этом не требуется наличие доверенности в соответствии со статьей 38 настоящего Кодекса.
2. Для получения справки нерезидент (налоговый агент) обязан представить налоговое заявление в следующий налоговый орган:
1) по доходам юридического лица - нерезидента, осуществляющего деятельность в Республике Казахстан без образования постоянного учреждения, - по месту нахождения налогового агента;
2) постоянное учреждение нерезидента - по месту нахождения такого постоянного учреждения;
3) иностранец или лицо без гражданства, уплачивающие налоги с доходов из источников в Республике Казахстан самостоятельно, - по месту пребывания (жительства) в Республике Казахстан;
4) по доходам иностранца или лица без гражданства, не указанным в подпункте 3) настоящего пункта, - по месту нахождения налогового агента.
3. Налоговый орган направляет нерезиденту (налоговому агенту) отказ в выдаче справки при:
выявлении несоответствия данных налогового заявления нерезидента (налогового агента) данным, указанным в формах налоговой отчетности налогоплательщика и (или) налогового агента;
отсутствии уплаты налога;
наличии налоговой задолженности у налогоплательщика и (или) налогового агента по перечислению налога с доходов нерезидента на дату подачи налогового заявления;
4. Справка выдается не позднее десяти календарных дней с наиболее поздней из следующих дат:
подачи налогового заявления;
представления налогоплательщиком-нерезидентом и (или) налоговым агентом соответствующей формы налоговой отчетности, в которой отражены суммы начисленных доходов нерезидента и подлежащих уплате налогов.
Статья 704. Помощь в сборе налогов
1. Уполномоченный орган в соответствии с положениями международного договора в целях исполнения невыполненного налогового обязательства имеет право запросить содействие компетентного органа иностранного государства путем направления налогового требования.
Налоговое требование направляется в компетентный орган иностранного государства в случае неисполнения или ненадлежащего исполнения налогового обязательства нерезидентом по доходам из источников в Республике Казахстан, а также доходам постоянного учреждения нерезидента из источников за пределами Республики Казахстан исключительно после применения всех возможных мер принудительного взыскания.
2. При поступлении запроса на содействие от компетентного органа иностранного государства уполномоченный орган имеет право обеспечить исполнение налогового обязательства резидента, возникшего в иностранном государстве.
При этом уполномоченный орган рассматривает правомерность уплаты налогов с доходов резидента из источников в иностранном государстве в соответствии с положениями международного договора и выносит заключение.
3. В случае вынесения положительного заключения по запросу компетентного органа иностранного государства уполномоченный орган в соответствии с положениями международного договора обеспечивает исполнение налоговых обязательств резидентом в порядке, определенном настоящим Кодексом.
Сумма налога перечисляется налогоплательщиком-резидентом по требованию уполномоченного органа на счет компетентного органа иностранного государства, указанного в запросе о содействии в сборе налогов, направленном согласно положениям международного договора.
4. Уполномоченный орган рассматривает запросы компетентного органа иностранного государства на принципах взаимности.
5. Положения настоящей статьи применяются до истечения срока исковой давности, если иное не определено международным договором
Параграф 2. Порядок применения международного договора налоговым агентом самостоятельно
Статья 705. Порядок применения международного договора в части полного освобождения от налогообложения доходов нерезидента, полученных из источников в Республике Казахстан
1. Порядок применения положений международного договора, установленный настоящей статьей, распространяется на доходы нерезидента, предусмотренные статьей 679 настоящего Кодекса, за исключением доходов:
1) в отношении которых предусмотрен иной порядок применения положений международного договора в соответствии со статьями 706, 707, 712, 713 и 714 настоящего Кодекса;
2) определенных статьей 687 настоящего Кодекса, в отношении которых предусмотрен иной порядок применения положений международного договора в соответствии со статьями 699,700 и 701 настоящего Кодекса;
3) от оказания услуг и (или) выполнения работ при наличии зарегистрированного структурного подразделения нерезидента и (или) постоянного учреждения без открытия филиала, представительства, в отношении которых предусмотрен иной порядок применения положений международного договора в соответствии со статьями 699, 700 и 701 настоящего Кодекса;
4) от оказания услуг и (или) выполнения работ в рамках одного проекта и (или) связанных проектов, приводящих к образованию постоянного учреждения в Республике Казахстан.
Связанность проектов определяется налоговым агентом самостоятельно в соответствии со статьей 228 настоящего Кодекса.
2. Налоговый агент вправе самостоятельно применить освобождение от налогообложения при выплате дохода нерезиденту или отнесении начисленного, но не выплаченного дохода нерезидента на вычеты при соблюдении следующих условий:
1) с государством резидентства нерезидента заключен и ратифицирован международный договор;
2) в срок, установленный пунктом 3 настоящей статьи, представлен документ, подтверждающий резидентство нерезидента.
Документ, подтверждающий резидентство нерезидента, должен соответствовать требованиям, установленным статьей 702 настоящего Кодекса.
3. Документ, подтверждающий резидентство, представляется нерезидентом налоговому агенту не позднее одной из следующих дат, которая наступит первой:
1) 31 марта года, следующего за налоговым периодом для корпоративного подоходного налога, в котором произошла выплата дохода нерезиденту или невыплаченные доходы нерезидента отнесены на вычеты;
2) не позднее пяти рабочих дней до завершения налоговой проверки по вопросу исполнения налогового обязательства по подоходному налогу, удерживаемому у источника выплаты за налоговый период.
4. В случае, если юридическое лицо - нерезидент оказывает услуги и (или) выполняет работы в Республике Казахстан в пределах срока, не приводящего к образованию постоянного учреждения в Республике Казахстан, такой нерезидент наряду с документом, подтверждающим резидентство, представляет налоговому агенту, один из следующих документов:
1) нотариально засвидетельствованные копии учредительных документов;
2) выписка из торгового реестра (реестра акционеров) или иной аналогичный документ, предусмотренный законодательством государства, в котором зарегистрирован нерезидент, с указанием учредителей (участников) и мажоритарных акционеров юридического лица - нерезидента.
В случае отсутствия у нерезидента указанных в настоящем пункте документов такой нерезидент представляет налоговому агенту один из следующих документов:
1) документ (акт), послуживший основанием для создания нерезидента, в котором зарегистрирован такой нерезидент;
2) документ, указывающий организационную структуру консолидированной группы, участником которой является нерезидент, с отражением наименования всех ее участников и их географического местонахождения (наименования государств (территорий), где участники консолидированной группы созданы (учреждены), и номеров государственной и налоговой регистрации всех участников консолидированной группы.
6. В случае если оказание услуг и (или) выполнение работ на территории Республики Казахстан в пределах срока, не приводящего к образованию постоянного учреждения в Республике Казахстан, осуществляется в рамках договора о совместной деятельности, то юридическое лицо - нерезидент, являющееся участником такого договора, наряду с документами, указанными в пунктах 4 и 5 настоящей статьи, представляет один из следующих документов:
1) нотариально засвидетельствованную копию договора о совместной деятельности;
2) иного документа, подтверждающего долю его участия в совместной деятельности.
В случае, если нерезидент не образует постоянного учреждения в результате оказания услуг или выполнения работ в рамках такого договора (контракта) и связанных проектов, налоговый агент вправе применить положения международного договора к доходу юридического лица - нерезидента пропорционально доле его участия в совместной деятельности, указанной в документе, подтверждающем долю его участия в совместной деятельности.
7. Налоговый агент не позднее пяти календарных дней с даты, установленной для представления налоговой отчетности за четвертый квартал, обязан представить в налоговый орган по месту нахождения копию документа, подтверждающего резидентство нерезидента.
В налоговой отчетности, представляемой налоговым агентом, указываются суммы:
1) начисленных (выплаченных) доходов нерезиденту и удержанных, освобожденных от удержания налогов;
2) доходов, не подлежащих налогообложению в Республике Казахстан;
3) любых выплат нерезиденту из источников в Республике Казахстан в соответствии с положениями международных договоров;
4) ставки подоходного налога и наименования международных договоров.
8. В случае неприменения налоговым агентом положений международного договора налоговый агент обязан удержать и перечислить подоходный налогу источника выплаты.
9. При неправомерном применении положений международного договора, повлекшем неперечисление или неполное перечисление удержанных сумм налогов, подлежащих перечислению в бюджет, налоговый агент несет ответственность, установленную законами Республики Казахстан.
Статья 706. Порядок применения международного договора в отношении доходов нерезидента в виде дивидендов, вознаграждений и (или) роялти, полученных из источников в Республике Казахстан
1. Если иное не установлено международным договором, при выплате доходов нерезиденту в виде дивидендов, вознаграждений и (или) роялти или отнесении невыплаченных доходов нерезидента в виде вознаграждений и (или) роялти на вычеты налоговый агент вправе самостоятельно применить положения международного договора при соблюдении следующих условий:
1) с государством резидентства нерезидента заключен и ратифицирован международный договор;
2) документ, подтверждающий резидентство нерезидента, представлен в срок, установленный пунктом 3 статьи 705 настоящего Кодекса.
Документ, подтверждающий резидентство нерезидента, должен соответствовать требованиям, установленным статьей 702 настоящего Кодекса;
3) выплаченные доходы не связаны с деятельностью постоянного учреждения нерезидента в Республике Казахстан;
4) нерезидент является окончательным получателем дохода.
В целях настоящего раздела под окончательным получателем доходов следует понимать лицо (фактический владелец), которое имеет право владения, пользования, распоряжения доходами и не является посредником в отношении такого дохода, в том числе агентом, номинальным держателем.
2. При выплате дохода в виде вознаграждения окончательному получателю дохода через посредника налоговый агент вправе применить освобождение или сниженную ставку подоходного налога, предусмотренную международным договором с государством, резидентом которого является такой окончательный получатель, при одновременном выполнении следующих условий:
1) в договоре (контракте), на основании которого выплачивается вознаграждение, отражены:
наименование посредника, суммы выплат и вознаграждений посреднику и суммы вознаграждения по каждому окончательному получателю вознаграждения через посредника;
данные посредника и такого лица (фамилия, имя и отчество физического лица или наименования юридического лица);
номер налоговой регистрации в стране инкорпорации или его аналог (при его наличии);
номер государственной регистрации в стране инкорпорации (или его аналог);
2) документ, подтверждающий резидентство окончательного получателя, представлен в срок, установленный пунктом 3 статьи 705 настоящего Кодекса.
Документ, подтверждающий резидентство окончательного получателя, должен соответствовать требованиям, установленным статьей 702 настоящего Кодекса.
3. Налоговый агент не позднее пяти календарных дней с даты, установленной для представления налоговой отчетности за четвертый квартал, обязан представить в налоговый орган по месту нахождения копию документа, подтверждающего резидентство окончательного получателя.
4. В случае неприменения налоговым агентом положений международного договора налоговый агент обязан удержать и перечислить подоходный налог у источника выплаты в порядке и сроки, которые предусмотрены статьями 683 и 684 настоящего Кодекса.
5. Окончательный получатель дохода - нерезидент в соответствии с положениями международного договора имеет право на возврат излишне удержанного подоходного налога у источника выплаты в случае перечисления налоговым агентом в бюджет подоходного налога, удержанного у источника выплаты дохода такому нерезиденту.
Возврат нерезиденту излишне удержанного подоходного налога производит налоговый агент.
При этом окончательный получатель дохода - нерезидент обязан представить налоговому агенту:
1) нотариально засвидетельствованную копию договора (контракта), заключенного с посредником, в котором отражены:
сумма вознаграждения такого нерезидента с указанием данных такого лица (фамилии, имени и отчества физического лица или наименования юридического лица);
номер налоговой регистрации в стране инкорпорации (или его аналог) при его наличии;
номер государственной регистрации в стране инкорпорации (или его аналог);
2) документ, подтверждающий резидентство нерезидента, за период, за который такому нерезиденту начислен доход в виде вознаграждения.
Документы, указанные в части второй настоящего пункта, представляются нерезидентом до истечения срока исковой давности со дня последнего перечисления подоходного налога, удержанного у источника выплаты, в бюджет, если иные сроки не установлены международным договором.
6. В случае возврата нерезиденту в соответствии с пунктом 5 настоящей статьи удержанного подоходного налога налоговый агент вправе представить в налоговый орган по месту своего нахождения дополнительный расчет по подоходному налогу, удерживаемому у источника выплаты, на сумму уменьшения при применении сниженной ставки налога или освобождения от налогообложения за налоговый период, в котором произведены удержание и перечисление подоходного налога с доходов окончательного получателя дохода - нерезидента в виде вознаграждения.
В указанном случае зачет излишне уплаченной суммы подоходного налога, удержанного у источника выплаты, производится налоговому агенту в порядке, определенном настоящим Кодексом.
Статья 707. Порядок применения международного договора в отношении частичного освобождения от налогообложения доходов нерезидента в виде дивидендов по акциям, являющимся базовым активом депозитарных расписок
1. При выплате доходов в виде дивидендов по акциям, являющимся базовым активом депозитарных расписок, окончательному получателю дохода - нерезиденту через номинального держателя депозитарных расписок налоговый агент имеет право применить сниженную ставку подоходного налога, предусмотренную соответствующим международным договором с государством, резидентом которого является окончательный получатель такого дохода, при одновременном выполнении следующих условий:
1) наличия списка держателей депозитарных расписок, содержащего:
фамилии, имена и отчества физических лиц или наименования юридических лиц, являющихся собственниками депозитарных расписок, базовым активом которых являются акции, выпущенные резидентом Республики Казахстан;
информацию о количестве и виде депозитарных расписок;
наименование и реквизиты документов, удостоверяющих личность физических лиц, или номера и даты государственных регистраций юридических лиц.
Список держателей депозитарных расписок составляется следующими лицами:
центральным депозитарием - в случае, если договор на осуществление учета и подтверждения прав собственности по депозитарным распискам заключен между резидентом-эмитентом акций, являющихся базовым активом депозитарных расписок, и центральным депозитарием;
иной организацией, обладающей правом осуществления депозитарной деятельности на рынке ценных бумаг иностранного государства, - в случае, если договор на осуществление учета и подтверждения прав собственности по депозитарным распискам заключен между резидентом-эмитентом акций, являющихся базовым активом депозитарных расписок, и такой организацией;
2) наличия документа, подтверждающего резидентство нерезидента, являющегося окончательным получателем дивидендов по акциям, являющимся базовым активом депозитарных расписок.
Документ, подтверждающий резидентство, представляется налоговому агенту в срок, установленный пунктом 3 статьи 705 настоящего Кодекса.
2. Налоговый агент при представлении налоговой отчетности за четвертый квартал обязан представить в налоговый орган по месту нахождения копию документа, подтверждающего резидентство налогоплательщика-нерезидента. В налоговой отчетности указываются:
1) суммы начисленных (выплаченных) доходов и удержанных, освобожденных от удержания налогов в соответствии с положениями международных договоров;
2) ставки подоходного налога;
3) наименования международных договоров.
3. В случае неприменения положений международного договора налоговый агент обязан удержать и перечислить подоходный налог у источника выплаты в порядке и сроки, которые предусмотрены статьями 683 и 684 настоящего Кодекса.
4. Окончательный получатель дохода - нерезидент имеет право на возврат излишне удержанного подоходного налога у источника выплаты в соответствии с положениями международного договора в случае перечисления налоговым агентом в бюджет подоходного налога, удержанного с доходов такого нерезидента.
Нерезидент обязан представить налоговому агенту:
1) нотариально засвидетельствованную копию документа, подтверждающего право собственности на депозитарные расписки, базовым активом которых являются акции резидента-эмитента;
2) документ, подтверждающий его резидентство за период, за который начислен доход такому нерезиденту в виде дивидендов.
Документы, указанные в части второй настоящего пункта, представляются нерезидентом до истечения срока исковой давности со дня последнего перечисления подоходного налога, удержанного у источника выплаты, в бюджет, если иные сроки не установлены международным договором.
Возврат нерезиденту излишне удержанного подоходного налога производится налоговым агентом.
5. Налоговый агент вправе представить в налоговый орган по месту своего нахождения дополнительный расчет по подоходному налогу, удерживаемому у источника выплаты, на сумму уменьшения подоходного налога при применении сниженной ставки за налоговый период, в котором произведены удержание и перечисление подоходного налога с доходов нерезидента в виде дивидендов по акциям, являющимся базовым активом депозитарных расписок.
В указанном случае зачет излишне уплаченной суммы подоходного налога, удержанного у источника выплаты, производится налоговому агенту в порядке, определенном настоящим Кодексом.
Параграф 3. Порядок применения международного договора юридическим лицом - нерезидентом, осуществляющим деятельность в Республике Казахстан через постоянное учреждение
Статья 708. Порядок отнесения на вычеты управленческих и общеадминистративных расходов юридического лица - нерезидента в целях налогообложения доходов из источников в Республике Казахстан
1. В случае если положениями международного договора при определении налогооблагаемого дохода юридического лица - нерезидента от деятельности в Республике Казахстан через постоянное учреждение допускается вычет управленческих и общеадминистративных расходов юридического лица -нерезидента (далее - распределяемые расходы юридического лица - нерезидента), то сумма таких расходов определяется таким юридическим лицом - нерезидентом по своему выбору по одному из следующих методов:
1) методу пропорционального распределения расходов;
2) методу непосредственного (прямого) отнесения расходов на вычеты.
Для целей настоящей статьи и статей 709, 710 и 711 настоящего Кодекса распределяемыми расходами юридического лица - нерезидента признаются управленческие и общеадминистративные расходы юридического лица -нерезидента, связанные с осуществлением деятельности в Республике Казахстан через постоянное учреждение, фактически понесенные как в Республике Казахстан, так и за ее пределами.
При этом в распределяемые расходы юридического лица -нерезидента не подлежат включению:
управленческие и общеадминистративные расходы, понесенные непосредственно структурным подразделением юридического лица - нерезидента, деятельность которого привела к образованию постоянного учреждения в Республике Казахстан, или постоянным учреждением юридического лица - нерезидента без открытия структурного подразделения в Республике Казахстан, относимые на вычеты в соответствии с главой 26 настоящего Кодекса;
управленческие и общеадминистративные расходы, понесенные непосредственно структурными подразделениями или постоянными учреждениями юридического лица - нерезидента в других странах, не связанные с деятельностью постоянного учреждения, зарегистрированного в качестве налогоплательщика в Республике Казахстан;
управленческие и общеадминистративные расходы юридического лица - нерезидента, не связанные с деятельностью постоянного учреждения, зарегистрированного в Республике Казахстан.
2. Управленческие и общеадминистративные расходы юридического лица - нерезидента - это расходы, связанные с управлением организацией, оплатой труда управленческого персонала, не связанного с производственным процессом.
3. Юридическое лицо - нерезидент в течение отчетного налогового периода по своему выбору применяет только один из методов отнесения распределяемых расходов юридического лица - нерезидента на вычеты постоянному учреждению.
Применяемый метод отнесения на вычеты распределяемых расходов юридического лица - нерезидента указывается в приложении к декларации по корпоративному подоходному налогу, содержащем информацию по относимым на вычеты управленческим и общеадминистративным расходам юридического лица - нерезидента.
4. Распределяемые расходы юридического лица - нерезидента относятся на вычеты постоянным учреждением в Республике Казахстан при:
1) соблюдении условий международного договора;
2) наличии документов, указанных в пункте 3 статьи 709 или пункте 3 статьи 711 настоящего Кодекса;
3) наличии документа, подтверждающего резидентство юридического лица - нерезидента.
5. В случае, если документы, указанные в подпункте 2) пункта 4 настоящей статьи, составлены на иностранном языке, обязательно наличие перевода таких документов на казахский или русский язык, засвидетельствованного нотариусом в порядке, определенном законодательством Республики Казахстан.
6. Документ, подтверждающий резидентство, представляется юридическим лицом - нерезидентом в соответствующий налоговый орган в сроки, установленные для подачи декларации по корпоративному подоходному налогу.
Статья 709. Метод пропорционального распределения расходов
1. При использовании метода пропорционального распределения сумма распределяемых расходов юридического лица - нерезидента, относимых на вычеты постоянным учреждением в Республике Казахстан, определяется как произведение суммы распределяемых расходов юридического лица - нерезидента и расчетного показателя.
2. Расчетный показатель исчисляется по одному из следующих способов по выбору юридического лица - нерезидента:
1) соотношение суммы определяемого в соответствии с пунктом 2 статьи 688 настоящего Кодекса совокупного годового дохода, полученного юридическим лицом - нерезидентом от осуществления деятельности в Республике Казахстан через постоянное учреждение, за отчетный налоговый период к общей сумме годового дохода юридического лица - нерезидента, определенного в соответствии с налоговым законодательством иностранного государства за указанный налоговый период;
2) определение средней величины (СВ) по трем показателям:
соотношение суммы определяемого в соответствии с пунктом 2 статьи 688 настоящего Кодекса совокупного годового дохода, полученного юридическим лицом - нерезидентом от осуществления деятельности в Республике Казахстан через постоянное учреждение, за отчетный налоговый период к общей сумме годового дохода юридического лица - нерезидента, определенного в соответствии с налоговым законодательством иностранного государства за указанный налоговый период (Д);
соотношение первоначальной (текущей) стоимости основных средств, учтенных в финансовой отчетности постоянного учреждения в Республике Казахстан, по состоянию на конец отчетного налогового периода к общей первоначальной (текущей) стоимости основных средств юридического лица - нерезидента за такой же налоговый период (ОС);
соотношение суммы расходов по оплате труда персонала, работающего в постоянном учреждении в Республике Казахстан, по состоянию на конец отчетного налогового периода к общей сумме расходов по оплате труда персонала юридического лица - нерезидента за такой же налоговый период (ОТ).
Средняя величина определяется по формуле:
СВ = (Д + ОС + ОТ)/3
3. При использовании метода пропорционального распределения сумма распределяемых расходов юридического лица - нерезидента относится на вычеты постоянным учреждением в Республике Казахстан только при соблюдении условий международного договора и наличии у него следующих подтверждающих документов:
1) копии финансовой отчетности постоянного учреждения нерезидента в Республике Казахстан;
2) копии налоговой отчетности юридического лица - нерезидента, составленной в соответствии с требованиями законодательства иностранного государства с указанием общего дохода за налоговый период, подтвержденные компетентным органом иностранного государства;
3) копии финансовой отчетности юридического лица - нерезидента, составленной в соответствии с требованиями законодательства государства, в котором создано и (или) резидентом является такое юридическое лицо, подтвержденные печатью, содержащей название юридического лица - нерезидента (при ее наличии), а также подписью руководителя.
При этом в финансовой отчетности или налоговой отчетности, указанных в подпунктах 1), 2) и 3) части первой настоящего пункта, должны быть выделены отдельной строкой:
сумма управленческих и общеадминистративных расходов;
сумма общего годового дохода;
сумма расходов по оплате труда персонала;
первоначальная (текущая) и балансовая стоимости основных средств.
4) расшифровки суммы управленческих и общеадминистративных расходов, указанной в финансовой отчетности, предусмотренной подпунктом 3) части первой настоящего пункта, с выделением:
распределяемых расходов юридического лица - нерезидента по видам расходов;
управленческих и общеадминистративных расходов постоянного учреждения в Республике Казахстан;
5) копии аудиторского отчета по аудиту финансовой отчетности юридического лица - нерезидента (при осуществлении аудита такой финансовой отчетности).
Если в иностранном государстве применяется отличный от предусмотренного законодательством Республики Казахстан метод учета определения доходов и расходов, применяется только прямой метод распределения управленческих и общеадминистративных расходов.
Статья 710. Порядок корректировки данных финансовой отчетности юридического лица - нерезидента при применении метода пропорционального распределения расходов в отдельных случаях
1. Юридическое лицо - нерезидент обязано скорректировать данные финансовой отчетности, используемые при исчислении суммы управленческих и общеадминистративных расходов постоянного учреждения в Республике Казахстан, подлежащих отнесению на вычеты постоянному учреждению, в следующих случаях:
несоответствия продолжительности налоговых периодов в Республике Казахстан и стране резидентства такого нерезидента;
несоответствия дат начала и окончания налоговых периодов в Республике Казахстан и стране резидентства такого нерезидента при равной продолжительности указанных налоговых периодов.
Для корректировки данных финансовой отчетности нерезидента применяется поправочный коэффициент (К), который приводит в соответствие налоговый период в стране резидентства такого нерезидента с налоговым периодом в Республике Казахстан.
2. Коэффициент (К) определяется как соотношение количества месяцев налогового периода в стране резидентства такого нерезидента, входящих в рамки налогового периода в Республике Казахстан, к количеству месяцев налогового периода в стране резидентства нерезидента.
В случае, если в налоговый период в Республике Казахстан входят полностью или частично два налоговых периода в стране резидентства такого нерезидента, применяются два коэффициента (К1, К2).
3. Данные финансовой отчетности юридического лица - нерезидента корректируются следующим образом:
К1хФО(СР)1 + К2хФО(СР)2,
где К1 = НП (СР)1/ НП(СР)3; К2 = НП(СР)2/ НП(СР)3,
при этом:
НП (СР)1 - количество месяцев одного налогового периода в стране резидентства нерезидента, входящих в налоговый период в Республике Казахстан;
НП (СР)2 - количество месяцев другого налогового периода в стране резидентства нерезидента, входящих в налоговый период в Республике Казахстан;
НП (СР)3 - общее количество месяцев налогового периода в стране резидентства нерезидента;
ФО (СР)1 - финансовая отчетность нерезидента в стране резидентства за один налоговый период в стране резидентства нерезидента, входящий в налоговый период в Республике Казахстан;
ФО (СР)2 - финансовая отчетность нерезидента в стране резидентства за другой налоговый период в стране резидентства нерезидента, входящий в налоговый период в Республике Казахстан.
Статья 711. Метод непосредственного (прямого) отнесения расходов на вычеты
1. Метод непосредственного (прямого) отнесения распределяемых расходов юридического лица - нерезидента на вычеты используется в случае ведения юридическим лицом - нерезидентом раздельного учета доходов и расходов (включая управленческие и общеадминистративные расходы постоянного учреждения в Республике Казахстан) головного офиса и постоянных учреждений в Республике Казахстан и других странах.
2. Распределяемые расходы юридического лица - нерезидента относятся на вычет постоянным учреждением в Республике Казахстан в соответствии с настоящей статьей, если они определяемы на основании подтверждающих документов и непосредственно понесены в целях получения доходов от деятельности в Республике Казахстан через постоянное учреждение.
3. Подтверждающими документами являются:
1) первичные учетные документы, подтверждающие распределяемые расходы юридического лица - нерезидента, понесенные на территории Республики Казахстан в целях получения доходов от деятельности в Республике Казахстан через постоянное учреждение;
2) копии первичных учетных документов, подтверждающих распределяемые расходы юридического лица - нерезидента, понесенные за пределами Республики Казахстан в целях получения доходов от деятельности в Республике Казахстан через постоянное учреждение;
3) налоговые регистры по учету распределяемых расходов юридического лица - нерезидента, понесенных как в Республике Казахстан, так и за пределами Республики Казахстан в целях получения доходов от деятельности в Республике Казахстан через постоянное учреждение, составленные на основе первичных учетных документов, подтверждающих данные расходы.
Форма налогового регистра, порядок его заполнения утверждаются в налоговой учетной политике юридического лица - нерезидента, осуществляющего деятельность в Республике Казахстан через постоянное учреждение;
4) копия финансовой отчетности юридического лица - нерезидента, составленной в соответствии с требованиями законодательства государства, в котором создано и (или) резидентом которого является такое юридическое лицо, и заверенной подписью руководителя и печатью (при ее наличии) такого юридического лица - нерезидента.
При этом в финансовой отчетности, указанной в настоящем подпункте, должна быть выделена отдельной строкой общая сумма управленческих и общеадминистративных расходов юридического лица - нерезидента;
5) копия аудиторского отчета по аудиту финансовой отчетности юридического лица - нерезидента (при осуществлении аудита такой финансовой отчетности).
Статья 712. Порядок применения международного договора в отношении освобождения от налогообложения доходов нерезидента от оказания услуг по международной перевозке через постоянное учреждение
1. Нерезидент имеет право применить освобождение от налогообложения доходов от оказания услуг по международной перевозке в соответствии с положениями международного договора, если такой нерезидент является окончательным получателем дохода и резидентом государства, с которым заключен международный договор.
Международный договор в части освобождения от налогообложения применяется при наличии у нерезидента на дату представления декларации по корпоративному подоходному налогу документа, подтверждающего его резидентство.
Документ, подтверждающий резидентство, представляется нерезидентом в налоговый орган по месту нахождения постоянного учреждения при подаче декларации по корпоративному подоходному налогу.
2. Нерезидент обязан вести раздельный учет сумм доходов от оказания услуг по международной перевозке и других доходов из источников в Республике Казахстан за налоговый период.
3. Сумма расходов в связи с оказанием услуг по международной перевозке определяется нерезидентом прямым или пропорциональным методом.
Выбранный метод определения расходов может быть изменен только по согласованию с налоговым органом, являющимся вышестоящим по отношению к налоговому органу по месту нахождения постоянного учреждения такого нерезидента (за исключением уполномоченного органа), до начала налогового периода.
В течение одного налогового периода не может применяться более одного метода определения расходов.
4. При применении прямого метода определения расходов нерезидент ведет раздельный учет расходов, связанных с оказанием услуг по международной перевозке, и других расходов.
5. При применении пропорционального метода сумма расходов определяется как произведение доли и общей суммы расходов нерезидента в связи с осуществлением деятельности в Республике Казахстан за налоговый период.
Доля определяется как отношение суммы доходов от оказания услуг по международной перевозке к общей сумме доходов в связи с осуществлением деятельности в Республике Казахстан за налоговый период.
6. При отсутствии документа, подтверждающего резидентство нерезидента, на дату представления декларации по корпоративному подоходному налогу нерезидент не вправе применить положения международного договора.
При этом в случае исчисления и уплаты корпоративного подоходного налога в бюджет нерезидент имеет право применить положения международного договора до истечения срока исковой давности, если иные сроки не установлены международным договором, при условии представления в налоговый орган дополнительной декларации по корпоративному подоходному налогу и документа, подтверждающего резидентство нерезидента.
Статья 713. Порядок применения международного договора в отношении частичного освобождения от налогообложения чистого дохода от деятельности нерезидента в Республике Казахстан через постоянное учреждение
1. Нерезидент имеет право применить сниженную ставку налога на чистый доход от деятельности в Республике Казахстан через постоянное учреждение, предусмотренную международным договором, если он является резидентом государства, с которым заключен международный договор, и таким международным договором предусмотрен порядок налогообложения чистого дохода нерезидента, отличный от порядка, установленного статьей 689 настоящего Кодекса.
Сниженная ставка налога применяется при наличии у нерезидента на дату представления декларации по корпоративному подоходному налогу документа, подтверждающего его резидентство.
Документ, подтверждающий резидентство, представляется нерезидентом в налоговый орган по месту нахождения постоянного учреждения при подаче декларации по корпоративному подоходному налогу.
2. При отсутствии документа, подтверждающего резидентство нерезидента, на дату представления декларации по корпоративному подоходному налогу нерезидент не вправе применить положения международного договора.
При этом в случае исчисления и уплаты корпоративного подоходного налога в бюджет нерезидент имеет право применить положения международного договора до истечения срока исковой давности, если иные сроки не установлены международным договором, при условии представления в налоговый орган дополнительной декларации по корпоративному подоходному налогу и документа, подтверждающего резидентство нерезидента.
Параграф 4. Порядок применения международного договора физическим лицом - нерезидентом самостоятельно
Статья 714. Порядок применения международного договора в отношении освобождения от налогообложения доходов физического лица - нерезидента, полученных от лиц, не являющихся налоговыми агентами
1. Физическое лицо - нерезидент имеет право применить в соответствии с положениями международного договора освобождение от налогообложения доходов, полученных от лиц, не являющихся налоговыми агентами, если такое физическое лицо - нерезидент является окончательным получателем дохода и резидентом государства, с которым заключен международный договор.
Международный договор в части освобождения от налогообложения применяется при наличии у нерезидента на дату представления декларации о доходах и имуществе физического лица документа, подтверждающего его резидентство.
Документ, подтверждающий резидентство, представляется физическим лицом - нерезидентом в налоговый орган по месту пребывания (жительства) при подаче декларации о доходах и имуществе физического лица.
2. Физическое лицо - нерезидент при отсутствии документа, подтверждающего резидентство, на дату представления декларации о доходах и имуществе физического лица обязано произвести уплату индивидуального подоходного налога в бюджет в порядке и сроки, которые установлены статьей 695 настоящего Кодекса.
При этом физическое лицо - нерезидент имеет право на возврат из бюджета уплаченного подоходного налога в порядке, определенном статьями 699, 700 и 701 настоящего Кодекса.
РАЗДЕЛ 16. СПЕЦИАЛЬНЫЕ НАЛОГОВЫЕ РЕЖИМЫ
Глава 76. ОБЩИЕ ПОЛОЖЕНИЯ
Статья 715. Общие положения
1. Если иное не установлено пунктом 2 настоящей статьи, налогоплательщик вправе выбрать один из следующих специальных налоговых режимов при соответствии положениям настоящего пункта и настоящего раздела:
|
№ |
Виды специальных налоговых режимов |
Субъекты |
Размер предельного дохода (месячный расчетный показатель на 1 января финансового года) |
Ставка, % от дохода |
Виды деятельности/ наличие земельного участка |
|
А |
1 |
2 |
3 ' |
4 |
5 |
|
1 |
Специальный налоговый режим для самозанятых |
физические лица - граждане Республики Казахстан, кандасы |
300 за месяц |
индивидуальный подоходный налог - 0 социальные платежи -4* |
список видов деятельности, по которым разрешено применение специального налогового режима |
|
2 |
Специальный налоговый режим на основе упрощенной декларации |
индивидуальные предприниматели и юридические лица-резиденты Республики Казахстан |
600 000 за год |
индивидуальный подоходный налог/ корпоративный подоходный налог в размере 4% (с правом понижения/ повышения ставки до 50% местными представительными органами) и социальные платежи в установленных размерах* |
список видов деятельности, по которым запрещено применение специального налогового режима |
|
3 |
Специальный налоговый режим для крестьянских или фермерских хозяйств |
крестьянские или фермерские хозяйства |
|
индивидуальный подоходный налог - 0,5 |
при наличии на территории Республики Казахстан земельных участков на правах частной собственности и (или) землепользования (включая право вторичного землепользования) в установленных предельных площадях |
* Размеры социальных платежей установлены в Социальном кодексе Республики Казахстан и Законе Республики Казахстан «Об обязательном социальном медицинском страховании».
2. Крестьянские или фермерские хозяйства, применяющие специальный налоговый режим для крестьянских или фермерских хозяйств, при получении доходов от видов деятельности, на которые не распространяется действие данного специального налогового режима, производят исчисление, уплату соответствующих налогов и представление налоговой отчетности по ним в следующих режимах налогообложения:
1) в специальном налоговом режиме на основе упрощенной декларации при соответствии условиям его применения;
2) в общеустановленном порядке.
Статья 716. Порядок выбора, условия перехода и прекращения применения специального налогового режима
1. Выбор специального налогового режима при соответствии условиям его применения, установленным для каждого такого режима настоящим разделом, осуществляется:
1) физическим лицом при постановке на регистрационный учет в качестве индивидуального предпринимателя - в уведомлении о начале деятельности в качестве индивидуального предпринимателя, направляемом в соответствии со статьей 97 настоящего Кодекса;
2) вновь образованным юридическим лицом - в уведомлении о применяемом режиме налогообложения, представляемом в налоговый орган не позднее пяти рабочих дней после государственной регистрации в регистрирующем органе;
3) в остальных случаях индивидуальным предпринимателем и юридическим лицом - в уведомлении о применяемом режиме налогообложения.
Выбор физическим лицом специального налогового режима для самозанятых признается в том:
месяце, в котором сформированы чеки специального мобильного приложения в указанном режиме;
периоде, указанном в платежных документах, - в местах отсутствия сети телекоммуникаций общего пользования.
2. В случае, если вновь образованный налогоплательщик не выбрал специальный налоговый режим в порядке, определенном пунктом 1 настоящей статьи, такой налогоплательщик признается выбравшим общеустановленный порядок налогообложения.
3. Налогоплательщик, применяющий специальный налоговый режим для крестьянских или фермерских хозяйств, для применения второго специального налогового режима - специального налогового режима на основе упрощенной декларации в уведомлении о применяемом режиме налогообложения указывает два данных специальных налоговых режима.
4. На соответствующий специальный налоговый режим при соответствии условиям его применения вправе перейти:
1) юридические лица, применяющие общеустановленный порядок налогообложения, - на специальный налоговый режим на основе упрощенной декларации;
2) индивидуальные предприниматели, применяющие общеустановленный порядок налогообложения, - на специальный налоговый режим на основе упрощенной декларации и (или) специальный налоговый режим для крестьянских или фермерских хозяйств;
3) индивидуальные предприниматели, применяющие специальный налоговый режим на основе упрощенной декларации, - на специальный налоговый режим для крестьянских или фермерских хозяйств;
4) индивидуальные предприниматели, применяющие специальный налоговый режим для крестьянских или фермерских хозяйств, - на специальный налоговый режим на основе упрощенной декларации.
5. Крестьянские или фермерские хозяйства, применяющие специальный налоговый режим для крестьянских или фермерских хозяйств, при получении доходов от видов деятельности, на которые не распространяется действие данного специального налогового режима, производят исчисление, уплату соответствующих налогов и представление налоговой отчетности по ним:
1) в специальном налоговом режиме на основе упрощенной декларации при соответствии условиям его применения.
При этом в размер доходов для целей применения ограничения по размеру предельного дохода при применении специального налогового режима на основе упрощенной декларации не включаются доходы от осуществления видов деятельности, на которые распространяется действие специального налогового режима для крестьянских или фермерских хозяйств;
2) в общеустановленном порядке.
6. Выбранный специальный налоговый режим для крестьянских или фермерских хозяйств не подлежит изменению в течение календарного года, за исключением возникновения случаев несоответствия условиям применения специального налогового режима, установленным настоящим разделом для такого режима налогообложения.
7. После перехода (перевода) со специального налогового режима на основе упрощенной декларации на общеустановленный порядок налогообложения (в том числе по решению налогового органа) последующий переход на специальный налоговый режим на основе упрощенной декларации осуществляется при одновременном соответствии следующим условиям:
не ранее чем через один календарный год применения общеустановленного порядка;
совокупный годовой доход при применении общеустановленного порядка налогообложения за последний календарный год не превышает размер предельного дохода, установленный для применения специального налогового режима на основе упрощенной декларации.
8. Уведомление о применяемом режиме налогообложения представляется налогоплательщиками в налоговый орган по месту нахождения на бумажном носителе или в электронной форме, в том числе посредством веб-портала «электронное правительство» или специального мобильного приложения.
9. Датой начала применения выбранного специального налогового режима являются:
1) для физических лиц, указавших выбранный специальный налоговый режим в уведомлении о начале деятельности в качестве индивидуального предпринимателя, - дата постановки на регистрационный учет в качестве индивидуального предпринимателя в налоговых органах;
2) для вновь образованных юридических лиц, представивших уведомление о применяемом режиме налогообложения, - дата государственной регистрации в регистрирующем органе;
3) для физических лиц, выбравших специальный налоговый режим для самозанятых:
дата первого чека, сформированного в специальном мобильном приложении, в месяце, в котором сформирован указанный чек;
период, указанный в платежных документах, - в местах отсутствия сети телекоммуникаций общего пользования;
4) в остальных случаях - дата подачи уведомления о применяемом режиме налогообложения.
10. Датой прекращения применения специального налогового режима или общеустановленного порядка налогообложения, с которого осуществляется переход на иной специальный налоговый режим или общеустановленный порядок налогообложения, является дата, предшествующая дате, в которой представлено соответствующее уведомление о применяемом режиме налогообложения.
11. В случаях возникновения условий, не позволяющих применять специальный налоговый режим, для перехода на общеустановленный порядок налогообложения или иной специальный налоговый режим налогоплательщик обязан представить в течение пяти рабочих дней со дня возникновения таких условий при:
применении специального налогового режима для самозанятых - уведомление о начале деятельности в качестве индивидуального предпринимателя;
применении специального налогового режима на основе упрощенной декларации или специального налогового режима для крестьянских или фермерских хозяйств - уведомление о применяемом режиме налогообложения.
Датой начала применения другого специального налогового режима или общеустановленного порядка налогообложения будет являться дата, в которой возникли такие условия.
В случае совершения сделки, от которой доход превысит предельный доход для специального налогового режима, налогоплательщик подает соответствующее уведомление до получения дохода по такой сделке.
12. При установлении налоговым органом в ходе камерального контроля факта несоответствия налогоплательщика условиям, установленным для применения соответствующего специального налогового режима, налоговый орган направляет налогоплательщику уведомление о расхождениях, выявленных по результатам камерального контроля, в сроки и порядке, которые установлены статьями 82 и 137 настоящего Кодекса.
В случае непредставления налогоплательщиком в налоговый орган уведомления о переходе на иной специальный налоговый режим налоговый орган переводит такого налогоплательщика на общеустановленный порядок налогообложения или прекращает применение специального налогового режима для самозанятых при непредставлении самозанятым уведомления о начале деятельности в качестве индивидуального предпринимателя в случае и порядке, которые предусмотрены пунктом 11 настоящей статьи.
При этом для:
специального налогового режима на основе упрощенной декларации или специального налогового режима для крестьянских или фермерских хозяйств - датой начала применения общеустановленного порядка налогообложения является дата, в которой возникло несоответствие по применению специального налогового режима.
Датой прекращения специального налогового режима на основе упрощенной декларации или специального налогового режима для крестьянских или фермерских хозяйств является дата, предшествующая дате, в которой возникло несоответствие по применению специального налогового режима;
специального налогового режима для самозанятых - датой окончания применения такого специального налогового режима является дата, в которой возникло несоответствие по применению данного специального налогового режима.
13. В случае отсутствия доходов у физических лиц, применяющих специальный налоговый режим для самозанятых, в течение календарного месяца, за который исчислены и уплачены индивидуальный подоходный налог и социальные платежи, такие лица снимаются налоговым органом с учета в качестве налогоплательщика, применяющего данный режим.
14. Сведения о дате начала и (или) дате прекращения применения налогоплательщиком специального налогового режима на основе упрощенной декларации размещаются на интернет-ресурсе уполномоченного органа не позднее трех рабочих дней до соответствующих даты начала и (или) даты прекращения применения такого специального налогового режима.
Статья 717. Специальное мобильное приложение
1. Специальное мобильное приложение -налоговое мобильное приложение для целей:
применения порядка исполнения налоговых обязательств и обязательств по социальным платежам физическими лицами, применяющими специальный налоговый режим для самозанятых;
исполнения налоговых обязательств по расчету индивидуального подоходного налога и социальных платежей, их уплате и представлению декларации индивидуальными предпринимателями, применяющими специальные налоговые режимы на основе упрощенной декларации;
регистрации в качестве индивидуального предпринимателя (снятия с такой регистрации) на основании электронного документа, удостоверенного посредством электронной цифровой подписи налогоплательщика;
формирования чека специального мобильного приложения.
Порядок использования специального мобильного приложения для целей исполнения налоговых обязательств и обязательств по социальным платежам при применении специального налогового режима, содержание чека специального мобильного приложения устанавливаются уполномоченным органом.
2. В специальном мобильном приложении документом, подтверждающим факт осуществления расчетов между налогоплательщиками, применяющими специальный налоговый режим для самозанятых или на основе упрощенной декларации, и покупателем (получателем) товаров, работ, услуг, является чек специального мобильного приложения, который формируется в данном приложении.
3. Чек специального мобильного приложения выдается налогоплательщиком в момент расчета наличными деньгами и (или) с использованием системы (устройства) для приема безналичных платежей покупателю (получателю) товаров, работ, услуг, в том числе на указанный ими адрес электронной почты.
4. В специальном мобильном приложении формируется реестр доходов на основании чеков специального мобильного приложения и других сведений о доходах, полученных из иных источников.
5. Налогоплательщики, применяющие специальный налоговый режим для самозанятых или на основе упрощенной декларации, вправе уполномочить банковские организации, оператора интернет-платформы при использовании их мобильного приложения формировать чеки специального мобильного приложения.
Под оператором интернет-платформы в настоящей статье понимается оператор информационных систем, размещенных в Интернете, предназначенных для оказания посреднических услуг, выполнения работ в электронном формате.
6. Порядок взаимодействия уполномоченных банковских организаций, операторов интернет-платформ с налоговыми органами для целей передачи сведений по операциям в специальное мобильное приложение определяется уполномоченным органом по согласованию с Национальным Банком.
Глава 77. СПЕЦИАЛЬНЫЙ НАЛОГОВЫЙ РЕЖИМ ДЛЯ САМОЗАНЯТЫХ
Статья 718. Общие положения
1. Специальный налоговый режим для самозанятых вправе применять самозанятые при соблюдении порядка и условий применения специального налогового режима.
2. Для целей настоящего Кодекса самозанятыми признаются физические лица (не являющиеся индивидуальными предпринимателями) - граждане Республики Казахстан, кандасы, соответствующие следующим условиям:
1) осуществляющие один или несколько видов деятельности, по которым разрешено применение специального налогового режима для самозанятых.
Перечень видов деятельности, по которым разрешено применение специального налогового режима для самозанятых, утверждается Правительством Республики Казахстан;
2) не использующие труд работников;
3) доход которых за календарный месяц не превышает 300-кратный размер месячного расчетного показателя, действующего на 1 января соответствующего финансового года.
Статья 719. Порядок и условия применения специального налогового режима
1. Специальный налоговый режим для самозанятых устанавливает упрощенный порядок исчисления и уплаты индивидуального подоходного налога, за исключением налога, удерживаемого у источника выплаты (далее в целях настоящей главы - индивидуальный подоходный налог), социальных платежей.
2. Объектом обложения в специальном налоговом режиме для самозанятых является доход, полученный за налоговый период в связи с осуществлением деятельности, включенной в список видов деятельности, по которым разрешено применение специального налогового режима.
При этом датой признания дохода является дата осуществления расчетов за реализованные товары, выполненные работы, оказанные услуги, в том числе дата получения или выплаты денег или их эквивалента.
Учет доходов физических лиц, применяющих специальный налоговый режим для самозанятых (за исключением физических лиц, осуществляющих деятельность в местах отсутствия сети телекоммуникаций общего пользования), ведется в реестре доходов, формируемом в специальном мобильном приложении на основании чеков специального мобильного приложения и других сведений о доходах, полученных из иных источников.
Учет доходов физических лиц, осуществляющих деятельность в местах отсутствия сети телекоммуникаций общего пользования, в специальном налоговом режиме для самозанятых ведется в простой форме, разработанной ими самостоятельно, с указанием: даты, наименования операций, сумм, полученных от каждой операции, итоговой суммы за каждый день, за месяц.
3. Налоговым периодом для применения специального налогового режима для самозанятых является календарный месяц.
4. Самозанятые применяют специальный налоговый режим с обязательным использованием специального мобильного приложения или путем самостоятельного исчисления и уплаты индивидуального подоходного налога и социальных платежей при осуществлении деятельности в местах отсутствия сети телекоммуникаций общего пользования.
5. При осуществлении деятельности с использованием интернет-платформы применение специального налогового режима производится с учетом положений статьи 721 настоящего Кодекса.
Статья 720. Порядок исчисления и уплаты индивидуального подоходного налога и социальных платежей в специальном налоговом режиме
1. Исчисление суммы индивидуального подоходного налога производится путем применения ставки в размере 0 процентов к объекту обложения с учетом уменьшения, предусмотренного пунктом 2 настоящей статьи.
Исчисление и уплата социальных платежей производится в соответствии с Социальным кодексом Республики Казахстан и Законом Республики Казахстан «Об обязательном социальном медицинском страховании» с учетом уменьшения, предусмотренного пунктом 2 настоящей статьи.
2. Исчисление суммы индивидуального подоходного налога и социальных платежей в специальном налоговом режиме производится самозанятым посредством использования специального мобильного приложения, за исключением случаев осуществления деятельности в местах отсутствия сети телекоммуникаций общего пользования.
При этом в специальном мобильном приложении отражается сумма всех доходов, полученных самозанятым за налоговый период, и суммы исчисленных индивидуального подоходного налога и социальных платежей.
В случаях удержания и перечисления налоговым агентом индивидуального подоходного налога и социальных платежей при осуществлении деятельности с использованием интернет-платформы объект обложения самозанятого уменьшается на сумму доходов, по которым обязательство по исчислению, удержанию и уплате суммы индивидуального подоходного налога и социальных платежей подлежит исполнению таким налоговым агентом.
3. Исчисление суммы индивидуального подоходного налога и социальных платежей в специальном налоговом режиме по доходам от осуществления деятельности в местах отсутствия сети телекоммуникаций общего пользования за налоговый период производится самозанятым самостоятельно.
При этом сумма уплаченных индивидуального подоходного налога и социальных платежей в специальном налоговом режиме за периоды, указанные в платежных документах, признается суммой исчисленных индивидуального подоходного налога и социальных платежей в специальном налоговом режиме.
4. Индивидуальный подоходный налог подлежит уплате в бюджет не позднее 25 числа месяца, следующего за отчетным. Уплата социальных платежей в специальном налоговом режиме производится в сроки, предусмотренные Социальным кодексом Республики Казахстан и Законом Республики Казахстан «Об обязательном социальном медицинском страховании».
Статья 721. Особенности применения специального налогового режима самозанятым, осуществляющим деятельность с использованием интернет-платформы
1. Положения настоящей статьи применяются при осуществлении самозанятым деятельности по списку разрешенных видов деятельности с использованием интернет-платформы.
2. Основные понятия, используемые в настоящем разделе:
1) интернет-платформа - электронная интернет-площадка, обеспечивающая взаимодействие оператора интернет-платформы, заказчика услуг и лица, зарегистрированного на интернет-платформе и оказывающего услуги с использованием интернет-платформы заказчикам услуг;
2) оператор интернет-платформы - индивидуальный предприниматель или юридическое лицо, предоставляющие технические, организационные, информационные и иные возможности с применением информационных технологий и систем для установления контактов по оказанию услуг (в том числе услуг с привлечением третьих лиц для оказания услуг) между лицом, зарегистрированным на интернет-платформе и оказывающим услуги с использованием интернет-платформы заказчикам услуг;
3) партнер-интегратор - индивидуальный предприниматель или юридическое лицо, являющийся владельцем информационного продукта, обеспечивающего интеграцию интернет-платформ с государственными информационными системами в соответствии с требованиями, установленными к такой интеграции законодательством Республики Казахстан;
4) заказчик - физическое или юридическое лицо, зарегистрированное на интернет-платформе и размещающее на ней заказ на оказание услуг или выполнение работ.
3. Оператор интернет-платформы является налоговым агентом в соответствии с подпунктом 13) статьи 3 настоящего Кодекса, который производит удержание и перечисление индивидуального подоходного налога и социальных платежей, предусмотренных Социальным кодексом Республики Казахстан и Законом Республики Казахстан «Об обязательном социальном медицинском страховании», за физических лиц, применяющих специальный налоговый режим для самозанятых и осуществляющих деятельность с использованием интернет-платформы, а также являющихся исполнителями в соответствии с Социальным кодексом Республики Казахстан.
4. Налоговый агент производит удержание сумм социальных платежей в соответствии с Социальным кодексом Республики Казахстан и Законом Республики Казахстан «Об обязательном социальном медицинском страховании».
Перечисление сумм удержанного индивидуального подоходного налога в бюджет производится налоговым агентом не позднее 15 числа месяца, следующего за отчетным.
Уплата удержанных сумм социальных платежей производится налоговым агентом в сроки, предусмотренные Социальным кодексом Республики Казахстан и Законом Республики Казахстан «Об обязательном социальном медицинском страховании».
Глава 78. СПЕЦИАЛЬНЫЙ НАЛОГОВЫЙ РЕЖИМ НА ОСНОВЕ УПРОЩЕННОЙ ДЕКЛАРАЦИИ
Статья 722. Общие положения
1. Специальный налоговый режим на основе упрощенной декларации устанавливает для налогоплательщиков, применяющих данный режим, упрощенный порядок исчисления и уплаты корпоративного или индивидуального подоходного налога, за исключением налогов, удерживаемых у источника выплаты.
Исчисление, уплата и представление налоговой отчетности по налогам и платежам в бюджет, не указанным в части первой настоящего пункта, производятся в общеустановленном порядке.
2. Налогоплательщик, применяющий специальный налоговый режим на основе упрощенной декларации, исполняет обязательство налогового агента по индивидуальному подоходному налогу с доходов, подлежащих налогообложению у источника выплаты, по исчислению, удержанию данного налога и его перечислению в порядке и сроки, которые установлены главой 43 настоящего Кодекса.
3. Налоговым и отчетным периодом для применения специального налогового режима на основе упрощенной декларации является полугодие.
4. Налогоплательщики, применяющие специальный налоговый режим на основе упрощенной декларации:
1) не являются плательщиками социального налога;
2) не являются плательщиками налога на добавленную стоимость (за исключением налога на добавленную стоимость на импортируемые товары и налога на добавленную стоимость за нерезидента).
Статья 723. Условия применения специального налогового режима на основе упрощенной декларации
1. Специальный налоговый режим на основе упрощенной декларации вправе применять индивидуальные предприниматели и юридические лица - резиденты Республики Казахстан (за исключением указанных в пункте 2 настоящей статьи), соответствующие следующим условиям:
1) предельный доход которых за календарный год не превышает 600 000-кратный размер месячного расчетного показателя, действующего на 1 января соответствующего финансового года;
2) осуществляют виды деятельности, не включенные в определенный Правительством Республики Казахстан перечень видов деятельности, по которым запрещается применение специального налогового режима на основе упрощенной декларации.
Для целей определения размера предельного дохода:
учитывается размер объекта налогообложения, определяемого в соответствии со статьей 724 настоящего Кодекса;
не учитываются доходы от осуществления деятельности с применением специального налогового режима для крестьянских или фермерских хозяйств.
2. Не вправе применять специальный налоговый режим на основе упрощенной декларации:
1) юридические лица, в которых доля участия других юридических лиц составляет более 25 процентов;
2) юридические лица, у которых учредитель или участник одновременно является учредителем или участником другого юридического лица, применяющего специальный налоговый режим;
3) юридические лица, у которых учредитель или участник применяет специальный налоговый режим;
4) налогоплательщики (физические лица, индивидуальные предприниматели), являющиеся учредителями или участниками юридического лица, применяющего специальный налоговый режим;
5) некоммерческие организации;
6) участники специальных экономических и индустриальных зон, «Астана Хаб»;
7) налогоплательщики по деятельности, осуществляемой по договорам о совместной деятельности.
3. Индивидуальные предприниматели и юридические лица, применяющие специальный налоговый режим на основе упрощенной декларации, организуют и ведут налоговый учет в соответствии с главой 20 настоящего Кодекса.
Статья 724. Порядок определения доходов при применении специального налогового режима на основе упрощенной декларации
1. Объектом налогообложения для налогоплательщика, применяющего специальный налоговый режим на основе упрощенной декларации, является доход (без учета расходов), подлежащий получению (полученный) за налоговый период по методу начисления.
При исчислении корпоративного или индивидуального подоходного налога (за исключением налогов, удерживаемых у источника выплаты) объект налогообложения, указанный в абзаце первом настоящего пункта, уменьшается на сумму расходов такого налогоплательщика-работодателя по доходам его работников, начиная с месяца, в котором такой объект налогообложения, определенный нарастающим итогом с начала календарного года, превысил 24 000-кратный размер месячного расчетного показателя, действующего на 1 января соответствующего финансового года.
2. Доход, определяемый для целей пункта 1 настоящей статьи, состоит из следующих видов доходов, полученных (подлежащих получению) в Республике Казахстан и за ее пределами (с учетом корректировок, производимых в соответствии с пунктом 7 настоящей статьи):
1) доход от реализации товаров, выполнения работ, оказания услуг, в том числе роялти, доход от сдачи в имущественный наем (аренду) имущества;
2) доход от списания обязательств;
3) доход от уступки права требования;
4) присужденные или признанные должником штрафы, пени и другие виды санкций (кроме возвращенных из бюджета необоснованно наложенных штрафов, если эти суммы были уплачены в период применения специального налогового режима, не предусматривающих отнесение их на вычеты, а также если эти штрафы не были ранее отнесены на вычеты в период, когда налогоплательщик осуществлял расчеты с бюджетом в общеустановленном порядке);
5) суммы, полученные из средств государственного бюджета на покрытие затрат;
6) излишки материальных ценностей, выявленные при инвентаризации;
7) доход в виде безвозмездно полученного имущества (кроме благотворительной и гуманитарной помощи), предназначенного для использования в предпринимательских целях;
8) возмещение арендатором расходов индивидуального предпринимателя-арендодателя на содержание и ремонт имущества, переданного в аренду;
9) расходы арендатора на содержание и ремонт арендованного у индивидуального предпринимателя имущества, зачитываемые в счет платы по договору аренды.
Если доходы, предусмотренные настоящим пунктом, получены (подлежат получению) от осуществления деятельности по договорам о совместной деятельности, то такие доходы не включаются в доход, определяемый для целей пункта 1 настоящей статьи, и облагаются в общеустановленном порядке.
3. В целях применения специального налогового режима на основе упрощенной декларации в доход лица, осуществляющего деятельность по договорам комиссии и (или) поручения, включается стоимость реализованных товаров, выполненных работ, оказанных услуг с учетом вознаграждения такого лица по договору (соглашению).
4. Размер доходов, указанных в пункте 2 настоящей статьи, при применении специального налогового режима на основе упрощенной декларации определяется:
1) юридическим лицом - в общеустановленном порядке в соответствии с разделом 5 настоящего Кодекса и пунктами 5, 6, 7 и 8 настоящей статьи;
2) индивидуальным предпринимателем, не осуществляющим ведение бухгалтерского учета и составление финансовой отчетности в соответствии с Законом Республики Казахстан «О бухгалтерском учете и финансовой отчетности», - в соответствии с главой 21 настоящего Кодекса, пунктами 5, 6, 7 и 8 настоящей статьи и статьей 725 настоящего Кодекса;
3) индивидуальным предпринимателем, осуществляющим ведение бухгалтерского учета и составление финансовой отчетности, - в общеустановленном порядке, который аналогичен порядку определения размера доходов в целях исчисления корпоративного подоходного налога в соответствии с разделом 5 настоящего Кодекса и пунктами 5, 6, 7 и 8 настоящей статьи.
5. При получении доходов, не указанных в пункте 2 настоящей статьи, налогоплательщики, применяющие специальный налоговый режим на основе упрощенной декларации, производят исчисление, уплату соответствующих налогов и представление налоговой отчетности по ним в общеустановленном порядке в соответствии с настоящим Кодексом.
6. В целях налогообложения в качестве дохода налогоплательщика, применяющего специальный налоговый режим на основе упрощенной декларации, не рассматриваются:
1) стоимость безвозмездно переданного имущества - для налогоплательщика, передающего такое имущество;
2) стоимость безвозмездно полученного индивидуальным предпринимателем товара, переданного ему в рекламных целях (в том числе в виде дарения), в случае, если стоимость единицы такого товара не превышает 5-кратный размер месячного расчетного показателя, действующего на дату такой передачи;
3) следующие расходы, понесенные физическим лицом - арендатором, не являющимся индивидуальным предпринимателем, при имущественном найме (аренде) жилища - в случае, если указанные расходы не включаются в арендную плату на:
содержание общего имущества объекта кондоминиума в соответствии с жилищным законодательством Республики Казахстан;
оплату коммунальных услуг, предусмотренных Законом Республики Казахстан «О жилищных отношениях»;
ремонт жилища;
4) сумма пеней и штрафов, списанных в соответствии с налоговым законодательством Республики Казахстан.
7. Для целей настоящей главы корректировкой признается увеличение размера дохода отчетного налогового периода или уменьшение размера дохода отчетного налогового периода в пределах суммы ранее признанного дохода.
Доходы, указанные в пункте 2 настоящей статьи, подлежат корректировке в случаях:
1) полного или частичного возврата товаров;
2) изменения условий сделки;
3) изменения цены, компенсации за реализованные или приобретенные товары, выполненные работы, оказанные услуги;
4) скидки с цены, скидки с продаж;
5) изменения суммы, подлежащей оплате в национальной валюте за реализованные или приобретенные товары, выполненные работы, оказанные услуги, исходя из условий договора;
6) списания требования с юридического лица, индивидуального предпринимателя, юридического лица - нерезидента, осуществляющего деятельность в Республике Казахстан через постоянное учреждение, по требованиям, относящимся к деятельности такого постоянного учреждения, а также с филиала, представительства юридического лица - нерезидента, осуществляющего деятельность в Республике Казахстан через филиал, представительство, которая не привела к образованию постоянного учреждения.
Корректировка дохода, предусмотренная частью первой настоящего подпункта, осуществляется в сторону уменьшения в случаях:
невостребования налогоплательщиком-кредитором требования при ликвидации налогоплательщика-дебитора на день утверждения его ликвидационного баланса;
списания налогоплательщиком требования по вступившему в законную силу судебного акта.
Корректировка, предусмотренная настоящим подпунктом, производится в пределах суммы списанного требования и ранее признанного дохода по такому требованию при наличии первичных документов, подтверждающих возникновение требования.
Корректировка, предусмотренная подпунктами 1) - 5) части второй настоящего пункта, производится при наличии первичных документов, подтверждающих наступление случаев для осуществления такой корректировки.
Корректировка доходов производится в том налоговом периоде, в котором наступили случаи, указанные в настоящей статье.
В случае отсутствия дохода или недостаточности его размера для осуществления корректировки в сторону уменьшения в том периоде, в котором наступили случаи, указанные в настоящей статье, корректировка производится в том налоговом периоде, в котором ранее был признан подлежащий корректировке доход.
8. В случае, если одни и те же доходы могут быть отражены в нескольких статьях доходов, указанные доходы включаются в доход один раз.
Дата признания дохода для целей налогообложения определяется в соответствии с положениями настоящей главы.
9. Если иное не установлено пунктом 6 настоящей статьи, индивидуальный предприниматель, применяющий специальный налоговый режим на основе упрощенной декларации, определяет размер:
1) имущественного дохода - в соответствии с параграфом 3 раздела 6 настоящего Кодекса;
2) иных доходов физического лица, не указанных в пункте 2 настоящей статьи, - в соответствии с разделом 6 настоящего Кодекса.
При этом исчисление и уплата соответствующих налогов, представление налоговой отчетности по ним производятся в соответствии с разделом 6 настоящего Кодекса.
Статья 725. Особенности признания в налоговом учете доходов индивидуальными предпринимателями, не осуществляющими ведение бухгалтерского учета и составление финансовой отчетности в соответствии с Законом Республики Казахстан «О бухгалтерском учете и финансовой отчетности»
1. Положения настоящей статьи применяются индивидуальными предпринимателями, не осуществляющими ведение бухгалтерского учета и составление финансовой отчетности в соответствии с Законом Республики Казахстан «О бухгалтерском учете и финансовой отчетности».
2. Если иное не установлено настоящей статьей, доход измеряется по стоимости полученного или подлежащего получению возмещения с учетом суммы любых торговых и оптовых скидок, предоставляемых индивидуальным предпринимателем. Сумма дохода, возникающая от операции, определяется в том числе на основании исполненного договора между индивидуальным предпринимателем и покупателем или пользователем актива.
3. Доход от реализации товаров признается, когда удовлетворяются все перечисленные ниже условия:
1) индивидуальный предприниматель передал покупателю значительные риски и вознаграждения, связанные с правом собственности на товар;
2) индивидуальный предприниматель больше не участвует в управлении в той степени, которая обычно ассоциируется с правом собственности, и не контролирует проданные товары;
3) сумма дохода может быть надежно измерена;
4) существует вероятность того, что экономические выгоды, связанные с операцией, поступят индивидуальному предпринимателю;
5) понесенные или ожидаемые затраты, связанные с операцией, могут быть надежно измерены.
4. Доход от выполнения работ, оказания услуг признается на основании акта выполненных работ, оказанных услуг или иного документа, подтверждающего факт выполнения работ, оказания услуг. Доходы от выполнения работ, оказания услуг признаются в том же периоде, в котором подписан акт выполненных работ, оказанных услуг или иной документ, подтверждающий факт выполнения работ, оказания услуг.
5. К доходу от списания обязательств относятся:
1) списание обязательств с налогоплательщика его кредитором;
2) обязательства, не востребованные кредитором на момент прекращения деятельности индивидуального предпринимателя;
3) списание обязательств в связи с истечением срока исковой давности, установленного законами Республики Казахстан;
4) списание обязательств по вступившему в законную силу судебного акта.
Сумма дохода от списания обязательств равна сумме обязательств (за исключением суммы налога на добавленную стоимость), подлежавших выплате в соответствии с первичными документами индивидуального предпринимателя на день:
1) представления в налоговый орган налогового заявления о прекращении деятельности в случае, указанном в подпункте 2) части первой настоящего пункта;
2) списания в остальных случаях.
Доход от списания обязательств признается в том отчетном налоговом периоде:
1) в котором списано обязательство кредитором в случае, указанном в подпункте 1) части первой настоящего пункта;
2) за который представлена ликвидационная налоговая отчетность в налоговый орган в случае, указанном в подпункте 2) части первой настоящего пункта;
3) в котором истек срок исковой давности в случае, указанном в подпункте 3) части первой настоящего пункта;
4) в котором судный акт вступил в законную силу в случае, указанном в подпункте 4) части первой настоящего пункта.
6. Доход в виде излишков материальных ценностей, выявленных при инвентаризации, признается в том налоговом периоде, в котором была закончена инвентаризация и составлен инвентаризационный акт с отражением в нем факта наличия таких излишков. Стоимость излишков определяется индивидуальным предпринимателем самостоятельно, исходя из действующих в Республике Казахстан цен и тарифов.
7. Доход в виде штрафов, пеней, неустойки и других видов санкций признается в том налоговом периоде, в котором судом вынесено решение об их взыскании или они признаны должником.
8. При осуществлении индивидуальным предпринимателем операций, при которых товары, работы или услуги индивидуального предпринимателя обмениваются на товары, работы или услуги другого лица, должен составляться акт приема-передачи товаров, работ или услуг. В акте приема-передачи должна отражаться стоимость переданных и полученных товаров, выполненных работ или оказанных услуг. Доход от такой операции определяется как положительная разница между стоимостью полученных товаров, выполненных работ или оказанных услуг, подлежащей отражению в акте приема-передачи, и себестоимостью переданных товаров, выполненных работ или оказанных услуг.
9. Доходом по долгосрочному контракту за отчетный налоговый период признается доход, подлежащий получению (полученный) за налоговый период.
10. Доходом от уступки права требования является:
1) для индивидуального предпринимателя, приобретающего право требования, - положительная разница между суммой, подлежащей получению от должника по требованию основного долга, в том числе суммы сверх основного долга на дату уступки права требования, и стоимостью приобретения права требования. Такой доход от уступки права требования является доходом того налогового периода, в котором приобретенное требование погашено должником;
2) для индивидуального предпринимателя, уступившего право требования, - положительная разница между стоимостью права требования, по которой произведена уступка, и стоимостью требования, подлежащей получению от должника на дату уступки права требования, согласно первичным документам налогоплательщика. Такой доход от уступки права требования является доходом того налогового периода, в котором произведена уступка.
11. Доходом в виде безвозмездно полученного имущества (кроме благотворительной помощи), предназначенного для использования в предпринимательских целях, является стоимость имущества, полученного безвозмездно в собственность индивидуальным предпринимателем, если такое имущество используется индивидуальным предпринимателем для предпринимательских целей в налоговом периоде, в котором такое имущество получено.
Доход в виде безвозмездно полученного имущества (кроме благотворительной помощи), предназначенного для использования в предпринимательских целях, признается в том налоговом периоде, в котором такое имущество получено, за исключением недвижимого имущества и транспортных средств, подлежащих государственной регистрации.
Доход в виде безвозмездно полученного недвижимого имущества (кроме благотворительной помощи), предназначенного для использования в предпринимательских целях, признается в том налоговом периоде, в котором произведена регистрация права собственности на такое имущество.
Доход в виде безвозмездно полученного транспортного средства, подлежащего государственной регистрации (кроме благотворительной помощи), предназначенного для использования в предпринимательских целях, признается в том налоговом периоде, в котором произведена государственная регистрация такого транспортного средства.
Стоимостью имущества, полученного безвозмездно в собственность индивидуальным предпринимателем, является рыночная стоимость данного имущества на дату возникновения права собственности на данное имущество, определенная в отчете об оценке, проведенной по договору между оценщиком и индивидуальным предпринимателем в соответствии с законодательством Республики Казахстан об оценочной деятельности.
12. Доход в виде возмещения арендатором расходов индивидуального предпринимателя - арендодателя на содержание и ремонт имущества, переданного в аренду, признается в том налоговом периоде, в котором такое возмещение получено.
Доход индивидуального предпринимателя - арендодателя в виде расходов арендатора на содержание и ремонт арендованного имущества, зачитываемых в счет платы по договору аренды, признается в том налоговом периоде, в котором произведен такой зачет.
Статья 726. Исчисление налогов по специальному налоговому режиму на основе упрощенной декларации
Исчисление корпоративного или индивидуального подоходного налога, за исключением налогов, удерживаемых у источника выплаты, при применении специального налогового режима на основе упрощенной декларации производится налогоплательщиком самостоятельно путем применения к объекту налогообложения за отчетный налоговый период ставки в размере 4 процентов.
Местные представительные органы имеют право понижать или повышать размер ставки, установленной частью первой настоящей статьи, не более чем на 50 процентов в зависимости от вида деятельности и места нахождения объекта.
При этом запрещается понижение или повышение ставки индивидуально для отдельных налогоплательщиков.
Такое решение о понижении или повышении размера ставки принимается местным представительным органом не позднее 1 декабря года, предшествующего году его введения, вводится в действие с 1 января года, следующего за годом его принятия, и подлежит официальному опубликованию.
Налогоплательщик, применяющий специальный налоговый режим на основе упрощенной декларации, в случае применения различных ставок должен вести раздельный налоговый учет по доходам, облагаемым по таким ставкам.
Статья 727. Сроки представления декларации и уплаты налогов
1. Упрощенная декларация представляется в налоговый орган по месту нахождения налогоплательщика не позднее 15 числа второго месяца, следующего за отчетным налоговым периодом.
2. Уплата в бюджет налогов, указанных в упрощенной декларации, производится не позднее 25 числа второго месяца, следующего за отчетным налоговым периодом, в виде индивидуального (корпоративного) подоходного налога.
Глава 79. СПЕЦИАЛЬНЫЙ НАЛОГОВЫЙ РЕЖИМ ДЛЯ КРЕСТЬЯНСКИХ ИЛИ ФЕРМЕРСКИХ ХОЗЯЙСТВ
Статья 728. Общие положения
1. Специальный налоговый режим для крестьянских или фермерских хозяйств вправе применять крестьянские или фермерские хозяйства при наличии на территории Республики Казахстан земельных участков на правах частной собственности и (или) землепользования (включая право вторичного землепользования).
2. В целях применения специального налогового режима для крестьянских или фермерских хозяйств совокупная площадь земельных участков сельскохозяйственного назначения на правах частной собственности и (или) землепользования (включая право вторичного землепользования) не должна превышать размер предельной площади земельного участка, установленный для:
1) территориальной зоны - 5 000 га;
2) территориальной зоны - 3 500 га;
3) территориальной зоны -1500 га;
4) территориальной зоны - 500 га.
Для целей настоящего пункта применяется следующее зонирование земельных участков:
1 территориальная зона: пастбища, расположенные на землях пустынных, полупустынных и предгорно-пустынно-степных почвенно-климатических зон Алматинской, Актюбинской, Атырауской, Жамбылской, Кызылординской, Мангистауской, Туркестанской областей и области Жетісу, городов Алматы и Шымкента;
2 территориальная зона: земли Акмолинской, Восточно-Казахстанской, Западно-Казахстанской, Карагандинской, Костанайской, Павлодарской, Северо-Казахстанской областей, областей Ұлытау, Абай, города Астаны, а также Актюбинской области, за исключением земель 1 территориальной зоны;
3 территориальная зона: земли, включая орошаемые, Атырауской, Мангистауской областей, за исключением земель 1 территориальной зоны;
4 территориальная зона: земли, включая орошаемые, Алматинской, Жамбылской, Кызылординской, Туркестанской областей, области Жетісу, городов Алматы и Шымкента, за исключением земель 1 территориальной зоны.
В случае наличия у крестьянского или фермерского хозяйства земельных участков сельскохозяйственного назначения, находящихся в разных территориальных зонах, для целей настоящего пункта совокупная площадь таких участков не должна превышать наибольшую предельную площадь земельного участка, установленную для таких территориальных зон.
При этом площадь земельных участков сельскохозяйственного назначения, находящихся в каждой территориальной зоне, не должна превышать размеры предельной площади земельного участка, установленной для таких территориальных зон.
3. Специальный налоговый режим для крестьянских или фермерских хозяйств предусматривает особый порядок исчисления индивидуального подоходного налога (за исключением налогов, удерживаемых у источника выплаты) с доходов от деятельности крестьянского или фермерского хозяйства и распространяется на деятельность крестьянских или фермерских хозяйств по производству сельскохозяйственной продукции и ее реализации, переработке сельскохозяйственной продукции собственного производства, реализации продуктов такой переработки, за исключением деятельности по производству, переработке и реализации подакцизных товаров.
4. Налоговым и отчетным периодом для применения специального налогового режима является календарный год.
5. При выборе специального налогового режима для крестьянских или фермерских хозяйств такой налоговый режим применяется налогоплательщиками сроком не менее одного календарного года при соответствии условиям его применения.
6. Налогоплательщики, применяющие специальный налоговый режим для крестьянских или фермерских хозяйств, при получении доходов от видов деятельности, на которые не распространяется действие данного специального налогового режима, обязаны вести раздельный учет доходов и расходов, активов и обязательств, а также производить исчисление и уплату соответствующих налогов и платежей в бюджет по ним в зависимости от применяемого режима налогообложения:
1) специальный налоговый режим на основе упрощенной декларации;
2) общеустановленный порядок налогообложения.
При этом раздельный учет, предусмотренный настоящим пунктом, налогоплательщики должны осуществлять в соответствии с положениями утвержденной ими налоговой учетной политики.
7. В случае возникновения обязательства по постановке на регистрационный учет плательщика налога на добавленную стоимость по деятельности, на которую не распространяется действие специального налогового режима для крестьянских или фермерских хозяйств, у налогоплательщика возникает обязательство по переходу на общеустановленный порядок налогообложения.
Статья 729. Объект обложения
1. Объектом налогообложения для налогоплательщика, применяющего специальный налоговый режим для крестьянских или фермерских хозяйств, является полученный за налоговый период доход от реализации сельскохозяйственной продукции (в том числе доходов в виде сумм, полученных из средств государственного бюджета на покрытие затрат (расходов), связанных с деятельностью, на которую распространяется данный специальный налоговый режим), продуктов переработки сельскохозяйственной продукции собственного производства, за исключением деятельности по производству, переработке и реализации подакцизных товаров.
2. Доход, определяемый для целей пункта 1 настоящей статьи, состоит из доходов, полученных (подлежащих получению) в Республике Казахстан и за ее пределами (с учетом корректировок, производимых в соответствии с пунктом 5 настоящей статьи).
3. Доход, определяемый для целей пункта 1 настоящей статьи, включает:
1) доход от списания обязательств;
2) доход в виде безвозмездно полученного имущества (кроме благотворительной помощи), предназначенного для использования в деятельности, указанной в пункте 1 настоящей статьи.
Размер доходов, указанных в пункте 2 настоящей статьи, при применении специального налогового режима для крестьянских или фермерских хозяйств определяется в соответствии со статьями 237 - 256 настоящего Кодекса и пунктами 4, 5 и 6 настоящей статьи.
4. В целях налогообложения в качестве дохода налогоплательщика, применяющего специальный налоговый режим для крестьянских или фермерских хозяйств, не рассматривается стоимость безвозмездно переданного имущества - для налогоплательщика, передающего такое имущество.
5. Для целей настоящей главы корректировкой признается увеличение размера дохода отчетного налогового периода или уменьшение размера дохода отчетного налогового периода в пределах суммы ранее признанного дохода.
Доходы, указанные в пункте 2 настоящей статьи, подлежат корректировке в случаях:
1) полного или частичного возврата товаров;
2) изменения условий сделки;
3) изменения цены, компенсации за реализованные или приобретенные товары, выполненные работы, оказанные услуги;
4) скидки с цены, скидки с продаж;
5) изменения суммы, подлежащей оплате в национальной валюте за реализованные или приобретенные товары, выполненные работы, оказанные услуги исходя из условий договора;
6) списания требования с юридического лица, индивидуального предпринимателя, юридического лица - нерезидента, осуществляющего деятельность в Республике Казахстан через постоянное учреждение, по требованиям, относящимся к деятельности такого постоянного учреждения, а также с филиала, представительства юридического лица -нерезидента, осуществляющего деятельность в Республике Казахстан через филиал, представительство, которая не привела к образованию постоянного учреждения.
Корректировка дохода, предусмотренная частью первой настоящего пункта, осуществляется в сторону уменьшения в случаях:
невостребования налогоплательщиком-кредитором требования при ликвидации налогоплательщика-дебитора на день утверждения его ликвидационного баланса;
списания налогоплательщиком требования по вступившему в законную силу решению суда.
Корректировка, предусмотренная абзацем третьим части второй настоящего подпункта, производится в пределах суммы списанного требования и ранее признанного дохода по такому требованию при наличии первичных документов, подтверждающих возникновение требования.
Корректировка, предусмотренная подпунктами 1) - 5) части второй настоящего пункта, производится при наличии первичных документов, подтверждающих наступление случаев для осуществления такой корректировки.
Корректировка доходов производится в том налоговом периоде, в котором наступили случаи, указанные в настоящей статье.
В случае отсутствия дохода или недостаточности его размера для осуществления корректировки в сторону уменьшения в том периоде, в котором наступили случаи, указанные в настоящей статье, корректировка производится в том налоговом периоде, в котором ранее был признан подлежащий корректировке доход.
6. В случае, если одни и те же доходы могут быть отражены в нескольких статьях доходов, указанные доходы включаются в доход один раз.
Дата признания дохода для целей налогообложения определяется в соответствии с положениями настоящей главы.
Статья 730. Порядок исчисления налога
Исчисление индивидуального подоходного налога, за исключением налогов, удерживаемых у источника выплаты, производится налогоплательщиком самостоятельно путем применения к объекту налогообложения за отчетный налоговый период ставки в размере 0,5 процента.
Статья 731. Особенности применения специального налогового режима для крестьянских или фермерских хозяйств
1. Налогоплательщики, применяющие специальный налоговый режим для крестьянских или фермерских хозяйств, не являются плательщиками следующих видов налогов и платежей в бюджет:
1) земельного налога и (или) платы за пользование земельными участками - по земельным участкам, используемым в деятельности, на которую распространяется данный специальный налоговый режим, за исключением земельных участков, используемых с нарушением законодательства Республики Казахстан;
2) налога на транспортные средства - по объектам налогообложения, указанным в подпункте 2) пункта 3 статьи 563 настоящего Кодекса;
3) налога на имущество - по объектам налогообложения, указанным в подпункте 1) пункта 3 статьи 588 настоящего Кодекса;
4) социального налога - по деятельности крестьянского или фермерского хозяйства, на которую распространяется данный специальный налоговый режим;
5) платы за негативное воздействие на окружающую среду -по деятельности крестьянского или фермерского хозяйства, на которую распространяется данный специальный налоговый режим;
6) налога на добавленную стоимость (за исключением налога на добавленную стоимость на импортируемые товары и налога на добавленную стоимость за нерезидента).
2. Исчисление, уплата налогов и платежей в бюджет, не указанных в статье 730 настоящего Кодекса и пункте 1 настоящей статьи, представление налоговой отчетности по таким налогам и платежам в бюджет, а также уплата (перечисление) социальных платежей производятся в общеустановленном порядке либо в порядке, предусмотренном главой 94 настоящего Кодекса.
Статья 732. Сроки уплаты отдельных видов налогов и платежей в бюджет
1. Уплата индивидуального подоходного налога, за исключением налогов, удерживаемых у источника выплаты, платы за пользование водными ресурсами поверхностных водных объектов, производятся в следующем порядке:
1) суммы, исчисленные с 1 января до 1 октября налогового периода, - в срок не позднее 10 ноября текущего налогового периода;
2) суммы, исчисленные с 1 октября по 31 декабря налогового периода, - в срок не позднее 10 апреля налогового периода, следующего за отчетным налоговым периодом.
2. Уплата индивидуального подоходного налога производится в бюджет по месту нахождения земельного участка.
Статья 733. Сроки представления декларации для налогоплательщиков, применяющих специальный налоговый режим для крестьянских или фермерских хозяйств
1. Декларация для налогоплательщиков, применяющих специальный налоговый режим для крестьянских или фермерских хозяйств, предназначена для отражения сумм исчисленных индивидуального подоходного налога (кроме удерживаемого у источника выплаты) и платы за пользование водными ресурсами поверхностных водных объектов.
2. Декларация для налогоплательщиков, применяющих специальный налоговый режим для крестьянских или фермерских хозяйств, представляется не позднее 31 марта налогового периода, следующего за отчетным налоговым периодом, в соответствующие налоговые органы по месту нахождения земельного участка.
РАЗДЕЛ 17. НАЛОГОВЫЕ ПРЕФЕРЕНЦИИ И ЛЬГОТЫ НА ОСНОВАНИИ ДОГОВОРОВ (КОНТРАКТОВ)
Глава 80. НАЛОГООБЛОЖЕНИЕ ЛИЦ, ОСУЩЕСТВЛЯЮЩИХ ДЕЯТЕЛЬНОСТЬ НА ТЕРРИТОРИЯХ СПЕЦИАЛЬНЫХ ЭКОНОМИЧЕСКИХ ЗОН, УПРАВЛЯЮЩИХ КОМПАНИЙ СПЕЦИАЛЬНЫХ ЭКОНОМИЧЕСКИХ И ИНДУСТРИАЛЬНЫХ ЗОН
Статья 734. Участники специальных экономических зон, применяющие налоговые преференции
1. Для целей применения настоящего Кодекса и налоговых преференций организацией, осуществляющей деятельность на территории специальной экономической зоны, является юридическое лицо, соответствующее одновременно следующим условиям:
1) является участником специальной экономической зоны в соответствии с законодательством Республики Казахстан о специальных экономических и индустриальных зонах;
2) зарегистрировано в качестве налогоплательщика по месту нахождения в налоговом органе на территории специальной экономической зоны или территориальном подразделении налогового органа, к компетенции которого относится территория специальной экономической зоны;
3) при наличии на территории специальной экономической зоны необходимой инфраструктуры и объектов, предназначенных для осуществления приоритетных видов деятельности, юридическое лицо не вправе иметь за пределами территории специальной экономической зоны филиалы и иные обособленные структурные подразделения, за исключением представительств;
4) осуществляет на территории специальной экономической зоны приоритетный вид деятельности, соответствующий целям создания специальной экономической зоны.
Определение приоритетных видов деятельности осуществляется в соответствии с общим классификатором видов экономической деятельности, утвержденным уполномоченным органом в области технического регулирования.
Положения настоящего пункта не распространяются на лиц, указанных в пункте 2 настоящей статьи.
2. Для целей применения настоящего Кодекса и налоговых преференций организацией или индивидуальным предпринимателем, осуществляющими деятельность на территории специальной экономической зоны, признается лицо, соответствующее одновременно следующим условиям:
1) является участником специальной экономической зоны, пределы которой полностью или частично совпадают с участками таможенной границы ЕАЭС, в соответствии с законодательством Республики Казахстан о специальных экономических и индустриальных зонах;
2) зарегистрировано в качестве налогоплательщика по месту нахождения в налоговом органе на территории специальной экономической зоны, пределы которой полностью или частично совпадают с участками таможенной границы ЕАЭС, или в территориальном подразделении налогового органа, к компетенции которого относится территория специальной экономической зоны, пределы которой полностью или частично совпадают с участками таможенной границы ЕАЭС;
3) не имеет филиалов и иных обособленных структурных подразделений, за исключением представительств;
4) осуществляет на территории специальной экономической зоны приоритетный вид деятельности, соответствующий целям создания специальной экономической зоны, пределы которой полностью или частично совпадают с участками таможенной границы ЕАЭС.
3. К организациям и индивидуальным предпринимателям, осуществляющим деятельность на территориях специальных экономических зон, не относятся:
1) недропользователи;
2) организации, производящие подакцизные товары, за исключением организаций, осуществляющих производство, сборку (комплектацию) подакцизных товаров, предусмотренных подпунктом 6) статьи 536 настоящего Кодекса;
3) налогоплательщики и индивидуальные предприниматели, применяющие специальные налоговые режимы;
4) организации, реализующие (реализовавшие) инвестиционный стратегический проект в соответствии с законодательством Республики Казахстан об инвестициях, заключившие соглашение об инвестициях, соглашение об инвестиционных обязательствах, соглашение о переработке твердых полезных ископаемых;
5) организации, осуществляющие деятельность в сфере игорного бизнеса;
6) участники «Астана Хаб»;
7) участники МФЦА.
При этом в отношении специальной экономической зоны, пределы которой полностью или частично совпадают с участками таможенной границы ЕАЭС, к заявителям также не относятся иностранные физические и юридические лица.
Статья 735. Особенности налогообложения на территории специальных экономических зон
1. Организация или индивидуальный предприниматель, осуществляющие деятельность на территории специальной экономической зоны, при определении суммы земельного налога, налога на имущество и платы за пользование земельными участками, подлежащей уплате в бюджет, по объектам налогообложения (объектам обложения), расположенным на территории специальной экономической зоны и используемым при осуществлении приоритетных видов деятельности, уменьшают суммы исчисленного налога и (или) платы на 100 процентов в следующем порядке:
по земельному налогу и плате за пользование земельными участками путем применения коэффициента 0 к соответствующим ставкам налога;
по налогу на имущество путем применения ставки 0 к налоговой базе.
В целях настоящей главы уменьшение, предусмотренное частью первой настоящего пункта, является преференцией по налогам и плате.
Преференции по налогам и плате применяются:
по земельному налогу - с 1 числа месяца, в котором заключен договор об осуществлении деятельности в качестве участника специальной экономической зоны;
по налогу на имущество - с даты возникновения объекта налогообложения, но не ранее даты заключения договора об осуществлении деятельности в качестве участника специальной экономической зоны;
по плате за пользование земельными участками - с 1 числа месяца, в котором заключен договор об осуществлении деятельности в качестве участника специальной экономической зоны, до окончания срока действия договора временного возмездного землепользования (аренды), но не более срока действия специальной экономической зоны.
2. В случае использования объектов налогообложения (объектов обложения), расположенных на территории специальной экономической зоны, как при осуществлении приоритетных видов деятельности, так и при осуществлении иных видов деятельности сумма налога или платы, к которым применяются положения части первой пункта 1 настоящей статьи, определяется пропорционально удельному весу доходов от приоритетных видов деятельности к совокупному годовому доходу.
3. В случае расторжения управляющей компанией специальной экономической зоны договора об осуществлении деятельности в качестве участника специальной экономической зоны в соответствии с законодательством Республики Казахстан о специальных экономических и индустриальных зонах преференции по налогам и плате аннулируются с даты начала налогового периода, в котором допущено нарушение, являющееся основанием для расторжения договора.
Управляющая компания специальной экономической зоны в срок не позднее тридцати календарных дней с даты расторжения договора представляет сведения об участниках специальной экономической зоны, с которыми расторгнуты договоры, с указанием даты нарушения, являвшегося основанием для расторжения договора, в налоговые органы по месту нахождения таких участников.
При этом налогоплательщик обязан не позднее тридцати календарных дней с даты расторжения договора представить дополнительную налоговую отчетность за налоговый период, в котором допущено нарушение, являвшееся причиной для расторжения договора.
4. Организация, осуществляющая деятельность на территории специальной экономической зоны, при определении суммы корпоративного подоходного налога, подлежащей уплате в бюджет, уменьшает сумму исчисленного в соответствии со статьей 345 настоящего Кодекса корпоративного подоходного налога на 100 процентов по доходам, полученным от реализации товаров, работ, услуг, являющихся результатом осуществления приоритетных видов деятельности, если иное не предусмотрено настоящим пунктом.
При этом положение части первой настоящего пункта и пункта 5 настоящей статьи не применяется по доходам от реализации следующих объектов строительства, за исключением случаев, когда такая реализация входит в перечень приоритетных видов деятельности на территории специальной экономической зоны, пределы которой полностью или частично совпадают с участками таможенной границы ЕАЭС:
больниц, поликлиник, школ, детских садов, музеев, театров, высших и средних учебных заведений, библиотек, дворцов школьников, спортивных комплексов в соответствии с проектно-сметной документацией;
инфраструктуры, административного и жилого комплексов в соответствии с проектно-сметной документацией.
5. Индивидуальный предприниматель, осуществляющий деятельность в общеустановленном порядке на территории специальной экономической зоны, пределы которой полностью или частично совпадают с участками таможенной границы ЕАЭС, при определении суммы индивидуального подоходного налога, подлежащей уплате в бюджет, уменьшает сумму исчисленного индивидуального подоходного налога на 100 процентов по доходам, полученным от реализации товаров, работ, услуг, являющихся результатом осуществления приоритетных видов деятельности.
6. Организация или индивидуальный предприниматель, осуществляющие деятельность на территории специальной экономической зоны, ведут раздельный налоговый учет объектов налогообложения и (или) объектов, связанных с налогообложением, в целях исчисления налоговых обязательств по соответствующему приоритетному виду деятельности и иным видам деятельности.
7. Доходы организации или индивидуального предпринимателя, осуществляющих деятельность на территории специальной экономической зоны, от осуществления иных видов деятельности, не относящихся к приоритетным, подлежат обложению корпоративным подоходным налогом или индивидуальным подоходным налогом в общеустановленном порядке.
8. Организация, осуществляющая деятельность на территории специальной экономической зоны, не вправе применять другие положения настоящего Кодекса, предусматривающие уменьшение корпоративного подоходного налога, исчисленного в соответствии со статьей 345 настоящего Кодекса, на 100 процентов.
9. Управляющие компании специальных экономических и индустриальных зон при определении суммы земельного налога, налога на имущество и платы за пользование земельными участками, подлежащей уплате в бюджет, по объектам налогообложения (объектам обложения), используемым (планируемым к использованию) для обслуживания специальных экономических и индустриальных зон, уменьшают суммы исчисленного налога и платы на 100 процентов в следующем порядке:
по земельному налогу и плате за пользование земельными участками путем применения коэффициента 0 к соответствующим ставкам налога,
по налогу на имущество путем применения ставки 0 к налоговой базе.
10. Срок применения уменьшений сумм налогов и (или) платы на 100 процентов, предусмотренных пунктами 1,4 и 5 настоящей статьи, осуществляется в зависимости от категорий, установленных законодательством Республики Казахстан о специальных экономических и индустриальных зонах, но не более срока действия договора об осуществлении деятельности и срока функционирования специальной экономической зоны:
категории A - в течение 7 лет;
категории B - в течение 15 лет;
категории C - в течение 25 лет.
Положения части первой настоящего пункта применяются организацией и индивидуальным предпринимателем, осуществляющим деятельность на территории специальной экономической зоны, при заключении договора об осуществлении деятельности после 1 января 2024 года в соответствии с законодательством Республики Казахстан о специальных экономических и индустриальных зонах.
11. Организации и индивидуальные предприниматели, осуществляющие деятельность на территориях специальных экономических зон, применяют порядок налогообложения налогом на добавленную стоимость, установленный разделом 7 настоящего Кодекса с учетом особенностей, установленных главой 48 настоящего Кодекса по определению необлагаемого оборота и необлагаемого импорта для участников специальных экономических зон.
Обложение налогом на добавленную стоимость товаров, реализуемых на территорию специальной экономической зоны, а также порядок возврата превышения налога на добавленную стоимость по оборотам, облагаемым по нулевой ставке, производятся в порядке, определенном настоящим Кодексом, с учетом особенностей, предусмотренных настоящим разделом и статьями 470 и 471 настоящего Кодекса.
Организация, осуществляющая деятельность на территории специальной экономической зоны в рамках заключенного специального инвестиционного контракта с уполномоченным органом в области государственного стимулирования промышленности, освобождается от налога на добавленную стоимость при импорте:
сырья и (или) материалов в составе транспортных средств и (или) сельскохозяйственной техники, а также их компонентов, помещенных под таможенную процедуру свободной таможенной зоны при соблюдении условий, установленных подпунктом 9) пункта 1 статьи 479 и подпунктом 3) пункта 2 статьи 525 настоящего Кодекса;
товаров в составе готовой продукции, произведенной на территории специальной экономической зоны при соблюдении условий, предусмотренных пунктом 2 статьи 479 и пунктом 5 статьи 525 настоящего Кодекса.
12. В случае внесения изменений и дополнений в налоговое законодательство Республики Казахстан после даты заключения договора об осуществлении деятельности в качестве участника специальной экономической зоны такая организация или индивидуальный предприниматель применяют положения настоящей главы, действовавшие на дату заключения такого договора, если такие изменения и дополнения предусматривают исключение и (или) изменение размеров уменьшения, применяемых при исчислении корпоративного подоходного налога, индивидуального подоходного налога, земельного налога, налога на имущество и платы за пользование земельными участками.
Положения части первой настоящего пункта применяются в течение срока действия договора об осуществлении деятельности в качестве участника специальной экономической зоны, заключенного в соответствии с законодательством Республики Казахстан о специальных экономических и индустриальных зонах, но не более десяти лет со дня вступления в действие первого такого изменения и (или) дополнения.
Положения части первой настоящего пункта не применяются в случае расторжения органом управления специальной экономической зоны договора об осуществлении деятельности в качестве участника специальной экономической зоны в одностороннем порядке в соответствии с законодательством Республики Казахстан о специальных экономических и индустриальных зонах.
Глава 81. НАЛОГОВЫЕ ПРЕФЕРЕНЦИИ ПО ИНВЕСТИЦИОННЫМ КОНТРАКТАМ
Статья 736. Налогообложение лиц, заключивших соглашение об инвестициях
1. Для целей настоящего Кодекса лицом, заключившим соглашение об инвестициях, является юридическое лицо, соответствующее одновременно следующим условиям:
1) заключено в соответствии с Предпринимательским кодексом Республики Казахстан соглашение об инвестициях, предусматривающее преференции по налогам;
2) реализует инвестиционный проект по приоритетному виду деятельности, предусмотренному в соглашении об инвестициях.
2. Соглашение об инвестициях при соблюдении условий, предусмотренных пунктом 1 настоящей статьи, может предусматривать следующие преференции:
1) уменьшение корпоративного подоходного налога, исчисленного в соответствии со статьей 345 настоящего Кодекса, на 100 процентов по доходам от реализации инвестиционного проекта по приоритетным видам деятельности, определенным соглашением об инвестициях, полученным посредством эксплуатации фиксированных активов, которые были введены как новые производства, расширены или обновлены в рамках соглашения об инвестициях;
2) применение коэффициента 0 при исчислении земельного налога по земельным участкам, используемым для реализации инвестиционного проекта по приоритетным видам деятельности, определенным соглашением об инвестициях;
3) применение ставки 0 процентов к налоговой базе при исчислении налога на имущество по объектам, используемым для реализации инвестиционного проекта по приоритетным видам деятельности, определенным соглашением об инвестициях;
4) стабильность размера коэффициента, ставок и размера уменьшения налогов, предусмотренных настоящей статьей на период с даты заключения соглашения до даты окончания сроков преференций по налогам в рамках инвестиционного проекта.
Положения подпунктов 2) и 3) части первой настоящего пункта не применяются в случаях передачи объектов налогообложения в пользование, доверительное управление или аренду.
3. Предельный срок применения преференций по налогам, предусмотренных пунктом 2 настоящей статьи:
1) по корпоративному подоходному налогу, - определяется в зависимости от условий соглашения в порядке, установленном пунктом 4 настоящей статьи;
2) по земельному налогу, - начинается с 1 числа месяца, в котором заключено соглашение, и заканчивается не позднее десяти последовательных лет, которые исчисляются, начиная с 1 января года, следующего за годом, в котором заключено такое соглашение;
3) по налогу на имущество, - начинается с 1 числа месяца, в котором первый актив учтен в составе основных средств в соответствии с международными стандартами финансовой отчетности и требованиями законодательства Республики Казахстан о бухгалтерском учете и финансовой отчетности, и (или) заканчивается не позднее восьми последовательных лет, которые исчисляются, начиная с 1 января года, следующего за годом, в котором первый актив учтен в составе основных средств в соответствии с международными стандартами финансовой отчетности и (или) требованиями законодательства Республики Казахстан о бухгалтерском учете и финансовой отчетности.
4. Предельный срок применения преференций по корпоративному подоходному налогу определяется в следующем порядке:
1) по соглашению об инвестициях по созданию новых производств - начинается с 1 января года, в котором заключено такое соглашение, и заканчивается не позднее десяти последовательных лет, которые исчисляются, начиная с 1 января года, следующего за годом, в котором заключено соглашение;
2) по соглашению об инвестициях по расширению и (или) обновлению действующих производств -
начинается с 1 января года, следующего за годом, в котором произведен ввод в эксплуатацию последнего фиксированного актива, выпускающего продукцию по видам деятельности, определенным соглашением об инвестициях, и
заканчивается не позднее трех последовательных лет, которые исчисляются, начиная с 1 января года, следующего за годом, в котором произведен ввод последнего фиксированного актива, выпускающего продукцию;
3) по соглашению об инвестициях по расширению и (или) обновлению действующих производств при поэтапном вводе фиксированных активов, выпускающих продукцию по видам деятельности, определенным соглашением об инвестициях, -
начинается с 1 января года, следующего за годом, в котором произведен ввод в эксплуатацию фиксированного актива, выпускающего продукцию;
и
заканчивается не позднее трех последовательных лет, которые исчисляются, начиная с 1 января года, следующего за годом, в котором произведен ввод фиксированного актива, выпускающего продукцию.
Предельный срок применяется в отношении каждого фиксированного актива, выпускающего продукцию по видам деятельности, определенным соглашением об инвестициях и предусмотренным соглашением об инвестициях по расширению и (или) обновлению действующих производств.
5. Срок применения инвестиционных преференций по налогам, указанным в пункте 2 настоящей статьи, устанавливается в зависимости от стоимости проекта и вида осуществляемой деятельности по категориям инвестирования, но не более 10 лет в соответствии с порядком, определенным уполномоченным органом по инвестициям по согласованию с уполномоченными органами в области государственного стимулирования промышленности, в области налоговой политики и уполномоченным органом в сфере обеспечения поступлений налогов и платежей в бюджет.
6. Лицо, заключившее соглашение об инвестициях, ведет раздельный налоговый учет объектов налогообложения и (или) объектов, связанных с налогообложением, в целях исчисления налоговых обязательств по приоритетным видам деятельности, определенным соглашением об инвестициях.
7. Лицо, заключившее соглашение об инвестициях, не вправе применять другие положения настоящего Кодекса, предусматривающие уменьшение корпоративного подоходного налога, применение пониженных ставок и коэффициентов при исчислении налога на имущество и земельного налога.
8. Если изменения и (или) дополнения налогового законодательства Республики Казахстан предусматривают увеличение коэффициентов и (или) ставок, применяемых при исчислении земельного налога и (или) налога на имущество, либо изменение размера уменьшения при исчислении корпоративного подоходного налога, лицо, заключившее соглашение об инвестициях, определяет налоговые обязательства по деятельности в рамках инвестиционного проекта с применением коэффициентов и (или) по ставкам, а также применяет размер уменьшения при исчислении корпоративного подоходного налога, которые действовали на дату заключения соглашения об инвестициях.
9. При досрочном прекращении действия соглашения об инвестициях преференции по налогам и гарантия стабильности налогового законодательства Республики Казахстан аннулируются с даты его заключения.
В случае, указанном в части первой настоящего пункта, налогоплательщик обязан не позднее тридцати календарных дней с даты расторжения соглашения об инвестициях представить дополнительную налоговую отчетность за налоговые периоды, начиная с даты заключения данного соглашения до даты его расторжения включительно.
Статья 737. Налогообложение лиц, заключивших соглашение об инвестиционных обязательствах
1. Для целей настоящего Кодекса лицом, заключившим соглашение об инвестиционных обязательствах, является юридическое лицо, соответствующее одновременно следующим условиям:
1) в соответствии с Предпринимательским кодексом Республики Казахстан заключено соглашение об инвестиционных обязательствах с Правительством Республики Казахстан;
2) является товаропроизводителем, за исключением недропользователей, добывающих углеводородные полезные ископаемые, и производителей нефтепродуктов. Под товаропроизводителем для целей настоящей главы понимается юридическое лицо, у которого не менее семидесяти процентов в совокупном годовом доходе за год, предшествовавший году подачи заявки на заключение соглашения об инвестиционных обязательствах, составляет доход от реализации товаров собственного производства либо от реализации добытых таким лицом полезных ископаемых и (или) продукции, полученной в результате переработки таким лицом полезных ископаемых;
3) является субъектом крупного или среднего предпринимательства в соответствии с Предпринимательским кодексом Республики Казахстан;
4) не осуществляет деятельность по производству подакцизных товаров;
5) не применяет специальные налоговые режимы.
2. Если иное не установлено пунктом 3 настоящей статьи, исчисление налогов и платежей в бюджет налогоплательщиками, заключившими соглашение об инвестиционных обязательствах в соответствии с Предпринимательским кодексом Республики Казахстан, осуществляется в соответствии с налоговым режимом, действующим на момент заключения указанного соглашения, в течение десяти лет, начиная с 1 января года, в котором заключено такое соглашение (гарантия стабильности налогового законодательства Республики Казахстан).
3. Налогоплательщик (налоговый агент), заключивший соглашение об инвестиционных обязательствах в соответствии с Предпринимательским кодексом Республики Казахстан, осуществляет исчисление налогового обязательства в соответствии с налоговым режимом, действующим на момент возникновения такого обязательства, по следующим налогам и платежам в бюджет:
налогу на добавленную стоимость;
акцизу;
плате за негативное воздействие на окружающую среду;
индивидуальному подоходному налогу;
корпоративному подоходному налогу, удерживаемому у источника выплаты.
4. При досрочном прекращении действия соглашения об инвестиционных обязательствах гарантия стабильности налогового законодательства Республики Казахстан, предусмотренная пунктом 2 настоящей статьи, аннулируется с даты его заключения, за исключением случая, предусмотренного частью третьей настоящего пункта.
В случае, указанном в части первой настоящего пункта, налогоплательщик обязан не позднее тридцати календарных дней с даты расторжения соглашения об инвестиционных обязательствах представить дополнительную налоговую отчетность за налоговые периоды, начиная с даты заключения данного соглашения до даты его расторжения включительно.
В случае, если на момент прекращения действия соглашения об инвестиционных обязательствах профинансировано не менее девяноста процентов суммы, предусмотренной Предпринимательским кодексом Республики Казахстан для таких соглашений, гарантия стабильности налогового законодательства Республики Казахстан, предусмотренная пунктом 2 настоящей статьи, аннулируется с 1 января года, в котором прекращено действие соглашения об инвестиционных обязательствах.
5. В случае отмены отдельных видов налогов и платежей в бюджет, действовавших на момент заключения соглашения об инвестиционных обязательствах, налогоплательщик продолжает производить их уплату в бюджет в порядке и размерах, которые предусмотрены налоговым законодательством Республики Казахстан, действовавшим на момент заключения такого соглашения.
Глава 82. НАЛОГОВЫЕ ПРЕФЕРЕНЦИИ УЧАСТНИКОВ «АСТАНА ХАБ»
Статья 738. Налогообложение участников «Астана Хаб»
1. Участники «Астана Хаб», соответствующие условиям, предусмотренным статьей 17 настоящего Кодекса, применяют следующие налоговые преференции:
1) уменьшение исчисленной суммы корпоративного подоходного налога на 100 процентов в порядке, установленном параграфом 1 настоящей главы;
2) освобождение от налога на добавленную стоимость оборотов по реализации товаров, производимых и реализуемых участниками «Астана-Хаб», в соответствии с подпунктом 33) статьи 474 настоящего Кодекса;
3) освобождение от налога на добавленную стоимость оборотов по реализации работ и услуг, реализуемых участниками «Астана-Хаб», в соответствии с подпунктом 34) статьи 474 настоящего Кодекса;
4) освобождение от налога на добавленную стоимость импорта ввезенных товаров в соответствии с подпунктом 11) пункта 1 статьи 479 настоящего Кодекса;
5) исключение из объекта налогообложения социального налога доходов работников - участников «Астана-Хаб» в соответствии с подпунктом 3) пункта 2 статьи 556 настоящего Кодекса.
2. Особенности исчисления и удержания корпоративного подоходного налога и индивидуального подоходного налога с доходов нерезидентов из источников в Республике Казахстан, по которым обязательства исчисления, удержания и уплаты возникают у участников «Астана Хаб», предусмотрены разделом 15 настоящего Кодекса.
3. Выполненные работы, оказанные услуги нерезидентом на возмездной основе, местом реализации которых признается Республика Казахстан, приобретенные участником «Астана Хаб», являющимся плательщиком налога на добавленную стоимость, не являются оборотом по приобретению работ, услуг от нерезидента в соответствии с условиями, предусмотренными подпунктом 3) пункта 3 статьи 454 настоящего Кодекса.
4. При исчислении индивидуального подоходного налога с доходов работника, подлежащих налогообложению у источника выплаты, применяется уменьшение в соответствии с подпунктом 3) статьи 429 настоящего Кодекса на доходы работников, являющихся участниками «Астана Хаб».
Параграф 1. Порядок уменьшения корпоративного подоходного налога участниками «Астана Хаб»
Статья 739. Общие положения
1. Участники «Астана Хаб» при определении суммы корпоративного подоходного налога, подлежащей уплате в бюджет, уменьшают сумму исчисленного в соответствии со статьей 345 настоящего Кодекса корпоративного подоходного налога на 100 процентов по:
1) доходам от объектов интеллектуальной собственности - в порядке, определенном статьей 740 настоящего Кодекса;
2) доходам от оказания услуг в сфере информатизации - в порядке, установленном статьей 741 настоящего Кодекса;
3) доходам, не указанным в подпунктах 1) и 2) настоящего пункта, - в сумме исчисленного корпоративного подоходного налога.
2. В целях настоящей главы под объектами интеллектуальной собственности понимаются программное обеспечение, охраняемое Законом Республики Казахстан «Об авторском праве и смежных правах», а также изобретение, полезная модель или промышленный образец в области информатизации в соответствии с Законом Республики Казахстан «Патентный закон Республики Казахстан», являющиеся результатом осуществления приоритетных видов деятельности, предусмотренных для участников «Астана Хаб».
3. Порядок учета убытка по объекту интеллектуальной собственности при осуществлении приоритетных видов деятельности участниками «Астана Хаб» установлен статьей 343 настоящего Кодекса.
4. В случае несоответствия налогоплательщика условиям, установленным для участников «Астана Хаб» статьей 17 настоящего Кодекса, такой налогоплательщик применяет общеустановленный порядок налогообложения с даты начала налогового периода, в котором допущено нарушение.
5. Участник «Астана Хаб» не вправе применять другие положения настоящего Кодекса, предусматривающие уменьшение корпоративного подоходного налога, исчисленного в соответствии со статьей 345 настоящего Кодекса, на 100 процентов.
Статья 740. Уменьшение корпоративного подоходного налога по доходу от объектов интеллектуальной собственности
1. Доход от объектов интеллектуальной собственности участниками «Астана Хаб» определяется при наличии исключительных имущественных прав правообладателя на объекты интеллектуальной собственности и состоит из следующих доходов:
1) доход от реализации объектов интеллектуальной собственности;
2) доход от реализации товаров с объектом интеллектуальной собственности;
3) роялти по объектам интеллектуальной собственности;
4) присужденные компенсации за нарушение прав правообладателя и патентообладателя по объектам интеллектуальной собственности;
5) другие доходы по объектам интеллектуальной собственности, связанные с их использованием, в том числе доходы от размещения рекламы, а также от дополнительных услуг, встроенных в объект интеллектуальной собственности.
По международным деловым операциям и сделкам, совершенным на территории Республики Казахстан, непосредственно взаимосвязанным с международными деловыми операциями, доход от объектов интеллектуальной собственности определяется с учетом Закона Республики Казахстан «О трансфертном ценообразовании».
2. Сумма уменьшения корпоративного подоходного налога по доходу от объектов интеллектуальной собственности определяется как произведение суммы дохода от объектов интеллектуальной собственности, предусмотренной пунктом 1 настоящей статьи, и коэффициента взаимосвязи, установленного пунктом 3 настоящей статьи.
3. Коэффициент взаимосвязи определяется по следующей формуле:

К - коэффициент взаимосвязи;
Руч - расходы участника «Астана Хаб», связанные с объектом интеллектуальной собственности, за исключением расходов, указанных в показателе Р приобр;
Р аутсорсинг 1 - расходы по аутсорсингу с лицами, не являющимися взаимосвязанными сторонами.
В целях настоящей главы под аутсорсингом понимается передача третьим лицам отдельных функций, необходимых для создания объектов интеллектуальной собственности;
Р аутсорсинг 2 - расходы по аутсорсингу с лицами - взаимосвязанными сторонами, находящимися за пределами Республики Казахстан;
Р приобр - расходы по приобретению объекта интеллектуальной собственности.
При определении суммы уменьшения корпоративного подоходного налога по доходу от объектов интеллектуальной собственности в случае если значение коэффициента взаимосвязи больше значения 1, то для расчета принимается коэффициент в значении 1.
Статья 741. Уменьшение корпоративного подоходного налога по доходам от оказания услуг в сфере информатизации
1. К доходу от оказания услуг в сфере информатизации относятся доходы, полученные участником «Астана Хаб» в результате осуществления следующих приоритетных видов деятельности:
1) услуг по исследованию, проведению анализа, проектированию, адаптации и настройке программного обеспечения;
2) услуг по технической поддержке;
3) услуг по тестированию программного обеспечения;
4) услуг по обучению пользователей программного обеспечения.
2. Уменьшение корпоративного подоходного налога на 100 процентов по доходам от оказания услуг в сфере информатизации применяется участником «Астана Хаб» при соответствии следующим условиям:
1) договор (контракт) на оказание услуг в сфере информатизации не противоречит требованиям законодательства Республики Казахстан;
2) трудовые договоры с работниками заключены в соответствии с Трудовым кодексом Республики Казахстан;
3) количество работников участника «Астана Хаб» позволяет оказывать услуги в сфере информатизации, по доходам от реализации которой применяется уменьшение корпоративного подоходного налога;
4) наличие у работников участника «Астана Хаб» необходимых квалификации и (или) трудового стажа, и (или) опыта для оказания услуг в сфере информатизации, по доходам от реализации которой применяется уменьшение корпоративного подоходного налога;
5) соответствие объема произведенных расходов участника «Астана Хаб» фактически необходимому объему расходов для оказания услуги в сфере информатизации, по доходам от реализации которой применяется уменьшение корпоративного подоходного налога.
Соответствие условиям, определенным подпунктами 3), 4) и 5) части первой настоящего пункта, устанавливается в порядке, определенном уполномоченным органом в сфере информатизации по согласованию с центральным уполномоченным органом по государственному планированию и уполномоченным органом.
Глава 83. ОСОБЕННОСТИ НАЛОГООБЛОЖЕНИЯ НЕДРОПОЛЬЗОВАТЕЛЕЙ ПО СЛОЖНЫМ ПРОЕКТАМ
Статья 742. Особенности налогообложения недропользователей по контракту на разведку и добычу или добычу углеводородов по сложным проектам (за исключением газовых проектов на суше)
1. Недропользователи, заключившие контракт на разведку и добычу или добычу углеводородов по сложным проектам (за исключением газовых проектов на суше), применяют особенности исчисления налогов недропользователем по контрактам на разведку и добычу или добычу углеводородов по сложным проектам (за исключением газовых проектов на суше) с учетом положений, установленных статьей 756 настоящего Кодекса.
2. Для недропользователей по контракту на разведку и добычу или добычу углеводородов по сложным проектам (за исключением газовых проектов на суше) при исчислении корпоративного подоходного налога предусмотрены особенности:
1) признания совокупного годового дохода;
2) определения размеров вычетов по расходам на геологическое изучение, разведку и подготовительные работы к добыче природных ресурсов, в том числе по увеличенным нормам амортизационных отчислений, применению условных коэффициентов к расходам;
3) учета фиксированных активов, в том числе по порядку учета поступивших и выбывших фиксированных активов, нормам амортизации фиксированных активов;
4) признания плательщиком налога на имущество в рамках контрактной деятельности.
Статья 743. Особенности налогообложения недропользователей по сложным газовым проектам на суше
1. Недропользователи, осуществляющие разработку газовых проектов на суше в соответствии с законодательством Республики Казахстан о недрах и недропользовании, при определении суммы корпоративного подоходного налога по такому контракту, подлежащей уплате в бюджет, уменьшают сумму исчисленного в соответствии со статьей 345 настоящего Кодекса корпоративного подоходного налога на 100 процентов.
2. Уменьшение суммы исчисленного корпоративного подоходного налога по контракту на 100 процентов производится с учетом особенностей, предусмотренных пунктом 4 статьи 756 настоящего Кодекса.
Глава 84. НАЛОГООБЛОЖЕНИЕ ЛИЦ, ЗАКЛЮЧИВШИХ СОГЛАШЕНИЕ О ПЕРЕРАБОТКЕ ТВЕРДЫХ ПОЛЕЗНЫХ ИСКОПАЕМЫХ
Статья 744. Общие положения
1. Для целей настоящего Кодекса лицом, заключившим соглашение о переработке твердых полезных ископаемых, является юридическое лицо, соответствующее одновременно следующим условиям:
1) в соответствии с Кодексом Республики Казахстан «О недрах и недропользовании» заключило соглашение о переработке твердых полезных ископаемых с государственным органом, уполномоченным Правительством Республики Казахстан на заключение такого соглашения, предусматривающее преференции по налогам;
2) не осуществляет деятельность по производству подакцизных товаров;
3) не применяет специальные налоговые режимы.
2. При досрочном прекращении действия соглашения о переработке твердых полезных ископаемых преференции по налогам аннулируются с даты его заключения, за исключением случая, предусмотренного частью третьей настоящего пункта.
В случае, указанном в части первой настоящего пункта, налогоплательщик обязан не позднее тридцати календарных дней с даты расторжения соглашения о переработке твердых полезных ископаемых представить дополнительную налоговую отчетность за налоговые периоды, начиная с даты заключения данного соглашения до даты его расторжения включительно.
В случае, если на момент прекращения действия соглашения об инвестиционных обязательствах профинансировано не менее девяноста процентов суммы, предусмотренной Кодексом Республики Казахстан «О недрах и недропользовании» для таких соглашений, преференции по налогам, предусмотренные статьей 745 настоящего Кодекса, аннулируются с 1 января года, в котором прекращено действие соглашения о переработке твердых полезных ископаемых.
Статья 745. Налогообложение лиц, заключивших соглашение о переработке твердых полезных ископаемых
1. Соглашение о переработке твердых полезных ископаемых при соблюдении условий, предусмотренных статьей 744 настоящего Кодекса, может предусматривать следующие преференции:
1) уменьшение корпоративного подоходного налога, исчисленного в соответствии со статьей 345 настоящего Кодекса, на 100 процентов по доходам от видов деятельности, определенным соглашением о переработке твердых полезных ископаемых, полученным посредством эксплуатации фиксированных активов, которые были введены как новые производства в рамках соглашения о переработке твердых полезных ископаемых;
2) применение коэффициента 0 при исчислении земельного налога по земельным участкам, используемым для реализации соглашения о переработке твердых полезных ископаемых;
3) применение ставки 0 процентов к налоговой базе при исчислении налога на имущество по объектам, используемым для реализации соглашения о переработке твердых полезных ископаемых;
4) освобождение импорта технологического оборудования, комплектующих и запасных частей к нему от налога на добавленную стоимость, используемых исключительно при осуществлении деятельности в рамках соглашения о переработке твердых полезных ископаемых по перечню технологического оборудования, комплектующих и запасных частей к нему.
2. Предельный срок применения подпункта 1) пункта 1 настоящей статьи в рамках соглашения о переработке твердых полезных ископаемых начинается с 1 января года, в котором заключено такое соглашение, и заканчивается не позднее десяти последовательных лет, которые исчисляются, начиная с 1 января года, следующего за годом, в котором заключено соглашение.
3. Предельный срок применения подпункта 2) пункта 1 настоящей статьи в рамках соглашения о переработке твердых полезных ископаемых начинается с 1 числа месяца, в котором заключено соглашение, и заканчивается не позднее десяти последовательных лет, которые исчисляются, начиная с 1 января года, следующего за годом, в котором заключено такое соглашение.
4. Предельный срок применения подпункта 3) пункта 1 настоящей статьи в рамках соглашения о переработке твердых полезных ископаемых начинается с 1 числа месяца, в котором первый актив учтен в составе основных средств в соответствии с международными стандартами финансовой отчетности и требованиями законодательства Республики Казахстан о бухгалтерском учете и финансовой отчетности, и (или) заканчивается не позднее восьми последовательных лет, которые исчисляются, начиная с 1 января года, следующего за годом, в котором первый актив учтен в составе основных средств в соответствии с международными стандартами финансовой отчетности и (или) требованиями законодательства Республики Казахстан о бухгалтерском учете и финансовой отчетности.
5. Лицо, заключившее соглашение о переработке твердых полезных ископаемых, ведет раздельный налоговый учет объектов налогообложения и (или) объектов, связанных с налогообложением, в целях исчисления налоговых обязательств.
РАЗДЕЛ 18. РЕНТНЫЙ НАЛОГ НА ЭКСПОРТ
Глава 85. РЕНТНЫЙ НАЛОГ НА ЭКСПОРТ
Статья 746. Плательщики
Плательщиками рентного налога на экспорт являются физические и юридические лица, реализующие на экспорт нефть сырую и нефтепродукты сырые, за исключением объемов экспорта сырой нефти и газового конденсата, добытых:
недропользователями в рамках контрактов, указанных в пункте 1 статьи 755 настоящего Кодекса;
недропользователями, являющимися плательщиками налога на добычу полезных ископаемых по углеводородам или альтернативного налога на недропользование.
Для целей настоящего раздела нефтью сырой и нефтепродуктами сырыми признаются товары, классифицируемые в субпозиции 2709 00 Единой товарной номенклатуры внешнеэкономической деятельности ЕАЭС.
Статья 747. Объект обложения
Объектом обложения рентным налогом на экспорт является объем нефти сырой и нефтепродуктов сырых, реализуемых на экспорт, за исключением объемов реализуемых на экспорт полезных ископаемых, переданных недропользователем в счет исполнения налогового обязательства в натуральной форме и реализуемых получателем от имени государства или лицом, уполномоченным получателем от имени государства на такую реализацию. Для целей настоящего раздела и раздела 19 настоящего Кодекса под экспортом понимаются:
1) вывоз товаров с территории Республики Казахстан, осуществляемый в таможенной процедуре экспорта в соответствии с таможенным законодательством ЕАЭС и (или) таможенным законодательством Республики Казахстан;
2) вывоз товаров с территории Республики Казахстан на территорию другого государства - члена ЕАЭС;
3) реализация на территории другого государства - члена ЕАЭС продуктов переработки давальческого сырья, ранее вывезенного с территории Республики Казахстан на территорию государства -члена ЕАЭС для переработки.
Для исчисления рентного налога на экспорт объем нефти сырой и нефтепродуктов сырых определяется в следующем порядке при:
реализации на экспорт нефти сырой и нефтепродуктов сырых за пределы таможенной территории ЕАЭС - как объем нефти сырой и нефтепродуктов сырых, указанный в графе 35 полной декларации на товары, используемый для исчисления сумм таможенных пошлин, иных платежей, взимание которых возложено на таможенные органы, либо иных таможенных целей в соответствии с таможенным законодательством ЕАЭС и (или) таможенным законодательством Республики Казахстан;
реализации на экспорт нефти сырой и нефтепродуктов сырых на территорию другого государства - члена ЕАЭС - как объем нефти сырой и нефтепродуктов сырых, указанный в акте приема-сдачи товаров транспортной организации на территории Республики Казахстан в начале экспортного маршрута поставки таких нефти сырой и нефтепродуктов сырых на экспорт.
Статья 748. Порядок исчисления
1. Налоговой базой для исчисления рентного налога на экспорт по нефти сырой и нефтепродуктам сырым является стоимость экспортируемых нефти сырой и нефтепродуктов сырых, исчисленная исходя из фактически реализуемого на экспорт объема нефти сырой и нефтепродуктов сырых и мировой цены, рассчитанной в порядке, определенном пунктом 3 статьи 776 настоящего Кодекса. При этом для нефти сырой и нефтепродуктов сырых мировая цена определяется исходя из мировой цены сырой нефти.
Для определения мировой цены сырой нефти в целях исчисления рентного налога на экспорт перевод единиц измерения из барреля в метрическую тонну осуществляется на основе средневзвешенного коэффициента баррелизации по следующей формуле:
К барр. ср. = (V1 х К барр.1 + V2 х К барр.2... + Vn х К барр.n)/V общ. реализации, где:
К барр. ср. - средневзвешенный коэффициент баррелизации, рассчитываемый с точностью до четырех знаков после запятой;
V1, V2,... Vn - объемы каждой партии нефти сырой и нефтепродуктов сырых, реализуемых на экспорт за налоговый период;
К барр.1, К барр.2... + К барр.n - коэффициенты баррелизации, указанные в паспорте качества по каждой соответствующей партии, оформленной на основании данных прибора учета пункта сдачи и приема нефти сырой и нефтепродуктов сырых транспортной организации в начале экспортного маршрута на территории Республики Казахстан. При этом коэффициенты баррелизации устанавливаются с учетом фактической плотности и температуры экспортируемых нефти сырой и нефтепродуктов сырых, приведенных к стандартным условиям измерения в соответствии с национальным стандартом, утвержденным уполномоченным органом в сфере стандартизации;
n - количество партий, реализованных на экспорт нефти сырой и нефтепродуктов сырых в налоговом периоде;
V общ. реализации - общий объем реализации на экспорт нефти сырой и нефтепродуктов сырых за налоговый период.
2. Денежная форма уплаты рентного налога на экспорт по сырой нефти, газовому конденсату по решению Правительства Республики Казахстан может быть заменена натуральной формой в порядке, определенном дополнительным соглашением, заключаемым между уполномоченным государственным органом и налогоплательщиком.
Порядок уплаты рентного налога на экспорт по сырой нефти, газовому конденсату в натуральной форме установлен статьей 819 настоящего Кодекса.
Статья 749. Ставки рентного налога на экспорт
При экспорте нефти сырой и нефтепродуктов сырых рентный налог на экспорт исчисляется по следующим ставкам:
|
№ п/п |
Мировая цена |
Ставка, в % |
|
1 |
2 |
3 |
|
1. |
До 20 долларов США за баррель включительно |
0 |
|
2. |
До 30 долларов США за баррель включительно |
0 |
|
3. |
До 40 долларов США за баррель включительно |
0 |
|
4. |
До 50 долларов США за баррель включительно |
7 |
|
5. |
До 60 долларов США за баррель включительно |
11 |
|
6. |
До 70 долларов США за баррель включительно |
14 |
|
7. |
До 80 долларов США за баррель включительно |
16 |
|
8. |
До 90 долларов США за баррель включительно |
17 |
|
9. |
До 100 долларов США за баррель включительно |
19 |
|
10. |
До 110 долларов США за баррель включительно |
21 |
|
11. |
До 120 долларов США за баррель включительно |
22 |
|
12. |
До 130 долларов США за баррель включительно |
23 |
|
13. |
До 140 долларов США за баррель включительно |
25 |
|
14. |
До 150 долларов США за баррель включительно |
26 |
|
15. |
До 160 долларов США за баррель включительно |
27 |
|
16. |
До 170 долларов США за баррель включительно |
29 |
|
17. |
До 180 долларов США за баррель включительно |
30 |
|
18. |
До 190 долларов США за баррель включительно |
32 |
|
19. |
До 200 долларов США за баррель и выше |
32 |
Статья 750. Налоговый период
Налоговым периодом по рентному налогу на экспорт является календарный квартал.
Если даты оформления временной и полной таможенных деклараций на товары приходятся на разные налоговые периоды, то обязательства по уплате рентного налога на экспорт возникают в налоговом периоде, на который приходится период времени, указанный во временной и полной декларациях на товары, в течение которого осуществляется поставка нефти сырой и нефтепродуктов сырых в рамках таможенной процедуры экспорта в соответствии с таможенным законодательством ЕАЭС и (или) таможенным законодательством Республики Казахстан.
Статья 751. Сроки уплаты
Налогоплательщик обязан уплатить в бюджет исчисленную сумму налога не позднее 25 числа второго месяца, следующего за налоговым периодом.
Статья 752. Налоговая декларация
Декларация по рентному налогу на экспорт представляется в налоговый орган по месту нахождения налогоплательщика не позднее 15 числа второго месяца, следующего за налоговым периодом.
РАЗДЕЛ 19. НАЛОГООБЛОЖЕНИЕ НЕДРОПОЛЬЗОВАТЕЛЕЙ
Глава 86. ОБЩИЕ ПОЛОЖЕНИЯ
Статья 753. Отношения, регулируемые настоящим разделом
1. При проведении операций по недропользованию в рамках контрактов на недропользование, заключенных в порядке, определенном законодательством Республики Казахстан, недропользователи уплачивают все налоги и платежи в бюджет, установленные настоящим Кодексом.
2. Настоящий раздел устанавливает порядок исполнения налоговых обязательств по специальным платежам и налогам недропользователей, а также особенности исполнения налоговых обязательств по деятельности, осуществляемой в рамках соглашения (контракта) о разделе продукции.
3. Специальные платежи и налоги недропользователей включают:
1) подписной бонус;
2) платеж по возмещению исторических затрат;
3) альтернативный налог на недропользование;
4) роялти;
5) долю Республики Казахстан по разделу продукции;
6) налог на добычу полезных ископаемых;
7) налог на сверхприбыль.
4. Порядок отнесения месторождения (группы месторождений, части месторождения) углеводородов к категории низкорентабельных, их перечень и порядок налогообложения в части налога на добычу полезных ископаемых определяются Правительством Республики Казахстан.
Критерии отнесения месторождения (группы месторождений по одному контракту на недропользование, части месторождения) твердых видов полезных ископаемых к категории низкорентабельных, а также порядок определения уровня рентабельности и уровня внутренней нормы рентабельности определяются Правительством Республики Казахстан.
5. Исполнение налоговых обязательств по контрактам на добычу или разведку и добычу углеводородов на участке (участках) недр, полностью расположенном (расположенных) в казахстанском секторе Каспийского моря, и (или) участках недр с глубиной верхней точки залежей углеводородов, указанной в горном отводе или контракте на добычу или разведку и добычу углеводородов при отсутствии горного отвода, не выше 4500 метров и нижней точки залежей углеводородов, указанной в горном отводе или контракте на добычу или разведку и добычу углеводородов при отсутствии горного отвода, 5000 метров и ниже может осуществляться путем исчисления и уплаты альтернативного налога на недропользование взамен платежа по возмещению исторических затрат, налога на добычу полезных ископаемых и налога на сверхприбыль.
Статья 754. Особенности исполнения налогового обязательства недропользователями
1. Исчисление налоговых обязательств по налогам и платежам в бюджет по деятельности, осуществляемой в рамках контракта на недропользование, производится в соответствии с налоговым законодательством Республики Казахстан, действующим на момент возникновения обязательств по их уплате, за исключением случаев, указанных в пункте 1 статьи 755 и статье 756 настоящего Кодекса.
2. Недропользователь-нерезидент, осуществляющий деятельность по контракту на недропользование, дополнительно подлежит налогообложению в соответствии со статьями 688 -691 настоящего Кодекса.
3. Исполнение налоговых обязательств по деятельности, осуществляемой в рамках контракта на недропользование, не освобождает недропользователя от исполнения налогового обязательства по осуществлению деятельности, выходящей за рамки контракта на недропользование, в соответствии с налоговым законодательством Республики Казахстан, действующим на дату возникновения налогового обязательства.
4. Физические лица, имеющие право недропользования, исполняют налоговые обязательства по деятельности, осуществляемой в рамках такого права, по специальным платежам и налогам недропользователей и ведению раздельного налогового учета в порядке, определенном для недропользователей -юридических лиц.
Статья 755. Особенности исполнения налогового обязательства отдельными недропользователями
1. Налоговый режим, определенный в соглашении (контракте) о разделе продукции, заключенном между Правительством Республики Казахстан или компетентным органом и недропользователем до 1 января 2009 года и прошедшем обязательную налоговую экспертизу, а также в контракте на недропользование, утвержденном Президентом Республики Казахстан, сохраняется для налогов и платежей в бюджет, в отношении которых в соответствии с положениями такого соглашения (контракта) прямо предусмотрена стабильность налогового режима, действует исключительно в отношении сторон такого соглашения (контракта), а также в отношении операторов в течение всего установленного срока его действия, не распространяется на лиц, не являющихся сторонами такого соглашения (контракта) или операторами, и может быть изменен по взаимному соглашению сторон.
Исполнение налогового обязательства по налогам, подлежащим удержанию у источника выплаты, в отношении которых недропользователь выступает в качестве налогового агента, производится в соответствии с налоговым законодательством Республики Казахстан, действующим на момент возникновения обязательства по их уплате, независимо от наличия в соглашении (контракте) о разделе продукции, заключенном между Правительством Республики Казахстан или компетентным органом и недропользователем до 1 января 2009 года и прошедшем обязательную налоговую экспертизу, и контракте на недропользование, утвержденном Президентом Республики Казахстан, положений, регулирующих порядок обложения налогами, удерживаемыми у источника выплаты.
В случае отмены отдельных видов налогов и платежей в бюджет, предусмотренных налоговым режимом соглашения (контракта) о разделе продукции, заключенного между Правительством Республики Казахстан или компетентным органом и недропользователем до 1 января 2009 года и прошедшего обязательную налоговую экспертизу, а также налоговым режимом контракта на недропользование, утвержденного Президентом Республики Казахстан, недропользователь продолжает производить их уплату в бюджет в порядке и размерах, которые установлены соглашением (контрактом) о разделе продукции и (или) контрактом на недропользование, до окончания срока их действия или внесения соответствующих изменений и дополнений в порядке, определенном законодательством Республики Казахстан.
2. Если определение оператора предусмотрено положениями соглашения (контракта) о разделе продукции, заключенного между Правительством Республики Казахстан или компетентным органом и недропользователем до 1 января 2009 года и прошедшего обязательную налоговую экспертизу, и исполнение налогового обязательства по данному соглашению (контракту) осуществляется оператором, то такой оператор исполняет налоговое обязательство по указанному соглашению (контракту) согласно налоговому режиму, действующему в отношении сторон данного соглашения (контракта) в соответствии с пунктом 1 настоящей статьи.
3. Исполнение налогового обязательства участников простого товарищества (консорциума) в рамках соглашения (контракта) о разделе продукции может быть осуществлено одним из нижеуказанных способов:
1) исполнение налогового обязательства участником простого товарищества (консорциума) осуществляется самостоятельно или оператором от имени и по поручению такого участника только в части обязательства, приходящегося на долю указанного участника. При этом в налоговых формах в качестве налогоплательщика указываются реквизиты участника простого товарищества (консорциума), в качестве уполномоченного представителя -реквизиты оператора;
2) исполнение налогового обязательства участников простого товарищества (консорциума) осуществляется оператором сводно по деятельности, осуществляемой в рамках соглашения (контракта) о разделе продукции, если это предусмотрено положениями соглашения (контракта) о разделе продукции. При этом составление и представление налоговых форм осуществляются оператором в порядке, определенном главой 9 настоящего Кодекса, с указанием в качестве реквизитов налогоплательщика реквизитов оператора.
4. Если в ходе выполнения операций по недропользованию у оператора возникают налоговые обязательства как у налогоплательщика (налогового агента) в соответствии с требованиями налогового законодательства Республики Казахстан, то такие налоговые обязательства исполняются оператором самостоятельно.
Статья 756. Особенности исполнения налогового обязательства по контрактам на разведку и добычу или добычу углеводородов по сложным проектам
1. По контрактам на разведку и добычу или добычу углеводородов по сложным проектам положения пункта 5 статьи 305, пункта 5 статьи 277, пункта 5 статьи 280, подпункта 5) части первой пункта 3 статьи 588, статьи 743, части второй пункта 2 статьи 813 и части второй статьи 814 настоящего Кодекса применяются в соответствии с налоговым законодательством Республики Казахстан, действующим на дату подписания соответствующего контракта на недропользование.
2. В случае отмены налогов, платежей в бюджет, по которым исполнение налоговых обязательств осуществляется в соответствии с пунктом 1 настоящей статьи, недропользователи по контрактам на разведку и добычу или добычу углеводородов по сложным проектам (за исключением газовых проектов на суше) продолжают исполнять налоговые обязательства по соответствующим налогам и платежам в соответствии с налоговым законодательством Республики Казахстан, действующим на дату подписания соответствующего контракта, до окончания срока действия такого контракта или внесения в него соответствующих изменений и дополнений по соглашению сторон.
3. В случае прекращения (в том числе в случае досрочного расторжения) контракта на разведку и добычу или добычу углеводородов по сложным проектам (за исключением газовых проектов на суше) применяются последствия, установленные соответствующим контрактом. При этом недропользователь по таким контрактам не уплачивает суммы налогов, платежей, не уплаченных в бюджет вследствие предоставленных по контракту освобождений, льгот или иных изъятий. После прекращения (в том числе в случае досрочного расторжения) контракта на разведку и добычу или добычу углеводородов по сложным проектам исполнение налоговых обязательств осуществляется в соответствии с налоговым законодательством Республики Казахстан, действующим на дату возникновения налогового обязательства, начиная с налогового периода, следующего за датой прекращения действия такого контракта.
4. Положения пункта 5 статьи 277, пункта 5 статьи 280, пункта 5 статьи 305, подпункта 1) пункта 1 статьи 306, подпункта 5) части первой пункта 3 статьи 588, статьи 743, части второй пункта 2 статьи 813 и части второй статьи 814 настоящего Кодекса применяются недропользователем с даты регистрации контракта на разведку и добычу или добычу углеводородов по сложным проектам, а по контрактам на недропользование, заключенным до 31 декабря 2022 года, - с даты регистрации дополнения к контракту на разведку и добычу или добычу углеводородов, предусматривающего изложение такого контракта в новой редакции в соответствии с типовым контрактом на разведку и добычу или добычу углеводородов по сложным проектам, до истечения двадцати календарных лет с даты начала экспорта полезных ископаемых, добытых в рамках соответствующего контракта на недропользование.
Статья 757. Особенности раздельного налогового учета операций по недропользованию
1. Недропользователь обязан вести раздельный налоговый учет для исчисления налогового обязательства по деятельности, осуществляемой в рамках каждого заключенного контракта на недропользование, а также при разработке низкорентабельного, высоковязкого, обводненного, малодебитного или выработанного месторождения (группы месторождений, части месторождения при условии осуществления деятельности по такой группе месторождений, части месторождения в рамках одного контракта) в случае исчисления по такому месторождению (группе месторождений, части месторождения при условии осуществления деятельности по такой группе месторождений, части месторождения в рамках одного контракта) налогов и платежей в бюджет в порядке и по ставкам, которые отличаются от установленных настоящим Кодексом.
2. Положения настоящей статьи о ведении раздельного налогового учета не распространяются на контракты по разведке и (или) добыче общераспространенных полезных ископаемых, нерудных твердых полезных ископаемых, указанных в строке 13 таблицы, предусмотренной подпунктом 1) пункта 1 статьи 781 настоящего Кодекса, подземных вод, лечебных грязей, а также на строительство и (или) эксплуатацию подземных сооружений, не связанных с разведкой и (или) добычей, за исключением требований по ведению раздельного налогового учета по исчислению и исполнению налогового обязательства по налогу на добычу полезных ископаемых по данным контрактам.
Операции по контрактам на недропользование, указанным в части первой настоящего пункта, являющиеся частью деятельности по контрактам на разведку и (или) добычу углеводородов или твердых полезных ископаемых, подлежат отражению в налоговом учете по соответствующему контракту на разведку и (или) добычу углеводородов или твердых полезных ископаемых с учетом раздельного налогового учета недропользователя. При этом недропользователь обязан отразить в налоговой учетной политике порядок распределения расходов по таким операциям на соответствующие контракты и (или) на внеконтрактную деятельность.
3. Раздельный налоговый учет объектов налогообложения и (или) объектов, связанных с налогообложением, ведется недропользователем на основании данных учетной документации в соответствии с утвержденной налоговой учетной политикой и с учетом положений, установленных настоящей статьей.
Порядок ведения раздельного налогового учета разрабатывается недропользователем самостоятельно и утверждается в налоговой учетной политике (разделе учетной политики).
В случае отсутствия в налоговой учетной политике порядка ведения раздельного налогового учета и (или) несоответствия такого порядка принципам налогообложения налоговые органы в ходе осуществления налогового контроля определяют налоговые обязательства налогоплательщика в соответствии с подпунктом 1) пункта 12 настоящей статьи.
Положения настоящего пункта применяются также в отношении уполномоченного представителя участников простого товарищества (консорциума), ответственного за ведение сводного налогового учета в соответствии с пунктом 2 статьи 216 настоящего Кодекса.
4. По контрактной деятельности раздельный налоговый учет ведется по следующим налогам и платежам в бюджет:
1) корпоративному подоходному налогу;
2) подписному бонусу;
3) платежу по возмещению исторических затрат;
4) налогу на добычу полезных ископаемых;
5) налогу на сверхприбыль;
6) альтернативному налогу на недропользование;
7) иным налогам и платежам в бюджет, которые исчисляются в порядке, отличающемся от установленного настоящим Кодексом, на основании налогового режима контрактов на недропользование, определенных пунктом 1 статьи 755 и статьей 756 настоящего Кодекса.
5. При ведении раздельного налогового учета для исчисления налогового обязательства недропользователь обязан обеспечить:
1) отражение в налоговом учете объектов налогообложения и (или) объектов, связанных с налогообложением, для исчисления налогов и платежей в бюджет, указанных в пункте 4 настоящей статьи, - по каждому контракту на недропользование отдельно от внеконтрактной деятельности;
2) исчисление налогов и платежей в бюджет, не указанных в пункте 4 настоящей статьи, а также корпоративного подоходного налога - в целом по всей деятельности недропользователя;
3) представление налоговой отчетности по налогам и платежам в бюджет, указанным в пункте 4 настоящей статьи, за исключением налоговой отчетности по корпоративному подоходному налогу, -по каждому контракту на недропользование;
4) представление единой декларации по корпоративному подоходному налогу в целом по деятельности недропользователя и соответствующих приложений к ней - по каждому контракту на недропользование;
5) представление налоговой отчетности по налогам и платежам в бюджет, не указанным в пункте 4 настоящей статьи, - в целом по всей деятельности недропользователя.
6. При исчислении корпоративного подоходного налога в целом по деятельности недропользователя не учитываются убытки, понесенные по конкретному контракту на недропользование, которые недропользователь имеет право компенсировать только за счет доходов, полученных от деятельности по такому конкретному контракту на недропользование, в последующие налоговые периоды с учетом положений статьи 339 настоящего Кодекса.
При этом убытки, понесенные недропользователем по лицензии на геологическое изучение недр, могут компенсироваться за счет доходов, полученных от реализации геологической информации в течение пяти последовательных лет со дня ее передачи в уполномоченный орган по изучению недр (срок конфиденциальности) в соответствии с законодательством Республики Казахстан о недрах и недропользовании.
7. В целях ведения раздельного налогового учета доходом по контрактной деятельности является в том числе доход от списания стратегическим партнером обязательства национальной компании по недропользованию или юридического лица, акции (доли участия) которого прямо или косвенно принадлежат такой национальной компании по недропользованию, по инвестиционному финансированию (в том числе по вознаграждению) в соответствии с законодательством Республики Казахстан о недрах и недропользовании.
8. Доходы и расходы налогоплательщика по переработке техногенных минеральных образований учитываются в налоговом учете по внеконтрактной деятельности.
9. Для целей настоящего раздела следующие понятия означают:
1) общие доходы и расходы - доходы и расходы недропользователя отчетного налогового периода, включая доходы и расходы по общим фиксированным активам, которые связаны с осуществлением контрактной и внеконтрактной деятельности и не имеют прямой причинно-следственной связи с конкретным контрактом на недропользование и (или) внеконтрактной деятельностью, и требуют распределения между ними по соответствующей доле;
2) общие фиксированные активы - фиксированные активы, которые связаны с осуществлением контрактной и внеконтрактной деятельности и в силу специфики их использования не имеют прямой причинно-следственной связи с конкретным контрактом на недропользование и (или) внеконтрактной деятельностью;
3) косвенные доходы и расходы - доходы и расходы недропользователя отчетного налогового периода, в том числе доходы и расходы по фиксированным активам, которые имеют прямую причинно-следственную связь с несколькими контрактами на недропользование и подлежат распределению только между такими контрактами на недропользование по соответствующей доле;
4) косвенные фиксированные активы - фиксированные активы, которые в силу специфики их использования имеют прямую причинно-следственную связь только с контрактами на недропользование;
5) производственная себестоимость добычи, первичной переработки (обогащения) минерального сырья, подготовки углеводородов - затраты на производство, определяемые в соответствии с международными стандартами финансовой отчетности и требованиями законодательства Республики Казахстан о бухгалтерском учете и финансовой отчетности, непосредственно связанные с добычей, первичной переработкой (обогащением) минерального сырья, подготовкой углеводородов, за исключением:
затрат по хранению, транспортировке, реализации полезных ископаемых;
прочих затрат, не связанных непосредственно с добычей, первичной переработкой (обогащением) минерального сырья, подготовкой углеводородов;
общеадминистративных расходов, не подлежащих включению в себестоимость запасов в соответствии с международными стандартами финансовой отчетности и требованиями законодательства Республики Казахстан о бухгалтерском учете и финансовой отчетности;
затрат по займам;
6) прямые доходы и расходы - доходы и расходы недропользователя отчетного налогового периода, включая доходы и расходы по фиксированным активам, которые имеют прямую причинно-следственную связь с конкретным контрактом на недропользование или внеконтрактной деятельностью.
10. В целях ведения раздельного налогового учета объектов налогообложения и (или) объектов, связанных с налогообложением, все доходы и расходы недропользователя распределяются на прямые, косвенные и общие.
Классификация доходов и расходов на прямые, косвенные и общие осуществляется недропользователем самостоятельно исходя из специфики деятельности.
Прямые доходы и расходы должны быть отнесены в полном объеме только к той контрактной или внеконтрактной деятельности, с которой они имеют прямую причинно-следственную связь.
Общие доходы и расходы подлежат распределению между контрактной и внеконтрактной деятельностью и в соответствующей доле относятся к доходам и расходам того контракта и внеконтрактной деятельности, с которыми они имеют причинно-следственную связь.
Косвенные доходы и расходы подлежат распределению только между контрактами на недропользование и в соответствующей доле относятся к доходам и расходам того контракта, с которым они имеют причинно-следственную связь.
Распределение общих и косвенных доходов и расходов осуществляется в соответствии с методами, установленными пунктом 12 настоящей статьи, и с учетом положений пункта 11 настоящей статьи.
11. По общим и косвенным фиксированным активам распределению между контрактом (контрактами) на недропользование и внеконтрактной деятельностью подлежат расходы, понесенные недропользователем по данным фиксированным активам, в том числе расходы по амортизации и последующие расходы.
По общим и косвенным расходам по вознаграждениям распределению подлежит общая сумма вычета по таким вознаграждениям, определенная в соответствии со статьей 263 настоящего Кодекса.
Если курсовая разница не может быть отнесена по прямой причинно-следственной связи к контрактной и (или) внеконтрактной деятельности недропользователя, по курсовой разнице распределению подлежит полученный за налоговый период итоговый (сальдированный) результат в виде превышения суммы положительной курсовой разницы над суммой отрицательной курсовой разницы или превышения суммы отрицательной курсовой разницы над суммой положительной курсовой разницы.
Налоги, подлежащие отнесению на вычеты по общим и косвенным объектам налогообложения и (или) объектам, связанным с налогообложением, подлежат распределению в соответствии с методами, установленными пунктом 12 настоящей статьи, без соответствующего распределения самих объектов налогообложения и (или) объектов, связанных с налогообложением.
12. Распределение общих и косвенных доходов и расходов для каждой контрактной деятельности производится недропользователем самостоятельно с учетом специфики деятельности или проведения операций по недропользованию на основании принятых недропользователем в налоговой учетной политике одного или нескольких методов ведения раздельного налогового учета, в том числе:
1) по удельному весу прямых доходов, приходящихся на каждый конкретный контракт на недропользование и внеконтрактную деятельность, в общей сумме прямых доходов, полученных недропользователем за налоговый период;
2) по удельному весу объемов добычи полезных ископаемых по каждому конкретному контракту на недропользование в общем объеме добычи полезных ископаемых по всем контрактам на недропользование налогоплательщика;
3) по удельному весу прямых расходов, приходящихся на каждый конкретный контракт на недропользование и внеконтрактную деятельность, в общей сумме прямых расходов, произведенных недропользователем за налоговый период;
4) по удельному весу расходов, понесенных по одной из следующих статей: прямые производственные расходы, фонд оплаты труда или стоимость фиксированных активов, приходящихся на каждый конкретный контракт на недропользование и внеконтрактную деятельность, в общей сумме расходов по данной статье, произведенных недропользователем за налоговый период;
5) по удельному весу среднесписочной численности работников, участвующих в контрактной деятельности, к общей среднесписочной численности работников недропользователя;
6) по удельному весу объемов утвержденных запасов по каждому контракту на недропользование в общем объеме утвержденных запасов по всем контрактам на недропользование;
7) иных методов.
В отношении разных видов общих и косвенных доходов и расходов могут применяться различные методы их распределения, установленные настоящим пунктом.
По окончании соответствующего налогового периода примененные методы распределения общих и косвенных доходов и расходов не подлежат изменению за указанный налоговый период.
Для более точного распределения общих и (или) косвенных доходов и расходов значение удельного веса, полученное в результате применения одного из вышеуказанных методов, определяется недропользователем в процентах до одной сотой доли (0,01%).
13. Если иное не установлено настоящим пунктом, для целей ведения раздельного налогового учета при исчислении корпоративного подоходного налога недропользователем по контрактной деятельности по каждому отдельному контракту на недропользование доход от реализации добытых углеводородов и (или) минерального сырья, прошедшего только первичную переработку (обогащение), определяется исходя из цены их реализации с учетом соблюдения законодательства Республики Казахстан о трансфертном ценообразовании, но не ниже производственной себестоимости добытых углеводородов (включая подготовку углеводородов), минерального сырья и (или) товарной продукции, полученной в результате подготовки углеводородов или первичной переработки (обогащения) минерального сырья, определяемой в соответствии с международными стандартами финансовой отчетности и требованиями законодательства Республики Казахстан о бухгалтерском учете и финансовой отчетности.
В случае если в соответствии с законодательством Республики Казахстан о газе и газоснабжении сырой газ, в том числе прошедший переработку, приобретается национальным оператором в рамках преимущественного права государства, то доход от реализации такого сырого газа, в том числе прошедшего переработку, определяется недропользователем в соответствии со статьей 239 настоящего Кодекса.
При реализации недропользователем добытой нефти на экспорт в случае если мировая цена нефти на дату реализации такой нефти ниже производственной себестоимости добычи такой нефти, то доход от реализации такой нефти определяется в соответствии со статьей 239 настоящего Кодекса.
В случае передачи добытых углеводородов и (или) минерального сырья, прошедшего первичную переработку (обогащение), для последующей переработки другому юридическому лицу (без перехода права собственности) и (или) структурному или иному технологическому подразделению в рамках одного юридического лица или использования на собственные производственные нужды недропользователь определяет доход по такой операции по фактической производственной себестоимости добычи, включая подготовку углеводородов или первичную переработку (обогащение) минерального сырья, определяемой в соответствии с международными стандартами финансовой отчетности и требованиями законодательства Республики Казахстан о бухгалтерском учете и финансовой отчетности, увеличенной на 20 процентов.
Если сырой газ добывается попутно с нефтью, производственная себестоимость добычи такого сырого газа определяется по следующей формуле:
СР - производственная себестоимость добычи сырого газа, добываемого попутно с нефтью, в рамках контракта на недропользование в текущем налоговом периоде в тенге за тысячу кубических метров;
СF - производственная себестоимость добычи углеводородов, определяемая в соответствии с международными стандартами финансовой отчетности и требованиями законодательства Республики Казахстан о бухгалтерском учете и финансовой отчетности, в рамках контракта на недропользование в текущем налоговом периоде в тенге;
GP1 - объем добычи сырого газа, добываемого попутно с нефтью, в рамках контракта на недропользование в текущем налоговом периоде, по которому международные стандарты финансовой отчетности и требования законодательства Республики Казахстан о бухгалтерском учете и финансовой отчетности предусматривают определение себестоимости в тысячах кубических метрах;
OP - объем добычи нефти в рамках контракта на недропользование в текущем налоговом периоде в тоннах;
0,857 - коэффициент перевода тысячи кубических метров сырого газа, добываемого попутно с нефтью, в тоннах;
r - стоимостный коэффициент, определяемый по формуле:

GP2 - объем добычи сырого газа, добываемого попутно с нефтью, в рамках контракта на недропользование в текущем налоговом периоде в тысячах кубических метрах;
OP - объем добычи нефти в рамках контракта на недропользование в текущем налоговом периоде в тоннах;
AEPG - средневзвешенная экспортная цена товарного газа на границе Республики Казахстан за соответствующий налоговый период, рассчитываемая по данным уполномоченных органов по ведению таможенной статистики внешней торговли и статистики взаимной торговли, за вычетом расходов по транспортировке товарного газа от недропользователя до границы Республики Казахстан, определяемых на основании тарифов в тенге за тысячу кубических метров;
AEPO - средневзвешенная экспортная цена нефти на границе Республики Казахстан за соответствующий налоговый период, рассчитываемая по данным уполномоченных органов по ведению таможенной статистики внешней торговли и статистики взаимной торговли, за вычетом расходов по транспортировке нефти от недропользователя до границы Республики Казахстан, определяемых на основании тарифов в тенге за тонну.
При этом в совокупный годовой доход по внеконтрактной деятельности недропользователя подлежит включению сумма, равная разнице между фактически полученным доходом от реализации продукции, полученной в результате такой последующей переработки, и суммой дохода, включаемого в совокупный годовой доход по контрактной деятельности недропользователя, исчисленной в соответствии с настоящим пунктом.
Для целей настоящего раздела иным технологическим подразделением юридического лица признаются обогатительная фабрика, перерабатывающий, производственный или металлургический цех (завод).
Статья 758. Особенности налогового учета при переоформлении права недропользования на лицензионный режим недропользования
1. В случае переоформления права недропользования с контракта на недропользование на лицензионный режим недропользования в соответствии с законодательством Республики Казахстан о недрах и недропользовании переоформленный контракт на недропользование и полученная взамен его лицензия на недропользование совокупно в целях ведения раздельного налогового учета в налоговом периоде, в котором произошло переоформление контракта на недропользование, рассматриваются как единый контракт на недропользование, а деятельность недропользователя по переоформленному контракту на недропользование и указанного недропользователя в рамках полученной лицензии на недропользование рассматривается как единая контрактная деятельность, по которой ведется единый раздельный налоговый учет.
Если при переоформлении права недропользования взамен контракта на недропользование недропользователю предоставляется две и более лицензий на недропользование, под контрактом на недропользование для налогового периода, в котором произошло переоформление контракта на недропользование, понимаются совокупно часть переоформленного контракта на недропользование, соответствующая перераспределенным в соответствии с пунктами 2 - 7 настоящей статьи на лицензию объектам налогообложения и (или) объектам, связанным с налогообложением, и указанная лицензия на недропользование. Соответственно, деятельность недропользователя в рамках каждой полученной лицензии на недропользование и соответствующая ей часть деятельности указанного недропользователя по переоформленному контракту на недропользование в налоговом периоде, в котором произошло переоформление контракта на недропользование, совокупно рассматриваются как отдельная единая контрактная деятельность, по которой ведется раздельный налоговый учет.
2. При переоформлении права недропользования с контракта на недропользование на лицензионный режим недропользования в соответствии с законодательством Республики Казахстан о недрах и недропользовании объекты налогообложения и (или) объекты, связанные с налогообложением, по переоформленному контракту признаются объектами налогообложения и (или) объектами, связанными с налогообложением, по лицензии, полученной взамен переоформленного контракта, с начала налогового периода, в котором произведено указанное переоформление права недропользования.
Если при переоформлении права недропользования взамен контракта на недропользование недропользователю предоставляется две и более лицензий на недропользование, учитываемые в налоговом учете по переоформляемому контракту на недропользование объекты налогообложения и (или) объекты, связанные с налогообложением, подлежат распределению на полученные лицензии в соответствии с пунктом 3 настоящей статьи с начала налогового периода, в котором произведено указанное переоформление права недропользования, и в дальнейшем учитываются при ведении раздельного налогового учета соответственно по деятельности в рамках каждой лицензии на недропользование.
3. Распределение общих и косвенных доходов и расходов, понесенных недропользователем с начала соответствующего налогового периода до даты переоформления контракта на недропользование на лицензионный режим, осуществляется в соответствии с пунктами 9, 10, 11 и 12 статьи 757 настоящего Кодекса.
При этом налогоплательщик уведомляет налоговый орган не позднее 31 марта года, следующего за годом, в котором произошло переоформление права недропользования, о выбранных методах распределения в соответствии с пунктом 12 статьи 757 настоящего Кодекса, которые не подлежат пересмотру и изменению.
В случае отсутствия такого уведомления в сроки, указанные в части первой пункта 7 настоящей статьи, в целях распределения применяется метод, указанный в подпункте 1) части первой пункта 12 статьи 757 настоящего Кодекса.
4. Распределение стоимостного баланса подгруппы (группы I), группы амортизируемых активов, образованного по переоформляемому контракту на недропользование, а также отдельной группы амортизируемых активов, указанной в статье 305 настоящего Кодекса, осуществляется по состоянию на 1 января года, в котором произведено переоформление права недропользования. При этом амортизируемые активы, включенные в указанный стоимостной баланс подгруппы (группы I), группы амортизируемых активов, должны быть классифицированы на прямые, косвенные и общие в соответствии с пунктами 9 и 12 статьи 757 настоящего Кодекса.
5. Накопленные по состоянию на 1 января года, в котором произведено переоформление права недропользования, средства ликвидационного фонда подлежат распределению на лицензии в соответствии с пунктом 12 статьи 757 настоящего Кодекса и включаются в совокупный годовой доход таких лицензий в году, в котором произведено переоформление такого права недропользования.
6. В случае наличия на начало налогового периода, в котором произведено переоформление контракта на недропользование на лицензионный режим недропользования накопленных с предыдущих налоговых периодов убытков в рамках переоформляемого контракта на недропользование, указанные убытки учитываются в следующем порядке:
в случае получения недропользователем одной лицензии на недропользование -учитываются в налоговом периоде, в котором произведено переоформление контракта на недропользование, и в случае их неполного использования переносятся для погашения за счет налогооблагаемого дохода, полученного от деятельности в рамках указанной лицензии, в пределах срока, определяемого в соответствии со статьей 339 настоящего Кодекса;
в случае получения двух и более лицензий на недропользование - распределяются по состоянию на 1 января года, в котором произведено переоформление контракта на недропользование, с учетом положений пункта 12 статьи 757 настоящего Кодекса и налоговой учетной политики недропользователя на полученные лицензии, учитываются в указанном налоговом периоде в соответствующей части по каждой лицензии и переносятся для их дальнейшего погашения за счет налогооблагаемого дохода, полученного от деятельности в рамках соответствующей лицензии в пределах срока, определяемого в соответствии со статьей 339 настоящего Кодекса.
7. Распределение общих и косвенных стоимостных балансов подгрупп (группы I), групп, указанных в пункте 4 настоящей статьи, накопленных средств в ликвидационном фонде, указанных в пункте 5 настоящей статьи, а также убытков, указанных в пункте 6 настоящей статьи, осуществляется по одному и тому же методу распределения, самостоятельно выбранному недропользователем из методов, предусмотренных подпунктами 1) - 5) пункта 12 статьи 757 настоящего Кодекса, о котором налогоплательщик уведомляет налоговый орган не позднее 31 марта года, следующего за годом, в котором произошло переоформление права недропользования и который не подлежит пересмотру и изменению.
В случае отсутствия такого уведомления в сроки, указанные в части первой настоящего пункта, в целях распределения применяется метод, указанный в подпункте 1) части первой пункта 12 статьи 757 настоящего Кодекса.
Глава 87. ПОДПИСНОЙ БОНУС
Статья 759. Общие положения
Подписной бонус является разовым фиксированным платежом за приобретение права недропользования на контрактной территории (участке недр), а также при расширении контрактной территории (участка недр) в порядке, определенном законодательством Республики Казахстан.
Статья 760. Плательщики
Плательщиком подписного бонуса является лицо, которое в соответствии с законодательством Республики Казахстан о недрах и недропользовании отвечает одному из условий:
1) ставшее победителем конкурса (аукциона) на получение права недропользования;
2) подписавшее протокол прямых переговоров по предоставлению права недропользования;
3) заключившее (получившее) один из следующих контрактов на недропользование:
контракт на разведку;
контракт на добычу полезных ископаемых;
контракт на совмещенную разведку и добычу;
лицензию на геологическое изучение недр;
лицензию на использование пространства недр;
лицензию на старательство.
Лицо, заключившее контракт на основании исключительного права на получение права на добычу в связи с коммерческим обнаружением в рамках контракта на разведку на соответствующей контрактной территории (участке недр), не признается плательщиком подписного бонуса при его уплате при заключении такого контракта на разведку.
Для целей настоящего раздела понятие «конкурс, проводимый в соответствии с законодательством Республики Казахстан о недрах и недропользовании» идентично понятию «аукцион, проводимый в соответствии с законодательством Республики Казахстан о недрах и недропользовании».
Статья 761. Порядок исчисления подписного бонуса
1. Стартовый размер подписного бонуса устанавливается отдельно для каждого заключаемого контракта на недропользование в следующих размерах:
1) для контрактов на разведку:
на территории, на которой отсутствуют утвержденные запасы полезных ископаемых, по:
углеводородам - 2 800-кратный размер месячного расчетного показателя, действующего на дату опубликования условий конкурса или дату подписания протокола прямых переговоров по предоставлению права недропользования в соответствии с законодательством Республики Казахстан о недрах и недропользовании;
твердым полезным ископаемым, за исключением лицензий на разведку твердых полезных ископаемых, старательство и контрактов на разработку техногенных минеральных образований, - 280-кратный размер месячного расчетного показателя, действующего на дату опубликования условий конкурса или дату подписания протокола прямых переговоров по предоставлению права недропользования в соответствии с законодательством Республики Казахстан о недрах и недропользовании;
общераспространенным полезным ископаемым, подземным водам и лечебным грязям - 40-кратный размер месячного расчетного показателя, действующего на дату опубликования условий конкурса или дату подписания протокола прямых переговоров по предоставлению права недропользования в соответствии с законодательством Республики Казахстан о недрах и недропользовании;
на территории, на которой имеются утвержденные запасы полезных ископаемых, - в порядке, определенном подпунктом 2) настоящего пункта для определения стартового размера подписного бонуса для контрактов на добычу, совмещенную разведку и добычу соответствующих полезных ископаемых, по которым запасы утверждены;
2) для контрактов на добычу, совмещенную разведку и добычу:
углеводородов:
если запасы не утверждены, - 3 000-кратный размер месячного расчетного показателя, действующего на дату опубликования условий конкурса или дату подписания протокола прямых переговоров по предоставлению права недропользования в соответствии с законодательством Республики Казахстан о недрах и недропользовании. При этом в случае если право недропользования предоставляется на участок недр, территория которого разделена на блоки в соответствии с законодательством Республики Казахстан о недрах и недропользовании, то стартовый размер подписного бонуса увеличивается за каждый блок, следующий за трехсотым, на 10-кратный размер месячного расчетного показателя, действующего на дату опубликования условий конкурса или дату подписания протокола прямых переговоров по предоставлению права недропользования в соответствии с законодательством Республики Казахстан о недрах и недропользовании;
если запасы утверждены, - по формуле (С х 0,04%) + (Сп х 0,01%), но не менее 10 000-кратного размера месячного расчетного показателя, действующего на дату опубликования условий конкурса или дату подписания протокола прямых переговоров по предоставлению права недропользования в соответствии с законодательством Республики Казахстан о недрах и недропользовании, где:
С - стоимость суммарных запасов углеводородов, утвержденных Государственной комиссией по запасам полезных ископаемых Республики Казахстан, по промышленным категориям A, B, C1.
Сп - суммарная стоимость предварительно оцененных запасов углеводородов категории C2, утвержденных Государственной комиссией по запасам полезных ископаемых Республики Казахстан и (или) принятых к сведению в заключении указанной комиссии для оперативного подсчета запасов потенциально коммерческого объекта и прогнозных ресурсов категории C3.
При этом в случае если право недропользования предоставляется на участок недр, территория которого разделена на блоки в соответствии с законодательством Республики Казахстан о недрах и недропользовании, то стартовый размер подписного бонуса увеличивается за каждый блок, следующий за трехсотым блоком, на 10-кратный размер месячного расчетного показателя, действующего на дату опубликования условий конкурса или дату подписания протокола прямых переговоров по предоставлению права недропользования в соответствии с законодательством Республики Казахстан о недрах и недропользовании;
если право недропользования предоставляется на участок недр, территория которого разделена на блоки, на которых одновременно имеются утвержденные и неутвержденные запасы углеводородов, то стартовый размер подписного бонуса определяется в порядке, определенном настоящим подпунктом для утвержденных и неутвержденных запасов углеводородов соответственно. При этом общая сумма стартового размера подписного бонуса не должна быть менее 10 000-кратного размера месячного расчетного показателя, действующего на дату опубликования условий конкурса или дату подписания протокола прямых переговоров по предоставлению права недропользования в соответствии с законодательством Республики Казахстан о недрах и недропользовании;
для контрактов на добычу минерального сырья и на совмещенную разведку и добычу, за исключением контрактов на разработку техногенных минеральных образований и лицензий на добычу твердых полезных ископаемых, старательство:
если запасы не утверждены, - 500-кратный размер месячного расчетного показателя, действующего на дату опубликования условий конкурса или дату подписания протокола прямых переговоров по предоставлению права недропользования в соответствии с законодательством Республики Казахстан о недрах и недропользовании;
если запасы утверждены, - по формуле (С х 0,01%) + (Сп х 0,005%), но не менее 500-кратного размера месячного расчетного показателя, действующего на дату опубликования условий конкурса или дату подписания протокола прямых переговоров по предоставлению права недропользования в соответствии с законодательством Республики Казахстан о недрах и недропользовании, где:
С - стоимость суммарных запасов минерального сырья по промышленным категориям A, B, C1, утвержденных Государственной комиссией по запасам полезных ископаемых Республики Казахстан;
Сп - суммарная стоимость предварительно оцененных запасов минерального сырья категории C2, утвержденных Государственной комиссией по запасам полезных ископаемых Республики Казахстан и (или) принятых к сведению в заключении указанной комиссии для оперативного подсчета запасов потенциально коммерческого объекта и прогнозных ресурсов;
для контрактов на общераспространенные полезные ископаемые, подземные воды и лечебные грязи - по формуле (С х 0,01%), но не менее 120-кратного размера месячного расчетного показателя, действующего на дату опубликования условий конкурса или дату подписания протокола прямых переговоров по предоставлению права недропользования в соответствии с законодательством Республики Казахстан о недрах и недропользовании;
3) для контрактов на переработку техногенных минеральных образований - по формуле (C1 х 0,01%), но не менее 300-кратного размера месячного расчетного показателя, действующего на дату опубликования условий конкурса или дату подписания протокола прямых переговоров по предоставлению права недропользования в соответствии с законодательством Республики Казахстан о недрах и недропользовании;
4) для контрактов на разведку недр для сброса сточных вод, а также строительство и (или) эксплуатацию подземных сооружений, не связанных с разведкой и (или) добычей (использование пространства недр), - 400-кратный размер месячного расчетного показателя, действующего на дату опубликования условий конкурса или дату подписания протокола прямых переговоров по предоставлению права недропользования в соответствии с законодательством Республики Казахстан о недрах и недропользовании.
2. Стоимость запасов полезных ископаемых определяется:
1) для углеводородов, за исключением сырого газа, указанного в подпункте 2) настоящего пункта, - исходя из среднеарифметического значения котировок цены углеводородов в иностранной валюте в соответствии со статьей 776 настоящего Кодекса на день, предшествующий дню опубликования условий конкурса или дню подписания протокола прямых переговоров по предоставлению права недропользования в соответствии с законодательством Республики Казахстан о недрах и недропользовании, с применением официального курса валюты, установленного на последний календарный день, предшествующий дате уплаты подписного бонуса.
При этом для определения стоимости запасов углеводородов, утвержденных уполномоченным для этих целей государственным органом Республики Казахстан, используется среднеарифметическое значение котировок цены стандартного сорта нефти, указанного в пункте 3 статьи 776 настоящего Кодекса, значение которых на указанную дату является максимальным;
2) для сырого газа по контракту на недропользование, которым предусмотрены обязательства недропользователя о минимальном объеме поставки добытого сырого газа на внутренний рынок Республики Казахстан, по цене, определяемой Правительством Республики Казахстан, - по следующей формуле:
С = V1 х Ц1 + V2 х Ц2, где:
V1 - объем запасов сырого газа по промышленным категориям A, B, B1, утвержденных Государственной комиссией по запасам полезных ископаемых Республики Казахстан, подлежащих реализации на внутреннем рынке Республики Казахстан;
V2 - объем запасов сырого газа по промышленным категориям A, B, C1, за исключением V1, утвержденных Государственной комиссией по запасам полезных ископаемых Республики Казахстан;
Ц1 - цена, определяемая Правительством Республики Казахстан;
Ц2 - среднеарифметическое значение котировок цены сырого газа, определяемое в соответствии с подпунктом 1) настоящего пункта;
СП = V1 х Ц1 + V2 х Ц2, где:
V1 - объем запасов сырого газа категории C2, утвержденных Государственной комиссией по запасам полезных ископаемых Республики Казахстан и (или) принятых к сведению в заключении указанной комиссии для оперативного подсчета запасов потенциально коммерческого объекта и прогнозных ресурсов категории C3, подлежащих реализации на внутреннем рынке Республики Казахстан;
V2 - объем запасов сырого газа категории C2, утвержденных Государственной комиссией по запасам полезных ископаемых Республики Казахстан и (или) принятых к сведению в заключении указанной комиссии для оперативного подсчета запасов потенциально коммерческого объекта и прогнозных ресурсов категории C3, за исключением V1;
Ц1 - цена, определяемая Правительством Республики Казахстан;
Ц2 - среднеарифметическое значение котировок цены сырого газа, определяемое в соответствии с подпунктом 1) настоящего пункта;
3) для полезных ископаемых, указанных в подпунктах 1) и 2) пункта 2 статьи 780 настоящего Кодекса, - исходя из среднеарифметического значения котировок цены полезного ископаемого в иностранной валюте в соответствии со статьей 780 настоящего Кодекса на день, предшествующий дню опубликования условий конкурса или дню подписания протокола прямых переговоров по предоставлению права недропользования в соответствии с законодательством Республики Казахстан о недрах и недропользовании, с применением официального курса валюты, установленного на последний календарный день, предшествующий дате уплаты подписного бонуса.
В случае, когда за день, предшествующий дню опубликования условий конкурса или дню подписания протокола прямых переговоров, не опубликованы официальные котировки цен на соответствующие виды полезных ископаемых, используются официальные котировки цен последнего дня, за который ранее были опубликованы такие котировки цен.
В случае, если на полезные ископаемые не установлена биржевая цена, стартовый размер подписного бонуса для контрактов на добычу соответствующих видов полезных ископаемых устанавливается в минимальных размерах, установленных подпунктами 2) и 3) пункта 1 настоящей статьи.
3. Стартовый размер подписного бонуса до проведения конкурса на получение права недропользования может быть увеличен по решению конкурсной комиссии компетентного органа.
4. Окончательный размер подписного бонуса в сумме не ниже стартового устанавливается решением конкурсной комиссии по результатам проведенного конкурса на получение права недропользования или компетентным органом по результатам проведения прямых переговоров с недропользователем и включается в контракт на недропользование.
5. При расширении контрактной территории (участка недр) размер подписного бонуса определяется в следующем порядке:
1) если на расширяемой контрактной территории (участке недр) утверждены запасы полезных ископаемых, - в зависимости от вида полезного ископаемого в порядке, определенном пунктами 1 и 2 настоящей статьи в отношении объемов таких запасов;
2) если на расширяемой контрактной территории (участке недр) не утверждены запасы полезных ископаемых как произведение коэффициента расширения контрактной территории (участка недр) и первоначальной суммы подписного бонуса по данному контракту. Коэффициент расширения контрактной территории (участка недр) рассчитывается с точностью до четырех знаков после запятой как отношение размера площади, на которую расширяется контрактная территория (участок недр), к первоначальному размеру площади контрактной территории (участка недр).
При этом в случае, если значение коэффициента расширения контрактной территории (участка недр) превышает 0,1 независимо от количества случаев ее расширения, к размеру подписного бонуса, приходящемуся на такое превышение, применяется коэффициент 3.
6. Порядок исчисления подписного бонуса, установленный настоящей статьей, применяется к лицензиям на разведку или добычу твердых полезных ископаемых, выдаваемым по результатам аукциона.
Статья 762. Особенности исчисления подписного бонуса по лицензиям на недропользование, за исключением лицензий, выдаваемых по результатам аукциона
Сумма подписного бонуса по лицензии на недропользование, за исключением лицензии, выдаваемой по результатам аукциона, исчисляется исходя из ставки, выраженной в размере месячного расчетного показателя, действующего на дату уплаты подписного бонуса:
|
№ п/п |
Наименование |
Ставка в МРП |
|
1 |
2 |
3 |
|
1. |
Лицензия на разведку |
100 |
|
2. |
Лицензия на добычу |
200 |
|
3. |
Лицензия на старательство: |
|
|
3.1. |
при площади предоставленной территории до 17 000 м2 |
9 |
|
3.2. |
при площади предоставленной территории от 17 000 м2 до 33 000 м2 |
12 |
|
3.3. |
при площади предоставленной территории от 33 000 м2 до 50 000 м2 |
15 |
|
4. |
Лицензия на геологическое изучение недр |
50 |
|
5. |
Лицензия на использование пространства недр |
400 |
Статья 763. Налоговый период
Налоговым периодом по подписному бонусу является календарный квартал, в котором наступил срок уплаты подписного бонуса.
Статья 764. Сроки уплаты подписного бонуса
Если иное не установлено настоящей статьей, подписной бонус уплачивается в бюджет по месту нахождения налогоплательщика не позднее двадцати рабочих дней:
- с даты объявления налогоплательщика победителем конкурса или даты подписания протокола прямых переговоров по предоставлению права недропользования в соответствии с законодательством Республики Казахстан;
- с даты внесения изменений в контракт на недропользование о расширении контрактной территории (участка недр);
- с даты получения письменного разрешения на право недропользования на разведку или добычу общераспространенных полезных ископаемых, используемых при строительстве (реконструкции) и ремонте автомобильных дорог общего пользования, железных дорог и гидросооружений;
- с даты получения разрешения на добычу подземных вод.
2. Подписной бонус по лицензиям на недропользование, за исключением лицензий, выдаваемых по результатам аукциона, уплачивается в бюджет по месту нахождения налогоплательщика не позднее десяти рабочих дней со дня выдачи такой лицензии.
Статья 765. Налоговая декларация
Декларация по подписному бонусу представляется плательщиком подписного бонуса в налоговый орган по месту нахождения не позднее 15 числа второго месяца, следующего за налоговым периодом.
Глава 88. ПЛАТЕЖ ПО ВОЗМЕЩЕНИЮ ИСТОРИЧЕСКИХ ЗАТРАТ
Статья 766. Общие положения
Платеж по возмещению исторических затрат является фиксированным платежом недропользователя по возмещению суммарных затрат, понесенных государством на геологическое изучение контрактной территории (участка недр) и разведку месторождений до заключения контракта на недропользование.
Статья 767. Плательщики
1. Если иное не установлено пунктом 2 настоящей статьи, плательщиками платежа по возмещению исторических затрат являются недропользователи, осуществляющие деятельность в рамках контракта на недропользование, по месторождениям полезных ископаемых, по которым государство понесло затраты на геологическое изучение контрактной территории (участка недр) и разведку месторождений до заключения контракта на недропользование.
2. Не является плательщиком платежа по возмещению исторических затрат недропользователь, осуществляющий деятельность в рамках лицензии на разведку или добычу твердых полезных ископаемых, при одновременном соблюдении следующих условий:
лицензия на разведку или добычу твердых полезных ископаемых выдана после 31 декабря 2017 года в соответствии с законодательством Республики Казахстан о недрах и недропользовании;
территория, на которую предоставлена лицензия на разведку или добычу твердых полезных ископаемых, не относится к территории, на которую до 1 января 2018 года предоставлялось право недропользования по контрактам на недропользование в соответствии с законодательством Республики Казахстан о недрах и недропользовании.
Статья 768. Порядок установления платежа по возмещению исторических затрат
1. Сумма исторических затрат, понесенных государством на геологическое изучение контрактной территории (участка недр) и разведку месторождений, рассчитывается уполномоченным органом по изучению недр и подлежит уплате в бюджет:
1) в виде платежа по возмещению исторических затрат в размере, установленном соглашением о конфиденциальности, за минусом платы за приобретение геологической информации, находящейся в государственной собственности;
2) в виде платы за приобретение геологической информации, находящейся в государственной собственности, в размере, установленном соглашением о конфиденциальности.
2. Обязательство по платежу по возмещению исторических затрат возникает с даты заключения соглашения о конфиденциальности между недропользователем и уполномоченным органом по изучению недр, а по контрактам на недропользование, включая соглашения о разделе продукции, заключенным до 1 января 2009 года, по которым по состоянию на 1 января 2009 года не заключены соответствующие соглашения о конфиденциальности, но должны быть заключены по условиям контракта на недропользование, - с даты заключения соглашения о конфиденциальности с уполномоченным органом по изучению недр.
Статья 769. Порядок и сроки уплаты
1. Платеж по возмещению исторических затрат уплачивается недропользователем с начала добычи на контрактной территории (участке) и наступления наиболее ранней из следующих дат:
объявление коммерческого обнаружения;
переход на период (этап) добычи в соответствии с законодательством Республики Казахстан о недрах и недропользовании;
выдача лицензии на добычу полезных ископаемых;
заключение контракта на добычу полезных ископаемых.
Уплата платежа по возмещению исторических затрат осуществляется в бюджет по месту нахождения недропользователя в следующем порядке:
1) если общий размер платежа по возмещению исторических затрат, понесенных государством на геологическое изучение контрактной территории (участка недр) и разведку месторождений, составляет сумму, равную или менее 10 000-кратного размера месячного расчетного показателя, действующего на дату заключения соглашения о конфиденциальности, платеж по возмещению исторических затрат уплачивается не позднее 10 апреля года, следующего за годом, в котором недропользователь приступил к добыче полезных ископаемых;
2) если общий размер платежа по возмещению исторических затрат, понесенных государством на геологическое изучение контрактной территории (участка недр) и разведку месторождений, составляет сумму, превышающую 10 000-кратный размер месячного расчетного показателя, действующего на дату заключения соглашения о конфиденциальности, платеж по возмещению исторических затрат уплачивается недропользователем ежеквартально не позднее 25 числа второго месяца, следующего за отчетным кварталом, равными долями в течение периода продолжительностью, не превышающей срок действия контракта на недропользование, но не более десяти лет в сумме, эквивалентной сумме не менее 2 500-кратного размера месячного расчетного показателя, действующего на дату заключения соглашения о конфиденциальности, за исключением суммы последней доли, которая может быть менее суммы, эквивалентной сумме 2 500-кратного размера месячного расчетного показателя, действующего на дату заключения соглашения о конфиденциальности.
По контрактам на недропользование, заключенным до 1 января 2009 года, по которым недропользователь приступил к добыче полезных ископаемых до 1 января 2009 года, если не возмещенная в бюджет по состоянию на 1 января 2009 года сумма исторических затрат составляет сумму, превышающую 10 000-кратный размер месячного расчетного показателя, установленного на 1 января 2009 года законом о республиканском бюджете, платеж по возмещению исторических затрат уплачивается недропользователем ежеквартально, не позднее 25 числа второго месяца, следующего за отчетным кварталом, равными долями в течение периода продолжительностью, не превышающей срок действия контракта на недропользование, но не более десяти лет в сумме, эквивалентной сумме не менее 2 500-кратного размера месячного расчетного показателя, установленного на 1 января 2009 года законом о республиканском бюджете, за исключением суммы последней доли, которая может быть менее суммы, эквивалентной сумме 2 500-кратного размера месячного расчетного показателя, установленного на 1 января 2009 года законом о республиканском бюджете.
2. Если сумма исторических затрат, понесенных государством на геологическое изучение контрактной территории (участка недр) и разведку месторождений, установлена уполномоченным органом по изучению недр в иностранной валюте, то:
1) в целях определения общего размера платежа в тенге для установления порядка уплаты платежа в соответствии с настоящей статьей сумма исторических затрат, рассчитанная уполномоченным для этих целей государственным органом Республики Казахстан, пересчитывается в тенге по рыночному курсу обмена валюты, определенному в последний рабочий день, предшествующий 1 числу отчетного квартала, в котором недропользователем была начата добыча после коммерческого обнаружения, а по контрактам на недропользование, заключенным до 1 января 2009 года, по которым недропользователь приступил к добыче полезных ископаемых до 1 января 2009 года, - не возмещенная в бюджет по состоянию на 1 января 2009 года сумма исторических затрат пересчитывается в тенге по официальному курсу валюты, установленному на последний календарный день, предшествующий 1 января 2009 года;
2) в целях равномерного распределения не возмещенной в бюджет суммы исторических затрат в иностранной валюте на суммы ежеквартальных платежей, подлежащие уплате в соответствии с частью первой подпункта 2) пункта 1 настоящей статьи, указанная сумма исторических затрат пересчитывается на начало каждого календарного года в тенге по официальному курсу валюты, установленному на последний календарный день, предшествующий 1 января такого календарного года.
3. По контрактам на недропользование на проведение разведки месторождений полезных ископаемых, не предусматривающим последующей их добычи, платеж по возмещению исторических затрат не уплачивается.
Статья 770. Налоговая декларация
1. Если общий размер платежа по возмещению исторических затрат, понесенных государством на геологическое изучение контрактной территории (участка недр) и разведку месторождений, составляет сумму, равную или менее 10 000-кратного размера месячного расчетного показателя, действующего на дату заключения соглашения о конфиденциальности, то декларация представляется недропользователем в налоговый орган по месту нахождения не позднее 31 марта года, следующего за годом, в котором недропользователь приступил к добыче полезных ископаемых.
2. Если общий размер платежа по возмещению исторических затрат, понесенных государством на геологическое изучение контрактной территории (участка недр) и разведку месторождений, составляет сумму, превышающую 10 000-кратный размер месячного расчетного показателя, действующего на дату заключения соглашения о конфиденциальности, то декларация представляется недропользователем в налоговый орган по месту нахождения ежеквартально не позднее 15 числа второго месяца, следующего за отчетным кварталом.
По контрактам на недропользование, заключенным до 1 января 2009 года, по которым недропользователь приступил к добыче полезных ископаемых до 1 января 2009 года, если не возмещенная в бюджет по состоянию на 1 января 2009 года сумма исторических затрат составляет сумму, превышающую 10 000-кратный размер месячного расчетного показателя, установленного на 1 января 2009 года законом о республиканском бюджете, то декларация представляется недропользователем в налоговый орган по месту нахождения ежеквартально не позднее 15 числа второго месяца, следующего за отчетным кварталом.
Глава 89. НАЛОГ НА ДОБЫЧУ ПОЛЕЗНЫХ ИСКОПАЕМЫХ
Статья 771. Общие положения
1. Налог на добычу полезных ископаемых уплачивается недропользователем отдельно по каждому виду добываемых на территории Республики Казахстан минерального сырья, углеводородов, подземных вод и лечебных грязей.
2. Налог на добычу полезных ископаемых по всем видам добываемых минерального сырья, углеводородов, подземных вод и лечебных грязей вне зависимости от вида проводимой добычи уплачивается по ставкам и в порядке, которые установлены настоящей главой.
3. Если иное не установлено настоящим пунктом, в целях исчисления налога на добычу полезных ископаемых из общего объема добытых за налоговый период углеводородов, минерального сырья, подземных вод и лечебных грязей подлежит исключению объем углеводородов, минерального сырья, подземных вод и лечебных грязей, переданных для проведения технологического опробования и исследований. Объем углеводородов, минерального сырья, подземных вод и лечебных грязей, передаваемых для технологического опробования и исследований, ограничивается минимальной массой технологических проб, указанных в национальных стандартах для соответствующих видов (сортов) углеводородов, минерального сырья, подземных вод и лечебных грязей.
При этом исключение объема углеводородов, минерального сырья, подземных вод и лечебных грязей, переданных для проведения технологического опробования и исследований, из вышеуказанного общего объема добычи не производится в случае их реализации, в том числе после первичной переработки (обогащения), а также при их переработке.
Статья 772. Особенности уплаты
1. Налог на добычу полезных ископаемых уплачивается в денежной форме, за исключением случая, предусмотренного пунктом 2 настоящей статьи.
2. В ходе осуществления деятельности по контракту на недропользование денежная форма выплаты налога на добычу полезных ископаемых по решению Правительства Республики Казахстан может быть заменена натуральной формой в порядке, определенном дополнительным соглашением, заключаемым между уполномоченным государственным органом и недропользователем.
Порядок уплаты в натуральной форме налога на добычу полезных ископаемых, установленного настоящим Кодексом, а также роялти и доли Республики Казахстан по разделу продукции, установленных контрактами на недропользование, указанными в пункте 1 статьи 755 настоящего Кодекса, установлен главой 93 настоящего Кодекса.
Статья 773. Плательщики
Если иное не установлено пунктом 1 статьи 791 настоящего Кодекса, плательщиками налога на добычу полезных ископаемых являются недропользователи, осуществляющие добычу углеводородов, минерального сырья, подземных вод и лечебных грязей, включая извлечение полезных ископаемых из техногенных минеральных образований, по которым не уплачен налог на добычу полезных ископаемых, в рамках каждого отдельного заключенного контракта на недропользование, за исключением недропользователей, осуществляющих деятельность исключительно в рамках лицензии на старательство.
Параграф 1. Налог на добычу полезных ископаемых на углеводороды
Статья 774. Объект обложения
1. Объектом обложения налогом на добычу полезных ископаемых является физический объем добытых недропользователем за налоговый период углеводородов.
2. В целях исчисления налога на добычу полезных ископаемых общий объем добытых недропользователем за налоговый период углеводородов подразделяется на:
1) нефть, реализованную для переработки на нефтеперерабатывающий завод, расположенный на территории Республики Казахстан, - объем нефти, добытой недропользователем в рамках каждого отдельного контракта на недропользование за налоговый период и реализованной недропользователем на нефтеперерабатывающий завод, расположенный на территории Республики Казахстан, либо третьему лицу для последующей реализации на нефтеперерабатывающий завод, расположенный на территории Республики Казахстан;
2) нефть, переданную для переработки в качестве давальческого сырья на нефтеперерабатывающий завод, расположенный на территории Республики Казахстан, - объем нефти, добытой недропользователем в рамках каждого отдельного контракта на недропользование за налоговый период и переданной недропользователем в качестве давальческого сырья для переработки на нефтеперерабатывающий завод, расположенный на территории Республики Казахстан, либо реализованной третьему лицу для последующей передачи в качестве давальческого сырья для переработки на нефтеперерабатывающий завод, расположенный на территории Республики Казахстан;
3) нефть, использованную недропользователем на собственные производственные нужды, - объем нефти, добытой недропользователем в рамках каждого отдельного контракта на недропользование за налоговый период, использованной на собственные производственные нужды в течение налогового периода;
4) нефть, переданную недропользователем в натуральной форме в счет уплаты налога на добычу полезных ископаемых, рентного налога на экспорт, роялти и доли Республики Казахстан по разделу продукции получателю от имени государства в соответствии с главой 93 настоящего Кодекса;
5) сырой газ, реализованный на внутреннем рынке Республики Казахстан и (или) использованный на собственные производственные нужды.
Для целей настоящей главы сырым газом, реализованным на внутреннем рынке Республики Казахстан, также признается сырой газ, использованный для производства товарного газа.
Если иное не установлено настоящим подпунктом, в целях настоящего раздела сырым газом, использованным на собственные производственные нужды, признается сырой газ, в том числе прошедший переработку, добытый недропользователем в рамках контракта на недропользование и использованный в рамках данного контракта в соответствии с утвержденными уполномоченным органом в области углеводородов документами:
при проведении операций по недропользованию в качестве топлива при подготовке углеводородов;
для технологических и коммунально-бытовых нужд;
для подогрева нефти на устье скважин и при транспортировке нефти от места добычи и хранения до места перевалки в магистральный трубопровод и (или) на другой вид транспорта в соответствии с утвержденными проектными документами;
для выработки электроэнергии, используемой при проведении операций по недропользованию;
для обратной закачки в недра в объеме, предусмотренном утвержденными проектными документами, за исключением случаев обратной закачки в недра, предусмотренных пунктом 5 настоящей статьи;
в целях газлифтного (механизированного) способа эксплуатации добывающих нефтяных скважин в объемах, предусмотренных утвержденными уполномоченным органом в области углеводородов проектными документами.
Сырым газом, использованным на собственные производственные нужды, признается также сырой газ, добытый недропользователем в рамках контракта на недропользование и использованный для обратной закачки в недра в целях поддержания пластового давления в нефтегазовых зонах в рамках другого контракта на недропользование данного недропользователя в объеме, предусмотренном утвержденными проектными документами;
6) попутный газ, использованный для производства сжиженного нефтяного газа в объеме, приходящемся на сжиженный нефтяной газ, реализованный на внутреннем рынке Республики Казахстан. При этом такой объем сжиженного нефтяного газа утверждается уполномоченным органом в области углеводородов и является обязательным для реализации на внутреннем рынке Республики Казахстан в соответствии с законодательством Республики Казахстан о газе и газоснабжении;
7) сырой газ, использованный недропользователем - субъектом промышленно-инновационной деятельности, осуществление которой предусмотрено Законом Республики Казахстан «О промышленной политике».
Если иное не установлено настоящим подпунктом, в целях настоящего раздела сырым газом, использованным недропользователем - субъектом промышленно-инновационной деятельности, осуществление которой предусмотрено Законом Республики Казахстан «О промышленной политике», признается сырой газ, в том числе прошедший переработку до состояния товарного газа;
8) сырой газ, сжигаемый в факелах, в случаях, предусмотренных законодательством Республики Казахстан о недрах и недропользовании;
9) товарные углеводороды - общий объем добытых недропользователем за налоговый период в рамках каждого отдельного контракта на недропользование углеводородов за вычетом объемов нефти, сырого газа и попутного газа, указанных в подпунктах 1) - 8) настоящего пункта, если иное не установлено настоящей статьей.
3. Объемом сырого газа, использованного на собственные производственные нужды, и (или) попутного газа, использованного для производства сжиженного нефтяного газа, в соответствии с подпунктами 5) и 6) пункта 2 настоящей статьи признается фактический объем такого использованного природного и (или) попутного газа в пределах объемов, указанных в утвержденных уполномоченным органом в области углеводородов документах.
4. Объемом сырого газа, сжигаемого в факелах, признается объем сырого газа, фактически сжигаемый недропользователем в факелах в период разведки в пределах объема сырого газа, разрешенного к сжиганию в факелах в соответствии с законодательством Республики Казахстан о недрах и недропользовании.
5. Для подтверждения указанных в подпункте 1) пункта 2 настоящей статьи реализации на нефтеперерабатывающий завод, расположенный на территории Республики Казахстан, либо третьему лицу для последующей реализации на нефтеперерабатывающий завод, расположенный на территории Республики Казахстан, и подпункте 2) пункта 2 настоящей статьи передачи в качестве давальческого сырья для переработки на нефтеперерабатывающий завод, расположенный на территории Республики Казахстан, либо реализации третьему лицу для последующей передачи в качестве давальческого сырья для переработки на нефтеперерабатывающий завод, расположенный на территории Республики Казахстан, недропользователь обязан иметь оригиналы коммерческих и товаросопроводительных документов или их нотариально засвидетельствованные копии, подтверждающие физический объем и факт приемки нефтеперерабатывающим заводом, расположенным на территории Республики Казахстан, соответствующего объема нефти, а для подтверждения указанной в подпункте 1) пункта 2 настоящей статьи реализации на нефтеперерабатывающий завод, расположенный на территории Республики Казахстан, либо третьему лицу для последующей реализации на нефтеперерабатывающий завод, расположенный на территории Республики Казахстан, - также оригиналы документов или их нотариально засвидетельствованные копии, подтверждающие фактическую покупную цену нефтеперерабатывающего завода, расположенного на территории Республики Казахстан, для соответствующего объема.
При отсутствии таких оригиналов документов или их нотариально засвидетельствованных копий соответствующий объем нефти рассматривается для целей исчисления налога на добычу полезных ископаемых как товарные углеводороды.
6. Налог на добычу полезных ископаемых не уплачивается по сырому газу в объеме, закачиваемом обратно в недра с целью увеличения коэффициента извлекаемости нефти, предусмотренном утвержденными проектными документами.
Статья 775. Налоговая база
Налоговой базой для исчисления налога на добычу полезных ископаемых является стоимость объема добытых за налоговый период углеводородов.
Статья 776. Порядок определения стоимости углеводородов
1. В целях исчисления налога на добычу полезных ископаемых стоимость добытой за налоговый период нефти определяется в следующем порядке:
1) при реализации недропользователем на нефтеперерабатывающий завод, расположенный на территории Республики Казахстан, либо третьему лицу для последующей реализации на нефтеперерабатывающий завод, расположенный на территории Республики Казахстан, - как произведение фактического объема реализованной недропользователем на нефтеперерабатывающий завод, расположенный на территории Республики Казахстан, либо третьему лицу для последующей реализации на нефтеперерабатывающий завод, расположенный на территории Республики Казахстан, нефти и фактической покупной цены нефтеперерабатывающего завода, расположенного на территории Республики Казахстан, за единицу продукции;
2) при передаче недропользователем в качестве давальческого сырья для переработки на нефтеперерабатывающий завод, расположенный на территории Республики Казахстан, либо реализации третьему лицу для последующей передачи в качестве давальческого сырья для переработки на нефтеперерабатывающий завод, расположенный на территории Республики Казахстан, и (или) использовании недропользователем на собственные производственные нужды - как произведение фактического объема переданной недропользователем в качестве давальческого сырья для переработки на нефтеперерабатывающий завод, расположенный на территории Республики Казахстан, либо реализованной третьему лицу для последующей передачи в качестве давальческого сырья на нефтеперерабатывающий завод, расположенный на территории Республики Казахстан, и (или) использованной недропользователем на собственные производственные нужды нефти и производственной себестоимости добычи, включая подготовку, единицы продукции, определяемой в соответствии с международными стандартами финансовой отчетности и требованиями законодательства Республики Казахстан о бухгалтерском учете и финансовой отчетности, увеличенной на 20 процентов;
3) при передаче недропользователем нефти в натуральной форме в счет уплаты налога на добычу полезных ископаемых, рентного налога на экспорт, роялти и доли Республики Казахстан по разделу продукции получателю от имени государства - как произведение фактического объема переданной недропользователем нефти в натуральной форме в счет уплаты налога на добычу полезных ископаемых, рентного налога на экспорт, роялти и доли Республики Казахстан по разделу продукции получателю от имени государства в соответствии с главой 93 настоящего Кодекса и цены передачи, установленной в порядке, определенном Правительством Республики Казахстан.
2. Стоимость товарных углеводородов, добытых недропользователем в рамках каждого отдельного контракта на недропользование за налоговый период, определяется как произведение объема добытых товарных углеводородов и мировой цены за единицу продукции, рассчитанной за налоговый период в порядке, определенном пунктами 3 и 4 настоящей статьи.
3. Мировая цена нефти определяется как произведение среднеарифметического значения ежедневных котировок цен за налоговый период и среднеарифметического официального курса валюты за соответствующий налоговый период по нижеприведенной формуле.
Для целей настоящего пункта котировка цены означает котировку цены нефти в иностранной валюте каждого в отдельности стандартного сорта нефти «Юралс Средиземноморье (Urals Med - CIF Augusta)», «Kazakh Export Blend Crude Oil (Kebco -CIF Augusta)» или «North Sea Dated/Датированный Брент (Brent Dtd)» в налоговом периоде на основании информации, публикуемой в источнике «Argus Crude» компании «Argus Media Ltd».
При отсутствии информации о ценах на указанные стандартные сорта сырой нефти в данном источнике используются цены на указанные стандартные сорта сырой нефти:
по данным источника «Crude Oil Market Wire Basic Service» компании «S&P Global Inc. (S&P Global CommodityInsights)»;
при отсутствии информации о ценах на указанные стандартные сорта сырой нефти в вышеуказанных источниках - по данным других источников, определяемых законодательством Республики Казахстан о трансфертном ценообразовании.
Для определения мировой цены нефти перевод единиц измерения из барреля в метрическую тонну с учетом фактической плотности и температуры добытой нефти, приведенных к стандартным условиям измерения и указанных в паспорте качества нефти, производится в соответствии с национальным стандартом, утвержденным уполномоченным органом в сфере стандартизации.
При этом для целей исчисления налога на добычу полезных ископаемых перевод единиц измерения из метрической тонны в баррель осуществляется на основе средневзвешенного коэффициента баррелизации по следующей формуле:
К барр. ср.взв. = (V тонн 1 × К барр.1 + V тонн 2... × К барр.2... + V тонн n × К барр.n) / V тонн Σ, где:
К барр. ср.взв. - средневзвешенный коэффициент баррелизации, рассчитываемый с точностью до четырех знаков после запятой;
V тонн - объемы каждой добытой партии нефти;
К барр.1, К барр.2... + К барр.n - коэффициенты баррелизации, указанные в паспорте качества по каждой соответствующей партии добытой нефти;
V тонн Σ - общий объем добытой за налоговый период нефти, выраженный в метрических тоннах.
Мировая цена нефти определяется по следующей формуле:
где:
S - мировая цена нефти за налоговый период;
P1, P2..., Рn - ежедневная среднеарифметическая котировка цен в дни, за которые опубликованы котировки цен в течение налогового периода;
E - среднеарифметический официальный курс обмена валюты за соответствующий налоговый период;
n - количество дней в налоговом периоде, за которые опубликованы котировки цен.
Ежедневная среднеарифметическая котировка цен определяется по формуле:
где:
Рn - ежедневная среднеарифметическая котировка цен;
Cn1 - низшее значение (min) ежедневной котировки нефти «Юралс Средиземноморье (Urals Med - CIF Augusta)», «Kazakh Export Blend Crude Oil (Kebco - CIF Augusta)» или «North Sea Dated/Датированный Брент (Brent Dtd)»;
Сn2 - высшее значение (max) ежедневной котировки «Юралс Средиземноморье (Urals Med - CIF Augusta)», «Kazakh Export Blend Crude Oil (Kebco - CIF Augusta)» или «North Sea Dated/ Датированный Брент (Brent Dtd)».
Применение котировок нефти «Юралс Средиземноморье (Urals Med - CIF Augusta)», «Kazakh Export Blend Crude Oil (Kebco - CIF Augusta)» или «North Sea Dated/Датированный Брент (Brent Dtd)» производится недропользователем на основании договоров на поставку нефти в следующем порядке:
1) в случае, когда в договоре на поставку указан стандартный сорт нефти Urals или котировка «Kazakh Export Blend Crude Oil (Kebco)» - применяется котировка нефти «Юралс Средиземноморье (Urals Med - CIF Augusta)», «Kazakh Export Blend Crude Oil (Kebco - CIF Augusta)», мировая цена по которой за налоговый период является максимальной;
2) в случае, когда в договоре на поставку указан стандартный сорт нефти Brent, - применяется котировка «North Sea Dated/ Датированный Брент (Brent Dtd)».
В случае, когда в договоре на поставку указан сорт нефти, не относящийся к вышеуказанным стандартным сортам, недропользователь обязан отнести объем нефти, поставленной по такому договору, к тому стандартному сорту нефти, мировая цена по которому за налоговый период является максимальной.
4. Мировая цена на сырой газ определяется как произведение среднеарифметического значения ежедневных котировок цен в иностранной валюте за налоговый период с учетом перевода международных единиц измерения в кубический метр в соответствии с утвержденным коэффициентом и среднеарифметического официального курса валюты за соответствующий налоговый период по нижеприведенной формуле.
Для целей настоящего пункта котировка цены означает котировку цены природного газа «Zeebrugge Day-Ahead» в иностранной валюте в налоговом периоде на основании информации, публикуемой в источнике «Platts European Gas Daily» компании «The Mcgraw-Hill Companies Inc».
При отсутствии информации о цене на природный газ «Zeebrugge Day-Ahead» в данном источнике используется цена на природный газ «Zeebrugge Day-Ahead»:
1) по данным источника «Argus European Natural Gas» компании «Argus Media Ltd»;
2) при отсутствии информации о цене на природный газ «Zeebrugge Day-Ahead» в вышеуказанных источниках - по данным других источников, определяемых законодательством Республики Казахстан о трансфертном ценообразовании.
Мировая цена сырого газа определяется по следующей формуле:
где:
S - мировая цена сырого газа за налоговый период;
P1, P2..., Pn - ежедневная среднеарифметическая котировка цен в дни, за которые опубликованы котировки цен в течение налогового периода;
E - среднеарифметический официальный курс валюты за соответствующий налоговый период;
n - количество дней в налоговом периоде, за которые опубликованы котировки цен.
Ежедневная среднеарифметическая котировка цен определяется по формуле:
где:
Рn - ежедневная среднеарифметическая котировка цен;
Сn1 - низшее значение (min) ежедневной котировки цены природного газа «Zeebrugge Day-Ahead»;
Сn2 - высшее значение (max) ежедневной котировки цены природного газа «Zeebrugge Day-Ahead».
5. В целях исчисления налога на добычу полезных ископаемых стоимость сырого газа, реализованного недропользователем на внутреннем рынке Республики Казахстан и (или) использованного на собственные производственные нужды, попутного газа, использованного для производства сжиженного нефтяного газа, при сжигании сырого газа в факелах, а также сырого газа, использованного недропользователем - субъектом промышленно-инновационной деятельности, определяется в следующем порядке:
1) при реализации недропользователем добытого сырого газа на внутреннем рынке Республики Казахстан - исходя из средневзвешенной цены реализации, сложившейся за налоговый период, определяемой в соответствии с пунктом 7 статьи 780 настоящего Кодекса;
2) при использовании добытого попутного газа для производства сжиженного нефтяного газа в соответствии с условиями, указанными в подпункте 6) пункта 2 статьи 774 настоящего Кодекса, и (или) использовании добытого сырого газа на собственные производственные нужды, а также при сжигании сырого газа в факелах - как произведение фактического объема:
попутного газа, использованного для производства сжиженного нефтяного газа, и производственной себестоимости добычи, включая подготовку, единицы продукции, определяемой в соответствии с международными стандартами финансовой отчетности и требованиями законодательства Республики Казахстан о бухгалтерском учете и финансовой отчетности, увеличенной на 20 процентов;
сырого газа, использованного недропользователем на собственные производственные нужды, и производственной себестоимости добычи, включая подготовку, единицы продукции, определяемой в соответствии с международными стандартами финансовой отчетности и требованиями законодательства Республики Казахстан о бухгалтерском учете и финансовой отчетности, увеличенной на 20 процентов;
сырого газа, сжигаемого в факелах, и максимального значения предельной цены оптовой реализации товарного газа на внутреннем рынке, установленной в соответствии с законодательством Республики Казахстан о газе и газоснабжении и действующей в соответствующем налоговом периоде.
При этом в случае отсутствия установленной предельной цены оптовой реализации товарного газа на внутреннем рынке применяется предельная цена последнего налогового периода, в котором была установлена такая предельная цена.
Если сырой газ добывается попутно с нефтью, производственная себестоимость добычи сырого газа определяется на основании производственной себестоимости добычи, включая подготовку, нефти в соотношении:
одна тысяча кубических метров сырого газа соответствует 0,857 тонны нефти;
3) при использовании добытого сырого газа недропользователем - субъектом промышленно-инновационной деятельности в соответствии с условиями, указанными в подпункте 7) пункта 2 статьи 774 настоящего Кодекса, - как произведение фактического объема сырого газа, использованного недропользователем - субъектом индустриально-инновационной деятельности, и производственной себестоимости добычи, включая подготовку, единицы продукции, определяемой в соответствии с международными стандартами финансовой отчетности и требованиями законодательства Республики Казахстан о бухгалтерском учете и финансовой отчетности, увеличенной на 20 процентов.
6. Мировая цена стандартных сортов углеводородов определяется по каждому налоговому периоду уполномоченным органом в порядке, определенном настоящим Кодексом, и подлежит опубликованию в средствах массовой информации не позднее 10 числа месяца, следующего за отчетным налоговым периодом.
Статья 777. Порядок исчисления налога
1. Сумма налога на добычу полезных ископаемых, подлежащая уплате в бюджет, определяется исходя из объекта налогообложения, налоговой базы и ставки.
2. Для исчисления налога на добычу полезных ископаемых недропользователь в течение календарного года применяет ставку, соответствующую планируемому объему добычи на текущий налоговый год по каждому отдельному контракту на недропользование, в соответствии со шкалой, приведенной в статье 778 настоящего Кодекса.
При этом в случае передачи (перехода) права недропользования в рамках одного контракта на недропользование применяется ставка налога на добычу полезных ископаемых, соответствующая заявленному общему годовому объему добычи по такому контракту на недропользование, независимо от факта передачи (перехода) права недропользования.
В целях обеспечения правильности исчисления и полноты уплаты в бюджет налога на добычу полезных ископаемых уполномоченный орган в области углеводородов до 20 января текущего календарного года представляет в налоговый орган сведения о планируемых объемах добычи углеводородов в разрезе недропользователей на предстоящий год по каждому отдельному контракту на недропользование.
3. Если по итогам отчетного календарного года фактический объем добытых углеводородов по контракту на недропользование не соответствует запланированному объему по такому контракту и приводит к изменению ставки налога на добычу полезных ископаемых, недропользователь обязан произвести корректировку исчисленной за отчетный год суммы налога на добычу полезных ископаемых.
Корректировка суммы налога на добычу полезных ископаемых производится в декларации за последний налоговый период отчетного налогового года путем применения ставки налога на добычу полезных ископаемых, соответствующей фактическому объему добытых углеводородов, определяемой в соответствии со статьей 778 настоящего Кодекса, к налоговой базе, исчисленной в декларациях по налогу на добычу полезных ископаемых за первый, второй и третий кварталы отчетного налогового года.
Сумма налога на добычу полезных ископаемых, учитывающая произведенную корректировку, является налоговым обязательством по налогу на добычу полезных ископаемых за последний налоговый период отчетного года.
Статья 778. Ставки налога на добычу полезных ископаемых
1. Если иное не установлено пунктом 2 настоящей статьи, ставки налога на добычу полезных ископаемых на нефть устанавливаются в фиксированном выражении исходя из объема годовой добычи и мировой цены, определенной в соответствии с пунктом 3 статьи 776 настоящего Кодекса, по следующей шкале:
1) с 1 января 2026 года по 31 декабря 2026 года включительно:
|
№ п/п |
Объем годовой добычи |
Ставки, в % |
|
1 |
2 |
3 |
|
1. |
до 250 000 тонн включительно |
5,0 |
|
2. |
до 500 000 тонн включительно |
7,0 |
|
3. |
до 1000 000 тонн включительно |
8,0 |
|
4. |
до 2 000 000 тонн включительно |
9,0 |
|
5. |
до 3 000 000 тонн включительно |
10,0 |
|
6. |
до 4 000 000 тонн включительно |
11,0 |
|
7. |
до 5 000 000 тонн включительно |
12,0 |
|
8. |
до 7 000 000 тонн включительно |
13,0 |
|
9. |
до 10 000 000 тонн включительно |
15,0 |
|
10. |
свыше 10 000 000 тонн |
18,0 |
В случае реализации и (или) передачи нефти на внутреннем рынке Республики Казахстан, в том числе в натуральной форме в счет уплаты налога на добычу полезных ископаемых, рентного налога на экспорт, роялти и доли Республики Казахстан по разделу продукции получателю от имени государства, или использования на собственные производственные нужды в порядке, определенном подпунктами 1), 2), 3) и 4) пункта 2 статьи 774 настоящего Кодекса, к установленным ставкам применяется понижающий коэффициент 0,5.
2) с 1 января 2027 года:
|
№ п/п |
Объем годовой добычи |
Стоимость нефти за баррель, долларов США |
||||||||||||||||||
|
20 |
30 |
40 |
50 |
60 |
70 |
80 |
90 |
100 |
110 |
120 |
130 |
140 |
150 |
160 |
170 |
180 |
190 |
200 |
||
|
1. |
до 250 000 тонн |
19% |
19% |
19% |
26% |
30% |
33% |
35% |
36% |
38% |
40% |
42% |
43% |
46% |
47% |
48% |
51% |
52% |
54% |
53% |
|
2. |
до 500 000 тонн |
21% |
21% |
21% |
28% |
32% |
35% |
37% |
38% |
40% |
42% |
44% |
45% |
48% |
49% |
50% |
53% |
54% |
56% |
55% |
|
3. |
до 1 000 000 тонн |
22% |
22% |
22% |
29% |
33% |
36% |
38% |
39% |
41% |
43% |
45% |
46% |
49% |
50% |
51% |
54% |
55% |
57% |
56% |
|
4. |
до 2 000 000 тонн |
23% |
23% |
23% |
30% |
34% |
37% |
39% |
40% |
42% |
44% |
46% |
47% |
50% |
51% |
52% |
55% |
56% |
58% |
57% |
|
5. |
до 3 000 000 тонн |
24% |
24% |
24% |
31% |
35% |
38% |
40% |
41% |
43% |
45% |
47% |
48% |
51% |
52% |
53% |
56% |
57% |
59% |
58% |
|
6. |
до 4 000 000 тонн |
25% |
25% |
25% |
32% |
36% |
39% |
41% |
42% |
44% |
46% |
48% |
49% |
52% |
53% |
54% |
57% |
58% |
60% |
59% |
|
7. |
до 5 000 000 тонн |
26% |
26% |
26% |
33% |
37% |
40% |
42% |
43% |
45% |
47% |
49% |
50% |
53% |
54% |
55% |
58% |
59% |
61% |
60% |
|
8. |
до 7 000 000 тонн |
27% |
27% |
27% |
34% |
38% |
41% |
43% |
44% |
46% |
48% |
50% |
51% |
54% |
55% |
56% |
59% |
60% |
62% |
61% |
|
9. |
до 10 000 000 тонн |
29% |
29% |
29% |
36% |
40% |
43% |
45% |
46% |
48% |
50% |
52% |
53% |
56% |
57% |
58% |
61% |
62% |
64 |
63% |
|
10. |
свыше 10 000 000 тонн |
32% |
32% |
32% |
39% |
43% |
46% |
48% |
49% |
51% |
53% |
55% |
56% |
59% |
60% |
61% |
64% |
65% |
67% |
66% |
В случае реализации и (или) передачи нефти на внутреннем рынке Республики Казахстан, в том числе в натуральной форме в счет уплаты налога на добычу полезных ископаемых, рентного налога на экспорт, роялти и доли Республики Казахстан по разделу продукции получателю от имени государства, или использования на собственные производственные нужды в порядке, определенном подпунктами 1), 2), 3) и 4) пункта 2 статьи 774 настоящего Кодекса, к установленным ставкам применяется выравнивающий коэффициент, определяемый в порядке, определенном уполномоченным органом в области налоговой политики по согласованию с уполномоченным органом в области углеводородов.
Ставка налога на добычу полезных ископаемых на сырой газ составляет 10 процентов.
При реализации сырого газа на внутреннем рынке налог на добычу полезных ископаемых уплачивается по следующим ставкам в зависимости от объема годовой добычи:
|
№ п/п |
Объем годовой добычи |
Ставки, в % |
|
1 |
2 |
3 |
|
1. |
до 1,0 млрд. куб. м включительно |
0,5 |
|
2. |
до 2,0 млрд. куб. м включительно |
1,0 |
|
3. |
свыше 2,0 млрд. куб. м |
1,5 |
2. Ставки налога на добычу полезных ископаемых на нефть для месторождений (группы месторождений, части месторождения), отнесенных к категории низкорентабельных, по контракту на добычу углеводородов устанавливаются Правительством Республики Казахстан.
Параграф 2. Налог на добычу полезных ископаемых на минеральное сырье, за исключением общераспространенных полезных ископаемых
Статья 779. Объект обложения
Объектом обложения является физический объем добытых недропользователем за налоговый период минерального сырья или твердых полезных ископаемых с учетом объема фактических потерь в недрах за налоговый период, превышающего пределы нормируемых потерь в недрах, установленных техническим проектом разработки месторождения, утвержденным уполномоченным органом по изучению недр в определяемом им порядке (облагаемый объем полезных ископаемых).
При этом недропользователь передает сведения о физическом объеме добытых недропользователем минерального сырья или твердых полезных ископаемых за истекший (отчетный) квартал в уполномоченный орган по изучению недр не позднее 15 числа второго месяца, следующего за истекшим (отчетным) кварталом, по форме, установленной таким уполномоченным органом.
Для целей определения объекта обложения добытые минеральное сырье и (или) твердые полезные ископаемые определяются в рамках государственного баланса, действующего по состоянию на день, предшествующий дню перехода к учету запасов по Казахстанскому кодексу публичной отчетности о результатах геологоразведочных работ, минеральных ресурсах и минеральных запасах (далее - Кодекс KAZRC), а также с учетом минерального сырья, добываемого из состава списанных запасов (возврат потерь) на месторождении.
По минеральному сырью и (или) твердым полезным ископаемым, которые ранее не были утверждены Государственной комиссией по запасам полезных ископаемых, добытое минеральное сырье и (или) полезные ископаемые определяются в рамках запасов полезных ископаемых согласно Кодексу KAZRC.
Для целей определения облагаемого объема полезных ископаемых применяются единицы измерения, используемые в отчетных и сводных балансах запасов минерального сырья и (или) твердых полезных ископаемых, представляемых уполномоченному органу по изучению недр.
Не является объектом обложения объем урана, возвращенный в недра в рамках добычи методом подземного скважинного выщелачивания.
Статья 780. Налоговая база
1. Налоговой базой для исчисления налога на добычу полезных ископаемых является стоимость облагаемого объема полезных ископаемых за налоговый период.
2. В целях исчисления налога на добычу полезных ископаемых минеральное сырье подразделяется на:
1) минеральное сырье, содержащее только те полезные ископаемые, которые указаны в пункте 4 настоящей статьи;
2) минеральное сырье, содержащее одновременно полезные ископаемые, указанные в пункте 4 настоящей статьи, и другие виды полезных ископаемых;
3) минеральное сырье, содержащее полезные ископаемые, за исключением полезных ископаемых, указанных в пункте 4 настоящей статьи.
3. В целях исчисления налога на добычу полезных ископаемых стоимость облагаемого объема полезных ископаемых за налоговый период определяется:
1) по твердым полезным ископаемым, содержащимся в добытом минеральном сырье, указанном в подпункте 1) пункта 2 настоящей статьи, - исходя из средней биржевой цены на такие полезные ископаемые за налоговый период.
Средняя биржевая цена, если иное не установлено настоящей статьей, определяется как произведение среднеарифметического значения ежедневных усредненных котировок цен за налоговый период и среднеарифметического официального курса валюты за соответствующий налоговый период по нижеприведенной формуле.
Для целей настоящей статьи котировка цены означает котировку цены на полезное ископаемое в иностранной валюте, зафиксированную на Лондонской бирже металлов или Лондонской ассоциации рынка драгоценных металлов и публикуемую в журнале «MetalBulletin» издательства «MetalBulletinJournalsLimited», журнале «Metal-pages» издательства «Metal-pagesLimited».
Средняя биржевая цена, если иное не установлено настоящей статьей, определяется по следующей формуле:
где:
S - средняя биржевая цена на полезное ископаемое за налоговый период;
Р1, P2,..., Pn - ежедневная усредненная котировка цен в дни, за которые опубликованы котировки цен на Лондонской бирже металлов в течение налогового периода;
E - среднеарифметический официальный курс валюты за соответствующий налоговый период;
n - количество дней в налоговом периоде, за которые опубликованы котировки цен.
Ежедневная усредненная котировка цен на полезное ископаемое определяется по формуле:
где:
Рn - ежедневная усредненная котировка цен;
Сn1 - ежедневная котировка цены Cash на полезное ископаемое;
Сn2 - ежедневная котировка цены Cash Settlement на полезное ископаемое.
Средняя биржевая цена на золото, платину, палладий определяется как произведение среднеарифметического значения ежедневных усредненных котировок цен за налоговый период и среднеарифметического официального курса валюты за соответствующий налоговый период по следующей формуле:
где:
S - средняя биржевая цена на золото, платину, палладий за налоговый период;
Р1, P2,..., Pn - ежедневная усредненная котировка цен на золото, платину, палладий в дни, за которые были объявлены и опубликованы котировки цен Лондонской ассоциацией рынка драгоценных металлов в течение налогового периода;
E - среднеарифметический официальный курс валюты за соответствующий налоговый период;
n - количество дней в налоговом периоде, за которые опубликованы котировки цен.
Ежедневная усредненная котировка цен на золото, платину, палладий определяется по формуле:
где:
Рn - ежедневная усредненная котировка цен;
Сn1 - ежедневная котировка цен a.m. (утренний фиксинг) на золото, платину, палладий;
Сn2 - ежедневная котировка цен p.m. (вечерний фиксинг) на золото, платину, палладий.
Средняя биржевая цена на серебро определяется как произведение среднеарифметического значения ежедневных котировок цен на серебро за налоговый период и среднеарифметического официального курса валюты за соответствующий налоговый период по следующей формуле:
где:
S - средняя биржевая цена на серебро за налоговый период;
Р1, P2,..., Pn - ежедневная котировка цен на серебро в дни, за которые объявлены и опубликованы котировки цен Лондонской ассоциацией рынка драгоценных металлов в течение налогового периода;
E - среднеарифметический официальный курс валюты за соответствующий налоговый период;
n - количество дней в налоговом периоде, за которые были опубликованы котировки цен.
Средняя биржевая цена на полезное ископаемое применяется ко всему объему каждого вида твердого полезного ископаемого, указанного в пункте 4 настоящей статьи, содержащегося в добытом минеральном сырье, в том числе к объему, переданному другим юридическим лицам и (или) структурному подразделению в рамках одного юридического лица для последующей переработки и (или) использования на собственные производственные нужды;
2) по твердым полезным ископаемым, содержащимся в добытом минеральном сырье, указанном в подпункте 2) пункта 2 настоящей статьи:
по твердым полезным ископаемым, указанным в пункте 4 настоящей статьи, - в порядке, определенном подпунктом 1) настоящего пункта;
по другим видам добытых твердых полезных ископаемых, содержащихся в добытом минеральном сырье, - исходя из средневзвешенной цены их реализации, а в случае передачи другим юридическим лицам и (или) структурному подразделению в рамках одного юридического лица для последующей переработки и (или) использования на собственные производственные нужды - исходя из фактической производственной себестоимости добычи и первичной переработки (обогащения), приходящейся на такие виды полезных ископаемых, определяемой в соответствии с международными стандартами финансовой отчетности и требованиями законодательства Республики Казахстан о бухгалтерском учете и финансовой отчетности, увеличенной на 20 процентов;
3) по минеральному сырью, указанному в подпункте 3) пункта 2 настоящей статьи, - исходя из средневзвешенной цены реализации минерального сырья и (или) твердого полезного ископаемого, в том числе прошедших только первичную переработку (обогащение).
4. Положения подпункта 1) пункта 2 настоящей статьи применяются в отношении тех видов твердых полезных ископаемых, по которым в отчетном налоговом периоде имеются официальные котировки цен, зафиксированные на Лондонской бирже металлов или Лондонской ассоциацией рынка драгоценных металлов.
5. В случае отсутствия реализации минерального сырья и (или) твердого полезного ископаемого, в том числе прошедших только первичную переработку (обогащение), стоимость облагаемого объема полезных ископаемых определяется исходя из средневзвешенной цены реализации последнего налогового периода, в котором имела место такая реализация.
Положения настоящего пункта не применяются в отношении минерального сырья, указанного в пункте 4 настоящей статьи.
6. При полном отсутствии реализации минерального сырья и (или) твердого полезного ископаемого, в том числе прошедших только первичную переработку (обогащение), с начала действия контракта стоимость облагаемого объема полезных ископаемых определяется:
1) по твердым полезным ископаемым, указанным в пункте 4 настоящей статьи, - в порядке, определенном подпунктом 1) пункта 3 настоящей статьи;
2) по другим видам твердых полезных ископаемых, указанным в подпункте 2) пункта 2 настоящей статьи, - исходя из фактической производственной себестоимости добычи и первичной переработки (обогащения), приходящейся на такие виды твердых полезных ископаемых, определяемой в соответствии с международными стандартами финансовой отчетности и требованиями законодательства Республики Казахстан о бухгалтерском учете и финансовой отчетности, увеличенной на 20 процентов;
3) по минеральному сырью и (или) твердым полезным ископаемым, указанным в подпункте 3) пункта 2 настоящей статьи, за исключением указанного в подпункте 4) части первой настоящего пункта, - исходя из фактической производственной себестоимости добычи и первичной переработки (обогащения), приходящейся на такие виды полезных ископаемых, определяемой в соответствии с международными стандартами финансовой отчетности и требованиями законодательства Республики Казахстан о бухгалтерском учете и финансовой отчетности, увеличенной на 20 процентов.
В случае последующей реализации минерального сырья и (или) твердого полезного ископаемого, в том числе прошедших только первичную переработку (обогащение), кроме полезных ископаемых, указанных в пункте 4 настоящей статьи, недропользователь обязан произвести корректировку сумм исчисленного налога на добычу полезных ископаемых с учетом фактической средневзвешенной цены реализации в налоговом периоде, в котором имела место первая реализация;
4) по урану, извлеченному из продуктивных растворов, -исходя из средневзвешенной цены за килограмм урана в форме концентрата природного урана (U3O8), определяемой как произведение среднеарифметического значения месячных котировок цен за фунт урана в форме концентрата природного урана (U3O8) в иностранной валюте за каждый месяц налогового периода с учетом перевода фунтов в килограммы в соответствии с утвержденным коэффициентом и среднеарифметического официального курса валюты за соответствующий налоговый период по нижеприведенной формуле.
Для целей части первой настоящего подпункта котировка цены за фунт урана в форме концентрата природного урана (U3O8) означает месячный индикатор спотовой цены за фунт концентрата природного урана (U3O8), действующий на последний день месяца в иностранной валюте на основании информации, публикуемой в источниках «Ux Weekly» компании «Ux Consulting LLC» (США) и «The Nuclear Market Review» компании «TradeTech LLC» (США). В случае отсутствия информации о котировке цены на уран в форме концентрата природного урана (U3O8) в одном из указанных источников применяется цена другого указанного источника, в котором имеется такая котировка.
При отсутствии информации о котировке цены на уран в форме концентрата природного урана (U3O8) в источниках, указанных в части второй настоящего подпункта, применяется цена по данным других источников, определяемых законодательством Республики Казахстан о трансфертном ценообразовании.
Средневзвешенная цена за килограмм урана в форме концентрата природного урана определяется по следующей формуле:
где:
S - средневзвешенная цена за килограмм урана в форме концентрата природного урана за налоговый период;
P1, P2, Р3 - среднеарифметическая месячная котировка цен из источников за каждый месяц в течение налогового периода;
среднеарифметическая месячная котировка цен определяется по формуле:
где:
Рn - среднеарифметическая котировка цен;
Cn - значение месячной котировки цены за фунт урана в форме концентрата природного урана (U3O8) на последний день соответствующего месяца отчетного периода из источника «Ux Weekly» компании «Ux Consulting LLC» (США);
Dn - значение месячной котировки цены за фунт урана в форме концентрата природного урана (U3O8) (Exchange Value) на последний день соответствующего месяца отчетного периода из источника «The Nuclear Market Review» компании «TradeTech LLC» (США);
K - коэффициент перевода фунтов в килограммы, установленный в размере 2,59978;
E - среднеарифметический официальный курс иностранной валюты за соответствующий налоговый период.
Если по итогам отчетного календарного года фактический объем урана, извлеченного из продуктивных растворов, по контракту на недропользование не соответствует запланированному объему по такому контракту и приводит к изменению ставки налога на добычу полезных ископаемых, недропользователь обязан произвести корректировку исчисленной за отчетный год суммы налога на добычу полезных ископаемых.
Корректировка суммы налога на добычу полезных ископаемых производится в декларации за последний налоговый период отчетного налогового года путем применения ставки налога на добычу полезных ископаемых, соответствующей фактическому объему урана, извлеченного из продуктивных растворов, определяемой в соответствии со статьей 781 настоящего Кодекса, к налоговой базе, исчисленной в декларациях по налогу на добычу полезных ископаемых за первый, второй и третий кварталы отчетного налогового года.
Сумма налога на добычу полезных ископаемых, учитывающая произведенную корректировку, является налоговым обязательством по налогу на добычу полезных ископаемых за последний налоговый период отчетного года.
В случае последующей реализации минерального сырья, в том числе прошедшего только первичную переработку (обогащение), и полезных ископаемых, содержащихся в облагаемых объемах добытых запасов минерального сырья, указанных в подпункте 2) пункта 2 настоящей статьи, кроме полезных ископаемых, указанных в пункте 4 настоящей статьи, недропользователь обязан произвести корректировку сумм исчисленного налога на добычу полезных ископаемых с учетом фактической средневзвешенной цены реализации в налоговом периоде, в котором имела место первая реализация.
Корректировка исчисленных сумм налога на добычу полезных ископаемых производится недропользователем за двенадцатимесячный период, предшествующий налоговому периоду, в котором произошла первая реализация. При этом сумма корректировки является налоговым обязательством текущего налогового периода.
7. В целях настоящей статьи средневзвешенная цена реализации за налоговый период определяется по следующей формуле:
Ц ср. = (V1 р.п. × Ц1 р. + V2 р.п. × Ц2 р....+ Vnp.п. × Цn p.)/V общ. реализации,
где:
V1 р.п., V2 р.п., Vnp.п. - объемы каждой партии минерального сырья и (или) твердого полезного ископаемого, реализуемых за налоговый период;
Ц1 р., Ц2 р..., Цn р. - фактические цены реализации минерального сырья и (или) твердого полезного ископаемого по каждой партии в налоговом периоде;
n - количество партий реализованных минерального сырья и (или) твердого полезного ископаемого в налоговом периоде;
V общ. реализации - общий объем реализации минерального сырья и (или) твердого полезного ископаемого за налоговый период.
При этом в случае если средневзвешенная цена реализации минерального сырья и (или) твердого полезного ископаемого ниже их производственной себестоимости, увеличенной на 20 процентов, определяемой в соответствии с международными стандартами финансовой отчетности и требованиями законодательства Республики Казахстан о бухгалтерском учете и финансовой отчетности, то средневзвешенная цена реализации за налоговый период определяется исходя из такой производственной себестоимости, увеличенной на 20 процентов.
Средневзвешенная цена реализации применяется недропользователем ко всему облагаемому объему полезных ископаемых, в том числе к объемам, переданным по производственной себестоимости добычи структурному подразделению в рамках одного юридического лица для последующей переработки и (или) использованным на собственные производственные нужды недропользователя, включая использование в качестве исходного сырья для производства товарной продукции.
8. В случае если цена реализации полезного ископаемого установлена в иностранной валюте, то такая цена по операциям по реализации в целях пунктов 5 и 7 настоящей статьи пересчитывается в тенге с применением официального курса валюты, установленного на дату перехода права собственности согласно договору (контракту) на реализуемое минеральное сырье, в том числе прошедшее только первичную переработку (обогащение).
Статья 781. Ставки налога на добычу полезных ископаемых
1. Если иное не предусмотрено настоящей статьей, ставки налога на добычу полезных ископаемых устанавливаются в следующих размерах:
1) полезные ископаемые, за исключением указанных в подпункте 2) настоящего пункта:
|
№ п/п |
Наименование полезных ископаемых, минерального сырья, в том числе прошедшего только первичную переработку |
Ставки, в процентах (%) |
|
|
1 |
2 |
3 |
4 |
|
1. |
Руды черных, цветных |
Хромовая руда (концентрат) |
21,06 |
|
Марганцевая, железо-марганцевая руда (концентрат) |
3,25 |
||
|
Железная руда (концентрат) |
3,64 |
||
|
2. |
Металлы |
Медь |
8,55 |
|
Цинк |
10,5 |
||
|
Свинец |
10,4 |
||
|
Платина, палладий |
6,5 |
||
|
Алюминий |
0,38 |
||
|
Олово |
3,9 |
||
|
Никель |
7,8 |
||
|
3. |
Минеральное сырье, содержащее металлы |
Ванадий |
5,2 |
|
Хром, титан, магний, кобальт, вольфрам, висмут, сурьма, ртуть, мышьяк и другие |
7,8 |
||
|
4. |
Минеральное сырье, содержащее редкие металлы |
Ниобий, лантан, церий, цирконий |
7,7 |
|
Галлий |
1,0 |
||
|
5. |
Минеральное сырье, содержащее рассеянные металлы |
Селен, теллур, молибден |
7,0 |
|
Скандий, германий, рубидий, цезий, кадмий, индий, талий, гафний, рений, осмий |
6,0 |
||
|
6. |
Минеральное сырье, содержащее радиоактивные металлы |
Радий, торий |
5,0 |
|
7. |
Минеральное сырье, содержащее редкие металлы |
Литий, бериллий, тантал, стронций |
7,7 |
|
8. |
Минеральное сырье, содержащее редкоземельные металлы |
Празеодим, неодим, прометий, самарий, европий, гадолиний, тербий, диспрозий, гольмий, эрбий, тулий, иттербий, лютений, иттрий |
6,0 |
|
Минеральное сырье, содержащее нерудные твердые полезные ископаемые |
|||
|
9. |
Горючее, химическое и агрономическое минеральное сырье |
Уголь каменный коксующийся, антрацит |
4,05 |
|
Уголь каменный (кроме коксующегося и антрацита), бурый уголь, горючие сланцы |
2,7 |
||
|
Фосфориты |
4,0 |
||
|
Бораты, в том числе борный ангидрит |
3,5 |
||
|
Калийные и калийно-магниевые соли |
6,0 |
||
|
Барит |
4,5 |
||
|
Тальк |
2,0 |
||
|
Гипс |
5,6 |
||
|
Сера |
6,0 |
||
|
Флюориты |
3,0 |
||
|
Воластанит |
3,5 |
||
|
Шунгит |
2,0 |
||
|
Графит и др. |
3,5 |
||
|
Камнесамоцветное сырье |
|||
|
10. |
Минеральное сырье, содержащее драгоценные камни |
Алмаз, рубин, сапфир, изумруд, гранат, александрит, красная (благородная) шпинель, эвклаз, топаз, аквамарин и другие |
12,0 |
|
11. |
Минеральное сырье, содержащее поделочные камни |
Нефрит, яшма, жадеит, лазурит, радонит, малахит, авантюрин, агат, горный хрусталь, розовый кварц, бирюза, диоптаз, халцедон и другие |
3,5 |
|
12. |
Минеральное сырье, содержащее технические камни |
Алмазы технические, агат, корунд, циркон, яшма, серпентинит, асбест, слюда и другие |
2,0 |
|
13. |
Прочее |
Прочее минеральное сырье и (или) полезные ископаемые Прочее нерудное минеральное сырье, не являющееся общераспространенным полезным ископаемым |
4,7 но не менее 0,02 месячного расчетного показателя за единицу объема |
2) уран (извлеченный из продуктивных растворов, шахтный метод) в зависимости от объемов годовой добычи и цены на концентрат природного урана (U3O8):
|
№ п/п |
Объем годовой добычи |
Ставка, в процентах (%) |
|
1. |
до 500 тонн включительно |
4 |
|
2. |
до 1000 тонн включительно |
6 |
|
3. |
до 2 000 тонн включительно |
9 |
|
4. |
до 3 000 тонн включительно |
12 |
|
5. |
до 4 000 тонн включительно |
15 |
|
6. |
свыше 4 000 тонн |
18 |
При этом в случае превышения средневзвешенной цены концентрата природного урана (U3O8) над установленными ниже ценами ставка налога на добычу полезных ископаемых, указанная в подпункте 2) настоящего пункта, увеличивается на следующий размер:
|
№ п/п |
Средневзвешенная цена концентрата природного урана (U3O8) |
Ставка, в процентах (%) |
|
1. |
свыше 70 долларов за фунт |
0,5 |
|
2. |
свыше 80 долларов за фунт |
1,0 |
|
3. |
свыше 90 долларов за фунт |
1,5 |
|
4. |
свыше 100 долларов за фунт |
2,0 |
|
5. |
свыше 110 долларов за фунт |
2,5 |
3) золото в зависимости от цены:
|
№ п/п |
Среднебиржевая цена на золото |
Ставка, в процентах (%) |
|
1. |
до 2 800 долларов включительно за тройскую унцию |
7,5 |
|
2. |
до 3000 долларов включительно за тройскую унцию |
8 |
|
3. |
до 3200 долларов включительно за тройскую унцию |
8,5 |
|
4. |
до 3 400 долларов включительно за тройскую унцию |
9 |
|
5. |
до 3 600 долларов включительно за тройскую унцию |
9,5 |
|
6. |
до 3800 долларов включительно за тройскую унцию |
10 |
|
7. |
свыше 3800 долларов за тройскую унцию |
11 |
4) серебро в зависимости от цены:
|
№ п/п |
Среднебиржевая цена на серебро |
Ставка, в процентах (%) |
|
1. |
до 28 долларов включительно за тройскую унцию |
7,5 |
|
2. |
до 30 долларов включительно за тройскую унцию |
8 |
|
3. |
до 32 долларов включительно за тройскую унцию |
8,5 |
|
4. |
до 34 долларов включительно за тройскую унцию |
9 |
|
5. |
до 36 долларов включительно за тройскую унцию |
9,5 |
|
6. |
до 38 долларов включительно за тройскую унцию |
10 |
|
7. |
свыше 38 долларов включительно за тройскую унцию |
11 |
При этом к ставке налога на добычу полезных ископаемых на добытый уголь каменный (кроме коксующегося и антрацита), бурый уголь, горючие сланцы, установленной настоящей статьей, применяется коэффициент 0,01 в случаях:
1) использования недропользователем, являющимся субъектом естественной монополии, такого добытого угля каменного, бурого угля, горючих сланцев для предоставления услуг по передаче электрической энергии, производству, передаче, распределению и (или) снабжению тепловой энергией, водоснабжения и (или) водоотведения в соответствии с законодательством Республики Казахстан о естественных монополиях;
2) реализации недропользователем добытого угля каменного, бурого угля, горючих сланцев субъекту естественных монополий, оказывающему услуги, предусмотренные подпунктом 1) части второй настоящей статьи;
3) реализации недропользователем добытого угля каменного, бурого угля, горючих сланцев организациям образования, здравоохранения;
4) реализации недропользователем добытого угля каменного, бурого угля, горючих сланцев получателям адресной социальной помощи;
5) переработки недропользователем добытого угля каменного, бурого угля, горючих сланцев и (или) их использования на собственные производственные нужды;
6) использования недропользователем, являющимся энергопроизводящей организацией, добытого угля каменного, бурого угля, горючих сланцев для производства электрической и (или) тепловой энергии для собственных нужд и (или) реализации в соответствии с законодательством Республики Казахстан об электроэнергетике и в области теплоэнергетики;
7) реализации недропользователем добытого угля каменного, бурого угля, горючих сланцев энергопроизводящей организации для производства электрической и (или) тепловой энергии для собственных нужд и (или) реализации в соответствии с законодательством Республики Казахстан об электроэнергетике и в области теплоэнергетики;
8) реализации недропользователем добытого угля каменного, бурого угля, горючих сланцев организациям, осуществляющим их переработку и (или) использование при производстве товаров на территории Республики Казахстан.
Если иное не установлено настоящей статьей, налог на добычу полезных ископаемых на все виды твердых полезных ископаемых и минерального сырья, добываемых из состава забалансовых запасов по месторождению, уплачивается по ставке 0 процентов.
В целях настоящей главы к забалансовым запасам относятся:
твердые полезные ископаемые и минеральное сырье, которые по состоянию на день, предшествующий переходу к учету запасов по Кодексу KAZRC, относились к забалансовым запасам по месторождению на основании утверждения их таковыми Государственной комиссией по запасам полезных ископаемых;
в случае осуществления добычи твердых полезных ископаемых на основании лицензий на недропользование, полученных после перехода к учету запасов по Кодексу KAZRC, к забалансовым запасам относятся твердые полезные ископаемые, содержащиеся в минеральном сырье, объемы которых включены в категорию предполагаемых минеральных ресурсов и не являются доказанными или вероятными минеральными запасами за соответствующий налоговый период.
При этом ставка налога на добычу полезных ископаемых в размере 0 процента не применяется в случае реализации минерального сырья и (или) твердых полезных ископаемых, добываемых из состава забалансовых запасов.
2. В случае, если уровень рентабельности по месторождению (группе месторождений по одному контракту на недропользование, части месторождения), соответствующему критериям, определенным Правительством Республики Казахстан в соответствии с частью второй пункта 4 статьи 753 настоящего Кодекса, составляет 5 процентов и менее, недропользователь по добытым на таком месторождении (группе месторождений по одному контракту на недропользование, части месторождения) полезным ископаемым вправе применять ставки налога на добычу полезных ископаемых, установленные настоящим Кодексом по состоянию на 31 декабря 2022 года.
При фактическом несоответствии месторождения (группы месторождения по одному контракту на недропользование, части месторождения) критериям низкорентабельности, определенным в соответствии с частью первой настоящего пункта, недропользователь производит перерасчет налоговых обязательств по налогу на добычу полезных ископаемых на основании ставок, установленных пунктом 1 настоящей статьи, за каждый соответствующий налоговый период календарного года, в котором такие критерии были не соблюдены, и отражает полученные значения в дополнительных декларациях по налогу на добычу полезных ископаемых за соответствующие налоговые периоды.
Положения настоящего пункта распространяются также на месторождения (группу месторождений по одному контракту на недропользование, часть месторождения), по которым осуществлено переоформление права недропользования (переход на лицензионный режим недропользования) либо преобразование участков недр, предоставленных для разведки или добычи твердых полезных ископаемых (выделение участка недр).
3. Налог на добычу полезных ископаемых исчисляется по месторождению (группе месторождений по одному контракту на недропользование, части месторождения) по ставке 0 процентов в течение шестидесяти месяцев с момента начала промышленной добычи при одновременном соблюдении следующих условий:
1) промышленная добыча минерального сырья на месторождении (группе месторождений по одному контракту на недропользование, части месторождения) начата после 31 декабря 2022 года при соблюдении условий, определенных Правительством Республики Казахстан;
2) уровень внутренней нормы рентабельности по месторождению (группе месторождений по одному контракту на недропользование, части месторождения) не превышает 15 процентов;
3) право недропользования по месторождению, по которому применялась ставка налога на добычу полезных ископаемых, указанная в части первой настоящего пункта, не подлежит отчуждению в течение периода применения положений настоящего пункта, за исключением отчуждения в пользу взаимосвязанной стороны.
В целях настоящего пункта уровень внутренней нормы рентабельности по месторождению (группе месторождений по одному контракту на недропользование, части месторождения) определяется в соответствии с порядком, определяемым Правительством Республики Казахстан.
При несоблюдении условий, установленных подпунктами 1) и 3) части первой настоящего пункта, налог на добычу полезных ископаемых уплачивается по ставкам, установленным в соответствии с пунктом 1 или 2 настоящей статьи, за весь период применения положений настоящего пункта.
При достижении уровня внутренней нормы рентабельности по месторождению (группе месторождений по одному контракту на недропользование, части месторождения) показателя, установленного подпунктом 2) настоящего пункта, недропользователь за каждый соответствующий налоговый период календарного года, в котором такие критерии были не соблюдены, отражает полученные значения в дополнительных декларациях по налогу на добычу полезных ископаемых за соответствующие налоговые периоды.
В случае, если в последующие периоды после перерасчета налоговых обязательств по налогу на добычу полезных ископаемых уровень внутренней нормы рентабельности снижается ниже 15 процентов, налогоплательщик не вправе применять положения настоящего пункта для этих последующих периодов.
В целях настоящего пункта и статьи 782 настоящего Кодекса под промышленной добычей понимается этап добычи твердых полезных ископаемых, переход на который объявляется недропользователем путем направления соответствующего уведомления в уполномоченный орган с указанием месяца и года начала данного этапа не позднее пятнадцати рабочих дней до такого перехода.
При этом исчисление налога на добычу полезных ископаемых по ставке 0 процентов, предусмотренное настоящим пунктом, не применяется по месторождениям (группе месторождений по одному контракту на недропользование, части месторождения), которые были выделены из контракта на добычу (лицензии на добычу) или из контракта на совмещенную разведку и добычу (в период добычи).
Статья 782. Особые положения для применения ставки налога на добычу полезных ископаемых по группе месторождений по одному контракту на недропользование, части месторождения, включенным в перечень, утвержденный Правительством Республики Казахстан
1. Налог на добычу полезных ископаемых по группе месторождений по одному контракту на недропользование, части месторождения, включенным в перечень, утвержденный Правительством Республики Казахстан, исчисляется по ставке 0 процентов в течение шестидесяти месяцев с даты начала промышленной добычи при одновременном соблюдении следующих условий:
1) промышленная добыча минерального сырья по группе месторождений по одному контракту на недропользование, части месторождения начата после 31 декабря 2022 года при соблюдении условий, определенных Правительством Республики Казахстан;
2) уровень внутренней нормы рентабельности по группе месторождений по одному контракту на недропользование, части месторождения составляет 15 процентов и менее.
Уровень внутренней нормы рентабельности исчисляется по затратам (расходам), связанным с отработкой группы месторождений по одному контракту на недропользование, части месторождения, в том числе на геологическое изучение, разведку, подготовительные работы к добыче и иные капитальные затраты, нарастающим итогом с начала их осуществления;
3) право недропользования по группе месторождений по одному контракту на недропользование, части месторождения, по которой применялась ставка налога на добычу полезных ископаемых, указанная в настоящем пункте, не подлежит отчуждению в течение периода применения положений настоящего пункта, за исключением отчуждения в пользу взаимосвязанной стороны.
2. Порядок определения уровня внутренней нормы рентабельности, порядок включения в перечень для совместной отработки запасов по группе месторождений по одному контракту на недропользование либо раздельной отработки запасов по части месторождения, а также такой перечень определяются Правительством Республики Казахстан.
3. В целях применения ставки налога на добычу полезных ископаемых, установленной пунктом 1 настоящей статьи, недропользователь обязан вести раздельный налоговый учет для исчисления налогового обязательства по налогу на добычу полезных ископаемых в случае осуществления совместной отработки запасов по группе месторождений по одному контракту на недропользование либо раздельной отработки запасов по части месторождения в период применения ставки налога на добычу полезных ископаемых, установленной пунктом 1 настоящей статьи.
Статья 783. Особые положения для применения недропользователем ставок налога на добычу полезных ископаемых по твердым полезным ископаемым, извлеченным из техногенных минеральных образований
1. При исчислении налога на добычу полезных ископаемых по твердым полезным ископаемым, извлеченным из техногенных минеральных образований, недропользователь к ставкам, установленным статьей 781 настоящего Кодекса, применяет понижающий коэффициент 0,1.
2. Для исчисления налога на добычу полезных ископаемых недропользователь обязан вести раздельный налоговый учет по твердым полезным ископаемым, извлеченным из техногенных минеральных образований, отдельно от иных твердых полезных ископаемых, добытых недропользователем.
3. Объектом обложения по твердым полезным ископаемым, извлеченным из техногенных минеральных образований, является объем реализованных твердых полезных ископаемых, извлеченных из техногенных минеральных образований.
4. В целях исчисления налога на добычу полезных ископаемых по твердым полезным ископаемым, извлеченным из техногенных минеральных образований, налоговая база определяется в соответствии со статьей 780 настоящего Кодекса.
Статья 784. Особые положения для применения недропользователем ставки налога на добычу полезных ископаемых по техногенным минеральным образованиям, подлежащим использованию без извлечения из них твердых полезных ископаемых
1. При исчислении налога на добычу полезных ископаемых по техногенным минеральным образованиям (вскрыша, вмещающая порода, зола и золошлаки), использованным без извлечения из них твердых полезных ископаемых для собственных производственных нужд, ликвидации последствий недропользования и реализации третьим лицам, являющимся подрядчиками, для использования в строительстве и реконструкции автомобильных дорог общего пользования, железных дорог, государственных гидротехнических сооружений, применяются ставки налога на добычу полезных ископаемых для метаморфических пород в соответствии с пунктом 1 статьи 786 настоящего Кодекса.
2. Объектом обложения по техногенным минеральным образованиям, подлежащим использованию без извлечения из них твердых полезных ископаемых, является физический объем реализуемых или используемых для собственных производственных нужд техногенных минеральных образований.
Параграф 3. Налог на добычу полезных ископаемых на общераспространенные полезные ископаемые, подземные воды и лечебные грязи
Статья 785. Объект обложения
Объектом обложения является физический объем добытых недропользователем за налоговый период общераспространенных полезных ископаемых, подземных вод и лечебных грязей.
Для целей определения объекта обложения применяются единицы измерения, используемые в отчетных и сводных балансах запасов минерального сырья, представляемых уполномоченному органу по изучению недр.
Для целей настоящей главы единицей объема добытого общераспространенного полезного ископаемого и лечебной грязи признается один кубический метр или одна тонна.
Налог на добычу полезных ископаемых не уплачивается в следующих случаях:
1) при обратной закачке подземных вод, в том числе в виде выработанного из них пара, в недра (откачке техногенной воды) для поддержания пластового давления;
2) при утилизации подземных вод, добытых попутно с углеводородами и представляющих угрозу здоровью населения и окружающей среде, в соответствии с водным законодательством Республики Казахстан;
3) при сбросе подземных вод (шахтных, карьерных, рудничных), попутно добытых (попутно забранных, откачанных) при разведке и (или) добыче твердых полезных ископаемых;
4) физическим лицом, осуществляющим добычу подземных вод на земельном участке, принадлежащем ему на праве собственности, праве землепользования и иных правах на землю, при условии, что добытые подземные воды не используются при осуществлении предпринимательской деятельности;
5) по подземным водам, добываемым государственными учреждениями для собственных хозяйственных нужд.
Статья 786. Ставки налога на добычу полезных ископаемых
1. Ставки налога на добычу полезных ископаемых на общераспространенные полезные ископаемые и лечебные грязи исчисляются за единицу объема добытого общераспространенного полезного ископаемого и лечебной грязи исходя из размера месячного расчетного показателя, действующего на 1 января соответствующего финансового года, и составляют:
|
№п/п |
Наименование полезных ископаемых |
Ставки, в МРП |
|
1 |
2 |
3 |
|
1. |
Метаморфические породы, в том числе мрамор, кварцит, кварцево-полевошпатовые породы |
0,02 |
|
2. |
Магматические горные породы, в том числе гранит, сиенит, диорит, габбро, риолит (липарит), андезит, диабаз, базальт, вулканические туфы, шлаки, пемзы, вулканические стекла и стекловидные породы (перлит, обсидиан) |
0,02 |
|
3. |
Осадочные горные породы, в том числе галечники и гравий, гравийно-песчаная (песчано-гравийная) смесь, пески и песчаники, глины и глинистые породы (суглинки, алевролиты, аргиллиты, глинистые сланцы), соль поваренная, гипсовые породы, мергели, известняки, в том числе ракушечники, меловые породы, доломиты, известняково-доломитовые породы, кремнистые породы (трепел, опока, диатомит), природные пигменты, торф |
0,015 |
|
4. |
Лечебные грязи |
0,02 |
2. Ставки налога на добычу полезных ископаемых на подземные воды исчисляются за 1 кубический метр добытой подземной воды исходя из размера месячного расчетного показателя, действующего на 1 января соответствующего финансового года, и составляют:
|
№ п/п |
Наименование полезных ископаемых |
Ставки, в МРП |
|
1 |
2 |
3 |
|
1. |
Подземная вода, добытая недропользователем, за исключением подземных вод, указанных в строках 2 -5 настоящей таблицы |
0,003 |
|
2. |
Подземная вода, добытая недропользователем для осуществления деятельности, регулируемой законодательством Республики Казахстан о естественных монополиях, и (или) последующей реализации субъекту естественной монополии для осуществления деятельности, регулируемой законодательством Республики Казахстан о естественных монополиях |
0,001 |
|
3. |
Минеральная подземная вода, хозяйственно-питьевая подземная вода, добытая недропользователем и использованная им для производства алкогольной продукции, этилового спирта, спиртосодержащей пищевой продукции, безалкогольных напитков и (или) пищевой продукции (за исключением производства сельскохозяйственной продукции и (или) ее переработки) |
0,250 |
|
4. |
Фактические потери хозяйственно-питьевой подземной воды, превышающие пределы нормируемых потерь, утвержденных в тарифе на водоснабжение на соответствующий отчетный период, при осуществлении деятельности, регулируемой законодательством Республики Казахстан о естественных монополиях, и (или) последующей реализации субъекту естественной монополии для осуществления деятельности, регулируемой законодательством Республики Казахстан о естественных монополиях |
0,005 |
|
5. |
Фактические потери минеральной подземной воды, хозяйственно-питьевой подземной воды, добытой недропользователем, за исключением подземных вод, указанных в строке 4 настоящей таблицы |
1,000 |
3. В случае отсутствия раздельного учета добытой подземной воды в целях применения ставок налога на добычу полезных ископаемых на подземные воды, установленных пунктом 2 настоящей статьи, применяется наибольший размер ставки.
Статья 787. Налоговый период
Налоговым периодом по налогу на добычу полезных ископаемых является календарный квартал.
Статья 788. Сроки уплаты
Если иное не предусмотрено настоящей статьей, налогоплательщик обязан уплатить в бюджет по месту нахождения исчисленную сумму налога не позднее 25 числа второго месяца, следующего за налоговым периодом.
В случае реализации минерального сырья и (или) полезных ископаемых, добываемых из состава забалансовых запасов, налог на добычу полезных ископаемых уплачивается по месту нахождения не позднее 25 числа месяца, следующего за налоговым периодом, в котором реализованы минеральное сырье и (или) полезные ископаемые, добываемые из состава забалансовых полезных ископаемых.
Статья 789. Налоговая декларация
Декларация по налогу на добычу полезных ископаемых представляется недропользователем в налоговый орган по месту нахождения не позднее 15 числа второго месяца, следующего за налоговым периодом.
Глава 90. РОЯЛТИ НА ТВЕРДЫЕ ПОЛЕЗНЫЕ ИСКОПАЕМЫЕ, ЗА ИСКЛЮЧЕНИЕМ ОБЩЕРАСПРОСТРАНЕННЫХ ПОЛЕЗНЫХ ИСКОПАЕМЫХ
Статья 790. Общие положения
1. Недропользователи, осуществляющие деятельность по лицензии на разведку или добычу твердых полезных ископаемых, соответствующей условиям, установленным пунктом 1 статьи 791 настоящего Кодекса, уплачивают роялти на твердые полезные ископаемые.
Роялти уплачивается в период с даты получения такой лицензии до даты окончания ее действия.
Роялти по твердым полезным ископаемым уплачивается по ставкам и в порядке, которые установлены настоящей главой.
2. Роялти уплачивается недропользователем при реализации добытых минерального сырья и твердого полезного ископаемого, в том числе прошедших переработку, а также в случае реализации техногенных минеральных образований (твердых полезных ископаемых, извлеченных из техногенных минеральных образований), образованных при осуществлении деятельности в рамках лицензии на разведку или добычу твердых полезных ископаемых, указанных в пункте 1 статьи 791 настоящего Кодекса.
3. Объем реализованных минерального сырья и твердого полезного ископаемого, в том числе прошедших переработку, а также содержание твердых полезных ископаемых в реализуемом минеральном сырье подтверждается на основании данных аккредитованных лабораторий, расположенных на территории Республики Казахстан.
Такое подтверждение осуществляется по каждой партии реализованных минерального сырья и твердого полезного ископаемого в порядке и сроки, которые установлены уполномоченным органом в области твердых полезных ископаемых.
При этом уполномоченный орган в области твердых полезных ископаемых утверждает перечень аккредитованных лабораторий в установленном им порядке.
Статья 791. Плательщики
1. Плательщиками роялти являются недропользователи, осуществляющие реализацию минерального сырья и твердого полезного ископаемого, в том числе прошедших переработку, добытых в рамках лицензии на разведку или добычу твердых полезных ископаемых, при одновременном соблюдении следующих условий:
лицензия на разведку или добычу твердых полезных ископаемых выдана после 31 декабря 2026 года в соответствии с законодательством Республики Казахстан о недрах и недропользовании;
территория, на которую предоставлена лицензия на разведку или добычу твердых полезных ископаемых, не относится к территории, на которую до 31 декабря 2026 года предоставлялось право недропользования в соответствии с законодательством Республики Казахстан о недрах и недропользовании.
2. Роялти не вправе применять недропользователи, осуществляющие деятельность на основании следующих контрактов и лицензий на недропользование:
1) по лицензиям на старательство;
2) контрактам на добычу урана.
Статья 792. Объект налогообложения
Объектом обложения роялти является физический объем реализованных минерального сырья и твердого полезного ископаемого, в том числе прошедших переработку, добытых недропользователем при осуществлении деятельности в рамках лицензии на разведку или добычу твердых полезных ископаемых, указанных в пункте 1 статьи 791 настоящего Кодекса.
При этом, если иное не установлено настоящей статьей, объем реализованного минерального сырья, в том числе прошедшего переработку, определяется по такому минеральному сырью и каждому попутному полезному ископаемому, содержащемуся в нем.
Статья 793. Налоговая база
1. Налоговой базой для исчисления роялти является стоимость реализованных минерального сырья и твердого полезного ископаемого, в том числе прошедших переработку, за налоговый период.
Если иное не установлено пунктом 2 настоящей статьи, стоимость реализованных минерального сырья и твердого полезного ископаемого, в том числе прошедших переработку, определяется исходя из цены их реализации с учетом соблюдения законодательства Республики Казахстан о трансфертном ценообразовании, но не ниже производственной себестоимости реализованных минерального сырья и твердого полезного ископаемого, в том числе прошедших переработку, определяемой в соответствии с международными стандартами финансовой отчетности и требованиями законодательства Республики Казахстан о бухгалтерском учете и финансовой отчетности, увеличенной на 20 процентов.
При этом производственная себестоимость реализованных минерального сырья и твердого полезного ископаемого, в том числе прошедших переработку, определяется по каждой операции в соответствии с международными стандартами финансовой отчетности и требованиями законодательства Республики Казахстан о бухгалтерском учете и финансовой отчетности.
2. Стоимость минерального сырья и твердого полезного ископаемого, в том числе прошедших переработку, по которым в отчетном налоговом периоде имеются официальные котировки цен, зафиксированные на Лондонской бирже металлов или Лондонской ассоциацией рынка драгоценных металлов, определяется по средней биржевой цене, сложившейся за налоговый период.
Средняя биржевая цена определяется в порядке, установленном подпунктом 1) пункта 3 статьи 780 настоящего Кодекса.
3. Для целей настоящей главы дата реализации определяется в соответствии с международными стандартами финансовой отчетности и (или) требованиями законодательства Республики Казахстан о бухгалтерском учете и финансовой отчетности.
4. В случаях, предусмотренных пунктом 2 статьи 256 настоящего Кодекса, корректировка стоимости и (или) объемов минерального сырья и твердого полезного ископаемого, в том числе прошедших переработку, производится в том периоде, в котором наступили указанные случаи.
Статья 794. Ставки роялти
Ставки роялти устанавливаются в следующих размерах:
|
№ п/п |
Вид товарного продукта |
Ставки, (в %) |
|
1 |
2 |
3 |
|
1. |
Добытое из недр рудное сырье, прошедшее процесс дробления, грохочения, измельчения, классификацию (сортировку), государственные и собственные отходы горнодобывающего производства, горно-перерабатывающего или энергетического производства |
13 |
|
2. |
Концентраты обогатительного производства и прочие продукты и собственные отходы, которые являются результатом первичной переработки (обогащения) |
10 |
|
3. |
Металлы и сплавы, прочие продукты и собственные отходы, которые являются результатом химико-металлургического передела |
7 |
Статья 795. Налоговый период
Налоговым периодом по роялти является календарный квартал.
Статья 796. Сроки уплаты
Налогоплательщик обязан уплатить в бюджет по месту нахождения исчисленную сумму роялти не позднее 25 числа второго месяца, следующего за налоговым периодом.
Статья 797. Налоговая декларация
Декларация по роялти представляется недропользователем в налоговый орган по месту нахождения не позднее 15 числа второго месяца, следующего за налоговым периодом.
Глава 91. НАЛОГ НА СВЕРХПРИБЫЛЬ
Статья 798. Общие положения
1. Налог на сверхприбыль исчисляется за налоговый период по каждому отдельному контракту на недропользование, по которому недропользователь является плательщиком налога на сверхприбыль в соответствии со статьей 799 настоящего Кодекса.
2. Для целей исчисления налога на сверхприбыль недропользователь определяет объект обложения, а также следующие объекты, связанные с налогообложением, по каждому отдельному контракту на недропользование в соответствии с порядком, установленным настоящей главой:
1) чистый доход для целей исчисления налога на сверхприбыль;
2) налогооблагаемый доход для целей исчисления налога на сверхприбыль;
3) валовый годовой доход по контракту на недропользование;
4) вычеты для целей исчисления налога на сверхприбыль;
5) корпоративный подоходный налог по контракту на недропользование;
6) расчетная сумма налога на чистый доход постоянного учреждения нерезидента по контракту на недропользование.
Статья 799. Плательщики
1. Плательщиками налога на сверхприбыль являются недропользователи по деятельности, осуществляемой по каждому отдельному контракту на недропользование, за исключением контрактов на недропользование, указанных в пункте 2 настоящей статьи.
2. Не являются плательщиками налога на сверхприбыль, установленного настоящей главой, недропользователи по деятельности, осуществляемой на основании следующих контрактов на недропользование:
1) указанных в пункте 1статьи 755 настоящего Кодекса;
2) на разведку и (или) добычу твердых полезных ископаемых, в том числе общераспространенных полезных ископаемых, подземных вод и (или) лечебных грязей при условии, что данные контракты не предусматривают добычу других групп полезных ископаемых;
3) на строительство и эксплуатацию подземных сооружений, не связанных с разведкой и добычей.
Статья 800. Объект обложения
Объектом обложения налогом на сверхприбыль является часть чистого дохода недропользователя, определенного для целей исчисления налога на сверхприбыль в соответствии со статьей 801 настоящего Кодекса по каждому отдельному контракту на недропользование за налоговый период, превышающая сумму, равную 25 процентам от суммы вычетов недропользователя для целей исчисления налога на сверхприбыль, определенных в соответствии со статьей 804 настоящего Кодекса.
Статья 801. Чистый доход для целей исчисления налога на сверхприбыль
1. Чистый доход для целей исчисления налога на сверхприбыль определяется как разница между налогооблагаемым доходом для целей исчисления налога на сверхприбыль, определенным в соответствии со статьей 802 настоящего Кодекса, и корпоративным подоходным налогом по контракту на недропользование, исчисленным в соответствии со статьей 805 настоящего Кодекса.
2. Для нерезидентов, осуществляющих деятельность по недропользованию в Республике Казахстан через постоянное учреждение, чистый доход для целей исчисления налога на сверхприбыль дополнительно уменьшается на расчетную сумму налога на чистый доход постоянного учреждения по соответствующему контракту на недропользование, исчисленного в соответствии со статьей 806 настоящего Кодекса.
Статья 802. Налогооблагаемый доход для целей исчисления налога на сверхприбыль
1. Налогооблагаемый доход в целях настоящей главы определяется как разница между валовым годовым доходом для целей исчисления налога на сверхприбыль по контракту на недропользование, определенным в соответствии со статьей 803 настоящего Кодекса, и вычетами для целей исчисления налога на сверхприбыль, определенными в соответствии со статьей 804 настоящего Кодекса, с учетом уменьшения на суммы доходов и расходов, предусмотренных статьей 337 настоящего Кодекса.
2. Превышение вычетов для целей исчисления налога на сверхприбыль над суммой валового годового дохода за налоговый период переносится для погашения за счет налогооблагаемого дохода для целей исчисления налога на сверхприбыль последующих последовательных налоговых периодов.
Статья 803. Валовый годовой доход по контракту на недропользование для целей исчисления налога на сверхприбыль
1. Валовый годовой доход для целей исчисления налога на сверхприбыль определяется недропользователем по контрактной деятельности по каждому отдельному контракту на недропользование в порядке, определенном настоящим Кодексом для определения совокупного годового дохода, за исключением доходов, предусмотренных статьями 244, 250 - 254 и 297 настоящего Кодекса, определяемых в соответствии с пунктом 2 настоящей статьи.
2. В целях исчисления налога на сверхприбыль доходы, предусмотренные статьями 244 и 297 настоящего Кодекса, определяются в размере полной стоимости реализации, передачи и выбытия активов, указанной в статьях 279, 303 - 316 настоящего Кодекса.
Доходы, предусмотренные статьями 250 - 254 настоящего Кодекса, определяются в размере полной стоимости реализации, передачи и выбытия активов, указанной в статьях 279, 303 - 316 настоящего Кодекса, в случае отнесения стоимости указанных активов на вычеты в целях исчисления налога на сверхприбыль.
Размер доходов от реализации активов, указанных в статьях 250 - 254 настоящего Кодекса, стоимость которых не подлежит отнесению на вычеты в целях исчисления налога на сверхприбыль, определяется в соответствии со статьями 250 - 254 настоящего Кодекса.
Статья 804. Вычеты для целей исчисления налога на сверхприбыль
1. Для целей исчисления налога на сверхприбыль вычеты по каждому отдельному контракту на недропользование определяются как сумма:
1) расходов, подлежащих отнесению в отчетном налоговом периоде на вычеты в целях исчисления корпоративного подоходного налога по контрактной деятельности в соответствии со статьями 257 - 260, 262 - 273, 301 - 302 и 317 настоящего Кодекса;
2) фактически понесенных в течение налогового периода затрат, подлежащих включению в:
стоимостные балансы групп (подгрупп) фиксированных активов;
отдельные группы амортизируемых активов, образованных в соответствии со статьями 303 - 316 настоящего Кодекса.
При этом затраты по приобретению общих и (или) косвенных фиксированных активов для целей исчисления налога на сверхприбыль подлежат отнесению на вычеты по удельному весу прямых расходов, приходящихся на каждый конкретный контракт на недропользование и внеконтрактную деятельность, в общей сумме прямых расходов, произведенных недропользователем за налоговый период.
2. В целях исчисления налога на сверхприбыль за налоговый период 2018 года производится единовременный вычет суммы накопленных в целях исчисления налога на сверхприбыль затрат, подлежавшей отнесению, но не отнесенной на вычеты для целей исчисления налога на сверхприбыль с 1 января 2009 года до 1 января 2018 года.
3. В случае если одни и те же виды расходов предусмотрены несколькими видами вычетов, установленными настоящей статьей, то при расчете налогооблагаемого дохода указанные расходы вычитаются только один раз.
Статья 805. Корпоративный подоходный налог по контракту на недропользование
Корпоративный подоходный налог по контракту на недропользование определяется за налоговый период по контрактной деятельности по каждому отдельному контракту на недропользование как произведение ставки, установленной пунктом 1 статьи 357 настоящего Кодекса, и налогооблагаемого дохода, исчисленного по такому контракту на недропользование в порядке, определенном статьей 345 настоящего Кодекса, уменьшенного на суммы доходов и расходов, предусмотренных статьей 337 настоящего Кодекса, а также на сумму убытков по контракту на недропользование, переносимых в соответствии со статьями 338 - 344 настоящего Кодекса.
Статья 806. Расчетная сумма налога на чистый доход постоянного учреждения нерезидента по контракту на недропользование
Расчетная сумма налога на чистый доход постоянного учреждения нерезидента по контракту на недропользование для целей настоящей главы определяется за налоговый период как произведение ставки налога на чистый доход постоянного учреждения нерезидента, установленной подпунктом 4) пункта 1 статьи 357 настоящего Кодекса, и объекта обложения налога на чистый доход постоянного учреждения нерезидента, исчисленного по контракту на недропользование в порядке, определенном статьей 689 настоящего Кодекса.
Статья 807. Порядок исчисления
1. Исчисление налога на сверхприбыль за налоговый период производится посредством применения каждой соответствующей ставки по каждому уровню, установленному статьей 808 настоящего Кодекса, к каждой части объекта обложения налога на сверхприбыль, относящейся к такому уровню, с последующим суммированием исчисленных сумм налога на сверхприбыль по всем уровням.
2. Для применения положений пункта 1 настоящей статьи недропользователь:
1) определяет объект обложения, а также объекты, связанные с обложением налогом на сверхприбыль по контракту на недропользование;
2) определяет предельные суммы распределения чистого дохода для целей исчисления налога на сверхприбыль по каждому уровню, установленному статьей 808 настоящего Кодекса, в следующем порядке:
для уровней 1, 2, 3, 4, 5 и 6 - как произведение процента для каждого уровня, установленного в графе 3 таблицы статьи 808 настоящего Кодекса, и суммы вычетов для целей исчисления налога на сверхприбыль;
для уровня 7:
в случае, если сумма чистого дохода для целей исчисления налога на сверхприбыль больше суммы, равной 70 процентам от суммы вычетов для целей исчисления налога на сверхприбыль, -как разница между чистым доходом для целей исчисления налога на сверхприбыль и суммой, равной 70 процентам от суммы вычетов для целей исчисления налога на сверхприбыль;
в случае, если сумма чистого дохода для целей исчисления налога на сверхприбыль меньше или равна сумме, равной 70 процентам от суммы вычетов для целей исчисления налога на сверхприбыль, - как ноль;
3) распределяет фактически полученный в налоговом периоде чистый доход для целей исчисления налога на сверхприбыль по уровням, предусмотренным статьей 808 настоящего Кодекса, в следующем порядке:
для уровня 1:
если сумма чистого дохода для целей исчисления налога на сверхприбыль за налоговый период превышает предельную сумму распределения чистого дохода для первого уровня, то распределенная часть чистого дохода для первого уровня равна предельной сумме распределения чистого дохода для первого уровня;
если сумма чистого дохода для целей исчисления налога на сверхприбыль за налоговый период меньше предельной суммы распределения чистого дохода для первого уровня, то распределенная часть чистого дохода для первого уровня равна сумме чистого дохода для целей исчисления налога на сверхприбыль за налоговый период. При этом для следующих уровней распределение чистого дохода для целей исчисления налога на сверхприбыль не производится;
для уровней 2, 3, 4, 5, 6 и 7:
если разница между чистым доходом для целей исчисления налога на сверхприбыль за налоговый период и общей суммой распределенных частей чистого дохода по предыдущим уровням превышает или равна предельной сумме распределения чистого дохода для соответствующего уровня, то распределенная часть чистого дохода для этого уровня равна предельной сумме распределения чистого дохода для этого соответствующего уровня;
если разница между чистым доходом для целей исчисления налога на сверхприбыль за налоговый период и общей суммой распределенных частей чистого дохода по предыдущим уровням меньше предельной суммы распределения чистого дохода для соответствующего уровня, то распределенная часть чистого дохода для этого уровня равна такой разнице.
При этом для следующих уровней распределение чистого дохода для целей исчисления налога на сверхприбыль не производится.
Общая сумма распределенных по уровням частей чистого дохода должна быть равна общей сумме чистого дохода для целей исчисления налога на сверхприбыль за налоговый период;
4) применяет соответствующую ставку налога на сверхприбыль к каждой распределенной по уровням части чистого дохода в соответствии со статьей 808 настоящего Кодекса;
5) определяет сумму налога на сверхприбыль за налоговый период суммированием рассчитанных сумм налога на сверхприбыль по всем уровням, предусмотренным статьей 808 настоящего Кодекса.
Статья 808. Расчет предельной суммы распределения чистого дохода для целей исчисления налога на сверхприбыль
Налог на сверхприбыль уплачивается недропользователем по скользящей шкале ставок, определяемых в следующем порядке:
|
№ уровня |
Шкала распределения чистого дохода по уровням для целей исчисления налога на сверхприбыль, процент от суммы вычетов |
Процент для расчета предельной суммы распределения чистого дохода для целей исчисления налога на сверхприбыль |
Ставка (в %) |
|
1 |
2 |
3 |
4 |
|
1. |
меньшее или равное 25 процентам |
25 |
Не устанавливается |
|
2. |
от 25 процентов до 30 процентов включительно |
5 |
10 |
|
3. |
от 30 процентов до 40 процентов включительно |
10 |
20 |
|
4. |
от 40 процентов до 50 процентов включительно |
10 |
30 |
|
5. |
от 50 процентов до 60 процентов включительно |
10 |
40 |
|
6. |
от 60 процентов до 70 процентов включительно |
10 |
50 |
|
7. |
свыше 70 процентов |
в соответствии с подпунктом 2) пункта 2 статьи 761 настоящего Кодекса |
60 |
Статья 809. Налоговый период
1. Для налога на сверхприбыль налоговым периодом является календарный год с 1 января по 31 декабря.
2. Если контракт на недропользование был заключен в течение календарного года, первым налоговым периодом для исчисления налога на сверхприбыль по такому контракту является период времени со дня вступления контракта на недропользование в силу и до окончания календарного года.
3. Если действие контракта на недропользование истекло до конца календарного года, последним налоговым периодом для исчисления налога на сверхприбыль по такому контракту является период времени с начала календарного года до дня завершения действия контракта на недропользование.
4. Если действие контракта на недропользование, вступившего в силу после начала календарного года, истекло до окончания этого календарного года, налоговым периодом для исчисления налога на сверхприбыль по такому контракту является период времени со дня вступления контракта на недропользование в силу до дня завершения действия контракта на недропользование.
Статья 810. Срок уплаты налога
Налог на сверхприбыль уплачивается в бюджет по месту нахождения налогоплательщика не позднее десяти календарных дней после срока, установленного для сдачи декларации.
Статья 811. Налоговая декларация
Декларация по налогу на сверхприбыль представляется налогоплательщиком в налоговый орган по месту нахождения не позднее 31 марта года, следующего за отчетным налоговым периодом.
Глава 92. АЛЬТЕРНАТИВНЫЙ НАЛОГ НА НЕДРОПОЛЬЗОВАНИЕ
Статья 812. Общие положения
1. Если иное не установлено пунктом 4 настоящей статьи, альтернативный налог на недропользование вправе применить взамен платежа по возмещению исторических затрат, налога на добычу полезных ископаемых, налога на сверхприбыль юридические лица - недропользователи, заключившие в соответствии с законодательством Республики Казахстан о недрах и недропользовании:
1) контракт на добычу и (или) совмещенную разведку и добычу углеводородов на участке (участках) недр, полностью расположенном (расположенных) в казахстанском секторе Каспийского моря;
2) контракт на добычу и (или) разведку и добычу углеводородов по участку (участкам) недр с глубиной верхней точки залежей углеводородов, указанной в горном отводе или контракте на добычу или разведку и добычу углеводородов при отсутствии горного отвода, не выше 4500 метров и нижней точки залежей углеводородов, указанной в горном отводе или контракте на добычу или разведку и добычу углеводородов при отсутствии горного отвода, 5000 метров и ниже;
3) контракт на добычу или разведку и добычу углеводородов на месторождении (месторождениях), отнесенном (отнесенных) к категории истощающихся в соответствии с законодательством Республики Казахстан о недрах и недропользовании.
Данное право применяется в период с даты заключения данных контрактов на недропользование или дополнений к ранее заключенным контрактам на недропользование до даты окончания действия соответствующего контракта на недропользование и не подлежит изменению.
Уведомление о применении данного права направляется налогоплательщиком в налоговый орган по месту нахождения не позднее тридцати календарных дней с даты регистрации соответствующего контракта на недропользование или дополнений к ранее заключенным контрактам на недропользование.
2. Право применения с 1 января 2018 года альтернативного порядка исполнения налогового обязательства по специальным платежам и налогам недропользователей по контрактам, указанным в подпунктах 1) и 2) части первой пункта 1 настоящей статьи, заключенным до 1 января 2018 года, производится на весь оставшийся период действия контракта на недропользование и не подлежит изменению, о чем налогоплательщик направляет уведомление в налоговый орган по месту нахождения не позднее 1 марта 2018 года.
3. В случае непредставления в установленные сроки уведомлений, предусмотренных пунктами 1 и 2 настоящей статьи, исполнение налогового обязательства по платежу по возмещению исторических затрат, налогу на добычу полезных ископаемых и налогу на сверхприбыль осуществляется в порядке, определенном главами 88, 89 и 91 настоящего Кодекса.
4. Альтернативный налог на недропользование применяют взамен платежа по возмещению исторических затрат, налога на добычу полезных ископаемых, налога на сверхприбыль юридические лица - недропользователи, заключившие в соответствии с законодательством Республики Казахстан о недрах и недропользовании контракт на разведку и добычу или добычу углеводородов по сложным проектам, в силу соответствующего контракта с даты его регистрации. Указанные недропользователи не направляют уведомление, указанное в пункте 1 настоящей статьи.
При этом для целей настоящей главы контрактом на разведку и добычу или добычу углеводородов по сложным проектам также признается контракт на разведку и добычу или добычу углеводородов, изложенный в новой редакции в соответствии с типовым контрактом на разведку и добычу или добычу углеводородов по сложным проектам в соответствии с законодательством Республики Казахстан о недрах и недропользовании. В таком случае положения части первой настоящего пункта применяются с даты регистрации дополнения к ранее заключенному контракту на недропользование.
Статья 813. Порядок исчисления альтернативного налога на недропользование
1. Альтернативный налог на недропользование определяется за налоговый период по контрактной деятельности по каждому отдельному контракту на недропользование.
2. Объект обложения альтернативным налогом на недропользование определяется как разница между совокупным годовым доходом для целей исчисления альтернативного налога на недропользование и вычетами для целей альтернативного налога на недропользование с учетом корректировок, предусмотренных статьями 256 и 288 настоящего Кодекса.
С учетом особенностей, предусмотренных пунктом 4 статьи 756 настоящего Кодекса, для недропользователя по контракту на разведку и добычу или добычу углеводородов по сложным морским проектам превышение вычетов для целей исчисления альтернативного налога на недропользование над суммой исчисленного для целей альтернативного налога на недропользование совокупного годового дохода за налоговый период переносится на последующие десять лет включительно для погашения за счет исчисленного для целей альтернативного налога на недропользование налогооблагаемого дохода данных последующих налоговых периодов.
3. Совокупный годовой доход для целей исчисления альтернативного налога на недропользование определяется в соответствии с порядком, определенным настоящим Кодексом для целей исчисления корпоративного подоходного налога, за исключением превышения суммы положительной курсовой разницы над суммой отрицательной курсовой разницы, не подлежащего включению в совокупный годовой доход в целях исчисления альтернативного налога на недропользование, и без учета уменьшения совокупного годового дохода, предусмотренного статьей 255 настоящего Кодекса.
В целях настоящего пункта в качестве дохода не рассматривается превышение суммы положительной курсовой разницы над суммой отрицательной курсовой разницы, возникшее при списании до коммерческого обнаружения в период разведки стратегическим партнером обязательства национальной компании по недропользованию или юридического лица, акции (доли участия в уставном капитале) которого прямо или косвенно принадлежат такой национальной компании по недропользованию.
4. Вычеты для целей исчисления альтернативного налога на недропользование определяются в соответствии с порядком, определенным настоящим Кодексом для целей исчисления корпоративного подоходного налога, с учетом нижеследующего:
не подлежат вычету вознаграждения, в том числе относимые на вычеты согласно статье 263 настоящего Кодекса или подлежащие учету в качестве капитальных затрат;
не подлежит вычету превышение суммы отрицательной курсовой разницы над суммой положительной курсовой разницы, в том числе в составе расходов, относимых на вычеты в соответствии со статьями 303 - 315 настоящего Кодекса;
не подлежит вычету сумма исчисленного (начисленного) корпоративного подоходного налога.
5. В случае если одни и те же расходы (затраты) предусмотрены в нескольких видах расходов (затрат), установленных пунктом 4 настоящей статьи, то при исчислении альтернативного налога на недропользование указанные расходы (затраты) вычитаются только один раз.
6. Альтернативный налог на недропользование исчисляется как произведение объекта обложения таким налогом на недропользование и ставки, установленной статьей 814 настоящего Кодекса.
Статья 814. Ставка налога
Если иное не предусмотрено настоящей статьей, альтернативный налог на недропользование исчисляется по следующим ставкам исходя из мировой цены нефти, рассчитанной в порядке, определенном пунктом 3 статьи 776 настоящего Кодекса:
|
№ п/п |
Мировая цена |
Ставка, в % |
|
1 |
2 |
3 |
|
1. |
До 50 долларов США за баррель включительно |
0 |
|
2. |
До 60 долларов США за баррель включительно |
6 |
|
3. |
До 70 долларов США за баррель включительно |
12 |
|
4. |
До 80 долларов США за баррель включительно |
18 |
|
5. |
До 90 долларов США за баррель включительно |
24 |
|
6. |
До 100 долларов СШ Аза баррель включительно |
30 |
|
7. |
До 110 долларов СШ А за баррель включительно |
32 |
|
8. |
До 120 долларов США за баррель включительно |
34 |
|
9. |
До 130 долларов США за баррель включительно |
36 |
|
10. |
До 140 долларов США за баррель включительно |
38 |
|
11. |
До 150 долларов США за баррель включительно |
40 |
|
12. |
Свыше 150 долларов США за баррель |
42 |
С учетом особенностей, предусмотренных пунктом 4 статьи 756 настоящего Кодекса, по контрактам на разведку и добычу или добычу углеводородов по сложным морским проектам в соответствии с законодательством Республики Казахстан о недрах и недропользовании альтернативный налог на недропользование исчисляется по следующим ставкам исходя из мировой цены нефти, рассчитанной в порядке, определенном пунктом 3 статьи 776 настоящего Кодекса:
|
№ п/п |
Мировая цена |
Ставка, в % |
|
1 |
2 |
3 |
|
1. |
До 50 долларов США за баррель включительно |
0 |
|
2. |
До 60 долларов США за баррель включительно |
2 |
|
3. |
До 70 долларов США за баррель включительно |
4 |
|
4. |
До 80 долларов США за баррель включительно |
6 |
|
5. |
До 90 долларов США за баррель включительно |
8 |
|
6. |
До 100 долларов США за баррель включительно |
10 |
|
7. |
До 110 долларов США за баррель включительно |
10,7 |
|
8. |
До 120 долларов США за баррель включительно |
11,3 |
|
9. |
До 130 долларов США за баррель включительно |
12,0 |
|
10. |
До 140 долларов США за баррель включительно |
12,7 |
|
11. |
До 150 долларов США за баррель включительно |
13,3 |
|
17, |
Свыше 150 долларов США за баррель |
14,0 |
Статья 815. Налоговый период
1. Для альтернативного налога на недропользование налоговым периодом является календарный год.
2. Если контракт на недропользование был заключен в течение календарного года, первым налоговым периодом для исчисления альтернативного налога на недропользование по такому контракту является период времени со дня вступления контракта на недропользование в силу и до конца календарного года.
3. Если действие контракта на недропользование истекло до конца календарного года, последним налоговым периодом для исчисления альтернативного налога на недропользование по такому контракту является период времени с начала календарного года до дня завершения действия контракта на недропользование.
4. Если действие контракта на недропользование, вступившего в силу после начала календарного года, истекло до конца этого календарного года, налоговым периодом для исчисления альтернативного налога на недропользование по такому контракту является период времени со дня вступления контракта на недропользование в силу до дня завершения действия контракта на недропользование.
Статья 816. Срок уплаты налога
Альтернативный налог на недропользование подлежит уплате в бюджет по месту нахождения налогоплательщика не позднее десяти календарных дней после срока, установленного для сдачи декларации.
Статья 817. Налоговая декларация
Декларация по альтернативному налогу на недропользование представляется налогоплательщиком в налоговый орган по месту нахождения не позднее 31 марта года, следующего за отчетным налоговым периодом.
Глава 93. ПОРЯДОК ИСПОЛНЕНИЯ НАЛОГОВЫХ ОБЯЗАТЕЛЬСТВ ПО НАЛОГУ НА ДОБЫЧУ ПОЛЕЗНЫХ ИСКОПАЕМЫХ, РЕНТНОМУ НАЛОГУ НА ЭКСПОРТ ПО УГЛЕВОДОРОДАМ, РОЯЛТИ И ДОЛЕ РЕСПУБЛИКИ КАЗАХСТАН ПО РАЗДЕЛУ ПРОДУКЦИИ В НАТУРАЛЬНОЙ ФОРМЕ
Статья 818. Порядок исполнения налогового обязательства по роялти и доле Республики Казахстан по разделу продукции в натуральной форме
1. Исполнение налогового обязательства по уплате роялти и доли Республики Казахстан по разделу продукции в денежной форме может быть заменено на натуральную форму временно, полностью или частично при одновременном соблюдении следующих условий:
1) соглашениями (контрактами) о разделе продукции, контрактом на недропользование, утвержденным Президентом Республики Казахстан, указанными в статье 755 настоящего Кодекса, предусмотрена передача полезных ископаемых в счет исполнения недропользователем налогового обязательства по уплате роялти и (или) доли Республики Казахстан по разделу продукции в натуральной форме;
2) решением Правительства Республики Казахстан определен получатель от имени государства полезных ископаемых, переданных недропользователем в счет исполнения налогового обязательства в натуральной форме.
2. Во исполнение налогового обязательства в натуральной форме:
1) недропользователь передает полезные ископаемые получателю от имени государства в порядке и сроки, которые установлены соглашением (контрактом) о разделе продукции и (или) контрактом на недропользование, утвержденным Президентом Республики Казахстан, указанными в статье 755 настоящего Кодекса, либо иным документом, предусмотренным таким соглашением и (или) контрактом;
2) получатель от имени государства реализует полезные ископаемые самостоятельно или через лицо, уполномоченное получателем от имени государства на осуществление такой реализации, с учетом соблюдения законодательства Республики Казахстан о трансфертном ценообразовании.
Реализация полезных ископаемых, полученных в счет исполнения недропользователем обязательства в натуральной форме, осуществляется с соблюдением следующих принципов:
законности;
прозрачности;
определенности;
добросовестности;
справедливости;
извлечения максимальной выгоды;
минимизации сопутствующих расходов;
3) получатель от имени государства или лицо, уполномоченное получателем от имени государства на осуществление такой реализации, определяет и перечисляет в бюджет текущие платежи в размере, исчисленном в соответствии с порядком исполнения обязательства в натуральной форме, определенным Правительством Республики Казахстан;
4) недропользователь, получатель от имени государства представляют в налоговые органы по месту нахождения декларацию (расчет текущих платежей) по исполнению налогового обязательства в натуральной форме в порядке, определенном настоящим Кодексом, и по форме, установленной уполномоченным органом.
3. Налоговым периодом для исполнения недропользователем налогового обязательства по налогам в натуральной форме является календарный квартал.
Налоговым периодом для получателя от имени государства в части уплаты денег, полученных от фактической реализации полезных ископаемых, передаваемых недропользователем в счет исполнения налогового обязательства по налогам в натуральной форме, является календарный год.
4. Определение объема полезных ископаемых, передаваемых в счет исполнения налогового обязательства в натуральной форме, исчисление его в денежном выражении, а также их реализация осуществляются в порядке исполнения обязательства в натуральной форме, определенном Правительством Республики Казахстан.
5. Недропользователь представляет в налоговый орган по месту нахождения декларацию об исполнении налогового обязательства в натуральной форме не позднее 15 числа второго месяца, следующего за налоговым периодом.
6. Получатель от имени государства представляет в налоговый орган по месту нахождения:
1) расчет текущих платежей по исполнению налогового обязательства в натуральной форме не позднее 15 числа второго месяца, следующего за налоговым периодом.
Представление расчета текущих платежей по исполнению налогового обязательства в натуральной форме, внесение изменений и дополнений в него, после срока, установленного для представления декларации, указанной в подпункте 2) настоящего пункта, не допускаются;
2) декларацию об исполнении налогового обязательства в натуральной форме за календарный год не позднее 31 марта года, следующего за отчетным календарным годом.
Получатель от имени государства не представляет декларации по корпоративному подоходному налогу и налогу на добавленную стоимость в отношении деятельности, связанной с исполнением налогового обязательства в натуральной форме.
7. В течение налогового периода получатель от имени государства ежеквартально определяет текущие платежи в счет уплаты налогов в натуральной форме и перечисляет их в бюджет не позднее 25 числа второго месяца, следующего за налоговым периодом, за исключением текущих платежей, указанных в части второй настоящего пункта.
Текущие платежи по реализованным в первом квартале полезным ископаемым, полученным за предыдущие налоговые периоды, подлежат отражению в дополнительном расчете текущих платежей в натуральной форме за четвертый квартал предыдущего календарного года и перечисляются в бюджет в срок, установленный пунктом 8 настоящей статьи.
Текущие платежи перечисляются в бюджет в размере денег, полученных в соответствующем налоговом периоде от реализации полезных ископаемых, за минусом расходов по такой реализации, подлежащих возмещению в соответствии с порядком исполнения обязательства в натуральной форме, определенным Правительством Республики Казахстан.
8. В срок не позднее десяти календарных дней после срока, установленного для представления декларации об исполнении налогового обязательства в натуральной форме, получатель от имени государства осуществляет уплату денег, полученных от реализации полезных ископаемых, переданных в течение предыдущего календарного года недропользователем в счет исполнения налогового обязательства в натуральной форме. Такая уплата осуществляется в валюте, предусмотренной соответствующим соглашением (контрактом) о разделе продукции и (или) контрактом на недропользование, утвержденным Президентом Республики Казахстан, указанными в статье 755 настоящего Кодекса.
Размер налогового обязательства в натуральной форме за календарный год определяется в соответствии с порядком исполнения обязательства в натуральной форме, определенным Правительством Республики Казахстан.
9. При уплате (перечислении) в платежных документах указываются в том числе наименование и идентификационный номер получателя от имени государства.
10. Не исполненное в срок налоговое обязательство определяется в размере физического объема полезных ископаемых по не исполненному в срок налоговому обязательству в переводе в денежное выражение.
11. Физический объем полезных ископаемых по не исполненному в срок налоговому обязательству для недропользователя определяется как разница между физическим объемом полезных ископаемых, подлежащих передаче за налоговый период, и физическим объемом полезных ископаемых, фактически переданных за налоговый период.
Физический объем полезных ископаемых переводится в денежное выражение с применением условных цен, определенных в соответствии с соглашениями (контрактами) о разделе продукции, контрактом на недропользование, утвержденным Президентом Республики Казахстан, предусмотренными статьей 755 настоящего Кодекса.
В случае отсутствия порядка определения условных цен в соглашениях (контрактах) о разделе продукции, контракте на недропользование, утвержденном Президентом Республики Казахстан, предусмотренных статьей 755 настоящего Кодекса, такие условные цены определяются в соответствии с порядком исполнения обязательства в натуральной форме, определенным Правительством Республики Казахстан.
12. Физический объем полезных ископаемых по не исполненному в срок налоговому обязательству по календарному году для получателя от имени государства определяется как разница между физическим объемом подлежащих реализации за отчетный календарный год полезных ископаемых, полученных в счет исполнения налогового обязательства в натуральной форме, рассчитываемым в соответствии с порядком исполнения обязательства в натуральной форме, определенным Правительством Республики Казахстан, и физическим объемом полезных ископаемых, фактически реализованных в отчетном календарном году.
Физический объем полезных ископаемых по не исполненному в срок налоговому обязательству по календарному году для получателя от имени государства переводится в денежное выражение с применением средневзвешенной фактической цены за отчетный календарный год, но не ниже средневзвешенной условной цены, предусмотренной пунктом 11 настоящей статьи.
Статья 819. Порядок уплаты налога на добычу полезных ископаемых, рентного налога на экспорт по углеводородам в натуральной форме
1. В случаях, установленных пунктом 2 статьи 748 и пунктом 2 статьи 772 настоящего Кодекса, налогоплательщик обязан производить передачу Республике Казахстан в натуральной форме полезных ископаемых в счет уплаты налога на добычу полезных ископаемых, рентного налога на экспорт по углеводородам.
2. Замена денежной формы уплаты налога на добычу полезных ископаемых и рентного налога на экспорт по углеводородам, установленных настоящим Кодексом, может быть произведена временно, полностью или частично.
3. Размер налога на добычу полезных ископаемых и рентного налога на экспорт по углеводородам, установленных настоящим Кодексом, уплачиваемых в натуральной форме, должен быть эквивалентен сумме данных налогов и платежей, исчисленных в денежном выражении в порядке и размерах, которые установлены настоящим Кодексом.
Определение объема полезных ископаемых, передаваемых недропользователем в счет исполнения налогового обязательства в натуральной форме, исчисление его в денежном выражении, а также реализация таких полезных ископаемых осуществляются в порядке исполнения обязательства в натуральной форме, определенном Правительством Республики Казахстан.
4. При заключении дополнительного соглашения, предусматривающего уплату налогоплательщиком в натуральной форме налога на добычу полезных ископаемых и рентного налога на экспорт по углеводородам, установленных настоящим Кодексом, в нем обязательно указываются:
1) получатель от имени государства объемов полезных ископаемых, передаваемых налогоплательщиком Республике Казахстан в виде налога на добычу полезных ископаемых, рентного налога на экспорт по углеводородам в натуральной форме;
2) пункт, условия и сроки поставки объемов полезных ископаемых в виде налога на добычу полезных ископаемых, рентного налога на экспорт по углеводородам, передаваемых налогоплательщиком Республике Казахстан в натуральной форме.
5. Сроки передачи налогоплательщиком полезных ископаемых, передаваемых в натуральной форме в счет уплаты налога на добычу полезных ископаемых и рентного налога на экспорт по углеводородам, установленных настоящим Кодексом, должны соответствовать срокам уплаты указанных налогов и платежей в бюджет в денежной форме, установленным настоящим Кодексом.
6. Получатель от имени государства перечисляет в бюджет причитающуюся сумму налога на добычу полезных ископаемых, рентного налога на экспорт по углеводородам в денежной форме в сроки уплаты указанных налогов и платежей, установленные настоящим Кодексом.
7. Получатель от имени государства самостоятельно осуществляет контроль за своевременностью и полнотой передачи ему налогоплательщиком соответствующего объема полезных ископаемых.
Ответственность за полноту и своевременность перечисления в бюджет налога на добычу полезных ископаемых и рентного налога на экспорт по углеводородам, установленных настоящим Кодексом, передаваемых налогоплательщиком Республике Казахстан в натуральной форме, с даты фактической отгрузки налогоплательщиком соответствующих объемов полезных ископаемых несет получатель от имени государства.
8. Налогоплательщик и получатель от имени государства представляют в налоговые органы по месту нахождения отчетность о размерах и сроках уплаты (передачи) налога на добычу полезных ископаемых и рентного налога на экспорт по сырой нефти, газовому конденсату, установленных настоящим Кодексом, в натуральной форме в сроки, установленные настоящим Кодексом, и по формам, утвержденным уполномоченным органом.
РАЗДЕЛ 20. ЕДИНЫЙ ПЛАТЕЖ
Глава 94. ЕДИНЫЙ ПЛАТЕЖ
Статья 820. Общие положения
1. Налоговый агент в соответствующей декларации самостоятельно определяет единый порядок обложения доходов работников, подлежащих обложению у источника выплаты, в соответствии с положениями настоящей главы или в соответствии с положениями раздела 6 настоящего Кодекса.
2. Налоговыми агентами в целях настоящей главы признаются индивидуальные предприниматели и юридические лица, являющиеся субъектами микро- и малого, среднего предпринимательства, которые выбрали исполнение обязательств по исчислению, удержанию и перечислению индивидуального подоходного налога в составе единого платежа по выплаченным доходам работника (за исключением нерезидента), если они:
применяют специальные налоговые режимы, предусмотренные главами 78 и 79 настоящего Кодекса;
занимаются производством сельскохозяйственной продукции, продукции аквакультуры (рыбоводства), а также переработкой указанной продукции собственного производства и реализацией продуктов такой переработки;
являются сельскохозяйственными кооперативами, указанными в статье 16 настоящего Кодекса.
3. В единый платеж включаются подлежащие уплате суммы индивидуального подоходного налога с доходов, подлежащих обложению у источника выплаты, обязательные пенсионные взносы и обязательные пенсионные взносы работодателя, социальные отчисления, уплачиваемые в соответствии с Социальным кодексом Республики Казахстан, взносы и отчисления на обязательное социальное медицинское страхование, уплачиваемые в соответствии с Законом Республики Казахстан «Об обязательном социальном медицинском страховании».
4. Выбранный порядок обложения доходов работников, подлежащих обложению у источника выплаты в первоначальной или очередной декларации, не подлежит изменению в течение налогового периода.
Статья 821. Объект обложения единым платежом
Объектом обложения единым платежом является доход работника, за исключением работника-нерезидента, предусмотренный статьей 426 настоящего Кодекса, начисленный работодателем, являющемся лицом, указанным в пункте 2 статьи 820 настоящего Кодекса.
Статья 822. Ставка единого платежа и доля в нем индивидуального подоходного налога с доходов, облагаемых у источника выплаты
1. Ставка единого платежа, применяемая к объекту обложения, составляет:
с 1 января 2026 года - 24,8 процента;
с 1 января 2027 года - 25,8 процента;
с 1 января 2028 года - 26,3 процента.
При этом за работников, освобожденных от уплаты социальных платежей (за исключением обязательных профессиональных пенсионных взносов) в соответствии с Социальным кодексом Республики Казахстан и Законом Республики Казахстан «Об обязательном социальном медицинском страховании», а также за работников, за которых в соответствии с подпунктами 1), 7), 8), 9), 11), 12) и 13) пункта 1 статьи 26 Закона Республики Казахстан «Об обязательном социальном медицинском страховании» взносы на обязательное социальное медицинское страхование уплачиваются государством, ставка единого платежа снижается на соответствующую долю социальных платежей (за исключением обязательных профессиональных пенсионных взносов).
2. Доля индивидуального подоходного налога плательщика единого платежа от ставки единого платежа составляет:
с 1 января 2026 года - 7,3 процента;
с 1 января 2027 года - 7,0 процента;
с 1 января 2028 года - 6,9 процента.
Статья 823. Порядок исчисления, уплаты единого платежа и отражения обязательств по нему в соответствующей налоговой отчетности
1. Исчисление, удержание соответствующих долей единого платежа и его перечисление, а также отражение обязательств по нему в соответствующей налоговой отчетности производятся налоговым агентом в порядке и сроки, которые установлены настоящей главой.
2. Исчисление единого платежа производится налоговым агентом при начислении объекта обложения.
3. Удержание сумм соответствующих долей единого платежа, причитающихся на индивидуальный подоходный налог, обязательные пенсионные взносы, взносы на обязательное социальное медицинское страхование, производится налоговым агентом не позднее дня выплаты дохода, подлежащего обложению у источника выплаты.
4. Обязательные пенсионные взносы работодателя, социальные отчисления и отчисления на обязательное социальное медицинское страхование осуществляются налоговыми агентами за счет собственных средств в пользу работников.
5. Налоговый агент перечисляет единый платеж по начисленным доходам ежемесячно не позднее 25 числа месяца, следующего за отчетным, общей суммой через банки второго уровня или организации, осуществляющие отдельные виды банковских операций, на банковский счет Государственной корпорации с указанием месяца, за который перечисляется такой единый платеж.
6. Уплата, перечисление единого платежа, пеней по единому платежу и распределение их в виде индивидуального подоходного налога и социальных платежей (за исключением обязательных профессиональных пенсионных взносов), пеней, а также их возврат осуществляются в порядке, определяемом центральным исполнительным органом в сфере социальной защиты населения по согласованию с Национальным Банком, уполномоченным органом, а также уполномоченными государственными органами по государственному планированию, в области здравоохранения и сфере информатизации.
7. Суммы единого платежа отражаются в декларации, предусмотренной статьей 445 настоящего Кодекса.
Статья 824. Налоговый период
Налоговым периодом для исчисления налоговыми агентами единого платежа является календарный месяц.
Статья 825. Компетенция Государственной корпорации в рамках единого платежа
1. Государственная корпорация в рамках единого платежа осуществляет следующие виды деятельности, относящиеся к государственной монополии:
1) ведет персонифицированный учет плательщиков единого платежа на базе индивидуального идентификационного номера;
2) актуализирует персонифицированный учет плательщиков единого платежа;
3) распределяет и перечисляет сумму единого платежа в ГФСС, фонд социального медицинского страхования, единый накопительный пенсионный фонд и соответствующий бюджет по месту нахождения налогового агента;
4) осуществляет возврат ошибочно (излишне) уплаченных сумм единого платежа в порядке, определяемом центральным исполнительным органом в сфере социальной защиты населения по согласованию с Национальным Банком, уполномоченным органом, а также уполномоченными государственными органами по государственному планированию, в области здравоохранения и сфере информатизации.
2. Цены на товары (работы, услуги), производимые и (или) реализуемые Государственной корпорацией, устанавливаются уполномоченным органом, определяемым решением Правительства Республики Казахстан из числа центральных государственных органов, по согласованию с антимонопольным органом и уполномоченным органом.
РАЗДЕЛ 21. ОСОБЕННОСТИ НАЛОГООБЛОЖЕНИЯ ИНОСТРАННЫХ КОМПАНИЙ ПРИ ОСУЩЕСТВЛЕНИИ ЭЛЕКТРОННОЙ ТОРГОВЛИ ТОВАРАМИ, ОКАЗАНИИ УСЛУГ В ЭЛЕКТРОННОЙ ФОРМЕ ФИЗИЧЕСКИМ ЛИЦАМ
Глава 95. ОСОБЕННОСТИ НАЛОГООБЛОЖЕНИЯ ИНОСТРАННОЙ КОМПАНИИ ПРИ ОСУЩЕСТВЛЕНИИ ЭЛЕКТРОННОЙ ТОРГОВЛИ ТОВАРАМИ, ОКАЗАНИИ УСЛУГ В ЭЛЕКТРОННОЙ ФОРМЕ ФИЗИЧЕСКИМ ЛИЦАМ
Статья 826. Общие положения
1. Плательщиком налога на добавленную стоимость признается иностранная компания, зарегистрированная в порядке статьи 102 настоящего Кодекса.
В целях настоящего пункта к иностранной компании не относится лицо, по которому произведена постановка на регистрационный учет по налогу на добавленную стоимость в соответствии со статьями 100 и 101 настоящего Кодекса.
2. Плательщик налога на добавленную стоимость исчисляет налог на добавленную стоимость при осуществлении электронной торговли товарами, оказании услуг в электронной форме физическим лицам в порядке, установленном настоящим разделом, если выполняется одно из следующих условий:
местом жительства физического лица - покупателя является Республика Казахстан;
местом нахождения банка, в котором открыт банковский счет, используемый физическим лицом - покупателем для оплаты услуг, или оператора электронных денег, через которого физическим лицом - покупателем осуществляется оплата услуг, является территория Республики Казахстан;
сетевой адрес физического лица - покупателя, использованный при приобретении услуг, зарегистрирован в Республике Казахстан;
международный код страны телефонного номера (в том числе мобильного), используемого для приобретения или оплаты услуг, присвоен Республикой Казахстан.
3. Выписка счетов-фактур плательщиком налога на добавленную стоимость по реализованным товарам, оказанным услугам физическим лицам в электронной форме не требуется.
4. Налог на добавленную стоимость при осуществлении электронной торговли товарами, оказании услуг в электронной форме физическим лицам не подлежит исчислению и уплате в следующих случаях:
1) в части превышения стоимостной и (или) весовой нормы, определяемой в соответствии с таможенным законодательством ЕАЭС и (или) таможенным законодательством Республики Казахстан, по которой таможенные пошлины, налоги уплачены в Республике Казахстан в виде совокупного таможенного платежа и не подлежат возврату;
2) если стоимость таких товаров, услуг включена в размер облагаемого импорта, определяемый в соответствии со статьей 509 настоящего Кодекса, по которому налог на добавленную стоимость на ввозимые товары из государств - членов ЕАЭС уплачен в бюджет Республики Казахстан и не подлежит возврату в соответствии с главой 51 настоящего Кодекса.
Статья 827. Порядок исчисления и уплаты налога на добавленную стоимость при осуществлении электронной торговли товарами, оказании услуг в электронной форме физическим лицам
1. Налог на добавленную стоимость при осуществлении электронной торговли товарами, оказании услуг в электронной форме физическим лицам исчисляется путем применения ставки налога, установленной пунктом 1 статьи 503 настоящего Кодекса к стоимости реализованных в электронной форме товаров, услуг.
Стоимость реализованных в электронной форме товаров, оказанных услуг физическим лицам в иностранной валюте пересчитывается в тенге с применением официального курса валют, установленного на последний календарный день, предшествующий дате уплаты налога.
Иностранная компания обязана уплатить исчисленный налог на добавленную стоимость при осуществлении электронной торговли товарами, оказании услуг в электронной форме физическим лицам в бюджет за каждый квартал не позднее 25 числа второго месяца, следующего за кварталом, в котором осуществлена реализация товаров, оказание услуг.
2. Для целей настоящего раздела датой совершения оборота по электронной торговле товарами и (или) оказанию услуг в электронной форме физическим лицам является дата осуществления платежа покупателем товара и (или) услуг.
3. Уплаченные суммы налога на добавленную стоимость в соответствии с настоящей статьей возврату не подлежат.
РАЗДЕЛ 22. ЗАКЛЮЧИТЕЛЬНЫЕ И ПЕРЕХОДНЫЕ ПОЛОЖЕНИЯ
Статья 828. Переходные положения
1. Единый накопительный пенсионный фонд не производит удержание и перечисление индивидуального подоходного налога, ранее исчисленного и не перечисленного в государственный бюджет по осуществленным единовременным пенсионным выплатам из единого накопительного пенсионного фонда согласно подпункту 2) пункта 2 статьи 351-1 Кодекса Республики Казахстан от 25 декабря 2017 года «О налогах и других обязательных платежах в бюджет» (Налоговый кодекс).
2. В случае если при определении облагаемого дохода физического лица в соответствии с пунктами 3 и 3-1 статьи 353 Кодекса Республики Казахстан от 25 декабря 2017 года «О налогах и других обязательных платежах в бюджет» (Налоговый кодекс) к доходу физического лица в виде пенсионных выплат и (или) единовременных пенсионных выплат из единого накопительного пенсионного фонда не были применены налоговые вычеты, установленные подпунктами 2) и 3) пункта 1 статьи 346 Кодекса Республики Казахстан от 25 декабря 2017 года «О налогах и других обязательных платежах в бюджет» (Налоговый кодекс), по причине обращения физического лица позже даты удержания индивидуального подоходного налога с дохода, то физическое лицо вправе представить налоговому агенту, производившему удержание индивидуального подоходного налога с такого дохода, заявление и подтверждающие документы, на основании которых налоговый агент производит перерасчет доходов в пределах срока исковой давности, предусмотренного подпунктом 2) пункта 2 статьи 65 настоящего Кодекса.
При этом срок исковой давности по перерасчету доходов в виде единовременных пенсионных выплат из единого накопительного пенсионного фонда, осуществленных в период с 1 января 2021 года по 31 декабря 2021 года, определен в течение периода с 1 января 2021 года по 31 декабря 2025 года.
Статья 829. Переходные положения в отношении лица, занимающегося частной практикой
1. Лицо, занимающееся частной практикой, состоящее на регистрационном учете в качестве плательщика налога на добавленную стоимость, в течение десяти рабочих дней со дня введения в действие настоящего Кодекса без уведомления подлежит снятию налоговым органом с регистрационного учета в качестве плательщика налога на добавленную стоимость с даты введения в действие настоящего Кодекса.
2. Лицо, занимающееся частной практикой, состоящее на регистрационном учете в качестве плательщика налога на добавленную стоимость, обязано в течение десяти рабочих дней со дня введения в действие настоящего Кодекса представить в налоговый орган по месту регистрации ликвидационную налоговую отчетность по налогу на добавленную стоимость за период с начала налогового периода, в котором возникло обязательство по представлению такой ликвидационной налоговой отчетности, до даты ее представления в налоговый орган.
3. Свидетельство о постановке на регистрационный учет по налогу на добавленную стоимость лица, занимающегося частной практикой, признается недействительным со дня введения в действие настоящего Кодекса.
Статья 830. Переходные положения по ставкам сбора за первичную государственную регистрацию механических транспортных средств
Установить, что до 1 января 2028 года в отношении транспортных средств категории N3 (седельные тягачи) возрастом до 7 лет, включая год выпуска, регистрируемых плательщиками, имеющими удостоверение допуска к осуществлению международных автомобильных перевозок грузов, ставки сбора за первичную государственную регистрацию механических транспортных средств, установленные пунктом 4 статьи 615 настоящего Кодекса, не применяются.
Статья 831. Переходные положения по действию годовых ставок за использование радиочастотного спектра
Приостановить до 1 января 2031 года действие строки 7 таблицы пункта 2 статьи 645 настоящего Кодекса для операторов связи, принявших на себя обязательства в рамках выданных уполномоченным органом в области связи разрешений на использование радиочастотного спектра, самостоятельно или консолидированно направивших средства не менее высвобожденных средств от снижения соответствующей ставки платы на финансирование проектов широкополосного доступа к Интернету в городских и сельских населенных пунктах, установив, что определенные годовые ставки платы уменьшаются на 90 процентов.
Возврат уплаченных плательщиками сумм платы не производится.
В целях оформления таких обязательств операторы связи направляют разрешение на использование радиочастотного спектра в уполномоченный орган в области связи, который вносит обязательства и возвращает разрешение на использование радиочастотного спектра оператору связи.
Операторы связи представляют в уполномоченный орган в области связи ежегодные аудированные сведения по финансированию указанных проектов до и после выполнения соответствующих обязательств, а также на ежемесячной основе предоставляют информацию по обеспечению широкополосным доступом к Интернету городских и сельских населенных пунктов.
Приостановить с 1 января 2023 года до 1 января 2028 года действие строк 9, 9.1 и 10 таблицы пункта 2 статьи 645 настоящего Кодекса для операторов связи, принявших на себя обязательства в рамках выданных уполномоченным органом в области связи разрешений на использование радиочастотного спектра, самостоятельно направивших средства не менее высвобожденных средств от снижения соответствующей ставки платы на финансирование проектов широкополосного доступа к Интернету в сельских населенных пунктах с применением спутниковых технологий, установив, что определенные годовые ставки платы уменьшаются на 90 процентов со дня принятия соответствующих обязательств.
Возврат уплаченных плательщиками сумм платы не производится.
В целях оформления таких обязательств операторы связи направляют разрешение на использование радиочастотного спектра в уполномоченный орган в области связи, который вносит обязательства и возвращает разрешение на использование радиочастотного спектра оператору связи.
Операторы связи представляют в уполномоченный орган в области связи ежегодные аудированные сведения по финансированию указанных проектов после выполнения соответствующих обязательств.
Статья 832. Переходные положения по отнесению в зачет суммы налога на добавленную стоимость по легковому автомобилю, учтенному (учитываемому) в качестве основного средства
Установить, что если дата получения легкового автомобиля, учтенного (учитываемого) в качестве основного средства, или дата выписки счета-фактуры по его приобретению приходится на период с 1 января 2026 года, то сумма налога на добавленную стоимость по такому легковому автомобилю относится в зачет в 2026 году при соблюдении условий, установленных главой 49 настоящего Кодекса.
Статья 833. Переходные положения о порядке рассмотрения налоговых заявлений и требований о возврате суммы превышения налога на добавленную стоимость, представленных до 1 января 2026 года
Установить, что налоговые заявления и требования о возврате суммы превышения налога на добавленную стоимость, представленные до 1 января 2026 года, рассматриваются в порядке и сроки, которые предусмотрены Кодексом Республики Казахстан от 25 декабря 2017 года «О налогах и других обязательных платежах в бюджет» (Налоговый кодекс).
Статья 834. Переходные положения по исчислению и уплате налога на добавленную стоимость при осуществлении электронной торговли товарами, оказании услуг в электронной форме физическим лицам
Установить, что до вступления в силу Протокола о внесении изменений в Договор о Таможенном кодексе ЕАЭС налог на добавленную стоимость при осуществлении электронной торговли товарами, оказании услуг в электронной форме физическим лицам не подлежит исчислению и уплате в части превышения стоимостной и (или) весовой нормы, определяемой в соответствии с таможенным законодательством ЕАЭС и (или) таможенным законодательством Республики Казахстан, по которой таможенные пошлины, налоги уплачены в Республике Казахстан в виде совокупного таможенного платежа и не подлежат возврату.
Статья 835. Переходные положения по плательщикам рентного налога на экспорт
Приостановить действие абзаца третьего части первой статьи 746 настоящего Кодекса до 1 января 2027 года, установив, что в период приостановления данный абзац действует в следующей редакции:
«недропользователями, являющимися плательщиками альтернативного налога на недропользование.».
Статья 836. Сохранение налоговых преференций по заключенному стратегическому проекту до 1 января 2018 года
Установить, что по инвестиционному стратегическому проекту, заключенному с уполномоченным государственным органом по инвестициям до 1 января 2018 года в соответствии с законодательством Республики Казахстан об инвестициях, преференции по налогам сохраняются до истечения срока их действия, определенного в соответствии с законодательством Республики Казахстан, действовавшим до 1 января 2018 года.
Статья 837. Сохранение условий при реализации инвестиционного приоритетного проекта, предусмотренных инвестиционным контрактом, и условий, предусмотренных для соглашений об инвестиционных обязательствах, заключенных до 1 января 2026 года
1. Установить, что по инвестиционному приоритетному проекту, реализуемому в соответствии с инвестиционным контрактом, заключенным с уполномоченным государственным органом по инвестициям, сохраняются условия данного контракта до истечения его срока действия:
1) в части гарантии стабильности налогового законодательства Республики Казахстан по контрактам, заключенным до 1 января 2018 года в соответствии с законодательством Республики Казахстан об инвестициях;
2) в части преференций по налогам и гарантии стабильности налогового законодательства Республики Казахстан по контрактам, заключенным в период с 1 января 2018 года до 1 января 2026 года в соответствии с Предпринимательским кодексом Республики Казахстан.
2. Установить, что по соглашениям об инвестиционных обязательствах, заключенным в соответствии с Предпринимательским кодексом Республики Казахстан с Правительством Республики Казахстан до 1 января 2026 года, сохраняется гарантия стабильности налогового законодательства.
Статья 838. Сохранение условий, предусмотренных соглашением об инвестициях, заключенным до 1 января 2026 года
Установить, что по соглашениям об инвестициях, заключенным в соответствии с Предпринимательским кодексом Республики Казахстан с государственным органом до 1 января 2026 года, уполномоченным Правительством Республики Казахстан на заключение такого соглашения, сохраняются условия данного соглашения до истечения его срока действия в части условий налогообложения и гарантии стабильности налогового законодательства Республики Казахстан.
Статья 839. Сохранение условий инвестиционного контракта по освобождению от налога на добавленную стоимость импорта сырья и (или) материалов, заключенного до 1 января 2026 года
Установить, что освобождение от налога на добавленную стоимость импорта сырья и (или) материалов в рамках инвестиционного контракта (за исключением инвестиционного приоритетного проекта и инвестиционного стратегического проекта), заключенного в соответствии с Предпринимательским кодексом Республики Казахстан до 1 января 2026 года, сохраняется до истечения срока действия данного контракта.
Статья 840. Переходные положения в отношении налогоплательщиков, применяющих специальные налоговые режимы
1. Подлежат снятию налоговым органом с учета в качестве индивидуальных предпринимателей автоматически 1 марта 2026 года налогоплательщики, применявшие до 1 января 2026 года специальные налоговые режимы на основе патента и с использованием специального мобильного приложения, не представившие для применения специального налогового режима на основе упрощенной декларации уведомление, предусмотренное пунктом 2 настоящей статьи.
Датой снятия таких налогоплательщиков с учета в качестве индивидуальных предпринимателей является дата введения в действие настоящего Кодекса.
Датой начала применения специального налогового режима для самозанятых является:
месяц, указанный в первом платежном документе согласно пункту 3 статьи 720 настоящего Кодекса, - в случае осуществления деятельности в местах отсутствия сети телекоммуникаций общего пользования;
дата первого чека, сформированного в специальном мобильном приложении, - в иных случаях.
2. Налогоплательщики, применявшие до 1 января 2026 года специальные налоговые режимы, для применения специального налогового режима на основе упрощенной декларации с учетом условий применения, установленных статьей 723 настоящего Кодекса, представляют уведомления о применяемом режиме налогообложения до 1 марта 2026 года.
Датой прекращения применения специальных налоговых режимов, применявшихся до введения в действие настоящего Кодекса, и датой начала применения режима для таких налогоплательщиков является дата введения в действие настоящего Кодекса.
3. Налогоплательщики (кроме указанных в пункте 1 настоящей статьи, а также применяющих специальный налоговый режим для крестьянских или фермерских хозяйств), не представившие до 1 марта 2026 года уведомление о применяемом режиме налогообложения в соответствии с пунктом 2 настоящей статьи, признаются применяющими общеустановленный порядок налогообложения.
Статья 841. Переходные положения по имущественному доходу
Приостановить до 1 января 2028 года:
1) действие подпунктов 1), 2) и 4) пункта 5 статьи 382 настоящего Кодекса, установив, что в период приостановления данные подпункты действуют в следующей редакции:
«1) расположенных на территории Республики Казахстан жилищ, дачных строений, парковочных мест, кладовок, гаражей, объектов личного подсобного хозяйства, которые находятся на праве собственности у такого физического лица:
один год и более с даты регистрации права собственности, произведенной до 1 января 2026 года;
два года и более с даты регистрации права собственности, произведенной после 1 января 2026 года;
2) расположенных на территории Республики Казахстан жилищ, парковочных мест, кладовок, гаражей, объектов личного подсобного хозяйства, приобретенных по договору о долевом участии в жилищном строительстве или путем уступки права требования по договору о долевом участии в жилищном строительстве, в случае, когда:
жилище, дачное строение, парковочное место, кладовка, гараж, объект личного подсобного хозяйства находятся на праве собственности у такого физического лица один год и более с даты регистрации права собственности, произведенной до 1 января 2026 года,
или
жилище, дачное строение, парковочное место, кладовка, гараж, объект личного подсобного хозяйства находятся на праве собственности у такого физического лица два года и более с даты регистрации права собственности, произведенной после 1 января 2026 года,
или
период с даты заключения такого договора до 1 января 2026 года или с даты приобретения до 1 января 2026 года такого права путем уступки права требования до даты реализации имущества или передачи его в качестве вклада в уставный капитал составляет два года и более,
или
период с даты заключения такого договора после 1 января 2026 года или с даты приобретения после 1 января 2026 года такого права путем уступки права требования до даты реализации имущества или передачи его в качестве вклада в уставный капитал составляет три года и более;»;
«4) находящихся на праве собственности у такого физического лица:
один год и более земельных участков и (или) земельных долей, расположенных на территории Республики Казахстан, целевым назначением которых с даты возникновения права собственности до 1 января 2026 года до даты реализации, передачи в качестве вклада в уставный капитал юридического лица являются индивидуальное жилищное строительство, дачное строительство, ведение личного подсобного хозяйства, садоводство, под гараж;
или
два года и более земельных участков и (или) земельных долей, расположенных на территории Республики Казахстан, целевым назначением которых с даты возникновения права собственности после 1 января 2026 года до даты реализации, передачи в качестве вклада в уставный капитал юридического лица являются индивидуальное жилищное строительство, дачное строительство, ведение личного подсобного хозяйства, садоводство, под гараж;»;
2) действие подпунктов 1) и 2) пункта 6 статьи 382 настоящего Кодекса, установив, что в период приостановления данные подпункты действуют в следующей редакции:
«1) в случае, когда период с:
даты заключения такого договора до 1 января 2026 года до даты уступки такого права требования составляет два года и более;
даты заключения такого договора после 1 января 2026 года до даты уступки такого права требования составляет три года и более;
2) в случае, когда период с:
даты приобретения такого права до 1 января 2026 года путем уступки права требования по договору о долевом участии в жилищном строительстве до даты уступки такого права требования составляет два года и более;
даты приобретения такого права после 1 января 2026 года путем уступки права требования по договору о долевом участии в жилищном строительстве до даты уступки такого права требования составляет три года и более.».
Статья 842. Переходные положения по доходу от прироста стоимости по недвижимому имуществу
Приостановить до 1 января 2028 года действие подпунктов 1) и 2) пункта 1 статьи 383 настоящего Кодекса, установив, что в период приостановления данные подпункты действуют в следующей редакции:
«1) расположенных в Республике Казахстан жилищ, дачных строений, гаражей, парковочных мест, кладовок, объектов личного подсобного хозяйства - в случае нахождения их на праве собственности менее:
одного года с даты регистрации права собственности, произведенной до 1 января 2026 года;
двух лет с даты регистрации права собственности, произведенной после 1 января 2026 года;
2) земельных участков и (или) земельных долей в Республике Казахстан, целевым назначением которых с даты возникновения права собственности до даты реализации являются индивидуальное жилищное строительство, дачное строительство, ведение личного подсобного хозяйства, под гараж, парковочные места, - в случае нахождения их на праве собственности менее:
одного года с даты регистрации права собственности, произведенной до 1 января 2026 года;
двух лет с даты регистрации права собственности, произведенной после 1 января 2026 года;».
Статья 843. Переходные положения по доходу от уступки права требования, в том числе доли в многоквартирном жилом доме по договору о долевом участии в жилищном строительстве
Приостановить до 1 января 2028 года действие пунктов 2 и 3 статьи 391 настоящего Кодекса, установив, что в период приостановления данные пункты действуют в следующей редакции:
«2. Доходом от уступки права требования доли в многоквартирном жилом доме по договору о долевом участии в жилищном строительстве для налогоплательщика, уступившего право требования, является положительная разница между стоимостью уступки права требования и ценой договора о долевом участии в жилищном строительстве в случае, когда период с:
даты заключения такого договора до 1 января 2026 года до даты уступки такого права требования составляет менее двух лет;
даты заключения такого договора после 1 января 2026 года до даты уступки такого права требования составляет менее трех лет.
3. Доходом от уступки права требования доли в многоквартирном жилом доме по договору о долевом участии в жилищном строительстве, ранее приобретенного путем уступки права требования по договору о долевом участии в жилищном строительстве и (или) полученного безвозмездно от другого физического лица, для налогоплательщика, уступившего право требования, является положительная разница между стоимостью уступки права требования и:
1) стоимостью, по которой физическое лицо ранее приобрело такое право, в случае, когда период с:
даты приобретения такого права до 1 января 2026 года путем уступки права требования по договору о долевом участии в жилищном строительстве до даты уступки такого права требования составляет менее двух лет, и (или)
даты приобретения такого права после 1 января 2026 года путем уступки права требования по договору о долевом участии в жилищном строительстве до даты уступки такого права требования составляет менее трех лет
и (или)
2) стоимостью права требования, безвозмездно полученного от другого физического лица в случае, когда период с:
даты получения такого права безвозмездно до 1 января 2026 года до даты уступки такого права требования составляет менее двух лет;
даты получения такого права безвозмездно после 1 января 2026 года до даты уступки такого права требования составляет менее трех лет.».
Статья 844. Переходные положения по доходам и вычетам по договорам страхования, перестрахования
1. Страховая, перестраховочная организации по договорам страхования, перестрахования за отчетный налоговый период с 1 января по 31 декабря 2026 года признают следующие доходы:
1) в сумме увеличения нераспределенной прибыли прошлых лет в годовой аудированной отчетности за 2023 год, возникшей в связи с переходом в соответствии с требованиями законодательства Республики Казахстан о бухгалтерском учете и финансовой отчетности на международный стандарт финансовой отчетности 17 «Договоры страхования»;
2) отрицательную разницу между чистой прибылью по отчетности, установленной Национальным Банком, с учетом требований уполномоченного органа по регулированию, контролю и надзору финансового рынка и финансовых организаций, согласованных с уполномоченным органом и уполномоченным органом в области налоговой политики, и чистой прибылью, отраженной в аудированной финансовой отчетности за 2023, 2024 и 2025 годы.
2. Страховая, перестраховочная организации по договорам страхования, перестрахования за отчетный налоговый период с 1 января по 31 декабря 2026 года вправе отнести на вычеты следующие расходы:
1) в сумме уменьшения нераспределенной прибыли прошлых лет в годовой аудированной отчетности за 2023 год, возникшей в связи с переходом в соответствии с требованиями законодательства Республики Казахстан о бухгалтерском учете и финансовой отчетности на международный стандарт финансовой отчетности 17 «Договоры страхования»;
2) положительную разницу между чистой прибылью по отчетности, установленной Национальным Банком, с учетом требований уполномоченного органа по регулированию, контролю и надзору финансового рынка и финансовых организаций, согласованных с уполномоченным органом и уполномоченным органом в области налоговой политики, и чистой прибылью, отраженной в аудированной финансовой отчетности за 2023, 2024 и 2025 годы.
3. Положения пунктов 1 и 2 настоящей статьи применяются Экспортно-кредитным агентством Казахстана.
При этом в целях подпункта 2) пункта 1 и подпункта 2) пункта 2 настоящей статьи учитывается отчетность, установленная уполномоченным органом в области регулирования торговой деятельности, согласованная с уполномоченным органом по регулированию, контролю и надзору финансового рынка и финансовых организаций, уполномоченным органом и уполномоченным органом в области налоговой политики.
Статья 845. Переходные положения по плательщикам налога на добычу полезных ископаемых
Приостановить действие статьи 773 настоящего Кодекса до 1 января 2027 года, установив, что в период приостановления данная статья действует в следующей редакции:
«Статья 773. Плательщики
Плательщиками налога на добычу полезных ископаемых являются недропользователи, осуществляющие добычу углеводородов, минерального сырья, подземных вод и лечебных грязей, включая извлечение полезных ископаемых из техногенных минеральных образований, по которым не уплачен налог на добычу полезных ископаемых и (или) роялти, в рамках каждого отдельного заключенного контракта на недропользование, за исключением недропользователей, осуществляющих деятельность исключительно в рамках лицензии на старательство.».
Статья 846. Переходные положения по представлению декларации о доходах и имуществе
Физические лица, которые представили налоговому агенту заявление о применении налоговых вычетов в виде предварительной суммы прочих вычетов за 2025 год, обязаны представить декларацию о доходах и имуществе за 2025 год.
Статья 847. Переходные положения о порядке зачета и (или) возврата превышения по индивидуальному подоходному налогу
1. Физическое лицо при возникновении превышения по индивидуальному подоходному налогу в декларации о доходах и имуществе за 2025 год либо в дополнительной декларации о доходах и имуществе за 2025 год (далее для целей настоящей статьи - декларация) вправе после проведения сверки, осуществляемой налоговым органом в порядке, определенном настоящей статьей, зачесть и (или) вернуть такое превышение по индивидуальному подоходному налогу в порядке и сроки, которые установлены настоящей статьей.
2. Основанием для проведения сверки по индивидуальному подоходному налогу является требование о зачете и (или) возврате превышения по индивидуальному подоходному налогу, заявленное в декларации.
3. Сверка по индивидуальному подоходному налогу является процедурой, проводимой налоговым органом в целях подтверждения суммы превышения по индивидуальному подоходному налогу, заявленной в декларации. В ходе сверки производятся:
1) сопоставление сведений, отраженных в декларации о доходах и имуществе, с данными налоговых агентов и уполномоченных лиц;
2) подтверждение обоснованности применения налоговых вычетов и сумм расходов, признаваемых налоговыми вычетами;
3) подтверждение суммы превышения по индивидуальному подоходному налогу, заявленной к зачету и (или) возврату.
4. При выявлении расхождений сведений, указанных в подпунктах 1) и 2) пункта 3 настоящей статьи, физическому лицу направляется уведомление в соответствии с главой 12 настоящего Кодекса.
5. Налоговый орган не позднее 31 декабря года, в котором представлена декларация о доходах и имуществе с указанием требования о возврате и (или) зачете суммы превышения по индивидуальному подоходному налогу, вправе направить запрос:
1) соответствующим уполномоченным лицам - о представлении сведений о расходах на образование, медицину, произведенных физическим лицом на территории Республики Казахстан;
2) физическому лицу - о необходимости представления оригиналов или нотариально засвидетельствованных копий документов, подтверждающих применение налоговых вычетов;
3) банкам второго уровня или организациям, осуществляющим отдельные виды банковских операций, - о представлении сведений о расходах на погашение вознаграждения по ипотечным жилищным займам, полученным физическим лицом на приобретение жилья в Республике Казахстан, на основании согласия физического лица (владельца счета), указанного в декларации о доходах и имуществе физического лица.
6. Запросы, указанные в подпунктах 1) и 3) пункта 5 настоящей статьи, направляются одним из следующих способов:
1) по почте заказным письмом с уведомлением.
При этом такое требование должно быть доставлено почтовой или иной организацией связи в срок не позднее десяти рабочих дней с даты отметки о приеме почтовой или иной организацией связи;
2) вручает налогоплательщику лично под подпись;
3) электронным способом в веб-приложении.
7. Представление сведений, указанных в пункте 5 настоящей статьи, осуществляется уполномоченными лицами, банками или организациями, осуществляющими отдельные виды банковских операций, налогоплательщиками в порядке, сроки и по форме, которые установлены уполномоченным органом по согласованию соответственно с уполномоченным органом по регулированию, контролю и надзору финансового рынка и финансовых организаций, уполномоченным органом в области образования, уполномоченным органом в области здравоохранения.
8. В случае, если такие документы составлены на иностранном языке, обязательно наличие нотариально засвидетельствованного перевода таких документов на казахский или русский язык.
При проведении безналичных платежей по оплате услуг в качестве документа, подтверждающего фактические расходы на оплату таких услуг, является один из следующих документов при условии наличия в нем наименования и идентификационного номера лица, в пользу которого была произведена оплата таких расходов:
платежный документ, составляемый при осуществлении платежей и переводов денег с использованием банковского счета либо без использования банковского счета;
чек, составляемый при осуществлении платежей и переводов денег с использованием платежной карточки либо через электронные терминалы (далее - чек);
выписка о движении денег по банковскому счету (далее - выписка).
В случае получения и оплаты указанных услуг за пределами Республики Казахстан указание в чеках и выписках идентификационного номера лица, в пользу которого была произведена оплата таких услуг, не требуется.
Непредставление в установленный срок копий документов и неподтверждение их подлинности предъявлением оригиналов является основанием неподтверждения суммы превышения по индивидуальному подоходному налогу и направления заключения, предусмотренного подпунктом 3) пункта 9 настоящей статьи.
9. На основании полученных сведений уполномоченных лиц, банков или организаций, осуществляющих отдельные виды банковских операций, оригиналов или нотариально засвидетельствованных копий документов физического лица, представленных в соответствии с пунктом 8 настоящей статьи, налоговый орган проверяет обоснованность применения физическим лицом налоговых вычетов, подтверждает сумму превышения по индивидуальному подоходному налогу, заявленную к зачету и (или) возврату, и формирует следующие заключения о:
1) подтверждении суммы превышения по индивидуальному подоходному налогу полностью;
2) подтверждении суммы превышения по индивидуальному подоходному налогу в части с указанием причин неполного подтверждения;
3) неподтверждении суммы превышения по индивидуальному подоходному налогу с указанием причин.
10. Заключения, указанные в подпунктах 2) и 3) пункта 9 настоящей статьи, направляются:
1) электронному налогоплательщику - электронным способом через веб-приложение;
2) остальным налогоплательщикам - по почте заказным письмом с уведомлением.
11. Зачет и (или) возврат суммы превышения по индивидуальному подоходному налогу производятся на основании заключения о подтверждении суммы превышения по индивидуальному подоходному налогу полностью или в части, предусмотренной пунктом 10 настоящей статьи, в пределах заявленной физическим лицом суммы превышения по индивидуальному подоходному налогу.
Возврат суммы превышения по индивидуальному подоходному налогу физическому лицу производится в случае отсутствия у налогового агента налоговой задолженности по индивидуальному подоходному налогу за 2025 год.
12. При наличии налоговой задолженности у физического лица налоговый орган производит зачет суммы превышения по индивидуальному подоходному налогу в счет погашения имеющейся налоговой задолженности по налогам и платежам в бюджет в порядке, определенном статьей 122 настоящего Кодекса, для проведения зачета излишне уплаченной суммы налога.
13. После погашения имеющейся налоговой задолженности в зависимости от требования, указанного в декларации о доходах и имуществе, производятся зачет в счет предстоящих платежей и (или) возврат на банковский счет.
При этом зачет суммы превышения по индивидуальному подоходному налогу физического лица в счет предстоящих платежей по индивидуальному подоходному налогу, удерживаемому у источника выплаты, не производится.
14. Зачет суммы превышения по индивидуальному подоходному налогу производится в счет предстоящих платежей по налогам, указанным физическим лицом в требовании о зачете суммы превышения по индивидуальному подоходному налогу.
15. Возврат суммы превышения по индивидуальному подоходному налогу производится на банковский счет, указанный в требовании о возврате суммы превышения по индивидуальному подоходному налогу.
16. В случае указания физическим лицом в декларации о доходах и имуществе одновременно требования по зачету и возврату суммы превышения по индивидуальному подоходному налогу налоговый орган последовательно производит зачет суммы превышения по индивидуальному подоходному налогу в счет предстоящих платежей, а в части, оставшейся после зачета суммы превышения по индивидуальному подоходному налогу, - возврат на банковский счет.
17. Зачет и (или) возврат суммы превышения по индивидуальному подоходному налогу физического лица производятся не позднее 15 сентября года, следующего за годом представления декларации о доходах и имуществе.
При представлении декларации о доходах и имуществе, в которой указано требование по зачету и (или) возврату суммы превышения по индивидуальному подоходному налогу, но не указаны реквизиты банковского счета, зачет и (или) возврат суммы превышения по индивидуальному подоходному налогу производятся в соответствии с частью третьей настоящего пункта.
В случае представления декларации о доходах и имуществе позже 15 сентября 2026 года, а также дополнительной декларации о доходах и имуществе в части указания требования по зачету и (или) возврату суммы превышения по индивидуальному подоходному налогу и указания реквизитов банковского счета зачет и (или) возврат суммы превышения по индивидуальному подоходному налогу физического лица производятся в срок не позднее двенадцати месяцев с даты представления такой декларации о доходах и имуществе.
18. Если последний день срока приходится на нерабочий день, то срок зачета и (или) возврата истекает в конце следующего рабочего дня.
Статья 848. Порядок введения в действие настоящего Кодекса
1. Настоящий Кодекс вводится в действие с 1 января 2026 года, за исключением:
1) статьи 189, которая вводится в действие с 1 июля 2026 года;
2) статьи 92, главы 90, которые вводятся в действие с 1 января 2027 года;
2. Установить, что:
1) подпункты 4) и 10) пункта 2 статьи 320, подпункт 13) части первой пункта 2 статьи 337, подпункт 19) пункта 3 статьи 351 действуют до 1 января 2027 года;
2) подпункт 15) статьи 286, подпункт 15) части первой пункта 2 статьи 337, подпункт 40) статьи 474, подпункт 2) пункта 2 статьи 487 действуют до 1 января 2028 года;
3) статья 17, подпункт 19) пункта 1 и подпункт 16) пункта 2 статьи 238, пункт 3 статьи 254, подпункты 1) и 2) пункта 2 статьи 255, подпункт 17) статьи 286, часть пятая пункта 1 статьи 323, подпункты 10) и 13) части первой пункта 2 статьи 337, подпункт 4) статьи 338, статья 343, подпункт 6) пункта 1 статьи 348, абзац третий подпункта 16) и подпункт 18) пункта 3 статьи 351, подпункт 2) статьи 368, подпункт 3) статьи 429, подпункт 3) пункта 3 статьи 454, подпункты 33), 34) и 48) статьи 474, подпункт 11) части первой пункта 1 статьи 479, подпункт 7) пункта 2 статьи 487, абзац третий подпункта 3) пункта 2 статьи 556, подпункт 10) пункта 3 статьи 592, глава 82, подпункт 11) статьи 681, часть первая пункта 3 статьи 682 действуют до 1 января 2029 года;
4) подпункт 18) пункта 1 статьи 238, пункты 3, 4 и 5 статьи 320, часть шестая пункта 1 статьи 323, подпункт 32) статьи 668 действуют до 1 января 2030 года;
5) подпункты 4) и 9) части первой и часть третья пункта 2 статьи 337 действуют до 1 января 2031 года.
3. Признать утратившими силу со дня введения в действие настоящего Кодекса:
1) Кодекс Республики Казахстан от 25 декабря 2017 года «О налогах и других обязательных платежах в бюджет» (Налоговый кодекс), за исключением пункта 1-1 статьи 68, который признается утратившим силу с 1 января 2027 года, и пункта 23 статьи 26, который признается утратившим силу с 1 января 2029 года;
2) Закон Республики Казахстан от 25 декабря 2017 года «О введении в действие Кодекса Республики Казахстан «О налогах и других обязательных платежах в бюджет» (Налоговый кодекс)».
Президент
Республики Казахстан
К. ТОКАЕВ
Астана, Акорда, 18 июля 2025 года
№ 214-VIII ЗРК