ПРИКАЗЫВАЮ:
1. Утвердить прилагаемый перечень некоторых приказов Министра национальной экономики Республики Казахстан, в которые вносятся изменения и дополнения.
2. Комитету по регулированию естественных монополий Министерства национальной экономики Республики Казахстан в установленном законодательством Республики Казахстан порядке обеспечить государственную регистрацию настоящего приказа в Министерстве юстиции Республики Казахстан и его размещение на интернет - ресурсе Министерства национальной экономики Республики Казахстан после дня его первого официального опубликования.
3. Контроль за исполнением настоящего приказа возложить на курирующего вице-министра национальной экономики Республики Казахстан.
4. Настоящий приказ вводится в действие по истечении десяти календарных дней после дня его первого официального опубликования.
Исполняющий обязанности министра национальной экономики Республики Казахстан А. Амрин
«СОГЛАСОВАН»
Министерство транспорта
Республики Казахстан
«СОГЛАСОВАН»
Министерство промышленности
и строительства
Республики Казахстан
«СОГЛАСОВАН»
Министерство водных ресурсов
и ирригации Республики Казахстан
«СОГЛАСОВАН»
Министерство энергетики
Республики Казахстан
Утвержден приказом
Исполняющий обязанности
министра национальной экономики
Республики Казахстан
от 4 февраля 2026 года
№ 11
Перечень некоторых приказов Министра национальной экономики Республики Казахстан, в которые вносятся изменения и дополнения
1. Внести в приказ Министра национальной экономики Республики Казахстан от 1 февраля 2017 года № 36 «Об утверждении Правил ценообразования на общественно значимых рынках» (зарегистрирован в Реестре государственной регистрации нормативных правовых актов за № 14778) следующее изменение:
в Правилах ценообразования на общественно значимых рынках, утвержденных указанным приказом:
приложение 12-1 изложить в новой редакции согласно приложению к настоящему приказу.
2. Внести в приказ Министра национальной экономики Республики Казахстан от 18 апреля 2019 года № 26 «Об утверждении перечня регулируемых услуг» (зарегистрирован в Реестре государственной регистрации нормативных правовых актов за № 18558) следующие изменения:
в Перечне регулируемых услуг, утвержденных указанным приказом:
абзацы пятый и шестой пункта 11 исключить.
3. Внести в приказ Министра национальной экономики Республики Казахстан от 24 июня 2019 года № 58 «Об утверждении типовых договоров предоставления регулируемых услуг» (зарегистрирован в Реестре государственной регистрации нормативных правовых актов за № 18889) следующие изменения:
в пункте 1:
подпункт 8) исключить;
подпункт 21) исключить.
в Типовом договоре на предоставление услуг водоснабжения и (или) водоотведения, утвержденном указанным приказом:
пункт 1 изложить следующей редакции:
«1. В Договоре используются следующие основные понятия:
прибор учета – техническое средство для измерения объема воды (питьевой, технической, сточной и других видов вод), имеющее нормированные метрологические характеристики, воспроизводящее и хранящее единицу физической величины в течение определенного интервала времени, разрешенное к применению для коммерческого учета воды в порядке, установленном законодательством Республики Казахстан;
проверка приборов учета – совокупность операций, выполняемых представителем Поставщика для осмотра состояния приборов учета, определения и подтверждения его соответствия техническим требованиям, снятия показаний, а также определения наличия и целостности пломб на водомерном узле;
расчетный период – период, определенный в Договоре как период времени, равный одному календарному месяцу с 00:00 часов первого дня до 24:00 часов последнего дня месяца, за который производится расчет Потребителем за услугу;
граница раздела эксплуатационной ответственности – место раздела элементов систем водоснабжения и (или) водоотведения по признаку обязанностей (ответственности за их эксплуатацию), устанавливаемое соглашением сторон. При отсутствии такого соглашения граница раздела эксплуатационной ответственности устанавливается по границе раздела балансовой принадлежности;
норма водопотребления – количество воды для удовлетворения суточной потребности одного человека, животных личного подсобного хозяйства или на единицу поливной площади в конкретном населенном пункте, которое определяется местным исполнительным органом в соответствии с подпунктом 34) пункта 1 статьи 27 Закона Республики Казахстан «О местном государственном управлении и самоуправлении в Республике Казахстан»;
недопуск к узлу учета воды – отказ (воспрепятствование) Потребителя в предоставлении допуска к узлу учета воды для снятия показаний и проверки работоспособности, контроля технического состояния и безопасности всех элементов систем водоснабжения и водоотведения, расположенных на территории или находящихся в хозяйственном ведении, для отбора проб сточных вод представителя Поставщика;
граница раздела балансовой принадлежности – место раздела элементов систем водоснабжения и водоотведения между владельцами по признаку собственности, хозяйственного ведения или оперативного управления, которое указывается на схемах;
платежный документ – документ (счет, извещение, квитанция, счет-предупреждение) составленное для осуществления оплаты за предоставленные услуги (товары, работы) Поставщика, на основании которого производится оплата;
потребитель – физическое или юридическое лицо, пользующееся или намеревающееся пользоваться регулируемыми услугами водоснабжения и (или) водоотведения;
ведомство уполномоченного органа – ведомство государственного органа, осуществляющего руководство в соответствующих сферах естественных монополий.
Иные понятия и термины, используемые в настоящем Договоре, применяются в соответствии с Водным кодексом Республики Казахстан и законодательством Республики Казахстан о естественных монополиях.»;
приложение 8 исключить.
в Типовом договоре на предоставление услуг по подаче воды по магистральным трубопроводам, утвержденном указанным приказом:
пункт 1 изложить в следующей редакции:
«1. В Договоре используются следующие основные понятия:
прибор учета воды – техническое средство для измерения объема воды (питьевой, технической, сточной и других видов вод), имеющее нормированные метрологические характеристики, воспроизводящее и хранящее единицу физической величины в течение определенного интервала времени, разрешенное к применению для коммерческого учета воды в порядке, установленном законодательством Республики Казахстан; техническое средство, предназначенное для измерения объема воды, имеющее нормированные метрологические характеристики, воспроизводящее и хранящее единицу физической величины в течение определенного интервала времени, и разрешенное к применению для коммерческого учета в порядке, установленном законодательством Республики Казахстан;
поверка приборов учета – совокупность операций, выполняемых представителем Поставщика с целью обследования состояния приборов учета, определения и подтверждения соответствия техническим требованиям, снятия их показаний, а также наличия и целостности пломб;
расчетный период – период, определенный в Договоре как период времени, равный одному календарному месяцу с 00:00 часов первого дня до 24:00 часов последнего дня месяца, за который производится расчет Потребителем за услугу;
магистральный трубопровод – комплекс гидротехнических сооружений, предназначенный для подвода воды от водозабора до распределителей (подводам воды от магистрального трубопровода к группам водопользователей);
граница раздела эксплуатационной ответственности – линия раздела элементов системы магистрального трубопровода по признаку обязанностей (ответственности) за эксплуатацию элементов систем, устанавливаемая соглашением Сторон. При отсутствии такого соглашения граница эксплуатационной ответственности устанавливается по границе балансовой принадлежности;
годовой период подачи воды – подача воды длительностью один календарный год, включающий 12 расчетных периодов;
минимальный месячный объем воды – месячные объемы воды, предусмотренные приложением № 1 являющегося неотъемлемой частью Договора;
минимальный годовой объем воды – объем воды, который Стороны могут предусмотреть для подачи воды по магистральному трубопроводу согласно пункту 2 Договора, обязательный для приема Потребителем в течение годового периода подачи воды;
граница раздела балансовой принадлежности – линия раздела элементов системы магистрального трубопровода между владельцами по признаку собственности, хозяйственного ведения или оперативного управления;
недопринятый объем воды – разница между минимальным месячным объемом воды и фактически принятым Потребителем объемом воды;
недозаявленный объем воды – разница между минимальным месячным объемом воды и заявленным Потребителем объемом воды на отчетный расчетный период;
платежный документ – документ (счет, счет-фактура, извещение, квитанция, счет-предупреждение, составленное на основании показаний приборов учета) Поставщика, на основании которого производится оплата;
потребитель – физическое или юридическое лицо, пользующееся или намеревающееся пользоваться регулируемыми услугами (товарами, работами) субъектов естественной монополии;
точка выдела - место забора воды водопользователем из водного источника, а также гидропост в месте передачи водных ресурсов от водопользователя к водопотребителю;
ведомство уполномоченного органа – ведомство государственного органа, осуществляющего руководство в соответствующих сферах естественных монополий.
Иные понятия и термины, используемые в настоящем Договоре, применяются в соответствии с Водным кодексом Республики Казахстан и законодательством Республики Казахстан о естественных монополиях.»;
приложение 21 исключить.
4. Внести в приказ Министра национальной экономики Республики Казахстан от 13 августа 2019 года № 73 «Об утверждении Правил осуществления деятельности субъектами естественных монополий» (зарегистрирован в Реестре государственной регистрации нормативных правовых актов за № 19242) следующее дополнение:
в Правилах осуществления деятельности субъектами естественных монополий, утвержденных указанным приказом:
дополнить пунктом 8-1 следующего содержания:
«8-1. С вводом в действие с 1 июля 2025 года регулируемой услуги передача, распределение и реализация тепловой энергии, уполномоченный орган вносит соответствующие изменения в Регистр.
Решение о внесении изменений в Регистр оформляется приказом уполномоченного органа».
5. Внести в приказ Министра национальной экономики Республики Казахстан от 19 ноября 2019 года № 90 «Об утверждении Правил формирования тарифов» (зарегистрирован в Реестре государственной регистрации нормативных правовых актов за № 19617) следующие изменения и дополнение:
в Правилах формирования тарифов, утвержденных указанным приказом:
дополнить пунктом 63-1 следующего содержания:
«63-1. Субъекты, изменившие вид деятельности на передачу, распределение и реализацию тепловой энергии с 1 июля 2025 года в соответствии с Законом Республики Казахстан «О теплоэнергетике», до утверждения нового тарифа применяют установленный тариф для субъектов, ранее осуществлявших аналогичную деятельность по реализации тепловой энергии.»;
пункт 111 изложить в следующей редакции:
«111. Уровень прибыли, включаемый в тариф ограничивается с учетом средств, необходимых для реализации инвестиционной программы, и амортизационных отчислений.»;
пункт 299 изложить в следующей редакции:
«299. Утверждения тарифов в упрощенном порядке определяют упрощенный порядок представления и рассмотрения заявки, утверждения и введения в действие тарифа на регулируемые услуги субъекта, изменения утвержденной тарифной сметы, представления отчета об исполнении тарифной сметы субъекта и проведение анализа:
1) созданного впервые;
2) оказывающего новую регулируемую услугу (новые регулируемые услуги);
3) в случае приобретения (строительства) новых объектов и (или) участков, если действующий тариф утвержден раздельно по объектам и (или) участкам;
3-1) в случае приобретения (строительства) новых участков подъездных путей, не являющихся неразрывной частью подъездных путей, на услуги которых субъекту утвержден тариф;
4) малой мощности.
Требования подпункта 2) настоящего пункта не распространяются на субъектов, которые до 1 июля 2025 года оказывали регулируемые услуги по снабжению тепловой энергией и с указанной даты в соответствии с Законом Республики Казахстан «О теплоэнергетике» оказывают регулируемую услугу по реализации тепловой энергии.».
пункт 602 изложить в следующей редакции:
«602. В случае изменения тарифа до истечения его срока действия, за исключением оснований, предусмотренных подпунктами 4), 5), 7), 8), 9), 10), 11) и 12) пункта 601 настоящих Правил, изменяется соответствующая статья затрат.
При этом, в случае возникновения фактических расходов или доходов за предыдущий законченный период (год), полученных из-за разницы цены купли – продажи электрической энергии у единого закупщика электрической энергии, ведомство уполномоченного органа и его территориальный орган для субъектов в сферах передачи электрической энергии, водоснабжения и (или) водоотведения, а также передачи и распределения тепловой энергии изменяет затратную часть тарифа, на сумму необоснованно полученного или недополученного дохода, за исключением затрат по балансирующему рынку электрической энергии, при изменении тарифа на основании пункта 601 настоящих Правил.
Ведомство уполномоченного органа инициирует изменение тарифа до истечения его срока действия по причине, предусмотренной подпунктом 5) пункта 601 настоящих Правил, на основании:
1) отчета об исполнении утвержденной тарифной сметы;
2) информации потребителя о планируемом увеличении объемов потребляемых регулируемых услуг с приложением подтверждающих документов.
В случае изменения тарифа до истечения его срока действия по причинам, предусмотренным подпунктами 5), 10) и 12) пункта 601 настоящих Правил, ведомство уполномоченного органа проводит анализ расчетов и материалов, представленных согласно пункту 604 настоящих Правил.
По результатам анализа представленных с заявлением расчетов и материалов на основании подпункта 5) пункта 601 настоящих Правил, ведомство уполномоченного органа корректирует условно-переменные затраты и объемы оказываемых услуг или оставляет без рассмотрения заявление субъекта на изменение тарифа, если такое изменение приводит к повышению утвержденного тарифа.
Ведомство уполномоченного органа для субъектов, предоставляющих регулируемые услуги по передаче электрической энергии по национальной электрической сети и услуги за пользование национальной электрической сети, корректирует условно-переменные затраты, объемы оказываемых услуг и прибыль (на покрытие заемного финансирования и возмещения заемных ресурсов (резервирование средств до даты погашения полной стоимости облигационного займа) и/или изменения инвестиционной программы в сторону роста ее суммы), не превышающую допустимый уровень прибыли, рассчитанный согласно Главе 11 настоящих Правил, для развития и эффективного функционирования субъекта, в соответствии с пунктом 1 статьи 15 Закона.».
Приложение
к приказу
Исполняющий обязанности
министра национальной экономики
Республики Казахстан
от 4 февраля 2026 года
№ 11
Приложение 12-1
к Правилам ценообразования
на общественно значимых рынках
Форма
Расчет предельной цены Субъекта в области централизованной
покупки и централизованной продажи электрической энергии в части затрат,
связанных с осуществлением деятельности
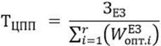
1. Для расчета предельной цены Субъекта в области централизованной покупки и централизованной продажи электрической энергии в части затрат, связанных с осуществлением его деятельности применяется формула:

где:
– предельная цена централизованной продажи электрической энергии, в тенге на кВтч без НДС (округляется с точностью до 4 знаков после запятой);
– объем электрической энергии, планируемый к покупке i-м субъектом оптового рынка электрической энергии у Субъекта, на которого применяются затраты единого закупщика электрической энергии, связанные с осуществлением его деятельности в соответствии с Правилами определения тарифа на поддержку возобновляемых источников энергии, утвержденными приказом Министра энергетики Республики Казахстан от 20 февраля 2015 года № 118 (зарегистрирован в Реестре государственной регистрации нормативных правовых актов под № 10622) и с Правилами организации и функционирования оптового рынка электрической энергии, утвержденным приказом Министра энергетики Республики Казахстан от 20 февраля 2015 года № 106 (зарегистрирован в Министерстве юстиции Республики Казахстан 26 марта 2015 года № 10531), в кВтч;
ЗЕЗ – обоснованные затраты Субъекта в календарном году, связанные с осуществлением его деятельности по централизованной покупке и централизованной продаже электрической энергии, в тенге, сформированные согласно настоящим Правилам;
– суммы по i;
i – порядковый номер, изменяющийся от 1 до r;
r – количество субъектов оптового рынка электрической энергии, планирующих покупку электрической энергии у Субъекта за соответствующий календарный год.