О внесении изменений в приказ Председателя Агентства Республики Казахстан по регулированию естественных монополий от 20 января 2014 года № 13-ОД «Об утверждении некоторых недискриминационных методик уполномоченного органа, осуществляющего руководство в сферах естественных монополий»

Приказ Министра национальной экономики Республики Казахстан от 4 мая 2018 года № 172

ПРИКАЗЫВАЮ:

1. Внести в приказ Председателя Агентства Республики Казахстан по регулированию естественных монополий от 20 января 2014 года № 13-ОД «Об утверждении некоторых недискриминационных методик уполномоченного органа, осуществляющего руководство в сферах естественных монополий» (зарегистрированный в Реестре государственной регистрации нормативных правовых актов за № 9302, опубликованный 23 апреля 2014 года в информационно-правовой системе «Әділет») следующие изменения:

пункт 1 изложить в следующей редакции:

«1. Утвердить:

1) Недискриминационную методику расчета тарифов (цен, ставок сборов) на регулируемые услуги субъектов естественных монополий по транспортировке нефти по магистральным трубопроводам согласно приложению 1 к настоящему приказу;

2) Недискриминационную методику расчета тарифов (цен, ставок сборов) на регулируемые услуги субъектов естественных монополий по хранению товарного газа согласно приложению 2 к настоящему приказу;

3) Недискриминационную методику расчета тарифов (цен, ставок сборов) на регулируемые услуги субъектов естественных монополий по транспортировке товарного газа по магистральным газопроводам согласно приложению 3 к настоящему приказу;

4) Недискриминационную методику расчета тарифов (цен, ставок сборов) на регулируемые услуги субъектов естественных монополий по подаче воды по магистральным трубопроводам и (или) каналам согласно приложению 4 к настоящему приказу.»;

в приложениях 4 и 5 правые верхние углы изложить в следующей редакции:

«Приложение 2
к приказу Председателя
Агентства Республики
Казахстан по регулированию
естественных монополий
от 20 января 2014 года № 13-ОД

Приложение 3
к приказу Председателя
Агентства Республики
Казахстан по регулированию
естественных монополий
от 20 января 2014 года № 13-ОД»;

Недискриминационную методику расчета тарифов (цен, ставок сборов) на регулируемые услуги субъектов естественных монополий по подаче воды по магистральным трубопроводам и (или) каналам, утвержденную указанным приказом, изложить в редакции согласно приложению к настоящему приказу.

2. Комитету по регулированию естественных монополий, защите конкуренции и прав потребителей Министерства национальной экономики Республики Казахстан обеспечить в установленном законодательством Республики Казахстан порядке:

1) государственную регистрацию настоящего приказа в Министерстве юстиции Республики Казахстан;

2) в течение десяти календарных дней со дня государственной регистрации настоящего приказа направление его копии в бумажном и электронном виде на казахском и русском языках в Республиканское государственное предприятие на праве хозяйственного ведения «Республиканский центр правовой информации» для официального опубликования и включения в Эталонный контрольный банк нормативных правовых актов Республики Казахстан;

3) размещение настоящего приказа на интернет-ресурсе Министерства национальной экономики Республики Казахстан;

4) в течение десяти рабочих дней после государственной регистрации настоящего приказа в Министерстве юстиции Республики Казахстан представление в Юридический департамент Министерства национальной экономики Республики Казахстан сведений об исполнении мероприятий, предусмотренных подпунктами 1), 2) и 3) настоящего пункта.

3. Контроль за исполнением настоящего приказа возложить на курирующего вице-министра национальной экономики Республики Казахстан.

4. Настоящий приказ вводится в действие по истечении десяти календарных дней после дня его первого официального опубликования.

Министр национальной экономики
Республики Казахстан

 

Т. Сулейменов

 

«СОГЛАСОВАН»
Заместитель Премьер-Министра
Республики Казахстан -
Министр сельского хозяйства
Республики Казахстан
У. Шукеев
от 15 мая 2018 года

«СОГЛАСОВАН»
Министр энергетики
Республики Казахстан
К. Бозумбаев
от 5 мая 2018 года

Приложение
к
приказу Министра
национальной экономики
Республики Казахстан
от 4 мая 2018 года № 172

Приложение 4
к приказу Председателя
Агентства Республики Казахстан
по регулированию естественных монополий
от 20 января 2014 года № 13-ОД

Недискриминационная методика расчета тарифов (цен, ставок сборов) на регулируемые услуги субъектов естественных монополий по подаче воды по магистральным трубопроводам и (или) каналам

Глава 1. Общие положения

1. Настоящая Недискриминационная методика расчета тарифов (цен, ставок сборов) на регулируемые услуги субъектов естественных монополий по подаче воды по магистральным трубопроводам и (или) каналам (далее - Методика) разработана в соответствии с Законом Республики Казахстан от 9 июля 1998 года «О естественных монополиях», приказом Председателя Агентства Республики Казахстан по регулированию естественных монополий от 25 апреля 2013 года № 130-ОД «Об утверждении Особого порядка формирования затрат, применяемом при утверждении тарифов (цен, ставок сборов) на регулируемые услуги (товары, работы) субъектов естественных монополий» (далее - Особый порядок) (зарегистрирован в Реестре государственной регистрации нормативных правовых актов за № 8480).

2. Настоящая Методика определяет механизм расчета тарифов (цен, ставок сборов) на регулируемые услуги субъектов естественных монополий (далее - субъект) по подаче воды по магистральным трубопроводам и (или) каналам.

3. Для целей настоящей Методики используются следующие понятия:

канал - искусственное гидротехническое сооружение, используемое для управления водными ресурсами, подачи воды водопользователям, водоснабжения.

магистральный трубопровод - комплекс гидротехнических сооружений, предназначенный для подвода воды от водозабора до распределителей (подводам воды от магистрального трубопровода и (или) канала к группам водопользователей);

механизированный способ подачи воды - способ, при котором вода из источника подается при помощи водоподъемных механизмов (насосов), или машинный (механический водоподъем);

самотечный способ подачи воды - подача воды по системам, позволяющим забирать и распределять воду на основе использования сил гравитации (собственной массы или тяжести), без использования водоподъемных механизмов (насосов), или машинного (механического водоподъема);

оросительные нормы - объем воды, подаваемый на гектар орошаемой площади за вегетационный период (кубический метр/га);

способ подачи воды - самотечный, механизированный;

тарифный участок - участок магистрального трубопровода и (или) канала, в границах которого утверждается и действует единый тариф на подачу воды в пределах одной группы потребителей;

группа потребителей - потребители услуги по подаче воды по магистральным трубопроводам и (или) каналам, сгруппированные в зависимости от того, на какие нужды используется вода, в целях применения настоящей Методики.

Иные понятия и термины, используемые в настоящей Методике, применяются в соответствии с Водным кодексом Республики Казахстан от 9 июля 2003 года и законодательством Республики Казахстан о естественных монополиях.

4. В случае, если при оказании услуг по подаче воды по магистральным трубопроводам в системе магистральных трубопроводов не выделены отдельные тарифные участки и услуги оказываются на территории двух и более областей, единый тариф и тарифная смета рассчитываются на всю систему в целом.

5. В случае, если в системе магистральных трубопроводов и (или) каналов выделены отдельные тарифные участки, тариф рассчитывается на каждый тарифный участок.

6. В случае, если при оказании услуг по подаче воды по каналам услуги оказываются на территории нескольких областей, тариф и тарифная смета рассчитываются на услугу в целом с применением дифференциации по группам потребителей в зависимости от способа подачи воды по каналам согласно настоящей Методике.

7. Объем оказываемых услуг по подаче воды по магистральным трубопроводам и (или) каналам определяется, исходя из объема подачи воды по магистральным трубопроводам и (или) каналам за минусом нормативных технических потерь и объема поставки воды на собственные нужды субъекта (необходимого для оказания услуг по подаче воды).

Объем потребляемой воды для сельскохозяйственного орошения определяется, исходя из удельных норм водопотребления, рассчитываемых согласно Методике по разработке удельных норм водопотребления и водоотведения, утвержденной приказом Заместителя Премьер-Министра Республики Казахстан - Министра сельского хозяйства Республики Казахстан от 30 декабря 2016 года № 545 (зарегистрирован в Реестре государственной регистрации нормативных правовых актов за № 14827) с учетом увлажненности территорий, биоклиматических условий, почвенно-мелиоративных и гидрогеологических условий по водохозяйственным бассейнам, видов орошаемых сельскохозяйственных культур, орошаемой площади сельскохозяйственных культур и других.

Объемы оказываемых услуг по подаче воды по магистральным трубопроводам и (или) каналам подтверждаются субъектом обосновывающими документами (протокола намерений, договора, расчеты объемов, исходя из обязанности качественного обслуживания и возможностей субъекта).

Снижение объемов оказываемых услуг подтверждается субъектом документами, обосновывающими снижение (договора, счет-фактуры, акты выполненных работ/оказанных услуг/приема-передачи воды).

8. Экономически обоснованные затраты, необходимые для предоставления услуг по подаче воды, рассчитываются в соответствии с требованиями Особого порядка.

Экономически обоснованные затраты формируются из затрат территориальных филиалов субъекта (при их наличии), если субъект оказывает услуги на территории нескольких областей или участков, если субъект оказывает услуги на территории области/города/района.

При наличии в составе субъекта естественных монополий более двух производственных территориальных филиалов суммарные затраты рассчитываются по формуле:

Zобщ = Zфил + Zцентр,

где:

Zобщ - общие экономически обоснованные затраты субъекта, тенге;

Zфил - суммарные экономически обоснованные затраты территориальных филиалов субъекта, рассчитанные на объем услуг, тенге;

Zцентр - расходы центрального аппарата субъекта, тенге.

Глава 2. Расчет тарифа (цены, ставки сбора) на услуги по подаче воды по магистральным трубопроводам

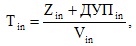
9. Тариф на услуги по подаче воды по магистральным трубопроводам рассчитывается по формуле:

 

 

где:

n - период действия тарифа (на год или на весь период);

Тn - тариф на услуги по подаче воды по магистральным трубопроводам на период действия тарифа за 1 кубический метр, тенге;

Zn - экономически обоснованные затраты на период действия тарифа, принятые с учетом требований Особого порядка, тысяч тенге;

ДУПn - допустимый уровень прибыли до налогообложения на период действия тарифа, тысяч тенге;

Vn - объем оказываемых услуг на период действия тарифа, тысяч кубических метров.

10. В случае, если имеется несколько тарифных участков системы магистральных трубопроводов, тариф на услуги по подаче воды на каждом тарифном участке рассчитывается по формуле:

 

 

где:

i - номер тарифного участка;

Тin - тариф на услуги по подаче воды по i-му тарифному участку на период действия тарифа, тенге за 1 кубический метр;

Zin - экономически обоснованные затраты по i-му тарифному участку на период действия тарифа, тенге;

ДУПin - допустимый уровень прибыли до налогообложения по i-му тарифному участку на период действия тарифа, тенге;

Vin - объем оказываемых услуг по подаче воды по i-му тарифному участку на период действия тарифа, кубических метров.

11. В случае необходимости дифференциации тарифов по тарифным участкам дифференциация производится по группам потребителей.

12. Стоимость подачи воды по магистральным трубопроводам для отдельного потребителя рассчитывается по формуле:

 

 

где:

Сn - стоимость подачи воды по магистральным трубопроводам для отдельного потребителя на период действия тарифа, тенге;

i - номера тарифных участков, по которым последовательно подается вода для данного потребителя;

Vn - объем оказываемых услуг по подаче воды для данного потребителя на период действия тарифа, кубических метров;

Тin - тариф на услуги по подаче воды по i-му тарифному участку на период действия тарифа, тенге за 1 кубический метр.

Глава 3. Расчет тарифов по группам потребителей по отдельным участкам при подаче воды по магистральным трубопроводам

13. Дифференциация тарифов по группам потребителей производится на основании степени потребности в ремонте и капитальных вложениях в модернизацию, реконструкцию и обновление основных средств субъекта естественной монополии в целях обеспечения непрерывности производственно-технологического процесса потребителей.

14. Потребители классифицируются на следующие группы:

1) население, бюджетные и некоммерческие организации, а также другие предприятия, оказывающие коммунальные услуги населению, бюджетным и некоммерческим организациям;

2) сельхозтоваропроизводители;

3) промышленные предприятия и другие коммерческие организации;

4) нефтегазодобывающие предприятия.

15. Тариф для группы потребителей «население, бюджетные и некоммерческие организации, а также другие предприятия, оказывающие коммунальные услуги населению, бюджетным и некоммерческим организациям» (1-я группа) на i-м участке рассчитывается по формуле:

 

 

где:

n - период действия тарифа (на год или на весь период);

Тin1 - тариф для 1-ой группы потребителей на i-м участке на период действия тарифа, тенге за 1 кубический метр;

Zin - экономически обоснованные затраты на i-м участке на период действия тарифа, тенге;

Min - амортизационные отчисления на i-м участке на период действия тарифа, тенге;

Рin - расходы на ремонт на i-м участке на период действия тарифа, тенге;

Vin - суммарный объем оказываемых услуг по подаче воды по магистральным трубопроводам для всех групп потребителей на i-м участке на период действия тарифа, кубических метров.

16. Расходы на ремонт на i-м участке рассчитываются, исходя из общей суммы ремонта в целом по всей системе магистральных трубопроводов, распределенной по участкам пропорционально доле каждого участка в стоимости основных средств.

17. Тариф для группы потребителей «сельхозтоваропроизводители» (2-я группа) на i-м участке рассчитывается по формуле:

 

 

где:

Тin2 - тариф для 2-ой группы потребителей на i-м участке на период действия тарифа, тенге за 1 кубический метр;

Zin - экономически обоснованные затраты на i-м участке на период действия тарифа, тенге;

Vin - суммарный объем оказываемых услуг по подаче воды по магистральным трубопроводам для всех групп потребителей на i-м участке на период действия тарифа, кубических метров.

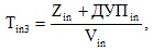
18. Тариф для группы потребителей «промышленные предприятия и другие коммерческие организации» (3-я группа) на i-м участке рассчитывается по формуле:

 

 

где:

Тin3 - тариф для 3-ей группы потребителей на i-м участке на период действия тарифа, тенге за 1 кубический метр;

Zin - экономически обоснованные затраты на i-м участке на период действия тарифа, тенге;

ДУПin - допустимый уровень прибыли до налогообложения на i-м участке на период действия тарифа, тенге;

Vin - суммарный объем оказываемых услуг по подаче воды по магистральным трубопроводам для всех групп потребителей на i-м участке на период действия тарифа, кубических метров.

19. Тариф для группы потребителей «нефтегазодобывающие предприятия» (4-я группа) на i-м участке рассчитывается по формуле:

 

 

где:

Тin4 - тариф для 4-ой группы потребителей на i-м участке на период действия тарифа, тенге за 1 кубический метр;

Vin1 - объем оказываемых услуг по подаче воды потребителям 1-й группы на i-м участке на период действия тарифа, кубических метров;

Vin2 - объем оказываемых услуг по подаче воды потребителям 2-й группы на i-м участке на период действия тарифа, кубических метров;

Vin4 - объем оказываемых услуг по подаче воды потребителям 4-й группы на i-м участке на период действия тарифа, кубических метров.

Примечание. К объему Vin1 оказания услуг по подаче воды потребителям 1-й группы на i-м участке относятся только те объемы, которые непосредственно потребляются населением, бюджетными и некоммерческими организациями, а также другими предприятиями, оказывающими коммунальные услуги населению, бюджетным и некоммерческим организациям.

Глава 4. Расчет тарифа (цены, ставки сбора) на услуги по подаче воды по каналам

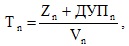
20. Тариф на услуги по подаче воды по каналам рассчитывается по формуле:

 

 

где:

n - период действия тарифа (на год или на весь период);

Тn - тариф на услуги по подаче воды на период действия тарифа, тенге за 1 кубический метр;

Zn - экономически обоснованные затраты на период действия тарифа, принятые с учетом требований Особого порядка, тысяч тенге;

ДУПn - допустимый уровень прибыли до налогообложения на период действия тарифа, тысяч тенге;

Vn - объем оказываемых услуг на период действия тарифа, тысяч кубических метров.

21. В случае, если имеется несколько тарифных участков, тариф для потребителей услуги по подаче воды по каналам рассчитывается по формуле:

 

 

где:

i - номер тарифного участка;

Tin - тариф на услуги по подаче воды по i-му тарифному участку на период действия тарифа, тенге за 1 кубический метр;

Zin - экономически обоснованные затраты по i-му тарифному участку на период действия тарифа, тысяч тенге;

ДУПin - допустимый уровень прибыли до налогообложения по i-му тарифному участку на период действия тарифа, тысяч тенге;

Vin - объем оказываемых услуг по подаче воды по i-му тарифному участку на период действия тарифа, тысяч кубических метров.

22. В случае необходимости дифференциации тарифов по тарифным участкам дифференциация производится по группам потребителей.

Глава 5. Расчет тарифа (цены, ставки сбора) на услуги по подаче воды по каналам дифференцированного по группам потребителей в зависимости от способа подачи воды

23. Дифференциация тарифов по группам потребителей производится на основании технологической особенности при оказании регулируемых услуг по подаче воды по каналам, при которой подача воды до потребителя осуществляется двумя способами (механизированный и самотечный) и в зависимости от того, на какие нужды используется вода.

24. Потребители классифицируются на следующие группы:

1) сельхозтоваропроизводители;

2) водоканалы, бюджетные организации;

3) предприятия, производящие электроэнергию;

4) попуски (природоохранные, компенсационные, санитарно-экологические);

5) промышленные предприятия, прочие коммерческие и некоммерческие организации.

25. Среднеотпускной расчетный тариф на услуги по подаче воды по каналам на период действия тарифа, рассчитывается по следующей формуле:

 

 

где:

n - период действия тарифа (на год или на весь период);

Tn - тариф среднеотпускной расчетный на период действия тарифа, тенге за 1 кубический метр;

Zn - экономически обоснованные затраты на период действия тарифа, принятые с учетом требований Особого порядка, тысяч тенге;

ДУПn - допустимый уровень прибыли до налогообложения на период действия тарифа, тысяч тенге;

Vn - объем оказываемых услуг на период действия тарифа, тысяч кубических метров.

26. Расчетный тариф на услуги по подаче воды по каналам для каждой группы потребителей в зависимости от способа подачи воды рассчитывается по формуле:

1) Для механизированного способа подачи воды:

Tnмi расчет =Tn*Vфакт /Dфакт *(Dмi факт/Vмi факт),

где:

i - группа потребителей;

Tnмi расчет - расчетный тариф для механизированного способа подачи воды для i-й группы потребителей на период действия тарифа, тенге за 1 кубический метр;

Dфакт - фактический доход от оказания услуг за предыдущий законченный календарный год, тысяч тенге;

Vфакт - фактический объем оказанных услуг за предыдущий законченный календарный год, тысяч кубических метров;

Dмi факт - фактический доход от механизированной водоподачи для i-й группы потребителей за предыдущий законченный календарный год, тысяч тенге;

Vмi факт - фактический объем механизированной водоподачи для i-й группы потребителей за предыдущий законченный календарный год, тысяч кубических метров;

2) Для самотечного способа подачи воды:

Tnсi расчет = Tn*Vфакт/Dфакт*(Dсi факт/Vсi факт),

где:

i - группа потребителей;

Tnсi расчет - расчетный тариф для самотечного способа подачи воды для i-й группы потребителей на период действия тарифа, тенге за 1 кубический метр;

Dфакт - фактический доход от оказания услуг за предыдущий законченный календарный год, тысяч тенге;

Vфакт - фактический объем оказанных услуг за предыдущий законченный календарный год, тысяч кубических метров;

Dсi факт - фактический доход от самотечной водоподачи для i-й группы потребителей за предыдущий законченный календарный год, тысяч тенге;

Vсi факт - фактический объем самотечной водоподачи для i-й группы потребителей за предыдущий законченный календарный год, тысяч кубических метров.

27. Средневзвешанный расчетный тариф с учетом расчетных тарифов для каждой группы потребителей и прогнозируемых объемов оказываемых услуг на период действия тарифа рассчитывается по формуле:

 

 

где:

n - период действия тарифа (на год или на весь период);

i - группа потребителей;

Tn ср.расчет - средневзвешанный расчетный тариф на период действия тарифа, тенге за 1 кубический метр;

Vnсi - объем самотечной водоподачи для i-й группы потребителей на период действия тарифа, тысяч кубических метров;

Vnмi - объем механизированной водоподачи для i-й группы потребителей на период действия тарифа, тысяч кубических метров;

Σci - сумма произведений тарифа на объем по самотечной водоподаче для i-й группы потребителей на период действия тарифа, тысяч тенге;

Σмi - сумма произведений тарифа на объем по механической водоподаче для i-й группы потребителей на период действия тарифа, тысяч тенге.

28. Для определения отклонения средневзвешанного расчетного тарифа от среднеотпускного расчетного тарифа при изменении прогнозируемых объемов оказываемых услуг применяется поправочный коэффициент, который рассчитывается по следующей формуле:

Kn поправ = Tn /(Tn ср.расчет),

где:

Kn поправ - поправочный коэффициент, характеризующий степень собираемости доходов в период действия тарифа, при этом значения коэффициента означают: Kn поправ <1 - что расчетный доход на период действия тарифа, превышает тарифный доход на период действия тарифа; Kn поправ =1 - что расчетный и тарифный доходы на период действия тарифа равны; Kn поправ>1 - что расчетный доход на период действия тарифа меньше необходимого тарифного дохода на период действия тарифа.

29. Тариф для каждой группы потребителей в зависимости от способа подачи воды на период действия тарифа определяется по формулам:

1) для механизированного способа подачи воды:

Tnмi = Tnмi расчет*Kn поправ

2) для самотечного способа подачи воды:

Tnci = Tnci расчет*Kn поправ

где:

Tnмi - тариф для i-й группы потребителей на период действия тарифа при механизированном способе подачи воды, тенге за 1 кубический метр;

Tnci - тариф для i-й группы потребителей на период действия тарифа при самотечном способе подачи воды, тенге за 1 кубический метр.