О внесении изменений и дополнений в некоторые нормативные правовые акты Республики Казахстан по вопросам регулирования страховой деятельности

Постановление Правления Национального Банка Республики Казахстан от 27 августа 2018 года № 204

В целях совершенствования нормативных правовых актов Республики Казахстан Правление Национального Банка Республики Казахстан ПОСТАНОВЛЯЕТ:

1. Утвердить Перечень нормативных правовых актов Республики Казахстан по вопросам регулирования страховой деятельности, в которые вносятся изменения и дополнения (далее - Перечень), согласно приложению к настоящему постановлению.

2. Департаменту регулирования небанковских финансовых организаций (Кошербаева А.М.) в установленном законодательством Республики Казахстан порядке обеспечить:

1) совместно с Юридическим департаментом (Сарсенова Н.В.) государственную регистрацию настоящего постановления в Министерстве юстиции Республики Казахстан;

2) в течение десяти календарных дней со дня государственной регистрации настоящего постановления его направление на казахском и русском языках в Республиканское государственное предприятие на праве хозяйственного ведения «Республиканский центр правовой информации» для официального опубликования и включения в Эталонный контрольный банк нормативных правовых актов Республики Казахстан;

3) размещение настоящего постановления на официальном интернет-ресурсе Национального Банка Республики Казахстан после его официального опубликования;

4) в течение десяти рабочих дней после государственной регистрации настоящего постановления представление в Юридический департамент сведений об исполнении мероприятий, предусмотренных подпунктами 2), 3) настоящего пункта и пунктом 3 настоящего постановления.

3. Управлению по защите прав потребителей финансовых услуг и внешних коммуникаций (Терентьев А.Л.) обеспечить в течение десяти календарных дней после государственной регистрации настоящего постановления направление его копии на официальное опубликование в периодические печатные издания.

4. Контроль за исполнением настоящего постановления возложить на заместителя Председателя Национального Банка Республики Казахстан Курманова Ж.Б.

5. Настоящее постановление вводится в действие по истечении десяти календарных дней после дня его первого официального опубликования, за исключением абзацев тридцать пятого и тридцать шестого пункта 1, пункта 4, абзацев седьмого, восьмого и восемнадцатого пункта 7 Перечня, которые вводятся в действие с 1 января 2019 года.

Председатель Национального Банка

Д. Акишев

 

Приложение
к постановлению Правления
Национального Банка
Республики Казахстан
от 27 августа 2018 года № 204

Перечень нормативных правовых актов Республики Казахстан по вопросам регулирования страховой деятельности, в которые вносятся изменения и дополнения

1. Внести в постановление Правления Национального Банка Республики Казахстан от 24 сентября 2003 года № 345 «Об утверждении Типового договора участия в Фонде гарантирования страховых выплат» (зарегистрировано в Реестре государственной регистрации нормативных правовых актов под № 2548) следующие изменения:

в Типовом договоре участия в Фонде гарантирования страховых выплат, утвержденном указанным постановлением:

часть первую преамбулы изложить в следующей редакции:

«Акционерное общество «Фонд гарантирования страховых выплат» (далее - Фонд) в лице Председателя _____________________, действующего на основании Устава, и Страховая организация (далее - страховая организация - участник) ________________ в лице Председателя ____________, действующего на основании Устава, именуемые в дальнейшем Стороны, заключили договор о нижеследующем:»;

пункт 1 изложить в следующей редакции:

«1. Предметом настоящего договора является участие страховой организации - участника в Фонде в соответствии с требованиями Закона и нормативных правовых актов уполномоченного органа по регулированию, контролю и надзору финансового рынка и финансовых организаций (далее - уполномоченный орган) путем уплаты обязательных, дополнительных и чрезвычайных взносов, формирование условных обязательств, а также принятие на себя обязательств, определенных настоящим договором, по дополнительной защите прав страхователей.»;

пункты 3 и 4 изложить в следующей редакции:

«3. Расчет суммы обязательного взноса страховой организацией - участником производится самостоятельно в соответствии с постановлением Правления Национального Банка Республики Казахстан от 24 декабря 2012 года № 387 «Об утверждении Методики расчета ставки обязательных, дополнительных взносов и условных обязательств, порядка и сроков уплаты обязательных, дополнительных и чрезвычайных взносов, порядка формирования и учета условных обязательств страховыми организациями - участниками Фонда гарантирования страховых выплат», зарегистрированным в Реестре государственной регистрации нормативных правовых актов под № 8329 (далее - Постановление № 387).

4. Уплата обязательных взносов производится страховыми организациями-участниками, осуществляющими деятельность в отрасли «общее страхование», самостоятельно на счет Фонда в Национальном Банке Республики Казахстан по итогам каждого квартала не позднее 15 (пятнадцатого) числа месяца, следующего за отчетным кварталом.

Уплата обязательных взносов производится страховыми организациями-участниками, осуществляющими деятельность в отрасли «страхование жизни», самостоятельно на счет Фонда в Национальном Банке Республики Казахстан по итогам финансового года не позднее 15 (пятнадцати) календарных дней после утверждения ставки обязательных взносов.»;

главу 2-1 изложить в следующей редакции:

«Глава 2-1. Порядок уплаты дополнительных взносов, страховыми организациями-участниками, осуществляющими деятельность в отрасли «общее страхование»

4-1. Страховая организация - участник, осуществляющая деятельность в отрасли «общее страхование», уплачивает дополнительные взносы в размере, определенном в соответствии со ставкой дополнительных взносов, установленной Фондом ежегодно по согласованию с уполномоченным органом.

4-2. Расчет суммы дополнительного взноса страховой организацией - участником, осуществляющей деятельность в отрасли «общее страхование», производится самостоятельно в соответствии с Постановлением № 387.

4-3. Уплата дополнительных взносов производится страховой организацией - участником, осуществляющей деятельность в отрасли «общее страхование», самостоятельно на счет Фонда в Национальном Банке Республики Казахстан по итогам каждого квартала не позднее пятнадцатого числа месяца, следующего за отчетным кварталом.»;

пункты 10, 11 и 12 изложить в следующей редакции:

«10. Расчет размера условных обязательств страховой организацией - участником производится самостоятельно в соответствии с Постановлением № 387.

11. Формирование условных обязательств производится самостоятельно страховой организацией - участником, осуществляющей деятельность в отрасли «общее страхование», ежеквартально по каждому гарантируемому виду страхования по состоянию на первое число месяца, следующего за отчетным кварталом и сформированные условные обязательства не изменяются до завершения текущего квартала.

Формирование условных обязательств производится самостоятельно страховой организацией - участником, осуществляющей деятельность в отрасли «страхование жизни», ежегодно не позднее 15 (пятнадцати) календарных дней после утверждения ставки условных обязательств, и сформированные условные обязательства не изменяются до завершения текущего финансового года.

12. Фонд осуществляет оплату страхового портфеля принудительно ликвидируемой страховой (перестраховочной) организации, передаваемого страховой организации - участнику, активами, приобретенными в результате инвестирования в соответствии с постановлением Правления Агентства Республики Казахстан по регулированию и надзору финансового надзора и финансовых организаций от 2 октября 2008 года № 148 «Об утверждении Правил инвестирования активов акционерного общества «Фонд гарантирования страховых выплат», зарегистрированным в Реестре государственной регистрации нормативных правовых актов под № 5365, и постановлением Правления Национального Банка Республики Казахстан от 27 августа 2018 года № 199 «Об утверждении Перечня финансовых инструментов, разрешенных к приобретению за счет резервов гарантирования страховых выплат и резерва возмещения вреда, и Правил взимания комиссионного вознаграждения акционерным обществом «Фонд гарантирования страховых выплат», зарегистрированным в Реестре государственной регистрации нормативных правовых актов под № 17396.»;

пункт 14 изложить в следующей редакции:

«14. Гарантийные выплаты осуществляются Фондом в порядке и на условиях, установленных статьями 15 и 15-1 Закона и постановлением Правления Агентства Республики Казахстан по регулированию и надзору финансового надзора и финансовых организаций от 30 апреля 2010 года № 62 «Об утверждении Правил осуществления гарантийных выплат Акционерным обществом «Фонд гарантирования страховых выплат», зарегистрированным в Реестре государственной регистрации нормативных правовых актов под № 6287.»;

подпункт 3) пункта 28 изложить в следующей редакции:

«3) публиковать в периодических печатных изданиях, распространяемых на всей территории Республики Казахстан, на казахском и русском языках и на своем интернет-ресурсе годовую финансовую отчетность, подтвержденную аудиторской организацией;»;

подпункт 1) пункта 30 изложить в следующей редакции:

«1) публиковать в периодических печатных изданиях, распространяемых на всей территории Республики Казахстан, на казахском и русском языках информацию об участии в системе гарантирования страховых выплат;»;

подпункты 2) и 2-1) пункта 31 изложить в следующей редакции:

«2) ежеквартально не позднее пятнадцатого числа месяца, следующего за отчетным кварталом, представлять в Фонд сведения по начисленной сумме страховых премий, обязательных взносов, дополнительных взносов и условных обязательств по форме согласно приложению 1 к настоящему Типовому договору;

2-1) в течение 30 (тридцати) календарных дней после завершения предыдущего финансового года представлять в Фонд сведения о количестве заключенных договоров страхования, общей сумме страховых резервов, общей начисленной сумме страховых премий и страховых выплат по форме согласно приложению 2 к настоящему Типовому договору, а также другую информацию, необходимую для реализации задач и функций Фонда;»;

пункт 33 изложить в следующей редакции:

«33. Договор участия вступает в силу с даты его заключения.»;

пункт 36 изложить в следующей редакции:

«36. В случае неисполнения либо несвоевременного исполнения обязательства по уплате обязательных, дополнительных либо чрезвычайных взносов страховая организация - участник уплачивает неустойку в размере 0,1 процента от суммы просроченного платежа за каждый рабочий день просрочки, включая день уплаты.»;

пункт 37 исключить;

Абзацы тридцать пятый и тридцать шестой пункта 1 вводятся в действие с 1 января 2019 года

пункт 39 изложить в следующей редакции:

«39. При неоднократном нарушении страховой организацией - участником настоящего договора Фонд вправе ходатайствовать в уполномоченный орган о проведении инспекторской проверки страховой организации - участника и (или) применении к ней мер надзорного реагирования и санкций, предусмотренных законодательством Республики Казахстан о страховании и страховой деятельности.»;

главу 15 «Места нахождения, банковские реквизиты сторон и подписи сторон» изложить в следующей редакции:

«Глава 15. Места нахождения, банковские реквизиты сторон и подписи сторон

Фонд: Страховая организация - участник:

_______________________________

(юридический адрес, бизнес-
идентификационный номер,
номер телефона, факс, е-mail)  

________________________________

(наименование, юридический адрес,
бизнес-идентификационный номер,
номер телефона, факс, е-mail)

_______________________________

Банковские реквизиты (наименование
банка, № текущего счета)   

________________________________

Банковские реквизиты (наименование
банка, № текущего счета)

Фонд:

Председатель____________
    

Страховая организация - участник:
Председатель__________»;

Сведения по начисленной сумме страховых премий, обязательных взносов, дополнительных взносов и условных обязательств согласно приложению 1 изложить в редакции согласно приложению 1 к настоящему Перечню нормативных правовых актов Республики Казахстан по вопросам регулирования страховой деятельности, в которые вносятся изменения и дополнения (далее - Перечень);

Сведения о количестве заключенных договоров страхования, общей начисленной сумме страховых премий и страховых выплат согласно приложению 2 изложить в редакции согласно приложению 2 к Перечню.

2. Внести в постановление Правления Агентства Республики Казахстан по регулированию и надзору финансового рынка и финансовых организаций от 25 сентября 2004 года № 274 «Об утверждении Правил предоставления страховыми организациями, осуществляющими деятельность по накопительному страхованию, займов своим страхователям и расчета выкупной суммы» (зарегистрировано в Реестре государственной регистрации нормативных правовых актов под № 3190, опубликовано 12 августа 2005 года в газете «Юридическая газета» № 147-148) следующие изменения:

заголовок изложить в следующей редакции:

«Об утверждении Правил выдачи страховой организацией, осуществляющей деятельность по накопительному страхованию, займов своим страхователям и расчета выкупной суммы»;

пункт 1 изложить в следующей редакции:

«1. Утвердить прилагаемые Правила выдачи страховой организацией, осуществляющей деятельность по накопительному страхованию, займов своим страхователям и расчета выкупной суммы.»;

в Правилах предоставления страховыми организациями, осуществляющими деятельность по накопительному страхованию, займов своим страхователям и расчета выкупной суммы, утвержденных указанным постановлением:

заголовок изложить в следующей редакции:

«Правила выдачи страховой организацией, осуществляющей деятельность по накопительному страхованию, займов своим страхователям и расчета выкупной суммы»;

преамбулу изложить в следующей редакции:

«Настоящие Правила выдачи страховой организацией, осуществляющей деятельность по накопительному страхованию, займов своим страхователям и расчета выкупной суммы разработаны в соответствии с пунктом 1 статьи 12 и подпунктом 20) статьи 43 Закона Республики Казахстан от 18 декабря 2000 года «О страховой деятельности», подпунктом 7) статьи 11 Закона Республики Казахстан от 4 июля 2003 года «О государственном регулировании, контроле и надзоре финансового рынка и финансовых организаций» и устанавливают порядок и условия выдачи страховой организацией, осуществляющей деятельность по накопительному страхованию, за исключением исламской страховой организации, (далее - страховщик) займов своим страхователям в пределах выкупной суммы, а также порядок расчета выкупной суммы.»;

пункт 2 изложить в следующей редакции:

«2. Страховщик предоставляет займы своим страхователям по договору накопительного страхования, за исключением договора страхования, предусматривающего условие участия страхователя в инвестициях. Займы предоставляются в пределах выкупной суммы, рассчитанной в соответствии с главой 2-1 настоящих Правил.»;

пункт 14-1 изложить в следующей редакции:

«14-1. Размер выкупной суммы по договору накопительного страхования, за исключением договора страхования, предусматривающего условие участия страхователя в инвестициях, определяется на конец каждого года действия этого договора с обязательным указанием этих размеров в договоре накопительного страхования.»;

пункт 14-3 изложить в следующей редакции:

«14-3. В конце первого года действия договора накопительного страхования, за исключением договора страхования, страховая премия по которому страхователем оплачена единовременно за весь период накопления, наличие выкупной суммы не предусматривается.».

3. Внести в постановление Правления Агентства Республики Казахстан по регулированию и надзору финансового рынка и финансовых организаций от 25 июня 2007 года № 177 «Об утверждении Требований к деятельности организации по формированию и ведению базы данных» (зарегистрировано в Реестре государственной регистрации нормативных правовых актов под № 4860) следующие изменения:

в Требованиях к деятельности организации по формированию и ведению базы данных, утвержденных указанным постановлением:

пункт 2 изложить в следующей редакции:

«2. Поставщики информации и получатели страхового отчета (за исключением лиц, указанных в подпунктах 1), 2), 2-1), 4), 6), 7), 8) и 9) пункта 4 статьи 80 Закона о страховой деятельности) обеспечивают выполнение организационных, технологических условий и требований, установленных законодательством Республики Казахстан о страховании и страховой деятельности, кредитных бюро и формировании кредитных историй и об информатизации, а также вытекающих из заключенных с Организацией договоров о предоставлении информации и (или) получении страховых отчетов.»;

пункты 11 и 11-1 изложить в следующей редакции:

«11. Поставщик информации, указанный в подпункте 1) пункта 3 статьи 80 Закона о страховой деятельности, в режиме реального времени представляет в Организацию сведения, предусмотренные постановлением Правления Агентства Республики Казахстан по регулированию и надзору финансового рынка и финансовых организаций от 1 марта 2010 года № 24 «Об утверждении Требований к содержанию и изготовлению бланков страховых полисов, оформлению и выдаче страховых полисов по обязательному страхованию гражданско-правовой ответственности владельцев транспортных средств, обязательному страхованию гражданско-правовой ответственности туроператора или турагента, а также к содержанию заявлений страхователя для заключения договоров обязательного страхования по отдельным видам обязательного страхования», зарегистрированным в Реестре государственной регистрации нормативных правовых актов под № 6171.

11-1. Сведения по временно въезжающим (ввозимым) автотранспортным средствам на территорию Республики Казахстан представляются поставщиком информации, указанным в подпункте 1) пункта 3 статьи 80 Закона о страховой деятельности, не позднее 5 (пяти) рабочих дней со дня заключения договора обязательного страхования гражданско-правовой ответственности владельцев транспортных средств:

1) вид договора страхования (стандартный, комплексный);

2) уникальный номер договора страхования, присвоенный Организацией;

3) срок действия страхового полиса;

4) сведения о заявителе:

фамилия, имя, отчество (при его наличии), дата рождения, место жительства (для физического лица);

серия, номер, дата выдачи водительского удостоверения, стаж вождения (для физического лица);

наименование, место нахождения (для юридического лица);

признак резидентства (резидент или нерезидент Республики Казахстан);

5) сведения об автотранспортном средстве:

документ, подтверждающий регистрацию транспортного средства на срок ввоза;

тип транспортного средства в соответствии с Законом Республики Казахстан от 1 июля 2003 года «Об обязательном страховании гражданско-правовой ответственности владельцев транспортных средств» (далее - Закон об обязательном страховании);

год выпуска;

номер кузова;

6) сведения о застрахованном (застрахованных):

фамилия, имя, отчество (при его наличии), дата рождения, место жительства;

серия, номер, дата выдачи водительского удостоверения, стаж вождения;

7) сведения о страховом агенте:

фамилия, имя, отчество (при его наличии), контактный номер телефона и индивидуальный идентификационный номер страхового агента (если им является физическое лицо) или его наименование, место нахождения, контактный номер телефона и бизнес-идентификационный номер (если им является юридическое лицо);

указание о наличии или отсутствии комиссионного вознаграждения, причитающегося страховому агенту.»;

пункт 13 изложить в следующей редакции:

«13. Организация присваивает уникальный номер страховому полису в следующем порядке:

1) внесение страховщиком сведений о страхователе (застрахованном), транспортном средстве (транспортных средствах) в базу данных на основе заявления страхователя для заключения договора обязательного страхования гражданско-правовой ответственности владельцев транспортных средств;

2) формирование в базе данных страхового отчета, содержащего сведения, необходимые для включения в страховой полис;

3) присвоение уникального номера страховому полису, являющегося номером страхового полиса.».

Пункт 4 вводится в действие с 1 января 2019 года

4. Внести в постановление Правления Агентства Республики Казахстан по регулированию и надзору финансового рынка и финансовых организаций от 25 июня 2007 года № 179 «Об утверждении Правил осуществления прямого урегулирования» (зарегистрировано в Реестре государственной регистрации нормативных правовых актов под № 4857, опубликовано 5 сентября 2007 года в газете «Юридическая газета» № 135 (1338) следующие изменения:

в Правилах осуществления прямого урегулирования, утвержденных указанным постановлением:

подпункт 2) пункта 1 изложить в следующей редакции:

«2) расходы, связанные с урегулированием страхового случая - расходы страховщика по осуществлению страховой выплаты, по определению размера причиненного вреда, а также расходы по дополнительным экспертизам, связанным с установлением факта и обстоятельств наступления страхового случая. При этом расходы по дополнительным экспертизам не превышают десяти процентов от размера страховой выплаты;»;

пункт 5 изложить в следующей редакции:

«5. Прямой страховщик не позднее 2 (двух) рабочих дней со дня получения от выгодоприобретателя документа, подтверждающего факт наступления страхового случая:

1) запрашивает соответствующий страховой отчет о лице, чья гражданско-правовая ответственность наступила вследствие причинения вреда жизни, здоровью и (или) имуществу лиц, признанных потерпевшими, из базы данных в соответствии с постановлением Правления Агентства Республики Казахстан по регулированию и надзору финансового рынка и финансовых организаций от 25 июня 2007 года № 177 «Об утверждении Требований к деятельности организации по формированию и ведению базы данных», зарегистрированным в Реестре государственной регистрации нормативных правовых актов под № 4860;

2) информирует ответственного страховщика о наступлении страхового случая.

Уведомление о страховом случае по форме согласно приложению 1 к настоящим Правилам (далее - уведомление) направляется прямым страховщиком ответственному страховщику.»;

пункт 6 исключить;

пункты 8 и 9 изложить в следующей редакции:

«8. К извещению прилагаются документы, предусмотренные подпунктами 2), 3), 4), 4-1), 4-2) и 6) пункта 2 статьи 25 Закона, копии документов, подтверждающих расходы прямого страховщика, связанных с урегулированием страхового случая, и копия документа, подтверждающего осуществление страховой выплаты.

В случае направления извещения в электронной форме прямой страховщик и ответственный страховщик обмениваются электронными копиями документов.

9. Дополнительные экспертизы в отношении факта и обстоятельств наступления страхового случая осуществляются прямым страховщиком по своему усмотрению.

Расходы, связанные с проведением прямым страховщиком дополнительных экспертиз в отношении факта и обстоятельств наступления страхового случая, возмещаются ответственным страховщиком в случае, если прямым страховщиком отказано выгодоприобретателю в осуществлении страховой выплаты по основаниям, предусмотренным пунктом 1 статьи 29 Закона.

Прямой страховщик в течение 2 (двух) рабочих дней со дня отказа в осуществлении страховой выплаты выгодоприобретателю направляет ответственному страховщику извещение об отказе в осуществлении страховой выплаты по форме согласно приложению 3 к настоящим Правилам с приложением документов, подтверждающих расходы, связанные с проведением прямым страховщиком дополнительных экспертиз, а также документов, подтверждающих основания отказа прямого страховщика в осуществлении страховой выплаты выгодоприобретателю.

В случае направления извещения в электронной форме прямой страховщик и ответственный страховщик обмениваются электронными копиями документов.

Ответственный страховщик не позднее 2 (двух) рабочих дней со дня получения им извещения об отказе в осуществлении страховой выплаты направляет его прямому страховщику с отметкой о согласии ответственного страховщика с решением прямого страховщика об отказе осуществления страховой выплаты выгодоприобретателю.

Если ответственный страховщик в установленный настоящим пунктом срок не направил извещение об отказе в осуществлении страховой выплаты прямому страховщику, то согласие ответственного страховщика считается подтвержденным.»;

часть вторую пункта 11 изложить в следующей редакции:

«При наличии оснований для отказа в возмещении расходов прямого страховщика, связанных с урегулированием страхового случая, ответственный страховщик в установленный настоящим пунктом срок направляет прямому страховщику соответствующее решение о полном или частичном отказе в возмещении таких расходов с мотивированным обоснованием причин отказа.»;

пункты 13-1 и 13-2 изложить в следующей редакции:

«13-1. Страховая выплата по возмещению вреда, причиненного имуществу потерпевшего, по страховому случаю с участием четырех и более потерпевших производится прямым страховщиком выгодоприобретателю в порядке, предусмотренном Законом, после согласования ее размера с ответственным страховщиком.

Прямой страховщик не позднее 2 (двух) рабочих дней со дня определения размера вреда, причиненного имуществу, направляет ответственному страховщику заявление о расчете размера страховой выплаты по форме согласно приложению 4 к настоящим Правилам (далее - заявление).

13-2. Ответственный страховщик не позднее 5 (пяти) рабочих дней со дня получения от прямого страховщика заявления (независимо от представления заявления другими прямыми страховщиками) либо от выгодоприобретателей документа по определению размера вреда, причиненного имуществу, составленного прямым страховщиком, осуществляет расчет размера страховой выплаты по возмещению вреда, причиненного имуществу потерпевшего, в порядке, предусмотренном Законом, и направляет заявление прямому страховщику с указанием сведений, предназначенных для заполнения ответственным страховщиком.

В случае, если ответственный страховщик в установленный настоящим пунктом срок не направил заявление, прямой страховщик по истечении установленного срока, но не позднее 2 (двух) рабочих дней уведомляет об этом уполномоченный орган.

При этом прямой страховщик повторно направляет ответственному страховщику документы, предусмотренные пунктом 13-1 настоящих Правил.»;

Уведомление о страховом случае согласно приложению 1 изложить в редакции согласно приложению 3 к Перечню;

Извещение об урегулировании страхового случая согласно приложению 2 изложить в редакции согласно приложению 4 к Перечню;

Извещение об отказе в осуществлении страховой выплаты согласно приложению 3 изложить в редакции согласно приложению 5 к Перечню;

Заявление о расчете размера страховой выплаты согласно приложению 4 изложить в редакции согласно приложению 6 к Перечню.

5. Внести в постановление Правления Агентства Республики Казахстан по регулированию и надзору финансового рынка и финансовых организаций от 30 апреля 2010 года № 62 «Об утверждении Правил осуществления гарантийных выплат Акционерным обществом «Фонд гарантирования страховых выплат» (зарегистрировано в Реестре государственной регистрации нормативных правовых актов под № 6287, опубликовано 7 августа 2010 года в газете «Казахстанская правда» № 206 (26267) следующие изменения и дополнение:

в Правилах осуществления гарантийных выплат Акционерным обществом «Фонд гарантирования страховых выплат», утвержденных указанным постановлением:

пункт 1 изложить в следующей редакции:

«1. Для целей настоящих Правил используются следующие основные понятия:

1) реестр дебиторов - список лиц, имеющих задолженность перед ликвидируемой страховой организацией по оплате страховой премии по договорам страхования, предоставляемый ликвидационной комиссией;

2) кредитор - страхователь (застрахованный, выгодоприобретатель), имеющий право на получение гарантийной выплаты по договору обязательного страхования принудительно ликвидируемой страховой организации при наступлении страхового случая, по договору аннуитетного страхования ликвидируемой страховой организации, гарантируемому Фондом, либо иное лицо, возместившее потерпевшему (лицу, имеющему право на возмещение вреда) причиненный вред в пределах объема ответственности страховщика, установленного договором страхования и законодательными актами Республики Казахстан, и получившее право на страховую выплату;

3) реестр кредиторов - список лиц, имеющих право на получение гарантийной выплаты, предоставляемый ликвидационной комиссией;

4) страховой акт - документ с указанием места, времени, размеров и причин ущерба причиненного жизни, здоровью и (или имуществу) третьего лица, составленный страховой организацией-участником с участием страхователя и (или) его представителя и являющийся основанием для осуществления страховой выплаты;

5) страховая организация, являющаяся участником системы гарантирования страховых выплат (страховая организация-участник) - страховая организация, заключившая с Фондом договор участия и являющаяся его акционером;

6) гарантийная выплата по аннуитетным классам страхования - сумма денег, выплачиваемая Фондом страхователю (застрахованному, выгодоприобретателю) и (или) в пользу застрахованного в рамках гарантирования аннуитетного страхования в порядке и на условиях, предусмотренных Законом;

7) гарантийная выплата по обязательным видам страхования - сумма денег, выплачиваемая Фондом в порядке и на условиях, предусмотренных Законом Республики Казахстан от 3 июня 2003 года «О Фонде гарантирования страховых выплат» (далее - Закон) страхователю (застрахованному, выгодоприобретателю) по наступившим страховым случаям по договору страхования принудительно ликвидируемой страховой организации в случаях, предусмотренных Законом Республики Казахстан от 18 декабря 2000 года «О страховой деятельности» (далее - Закон о страховой деятельности);

8) реестр договоров - реестр действующих договоров аннуитетного страхования (перестрахования) ликвидируемой страховой (перестраховочной) организации, по которым предоставляется гарантия в соответствии с подпунктом 1) части первой пункта 2 статьи 15-1 Закона;

9) уполномоченный орган - государственный орган, осуществляющий регулирование, контроль и надзор финансового рынка и финансовых организации.»;

заголовок главы 2 изложить в следующей редакции:

«Глава 2. Осуществление Фондом гарантийных выплат по обязательным видам страхования»;

в части первой пункта 3:

абзац первый изложить в следующей редакции:

«3. В случае обращения кредитора в Фонд для получения гарантийной выплаты по основаниям, предусмотренным пунктом 1 статьи 15 Закона, к письменному заявлению об осуществлении гарантийной выплаты прилагаются следующие подтверждающие документы:»;

подпункт 2) изложить в следующей редакции:

«2) в случае, если страховой случай произошел в период со дня вступления в законную силу решения суда о принудительной ликвидации страховой организации - участника до даты передачи страхового портфеля принудительно ликвидируемой страховой организации - документы, предусмотренные отдельными законодательными актами Республики Казахстан, регулирующими обязательные виды страхования, или договором страхования, предоставляемые кредитором при предъявлении требования об осуществлении страховой выплаты, а также при наличии - решение временной администрации (ликвидационной комиссии) ликвидируемой страховой организации по итогам рассмотрения данного требования с указанием размера предполагаемой страховой выплаты либо причин отказа в ее осуществлении.»;

пункт 4 изложить в следующей редакции:

«4. Со дня представления кредитором документов, предусмотренных подпунктом 1) части первой пункта 3 настоящих Правил, Фонд в течение 10 (десяти) рабочих дней рассматривает вопрос об осуществлении (отказе в осуществлении) гарантийной выплаты. Для принятия решения по заявлению, поступившему от кредитора, Фонд также запрашивает в письменном виде от ликвидационной комиссии принудительно ликвидируемой страховой организации - участника (далее - ликвидационная комиссия) страховое дело кредитора, в том числе информацию о размере начисленной и уплаченной страховой премии, размере страховых выплат.»;

пункт 6 изложить в следующей редакции:

«6. В случае, предусмотренном подпунктом 2) части первой пункта 3 настоящих Правил, кредитор принудительно ликвидируемой страховой организации обращается в Фонд либо страховую организацию - участнику с заявлением о наступлении страхового случая и осуществлении страховой (гарантийной) выплаты в сроки и порядке, предусмотренными отдельными законодательными актами Республики Казахстан, регулирующими обязательные виды страхования, или договором страхования. Перечень страховых организаций - участников с указанием адресов публикуется Фондом в периодических печатных изданиях, распространяемых на всей территории Республики Казахстан, на казахском и русском языках.

После получения требования кредитора страховая организация-участник либо Фонд в порядке, предусмотренном отдельными законодательными актами Республики Казахстан, регулирующими обязательные виды страхования, или договором страхования, проводит работу по определению страхового случая и размера причиненного вреда.»;

пункты 11 и 12 изложить в следующей редакции:

«11. Ликвидационная комиссия в течение 3 (трех) рабочих дней со дня получения запроса Фонда направляет копию страхового полиса либо документ, подтверждающий оплату страховой премии по договору страхования.

12. При наличии информации по договору страхования заявителя с принудительно ликвидируемой страховой организацией - участником страховая организация - участник в течение 7 (семи) рабочих дней, со дня предоставления кредитором полного пакета документов, предусмотренных отдельными законодательными актами Республики Казахстан, регулирующими обязательные виды страхования, или договором страхования, составляет расчет размера страховой выплаты и страховой акт либо письменное уведомление об отказе в осуществлении гарантийной выплаты по основаниям, предусмотренным отдельными законодательными актами Республики Казахстан, регулирующими обязательные виды страхования, или договором страхования.»;

пункты 14 и 15 изложить в следующей редакции:

«14. После получения Фондом от страховой организации - участника пакета документов, предусмотренных отдельными законодательными актами Республики Казахстан, регулирующими обязательные виды страхования, или договором страхования и настоящими Правилами, Фонд принимает решение об осуществлении либо отказе в осуществлении гарантийной выплаты в сроки, установленные отдельными законодательными актами Республики Казахстан, регулирующими обязательные виды страхования.

15. Гарантийная выплата осуществляется Фондом в порядке, размере и сроки, установленные отдельными законодательными актами Республики Казахстан, регулирующими обязательные виды страхования, договором страхования и настоящими Правилами.

Для осуществления Фондом гарантийной выплаты кредитор, помимо документов, предусмотренных настоящими Правилами, представляет копию документа, удостоверяющего личность, данные о банковских реквизитах (при наличии).»;

пункт 17 изложить в следующей редакции:

«17. Если до истечения периода времени со дня вступления в законную силу решения суда о принудительной ликвидации страховой

организации - участника до даты передачи (приема) страхового портфеля принудительно ликвидируемой страховой организации, в течение которого Фонд согласно требованиям отдельных законодательных актов Республики Казахстан, регулирующих обязательные виды страхования, принимает требования кредиторов, в результате события, приведшего к наступлению страхового случая, у кредитора наступит ухудшение здоровья (устанавливается инвалидность или более высокая группа инвалидности) либо смерть, то Фонд на основании поступившего от кредитора или его наследников заявления и соответствующих документов производит перерасчет суммы гарантийной выплаты в порядке и размере, установленными отдельными законодательными актами Республики Казахстан, регулирующими обязательные виды страхования, или договором страхования. При перерасчете суммы гарантийной выплаты принимаются в зачет ранее выплаченные суммы.»;

дополнить главой 3-1 следующего содержания:

«Глава 3-1. Осуществление Фондом гарантийных выплат по аннуитетным классам страхования

20-1. Гарантийные выплаты по аннуитетным классам страхования из Фонда производятся:

1) кредиторам - по договорам аннуитетного страхования в соответствии с законами Республики Казахстан от 7 февраля 2005 года «Об обязательном страховании работника от несчастных случаев при исполнении им трудовых (служебных) обязанностей» и от 21 июня 2013 года «О пенсионном обеспечении в Республике Казахстан»;

2) в пользу кредиторов в страховую (перестраховочную) организацию, имеющую лицензию по отрасли «страхование жизни» - при наступлении случая, установленного абзацем третьим части первой пункта 2-2 статьи 7 Закона.

Права требования кредиторов к Фонду по осуществлению гарантийной выплаты по аннуитетным классам страхования возникают по истечении 2 (двух) рабочих дней со дня получения Фондом реестров договоров и действуют до даты передачи страхового портфеля ликвидируемой страховой организации-участника в порядке, предусмотренном Законом о страховой деятельности.

Назначенная уполномоченным органом временная администрация страховой (перестраховочной) организации в течение 2 (двух) рабочих дней с даты лишения лицензии страховой (перестраховочной) организации, осуществлявшей деятельность в отрасли «страхование жизни», формирует и передает в Фонд реестры договоров из баз данных организации по формированию и ведению базы данных и ликвидируемой страховой (перестраховочной) организации по аннуитетным классам страхования, по которым предоставляется гарантия в соответствии с подпунктом 1) части первой пункта 2 статьи 15-1 Закона.

Фонд в течение 2 (двух) рабочих дней после получения от временной администрации реестра договоров аннуитетного страхования публикует в периодических печатных изданиях, распространяемых на всей территории Республики Казахстан, на казахском и русском языках и на интернет-ресурсе Фонда сообщение об осуществлении гарантийных выплат кредиторам.

20-2. Фонд обеспечивает непрерывность и своевременность гарантийных выплат по аннуитетным классам страхования. Заключение нового договора между Фондом и страхователем (застрахованным, выгодоприобретателем) не требуется.

В случае обращения кредитора в Фонд в связи с возникновением права требования к Фонду по осуществлению гарантийной выплаты по основаниям, предусмотренным подпунктом 2) части первой пункта 2 статьи 15-1 Закона, гарантийная выплата осуществляется Фондом на основании информации, полученной по запросу от временной администрации страховой (перестраховочной) организации.

В целях реализации права, установленного подпунктом 2) части первой пункта 2 статьи 15-1 Закона, и в случае ликвидации юридического лица и страховой (перестраховочной) организации кредитор обращается в другую страховую (перестраховочную) организацию, имеющую лицензию по отрасли «страхование жизни», либо в Фонд.

Уплата страховой премии по таким договорам аннуитетного страхования производится Фондом.

При необходимости Фонд привлекает независимого актуария для проверки адекватности расчета страховой премии по аннуитетному договору страхования, заключенному между кредитором и страховой (перестраховочной) организацией, имеющей лицензию по отрасли «страхование жизни».

При заключении другой страховой (перестраховочной) организацией, имеющей лицензию по отрасли «страхование жизни», договора аннуитетного страхования и его истечении, последующий аннуитетный договор страхования вследствие установления или продления (переосвидетельствования) степени утраты профессиональной трудоспособности подлежит заключению со страховой (перестраховочной) организацией, принявшей страховой портфель по классу обязательного страхования работника от несчастных случаев при исполнении им трудовых (служебных) обязанностей.

Гарантийная выплата кредиторам по аннуитетным договорам страхования, определенная абзацем вторым части первой пункта 2-2 статьи 7 Закона, осуществляется Фондом в безналичной форме на банковский счет кредитора либо наличными деньгами по истечении 2 (двух) рабочих дней со дня получения Фондом реестра договоров.».

6. Внести в постановление Правления Национального Банка Республики Казахстан от 24 декабря 2012 года № 387 «Об утверждении Методики расчета ставки обязательных, дополнительных взносов и условных обязательств, порядка и сроков уплаты обязательных, дополнительных и чрезвычайных взносов, формирования и учета условных обязательств страховыми организациями - участниками Фонда гарантирования страховых выплат» (зарегистрировано в Реестре государственной регистрации нормативных правовых актов под № 8329, опубликовано 5 июня 2013 года в газете «Казахстанская правда» № 190-191 (27464-27465) следующие изменения и дополнение:

заголовок изложить в следующей редакции:

«Об утверждении Методики расчета ставки обязательных, дополнительных взносов и условных обязательств, порядка и сроков уплаты обязательных, дополнительных и чрезвычайных взносов, порядка формирования и учета условных обязательств страховыми организациями - участниками Фонда гарантирования страховых выплат»;

пункт 1 изложить в следующей редакции:

«1. Утвердить прилагаемую Методику расчета ставки обязательных, дополнительных взносов и условных обязательств, порядок и сроки уплаты обязательных, дополнительных и чрезвычайных взносов, порядок формирования и учета условных обязательств страховыми организациями - участниками Фонда гарантирования страховых выплат (далее - Методика).»;

в Методике расчета ставки обязательных, дополнительных взносов и условных обязательств, порядке и сроках уплаты обязательных, дополнительных и чрезвычайных взносов, формирования и учета условных обязательств страховыми организациями - участниками Фонда гарантирования страховых выплат, утвержденных указанным постановлением:

заголовок изложить в следующей редакции:

«Методика расчета ставки обязательных, дополнительных взносов и условных обязательств, порядок и сроки уплаты обязательных, дополнительных и чрезвычайных взносов, порядок формирования и учета условных обязательств страховыми организациями - участниками Фонда гарантирования страховых выплат»;

преамбулу изложить в следующей редакции:

«Методика расчета ставки обязательных, дополнительных взносов и условных обязательств, порядок и сроки уплаты обязательных, дополнительных и чрезвычайных взносов, порядок формирования и учета условных обязательств страховыми организациями - участниками Фонда гарантирования страховых выплат (далее - Методика) разработаны в соответствии с Законом Республики Казахстан от 3 июня 2003 года «О Фонде гарантирования страховых выплат» (далее - Закон) и определяют методику расчета ставки обязательных, дополнительных взносов, условных обязательств, порядок и сроки уплаты обязательных, дополнительных и чрезвычайных взносов, а также порядок формирования и учета условных обязательств страховыми организациями, заключившими с Фондом гарантирования страховых выплат договор участия (далее - страховые организации - участники).»;

заголовок главы 1 изложить в следующей редакции:

«Глава 1. Методика расчета ставки обязательных взносов, порядок и сроки их уплаты»;

пункты 3 и 4 изложить в следующей редакции:

«3. Ставка обязательного взноса для страховых организаций, осуществляющих деятельность в отрасли «общее страхование», определяемая в соответствии с пунктом 2 Методики, рассчитывается Фондом и составляет не менее 0,35 (ноль целых тридцать пять сотых) процента от суммы начисленных страховых премий и не более 2 (двух) процентов от суммы начисленных страховых премий.

Ставка обязательного взноса для страховых организаций, осуществляющих деятельность в отрасли «страхование жизни», определяемая в соответствии с пунктом 2 Методики, рассчитывается Фондом и составляет не более 1 (одного) процента от положительной разницы между размером страховых резервов по каждому гарантируемому виду страхования на начало отчетного финансового года и размером таких резервов на начало предыдущего финансового года.

Ставка обязательного взноса для страховых организаций, осуществляющих деятельность в отрасли «страхование жизни», подлежащего уплате в Фонд впервые после заключения договора участия, составляет не более 0,71 (ноль целых семьдесят одной сотой) процента от суммы страховых резервов по каждому гарантируемому виду страхования на начало отчетного финансового года.

4. Страховые организации-участники, осуществляющие деятельность в отрасли «общее страхование», в течение 30 (тридцати) календарных дней после завершения финансового года представляют в Фонд информацию о количестве заключенных договоров страхования, общей начисленной сумме страховых премий и страховых выплат за истекший финансовый год по каждому гарантируемому виду страхования.»;

дополнить пунктом 4-1 следующего содержания:

«4-1. Страховые организации-участники, осуществляющие деятельность в отрасли «страхование жизни», в течение 30 (тридцати) календарных дней после завершения финансового года представляют в Фонд информацию о количестве заключенных договоров страхования, общей сумме страховых резервов по каждому гарантируемому виду страхования, а также общей начисленной сумме страховых премий и страховых выплат за истекший финансовый год по каждому гарантируемому виду страхования.»;

части первую и вторую пункта 5 изложить в следующей редакции:

«5. После получения информации, предусмотренной пунктами 4 и 4-1 Методики, Фонд в течение 30 (тридцати) календарных дней рассчитывает, утверждает ставку обязательных взносов по согласованию с уполномоченным органом по регулированию, контролю и надзору финансового рынка и финансовых организаций (далее - уполномоченный орган) в соответствии с подпунктом 7) пункта 1 статьи 4 Закона с учетом повышающего коэффициента и доводит ее до сведения страховых организаций - участников.

В случае представления страховыми организациями-участниками недостоверной (неполной) информации о количестве заключенных договоров страхования, общей сумме страховых резервов по каждому гарантируемому виду страхования, общей начисленной сумме страховых премий и страховых выплат Фонд производит корректировку ставки обязательных взносов. При этом в случае уменьшения ставки обязательных взносов Фонд зачисляет излишне уплаченные страховыми организациями-участниками суммы в счет уплаты ими будущих взносов за текущий финансовый год. В случае увеличения ставки обязательных взносов страховые организации-участники уплачивают Фонду дополнительные суммы в срок, предусмотренный пунктом 7 Методики.»;

пункты 6 и 7 изложить в следующей редакции:

«6. Расчет суммы обязательного взноса производится страховой организацией-участником, осуществляющей деятельность в отрасли «общее страхование», самостоятельно ежеквартально путем умножения ставки обязательного взноса на сумму начисленных в течение отчетного квартала страховых премий по договорам страхования (за минусом возвращенных (подлежащих возврату) страховых премий страхователям в случае досрочного расторжения договора страхования) по каждому гарантируемому виду страхования, по состоянию на первое число месяца, следующего за отчетным кварталом.

Расчет суммы обязательного взноса производится страховой организацией-участником, осуществляющей деятельность в отрасли «страхование жизни», самостоятельно ежегодно путем умножения ставки обязательного взноса на положительную разницу между размером страховых резервов по каждому гарантируемому виду страхования на начало отчетного финансового года и размером таких резервов на начало предыдущего финансового года.

Расчет суммы обязательного взноса для страховых организаций, осуществляющих деятельность в отрасли «страхование жизни», подлежащего уплате в Фонд впервые после заключения договора участия, производится самостоятельно путем умножения ставки обязательного взноса на сумму страховых резервов по каждому гарантируемому виду страхования на начало отчетного финансового года.

7. Уплата обязательных взносов производится страховыми организациями-участниками, осуществляющими деятельность в отрасли «общее страхование», самостоятельно на счет Фонда в уполномоченном органе по итогам каждого квартала не позднее 15 (пятнадцатого) числа месяца, следующего за отчетным кварталом.

Уплата обязательных взносов производится страховыми организациями-участниками, осуществляющими деятельность в отрасли «страхование жизни», самостоятельно на счет Фонда в уполномоченном органе по итогам финансового года не позднее 15 (пятнадцати) календарных дней после даты утверждения ставки обязательных взносов.»;

заголовок главы 2 изложить в следующей редакции:

«Глава 2. Методика расчета ставки дополнительных взносов, порядок и сроки их уплаты»;

заголовок главы 3 изложить в следующей редакции:

«Глава 3. Методика расчета ставки условных обязательств, порядок их формирования и учета»;

пункты 18, 19 и 20 изложить в следующей редакции:

«18. Ставка условных обязательств, подлежащих формированию страховой организацией-участником, осуществляющей деятельность в отрасли «общее страхование», определяемая в соответствии с пунктом 17 Методики, рассчитывается Фондом и составляет не менее 1 (одного) процента и не более 4 (четырех) процентов от общей суммы начисленных страховых премий по каждому гарантируемому виду страхования за истекший финансовый год.

Ставка условных обязательств, подлежащих формированию страховой организацией-участником, осуществляющей деятельность в отрасли «страхование жизни», определяемая в соответствии с пунктом 17 Методики, рассчитывается Фондом и составляет не более 4 (четырех) процентов от положительной разницы между размером страховых резервов по каждому гарантируемому виду страхования на начало отчетного финансового года и размером таких резервов на начало предыдущего финансового года.

Ставка условных обязательств для страховых организаций, осуществляющих деятельность в отрасли «страхование жизни», подлежащих формированию впервые после заключения договора участия, составляет не более 4 (четырех) процентов от суммы страховых резервов по каждому гарантируемому виду страхования на начало финансового года.

19. Фонд в течение 30 (тридцати) календарных дней с даты получения от всех страховых организаций-участников информации, предусмотренной пунктами 4 и 4-1 Методики, рассчитывает, утверждает по согласованию с уполномоченным органом ставку условных обязательств в соответствии с подпунктом 7) пункта 1 статьи 4 Закона и доводит ее до сведения страховых организаций - участников.

В случаях установления фактов предоставления страховыми организациями-участниками недостоверной (неполной) информации о количестве заключенных договоров страхования, общей сумме страховых резервов по каждому гарантируемому виду страхования, общей начисленной сумме страховых премий и страховых выплат, Фонд производит корректировку ставки условных обязательств.

20. Расчет размера условных обязательств производится страховой организацией - участником, осуществляющей деятельность в отрасли «общее страхование», самостоятельно ежеквартально путем умножения ставки условных обязательств на сумму начисленных в течение отчетного квартала страховых премий по договорам страхования (за минусом возвращенных (подлежащих возврату) страховых премий страхователям в случае досрочного расторжения договора страхования) по каждому гарантируемому виду страхования по состоянию на первое число месяца, следующего за отчетным кварталом.

Расчет размера условных обязательств производится самостоятельно страховой организацией-участником, осуществляющей деятельность в отрасли «страхование жизни», ежегодно не позднее 15 (пятнадцати) календарных дней после даты утверждения ставки условных обязательств, путем умножения ставки условных обязательств на положительную разницу между размером страховых резервов по каждому гарантируемому виду страхования на начало отчетного финансового года и размером таких резервов на начало предыдущего финансового года.

Расчет размера первых условных обязательств, подлежащих формированию после заключения договора участия, производится самостоятельно страховой организацией - участником, осуществляющей деятельность в отрасли «страхование жизни», не позднее 15 (пятнадцати) календарных дней после даты утверждения ставки условных обязательств, путем умножения ставки условных обязательств на сумму страховых резервов по каждому гарантируемому виду страхования на начало отчетного финансового года.»;

заголовок главы 4 изложить в следующей редакции:

«Глава 4. Порядок и сроки уплаты чрезвычайных взносов»;

пункт 23 изложить в следующей редакции:

«23. Страховая организация - участник уплачивает чрезвычайные взносы в случаях и размере, установленных Законом.».

7. Внести в постановление Правления Национального Банка Республики Казахстан от 16 июля 2014 года № 147 «Об утверждении Правил назначения и полномочий временной администрации (временного администратора) банка, страховой (перестраховочной) организации» (зарегистрировано в Реестре государственной регистрации нормативных правовых актов под № 9711, опубликовано 3 октября 2014 года в информационно-правовой системе «Әділет») следующие изменения и дополнение:

в Правилах назначения и полномочиях временной администрации (временного администратора) банка, страховой (перестраховочной) организации, утвержденных указанным постановлением:

пункт 10 изложить в следующей редакции:

«10. Временная администрация требует от руководителя организации (лица, его замещающего) и иных материально ответственных лиц немедленной передачи ей печатей (при наличии), штампов, клише, ключей, пломбиров и документов организации, указанных в подпункте 2) пункта 15 Правил.

В случае не передачи руководителем организации (лица, его замещающего) и иными материально ответственными лицами организации печатей (при наличии), штампов, клише, ключей, пломбиров и документов, указанных в подпункте 2) пункта 15 Правил, временная администрация составляет акт о воспрепятствовании осуществлению работы временной администрации (далее - акт о воспрепятствовании) согласно пунктам 19 и 20 Правил, и в течение 2 (двух) рабочих дней принимает меры по изготовлению дубликатов необходимых печатей, штампов, клише, ключей и пломбиров.

Не позднее рабочего дня, следующего за днем изготовления дубликата печати, временная администрация направляет информацию об изготовлении дубликата печати и оттиск дубликата печати в уполномоченный орган.»;

Абзацы седьмой, восьмой пункта 7 вводятся в действие с 1 января 2019 года

абзац четвертый подпункта 2) пункта 16 изложить в следующей редакции:

«информирует регистрирующие органы, центральный депозитарий и фондовую биржу о решениях уполномоченного органа о лишении организации и назначении временной администрации в целях установления запрета на регистрацию сделок по отчуждению имущества организации, совершаемых не временной администрацией, а также на снятие обременения с имущества, залогодержателем которого является организация;»;

подпункты 2) и 3) пункта 18 изложить в следующей редакции:

«2) в течение 10 (десяти) рабочих дней с даты лишения лицензии страховой (перестраховочной) организации принимает решение о передаче страхового портфеля, в порядке, предусмотренном статьей 54-1 Закона о страховании и Правилами передачи страхового портфеля и особенностями передачи страхового портфеля со дня вступления в законную силу решения суда о принудительной ликвидации страховой (перестраховочной) организации, а также при консервации или лишении лицензии страховой (перестраховочной) организации, утвержденными постановлением Правления Национального Банка Республики Казахстан от 26 декабря 2016 года № 303, зарегистрированным в Реестре государственной регистрации нормативных правовых актов под № 14787;

3) в срок не более 30 (тридцати) календарных дней со дня подписания сводного акта приема-передачи документов и имущества страховой (перестраховочной) организации от страховой (перестраховочной) организации руководителю временной администрации представляет в Фонд гарантирования страховых выплат реестр договоров страхования страховой (перестраховочной) организации, осуществлявшей деятельность в отрасли «общее страхование»;

дополнить пунктом 18-1 следующего содержания:

«18-1. Временная администрация страховой (перестраховочной) организации, осуществлявшей деятельность в отрасли «страхование жизни», в течение 2 (двух) рабочих дней с даты лишения страховой (перестраховочной) организации лицензии на осуществление деятельности по отрасли «страхование жизни»:

формирует и передает в Фонд гарантирования страховых выплат реестры договоров аннуитетного страхования ликвидируемой страховой (перестраховочной) организации из баз данных организации по формированию и ведению базы данных и ликвидируемой страховой (перестраховочной) организации по аннуитетным классам страхования, по которым предоставляется гарантия в соответствии с подпунктом 1) части первой пункта 2 статьи 15-1 Закона Республики Казахстан от 3 июня 2003 года «О Фонде гарантирования страховых выплат»;

публикует объявление об осуществлении Фондом гарантирования страховых выплат гарантийных выплат по аннуитетным классам страхования. Объявление об осуществлении гарантийных выплат по аннуитетным классам страхования публикуется в двух периодических печатных изданиях, распространяемых на всей территории Республики Казахстан, на казахском и русском языках и на интернет-ресурсе страховой (перестраховочной) организации.»;

пункт 48 изложить в следующей редакции:

«48. Временная администрация с даты назначения ликвидационной комиссии складывает свои полномочия и обеспечивает передачу имущества и документов (бухгалтерской и иной документации организации, печатей (при наличии), штампов, материальных ценностей и иного имущества) председателю ликвидационной комиссии в сроки и порядке, установленные Законом о банках, Законом о страховании.»;

Абзац восемнадцатый пункта 7 вводятся в действие с 1 января 2019 года

Смету расходов временной администрации по форме согласно приложению изложить в редакции согласно приложению 7 к Перечню.

8. Внести в постановление Правления Национального Банка Республики Казахстан от 27 мая 2015 года № 92 «Об утверждении Правил применения поправочного коэффициента» (зарегистрировано в Реестре государственной регистрации нормативных правовых актов под № 11651, опубликовано 29 июля 2015 года в информационно-правовой системе «Әділет») следующие изменения и дополнение:

в Правилах применения поправочного коэффициента, утвержденных указанным постановлением:

пункт 3 изложить в следующей редакции:

«3. Поправочный коэффициент определяется на основании среднегодового количества пострадавших работников в течение последних 5 (пяти) лет, предшествующих дате заключения договора обязательного страхования, и соответствующего общего количества работников страхователя на дату заключения договора обязательного страхования. Значения поправочных коэффициентов установлены пунктом 2 статьи 17-1 Закона.»;

пункт 5 исключить;

дополнить пунктом 10 следующего содержания:

«10. В случае отсутствия страховых случаев в течение последних 5 (пяти) лет, предшествующих дате заключения договора обязательного страхования, поправочные коэффициенты определяются страховщиком в соответствии с пунктом 2-1 статьи 17-1 Закона.».

9. Внести в постановление Правления Национального Банка Республики Казахстан от 20 октября 2015 года № 194 «Об утверждении типового договора пенсионного аннуитета, установлении Методики расчета страховой премии и страховой выплаты из страховой организации по договору пенсионного аннуитета, допустимого уровня расходов страховой организации на ведение дела по заключаемым договорам пенсионного аннуитета, а также ставки индексации страховой выплаты» (зарегистрировано в Реестре государственной регистрации нормативных правовых актов под № 12318, опубликовано 10 декабря 2015 года в информационно-правовой системе «Әділет») следующие изменения:

пункт 3 изложить в следующей редакции:

«3. Установить:

1) допустимый уровень расходов страховой организации на ведение дела по заключаемым договорам пенсионного аннуитета в размере не более 1 (одного) процента от размера страховой премии и 3 (трех) процентов от каждой страховой выплаты;

2) ставку индексации страховой выплаты в размере не менее 5 (пяти) процентов.»;

в Типовом договоре пенсионного аннуитета, утвержденном указанным постановлением:

пункт 1 изложить в следующей редакции:

«1. В соответствии с Договором Страхователь обязуется передать Страховщику сумму страховой премии, а Страховщик обязуется осуществлять страховые выплаты в пользу Страхователя и (или) застрахованных пожизненно.»;

пункты 5 и 6 изложить в следующей редакции:

«5. Первая ежемесячная страховая выплата осуществляется Страховщиком не позднее 10 (десяти) рабочих дней с даты перевода суммы страховой премии по Договору на счет Страховщика.

Размер первой ежемесячной страховой выплаты составляет _______ (цифрами и прописью) тенге.

6. Размер ставки индексации составляет ______ (цифрами и прописью) процентов. Размер страховых выплат по Договору ежегодно увеличивается на размер ставки индексации. Изменения размера страховых выплат с учетом индексации отражаются в Графике страховых выплат согласно приложению 1 к Договору.

График страховых выплат, первоначально согласованный и подписанный Сторонами при заключении Договора, изменяется в случае увеличения страховых выплат в течение периода действия Договора.»;

часть первую пункта 9 изложить в следующей редакции:

«9. Страховая выплата переводится Страховщиком на банковские счета Страхователя и (или) застрахованных, открытые в банке второго уровня Республики Казахстан.»;

пункты 10 и 11 изложить в следующей редакции:

«10. В случае смерти Страхователя и (или) застрахованных Страховщик осуществляет страховую выплату в виде пособия на погребение семье либо лицу, осуществившему погребение, в размере ________ (цифрами и прописью) тенге, но не менее 15-кратного размера месячного расчетного показателя, установленного на соответствующий финансовый год законом о республиканском бюджете.

11. В случае смерти Страхователя и (или) застрахованных, лицо, указанное в Договоре, получает невыплаченные Страховщиком предусмотренные Договором гарантированные страховые выплаты, если Страхователь и (или) застрахованные получили их не в полном объеме либо не получали при жизни.»;

подпункт 4) пункта 12 изложить в следующей редакции:

«4) использование обязательных и (или) добровольных пенсионных взносов, и (или) обязательных профессиональных пенсионных взносов для оплаты страховой премии при заключении Договора со Страховщиком или при внесении изменений в Договор.»;

пункт 13 изложить в следующей редакции:

«13. Страхователь обязан:

1) уведомить единый накопительный пенсионный фонд, добровольный накопительный пенсионный фонд в течение (10) десяти календарных дней со дня заключения Договора или внесения изменений в Договор с представлением оригинала такого договора и (или) дополнительного соглашения к Договору;

2) при расторжении Договора обратиться с заявлением о расторжении Договора и предоставить оригинал договора пенсионного аннуитета с новой страховой организацией в течение 10 (десяти) рабочих дней со дня заключения нового договора пенсионного аннуитета.»;

подпункт 6) пункта 14 изложить в следующей редакции:

«6) в случае смерти Страхователя и (или) застрахованных осуществить страховую выплату в виде пособия на погребение семье либо лицу, осуществившему погребение в размере, установленном пунктом 10 Договора.»

пункты 18 и 19 изложить в следующей редакции:

«18. Договор вступает в силу и становится обязательным для Сторон с момента перечисления суммы страховой премии Страховщику в полном объеме.

19. Заключение к договору пенсионного аннуитета составляется по форме согласно приложению 2 к Договору.»;

пункт 24 изложить в следующей редакции:

«24. При расторжении Договора расходы Страховщика на ведение дела составляют не более 1 (одного) процента от размера страховой премии

и 3 (трех) процентов от каждой осуществленной страховой выплаты.»;

пункт 25 исключить;

Заключение к договору пенсионного аннуитета согласно приложению 2 изложить в редакции согласно приложению 8 к Перечню;

в Методике расчета страховой премии и страховой выплаты из страховой организации по договору пенсионного аннуитета, утвержденной указанным постановлением:

пункт 2 изложить в следующей редакции:

«2. Для целей Методики используются следующие основные понятия:

1) достаточность пенсионных накоплений - сумма пенсионных накоплений, требуемая для заключения договора пенсионного аннуитета с размером месячной страховой выплаты не ниже размера минимальной пенсии, установленной на соответствующий финансовый год законом о республиканском бюджете, действующим на дату заключения договора пенсионного аннуитета;

2) гарантированные страховые выплаты - периодичные страховые выплаты страхователю и (или) застрахованным, либо его наследникам в течение определенного договором пенсионного аннуитета периода времени вне зависимости от дожития страхователя и (или) застрахованного;

3) фонд (фонды) - единый накопительный пенсионный фонд (единый накопительный пенсионный фонд и добровольный накопительный пенсионный фонд);

4) страховая премия - пенсионные накопления, направленные страхователем на приобретение пенсионного аннуитета по его выбору в страховую организацию Республики Казахстан;

5) страховая организация - юридическое лицо, имеющее лицензию уполномоченного органа по регулированию, контролю и надзору финансового рынка и финансовых организаций на право осуществления страховой деятельности в отрасли «страхование жизни» по классу «аннуитетное страхование»;

6) застрахованный - физическое лицо, определенное договором пенсионного аннуитета и являющееся получателем пенсионных выплат в соответствии с договором пенсионного аннуитета;

7) страхователь - физическое лицо, заключившее договор пенсионного аннуитета в соответствии со статьей 60 Закона о пенсионном обеспечении.»;

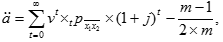
Расчет фактора текущей стоимости, достаточности пенсионных накоплений и страховой премии, размера периодичной страховой выплаты по договору пенсионного аннуитета согласно приложению 1 изложить в редакции согласно приложению 9 к Перечню.

Приложение 1

к Перечню нормативных правовых актов
Республики Казахстан по вопросам
регулирования страховой деятельности,
в которые вносятся изменения и дополнения

Приложение 1
к Типовому договору участия в Фонде
гарантирования страховых выплат

Форма

Сведения по начисленной сумме страховых премий, обязательных взносов, дополнительных взносов и условных обязательств

______________________________________________

(наименование страховой организации - участника)

Отчетный период: по состоянию за _______ квартал 20 __ года

 

(в тенге)

Наименование гарантируемого класса

Кредитовые обороты по счету 6280 41 «Доходы в виде страховых премий

Дебетовые обороты по счету 6280 41 «Доходы в виде страховых премий

Кредитовые обороты по счету 3390 42 «Расчеты с перестраховщиками», резидентами Республики Казахстан

Начисленная сумма обязательных взносов

Начисленная сумма условных обязательств

Общая сумма условных обязательств, начисленных за период с начала участия в Фонде (с нарастающим итогом)

Начисленная сумма дополнительных взносов

 

 

 

 

 

 

 

 

 

Первый руководитель или лицо, уполномоченное на подписание

_______________________________________________________________

(фамилия, имя, отчество (при его наличии)

________    _________

(подпись)        (дата)

Приложение 2

к Перечню нормативных правовых актов
Республики Казахстан по вопросам
регулирования страховой деятельности,
в которые вносятся изменения и дополнения

Приложение 2
к Типовому договору участия в Фонде
гарантирования страховых выплат

Форма

Сведения о количестве заключенных договоров страхования, общей сумме страховых резервов, общей начисленной сумме страховых премий и страховых выплат

_____________________________________________________

(наименование страховой организации - участника)

Отчетный период: по состоянию за 20 ___ год

 

(в тысячах тенге)

Наименование гарантируемого класса

Количество заключенных договоров страхования (в единицах)

Количество застрахованных объектов (в единицах)

Страховые премии, принятые по договорам страхования (перестрахования)

Расходы по осуществлению страховых выплат

Общая сумма страховых резервов (для страховых организаций, осуществляющих деятельность в отрасли «страхование жизни»)

 

 

 

 

 

 
 

Первый руководитель или лицо, уполномоченное на подписание

_______________________________________________________________

(фамилия, имя, отчество (при его наличии)

________    _________

(подпись)        (дата)

Приложение 3

к Перечню нормативных правовых актов
Республики Казахстан по вопросам
регулирования страховой деятельности,
в которые вносятся изменения и дополнения

Приложение 1
к Правилам осуществления
прямого урегулирования

Форма

 

Уведомление о страховом случае

от «___» ___________ 20 __ года № ______

 

1.

Наименование, место нахождения, номер телефона и банковские реквизиты прямого страховщика

 

2.

Сведения о лице, чья гражданско-правовая ответственность наступила вследствие причинения вреда жизни, здоровью и (или) имуществу лиц, признанных потерпевшими: фамилия, имя, отчество (при его наличии) и адрес страхователя (для физических лиц); наименование, адрес и банковские реквизиты (для юридических лиц)

 

3.

Номер и дата оформления страхового полиса лица, чья гражданско-правовая ответственность наступила вследствие причинения вреда жизни, здоровью и (или) имуществу лиц, признанных потерпевшими

 

4.

Сведения о страховом случае

 

4.1.

Дата постановления по делу об административном правонарушении, наименование органа, уполномоченного рассматривать дела об административных правонарушениях

 

4.2.

Дата принятия процессуального решения суда по уголовному делу и дата вступления его в законную силу

 

5.

Иные сведения

 

 

Должность, фамилия, имя, отчество (при его наличии) лица, ответственного за рассмотрение страхового случая:

_______________________________________________________________

Номер телефона: ________________________________________________

Приложение 4

к Перечню нормативных правовых актов
Республики Казахстан по вопросам
регулирования страховой деятельности,
в которые вносятся изменения и дополнения

Приложение 2
к Правилам осуществления
прямого урегулирования

Форма

 

Извещение об урегулировании страхового случая

от «____» _____________ 20 __ года № _______

1.

Наименование, место нахождения, номер телефона и банковские реквизиты прямого страховщика

 

2.

Сведения о лице, чья гражданско-правовая ответственность наступила вследствие причинения вреда жизни, здоровью и (или) имуществу лиц, признанных потерпевшими: фамилия, имя, отчество (при его наличии) и адрес страхователя (для физических лиц); наименование, адрес и банковские реквизиты (для юридических лиц)

 

3.

Номер и дата оформления страхового полиса лица, чья гражданско-правовая ответственность наступила вследствие причинения вреда жизни, здоровью и (или) имуществу лиц, признанных потерпевшими

 

4.

Сведения о страховом случае

 

4.1.

Дата постановления по делу об административном правонарушении, наименование органа, уполномоченного рассматривать дела об административных правонарушениях

 

4.2.

Дата принятия процессуального решения суда по уголовному делу и дата вступления его в законную силу

 

5.

Расходы, связанные с урегулированием страхового случая (в тенге)

 

5.1.

Страховая выплата по возмещению вреда, причиненного имуществу потерпевшего (потерпевшим)

 

5.2.

Страховая выплата по возмещению вреда, причиненного жизни и (или) здоровью потерпевшего (потерпевшим)

 

5.3.

Расходы, связанные с определением размера вреда

 

5.4.

Иные расходы

 

6.

Иные сведения

 

 

Фамилия, имя, отчество (при его наличии) первого руководителя либо уполномоченного лица:

_______________________________________________________________

Номер телефона: ______________

Приложение 5

к Перечню нормативных правовых актов
Республики Казахстан по вопросам
регулирования страховой деятельности,
в которые вносятся изменения и дополнения

Приложение 3
к Правилам осуществления
прямого урегулирования

Форма

 

Извещение об отказе в осуществлении страховой выплаты

от «____» _____________ 20 __ года № _______

 

1.

Наименование, место нахождения, номер телефона и банковские реквизиты прямого страховщика

 

2.

Сведения о лице, чья гражданско-правовая ответственность наступила вследствие причинения вреда, причиненного жизни, здоровью и (или) имуществу лиц, признанных потерпевшими: фамилия, имя, отчество (при его наличии) и адрес страхователя (для физических лиц); наименование, адрес и банковские реквизиты (для юридических лиц)

 

3.

Номер и дата оформления страхового полиса лица, чья гражданско-правовая ответственность наступила вследствие причинения вреда, причиненного жизни, здоровью и (или) имуществу лиц, признанных потерпевшими

 

4.

Сведения о страховом случае

 

4.1.

Дата постановления по делу об административном правонарушении, наименование органа, уполномоченного рассматривать дела об административных правонарушениях

 

4.2.

Дата принятия процессуального решения суда по уголовному делу и дата вступления его в законную силу

 

5.

Расходы, связанные с урегулированием страхового случая (в тенге) и подлежащие уплате выгодоприобретателю

 

5.1.

Страховая выплата по возмещению вреда, причиненного имуществу потерпевшего (потерпевшим)

 

5.2.

Страховая выплата по возмещению вреда, причиненного жизни и/или здоровью потерпевшего (потерпевшим)

 

5.3.

Расходы, связанные с определением размера вреда

 

5.4.

Иные расходы

 

6.

Основания для отказа в осуществлении страховой выплаты

 

7.

Иные сведения

 

 

Фамилия, имя, отчество (при его наличии) первого руководителя прямого страховщика либо уполномоченного лица:

_______________________________________________________________

Номер телефона: ____________________

Сведения, заполняемые ответственным страховщиком (согласен или не согласен):

_______________________________________________________________

_______________________________________________________________

Наименование, место нахождения, номер телефона и банковские реквизиты ответственного страховщика

_______________________________________________________________

Фамилия, имя, отчество (при его наличии) первого руководителя ответственного страховщика либо уполномоченного лица:

_______________________________________________________________

Номер телефона: __________________

Приложение 6

к Перечню нормативных правовых актов
Республики Казахстан по вопросам
регулирования страховой деятельности,
в которые вносятся изменения и дополнения

 Приложение 4
к Правилам осуществления
прямого урегулирования

Форма

 

Заявление о расчете размера страховой выплаты

от «____» _____________ 20 __ года № _______

 

1. ________________________________направляет для осуществления

(наименование прямого страховщика)

________________расчета размера страховой выплаты по возмещению

(наименование ответственного страховщика) вреда, причиненного

имуществу потерпевшего

________________________________________________________.

(фамилия, имя, отчество (при его наличии) потерпевшего)

Размер страховой выплаты по возмещению вреда,

причиненного имуществу потерпевшего, составляет

______________________________ тенге.

(сумма цифрами и прописью)

Уведомление о страховом случае № _____ было направлено

_______________________________________________________________

(наименование ответственного страховщика)

«___» _____________ 20__ года

Фамилия, имя, отчество (при его наличии) первого руководителя

прямого страховщика либо уполномоченного лица:_________________

Номер телефона: __________________

2. Сведения, заполняемые ответственным страховщиком:

_________________________________________, рассмотрев заявление

(наименование ответственного страховщика) о расчете размера

страховой выплаты от «____» _______ 20 __ года №_____________________,

сообщает, что размер страховой выплаты по

возмещению вреда, причиненного имуществу

потерпевшего______________________________________________,

(фамилия, имя, отчество (при его наличии) потерпевшего)

составляет_________________________________________________тенге.

(сумма цифрами и прописью)

Страховая сумма на дату получения

__________________________________________________ заявления

(наименование ответственного страховщика)

о расчете размера страховой выплаты составляет

_______________________________________________________________ тенге.

(сумма цифрами и прописью)

Страховая сумма указывается ответственным страховщиком за минусом суммы страховых выплат по возмещению вреда, причиненного имуществу других потерпевших, произведенных ответственным страховщиком соответствующим прямым страховщикам или выгодоприобретателям.

Фамилия, имя, отчество (при его наличии) первого руководителя ответственного страховщика либо уполномоченного лица:

_______________________________________________________________

Номер телефона: __________________

Приложение 7 вводится в действие с 1 января 2019 года

Приложение 7

к Перечню нормативных правовых актов
Республики Казахстан по вопросам
регулирования страховой деятельности,
в которые вносятся изменения и дополнения

Приложение
к Правилам назначения и полномочиям
временной администрации (временного
администратора) банка, страховой
(перестраховочной) организации

Форма

«Утверждено»
Руководитель временной администрации
_______________________________
(подпись)
«____» _______________ 20___ года

 

Смета расходов временной администрации

на _________________ месяц ________________________________ года

______________________________________________________________

наименование организации

 

Наименование статей расходов

Сумма планируемых расходов (тысяч тенге)

1

2

3

1

Оплата труда персонала

 

1.1

Оплата труда руководителя и членов временной администрации, а также работников организации, работающих на основании трудовых договоров

 

1.1.1

Должностной оклад

 

1.1.2

Подоходный налог

 

1.1.3

Обязательные пенсионные взносы

 

1.2

Оплата труда лиц, оказывающих услуги по договорам возмездного оказания услуг

 

2

Отчисления в бюджет

 

2.1

Налоги

 

2.2

Платы

 

2.3

Прочие налоги и другие обязательные платежи в бюджет

 

3

Административные расходы

 

3.1

Услуги по найму транспорта для служебных и хозяйственных нужд

 

3.2

Услуги связи (телекоммуникационные расходы, абонентская плата за пользование телефоном, телеграфом, расходы по междугородним и международным переговорам, услугам почтовых и справочных служб)

 

3.3

Услуги по охране и сигнализации зданий и сооружений (собственного и залогового имущества)

 

3.4

Услуги по охране транспорта

 

3.5

Услуги по предоставлению стоянки для транспорта

 

3.6

Услуги по регистрации транспорта

 

3.7

Услуги по техническому осмотру транспорта

 

3.8

Услуги по страхованию транспорта

 

3.9

Коммунальные услуги

 

3.10

Работы по текущему ремонту, техническому, сервисному обслуживанию (осмотру), демонтажу основных средств и товарно-материальных ценностей, осуществляемых подрядным способом

 

3.11

Аренда помещения

 

3.12

Услуги по регистрации недвижимости и соответствующей документации в регистрирующих органах

 

3.13

Услуги по оценке имущества

 

3.14

Услуги по публикации в средствах массовой информации

 

3.15

Услуги по подготовке отопительной системы к запуску

 

3.16

Сантехнические работы

 

3.17

Услуги по хранению имущества

 

3.18

Услуги по нотариальному удостоверению и аппостилированию документов

 

3.19

Услуги по транспортировке, погрузке, разгрузке имущества

 

3.20

Услуги по организации и проведению торгов

 

3.21

Услуги инкассации

 

3.22

Услуги по проведению экспертизы

 

3.23

Услуги за обслуживание программного обеспечения

 

3.24

Услуги по переводу документов

 

3.25

Установка, смена или перенос телефонных номеров

 

3.26

Услуги центрального депозитария

 

3.27

Услуги по научно-технической обработке документов

 

3.28

Услуги по обслуживанию банковского счета, переводам и платежам денег, осуществленным без открытия банковского счета

 

3.29

Услуги частных судебных исполнителей

 

3.30

Услуги по обязательному страхованию работников от несчастных случаев при выполнении ими трудовых (служебных) обязанностей

 

3.31

Отчисления в фонд социального медицинского страхования

 

4

Расходы по приобретению товарно-материальных ценностей

 

4.1

Расходы для содержания офисного оборудования в рабочем состоянии

 

4.2

Расходы для содержания транспортных средств

 

4.3

Расходы для содержания помещений

 

4.4

Расходы для приобретения бумажной и бланочной продукции

 

4.5.

Расходы на приобретение канцелярских товаров

 

4.6

Расходы на приобретение горюче-смазочных материалов

 

5

Командировочные расходы

 

6

Расходы по возврату денег, поступивших по ошибочным указаниям

 

7

Расходы банка на проведение операции по одновременной передаче активов и обязательств банка другому (другим) банку (банкам)

 

8

Расходы страховой (перестраховочной) организации по передаче страхового портфеля в полном объеме в другую страховую организацию

 

9

Непредвиденные расходы

 

Итого за месяц

 

 

Главный бухгалтер ____________________________________________

(фамилия, имя, отчество (при его наличии)        (подпись)

Исполнитель _________________________________________________

(фамилия, имя, отчество (при его наличии)       (подпись)

Номер телефона ___________________________

Приложение 8

к Перечню нормативных правовых актов
Республики Казахстан по вопросам
регулирования страховой деятельности,
в которые вносятся изменения и дополнения

Приложение 2
к Типовому договору
пенсионного аннуитета

Форма

 

Заключение к договору пенсионного аннуитета

№ ___________ «____» ___________ 20___ года

 

 Информация о Страхователе

Фамилия, имя, отчество (при его наличии)

 

Дата рождения, возраст

 

Пол

 

Информация о Застрахованном

Фамилия, имя, отчество (при его наличии)

 

Дата рождения, возраст

 

Пол

 

Информация по Договору

Основания заключения договора пенсионного аннуитета

 

Сумма страховой премии

 

Срок осуществления страховых выплат

 

Период осуществления гарантированных страховых выплат (при наличии)

с «____» ______________ 20___ года по «____» _____________ 20___ года.

Эффективная годовая процентная ставка доходности

 

Размер ставки индексации

 

Фактор текущей стоимости с учетом гарантированных страховых выплат (при наличии)

 

Фактор текущей стоимости с учетом гарантированных страховых выплат (при наличии) и расходов

 

Размер первой периодичной страховой выплаты

 

Сумма пенсионных накоплений, достаточная для заключения договора пенсионного аннуитета

 

 

В строке «Основания заключения договора пенсионного аннуитета» необходимо указать норму (нормы) Закона Республики Казахстан от 21 июня 2013 года «О пенсионном обеспечении в Республике Казахстан», на основании которой (которых) заключен договор пенсионного аннуитета.

 

Актуарий ______________________________________________________

фамилия, имя, отчество (при его наличии)            подпись

Руководитель юридического подразделения_________________________

фамилия, имя, отчество (при его наличии)            подпись

Руководитель подразделения, ответственного за подготовку заключения к договору пенсионного аннуитета

_______________________________________________________________

фамилия, имя, отчество (при его наличии)            подпись

Приложение 9

к Перечню нормативных правовых
актов Республики Казахстан по вопросам
регулирования страховой деятельности,
в которые вносятся изменения и дополнения

 

Приложение 1
к Методике расчета страховой премии и
страховой выплаты из страховой организации
по договору пенсионного аннуитета

 

Расчет фактора текущей стоимости, достаточности пенсионных накоплений и страховой премии, размера периодичной страховой выплаты по договору пенсионного аннуитета

1. Фактор текущей стоимости определяется как сумма произведений показателя (показателей) дожития получателей от возраста на дату заключения договора пенсионного аннуитета до возраста получения страховых выплат за год, дисконтирующего фактора и ставки индексации в соответствующих степенях:

где:

ä - фактор текущей стоимости;

  - дисконтирующий фактор;

i - эффективная процентная ставка доходности;

j - ставка индексации;

iPx - вероятность дожития аннуитента от возраста x до возраста x + t.

В период гарантированных страховых выплат вероятность дожития аннуитента равна единице;

x - возраст аннуитента на дату начала получения аннуитетных выплат;

t - переменная, имеющая значения от 0 до ∞;

m - периодичность страховых выплат.

В случае, если по договору пенсионного аннуитета страховые выплаты осуществляются в пользу нескольких застрахованных, фактор текущей стоимости определяется как сумма произведений показателя (показателей) дожития получателей от возраста на дату заключения договора пенсионного аннуитета до возраста получения страховых выплат за год, дисконтирующего фактора и ставки индексации в соответствующих степенях:

где:

ä - фактор текущей стоимости;

- дисконтирующий фактор;

i - эффективная процентная ставка доходности;

j - ставка индексации;

- вероятность дожития аннуитента от возраста x1 и x2 до возраста x1 + t и x2 + t.

В период гарантированных страховых выплат вероятность дожития аннуитента равна единице;

x1, x2 - возраст аннуитента на дату начала получения аннуитетных выплат;

t - переменная, имеющая значения от 0 до ∞;

m - периодичность страховых выплат.

2. Фактор текущей стоимости с учетом расходов страховой организации:

где:

ä - фактор текущей стоимости;

d - расходы на ведение дела от размера страховой выплаты (в процентах).

3. Достаточность пенсионных накоплений и страховая премия по договору пенсионного аннуитета рассчитываются по следующей формуле:

где:

СП - страховая премия;

ПН - сумма пенсионных накоплений;

СВ - размер страховой выплаты не ниже размера минимальной пенсии, установленного законом о республиканском бюджете на соответствующий финансовый год, действующим на дату заключения договора пенсионного аннуитета;

m - периодичность страховых выплат;

ä - фактор текущей стоимости;

d - расходы на ведение дела от размера страховой выплаты (в процентах).

4. Размер периодичной страховой выплаты по договору пенсионного аннуитета определяется по следующей формуле:

СП - страховая премия;

ПН - сумма пенсионных накоплений;

СВ - размер страховой выплаты не ниже размера минимальной пенсии, установленного законом о республиканском бюджете на соответствующий финансовый год, действующим на дату заключения договора пенсионного аннуитета;

m - периодичность страховых выплат;

ä - фактор текущей стоимости;

d - расходы на ведение дела от размера страховой выплаты (в процентах).