1. Внести в приказ Председателя Комитета по статистике Министерства национальной экономики Республики Казахстан от 20 ноября 2017 года № 180 «Об утверждении статистических форм общегосударственных статистических наблюдений по статистике сельского, лесного, охотничьего и рыбного хозяйства и инструкций по их заполнению» (зарегистрирован в Реестре государственной регистрации нормативных правовых актов за № 16070, опубликован 26 декабря 2017 года в Эталонном контрольном банке нормативных правовых актов Республики Казахстан) следующие изменения:
приложения 6), 7), 12), 13), 26), 27), 28), 29), 34) и 35) изложить в редакции согласно приложениям 1), 2), 3), 4), 5), 6), 7), 8), 9) и 10) к настоящему приказу.
2. Управлению планирования статистической деятельности совместно с Юридическим управлением Комитета по статистике Министерства национальной экономики Республики Казахстан обеспечить в установленном законодательством порядке:
1) государственную регистрацию настоящего приказа в Министерстве юстиции Республики Казахстан;
2) в течение десяти календарных дней со дня государственной регистрации настоящего приказа направление его на казахском и русском языках в Республиканское государственное предприятие на праве хозяйственного ведения «Республиканский центр правовой информации» для официального опубликования и включения в Эталонный контрольный банк нормативных правовых актов Республики Казахстан;
3) размещение настоящего приказа на интернет-ресурсе Комитета по статистике Министерства национальной экономики Республики Казахстан.
3. Управлению планирования статистической деятельности Комитета по статистике Министерства национальной экономики Республики Казахстан довести настоящий приказ до структурных подразделений и территориальных органов Комитета по статистике Министерства национальной экономики Республики Казахстан для руководства и использования в работе.
4. Контроль за исполнением настоящего приказа оставляю за собой.
5. Настоящий приказ вводится в действие с 1 января 2019 года и подлежит официальному опубликованию.
|
Председатель Комитета по статистике |
Н. Айдапкелов |
СОГЛАСОВАН
Министерство сельского хозяйства
Республики Казахстан
Приложение 1
|
|
Мемлекеттік статистика органдары құпиялылығына кепілдік береді Конфиденциальность гарантируется органами государственной статистики |
к приказу Председателя Комитета по статистике Министерства национальной экономики Республики Казахстан от 24 декабря 2018 года № 12 Қазақстан Республикасы Ұлттық экономика министрлігі Статистика комитеті төрағасының 2018 жылғы 24 желтоқсандағы № 12 бұйрығына 1-қосымша |
||||||||||||||||||||||||
|
Жалпымемлекеттік статистикалық байқаудың статистикалық нысаны Статистическая форма общегосударственного статистического наблюдения |
Приложение 6 к приказу Председателя Комитета по статистике Министерства национальной экономики Республики Казахстан от 20 ноября 2017 года № 180 |
|||||||||||||||||||||||||
|
Аумақтық статистика органына ұсынылады Представляется территориальному органу статистики |
|
|||||||||||||||||||||||||
|
Статистикалық нысан www.stat.gov.kz интернет-ресурсына орналастырылған Статистическая форма размещена на интернет-ресурсе www.stat.gov.kz |
||||||||||||||||||||||||||
|
Мемлекеттік статистиканың тиісті органдарына анық емес бастапқы статистикалық деректерді ұсыну және бастапқы статистикалық деректерді белгіленген мерзімде ұсынбау «Әкімшілік құқық бұзушылық туралы» Қазақстан Республикасы Кодексінің 497-бабында көзделген әкімшілік құқық бұзушылықтар болып табылады Представление недостоверных и непредставление первичных статистических данных в соответствующие органы государственной статистики в установленный срок являются административными правонарушениями, предусмотренными статьей 497 Кодекса Республики Казахстан «Об административных правонарушениях» |
||||||||||||||||||||||||||
|
Статистикалық нысан коды 141101201 Код статистической формы 141101201 |
Мал шаруашылығының жағдайы туралы есеп |
|||||||||||||||||||||||||
|
24-сх |
Отчет о состоянии животноводства |
|||||||||||||||||||||||||
|
Айлық Месячная |
Есепті кезең Отчетный период |
|
ай месяц |
|
жыл год |
|||||||||||||||||||||
|
Экономикалық қызмет түрлерінің жалпы жіктеуішінің 01.4 - «Мал шаруашылығы» және 01.5 - «Аралас ауыл шаруашылығы» кодтары бойынша негізгі немесе қосалқы қызмет түрлері мен барлық заңды тұлғалар және (немесе) олардың құрылымдық және оқшауланған бөлімшелері; экономикалық қызмет түрлерінің жалпы жіктеуішінің 01.4 - «Мал шаруашылығы» және 01.5 - «Аралас ауыл шаруашылығы» кодтары бойынша негізгі немесе қосалқы қызмет түрлері мен 100 адамнан артық жұмысшысы бар дара кәсіпкерлер және шаруа немесе фермер қожалықтары ұсынады Представляют: все юридические лица и (или) их структурные и обособленные подразделения с основным или вторичным видами деятельности по кодам Общего классификатора видов экономической деятельности 01.4 - «Животноводство» и 01.5 - «Смешанное сельское хозяйство»; все индивидуальные предприниматели и крестьянские или фермерские хозяйства с основным или вторичным видами деятельности по кодам Общего классификатора видов экономической деятельности 01.4 - «Животноводство» и 01.5 - «Смешанное сельское хозяйство» с численностью работников свыше 100 человек |
||||||||||||||||||||||||||
|
Ұсыну мерзімі - есепті кезеңнен кейінгі айдың 2-күніне (қоса алғанда) дейін Срок представления - до 2 числа (включительно) после отчетного периода |
||||||||||||||||||||||||||
|
БСН коды код БИН |
|
ЖСН коды код ИИН |
|
|||||||||||||||||||||||
|
1. Мал мен құсты өсіру және мал шаруашылығы өнімін өндіру бойынша қызметті нақты жүзегеасыратын аумақты (облыс, қала, аудан) көрсетіңіз Укажите территорию (область, город, район) фактического осуществления деятельности по выращиванию скота и птицы и производству продукции животноводства |
|
|
1.1 Аумақ коды Әкімшілік-аумақтық объектілер жіктеуішіне (бұдан әрi - ӘАОЖ 1) сәйкес (статистикалық нысанды қағаз жеткізгіште тапсыру кезінде статистика органының қызметкері толтырады) Код территории согласно Классификатору административно-территориальных объектов (далее - КАТО 1) (заполняется работником органа статистики при сдаче статистической формы на бумажном носителе) |
|
2. Мал мен құс бастарының қозғалысы туралы ақпаратты көрсетіңіз, бас
Укажите информацию о движении поголовья скота и птицы, голов
|
Жолдың коды Код строки |
Көрсеткіштердің атауы Наименование показателей |
Сүтті табынның ірі қара малы, тірі Скот крупный рогатый молочного стада, живой |
Одан сүтті табынның сиырлары Из него коровы молочного стада |
Өзге де ірі қара мал мен енекелер, тірі Скот крупный рогатый прочий и буйволы, живые |
Одан етті табынның сиырлары Из него коровы мясного стада |
Жылқылар және өзге де жылқы тектес жануарлар, тірі Лошади и животные семейства лошадиных прочие, живые |
|
А |
Б |
01.41.1 |
01.41.10.110 |
01.42.1 |
01.42.11.110 |
01.43.10 |
|
1 |
Ай басына саны Численность на начало месяца |
х |
х |
|||
|
2 |
тірідей массасындағы салмағы, центнер вес в живой массе, центнеров |
х |
х |
Продолжение таблицы
|
Жолдың коды Код строки |
Көрсеткіштердің атауы Наименование показателей |
Түйелер және түйе тәрізділер, тірі Верблюды и верблюдовые, живые |
Қойлар, тірі Овцы, живые |
Ешкілер, тірі Козы, живые |
Шошқалар, тірі Свиньи, живые |
Үй құсы, тірі Домашняя птица, живая |
Шаруашылықтарда өсірілген маралдар Маралы, разведенные в хозяйствах |
|
А |
Б |
01.44.10 |
01.45.11 |
01.45.12 |
01.46.10 |
01.47.1 |
01.49.19.120 |
|
1 |
Ай басына саны Численность на начало месяца |
||||||
|
2 |
тірідей массасындағы салмағы, центнер вес в живой массе, центнеров |
Ескертпе:
Примечание:
1 ӘАОЖ Қазақстан Республикасы Ұлттық экономика министрлігі Статистика комитетінің ресми сайтында орналасқан (www.stat.gov.kz >> Жіктеуіштер>> Статистикалық жіктеулер >> Әкімшілік-аумақтық объектілер жіктеуіші)
1 КАТО размещен на официальном сайте Комитета по статистике Министерства национальной экономики Республики Казахстан (www.stat.gov.kz >> Классификаторы >> Статистические классификации >> Классификатор административно-территориальных объектов)
|
Жолдың коды Код строки |
Көрсеткіштердің атауы Наименование показателей |
Сүтті табынның ірі қара малы, тірі Скот крупный рогатый молочного стада, живой |
Одан сүтті табынның сиырлары Из него коровы молочного стада |
Өзге де ірі қара мал мен енекелер, тірі Скот крупный рогатый прочий и буйволы, живые |
Одан етті табынның сиырлары Из него коровы мясного стада |
Жылқылар және өзге де жылқы тектес жануарлар, тірі Лошади и животные семейства лошадиных прочие, живые |
|
3 |
Алынған төл Получено приплода |
х |
х |
|||
|
4 |
Өз өңірі шегінде сатып алынғаны Приобретено в пределах своего региона |
х |
х |
|||
|
5 |
ауыл шаруашылығы кәсіпорнынан у сельскохозяйственных предприятий |
х |
х |
|||
|
6 |
дара кәсіпкерлерден және шаруа немесе фермер қожалығынан у индивидуальных предпринимателей и крестьянских или фермерских хозяйств |
х |
х |
|||
|
7 |
жұртшылық шаруашылықтарынан у хозяйств населения |
х |
х |
|||
|
8 |
Өзге де түсім Прочее поступление |
х |
х |
|||
|
9 |
Шаруашылықта сойылғаны немесе сойысқа өткізілгені Забито в хозяйстве или реализовано на убой |
х |
х |
|||
|
10 |
тірідей салмақта, центнер в живом весе, центнеров |
х |
х |
|||
|
11 |
сойыс салмақта, центнер в убойном весе, центнеров |
х |
х |
|||
|
12 |
Өлім-жітім және қырылғаны Пало и погибло |
х |
х |
|||
|
13 |
Өз өңірі шегінде сатылғаны Продано в пределах своего региона |
х |
х |
|||
|
14 |
ауыл шаруашылығы кәсіпорындарына сельскохозяйственным предприятиям |
х |
х |
|||
|
15 |
дара кәсіпкерлерге және шаруа немесе фермер қожалықтарына индивидуальным предпринимателям и крестьянским или фермерским хозяйствам |
х |
х |
|||
|
16 |
жұртшылық шаруашылықтарына хозяйствам населения |
х |
х |
|||
|
17 |
Өзге де шығыс Прочее выбытие |
х |
х |
|||
|
18 |
Ай соңына саны Численность на конец месяца |
|||||
|
19 |
тірідей массасындағы салмағы, центнер вес в живой массе, центнеров |
х |
х |
|||
|
20 |
Аналықтардың орташа басы Среднее маточное поголовье |
х |
х |
Продолжение таблицы
|
Жолдың коды Код строки |
Көрсеткіштердің атауы Наименование показателей |
Түйелер және түйе тәрізділер, тірі Верблюды и верблюдовые, живые |
Қойлар, тірі Овцы, живые |
Ешкілер, тірі Козы, живые |
Шошқалар, тірі Свиньи, живые |
Үй құсы, тірі Домашняя птица, живая |
Шаруашылықтарда өсірілген маралдар Маралы, разведенные в хозяйствах |
|
3 |
Алынған төл Получено приплода |
||||||
|
4 |
Өз өңірі шегінде сатып алынғаны Приобретено в пределах своего региона |
||||||
|
5 |
ауыл шаруашылығы кәсіпорнынан у сельскохозяйственных предприятий |
||||||
|
6 |
дара кәсіпкерлерден және шаруа немесе фермер қожалығынан у индивидуальных предпринимателей и крестьянских или фермерских хозяйств |
||||||
|
7 |
жұртшылық шаруашылықтарынан у хозяйств населения |
||||||
|
8 |
Өзге де түсім Прочее поступление |
||||||
|
9 |
Шаруашылықта сойылғаны немесе сойысқа өткізілгені Забито в хозяйстве или реализовано на убой |
||||||
|
10 |
тірідей салмақта, центнер в живом весе, центнеров |
||||||
|
11 |
сойыс салмақта, центнер в убойном весе, центнеров |
||||||
|
12 |
Өлім-жітім және қырылғаны Пало и погибло |
||||||
|
13 |
Өз өңірі шегінде сатылғаны Продано в пределах своего региона |
||||||
|
14 |
ауыл шаруашылығы кәсіпорындарына сельскохозяйственным предприятиям |
||||||
|
15 |
дара кәсіпкерлерге және шаруа немесе фермер қожалықтарына индивидуальным предпринимателям и крестьянским или фермерским хозяйствам |
||||||
|
16 |
жұртшылық шаруашылықтарына хозяйствам населения |
||||||
|
17 |
Өзге де шығыс Прочее выбытие |
||||||
|
18 |
Ай соңына саны Численность на конец месяца |
||||||
|
19 |
тірідей массасындағы салмағы, центнер вес в живой массе, центнеров |
||||||
|
20 |
Аналықтардың орташа басы Среднее маточное поголовье |
х |
3. Мал шаруашылығы өнімдерін өндіру және өткізу туралы ақпаратты көрсетіңіз
Укажите информацию о производстве и реализации продукции животноводства
3.1 Тірідей салмақта сойысқа өткізілгені, центнер
Реализация на убой в живом весе, центнер
|
Өнімдердің түрлері Виды продукции |
АШӨСЖ2коды Код по СКПСХ2 |
Шаруа-шылықта сойылғаны немесе союға өткізілгені Забито в хозяйстве или реализовано на убой |
Етті өткізу Реализация мяса |
Азық-түліктік мақсатына қайта өңделді Переработано на продовольственные цели |
|||
|
дайындау ұйымдарына заготовительным организациям (1) |
қайта өңдеу кәсіпорындарына перерабатывающим предприятиям (2) |
сауда желісі және қоғамдық тамақтандыру желісі арқылы через торговую сеть и сеть общественного питания (3) |
экспортқа на экспорт (4) |
||||
|
А |
Б |
1 |
2 |
3 |
|||
|
Сүтті табынның ірі қара малы, тірі Скот крупный рогатый молочного стада, живой |
01.41.1 |
||||||
|
Өзге де ірі қара мал мен енекелер, тірі Скот крупный рогатый прочий и буйволы, живые |
01.42.1 |
||||||
|
Жылқылар және өзге де жылқы тектес жануарлар, тірі Лошади и животные семейства лошадиных прочие, живые |
01.43.10 |
||||||
|
Түйелер және түйе тәрізділер, тірі Верблюды и верблюдовые, живые |
01.44.10 |
||||||
|
Қойлар, тірі Овцы, живые |
01.45.11 |
||||||
|
Ешкілер, тірі Козы, живые |
01.45.12 |
||||||
|
Шошқалар, тірі Свиньи, живые |
01.46.10 |
||||||
|
Үй құсы, тірі Домашняя птица, живая |
01.47.1 |
||||||
|
Шаруашылықтарда өсірілген маралдар Маралы, разведенные в хозяйствах |
01.49.19.120 |
||||||
Ескертпе:
Примечание:
2Мұнда және бұдан әрі АШӨСЖ - Қазақстан Республикасы Ұлттық экономика министрлігі Статистика комитетінің интернет-ресурсында «Жіктеуіштер» бөлімінде орналасқан Ауыл, орман және балық шаруашылығы өнімдерінің (көрсетілген қызметтердің) анықтамалығына сәйкес толтырылады
2Здесь и далее СКПСХ - заполняется согласно Справочнику продукции (услуг) сельского, лесного и рыбного хозяйства, размещенному на интернет-ресурсе Комитета по статистике Министерства национальной экономики Республики Казахстан в разделе «Классификаторы»
3.2 Өнімнің басқа түрлері
Другие виды продукции
|
Өнімдердің түрлері Виды продукции |
АШӨСЖ2коды Код по СКПСХ2 |
Өнімдерді өндіру Производство продукции |
Өнімдерді өткізу Реализация продукции |
Өндірістік тұтыну Производственное потребление |
Азық-түліктік мақсатына қайта өңделді Переработано на продовольственные цели |
|||
|
дайындау ұйымдарына заготовительным организациям (1) |
қайта өңдеу кәсіпорындарына перерабатывающим предприятиям (2) |
сауда желісі және қоғамдық тамақтандыру желісі арқылы через торговую сеть и сеть общественного питания (3) |
экспортқа на экспорт (4) |
|||||
|
А |
Б |
1 |
2 |
3 |
4 |
|||
|
Сүтті табын сиырларының шикі сүті, центнер Молоко сырое коров молочного стада, центнер |
01.41.20.110 |
|||||||
|
Етті табын сиырларының шикі сүті, центнер Молоко сырое коров мясного стада, центнер |
01.41.20.120 |
|||||||
|
Тірі қойдан қырқылған жүн, жуыл-маған (тобымен жуылғанды қоса алғанда), центнер Шерсть стриженная с овцы живой, немытая (включая промытую руном), центнер |
01.45.30.100 |
х |
||||||
|
Тауықтың қабығындағы жұмыртқасы, жаңа жиналып алынған, мың дана Яйца куриные в скорлупе, свежие, тысяч штук |
01.47.21 |
|||||||
|
Шаруашылықтарда өсірілген марал мүйіздері, центнер Панты маралов, разведенных в хозяйствах, центнер |
01.49.28.110 |
х |
||||||
|
Елтірі қозылардың терілері, дана Шкурки ягнят смушковых, штук |
01.49.32 |
х |
||||||
|
Ірі терілер, дана Шкуры крупные, штук |
01.49.39.200 |
х |
||||||
|
Ұсақ терілер, дана Шкуры мелкие, штук |
01.49.39.300 |
х |
||||||
|
3.3 Қырқылған қой жүнінің жалпы мөлшерінен бастапқы өңдеуге өткізілген жүннің мөлшерін көрсетіңіз, центнер (3.2-бөлімінің 01.45.30.100 АШӨСЖ коды бойынша 1-бағанынан) Из общего количества настриженной овечей шерсти укажите количество реализованной шерсти на первичную обработку, центнер (из раздела 3.2 графы 1 по коду СКПСХ 01.45.30.100) |
|
|
3.4 Өндірілген сиыр сүтінің жалпы көлемінен бұзаулар мен торайларға сүт беруге пайдаланылған сиыр сүтінің көлемін көрсетіңіз, центнер (3.2-бөлімнің 01.41.20.110 және 01.41.20.120 АШӨСЖ кодтарының сомасы бойынша 1-бағанынан) Из общего объема произведенного коровьего молока укажите объем коровьего молока использованного на выпойку телят и поросят, центнер (из раздела 3.2 графы 1 по сумме кодов СКПСХ 01.41.20.110 и 01.41.20.120) |
|
4. Есепті айда өнім алынған мал мен құстың жеке түрлерінің орташа саны туралы ақпаратты көрсетіңіз, бас
Укажите информацию о среднем поголовье отдельных видов скота и птицы, от которых получена продукция в отчетном месяце, голов
|
Жолдың коды Код строки |
Көрсеткіштердің атауы Наименование показателей |
Саны, бас Количество, голов |
|
А |
Б |
1 |
|
1 |
Сауын сиырлар басының орташа саны Среднее поголовье дойных коров |
|
|
1.1 |
сүт бағытындағы табынның сауын сиырлар басының орташа саны среднее поголовье дойных коров молочного стада |
|
|
1.2 |
ет бағытындағы табынның сауын сиырлар басының орташа саны среднее поголовье дойных коров мясного стада |
|
|
2 |
Тауық мекиендерінің орташа саны Среднее поголовье кур-несушек |
|
|
3 |
Қырқылған қой саны Количество овец, подверженных стрижке |
|
|
4 |
Елтіріге сойылған қозылар саны Количество ягнят, забитых на смушки |
|
5. Мал азығының нақты бары туралы ақпаратты көрсетіңіз (1-қарашадан 1-сәуірге дейін ай сайын) Укажите информацию о наличии кормов (с 1 ноября по 1 апреля ежемесячно) |
|
|
5.1 Мал азығы бірлігіне қайта есептегендегі қолда бар мал азығы - барлығы, центнер3 Наличие кормов в пересчете на кормовые единицы - всего, центнер3 |
|
|
5.2 Құнарлы мал азығы, шөп, сүрлем және пішендеменің қолда бары, центнер Наличие концентрированных кормов, сена, силоса и сенажа, в центнерах |
|
Жолдың коды Код строки |
Көрсеткіштердің атауы Наименование показателей |
Қолда бары3 Наличие3 |
|
А |
Б |
1 |
|
1 |
Құнарлы мал азығы Концентрированные корма |
|
|
2 |
Шөп Сено |
|
|
3 |
Сүрлем Силос |
|
|
4 |
Пішендеме Сенаж |
5.3 Мал азығының басқа түрлерінің қолда бары, центнер
Наличие других видов кормов, в центнерах
|
Мал азықтарының түрлері Виды кормов |
АШӨСЖ2коды Код по СКПСХ2 |
Қолда бары3 Наличие3 |
|
А |
Б |
1 |
|
Дәнді дақылдардың сабаны және қауызы Солома и шелуха зерновых культур |
01.11.50.000 |
|
|
Азықтық тамыр жемісті дақылдар Культуры кормовые корнеплодные |
01.19.10.110 |
|
|
Азықтық бақша дақылдары Культуры кормовые бахчевые |
01.19.10.120 |
|
|
Азықтық дәнді дақылдар Культуры кормовые зерновые |
01.19.10.130 |
|
|
Азықтық дәнді бұршақ дақылдары Культуры кормовые зернобобовые |
01.19.10.140 |
|
|
Шабындықтар мен дақылды жайылымдардың (егілген) бір жылдық шөптерінен көк азық Корм зеленый из однолетних трав сенокосов и пастбищ культурных (сеяных) |
01.19.10.412 |
|
|
Шабындықтар мен дақылды жайылымдардың (егілген) көп жылдық шөптерінен көк азық Корм зеленый из многолетних трав сенокосов и пастбищ культурных (сеяных) |
01.19.10.422 |
|
|
Жабайы өсетін шөптерді қоса алғанда, шабындықтар мен табиғи жайылымдар шөптерінен көк азық Корм зеленый из трав сенокосов и пастбищ естественных (природных), включая травы дикорастущие |
01.19.10.520 |
|
|
Өзге де азықтық дақылдар Культуры кормовые прочие |
01.19.10.900 |
Ескертпе:
Примечание:
3 Осы бөлімді толтырған кезде осы статистикалық нысанға «Негізгі мал азықтарының құнарлығы» 1-қосымшасында келтірілген мал азығы бірліктері қолданылады
3 При заполнении данного раздела учитываются кормовые единицы, приведенные в приложении 1 «Питательность основных кормов» к данной статистической форме
|
Атауы Наименование ______________________ ___________________________________ Телефон Телефон ___________________________ |
Мекенжайы Адрес _____________________________ ___________________________________ Электрондық пошта мекенжайы (респонденттің) Адрес электронной почты (респондента) __________________________ |
||||
|
Алғашқы статистикалық деректерді таратуға келісеміз4 Согласны на распространение первичных статистических данных4 |
|
Алғашқы статистикалық деректерді таратуға келіспейміз4 Не согласны на распространение первичных статистических данных4 |
|
||
|
Орындаушы Исполнитель |
_________________________________________ тегі, аты және әкесінің аты (бар болған жағдайда) фамилия, имя и отчество (при его наличии) |
___________________ қолы, телефоны подпись, телефон |
|||
|
Бас бухгалтер Главный бухгалтер |
______________________________________ тегі, аты және әкесінің аты (бар болған жағдайда) фамилия, имя и отчество (при его наличии) |
___________________ қолы подпись |
|||
|
Басшы немесе оның міндетін атқарушы тұлға Руководитель или лицо, исполняющее его обязанности |
________________________________________ тегі, аты және әкесінің аты (бар болған жағдайда) фамилия, имя и отчество (при его наличии) |
__________________ қолы подпись |
|||
Ескертпе:
Примечание:
4 Аталған тармақ «Мемлекеттік статистика туралы» Қазақстан Республикасының 2010 жылғы 19 наурыздағы Заңының 8-бабының 5-тармағына сәйкес толтырылады
4 Данный пункт заполняется согласно пункту 5 статьи 8 Закона Республики Казахстан от 19 марта 2010 года «О государственной статистике»
Приложение 1
к статистической форме
общегосударственного статистического
наблюдения «Отчет
о состоянии животноводства»
(код 141101201 индекс 24-сх,
периодичность месячная)
Питательность основных кормов (в 1 килограмме натурального корма содержится кормовых единиц)
|
Корма |
Кормовые единицы |
Корма |
Кормовые единицы |
|
Зерно |
Солома |
||
|
Овес |
1,00 |
Ржаная |
0,22 |
|
Ячмень |
1,13 |
Пшеничная |
0,20 |
|
Кукуруза |
1,34 |
Ячменная |
0,33 |
|
Пшеница |
1,19 |
Овсяная |
0,31 |
|
Горох |
1,17 |
Силос |
|
|
Вика |
1,16 |
Разнотравный средний |
0,18 |
|
Бобы |
1,20 |
Злаково-разнотравный |
0,13 |
|
Люпин |
1,10 |
Клеверно-тимофеечный |
0,20 |
|
Соя |
1,31 |
Подсолнечниковый |
0,16 |
|
Отходы промышленного производства |
Кукурузный |
0,16 |
|
|
Жмых подсолнечниковый |
1,15 |
Овсяный |
0,18 |
|
Жмых льяной |
1,17 |
Корнеклубнеплоды |
|
|
Жмых соевый |
1,27 |
Свекла кормовая |
0,12 |
|
Шрот подсолнечниковый |
0,93 |
Свекла сахарная |
0,24 |
|
Шрот льяной |
1,02 |
Свекла полусахарная |
0,17 |
|
Шрот хлопчатниковый |
0,97 |
Морковь |
0,14 |
|
Шрот соевый |
1,18 |
Картофель |
0,31 |
|
Отруби пшеничные |
0,71 |
Турнепс |
0,09 |
|
Корма животного происхождения |
Брюква |
0,13 |
|
|
Мука мясо-костная |
0,90 |
Трава естественных пастбищ |
|
|
Мука рыбная |
0,83 |
Луговая |
0,21 |
|
Дрожжи гидролизные |
1,06 |
Суходольного луга |
0,23 |
|
Обрат свежий |
0,20 |
Низинного луга |
0,19 |
|
Обрат сухой |
1,94 |
Лесного пастбища |
0,19 |
|
Мука кровяная |
0,92 |
Болотная |
0,19 |
|
Сено |
Трава сеяных пастбищ и сенокосов |
||
|
Естественного разнотравья |
0,44 |
Злаково-разнотравного пастбища |
0,26 |
|
Луговое хорошее |
0,60 |
Злаково-бобового пастбища (1-е стравливание) |
0,23 |
|
Луговое среднее |
0,42 |
Ежа сборная |
0,23 |
|
Луговое плохое |
0,32 |
Костер безостый |
0,29 |
|
Тимофеечное |
0,46 |
Лисохвост |
0,19 |
|
Клеверное хорошее |
0,59 |
Мятлик луговой |
0,24 |
|
Злаковое смешанное |
0,51 |
Овсяница луговая |
0,22 |
|
Клеверное среднее |
0,52 |
Тимофеевка |
0,25 |
|
Клеверное плохое |
0,36 |
Клевер красный |
0,20 |
|
Люцерновое 1-го укоса |
0,49 |
Клеверная отава |
0,23 |
|
Люцерновое 2-го укоса |
0,54 |
Люцерна |
0,21 |
|
Клеверно-тимофеечное |
0,46 |
Клевер с тимофеевкой |
0,19 |
|
Горохо-овсяное |
0,55 |
Трава однолетних посевных культур |
|
|
Лесное |
0,46 |
Рожь |
0,17 |
|
Осоковое |
0,38 |
Кукуруза |
0,16 |
|
Травяная мука |
Овес |
0,24 |
|
|
Люцерновая |
0,76 |
Горох |
0,16 |
|
Клеверная |
0,67 |
Вика |
0,17 |
|
Злаково-разнотравная |
0,67 |
Горох+овес |
0,18 |
|
Вика с овсом |
0,58 |
Вика+овес |
0,17 |
|
Горох с овсом |
0,69 |
Кормовая капуста |
0,13 |
|
Эспарцет |
0,61 |
Приложение 2
к приказу Председателя
Комитета по статистике
Министерства национальной
экономики Республики Казахстан
от 24 декабря 2018 года № 12
Приложение 7
к приказу Председателя
Комитета по статистике
Министерства национальной
экономики Республики Казахстан
от 20 ноября 2017 года № 180
Инструкция по заполнению статистической формы общегосударственного статистического наблюдения «Отчет о состоянии животноводства» (код 141101201 индекс 24-сх, периодичность месячная)
1. Настоящая инструкция по заполнению статистической формы общегосударственного статистического наблюдения «Отчет о состоянии животноводства» (код 141101201, индекс 24-сх, периодичность месячная) разработана в соответствии с подпунктом 8) статьи 12 Закона Республики Казахстан от 19 марта 2010 года «О государственной статистике» и детализирует заполнение статистической формы общегосударственного статистического наблюдения «Отчет о состоянии животноводства» (код 141101201, индекс 24-сх, периодичность месячная) (далее - статистическая форма).
2. Следующие определения применяются в целях заполнения данной статистической формы:
1) переработка на продовольственные цели -количество продукции, использованное для производства производных пищевых продуктов;
2) зеленые корма - травы естественных и улучшенных лугов и пастбищ, а также специально выращиваемые культуры для зеленой подкормки. Особенность зеленых кормов - высокое содержание влаги (70 - 85%);
3) концентрированные корма - корма с высоким содержанием питательных веществ. Основную часть концентрированных кормов составляет зерно злаковых и бобовых культур. К концентрированным кормам относятся отруби, жмых и шроты, отходы производства растительного масла, жом и патока, отходы крахмало-паточного, спиртового, пивоваренного производства и виноделия, корма животного происхождения: рыбная, мясная, мясокостная, кровяная и костная мука, кормовые дрожжи, витамины и травяная мука;
4) комбикорм - смесь очищенных от примесей и измельченных до необходимых размеров различных кормов и кормовых добавок, обеспечивающая полноценное кормление животных определенного вида, типа и продуктивности;
5) регион (для данного статистического наблюдения) - область, город республиканского значения;
6) производственное потребление - расход продукции на внутреннее использование (на корм скоту и птице, расход яиц на инкубацию);
7) сено - корм, полученный в результате обезвоживания травы и содержащий не более 17% массовой доли влаги;
8) сенаж - корм, приготовленный из трав, убранных в ранние фазы вегетации, провяленных до влажности не менее 40%, и хранящихся в анаэробных условиях;
9) солома - сухие стебли злаковых и бобовых зерновых культур, остающиеся после обмолота, также стебли льна, конопли, кенафа и других растений, освобожденные от листьев, соцветий и семян;
10) убойная масса (убойный вес) - это фактическая масса парной туши животного после полной ее обработки (без головы, шкуры, конечностей и внутренних органов), выраженная в килограммах;
11) силос - сочный корм для сельскохозяйственных животных, обладает высокими питательными свойствами, по своей калорийности, витаминности и диетическим свойствам сравним со свежей травой.
3. Юридические лица и (или) их структурные и обособленные подразделения, индивидуальные предприниматели, крестьянские или фермерские хозяйства, осуществляющие деятельность в сфере животноводства на территории нескольких районов или областей, представляют статистическую форму на отдельных бланках, выделяя информацию по каждой территории, отражающую по месту фактического осуществления деятельности по выращиванию скота и птицы и производству продукции животноводства.
4. В строке 1 раздела 2 отражается фактическое наличие в хозяйстве скота и птицы по видам по состоянию на 1 число месяца, независимо от их нахождения скотном дворе хозяйства или в отгоне на пастбище. К числу коров молочного и мясного стада относятся коровы основного стада, включая отелившихся телок после перевода их в основное стадо, сухостойных и яловых коров и телки, достигшие 27 месяцев.
По строке 3 раздела 2 отражается приплод, родившийся в отчетном месяце живым от маток, принадлежащих хозяйству, включая приплод, который впоследствии был продан, забит или пал, за исключением мертворожденного приплода. В количество полученного приплода не включается молодняк рождения отчетного месяца, приобретенный хозяйством со стороны.
По строке 4 раздела 2 записываются все случаи приобретения скота и птицы хозяйством (купленные, полученные в порядке обмена, дарения, за случайные услуги, в долг или в уплату долга и так далее) в пределах своего региона у сельхозпредприятий, индивидуальных предпринимателей и крестьянских или фермерских хозяйств и хозяйств населения.
По строке 8 раздела 2 отражается количество голов скота и птицы, приобретенных в других регионах республики, а также из-за границы (импорт).
В строке 9 отражается количество голов скота и птицы, забитых хозяйством (самостоятельно или на бойне), мясо которых предназначено для использования на собственные нужды, для продажи или выдачи организациям, предприятиям и работникам хозяйства, в том числе по бартерным сделкам. В данной строке отражается количество голов скота и птицы, проданных на убой заготовительным организациям, перерабатывающим предприятиям, через сеть общественного питания (столовые, рестораны, кафе), торговую сеть, включая рынки и на экспорт.
В строках 10 и 11 раздела 2 отражается вес забитых или реализованных на убой скота и птицы в живой и убойной массе. По овцам учитывается также поголовье приплода, забитого на каракульские смушки (при определении живого веса одной головы забитых на мясо овец, живой вес приплода, забитого на каракульские смушки не учитывается).
В строку 12 раздела 2 включается все количество павшего скота и птицы за отчетный месяц (от пожаров, стихийных бедствий, утонувшего и так далее), включая павший молодняк рождения текущего месяца. Также включается вынужденно забитый скот, мясо не подлежащий к использованию в пищу или использовано только на корм сельскохозяйственному скоту, птице и другим домашним животным.
По строке 13 раздела 2 записываются все случаи выбытия живого скота (продажа, обмен, дарение, за случайные услуги, в долг или в уплату долга, оплаты труда) в пределах своего региона в сельхозпредприятия, к индивидуальным предпринимателям и в крестьянские или фермерские хозяйства и хозяйства населения.
По строке 17 раздела 2 отражается количество голов скота и птицы, вывезенных в другие регионы республики, за границу (на экспорт) и другие случаи выбытия скота (хищение).
По строке 18 раздела 2 отражается численность скота и птицы, принадлежащих хозяйству, независимо от того, находились ли они на скотном дворе хозяйства или в отгоне на пастбищах.
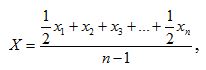
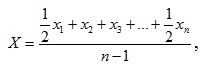
По строке 20 раздела 2 среднее маточное поголовье рассчитывается путем деления суммы кормодней маточного поголовья за месяц на число дней данного месяца. Кормоднем считается пребывание в хозяйстве одной головы скота в течение суток.
Среднее маточное поголовье рассчитывается по формуле средней хронологической:
где,
X - среднее маточное поголовье за отчетный месяц;
х1 - численность маточного поголовья на 1-ый день отчетного месяца;
х2 - численность маточного поголовья на 2-ой день отчетного месяца;
х3 - численность маточного поголовья на 3-ий день отчетного месяца;
...хn - численность маточного поголовья на последний день отчетного месяца;
n - число дней в отчетном месяце.
В случаях отсутствия данных на каждый день среднее маточное поголовье исчисляется как среднее арифметическое на начало и конец отчетного месяца.
В качестве базы для исчисления данного показателя берется число маток, способных дать приплод в отчетном месяце.
5. В подразделах 3.1 и 3.2 отражаются данные по производству и реализации продукции животноводства.
В графе 1 подраздела 3.1 отражается скот и птица, забитые в хозяйстве или реализованные на убой в живом весе.
В графе 2.4 подраздела 3.1 объем экспорта указывается в убойном весе.
По кодам 01.41.20.110 и 01.41.20.120 подраздела 3.2 отражается фактически надоенное коровье молоко за отчетный месяц, независимо от того, было ли оно реализовано или часть его потреблена в хозяйстве, в том числе на выпойку телят. Молоко, высосанное телятами при подсосном их содержании, в продукцию не включается.
По коду 01.45.30.100 отражается вся фактически настриженная овечья шерсть, независимо от того, была ли она реализована или использована на внутрихозяйственные нужды. Шерсть, полученная с овчин при промышленной переработке их на кожу (так называемая «кислая шерсть»), в продукцию не включается. Вес шерсти показывается физический, непосредственно после стрижки овец.
По коду 01.47.21 отражается их сбор за месяц от куриц несушек, включая яйца, использованные на воспроизводство птицы (инкубация).
К шкуркам смушковых ягнят относится каракульча, каракуль и смушка.
К крупным шкурам относятся шкуры крупного рогатого скота, лошадей, верблюдов и другие шкуры в парном состоянии весом свыше 10 килограмм.
К мелким шкурам относятся шкуры овец, коз, телят, жеребят, верблюжат и другие шкуры в парном состоянии весом менее 10 килограмм.
6. В подразделе 3.3 указывается из общего количество настриженной овечьей шерсти количество реализованной шерсти на первичную обработку. К первичной обработке шерсти относится сортировка, трепание, промывание и сушка шерсти.
7. В разделе 4 показывается среднее поголовье отдельных видов скота и птицы, от которых получена продукция в отчетном месяце. Среднее поголовье дойных коров, кур-несушек рассчитывается аналогично строке 20 раздела 2. По овцам подверженным стрижке показывается поголовье овец, с которых получена шерсть в отчетном месяце.
8. В разделе 5 учитывается наличие кормов по видам. С 1 ноября по 1 апреля ежемесячно для заполнения подраздела 5.1 физическая масса каждого вида кормов, через нормативы питательности кормов переводится в кормовые единицы.
В культуры кормовые зерновые и зернобобовые включается зеленая масса всех видов зерновых и зернобобовых культур, использованная на корм скоту. Фуражное зерно учитывается в концентрированных кормах.
При заполнении подраздела 5.3 учитывается, что для кормления свиней и домашней птицы не используются солома и шелуха зерновых, а также сено.
9. Представление данной статистической формы осуществляется на бумажном носителе или в электронном виде. Заполнение статистической формы в электронном виде осуществляется посредством информационной системы «Сбор данных в on-line режиме», размещенного на интернет-ресурсе Комитета по статистике Министерства национальной экономики Республики Казахстан (www.stat.gov.kz).
10. Примечание: х - данная позиция не подлежит заполнению.
11. Арифметико-логический контроль:
1) Раздел 2 «Движение поголовья скота и птицы»:
строка 1 за отчетный месяц = строке 18 отчета за предыдущий месяц, для каждой графы;
строка 2 за отчетный месяц = строке 19 отчета за предыдущий месяц, для каждой графы;
если заполнена строка 1, должна быть заполнена строка 2, для каждой графы;
строка 4 = сумма строк 5-7, для каждой графы;
если заполнена строка 9, должны быть заполнены строки 10, 11, для каждой графы;
строка 10 > строки 11, кроме кодов 01.41.10.110 и 01.42.11.110, для каждой графы;
если заполнена строка 18, должна быть заполнена строка 19, для каждой графы;
если строка 3 > 0, строка 20 > 0, кроме кода 01.47.1, для каждой графы;
если строка 10 > 0, 11 > 0, кроме кодов 01.41.10.110 и 01.42.11.110, для каждой графы;
строка 13 = сумма строк 14-16, для каждой графы;
строка 18 = строка 1 + строка 3 + строка 5 + строка 6 + строка 7 + строка
8 - строка 9 - строка 12 - строка 14 - строка 15 - строка 16 - строка 17;
графа 01.41.1 ≥ графы 01.41.10.110, для каждой строки;
графа 01.42.1 ≥ графы 01.42.11.110, для каждой строки;
2) Контроль между разделами:
строка 10 раздела 2 по кодам 01.41.1, 01.42.1, 01.45.11, 01.45.12, 01.43.10, 01.46.10, 01.47.1, 01.44.10, 01.49.19.122 = подраздел 3.1 графы 1 по соответствующим кодам;
если есть данные по коду 01.41.20.110 графы 1 подраздел 3.2, то должна быть заполнена строка 1.1 графы 1 раздела 4;
если есть данные по коду 01.41.20.120 графы 1 подраздел 3.2, то должна быть заполнена строка 1.2 графы 1 раздела 4;
если есть данные по коду 01.45.30.100 графы 1 подраздел 3.2, то должна быть заполнена строка 3 графы 1 раздела 4;
если есть данные по коду 01.47.21 графы 1 подраздел 3.2, то должна быть заполнена строка 2 графы 1 раздела 4;
если есть данные по коду 01.49.32 графы 1 подраздел 3.2, то должна быть заполнена строка 4 графы 1 раздела 4;
код 01.49.39.200 графы 1 подраздел 3.2 ≤ строка 9 раздела 2 + строка 12 по сумме кодов 01.41.1 + 01.42.1 + 01.43.10 + 01.44.10;
код 01.49.39.200 + 01.49.39.300 графы 1 подраздел 3.2 ≤ строка 9 раздела 2 + строка 12 по сумме кодов 01.41.1 + 01.42.1 + 01.43.10 + 01.44.10 + 01.45.11 + 01.45.12;
подраздел 3.3 ≤ по коду 01.45.30.100 графы 1 подраздела 3.2;
подраздел 3.4 ≤ по кодам 01.41.20.110 + 01.41.20.120 графы 1 подраздела 3.2;
если заполнена строка 1 графы 1 раздела 4, то должна быть заполнена строка 20 раздела 2 по кодам 01.41.1 и/или 01.42.1;
строка 4 раздела 4 ≤ строке 9 коды 01.45.11 раздела 2.
12. Дополнительные контроли являются допустимыми и предусмотрены с целью снижения вероятности появления случайных ошибок регистрации, которые возникают из-за описок и невнимательности респондентов:
при заполнении строк 9 и 10 раздела 2 учитывается средний живой вес одной головы скота и птицы (отношение строки 10 к строке 9), не выходит за следующие пределы. Минимальное допустимое значение среднего живого веса одной головы крупного рогатого скота - 230 килограмм (далее - кг), максимально допустимое - 550 кг. Для коров эти пределы составляют соответственно 380 кг и 550 кг; лошадей - 270 кг и 600 кг; верблюдов - 370 кг и 1000 кг; овец и коз - 30 кг и 65 кг; свиней - 70 кг и 150 кг; маралов - 250 кг и 300 кг; домашней птицы - 0,5 кг и 8 кг; кроликов - 2,5 кг и 4 кг; птицы, выращиваемой на ферме - 1 кг и 8 кг, для прочих животных - 250 кг и 350 кг;
при заполнении строки 11 раздела 2 учитывается коэффициент выхода убойной массы скота и птицы, реализованных на убой в живом весе (отношение строки 11 к строке 10, выраженное в процентах), находится в следующих пределах. Для крупного рогатого скота коэффициент убойного выхода составляет 50 -59%, лошадей - 48-53%, верблюдов - 48-54%, овец и коз - 43-58%, свиней - 66-78%, домашней птицы - 61-80%, маралов - 45-48%;
при заполнении подраздела 3.2 учитывается надой молока в расчете на одну корову не превышает 23 кг в день (отношение произведенного коровьего молока к среднему поголовью дойных коров), средняя яйценоскость кур-несушек - 30 штук в месяц (отношение производства яиц куриных к среднему поголовью кур-несушек), а средний настриг шерсти с одной овцы - 4,5 кг (отношения произведенного количества шерсти к количеству овец подверженных стрижке).
В случае если действительно имеет место явление, при котором какие-либо вышеприведенные ограничения не соблюдаются, вместе с отчетом по статистической форме предоставляются в органы статистики соответствующие пояснения.
Приложение 3
|
|
Мемлекеттік статистика органдары құпиялылығына кепілдік береді Конфиденциальность гарантируется органами государственной статистики |
к приказу Председателя Комитета по статистике Министерства национальной экономики Республики Казахстан о т 24 декабря 2018 года № 12
Қазақстан Республикасы Ұлттық экономика министрлігі Статистика комитеті төрағасының 2018 жылғы 24 желтоқсандағы № 12 бұйрығына 12-қосымша |
|
|||||||||||||||||
|
Жалпымемлекеттік статистикалық байқаудың статистикалық нысаны Статистическая форма общегосударственного статистического наблюдения |
Приложение 12 к приказу Председателя Комитета по статистике Министерства национальной экономики Республики Казахстан от 20 ноября 2017 года № 180 |
|
||||||||||||||||||
|
Аумақтық статистика органына ұсынылады Представляется территориальному органу статистики |
|
|
||||||||||||||||||
|
Статистикалық нысан www.stat.gov.kz интернет-ресурсына орналастырылған Статистическая форма размещена на интернет-ресурсе www.stat.gov.kz |
|
|||||||||||||||||||
|
Мемлекеттік статистиканың тиісті органдарына анық емес бастапқы статистикалық деректерді ұсыну және бастапқы статистикалық деректерді белгіленген мерзімде ұсынбау «Әкімшілік құқық бұзушылық туралы» Қазақстан Республикасы Кодексінің 497-бабында көзделген әкімшілік құқық бұзушылықтар болып табылады Представление недостоверных и непредставление первичных статистических данных в соответствующие органы государственной статистики в установленный срок являются административными правонарушениями, предусмотренными статьей 497 Кодекса Республики Казахстан «Об административных правонарушениях» |
|
|||||||||||||||||||
|
Статистикалық нысан коды 141112131 Код статистической формы 141112131 |
Балық аулау және акваөсіру туралы |
|
||||||||||||||||||
|
1-балық 1-рыба |
О рыболовстве и аквакультуре |
|
||||||||||||||||||
|
Жылдық Годовая |
|
|
||||||||||||||||||
|
Экономикалық қызмет түрлері жалпы жіктеуішінің 03 - «Балық шаруашылығы және акваөсіру» коды бойынша негізгі немесе қосалқы қызмет түрлерімен заңды тұлғалар және (немесе) олардың құрылымдық және оқшауланған бөлімшелері, дара кәсіпкерлер және жануарлар дүниесін пайдалануға рұқсаты және (немесе) балық шаруашылығын жүргізуге шарты бар жеке тұлғалар ұсынады Представляют юридические лица и (или) их структурные и обособленные подразделения, индивидуальные предприниматели с основным или вторичным видом деятельности по коду Общего классификатора видов экономической деятельности 03 «Рыболовство и аквакультура» и физические лица, имеющие разрешение на пользование животным миром и (или) договор на ведение рыбного хозяйства |
|
|||||||||||||||||||
|
Ұсыну мерзімі - есепті кезеңнен кейінгі 25 ақпанға (қоса алғанда) дейін Срок представления - до 25 февраля (включительно) после отчетного периода |
|
|||||||||||||||||||
|
БСН коды Код БИН |
|
|
||||||||||||||||||
|
ЖСН коды Код ИИН |
|
|
||||||||||||||||||
|
1. Балық аулау және акваөсіру саласында қызметті іске асырудың нақты орнын көрсетіңіз - облыс, қала, аудан Укажите фактическое место осуществления деятельности в области рыболовства и аквакультуры - область, город, район |
|
|
||||||||||||||||||
|
Аумақ коды Әкімшілік-аумақтық объектілер жіктеуішіне сәйкес (бұдан әрi - ӘАОЖ)¹ (статистикалық нысанды қағаз жеткізгіште тапсыру кезінде статистика органының қызметкері толтырады) Код территории согласно Классификатору административно-территориальных объектов (далее - КАТО)¹ (заполняется работником органа статистики при сдаче статистической формы на бумажном носителе) |
|
|||||||||||||||||||
|
|
||||||||||||||||||||
2. Балық аулау
Рыболовство
2.1. Балық және басқа да су жануарларын аулау және оларды өткізу туралы мәліметтерді көрсетіңіз (АШӨСЖ² бойынша 03.00.1, 03.00.2, 03.00.3, 03.00.4 топтары)
Укажите сведения об улове рыбы и других водных животных и их реализации (группы 03.00.1, 03.00.2, 03.00.3, 03.00.4 по СКПСХ²)
|
АШӨСЖ² сәйкес балықтардың және басқа да су жануарларының түрлері Виды рыб и других водных животных в соответствии с СКПСХ² |
АШӨСЖ бойынша коды Код по СКПСХ |
САА³ бойынша коды Код по СРВ³ |
Балық және басқа да су жануарларын аулау, килограммен Улов рыбы и других водных животных, в килограммах |
Балық және басқа да су жануарларын заттай мәнде өткізу, килограммен Реализация рыбы и других водных животных в натуральном выражении, в килограммах |
Қолданыстағы бағаларда өткізілген балық және басқа су жануарларының құны, мың теңгемен Стоимость реализованной рыбы и других водных животных в действующих ценах, в тысячах тенге |
|
А |
Б |
В |
1 |
2 |
3 |
Ескертпе:
Примечание:
¹ ӘАОЖ Қазақстан Республикасы Ұлттық экономика министрлігі Статистика комитетінің интернет-ресурсында «Жіктеуіштер» бөлімінде орналастырылған «Әкімшілік-аумақтық объектілер жіктеуішіне» сәйкес толтырылады
¹ КАТО заполняется согласно «Классификатору административно-территориальных объектов», размещенному на интернет-ресурсе Комитета по статистике Министерства национальной экономики Республики Казахстан в разделе «Классификаторы»
² Мұнда және бұдан әрі АШӨСЖ - Қазақстан Республикасы Ұлттық экономика министрлігі Статистика комитетінің интернет-ресурсында «Жіктеуіштер» бөлімінде орналастырылған «Ауыл, орман және балық шаруашылығы өнімдерінің (көрсетілетін қызметтердің) статистикалық анықтамалығына» сәйкес толтырылады
² Здесь и далее СКПСХ - заполняется согласно «Справочнику продукции (услуг) сельского, лесного и рыбного хозяйства», размещенному на интернет-ресурсе Комитета по статистике Министерства национальной экономики Республики Казахстан в разделе «Классификаторы»
³ САА - осы нысанның 1-қосымшасына сәйкес «Су айдындарының анықтамалығы» негізінде толтырылады
³ СРВ - заполняется согласно «Справочнику водоемов», соответствии с приложением 1 к данной статистической форме
|
АШӨСЖ² сәйкес балықтардың және басқа да су жануарларының түрлері Виды рыб и других водных животных в соответствии с СКПСХ² |
АШӨСЖ бойынша коды Код по СКПСХ |
САА³ бойынша коды Код по СРВ³ |
Балық және басқа да су жануарларын аулау, килограммен Улов рыбы и других водных животных, в килограммах |
Балық және басқа да су жануарларын заттай мәнде өткізу, килограммен Реализация рыбы и других водных животных в натуральном выражении, в килограммах |
Қолданыстағы бағаларда өткізілген балық және басқа су жануарларының құны, мың теңгемен Стоимость реализованной рыбы и других водных животных в действующих ценах, в тысячах тенге |
|
А |
Б |
В |
1 |
2 |
3 |
|
|
|||||
|
|
|||||
|
|
|||||
|
|
|||||
|
|
|||||
|
|
|||||
|
|
|||||
|
|
|||||
|
|
|||||
|
|
|||||
|
|
|||||
|
|
|||||
|
|
|||||
|
|
|||||
|
|
|||||
|
|
|
2.2. Балық аулауға сатылған жолдамалар санын көрсетіңіз, данамен Укажите количество реализованных путевок на улов рыбы, в штуках |
|
|
2.3. Балық аулауға сатылған жолдамалардың құнын көрсетіңіз, мың теңгемен Укажите стоимость реализованных путевок на улов рыбы, в тысячах тенге |
|
|
2.4. Меншік немесе жалға алынған кемелермен тасымалданған балық санын көрсетіңіз, тоннамен Укажите количество перевезенной рыбы собственными или арендованными судами, в тоннах |
|
|
2.5. Аулау орнынан жағалауға дейін меншік немесе жалға алынған кемелермен балықты тасымалдаудың орташа қашықтығын көрсетіңіз, километрмен Укажите среднее расстояние перевозки рыбы собственными или арендованными судами от места добычи до берега, в километрах |
|
3. Акваөсіру
Аквакультура
3.1. Балық өсіру материалын өсіру және өткізу туралы мәліметтерді көрсетіңіз (АШӨСЖ² бойынша 03.00.1, 03.00.2, 03.00.3, 03.00.4 топтары)
Укажите сведения о выращивании и реализации рыбопосадочного материала (группы 03.00.1, 03.00.2, 03.00.3, 03.00.4 по СКПСХ²)
|
АШӨСЖ² сәйкес балықтың түрлері Виды рыбы в соответствии с СКПСХ² |
АШӨСЖ бойынша коды Код по СКПСХ |
Заттай мәнде өсірілген балық отырғызу материалы, мың данамен Выращено рыбопосадочного материала в натуральном выражении, в тысячах штук |
Қолданыстағы бағаларда өсірілген балық отырғызу материалының құны, мың теңгемен Стоимость выращенного рыбопосадочного материала в действующих ценах, в тысячах тенге |
Өткен жылғы орташа жылдық бағаларда өсірілген балық отырғызу материалының құны, мың теңгемен Стоимость выращенного рыбопосадочного материала в среднегодовых ценах предыдущего года, в тысячах тенге |
Заттай мәнде өсірілген балық отырғызу материалының өткізілгені, мың данамен Реализовано выращенного рыбопосадочного материала в натуральном выражении, в тысячах штук |
Қолданыстағы бағаларда өткізілген балық отырғызу материалының құны, мың теңгемен Стоимость реализованного рыбопосадочного материала в действующих ценах, в тысячах тенге |
Өткен жылғы орташа жылдық бағаларда өткізілген балық отырғызу материалының құны, мың теңгемен Стоимость реализованного рыбопосадочного материала в среднегодовых ценах предыдущего года, в тысячах тенге |
|
А |
Б |
1 |
2 |
3 |
4 |
5 |
6 |
|
|
|||||||
|
|
|||||||
|
|
|||||||
|
|
|||||||
|
|
|||||||
|
|
|||||||
|
|
|||||||
|
|
|||||||
|
|
|||||||
|
|
|||||||
|
|
|||||||
|
|
|||||||
|
|
|||||||
|
|
|||||||
|
|
|||||||
|
|
|||||||
|
|
|||||||
|
|
|||||||
|
|
3.2. Жіберілген балық өсіру материалының саны туралы мәліметтерді көрсетіңіз (АШӨСЖ² бойынша 03.00.1, 03.00.2, 03.00.3, 03.00.4 топтары), мың данамен
Укажите сведения о количестве выпущенного рыбопосадочного материала (группы 03.00.1, 03.00.2, 03.00.3, 03.00.4 по СКПСХ²), в тысячах штук
|
АШӨСЖ² сәйкес балықтың түрлері Виды рыбы в соответствии с СКПСХ² |
АШӨСЖ бойынша коды Код по СКПСХ |
Жіберілгені Выпущено |
|
|
бақыланатын ортаға в контролируемую среду |
табиғи ортаға в естественную среду |
||
|
А |
Б |
1 |
2 |
|
|
|||
|
|
|||
|
|
|||
|
|
|||
|
|
|||
|
|
|||
|
|
|||
|
|
|||
3.3. Өсірілген тауарлық балық және басқа да су жануарларын өсіру және өткізу туралы мәліметтерді көрсетіңіз (АШӨСЖ¹ бойынша 03.00.1, 03.00.2, 03.00.3, 03.00.4 топтары)
Укажите сведения о выращивании и реализации выращенной товарной рыбы и других водных животных (группы 03.00.1, 03.00.2, 03.00.3, 03.00.4 по СКПСХ¹)
|
АШӨСЖ² сәйкес балықтардың және басқа да су жануарларының түрлері Виды рыб и других водных животных в соответствии с СКПСХ² |
АШӨСЖ бойынша коды Код по СКПСХ |
ӨОА⁴ бойынша коды Код по СМК⁴ |
Заттай мәнде тауарлық балық пен басқа да су жануарларының өсірілгені, килограммен Выращено товарной рыбы и других водных животных в натуральном выражении, в килограммах |
Қолданыстағы бағаларда өсірілген тауарлық балық пен басқа су жануарларының құны, мың теңгемен Стоимость выращенной товарной рыбы и других водных животных в действующих ценах, в тысячах тенге |
Заттай мәнде өсірілген тауарлық балық пен басқа да су жануарларының өткізілгені, килограммен Реализовано выращенной товарной рыбы и других водных животных в натуральном выражении, в килограммах |
АШӨӨАА⁵бойынша коды код по СКРСП⁵ |
Қолданыстағы бағаларда өткізілген тауарлық балық пен басқа су жануарларының құны, мың теңгемен Стоимость реализованной товарной рыбы и других водных животных в действующих ценах, в тысячах тенге |
|
А |
Б |
В |
1 |
2 |
3 |
4 |
5 |
|
|
|||||||
|
|
|||||||
|
|
Ескертпе:
Примечание:
⁴ Мұнда және бұдан әрі ӨОА - осы статистикалық нысанға 2-қосымшада келтірілген «Өсіру орындарының анықтамалығына» сәйкес толтырылады
⁴ Здесь и далее СМК - заполняется согласно «Справочнику мест культивирования», приведенному в приложении 2 к данной статистической форме
⁵ АШӨӨАА - осы статистикалық нысанның 3-қосымшасына сәйкес «Ауыл шаруашылығы өнімдерін өткізу арналарының анықтамалығы» негізінде толтырылады
⁵ СКРСП - заполняется согласно «Справочнику каналов реализации сельскохозяйственной продукции», соответствии с приложением 3 к данной статистической форме
|
АШӨСЖ² сәйкес балықтардың және басқа да су жануарларының түрлері Виды рыб и других водных животных в соответствии с СКПСХ² |
АШӨСЖ бойынша коды Код по СКПСХ |
ӨОА⁴ бойынша коды Код по СМК⁴ |
Заттай мәнде тауарлық балық пен басқа да су жануарларының өсірілгені, килограммен Выращено товарной рыбы и других водных животных в натуральном выражении, в килограммах |
Қолданыстағы бағаларда өсірілген тауарлық балық пен басқа су жануарларының құны, мың теңгемен Стоимость выращенной товарной рыбы и других водных животных в действующих ценах, в тысячах тенге |
Заттай мәнде өсірілген тауарлық балық пен басқа да су жануарларының өткізілгені, килограммен Реализовано выращенной товарной рыбы и других водных животных в натуральном выражении, в килограммах |
АШӨӨАА⁵бойынша коды код по СКРСП⁵ |
Қолданыстағы бағаларда өткізілген тауарлық балық пен басқа су жануарларының құны, мың теңгемен Стоимость реализованной товарной рыбы и других водных животных в действующих ценах, в тысячах тенге |
|
А |
Б |
В |
1 |
2 |
3 |
4 |
5 |
|
|
|||||||
|
|
|||||||
|
|
|||||||
|
|
3.4. Балық ресурстарын және басқа да су жануарларын өсіру орындары туралы мәліметтерді көрсетіңіз (АШӨСЖ¹ бойынша 03.00.1, 03.00.2, 03.00.3, 03.00.4 топтары)
Укажите сведения о местах культивирования рыбных ресурсов и других водных животных (группы 03.00.1, 03.00.2, 03.00.3, 03.00.4 по СКПСХ¹)
|
ӨӘА бойынша коды Код по СМК |
Өсіру орындары Места культивирования |
Балықтар Рыбы |
Шаян тәрізділер Ракообразных |
||
|
саны, бірлікпен количество, в единицах |
ауданы⁶ площадь⁶ |
саны, бірлікпен количество, в единицах |
ауданы⁶ площадь⁶ |
||
|
А |
Б |
1 |
2 |
3 |
4 |
|
1 |
Тоғандар Пруды |
||||
|
2 |
Қоршалған учаскелер мен айдамдар Огороженные участки и загоны |
||||
|
3 |
Шарбақтар Садки |
||||
|
4 |
Арналар мен сүрлемдік шұңқырлар Каналы и силосные ямы |
||||
Ескертпе:
Примечание:
⁶ Осы статистикалық нысанның 2-қосымшасына сәйкес «Өсіру орындарының анықтамалығы» негізінде өлшем бірліктер толтырылады
⁶ Заполняется в единицах измерения, согласно «Справочнику мест культивирования», соответствии с приложением 2 к данной статистической форме
|
ӨӘА бойынша коды Код по СМК |
Өсіру орындары Места культивирования |
Балықтар Рыбы |
Шаян тәрізділер Ракообразных |
||
|
саны, бірлікпен количество, в единицах |
ауданы⁵ площадь⁵ |
саны, бірлікпен количество, в единицах |
ауданы⁵ площадь⁵ |
||
|
А |
Б |
1 |
2 |
3 |
4 |
|
5 |
Бөгеулер Запруды |
||||
|
6 |
Бассейндер Бассейны |
||||
|
7 |
Көлде тауарлы балық өсiру шаруашылығы (КТБШ) Озерно-товарное рыбоводное хозяйство (ОТРХ) |
||||
|
8 |
Сумен қамтамасыз ету циклі тұйықталған балық өсіру шаруашылығы Рыбоводное хозяйство с замкнутым циклом водообеспечения |
||||
|
9 |
Басқа да орындар Другие места |
||||
3.5. Су айдындарының көрсеткіштері
Показатели водоемов
|
Жолдың коды Код строки |
Көрсеткіштердің атауы Наименование показателей |
Өлшем бірлігі Единица измерения |
Заттай мәнде В натуральном выражении |
|
А |
Б |
В |
1 |
|
1 |
Тауарлық балық және балық өсіру материалын өсіру бойынша су айдындарының жалпы ауданы Общая площадь водного зеркала водоемов по выращиванию товарной рыбы и рыбопосадочного материала |
гектармен в гектарах |
|
|
2 |
Жемнің барлық түрлерінің жұмсалғаны Израсходовано всех видов кормов |
килограммен в килограммах |
|
|
соның ішінде: в том числе: |
|||
|
2.1 |
тауарлық балықтарға для товарной рыбы |
килограммен в килограммах |
|
|
1 |
жемнің отандық өндірісі корма отечественного производства |
килограммен в килограммах |
|
|
2 |
жемнің импорттық өндірісі корма импортного производства |
килограммен в килограммах |
|
|
2.2 |
балық өсіру материалына для рыбопосадочного материала |
килограммен в килограммах |
|
|
1 |
жемнің отандық өндірісі корма отечественного производства |
килограммен в килограммах |
|
|
2 |
жемнің импорттық өндірісі корма импортного производства |
килограммен в килограммах |
|
|
3 |
Су айдындарына жіберілген тыңайтқыштар Внесено в водоемы удобрений |
килограммен в килограммах |
|
|
3.1 |
минералды минеральных |
килограммен в килограммах |
|
|
3.2 |
органикалық органических |
килограммен в килограммах |
4. Балық аулау және акваөсіру саласындағы көрсетілген қызметтер туралы ақпаратты көрсетіңіз
Укажите информацию об услугах, оказанных в области рыболовства и аквакультуры
4.1 Балық аулау саласындағы көрсетілетін қызметтерді көрсетіңіз (АШӨСЖ² бойынша 03.00.71 тобы)
Укажите услуги в области рыболовства (группа 03.00.71 по СКПСХ²)
|
АШӨСЖ² сәйкес қызметтердің атауы Наименование услуг в соответствии с СКПСХ² |
АШӨСЖ бойынша коды Код по СКПСХ |
Есепті жылға, мың теңгемен За отчетный год, в тысячах тенге |
|
|
қолданыстағы бағаларда в действующих ценах |
өткен жылғы орташа жылдық бағаларда в среднегодовых ценах предыдущего года |
||
|
А |
Б |
1 |
2 |
|
|
|||
|
|
|||
|
|
|||
|
|
|||
|
|
|||
|
|
|||
|
|
|||
|
|
|||
|
|
|||
4.2 Акваөсіру саласындағы қызметтерді көрсетіңіз (АШӨСЖ² бойынша 03.00.72 тобы)
Укажите услуги в области аквакультуры (группа 03.00.72 по СКПСХ²)
|
АШӨСЖ² сәйкес қызметтердің атауы Наименование услуг в соответствии с СКПСХ² |
АШӨСЖ бойынша коды Код по СКПСХ |
Есепті жылға, мың теңгемен За отчетный год, в тысячах тенге |
|
|
қолданыстағы бағаларда в действующих ценах |
өткен жылғы орташа жылдық бағаларда в среднегодовых ценах предыдущего года |
||
|
А |
Б |
1 |
2 |
|
|
|||
|
|
|||
|
|
|||
|
|
|||
|
|
|||
|
|
|||
|
|
|||
|
|
|||
|
|
|||
|
|
|||
5. Басқа да қызмет түрлері
Другие виды деятельности
|
ЭҚЖЖ⁷ номенклатурасына сәйкес қызмет түрлерінің атауы Наименование вида деятельности в соответствии с номенклатурой ОКЭД⁷ |
ЭҚЖЖ номенклатурасы бойынша коды (статистика органының қызметкері толтырады) Код по номенклатуре ОКЭД (заполняется работниками органа статистики) |
Қызметтің өзге де түрлері бойынша өндірілген өнімдердің (тауарлардың, көрсетілетін қызметтердің) көлемі, мың теңгемен Объем произведенной продукции (товаров, услуг) по другим видам деятельности, в тысячах тенге |
|
А |
Б |
1 |
|
|
||
|
|
||
|
|
||
|
|
||
|
|
||
|
|
Ескертпе:
Примечание:
⁷ ЭҚЖЖ - Қазақстан Республикасы Ұлттық экономика министрлігі Статистика комитетінің интернет-ресурсында «Жіктелімдер» бөлімінде орналастырылған «Экономикалық қызмет түрлерінің номенклатурасына» сәйкес толтырылады
⁷ ОКЭД - заполняется согласно «Номенклатуре видов экономической деятельности», размещенной на интернет-ресурсе Комитета по статистике Министерства национальной экономики Республики Казахстан в разделе «Классификаторы»
|
Атауы Наименование ___________________________ __________________________________ |
Мекенжайы Адрес ____________________________ _______________________________ |
|||
|
Телефоны Телефон _________________________ __________________________ |
Электрондық пошта мекенжайы (респонденттің) Адрес электронной почты (респондента) |
|||
|
Алғашқы статистикалық деректерді таратуға келісеміз⁸ Согласны на распространение первичных статистических данных⁸ |
|
Алғашқы статистикалық деректерді таратуға келіспейміз⁸ Не согласны на распространение первичных статистических данных⁸ |
|
|
|
Орындаушы Исполнитель |
_________________________________ тегі, аты және әкесінің аты (бар болған жағдайда) фамилия, имя и отчество (при его наличи) |
_________________ қолы, телефоны подпись, телефон |
|
Басшы Руководитель |
__________________________________ тегі, аты және әкесінің аты (бар болған жағдайда) фамилия, имя и отчество (при его наличи) |
_______________ қолы подпись |
|
Басшы немесе оның міндетін атқарушы тұлға Руководитель или лицо, исполняющее его обязанности |
____________________________________ тегі, аты және әкесінің аты (бар болған жағдайда) фамилия, имя и отчество (при его наличи) |
_______________ қолы подпись |
Ескертпе:
Примечание:
⁸ Аталған тармақ «Мемлекеттік статистика туралы» Қазақстан Республикасының 2010 жылғы 19 наурыздағы Заңының 8-бабының 5-тармағына сәйкес толтырылады
⁸ Данный пункт заполняется согласно пункту 5 статьи 8 Закона Республики Казахстан от 19 марта 2010 года «О государственной статистике»
Приложение 1
к статистической форме
общегосударственного статистического
наблюдения «О рыболовстве и
аквакультуре»
(код 141112131, индекс 1-рыба,
периодичность годовая)
Справочник водоемов
|
Код |
Наименование водоемов |
|
1 |
Моря |
|
1.01 |
Аральское море |
|
1.02 |
Каспийское море |
|
2 |
Реки |
|
2.01 |
Ертис (Иртыш) |
|
2.02 |
Есиль (Ишим) |
|
2.03 |
Тобол |
|
2.04 |
Нура |
|
2.05 |
Жайык (Урал) |
|
2.06 |
Сырдария |
|
2.07 |
Шу |
|
2.08 |
Талас |
|
2.09 |
Иле |
|
2.10 |
Кигач |
|
3 |
Озера |
|
3.01 |
Балхаш |
|
3.02 |
Алаколь |
|
3.03 |
Сасыкколь |
|
3.04 |
Жаланашколь |
|
3.05 |
Маркаколь |
|
3.06 |
Зайсан |
|
4 |
Водохранилища |
|
4.01 |
Бухтарминское |
|
4.02 |
Сергеевское |
|
4.03 |
Вячеславское |
|
4.04 |
Капчагайское |
|
4.05 |
Шардаринское |
|
4.06 |
Шульбинское |
|
5 |
Рыбохозяйственные водоемы местного значения |
|
5.01 |
Рыбохозяйственные водоемы Акмолинской области |
|
5.02 |
Рыбохозяйственные водоемы Актюбинской области |
|
5.03 |
Рыбохозяйственные водоемы Алматинской области |
|
5.04 |
Рыбохозяйственные водоемы Восточно-Казахстанской области |
|
5.05 |
Рыбохозяйственные водоемы Жамбылской области |
|
5.06 |
Рыбохозяйственные водоемы Западно-Казахстанской области |
|
5.07 |
Рыбохозяйственные водоемы Карагандинской области |
|
5.08 |
Рыбохозяйственные водоемы Костанайской области |
|
5.09 |
Рыбохозяйственные водоемы Кызылординской области |
|
5.10 |
Рыбохозяйственные водоемы Павлодарской области |
|
5.11 |
Рыбохозяйственные водоемы Северо-Казахстанской области |
|
5.12 |
Рыбохозяйственные водоемы Южно-Казахстанской области |
|
6 |
Канал имени К.Сатпаева |
Приложение 2
к статистической форме
общегосударственного статистического
наблюдения «О рыболовстве и
аквакультуре» (код 141112131,
индекс 1-рыба, периодичность годовая)
Справочник мест культивирования
|
Код |
Наименование |
Единица измерения площади |
|
1 |
Пруды |
в гектарах |
|
2 |
Огороженные участки и загоны |
в гектарах |
|
3 |
Садки |
в метрах кубических |
|
4 |
Каналы и силосные ямы |
в метрах кубических |
|
5 |
Запруды |
в гектарах |
|
6 |
Бассейны |
в гектарах |
|
7 |
Озерно-товарное рыбоводное хозяйство (ОТРХ) |
в гектарах |
|
8 |
Рыбоводное хозяйство с замкнутым циклом водообеспечения |
в гектарах |
|
9 |
Другие места |
в гектарах |
Приложение 3
к статистической форме
общегосударственного статистического
наблюдения «О рыболовстве и
аквакультуре» (код 141112131,
индекс 1-рыба, периодичность годовая)
Справочник каналов реализации сельскохозяйственной продукции
|
Код |
Наименование каналов реализации |
|
1 |
Заготовительным организациям |
|
2 |
Перерабатывающим предприятиям |
|
3 |
Через торговую сеть и сеть общественного питания |
|
3.1 |
на рынках |
|
3.2 |
в магазинах, ларьках, палатках расположенных на территории предприятия |
|
3.3 |
непосредственно предприятием населению |
|
3.4 |
через сеть общественного питания |
|
4 |
На экспорт |
|
5 |
На переработку в самом предприятии |
|
6 |
Иное |
Приложение 4
к приказу Председателя
Комитета по статистике
Министерства национальной
экономики Республики Казахстан
от 24 декабря 2018 года №12
Приложение 13
к приказу Председателя
Комитета по статистике
Министерства национальной
экономики Республики Казахстан
от 20 ноября 2017 года № 180
Инструкция по заполнению статистической формы общегосударственного статистического наблюдения «О рыболовстве и аквакультуре» (код 141112131, индекс 1-рыба, периодичность годовая)
1. Настоящая инструкция по заполнению статистической формы общегосударственного статистического наблюдения «О рыболовстве и аквакультуре» (код 141112131, индекс 1-рыба, периодичность годовая) разработана в соответствии с подпунктом 8) статьи 12 Закона Республики Казахстан от 19 марта 2010 года «О государственной статистике» и детализирует заполнение статистической формы общегосударственного статистического наблюдения «О рыболовстве и аквакультуре» (код 141112131, индекс 1-рыба, периодичность годовая) (далее - статистическая форма).
2. Следующие определения применяются в целях заполнения данной статистической формы:
1) аквакультура - искусственное воспроизводство и культивирование рыбных ресурсов и других водных животных;
2) каналы - искусственные единицы, построенные выше или ниже уровня земли, обладающие высоким уровнем водного обмена;
3) улов рыбы - выловленный объем рыбных ресурсов и других водных животных на рыбохозяйственных водоемах;
4) рыболовство - лов рыбных ресурсов и других водных животных;
5) рыбохозяйственные водоемы и (или) участки - водоемы либо их части (реки и приравненные к ним каналы, озера, водно-болотные угодья, водохранилища, пруды и другие внутренние водоемы, территориальные воды), а также морские воды, которые используются или могут быть использованы для лова, разведения и выращивания рыбных ресурсов и других водных животных либо имеют значение для воспроизводства их запасов.
6) запруда - полупостоянные или сезонные заграждения, сформированные непроницаемыми барьерами, сделанными человеком, и соответствующие естественным условиям;
7) огороженные участки и загоны - водная территория, ограниченная сетью, проволочной сеткой и другими барьерами, при этом позволяющая неограниченный водный обмен и отличающийся тем фактом, что водообмен занимает полную водную толщу между дном и поверхностью;
8) озерно-товарное рыбоводное хозяйство - вид хозяйственной деятельности по выращиванию рыб и других водных животных в полувольных контролируемых условиях путем полной или частичной замены ихтиофауны в естественных и искусственных водоемах;
9) другие виды деятельности - виды деятельности, которые предприятие осуществляло помимо деятельности в рыболовстве и аквакультуре;
10) рыбоводное хозяйство с замкнутым циклом водообеспечения - вид хозяйственной деятельности, связанный с искусственным разведением рыб и других водных животных с применением технологии замкнутого цикла водообеспечения;
11) товарная рыба - любая рыба, выведенная и (или) выращенная в контролируемых или частично контролируемых условиях, реализуемая в качестве пищевого продукта;
12) пруды и бассейны - искусственные единицы, построенные выше или ниже уровня земли, способные удерживать воду и производить обмен воды;
13) садки - открытые или крытые огражденные структуры, со встроенной сетью, с проволочной сеткой или с любыми другими ячеистыми материалами, позволяющими естественный водный обмен.
3. Деятельность в области рыболовства и аквакультуры осуществляется на территории нескольких районов и (или) областей, физические и юридические лица представляют статистическую форму, выделяя информацию по каждой территории на отдельных бланках - данные отражаются по месту осуществления деятельности в области рыболовства и аквакультуры. В случаях когда структурному подразделению делегированы полномочия по сдаче статистической формы, оно представляет данный отчет в органы статистики по месту своего нахождения.
4. В разделе 1 указывается место (область, город, район) фактического осуществления деятельности в области рыболовства и аквакультуры, независимо от места регистрации.
Данные заполняются в соответствии со Справочником продукции (услуг) сельского, лесного и рыбного хозяйства (далее - СКПСХ) (респондентом по строкам вписывается вид продукции, органами статистики - проставляется соответствующий код), размещенного на интернет-ресурсе Комитета по статистике Министерства национальной экономики Республики Казахстан (www.stat.gov.kz).
Наименование водоемов указываются в соответствии со «Справочником водоемов», приведенном в приложении 1 к статистической форме.
5. В графе 1 подраздела 2.1 указывается общий вес всех видов добытой рыбы и других водных животных в килограммах с одним десятичным знаком. Указывается данные по конкретным видам продукции, в том числе израсходованная на производственные нужды внутри данного предприятия.
В графе 2 подраздела 2.1 указывается реализация всей рыбы и других водных животных в натуральном выражении с одним десятичным знаком, в графе 3 подраздела 2.1 - в стоимостном выражении в ценах реализации отчетного года.
6. В подразделе 3.1 указываются данные после окончательного облова зимовальных прудов, приспособленных к зимовке водоемов, зимовальных комплексов. К рыбопосадочному материалу относятся молодь (личинки, сеголетки) в весенний период рыбопосадочным материалом являются перезимовавшие двухлетки, называемые двухгодовиками, нестандартного веса, оставленные в хозяйстве на доращивание. Подсчет рыбопосадочного материала ведется общепринятыми в рыбоводстве методами.
В графе 2 подраздела 3.1 указывается стоимость выращенного рыбопосадочного материала в ценах отчетного года, в графе 3 подраздела 3.1 - в среднегодовых ценах предыдущего года. В качестве среднегодовых цен предыдущего года используются цены выращивания, сложившиеся в хозяйстве респондента в предыдущем году. В случае если респондент в предыдущем году не выращивал те или иные виды рыбопосадочного материала графа 3 по этим видам принимается равной графе 2 подраздела 3.1.
По графам с 4 по 6 подраздела 3.1 указываются сведения о реализации рыбопосадочного материала. Стоимость реализации в графе 5 подраздела 3.1 указывается в ценах отчетного года, в графе 6 подраздела 3.1 - в среднегодовых ценах предыдущего года. В качестве среднегодовых цен предыдущего года используются цены реализации, сложившиеся в хозяйстве респондента в предыдущем году. В случае если респондент в предыдущем году не реализовывал рыбопосадочный материал, графа 6 подраздела 3.1 по этим видам принимается равной графе 5 подраздела 3.1.
7. По графе 1 подраздела 3.2 указываются данные о количестве выпущенного рыбопосадочного материала для дальнейшего ведения аквакультурной деятельности, по графе 2 подраздела 3.2 - для отлова в ходе рыбного промысла.
8. В строках подраздела 3.3 указываются сведения об объемах выращивания и реализации товарной рыбы и других водных животных. Места культивирования указываются в соответствии со «Справочником мест культивирования», соответствии с приложением 2 к статистической форме. По графе 4 подраздела 3.3 указываются каналы реализации товарной рыбы и других водных животных согласно «Справочнику каналов реализации сельскохозяйственной продукции», соответствии с приложением 3 к статистической форме, по графе 3 подраздела 3.3 указывается реализация выращенной в хозяйстве товарной рыбы и других водных животных в натуральном выражении, а по графе 5 подраздела 3.3 - в стоимостном выражении в ценах реализации отчетного года.
9. В подразделе 3.4 указываются сведения о местах культивирования рыбных ресурсов и других водных животных.
10. В строке 1 подраздела 3.5 указывается наличие собственных и закрепленных водоемов по выращиванию товарной рыбы и рыбопосадочного материала (выростные и нагульные пруды, бассейны, садки, питомные и нагульные озера и прочие водоемы) независимо от того, использовались они или нет в отчетном году.
В строке 2 подраздела 3.5 указывается количество израсходованных для кормления товарной рыбы и рыбопосадочного материала кормов, разграничив их на отечественные и импортные.
11. В разделе 4 указывается объем услуг, оказанных другим юридическим или физическим лицам в сфере рыболовства и аквакультуры:
1) услуги, связанные с рыболовством (код СКПСХ 03.00.71) - услуги по ловле рыбы в прибрежных или внутренних водах, по добыче морских и пресноводных ракообразных и моллюсков;
2) услуги, связанные с аквакультурой (код СКПСХ 03.00.72) - услуги рыбопитомников по выращиванию молоди (личинки, сеголетки, годовики, двухлетки), рыбных ферм по разведению и выращиванию рыб (включая декоративных), рыбомелиоративные услуги.
В графе 1 подразделов 4.1 и 4.2 разела 4 указывается стоимость оказанных услуг в ценах отчетного года, в графе 2 подразделов 4.1 и 4.2 разела 4 - в среднегодовых ценах предыдущего года. В качестве среднегодовой цены предыдущего года используется цена, по которой респондент оказывал аналогичные услуги в предыдущем году. В случае если респондент в предыдущем году не оказывал аналогичные услуги, графа 2 подразделов 4.1 и 4.2 разела 4 принимается равной графе 1 подразделов 4.1 и 4.2 разела 4.
12. В разделе 5 показывается объем произведенной продукции (товаров, услуг) по другим видам деятельности, которые осуществлялись или оказывались респондентом в отчетном году. Данные заполняются на основании документов бухгалтерского учета, где отражаются объемы произведенной продукции (работ, услуг).
13. Представление данной статистической формы осуществляется на бумажном носителе или в электронном виде. Заполнение статистической формы в электронном виде осуществляется посредством информационной системы «Сбор данных в on-line режиме», размещенного на интернет-ресурсе Комитета по статистике Министерства национальной экономики Республики Казахстан (www.stat.gov.kz).
14. При отсутствии у респондента деятельности в отчетный период, респондент не позднее даты окончания срока отчетного периода предоставить вместо статистической формы уведомление об отсутствии деятельности с указанием причин отсутствия деятельности и срока, в течение которого данная деятельность не будет осуществляться согласно приложению 1 к Правилам представления респондентами первичных статистических данных, утвержденных приказом Председателя Агентства Республики Казахстан по статистике от 9 июля 2010 года № 173, зарегистрированным в Реестре государственной регистрации нормативных правовых актов под № 6459.
15. Арифметико-логический контроль:
1) Подраздел 2.1 «Сведения об улове рыбы и других водных животных и их реализации»:
если графа 2 ≠ 0, то и графа 3≠ 0, для каждой строки;
2) Подраздел 3.1 «Сведения о выращивании и реализации рыбопосадочного материала»:
если графа 1 ≠ 0, то и графы 2 и 3 ≠ 0, для каждой строки;
если графа 4 ≠ 0, то и графы 5 и 6 ≠ 0, для каждой строки;
3) Подраздел 3.3 «Сведения о выращивании и реализации товарной рыбы и других водных животных»:
графа 1 ≥ графы 3, для каждой строки;
графа 2 ≥ графы 5, для каждой строки;
если графа 1 ≠ 0, то и графа 2 ≠ 0, для каждой строки;
если графа 3 ≠ 0, то и графа 5 ≠ 0, для каждой строки;
4) Подраздел 3.4 «Сведения о местах культивирования»:
если графа 1 ≠ 0, то и графа 2 ≠ 0, для каждой строки;
если графа 3 ≠ 0, то и графа 4 ≠ 0, для каждой строки;
5) Подраздел 3.5 «Показатели водоемов»:
строка 2 = строка 2.1 + строка 2.2;
строка 3 = строка 3.1 + строка 3.2.
6) Контроль между разделами:
если подраздел 2.2 ≠ 0, то и подраздел 2.3 ≠ 0;
если подраздел 3.3 ≠ 0, то и подраздел 3.4 ≠ 0;
если подразделы 3.1, 3.3 или 3.4 ≠ 0, то и подраздел 3.5 ≠ 0.
Приложение 5
|
|
Мемлекеттік статистика органдары құпиялылығына кепілдік береді Конфиденциальность гарантируется органами государственной статистики |
к приказу Председателя Комитета по статистике Министерства национальной экономики Республики Казахстан от 24 декабря 2018 года № 12 Қазақстан Республикасы Ұлттық экономика министрлігі Статистика комитеті төрағасының 2018 жылғы 24 желтоқсандағы № 12 бұйрығына 5-қосымша |
|||||||||||||||||||||||
|
Жалпымемлекеттік статистикалық байқаудың статистикалық нысаны Статистическая форма общегосударственного статистического наблюдения |
Приложение 26 к приказу Председателя Комитета по статистике Министерства национальной экономики Республики Казахстан от 20 ноября 2017 года № 180 |
||||||||||||||||||||||||
|
Аумақтық статистика органына ұсынылады Представляется территориальному органу статистики |
|
||||||||||||||||||||||||
|
Статистикалық нысан www.stat.gov.kz интернет-ресурсына орналастырылған Статистическая форма размещена на интернет-ресурсе www.stat.gov.kz |
|||||||||||||||||||||||||
|
Мемлекеттік статистиканың тиісті органдарына анық емес бастапқы статистикалық деректерді ұсыну және бастапқы статистикалық деректерді белгіленген мерзімде ұсынбау «Әкімшілік құқық бұзушылық туралы» Қазақстан Республикасы Кодексінің 497-бабында көзделген әкімшілік құқық бұзушылықтар болып табылады Представление недостоверных и непредставление первичных статистических данных в соответствующие органы государственной статистики в установленный срок являются административными правонарушениями, предусмотренными статьей 497 Кодекса Республики Казахстан «Об административных правонарушениях» |
|||||||||||||||||||||||||
|
Статистикалық нысан коды 141112201 Код статистической формы 141112201 |
Мал шаруашылығының жағдайы туралы есеп |
||||||||||||||||||||||||
|
24-сх |
Отчет о состоянии животноводства |
||||||||||||||||||||||||
|
Жылдық Годовая |
Есепті кезең Отчетный период |
|
жыл год |
||||||||||||||||||||||
|
Экономикалық қызмет түрлерінің жалпы жіктеуішінің 01.4 - «Мал шаруашылығы» және 01.5 - «Аралас ауыл шаруашылығы» кодтары бойынша негізгі немесе қосалқы қызмет түрлері мен барлық заңды тұлғалар және (немесе) олардың құрылымдық және оқшауланған бөлімшелері; экономикалық қызмет түрлерінің жалпы жіктеуішінің 01.4 - «Мал шаруашылығы» және 01.5 - «Аралас ауыл шаруашылығы» кодтары бойынша негізгі немесе қосалқы қызмет түрлері мен 100 адамнан артық жұмысшысы бар дара кәсіпкерлер және шаруа немесе фермер қожалықтары ұсынады Представляют: все юридические лица и (или) их структурные и обособленные подразделения с основным или вторичным видами деятельности по кодам Общего классификатора видов экономической деятельности 01.4 - «Животноводство» и 01.5 - «Смешанное сельское хозяйство»; все индивидуальные предприниматели и крестьянские или фермерские хозяйства с основным или вторичным видами деятельности по кодам Общего классификатора видов экономической деятельности 01.4 - «Животноводство» и 01.5 - «Смешанное сельское хозяйство» с численностью работников свыше 100 человек |
|||||||||||||||||||||||||
|
Ұсыну мерзімі - есепті кезеңнен кейінгі 20 қаңтарға (қоса алғанда) дейін Срок представления - до 20 января (включительно) после отчетного периода |
|||||||||||||||||||||||||
|
БСН коды БИН |
|
ЖСН коды код ИИН |
|
||||||||||||||||||||||
|
1. Мал мен құсты өсіру және мал шаруашылығы өнімін өндіру бойынша қызметті нақты жүзеге асыратын аумақты (облыс, қала, аудан) көрсетіңіз Укажите территорию (область, город, район) фактического осуществления деятельности по выращиванию скота и птицы и производству продукции животноводства |
|
||||||||||||||||||||||||
|
1.1 Аумақ коды Әкімшілік-аумақтық объектілер жіктеуішіне (бұдан әрi - ӘАОЖ1) сәйкес (статистикалық нысанды қағаз жеткізгіште тапсыру кезінде статистика органның қызметкері толтырады) Код территории согласно Классификатору административно-территориальных объектов (далее - КАТО1) (заполняется работником органа статистики при сдаче статистической формы на бумажном носителе) |
|
||||||||||||||||||||||||
2. Мал мен құс бастарының қозғалысы туралы ақпаратты көрсетіңіз, бас
Укажите информацию о движении поголовья скота и птицы, голов
|
Жолдың коды Код строки |
Көрсеткіштердің атауы Наименование показателей |
Сүтті табынның ірі қара малы, тірі Скот крупный рогатый молочного стада, живой |
Одан сүтті табынның сиырлары Из него коровы молочного стада |
Өзге де ірі қара мал мен енекелер, тірі Скот крупный рогатый прочий и буйволы, живые |
Одан етті табынның сиырлары Из него коровы мясного стада |
Жылқылар және өзге де жылқы тектес жануарлар, тірі Лошади и животные семейства лошадиных прочие, живые |
|
А |
Б |
01.41.1 |
01.41.10.110 |
01.42.1 |
01.42.11.110 |
01.43.10 |
|
1 |
Кезең басындағы саны Численность на начало периода |
х |
х |
Продолжение таблицы
|
Жолдың коды Код строки |
Көрсеткіштердің атауы Наименование показателей |
Түйелер және түйе тәрізділер, тірі Верблюды и верблюдовые, живые |
Қойлар, тірі Овцы, живые |
Ешкілер, тірі Козы, живые |
Шошқалар, тірі Свиньи, живые |
Үй құсы, тірі Домашняя птица, живая |
Шаруашылықтарда өсірілген маралдар Маралы, разведенные в хозяйствах |
Үй қояндары, тірі Кролики домашние, живые |
|
А |
Б |
01.44.10 |
01.45.11 |
01.45.12 |
01.46.10 |
01.47.1 |
01.49.19.120 |
01.49.11 |
|
1 |
Кезең басындағы саны Численность на начало периода |
Ескертпе:
Примечание:
1 ӘАОЖ Қазақстан Республикасы Ұлттық экономика министрлігі Статистика комитетінің ресми сайтында орналасқан (www.stat.gov.kz >> Жіктеуіштер>> Статистикалық жіктеулер >> Әкімшілік-аумақтық объектілер жіктеуіші)
1 КАТО размещен на официальном сайте Комитета по статистике Министерства национальной экономики Республики Казахстан (www.stat.gov.kz >> Классификаторы >> Статистические классификации >> Классификатор административно-территориальных объектов)
|
Жолдың коды Код строки |
Көрсеткіштердің атауы Наименование показателей |
Сүтті табынның ірі қара малы, тірі Скот крупный рогатый молочного стада, живой |
Одан сүтті табынның сиырлары Из него коровы молочного стада |
Өзге де ірі қара мал мен енекелер, тірі Скот крупный рогатый прочий и буйволы, живые |
Одан етті табынның сиырлары Из него коровы мясного стада |
Жылқылар және өзге де жылқы тектес жануарлар, тірі Лошади и животные семейства лошадиных прочие, живые |
Түйелер және түйе тәрізділер, тірі Верблюды и верблюдовые, живые |
|
А |
Б |
01.41.1 |
01.41.10.110 |
01.42.1 |
01.42.11.110 |
01.43.10 |
01.44.10 |
|
2 |
тірідей массасындағы салмағы, центнер вес в живой массе, центнеров |
х |
х |
||||
|
3 |
Алынған төл Получено приплода |
х |
х |
||||
|
4 |
Өз өңірі шегінде сатып алынғаны Приобретено в пределах своего региона |
х |
х |
||||
|
5 |
ауыл шаруашылығы кәсіпорнынан у сельскохозяйственных предприятий |
х |
х |
||||
|
6 |
дара кәсіпкерлерден және шаруа немесе фермер қожалықтарынан у индивидуальных предпринимателей и крестьянских или фермерских хозяйств |
х |
х |
||||
|
7 |
жұртшылық шаруашылықтарынан у хозяйств населения |
х |
х |
||||
|
8 |
Өзге де түсім Прочее поступление |
х |
х |
||||
|
9 |
Шаруашылықта сойылғаны немесе сойысқа өткізілгені Забито в хозяйстве или реализовано на убой |
х |
х |
||||
|
10 |
тірідей салмақта, центнер в живом весе, центнеров |
х |
х |
||||
|
11 |
сойыс салмақта, центнер в убойном весе, центнеров |
х |
х |
||||
|
12 |
Өлім-жітім және қырылғаны Пало и погибло |
х |
х |
||||
|
13 |
Өз өңірі шегінде сатылғаны Продано в пределах своего региона |
х |
х |
||||
|
14 |
ауыл шаруашылығы кәсіпорындарына сельскохозяйственным предприятиям |
х |
х |
||||
|
15 |
дара кәсіпкерлерге және шаруа немесе фермер қожалықтарына индивидуальным предпринимателям и крестьянским или фермерским хозяйствам |
х |
х |
||||
|
16 |
жұртшылық шаруашылықтарына хозяйствам населения |
х |
х |
||||
|
17 |
Өзге де шығыс Прочее выбытие |
х |
х |
||||
|
18 |
Кезең соңындағы саны Численность на конец периода |
||||||
|
19 |
тірідей массасындағы салмағы, центнер вес в живой массе, центнеров |
х |
х |
||||
|
20 |
Орташа басы Среднее поголовье |
х |
х |
||||
|
21 |
одан аналықтардың орташа басы из него среднее маточное поголовье |
х |
х |
||||
|
22 |
(18-жолдан) Органикалық өндіріс бойынша өндірістік бөлімшеде тұрған ауыл шаруашылығы жануарларының кезең соңындағы саны (из строки 18) Численность сельскохозяйственных животных, находящихся в производственном подразделении по органическому производству, на конец периода |
||||||
|
23 |
(11-жолдан) Органикалық өндіріс бойынша өндірістік бөлімшеде тұрған ауыл шаруашылығы жануарларының шаруашылықта сойылғаны немесе сойысқа өткізілгені, сойыс салмақта, центнер (из строки 11) Забито в хозяйстве или реализовано на убой сельскохозяйственных животных, находящихся в производственном подразделении по органическому производству, в убойном весе, центнеров |
х |
х |
Продолжение таблицы
|
Жолдың коды Код строки |
Көрсеткіштердің атауы Наименование показателей |
Қойлар, тірі Овцы, живые |
Ешкілер, тірі Козы, живые |
Шошқалар, тірі Свиньи, живые |
Үй құсы, тірі Домашняя птица, живая |
Шаруашылықтарда өсірілген маралдар Маралы, разведенные в хозяйствах |
Үй қояндары, тірі Кролики домашние, живые |
|
А |
Б |
01.45.11 |
01.45.12 |
01.46.10 |
01.47.1 |
01.49.19.120 |
01.49.11 |
|
2 |
тірідей массасындағы салмағы, центнер вес в живой массе, центнеров |
||||||
|
3 |
Алынған төл Получено приплода |
||||||
|
4 |
Өз өңірі шегінде сатып алынғаны Приобретено в пределах своего региона |
||||||
|
5 |
ауыл шаруашылығы кәсіпорнынан у сельскохозяйственных предприятий |
||||||
|
6 |
дара кәсіпкерлерден және шаруа немесе фермер қожалықтарынан у индивидуальных предпринимателей и крестьянских или фермерских хозяйств |
||||||
|
7 |
жұртшылық шаруашылықтарынан у хозяйств населения |
||||||
|
8 |
Өзге де түсім Прочее поступление |
||||||
|
9 |
Шаруашылықта сойылғаны немесе сойысқа өткізілгені Забито в хозяйстве или реализовано на убой |
||||||
|
10 |
тірідей салмақта, центнер в живом весе, центнеров |
||||||
|
11 |
сойыс салмақта, центнер в убойном весе, центнеров |
||||||
|
12 |
Өлім-жітім және қырылғаны Пало и погибло |
||||||
|
13 |
Өз өңірі шегінде сатылғаны Продано в пределах своего региона |
||||||
|
14 |
ауыл шаруашылығы кәсіпорындарына сельскохозяйственным предприятиям |
||||||
|
15 |
дара кәсіпкерлерге және шаруа немесе фермер қожалықтарына индивидуальным предпринимателям и крестьянским или фермерским хозяйствам |
||||||
|
16 |
жұртшылық шаруашылықтарына хозяйствам населения |
||||||
|
17 |
Өзге де шығыс Прочее выбытие |
||||||
|
18 |
Кезең соңындағы саны Численность на конец периода |
||||||
|
19 |
тірідей массасындағы салмағы, центнер вес в живой массе, центнеров |
||||||
|
20 |
Орташа басы Среднее поголовье |
||||||
|
21 |
одан аналықтардың орташа басы из него среднее маточное поголовье |
х |
|||||
|
22 |
(18-жолдан) Органикалық өндіріс бойынша өндірістік бөлімшеде тұрған ауыл шаруашылығы жануарларының кезең соңындағы саны (из строки 18) Численность сельскохозяйственных животных, находящихся в производственном подразделении по органическому производству, на конец периода |
||||||
|
23 |
(11-жолдан) Органикалық өндіріс бойынша өндірістік бөлімшеде тұрған ауыл шаруашылығы жануарларының шаруашылықта сойылғаны немесе сойысқа өткізілгені, сойыс салмақта, центнер (из строки 11) Забито в хозяйстве или реализовано на убой сельскохозяйственных животных, находящихся в производственном подразделении по органическому производству, в убойном весе, центнеров |
3. Кезең соңындағы жыныс-жас топтары бойынша мал мен құс түрлерінің қолда бары туралы ақпаратты көрсетіңіз (2-бөлімнің 18-жолынан)
Укажите информацию о наличии видов скота и птицы по половозрастным группам на конец периода (из строки 18 раздела 2)
|
Мал түрлері Виды скота |
АШӨСЖ2 коды бойынша Код по СКПСХ2 |
Саны, бас Численность, голов |
Мал түрлері Виды скота |
АШӨСЖ2 коды бойынша Код по СКПСХ2 |
Саны, бас Численность, голов |
|
|
А |
Б |
1 |
А |
Б |
1 |
|
|
|
|
|||||
|
|
|
|||||
|
|
|
|||||
|
|
|
|||||
|
|
|
|||||
|
|
|
|||||
|
|
|
|||||
|
|
|
|||||
|
|
|
|||||
|
|
|
|||||
|
|
|
|||||
|
|
|
|||||
|
|
|
|||||
|
|
|
|||||
|
|
|
|||||
|
|
|
|||||
|
|
|
|||||
|
|
|
|||||
|
|
|
|||||
|
|
|
|||||
|
|
|
|||||
|
|
|
|||||
|
|
|
Ескертпе:
Примечание:
2Мұнда және бұдан әрі АШӨСЖ - Қазақстан Республикасы Ұлттық экономика министрлігі Статистика комитетінің интернет-ресурсында «Жіктеуіштер» бөлімінде орналасқан Ауыл, орман және балық шаруашылығы өнімдерінің (көрсетілген қызметтердің) анықтамалығына сәйкес толтырылады
2Здесь и далее СКПСХ - заполняется согласно Справочнику продукции (услуг) сельского, лесного и рыбного хозяйства, размещенному на интернет-ресурсе Комитета по статистике Министерства национальной экономики Республики Казахстан в разделе «Классификаторы»
|
Мал түрлері Виды скота |
АШӨСЖ2 коды бойынша Код по СКПСХ2 |
Саны, бас Численность, голов |
Мал түрлері Виды скота |
АШӨСЖ2 коды бойынша Код по СКПСХ2 |
Саны, бас Численность, голов |
|
|
|
|
|||||
|
|
|
|||||
|
|
|
|||||
|
|
|
|||||
|
|
|
|||||
|
|
|
|||||
|
|
|
|||||
|
|
|
4. Фермада өсірілетін құс басы және малдардың жеке түрлері және олардың союға өткізілген көлемі туралы ақпаратты көрсетіңіз
Укажите информацию о поголовье птицы и отдельных видах животных выращиваемых на ферме и объемах их реализации на убой
|
Фермада өсірілетін құс және малдардың түрлері Виды птицы и животных выращиваемых на ферме |
АШӨСЖ2коды Код по СКПСХ2 |
Кезең соңындағы саны, бас Численность на конец периода, голов |
Есепті кезеңде шаруашылықта сойылғаны немесе союға өткізілгені Забито в хозяйстве или реализовано на убой за отчетный период |
||
|
басы голов |
тірідей салмақта, центнер в живом весе, центнер |
сойыс салмақта, центнер в убойном весе, центнер |
|||
|
А |
Б |
1 |
2 |
3 |
4 |
|
Тауықтар, тірі Куры, живые |
01.47.11 |
||||
|
Күркетауық қораздары, тірі Индюки, живые |
01.47.12 |
||||
|
Қаздар, тірі Гуси, живые |
01.47.13 |
||||
|
Үйректер Утки |
01.47.14.100 |
||||
|
Мысыр тауықтары Цесарки |
01.47.14.200 |
||||
|
Бөденелер Перепелки |
01.49.12.100 |
||||
|
Түйеқұстар Страусы |
01.49.12.200 |
||||
|
Қырғауылдар Фазаны |
01.49.12.300 |
||||
|
Фермада өсірілетін өзге де үй құстары, тірі Птица, выращиваемая на ферме прочая, живая |
01.49.12.900 |
||||
|
Фермада өсірілетін, бауырымен жорғалаушылар (жылан және тасбақаны қоса алғанда), тірі Рептилии, выращиваемые на ферме (включая змей и черепах), живые |
01.49.13.000 |
||||
|
Шаруашылықтарда өсірілген теңбіл бұғылар Олени пятнистые, разведенные в хозяйствах |
01.49.19.110 |
||||
|
Шаруашылықтарда өсірілген үзбаралар Изюбры, разведенные в хозяйствах |
01.49.19.130 |
||||
4.1 Торда өсірілетін терісі бағалы аңдардың бары туралы ақпаратты көрсетіңіз, бас
Укажите информацию о поголовье пушных зверей клеточного разведения, голов
|
Терісі бағалы аңдардың түрлері Виды пушных зверей |
АШӨСЖ2коды Код по СКПСХ2 |
Кезең соңындағы саны, бас Численность на конец периода, голов |
Терісі бағалы аңдардың түрлері Виды пушных зверей |
АШӨСЖ2коды Код по СКПСХ2 |
Кезең соңындағы саны, бас Численность на конец периода, голов |
|
А |
Б |
1 |
А |
Б |
1 |
|
Түлкі Лисица |
01.49.19.410 |
Құндыз Бобры |
01.49.19.460 |
||
|
Қара түлкі Песец |
01.49.19.420 |
Ондатр Ондатра |
01.49.19.470 |
||
|
Қара күзен Норка |
01.49.19.430 |
Күзен Хорь |
01.49.19.480 |
||
|
Саз құндызы Нутрия |
01.49.19.440 |
Жанат тәріздес ит Енотовидная собака |
01.49.19.491 |
||
|
Бұлғын Соболь |
01.49.19.450 |
Басқа топтамаларға енгізілмеген, өзге де терісі бағалы аңдар Звери пушные прочие, не включенные в другие группировки |
01.49.19.499 |
|
4.2 Кезең соңындағы ара балұясының жалпы саны туралы ақпаратты көрсетіңіз, бірлік Укажите информацию об общем количестве пчелосемей на конец периода, единиц |
|
5. Есепті кезеңде өнім алынған мал мен құстың жеке түрлерінің орташа саны туралы ақпаратты көрсетіңіз, бас
Укажите информацию о среднем поголовье отдельных видов скота и птицы, от которого получена продукция за отчетный период, голов
|
Жолдың коды Код строки |
Көрсеткіштердің атауы Наименование показателей |
Саны, бас Количество, голов |
Жолдың коды Код строки |
Көрсеткіштердің атауы Наименование показателей |
Саны, бас Количество, голов |
|
|
А |
Б |
1 |
А |
Б |
1 |
|
|
1 |
Сауын сиыр басының орташа саны Среднее поголовье дойных коров |
3 |
Тауық мекиендерінің орташа саны Среднее поголовье кур-несушек |
|||
|
2 |
Қырқылуға тиісті қой саны Количество овец, подверженных стрижке |
4 |
Елтіріге сойылған қозылар саны Количество ягнят, забитых на смушки |
6. Мал шаруашылығы өнімдерін өндіру туралы ақпаратты көрсетіңіз
Укажите информацию о производстве продукции животноводства
6.1 Мал шаруашылығы өнімдерінің жеке түрлерін өндіру, центнер
Производство отдельных видов продукции животноводства, центнер
|
Өнімдердің түрлері Виды продукции |
АШӨСЖ2коды Код по СКПСХ2 |
Өнімдерді өндіру Производство продукции |
Одан: органикалық мал шаруашылығы ның өнімдері Из него: продукции органического животноводства |
Өнімдердің түрлері Виды продукции |
АШӨСЖ2коды Код по СКПСХ2 |
Өнімдерді өндіру Производство продукции |
Одан: органикалық мал шаруашылығы ның өнімдері Из него: продукции органического животноводства |
|
|
А |
Б |
1 |
2 |
А |
Б |
1 |
2 |
|
|
Сүтті табын сиырларының шикі сүті Молоко сырое коров молочного стада |
01.41.20.110 |
Түйенің шикі сүті Молоко сырое верблюжье |
01.49.22.200 |
|||||
|
Етті табын сиырларының шикі сүті Молоко сырое коров мясного стада |
01.41.20.120 |
Өзге де шикі сүт (бұғының, өркешті сиырдың және тағы басқалары) Молоко сырое прочее (оленей, зебу и другие) |
01.49.22.900 |
|||||
|
Ұрғашы енекелердің шикі сүті Молоко сырое буйволиц |
01.41.20.210 |
Ара балауызы Воск пчелиный |
01.49.26.110 |
|||||
|
Ұрғашы қодастың (як-сиырлардың) шикі сүті Молоко сырое ячьих (яков-коров) |
01.41.20.220 |
Басқа да жәндіктердің балауызы Воск других насекомых |
01.49.26.190 |
|||||
|
Қойдың шикі сүті Молоко сырое овечье |
01.45.21.000 |
Шаруашылықтарда өсірілген марал мүйіздері Панты маралов, разведенных в хозяйствах |
01.49.28.110 |
|||||
|
Ешкінің шикі сүті Молоко сырое козье |
01.45.22.000 |
Өзге де бұғылар мүйізі Панты прочих оленей |
01.49.28.190 |
|||||
|
Тірі қойдан қырқылған жүн, жуылмаған (тобымен жуылғанды қоса алғанда), биязы Шерсть стриженная с овцы живой, немытая (включая промытую руном) тонкая |
01.45.30.110 |
Басқа топтамаларға енгізілмеген, малдан алынатын өзге де тағамдық өнімдер Продукты пищевые животного происхождения, не включенные в другие группировки, прочие |
01.49.24.900 |
|||||
|
Тірі қойдан қырқылған жүн, жуылмаған (тобымен жуылғанды қоса алғанда) биязылау Шерсть стриженная с овцы живой, немытая (включая промытую руном) полутонкая |
01.45.30.120 |
Тарқату үшін жарамды, 1 сортты, жібек құртының пілләсі Коконы шелкопряда, пригодные для размотки, 1 сорта |
01.49.25.100 |
|||||
|
Тірі қойдан қырқылған жүн, жуылмаған (тобымен жуылғанды қоса алғанда) ұяң Шерсть стриженная с овцы живой, немытая (включая промытую руном) полугрубая |
01.45.30.130 |
Тарқату үшін жарамды, 2 сортты, жібек құртының пілләсі Коконы шелкопряда, пригодные для размотки, 2 сорта |
01.49.25.200 |
|||||
|
Тірі қойдан қырқылған, жуылмаған (тобымен жуылғанды қоса алғанда) қылшық (қаракөл және елтірі қойларынан басқа) жүн Шерсть стриженная с овцы живой, немытая (включая промытую руном) грубая (кроме овец каракульских и смушковых) |
01.45.30.140 |
Тарқату үшін жарамды, стандартты емес, жібек құртының пілләсі Коконы шелкопряда, пригодные для размотки, нестандартные |
01.49.25.300 |
|||||
|
Тірі қойдан қырқылған (тобымен жуылғанды қоса алғанда), қаракөл және елтірі қойларының жуылмаған қылшық жүні Шерсть стриженная с овцы живой, немытая (включая промытую руном) грубая овец каракульских и смушковых |
01.45.30.150 |
Липаристен басқа (теңіз ұлуы) жас, салқындатылған, қатырылған, кептірілген немесе тұздықтағы ұлулар Улитки, свежие, охлажденные, мороженые, сушеные или в рассоле, кроме липариса (улиток морских) |
01.49.23.000 |
|||||
|
Ешкі жүні Шерсть козья |
01.45.30.200 |
Түйе жүні Шерсть верблюжья |
01.49.28.200 |
|||||
|
Ешкі түбіті Пух козий |
01.45.30.300 |
Мамық-қауырсын Пух-перо |
01.49.28.300 |
|||||
|
Тұт ағашының жібек құрты Шелкопряд тутовый |
01.49.19.300 |
Малдың биязы жүні Волос животных тонкий |
01.49.28.410 |
|||||
|
Тұт ағашы жібек құртының көбелегі Бабочки шелкопряда тутового |
01.49.19.310 |
Малдың қылшық жүні Волос животных грубый |
01.49.28.420 |
|||||
|
Тұт ағашы жібек құртының дернәсілі Гусеницы шелкопряда тутового |
01.49.19.320 |
Жылқы қылы Волос конский |
01.49.28.430 |
|||||
|
Табиғи бал Мед натуральный |
01.49.21.000 |
Малдан алынған өзге де тағамдық емес өнімдер Продукты непищевые животного происхождения прочие |
01.49.28.900 |
|||||
|
Биенің шикі сүті Молоко сырое кобылье |
01.49.22.100 |
6.2 Жұмыртқа өндіру, мың дана
Производство яиц, тыс.штук
|
Өнімдердің түрлері Виды продукции |
АШӨСЖ2коды Код по СКПСХ2 |
Өнімдерді өндіру Производство продукции |
Одан: органикалық мал шаруашылығы-ның өнімдері Из него: продукции органического животноводства |
Өнімдердің түрлері Виды продукции |
АШӨСЖ2коды Код по СКПСХ2 |
Өнімдерді өндіру Производство продукции |
Одан: органикалық мал шаруашылығы-ның өнімдері Из него: продукции органического животноводства |
|
|
А |
Б |
1 |
2 |
А |
Б |
1 |
2 |
|
|
Аналық табынның ересек жұмыртқа тұқымды тауықтарының жұмыртқасы Яйца кур взрослых яичных пород родительского стада |
01.47.21.100 |
Мысыр тауық жұмыртқасы Яйца цесарок |
01.47.22.400 |
|||||
|
Аналық табынның жұмыртқа тұқымды жас тауықтарының жұмыртқасы Яйца молодняка кур яичных пород родительского стада |
01.47.21.200 |
Өнеркәсіптік табынның жұмыртқа тұқымды жас тауықтарының жұмыртқасы Яйца молодняка кур яичных пород промышленного стада |
01.47.21.400 |
|||||
|
Өнеркәсіптік табынның жұмыртқа тұқымды ересек тауықтарының жұмыртқасы Яйца кур взрослых яичных пород промышленного стада |
01.47.21.300 |
Етті және етті-жұмыртқалы тұқымды ересек тауықтардың жұмыртқасы Яйца кур взрослых мясных и мясо-яичных пород |
01.47.21.500 |
|||||
|
Өзге де тауық жұмыртқасы Яйца куриные прочие |
01.47.21.900 |
Етті және етті-жұмыртқалы тұқымды жас тауықтардың жұмыртқасы Яйца молодняка кур мясных и мясо-яичных пород |
01.47.21.600 |
|||||
|
Күркетауық жұмыртқасы Яйца индеек |
01.47.22.100 |
Бөдене жұмыртқасы Яйца перепелок |
01.47.22.500 |
|||||
|
Үйрек жұмыртқасы Яйца уток |
01.47.22.200 |
Түйеқұс жұмыртқасы Яйца страусов |
01.47.22.600 |
|||||
|
Қаз жұмыртқасы Яйца гусей |
01.47.22.300 |
Өзге де құс жұмыртқасы Яйца птицы прочей |
01.47.22.900 |
6.3 Иленбеген теріні және шаруашылықта өсірілген бағалы аң терісін өндіру, дана
Производство невыделанных шкур и пушно-мехового сырья животных, разведенных в хозяйствах, штук
|
Өнімдердің түрлері Виды продукции |
АШӨСЖ2коды Код по СКПСХ2 |
Өнімдерді өндіру Производство продукции |
Өнімдердің түрлері Виды продукции |
АШӨСЖ2коды Код по СКПСХ2 |
Өнімдерді өндіру Производство продукции |
|
|
А |
Б |
1 |
А |
Б |
1 |
|
|
Қара бурыл түлкілердің терісі Шкурки лисиц черно-бурых |
01.49.31.110 |
Жанат тәрізді иттердің терісі Шкурки енотовидной собаки |
01.49.31.910 |
|||
|
Өзге де түлкілердің терісі Шкурки лисиц прочих |
01.49.31.190 |
Басқа топтамаларға енгізілмеген, бағалы аң терісінің өзге де шикізаты Сырье пушно-меховое прочее, не включенное в другие группировки |
01.49.31.990 |
|||
|
Қара түлкілердің терісі Шкурки песцов |
01.49.31.200 |
Қаракөлше Каракульча |
01.49.32.100 |
|||
|
Қара күзеннің терісі Шкурки норок |
01.49.31.300 |
Қаракөл Каракуль |
01.49.32.200 |
|||
|
Саз құндызының терісі Шкурки нутрий |
01.49.31.400 |
Елтірі Смушка |
01.49.32.300 |
|||
|
Бұлғынның терісі Шкурки соболей |
01.49.31.500 |
Бауырымен жорғалаушылардың терілері Шкуры рептилий |
01.49.39.100 |
|||
|
Құндыздардың терісі Шкурки бобров |
01.49.31.600 |
Ірі терілер Шкуры крупные |
01.49.39.200 |
|||
|
Ондатрдың терісі Шкурки ондатры |
01.49.31.700 |
Ұсақ терілер Шкуры мелкие |
01.49.39.300 |
|||
|
Үй қояндары мен қояндардың терісі Шкурки кроликов и зайцев |
01.49.31.800 |
Аңдардың өзге де терілері Шкуры животных прочих |
01.49.39.900 |
|
6.4. Қырқылған қой жүнінің жалпы мөлшерінен бастапқы өңдеуге өткізілген жүннің мөлшерін көрсетіңіз, центнер (6.1-бөлімнің 1-бағанынан 01.45.30.110, 01.45.30.120, 01.45.30.130, 01.45.30.140, 01.45.30.150 жолдар қосындысы) Из общего количества настриженной овечьей шерсти укажите количество реализованной шерсти на первичную обработку, центнер (из раздела 6.1 сумма строк 01.45.30.110, 01.45.30.120, 01.45.30.130, 01.45.30.140, 01.45.30.150 графы 1) |
|
|
6.5. Өндірілген сиыр сүтінің жалпы мөлшерінен бұзаулар мен торайларға сүт беруге пайдаланылған сиыр сүтінің көлемін көрсетіңіз, центнер (6.1-бөлімнің 1-бағанынан 01.41.20.110, 01.41.20.120 жолдар қосындысы) Из общего объема произведенного коровьего молока укажите объем коровьего молока использованного на выпойку телят и поросят, центнер (из раздела 6.1 сумма строк 01.41.20.110, 01.41.20.120 графы 1) |
|
|
6.6 Ірі қара мал мен енекелердің шәуеттерін өндіру, мөлшер Производство спермы скота крупного рогатого и буйволов, доза |
|
|
6.7 Қайта жаңғыртуға арналған жануарлардың эмбриондарын өндіру, дана Производство эмбрионов животных для воспроизводства, штук |
|
7. Мал түрлері бойынша мал азығы шығыстары туралы мәліметтерді көрсетіңіз, азық өлшемі есебіндегі центнер2
Укажите сведения о расходе кормов по видам скота, центнеров кормовых единиц2
7.1 Құнарлы мал азығы, шөп, сүрлем және пішендеме шығыстары, азық өлшемі есебіндегі центнер2
Расход концентрированных кормов, сена, силоса и сенажа, центнеров кормовых единиц2
|
Жолдың коды Код строки |
Көрсеткіштердің атауы Наименование показателя |
Сүтті табынның ірі қара малы, тірі Скот крупный рогатый молочного стада, живой |
Одан сүтті табынның сиырлары Из него коровы молочного стада |
Өзге де ірі қара мал мен енекелер, тірі Скот крупный рогатый прочий и буйволы, живые |
Одан етті табынның сиырлары Из него коровы мясного стада |
Жылқылар және өзге де жылқы тектес жануарлар, тірі Лошади и животные семейства лошадиных прочие, живые |
Түйелер және түйе тәрізділер, тірі Верблюды и верблюдовые, живые |
|
А |
Б |
01.41.1 |
01.41.10.110 |
01.42.1 |
01.42.11.110 |
01.43.10 |
01.44.10 |
|
1 |
Құнарлы мал азығының шығысы (құрама жемсіз) Расход концентрированных кормов (без комбикормов) |
||||||
|
2 |
Құрама жемдердің шығысы Расход комбикормов |
||||||
|
3 |
Шөптің шығысы Расход сена |
||||||
|
4 |
Сүрлемнің шығысы Расход силоса |
||||||
|
5 |
Пішендеменің шығысы Расход сенажа |
Продолжение таблицы
|
Жолдың коды Код строки |
Көрсеткіштердің атауы Наименование показателя |
Қойлар, тірі Овцы, живые |
Ешкілер, тірі Козы, живые |
Шошқалар, тірі Свиньи, живые |
Үй құсы, тірі Домашняя птица, живая |
Үй қояндары, тірі Кролики домашние, живые |
Шаруашылықтарда өсірілген бұғылар Олени, разведенные в хозяйствах |
Торда өсірілген терісі бағалы аңдар Звери пушные клеточного разведения |
|
А |
Б |
01.45.11 |
01.45.12 |
01.46.10 |
01.47.1 |
01.49.11 |
01.49.19.100 |
01.49.19.400 |
|
1 |
Құнарлы мал азығының шығысы (құрама жемсіз) Расход концентрированных кормов (без комбикормов) |
|||||||
|
2 |
Құрама жемдердің шығысы Расход комбикормов |
|||||||
|
3 |
Шөптің шығысы Расход сена |
х |
х |
|||||
|
4 |
Сүрлемнің шығысы Расход силоса |
|||||||
|
5 |
Пішендеменің шығысы Расход сенажа |
7.2 Мал түрлері бойынша басқа мал азығы түрлерінің шығыстары, азық өлшемі есебіндегі центнер3
Расход других видов кормов по видам скота, центнеров кормовых единиц3
|
Мал азықтарының түрлері Виды кормов |
АШӨСЖ1 коды бойынша2 Код по СКПСХ2 |
Сүтті табынның ірі қара малы, тірі Скот крупный рогатый молочного стада, живой |
Одан сүтті табынның сиырлары Из него коровы молочного стада |
Өзге де ірі қара мал мен енекелер, тірі Скот крупный рогатый прочий и буйволы, живые |
Одан етті табынның сиырлары Из него коровы мясного стада |
Жылқылар және өзге де жылқы тектес жануарлар, тірі Лошади и животные семейства лошадиных прочие, живые |
Түйелер және түйе тәрізділер, тірі Верблюды и верблюдовые, живые |
|
А |
Б |
01.41.1 |
01.41.10.110 |
01.42.1 |
01.42.11.110 |
01.43.10 |
01.44.10 |
|
Дәнді дақылдардың сабаны және қауызы Солома и шелуха зерновых культур |
01.11.50.000 |
||||||
|
Азықтық тамыр жемісті дақылдар Культуры кормовые корнеплодные |
01.19.10. 110 |
||||||
|
Азықтық бақша дақылдары Культуры кормовые бахчевые |
01.19.10. 120 |
||||||
|
Азықтық дәнді дақылдар Культуры кормовые зерновые |
01.19.10.130 |
||||||
|
Азықтық дәнді бұршақ дақылдары Культуры кормовые зернобобовые |
01.19.10.140 |
||||||
|
Шабындықтар мен дақылды жайылымдардың (егілген) бір жылдық шөптерінен көк азық Корм зеленый из однолетних трав сенокосов и пастбищ культурных (сеяных) |
01.19.10.412 |
||||||
|
Шабындықтар мен дақылды жайылымдардың (егілген) көп жылдық шөптерінен көк азық Корм зеленый из многолетних трав сенокосов и пастбищ культурных (сеяных) |
01.19.10.422 |
||||||
|
Жабайы өсетін шөптерді қоса алғанда, шабындықтар мен табиғи жайылымдар шөптерінен көк азық Корм зеленый из трав сенокосов и пастбищ естественных (природных), включая травы дикорастущие |
01.19.10.520 |
||||||
|
Өзге де азықтық дақылдар Культуры кормовые прочие |
01.19.10.900 |
Продолжение таблицы
|
Мал азықтарының түрлері Виды кормов |
АШӨСЖ1 коды бойынша2 Код по СКПСХ2 |
Қойлар, тірі Овцы, живые |
Ешкілер, тірі Козы, живые |
Шошқалар, тірі Свиньи, живые |
Үй құсы, тірі Домашняя птица, живая |
Үй қояндары, тірі Кролики домашние, живые |
Шаруашылықтарда өсірілген бұғылар Олени, разведенные в хозяйствах |
Торда өсірілген терісі бағалы аңдар Звери пушные клеточного разведения |
|
А |
Б |
01.45.11 |
01.45.12 |
01.46.10 |
01.47.1 |
01.49.11 |
01.49.19.100 |
01.49.19.400 |
|
Дәнді дақылдардың сабаны және қауызы Солома и шелуха зерновых культур |
01.11.50.000 |
х |
х |
|||||
|
Азықтық тамыр жемісті дақылдар Культуры кормовые корнеплодные |
01.19.10. 110 |
|||||||
|
Азықтық бақша дақылдары Культуры кормовые бахчевые |
01.19.10. 120 |
|||||||
|
Азықтық дәнді дақылдар Культуры кормовые зерновые |
01.19.10.130 |
|||||||
|
Азықтық дәнді бұршақ дақылдары Культуры кормовые зернобобовые |
01.19.10.140 |
|||||||
|
Шабындықтар мен дақылды жайылымдардың (егілген) бір жылдық шөптерінен көк азық Корм зеленый из однолетних трав сенокосов и пастбищ культурных (сеяных) |
01.19.10.412 |
|||||||
|
Шабындықтар мен дақылды жайылымдардың (егілген) көп жылдық шөптерінен көк азық Корм зеленый из многолетних трав сенокосов и пастбищ культурных (сеяных) |
01.19.10.422 |
|||||||
|
Жабайы өсетін шөптерді қоса алғанда, шабындықтар мен табиғи жайылымдар шөптерінен көк азық Корм зеленый из трав сенокосов и пастбищ естественных (природных), включая травы дикорастущие |
01.19.10.520 |
|||||||
|
Өзге де азықтық дақылдар Культуры кормовые прочие |
01.19.10.900 |
Ескертпе:
Примечание:
3 Осы бөлімді толтырған кезде осы статистикалық нысанға сәйкес «Негізгі мал азықтарының құнарлығы» 1-қосымшасында келтірілген мал азығы бірліктері қолданылады
3 При заполнении данного раздела учитываются кормовые единицы согласно «Питательности основных кормов»приведенные в приложении 1 к данной статистической форме
|
Атауы Наименование _________________________ ______________________________________ |
Мекенжайы Адрес __________________________ ________________________________ |
||||
|
Телефоны Телефон _______________________________ |
Электрондық пошта мекенжайы (респонденттің) Адрес электронной почты (респондента) ________________________ |
||||
|
Алғашқы статистикалық деректерді таратуға келісеміз4 Согласны на распространение первичных статистических данных4 |
|
Алғашқы статистикалық деректерді таратуға келіспейміз4 Не согласны на распространение первичных статистических данных4 |
|
||
|
Орындаушы Исполнитель |
_______________________________________ тегі, аты және әкесінің аты (бар болған жағдайда) фамилия, имя и отчество (при его наличии) |
_________________ қолы, телефоны подпись, телефон |
|||
|
Бас бухгалтер Главный бухгалтер |
_____________________________________ тегі, аты және әкесінің аты (бар болған жағдайда) фамилия, имя и отчество (при его наличии) |
_________________ қолы подпись |
|||
|
Басшы немесе оның міндетін атқарушы тұлға Руководитель или лицо, исполняющее его обязанности |
______________________________________ тегі, аты және әкесінің аты (бар болған жағдайда) фамилия, имя и отчество (при его наличии) |
_________________ қолы подпись |
|||
Ескертпе:
Примечание:
4 Аталған тармақ «Мемлекеттік статистика туралы» Қазақстан Республикасының 2010 жылғы 19 наурыздағы Заңының 8-бабының 5-тармағына сәйкес толтырылады
4 Данный пункт заполняется согласно пункту 5 статьи 8 Закона Республики Казахстан от 19 марта 2010 года «О государственной статистике»
Приложение
к статистической форме
общегосударственного статистического
наблюдения «Отчет о состоянии
животноводства»
(код 141112201, индекс 24-сх,
периодичность годовая)
Питательность основных кормов
(в 1 килограмм натурального корма содержится кормовых единиц)
|
Корма |
Кормовые единицы |
Корма |
Кормовые единицы |
|
Зерно |
Солома |
||
|
Овес |
1,00 |
Ржаная |
0,22 |
|
Ячмень |
1,13 |
Пшеничная |
0,20 |
|
Кукуруза |
1,34 |
Ячменная |
0,33 |
|
Пшеница |
1,19 |
Овсяная |
0,31 |
|
Горох |
1,17 |
Силос |
|
|
Вика |
1,16 |
Разнотравный средний |
0,18 |
|
Бобы |
1,20 |
Злаково-разнотравный |
0,13 |
|
Люпин |
1,10 |
Клеверно-тимофеечный |
0,20 |
|
Соя |
1,31 |
Подсолнечниковый |
0,16 |
|
Отходы промышленного производства |
Кукурузный |
0,16 |
|
|
Жмых подсолнечниковый |
1,15 |
Овсяный |
0,18 |
|
Жмых льяной |
1,17 |
Корнеклубнеплоды |
|
|
Жмых соевый |
1,27 |
Свекла кормовая |
0,12 |
|
Шрот подсолнечниковый |
0,93 |
Свекла сахарная |
0,24 |
|
Шрот льяной |
1,02 |
Свекла полусахарная |
0,17 |
|
Шрот хлопчатниковый |
0,97 |
Морковь |
0,14 |
|
Шрот соевый |
1,18 |
Картофель |
0,31 |
|
Отруби пшеничные |
0,71 |
Турнепс |
0,09 |
|
Корма животного происхождения |
Брюква |
0,13 |
|
|
Мука мясо-костная |
0,90 |
Трава естественных пастбищ |
|
|
Мука рыбная |
0,83 |
Луговая |
0,21 |
|
Дрожжи гидролизные |
1,06 |
Суходольного луга |
0,23 |
|
Обрат свежий |
0,20 |
Низинного луга |
0,19 |
|
Обрат сухой |
1,94 |
Лесного пастбища |
0,19 |
|
Мука кровяная |
0,92 |
Болотная |
0,19 |
|
Сено |
Трава сеяных пастбищ и сенокосов |
||
|
Естественного разнотравья |
0,44 |
Злаково-разнотравного пастбища |
0,26 |
|
Луговое хорошее |
0,60 |
Злаково-бобового пастбища (1-е стравливание) |
0,23 |
|
Луговое среднее |
0,42 |
Ежа сборная |
0,23 |
|
Луговое плохое |
0,32 |
Костер безостый |
0,29 |
|
Тимофеечное |
0,46 |
Лисохвост |
0,19 |
|
Клеверное хорошее |
0,59 |
Мятлик луговой |
0,24 |
|
Злаковое смешанное |
0,51 |
Овсяница луговая |
0,22 |
|
Клеверное среднее |
0,52 |
Тимофеевка |
0,25 |
|
Клеверное плохое |
0,36 |
Клевер красный |
0,20 |
|
Люцерновое 1-го укоса |
0,49 |
Клеверная отава |
0,23 |
|
Люцерновое 2-го укоса |
0,54 |
Люцерна |
0,21 |
|
Клеверно-тимофеечное |
0,46 |
Клевер с тимофеевкой |
0,19 |
|
Горохо-овсяное |
0,55 |
Трава однолетних посевных культур |
|
|
Лесное |
0,46 |
Рожь |
0,17 |
|
Осоковое |
0,38 |
Кукуруза |
0,16 |
|
Травяная мука |
Овес |
0,24 |
|
|
Люцерновая |
0,76 |
Горох |
0,16 |
|
Клеверная |
0,67 |
Вика |
0,17 |
|
Злаково-разнотравная |
0,67 |
Горох+овес |
0,18 |
|
Вика с овсом |
0,58 |
Вика+овес |
0,17 |
|
Горох с овсом |
0,69 |
Кормовая капуста |
0,13 |
|
Эспарцет |
0,61 |
Приложение 6
к приказу Председателя
Комитета по статистике
Министерства национальной
экономики Республики Казахстан
от 24 декабря 2018 года № 12
Приложение 27
к приказу Председателя
Комитета по статистике
Министерства национальной
экономики Республики Казахстан
от 20 ноября 2017 года № 180
Инструкция по заполнению статистической формы общегосударственного статистического наблюдения «Отчет о состоянии животноводства» (код 141112201, индекс 24-сх, периодичность годовая)
1. Настоящая инструкция по заполнению статистической формы общегосударственного статистического наблюдения «Отчет о состоянии животноводства» (код 141112201, индекс 24-сх, периодичность годовая) разработана в соответствии с подпунктом 8) статьи 12 Закона Республики Казахстан от 19 марта 2010 года «О государственной статистике» и детализирует заполнение статистической формы общегосударственного статистического наблюдения «Отчет о состоянии животноводства» (код 141112201, индекс 24-сх, периодичность годовая) (далее - статистическая форма).
2. Следующие определения применяются в целях заполнения данной статистической формы:
1) зеленые корма - травы естественных и улучшенных лугов и пастбищ, а также специально выращиваемые культуры для зеленой подкормки. Особенность зеленых кормов - высокое содержание влаги (70 - 85%);
2) концентрированные корма - корма с высоким содержанием питательных веществ. Основную часть концентрированных кормов составляет зерно злаковых и бобовых культур. К концентрированным кормам относятся отруби, жмых и шроты, отходы производства растительного масла, жом и патока, отходы крахмало-паточного, спиртового, пивоваренного производства и виноделия, корма животного происхождения: рыбная, мясная, мясокостная, кровяная и костная мука, кормовые дрожжи, витамины и травяная мука;
3) комбикорм - смесь очищенных от примесей и измельченных до необходимых размеров различных кормов и кормовых добавок, обеспечивающая полноценное кормление животных определенного вида, типа и продуктивности;
4) органическое животноводство - разведение сельскохозяйственных животных в условиях, обеспечивающих полный доступ к естественным источникам кормов, с использованием экстенсивных и естественных методов разведения;
5) регион (для данного статистического наблюдения) - область, город республиканского значения;
6) сено - корм, полученный в результате обезвоживания травы и содержащий не более 17% массовой доли влаги;
7) сенаж - корм, приготовленный из трав, убранных в ранние фазы вегетации, провяленных до влажности не менее 40%, и хранящихся в анаэробных условиях;
8) солома - сухие стебли злаковых и бобовых зерновых культур, остающиеся после обмолота, также стебли льна, конопли, кенафа и других растений, освобожденные от листьев, соцветий и семян;
9) убойный вес - фактическая масса парной туши животного после полной ее обработки (без головы, шкуры, конечностей и внутренних органов), выраженная в килограммах;
10) силос - сочный корм для сельскохозяйственных животных, обладает высокими питательными свойствами, по своей калорийности, витаминности и диетическим свойствам сравним со свежей травой.
3. Юридические лица и (или) их структурные и обособленные подразделения, индивидуальные предприниматели, крестьянские или фермерские хозяйства, осуществляющие деятельность в сфере животноводства на территории нескольких районов или областей, представляют статистическую форму на отдельных бланках, выделяя информацию по каждой территории, отражающую по месту фактического осуществления деятельности по выращиванию скота и птицы и производству продукции животноводства.
При делегирований полномочий юридическим лицом по сдаче статистической формы структурному подразделению юридического лица, данный статистической формы представляются по месту своего нахождения в территориальные органы статистики.
4. В разделе 1 указывается территория (область, город, район) фактического осуществления деятельности по выращиванию скота и птицы и производству продукции животноводства.
5. В строке 1 раздела 2 отражается фактическое наличие в хозяйстве скота и птицы по видам по состоянию на 1 января отчетного года, независимо от того, находился он на скотном дворе хозяйства или в отгоне на пастбищах. К числу коров молочного и мясного стада относятся коровы основного стада, включая отелившихся телок после перевода их в основное стадо, сухостойных и яловых коров и телки, достигшие 27 месяцев.
По строке 3 раздела 2 отражается приплод, родившийся в отчетном году живым от маток, принадлежащих хозяйству, включая приплод, который впоследствии был продан, забит или пал, за исключением мертворожденного приплода. В количество полученного приплода не включается молодняк рождения отчетного года, приобретенный хозяйством со стороны.
По строке 4 раздела 2 записываются все случаи приобретения скота и птицы хозяйством (купленные, полученные в порядке обмена, дарения, за случайные услуги, в долг или в уплату долга и другие) в пределах своего региона у сельхозпредприятий, индивидуальных предпринимателей и крестьянских или фермерских хозяйств и хозяйств населения.
По строке 8 раздела 2 отражается количество голов скота и птицы, приобретенных в других регионах республики, и из-за границы (импорт).
В строке 9 раздела 2 отражается количество голов скота и птицы, забитых хозяйством (самостоятельно или на бойне), мясо которых предназначено для использования на собственные нужды, для продажи или выдачи организациям, предприятиям и работникам хозяйства, в том числе по бартерным сделкам. В данной строке отражается количество голов скота и птицы, проданных на убой заготовительным организациям, перерабатывающим предприятиям, через сеть общественного питания (столовые, рестораны, кафе), торговую сеть, включая рынки, и на экспорт.
В строках 10 и 11 раздела 2 отражается вес забитых или реализованных на убой скота и птицы в живой и убойной массе. По овцам учитывается поголовье приплода, забитого на каракульские смушки (при определении живого веса одной головы забитых на мясо овец, живой вес приплода, забитого на каракульские смушки не учитывается).
В строку 12 раздела 2 включается все количество павшего скота и птицы за отчетный год (от пожаров, стихийных бедствий, утонувшего и другие), включая павший молодняк рождения текущего года. Также включается вынужденно забитый скот, мясо не подлежащий к использованию в пищу или использовано только на корм сельскохозяйственному скоту и птице, и другим домашним животным.
По строке 13 раздела 2 записываются все случаи выбытия живого скота (продажа, обмен, дарение, за случайные услуги, в долг или в уплату долга, оплаты труда) в пределах своего региона в сельхозпредприятия, к индивидуальным предпринимателям и в крестьянские или фермерские хозяйства и хозяйства населения.
По строке 17 раздела 2 отражается количество голов скота и птицы, вывезенных в другие регионы республики, за границу (на экспорт) и другие случаи выбытия скота (хищение).
По строке 18 раздела 2 отражается количество скота и птицы на конец года, принадлежащих хозяйству, независимо от того, находились ли они на скотном дворе хозяйства или в отгоне на пастбищах.
В строке 20 раздела 2 среднее поголовье рассчитывается путем деления суммы кормодней поголовья за год на число дней данного года. Кормоднем считается пребывание в хозяйстве одной головы скота в течение суток.
Среднее поголовье рассчитывается по формуле средней хронологической:
где,
Х - среднее поголовье за отчетный период;
х1 - численность поголовья на 1-ую дату отчетного периода, на 1 января отчетного года;
х2 - численность поголовья на 2-ую дату отчетного периода, на 1 февраля отчетного года;
х3 - численность поголовья на 3-ую дату отчетного периода, на 1 марта отчетного года;
хn - численность поголовья на последнюю дату отчетного периода, на 1 января следующего года;
n - число месяцев в отчетном периоде.
В случаях отсутствия помесячных данных среднее поголовье может быть исчислено как среднее арифметическое на начало и конец отчетного года.
Аналогично рассчитывается строка 21 раздела 2. В качестве базы для исчисления данного показателя берется число маток, способных дать приплод в отчетном году.
По строке 22 из строки 18 раздела 2 выделяется численность сельскохозяйственных животных на конец года, находящихся в производственном подразделении по органическому производству.
По строке 23 из строки 11 раздела 2 выделяется убойный вес забитых в хозяйствах или реализованных на убой сельскохозяйственных животных, находящихся в производственном подразделении по органическому производству.
6. В разделе 3 указываются все виды скота и птицы, указанные по строке 18 раздела 2, по половозрастным группам, в соответствии со Справочником продукции (услуг) сельского, лесного и рыбного хозяйства, размещенного на интернет-ресурсе Комитета по статистике Министерства национальной экономики Республики Казахстан (www.stat.gov.kz).
7. В разделе 4 указывается поголовье отдельных видов животных выращенные на ферме, которые не учтены в разделе 2 и поголовье птицы по видам и реализация их на убой. По графе 1 отражается фактическое наличие в хозяйстве птицы и животных, выращенных на ферме по видам на конец отчетного года. По графе 2 отражается количество голов скота и птицы, забитых хозяйством (самостоятельно или на бойне), мясо которых предназначено для использования на собственные нужды, для продажи или выдачи организациям, предприятиям, работникам хозяйства и по бартерным сделкам. В данной строке отражается количество голов скота и птицы, проданных на убой заготовительным организациям, перерабатывающим предприятиям, через сеть общественного питания (столовые, рестораны, кафе), торговую сеть, включая рынки и на экспорт. В графах 3 и 4 отражается вес забитых или реализованных на убой скота и птицы в живой и убойной массе.
В подразделе 4.1 показывается поголовье пушных зверей клеточного содержания на конец отчетного года. В подразделе 4.2 показывается количество пчелосемей на отчетную дату.
8. В разделе 5 указывается среднее поголовье отдельных видов скота и птицы, от которых получена продукция в отчетном году. Среднее поголовье дойных коров, кур-несушек рассчитывается аналогично показателю «среднегодовое поголовье» раздела 2. По овцам, подверженным стрижке, показывается поголовье овец, с которых получена шерсть в отчетном году.
9. В разделе 6 отражаются данные о производстве отдельных видов продукции животноводства, с выделением по каждой строке данных о производстве продукции органического животноводства.
В подразделе 6.1 по производству молока сырого коровьего, овечьего, козьего, кобыльего, верблюжьего отражается фактически надоенное за период, независимо от того, было ли оно реализовано или часть его потреблена в хозяйстве, в том числе на выпойку телят и поросят. Молоко, высосанное телятами, ягнятами, козлятами, жеребятами и верблюжатами при подсосном их содержании, в продукцию не включается.
По показателю «Производство шерсти» отражается фактически настриженная овечья, козья, верблюжья шерсти, независимо реализована она или использована на внутрихозяйственные нужды. Шерсть, полученная с овчин при промышленной переработке их на кожу (так называемая «кислая шерсть») в продукцию не включается. Вес шерсти показывается физический, непосредственно после стрижки овец.
К продуктам пищевым животного происхождения, не включенные в другие группировки, прочим относятся продукты, получаемые от живых животных, пригодные для употребления в пищу человеком, не вошедшие в другие позиции.
В подразделе 6.2 по производству куриных яиц, яиц индеек, уток, гусей, цесарок, перепелок, страусов и прочих яиц отражается их сбор за отчетный период, включая яйца, использованные на воспроизводство птицы (в том числе инкубацию).
В подразделе 6.3 к шкуркам смушковых ягнят относятся каракульча, каракуль и смушка.
К крупным шкурам относятся шкуры крупного рогатого скота, лошадей, верблюдов и другие шкуры в парном состоянии весом свыше 10 килограмм.
К мелким шкурам относятся шкуры овец, коз, телят, жеребят, верблюжат и другие шкуры в парном состоянии весом менее 10 килограмм.
В подразделе 6.4 указывается из общего количества настриженной овечьей шерсти количество реализованной шерсти на первичную обработку. К первичной обработке шерсти относится сортировка, трепание, промывание и сушка шерсти.
10. В разделе 7 учитывается все расходы кормов за год по видам кормов и по группам скота. Физическая масса каждого вида кормов, скормленных соответствующей группе скота, через нормативы питательности кормов переводится в кормовые единицы.
В культуры кормовые зерновые и зернобобовые включается зеленая масса всех видов зерновых и зернобобовых культур, использованная на корм скоту. Фуражное зерно учитывается в концентрированных кормах.
При заполнении раздела 7 сено, солома и шелуха не используемые для кормления не учитываются свиней и домашней птицы.
11. Представление данной статистической формы осуществляется на бумажном носителе или в электронном виде. Заполнение статистической формы в электронном виде осуществляется посредством информационной системы «Сбор данных в on-line режиме», размещенного на интернет-ресурсе Комитета по статистике Министерства национальной экономики Республики Казахстан (www.stat.gov.kz).
12. Примечание: х - данная позиция не подлежит заполнению.
13. Арифметико-логический контроль:
1) Раздел 2 «Движение поголовья скота и птицы»:
строка 1 за отчетный год = строке 18 отчета за предыдущий год, для каждой графы;
строка 2 за отчетный год = строке 19 отчета за предыдущий год, для каждой графы;
если строка 1 > 0, то строка 2 > 0, для каждой графы;
строка 4 = сумма строк 5-7, кроме кодов 01.41.10.110 и 01.42.11.110, для каждой графы;
если строка 9 > 0, то строка 10 и строка 11 > 0, для каждой графы, кроме кодов 01.41.10.110 и 01.42.11.110;
строка 10 > строки 11, кроме кодов 01.41.10.110 и 01.42.11.110, для каждой графы;
если строка 18 > 0, то строка 19 > 0, для каждой графы;
строка 3 > 0, тогда строка 2 1 > 0, кроме кода 01.47.1, для каждой графы;
если строка 10 > 0, тогда строка 11 > 0, кроме кодов 01.41.10.110 и 01.42.11.110, для каждой графы;
строка 13 = сумма строк 14 - 16, кроме кодов 01.41.10.110 и 01.42.11.110, для каждой графы;
строка 18 = строка 1 + строка 3 + строка 4 + строка 8 - строка 9 - - строка 12 - строка 13 - строка 17;
графа 01.41.1 ≥ графы 01.41.10.110, для каждой строки;
графа 01.42.1 ≥ графы 01.42.11.110, для каждой строки;
строка 18 ≥ строки 22, для каждой графы;
строка 22 ≤ строки 18, для каждой графы;
строка 11 ≥ строки 23, для каждой графы, кроме кодов 01.41.10.110 и 01.42.11.110;
строка 23 ≤ строки 11, для каждой графы, кроме кодов 01.41.10.110 и 01.42.11.110;
2) Раздел 4 «Поголовье скота и птицы и объемы их реализации на убой»:
если строка 2 > 0, то строка 3 > 0 и 4 > 0, для каждой строки;
строка 3 > строки 4, для каждой строки;
3) Подраздел 6.1 «Производство отдельных видов продукции животноводства»:
графа 1 ≥ графы 2, для каждой строки;
графа 2 ≤ графы 1, для каждой строки;
4) Подраздел 6.2 «Производство яиц»:
графа 1 ≥ графы 2, для каждой строки;
графа 2 ≤ графы 1, для каждой строки;
5) Раздел 7 «Расход кормов по видам скота»:
графа 01.41.1 ≥ графа 01.41.10.110, для каждой строки;
графа 01.42.1 ≥ графа 01.42.11.110, для каждой строки;
6) Контроль между разделами:
если строка 18 раздела 2 > 0, то раздел 3 > 0 по соответствующим кодам;
сумма кодов 01.47.11, 01.47.12, 01.47.13, 01.47.14.100, 01.47.14.200 раздела 4 графы 1 = разделу 2 по коду 01.47.1 строке 18;
сумма кодов 01.47.11, 01.47.12, 01.47.13, 01.47.14.100, 01.47.14.200 раздела 4 графы 2 = разделу 2 по коду 01.47.1 строке 9;
сумма кодов 01.47.11, 01.47.12, 01.47.13, 01.47.14.100, 01.47.14.200 раздела 4 графы 3 = разделу 2 по коду 01.47.1 строке 10;
сумма кодов 01.47.11, 01.47.12, 01.47.13, 01.47.14.100, 01.47.14.200 раздела 4 графы 4 = разделу 2 по коду 01.47.1 строке 11;
если строка 1 графа 1 раздела 5 > 0, то строка 21 раздела 2 по кодам 01.41.1 и/или 01.42.1 > 0;
строка 4 графа 1 раздела 5 ≤ строки 9 раздела 2 по коду 01.45.11;
если графа 1 раздела 6.1 сумма по кодам 01.41.20.110 и 01.41.20.120 > 0, то строка 1 графы 1 раздела 5 > 0;
если графа 1 раздела 6.1 сумма по кодам 01.45.30.110, 01.45.30.120, 01.45.30.130, 01.45.30.140, 01.45.30.150 > 0, то строка 2 графы 1 раздела 5 > 0;
если графа 1 разд. 6.2 сумма по кодам 01.47.21.100, 01.47.21.200, 01.47.21.300, 01.47.21.400, 01.47.21.500, 01.47.21.600, 01.47.21.900 > 0, то строка 3 графы 1 раздела 5 > 0;
если графа 1 раздела 6.3 сумма по кодам 01.49.32.100, 01.49.32.200, 01.49.32.300 > 0, то строка 4 графы 1 раздела 5 > 0;
код 01.49.39.200 графы 1 раздела 6.3 ≤ раздел 2 строка 9 + строка 12 по сумме кодов 01.41.1 + 01.42.1 + 01.43.10 + 01.44.10;
код 01.49.39.200 + 01.49.39.300 графы 1 раздела 6.3 ≤ раздел 2 строка 9 + + строка 12 по сумме кодов 01.41.1 + 01.42.1 + 01.43.10 + 01.44.10 + 01.45.11 + + 01.45.12;
подраздел 6.4 ≤ сумме кодов 01.45.30.110, 01.45.30.120, 01.45.30.130, 01.45.30.140, 01.45.30.150 графы 1 раздела 6.1;
подраздел 6.5 ≤ сумме кодов 01.41.20.110, 01.41.20.120 графы 1 разд. 6.1;
14. Дополнительные контроли являются допустимыми и предусмотрены с целью снижения вероятности появления случайных ошибок регистрации, которые возникают из-за описок и невнимательности респондентов:
при заполнении строк 9 и 10 раздела 2 учитывается средний живой вес одной головы скота и птицы (отношение строки 10 к строке 9), не выходит за следующие пределы. Минимальное допустимое значение среднего живого веса одной головы крупного рогатого скота - 230 килограмм (далее - кг), максимально допустимое - 550 кг. Для коров эти пределы составляют соответственно 380 кг и 550 кг; лошадей - 270 кг и 600 кг; верблюдов - 370 кг и 1000 кг; овец и коз - 30 кг и 65 кг; свиней - 70 кг и 150 кг; маралов - 250 кг и 300 кг; домашней птицы - 0,5 кг и 8 кг; кроликов - 2,5 кг и 4 кг; птицы, выращиваемой на ферме - 1 кг и 8 кг, для прочих животных - 250 кг и 350 кг;
при заполнении строки 11 раздела 2 учитывается, что коэффициент выхода убойной массы скота и птицы, реализованных на убой в живом весе (отношение строки 11 к строке 10, выраженное в процентах), находится в следующих пределах. Для крупного рогатого скота коэффициент убойного выхода составляет 50-59%, лошадей - 48-53%, верблюдов - 48-54%, овец и коз - 43-58%, свиней - 66-78%, домашней птицы - 61-80%, кроликов - 50%, маралов - 45-48%;
при заполнении раздела 6.1 учитывается надой молока в расчете на одну корову не превышает 23 кг в день (отношение произведенного коровьего молока к среднему поголовью дойных коров), а средний настриг шерсти с одной овцы - 4,5 кг (отношения произведенного количества шерсти к количеству овец подверженных стрижке);
при заполнении раздела 6.2 учитывается средняя яйценоскость кур-несушек - 30 штук в месяц (отношение производства яиц куриных к среднему поголовью кур-несушек).
В случаях не соблюдении вышеприведенный ограничений, вместе с отчетом по статистической форме предоставляются в органы статистики соответствующие пояснения.
Приложение 7
|
|
Мемлекеттік статистика органдары құпиялылығына кепілдік береді Конфиденциальность гарантируется органами государственной статистики |
к приказу Председателя Комитета по статистике Министерства национальной экономики Республики Казахстан от 24 декабря 2018 года № 12 Қазақстан Республикасы Ұлттық кономика министрлігі Статистика комитеті төрағасының 2018 жылғы 24 желтоқсандағы № 12 бұйрығына 7-қосымша |
||||||||||||||||||||||
|
Жалпымемлекеттік статистикалық байқаудың статистикалық нысаны Статистическая форма общегосударственного статистического наблюдения |
Приложение 28 к приказу Председателя Комитета по статистике Министерства национальной экономики Республики Казахстан от 20 ноября 2017 года № 180 |
|||||||||||||||||||||||
|
Аумақтық статистика органына ұсынылады Представляется территориальному органу статистики |
|
|||||||||||||||||||||||
|
Статистикалық нысан www.stat.gov.kz сайтына орналастырылған Статистическая форма размещена на сайте www.stat.gov.kz |
||||||||||||||||||||||||
|
Мемлекеттік статистиканың тиісті органдарына анық емес бастапқы статистикалық деректерді ұсыну және бастапқы статистикалық деректерді белгіленген мерзімде ұсынбау «Әкімшілік құқық бұзушылық туралы» Қазақстан Республикасы Кодексінің 497-бабында көзделген әкімшілік құқық бұзушылықтар болып табылады Представление недостоверных и непредставление первичных статистических данных в соответствующие органы государственной статистики в установленный срок являются административными правонарушениями, предусмотренными статьей 497 Кодекса Республики Казахстан «Об административных правонарушениях» |
||||||||||||||||||||||||
|
Статистикалық нысан коды 141112215 Код статистической формы 141112215 |
Ауыл шаруашылығы кәсіпорындарында ауыл шаруашылығы мақсатындағы құрылыстар мен имараттардың қолда бары |
|||||||||||||||||||||||
|
49-сх |
Наличие в сельскохозяйственных предприятиях построек и сооружений сельскохозяйственного назначения |
|||||||||||||||||||||||
|
Жылдық Годовая |
Есепті кезең Отчетный период |
|
жыл год |
|||||||||||||||||||||
|
Экономикалық қызмет түрлері жалпы жіктеуішінің 01.1 Көп жылдық емес дақылдарды өсіру, 01.2 Көп жылдық дақылдарды өсіру, 01.3 - «Көшеттік өнімдер өндіру», 01.4 Мал шаруашылығы, 01.5 Аралас ауыл шаруашылығы, 01.6 Ауыл шаруашылығы саласындағы қосалқы қызмет түрлері (ауылшаруашылық дақылдарын өсіру және мал басын көбейту) кодтары бойынша негізгі немесе қосалқы қызмет түрлерімен заңды тұлғалар және (немесе) олардың құрылымдық және оқшауланған бөлімшелері ұсынады Представляют юридические лица и (или) их структурные и обособленные подразделения с основным или вторичным видами деятельности по кодам Общего классификатора видов экономической деятельности 01.1 Выращивание сезонных культур, 01.2 Выращивание многолетних культур, 01.3 «Производство продукции питомников», 01.4 Животноводство, 01.5 Смешанное сельское хозяйство, 01.6 Вспомогательные виды деятельности в области сельского хозяйства (выращивание сельскохозяйственных культур и разведение животных) |
||||||||||||||||||||||||
|
Ұсыну мерзімі - есепті кезеңнен кейінгі 10 сәуірге (қоса алғанда) дейін Срок представления - до 10 апреля (включительно) после отчетного периода |
||||||||||||||||||||||||
|
БСН коды Код БИН |
|
|||||||||||||||||||||||
|
1. Ауылшаруашылығы құрылыстары мен имараттарының нақты орналасқан аумағын (облыс, қала, аудан, елді мекен) көрсетіңіз Укажите территорию (область, город, район, населенный пункт) фактического нахождения сельскохозяйственных построек и сооружений |
|
|
1.1. Аумақ коды Әкімшілік-аумақтық объектілер жіктеуішіне сәйкес (бұдан әрi - ӘАОЖ¹) (статистикалық нысанды қағаз жеткізгіште тапсыру кезінде статистика органының қызметкері толтырады) Код территории согласно Классификатору административно-территориальных объектов (далее - КАТО¹) (заполняется работником органа статистики при сдаче статистической формы на бумажном носителе) |
|
2. Есепті жылдың соңына өсімдік шаруашылығындағы құрылыстардың және имараттардың қолда бары туралы ақпаратты көрсетіңіз
Укажите информацию о наличии построек и сооружений в растениеводстве на конец отчетного года
|
Көрсеткіштің атауы Наименование показателя |
Коды² Код² |
Құрылыстар және имараттар Постройки и сооружения |
Соның ішінде күрделілер В том числе капитальные |
||||||
|
саны, бірлікпен количество, в единицах |
жалпы ауданы, шаршы метрмен общая площадь, в квадратных метрах |
сыйымдылығы, тоннамен вместимость, в тоннах |
құны, мың теңгемен стоимость, в тысячах тенге |
саны, бірлікпен количество, в единицах |
жалпы ауданы, шаршы метрмен общая площадь, в квадратных метрах |
сыйымдылығы, тоннамен вместимость, в тоннах |
құны, мың теңгемен стоимость, в тысячах тенге |
||
|
А |
Б |
1 |
2 |
3 |
4 |
5 |
6 |
7 |
8 |
|
Астық-тұқым сақтау қоймалары (жемшөп қоймаларын қоса) Зерносеменохранилища (включая зернофуражные) |
122.916000 |
||||||||
Ескертпе:
Примечание:
1 ӘАОЖ Қазақстан Республикасы Ұлттық экономика министрлігі Статистика комитетінің ресми сайтында орналасқан (www.stat.gov.kz >> Жіктеуіштер>> Статистикалық жіктеулер >> Әкімшілік-аумақтық объектілер жіктеуіші)
1 КАТО размещен на официальном сайте Комитета по статистике Министерства национальной экономики Республики Казахстан (www.stat.gov.kz >> Классификаторы >> Статистические классификации >> Классификатор административно-территориальных объектов)
² Мұнда және бұдан әрі Қазақстан Республикасы Ұлттық экономика министрлігі Статистика комитетінің ресми сайтында орналасқан (www.stat.gov.kz >> Жіктеуіштер>> Статистикалық жіктеулер >> Негізгі қорлар анықтамалығына сәйкес толтырылады
² Здесь и далее заполняется согласно СОФ, размещенному на официальном сайте Комитета по статистике Министерства национальной экономики Республики Казахстан (www.stat.gov.kz >> Классификаторы >> Статистические классификации >> Справочник основных фондов)
|
Көрсеткіштің атауы Наименование показателя |
Коды² Код² |
Құрылыстар және имараттар Постройки и сооружения |
Соның ішінде күрделілер В том числе капитальные |
||||||
|
саны, бірлікпен количество, в единицах |
жалпы ауданы, шаршы метрмен общая площадь, в квадратных метрах |
сыйымдылығы, тоннамен вместимость, в тоннах |
құны, мың теңгемен стоимость, в тысячах тенге |
саны, бірлікпен количество, в единицах |
жалпы ауданы, шаршы метрмен общая площадь, в квадратных метрах |
сыйымдылығы, тоннамен вместимость, в тоннах |
құны, мың теңгемен стоимость, в тысячах тенге |
||
|
А |
Б |
1 |
2 |
3 |
4 |
5 |
6 |
7 |
8 |
|
одан из них: |
|||||||||
|
астық сақтау қоймалары зернохранилища |
122.916001 |
||||||||
|
тұқым сақтау қоймалары семенохранилища |
122.916002 |
||||||||
|
жемшөп сақтау қоймалары зернофуражные хранилища |
122.916003 |
||||||||
|
Көкөніс-картоп сақтау қоймалары Овощекартофелехранилища |
122.915100 |
||||||||
|
одан из них: көкөніс сақтау қоймалары овощехранилища |
122.915101 |
||||||||
|
картоп сақтау қоймалары картофелехранилища |
122.915102 |
||||||||
|
Тамыржемістілерді сақтау қоймалары (мал азығы үшін) Корнеплодохранилища (для кормов) |
122.915200 |
||||||||
|
Жеміс сақтау қоймалары (жеміс-жидек қоймаларын қоса) Фруктохранилища (включая плодово-ягодные хранилища) |
122.915300 |
||||||||
|
Көрсеткіштің атауы Наименование показателя |
Коды¹ Код1 |
Құрылыстар және имараттар Постройки и сооружения |
Соның ішінде күрделілер В том числе капитальные |
||||||
|
саны, бірлікпен количество, в единицах |
жалпы ауданы, шаршы метрмен общая площадь, в квадратных метрах |
сыйымдылығы, тоннамен вместимость, в тоннах |
құны, мың теңгемен стоимость, в тысячах тенге |
саны, бірлікпен количество, в единицах |
жалпы ауданы, шаршы метрмен общая площадь, в квадратных метрах |
сыйымдылығы, тоннамен вместимость, в тоннах |
құны, мың теңгемен стоимость, в тысячах тенге |
||
|
А |
Б |
1 |
2 |
3 |
4 |
5 |
6 |
7 |
8 |
|
одан из них: жеміс-жидек сақтау қоймалары плодово-ягодные хранилища |
122.915301 |
||||||||
|
Өзге де жеміс сақтау қоймалары Прочие фруктохранилища |
122.915399 |
||||||||
|
Минералды тыңайтқыштарға, улы химикаттарға арналған қоймалар Склады для хранения минеральных удобрений, ядохимикатов |
122.126004 |
||||||||
|
Көкөністер өсіруге арналған жылыжайлар Теплицы для выращивания овощей |
122.911004 |
x |
x |
||||||
|
Гүл өсіруге арналған жылыжайлар Теплицы для выращивания цветов |
122.911005 |
x |
x |
||||||
3. Есепті жылдың соңына мал шаруашылығындағы құрылыстардың және имараттардың қолда бары туралы ақпаратты көрсетіңіз
Укажите информацию о наличии построек и сооружений в животноводстве на конец отчетного год
|
Көрсеткіштің атауы Наименование показателя |
Коды² Код² |
Құрылыстар және имараттар Постройки и сооружения |
Соның ішінде күрделілер В том числе капитальные |
||||||
|
саны, бірлікпен количество, в единицах |
жалпы ауданы, шаршы метрмен общая площадь, в квадратных метрах |
сыйымды лығы, мал-орны вместимость, скотомест |
құны, мың теңгемен стоимость, в тысячах тенге |
саны, бірлікпен количество, в единицах |
жалпы ауданы, шаршы метрмен общая площадь,в квадратных метрах |
сыйымдылығы, мал-орны вместимость, скотомест |
құны, мың теңгемен стоимость, в тысячах тенге |
||
|
А |
Б |
1 |
2 |
3 |
4 |
5 |
6 |
7 |
8 |
|
Ірі қара мал ұстауға арналған қоралар Помещения для содержания крупного рогатого скота |
122.914001 |
||||||||
|
Шошқаларды ұстауға арналған қоралар Помещения для содержания свиней |
122.914002 |
||||||||
|
Қойларды ұстауға арналған қоралар Помещения для содержания овец |
122.914003 |
||||||||
|
Жылқыларды ұстауға арналған қоралар Помещения для содержания лошадей |
122.914004 |
||||||||
|
Түйелерді ұстауға арналған қоралар Помещения для содержания верблюдов |
122.914005 |
||||||||
|
Құс ұстауға арналған үй-жайлар (құс фабрикаларынан басқа) Помещения для содержания птицы (кроме птицефабрик) |
122.914006 |
||||||||
|
Құс фабрикалары Птицефабрики |
122.912000 |
||||||||
|
Малдың бірнеше түрлерін ұстауға арналған қоралар Помещения для содержания нескольких видов скота |
122.914007 |
х |
х |
||||||
|
Өзге де мал түрлерін ұстауға арналған қоралар Помещения для содержания прочих видов скота |
122.914008 |
x |
x |
||||||
4. Есепті жылдың соңына ауылшаруашылығы техникасын жөндеу шеберханаларының, техникалық қызмет көрсету пункттерінің, сондай-ақ өзге де ауылшаруашылығы құрылыстарының қолда бары туралы ақпаратты көрсетіңіз
Укажите информацию о наличии ремонтных мастерских, стационарных пунктов техобслуживания сельхозтехники, а также прочих сельскохозяйственых построек на конец отчетного года
|
Көрсеткіштің атауы Наименование показателя |
Коды² Код² |
Құрылыстар және имараттар Постройки и сооружения |
Соның ішінде күрделілер В том числе капитальные |
||||
|
саны, бірлікпен количество, в единицах |
жалпы ауданы, шаршы метрмен общая площадь, в квадратных метрах |
құны, мың теңгемен стоимость, в тысячах тенге |
саны, бірлікпен количество, в единицах |
жалпы ауданы, шаршы метрмен общая площадь, в квадратных метрах |
құны, мың теңгемен стоимость, в тысячах тенге |
||
|
А |
Б |
1 |
2 |
3 |
4 |
5 |
6 |
|
Жөндеу шеберханалары Ремонтные мастерские |
122.290006 |
||||||
|
Стационарлық техникалық қызмет көрсету пункттері Стационарные пункты техобслуживания |
122.240002 |
||||||
|
Өзге де құрылыстар Прочие постройки |
122.919099 |
||||||
|
Атауы Наименование_________________________ |
Мекенжайы Адрес __________________________ |
|||
|
Телефоны _____________________________ Телефон |
Электрондық пошта мекенжайы (респонденттің) _________________________ Адрес электронной почты (респондента) |
|||
|
Алғашқы статистикалық деректерді таратуға келісеміз ³ Согласны на распростанение первичных статистических данных ³ |
|
Алғашқы статистикалық деректерді таратуға келіспейміз ³ Не согласны на распростанение первичных статистических данных ³ |
|
|
|
Орындаушы Исполнитель |
_______________________________________ тегі, аты және әкесінің аты (бар болған жағдайда) фамилия, имя и отчество (при его наличии) |
__________________ қолы, телефоны подпись, телефон |
|
Бас бухгалтер Главный бухгалтер |
_______________________________________ тегі, аты және әкесінің аты (бар болған жағдайда) фамилия, имя и отчество (при его наличии) |
________________ қолы подпись |
|
Басшы немесе оның міндетін атқарушы тұлға Руководитель или лицо, исполняющее его обязанности |
________________________________________ тегі, аты және әкесінің аты (бар болған жағдайда) фамилия, имя и отчество (при его наличии) |
________________ қолы подпись |
Ескертпе:
Примечание:
³ Аталған тармақ «Мемлекеттік статистика туралы» Қазақстан Республикасының 2010 жылғы 19 наурыздағы Заңының 8-бабының 5-тармағына сәйкес толтырылады
³ Данный пункт заполняется согласно пункту 5 статьи 8 Закона Республики Казахстан от 19 марта 2010 года «О государственной статистике»
Приложение 8
к приказу Председателя
Комитета по статистике
Министерства национальной
экономики Республики Казахстан
от 24 декабря 2018 года № 12
Приложение 29
к приказу Председателя
Комитета по статистике
Министерства национальной
экономики Республики Казахстан
от 20 ноября 2017 года № 180
Инструкция по заполнению статистической формы общегосударственного статистического наблюдения «Наличие в сельскохозяйственных предприятиях построек и сооружений сельскохозяйственного назначения» (код 141112215, индекс 49-сх, периодичность годовая)
1. Настоящая инструкция по заполнению статистической формы общегосударственного статистического наблюдения «Наличие в сельскохозяйственных предприятиях построек и сооружений сельскохозяйственного назначения» (код 141112215, индекс 49-сх, периодичность годовая) разработана в соответствии с подпунктом 8) статьи 12 Закона Республики Казахстан от 19 марта 2010 года «О государственной статистике» и детализирует заполнение статистической формы общегосударственного статистического наблюдения «Наличие в сельскохозяйственных предприятиях построек и сооружений сельскохозяйственного назначения» (код 141112215, индекс 49-сх, периодичность годовая) (далее - статистическая форма).
2. Следующие определения применяются в целях заполнения данной статистической формы:
1) здание - искусственное строение, состоящее из несущих и ограждающих конструкций, образующих обязательный наземный замкнутый объем, в зависимости от функционального назначения используемое для проживания или пребывания людей, выполнения производственных процессов, а также размещения и хранения материальных ценностей. Здание может иметь подземную часть;
2) сооружение - искусственно созданный объемный, плоскостной или линейный объект (наземный, надворный и (или) подземный, подводный), имеющий естественные или искусственные пространственные границы, и предназначенный для выполнения производственных процессов, размещения и хранения материальных ценностей или временного пребывания (перемещения) людей, грузов, а также размещения (прокладки, проводки) оборудования или коммуникаций.
3. Если постройки и сооружения сельскохозяйственного назначения находятся на территории нескольких районов и (или) областей, юридические лица представляют статистическую форму, выделяя информацию по каждой территории на отдельных бланках, данные отражаются по месту нахождения сельскохозяйственных построек и сооружений.
Статистическую форму представляют структурные и обособленные подразделения юридического лица по месту своего нахождения, если им делегированы полномочия по сдаче статистических форм юридическим лицом.
Под постройками в данной статистической форме понимаются отдельно стоящие здания.
4. В разделе 2 отражается информация о капитальных, временных и приспособленных постройках и сооружениях в растениеводстве, которые находились на балансе предприятия на конец отчетного года.
К капитальным относятся постройки и сооружения, тесно привязанные к земле, расположенные на фундаментной основе, не подлежащие последующей разборке и переносу, как правило, имеющие документацию, удостоверяющую право собственности владельца. К временным и приспособленным постройкам и сооружениям относятся постройки из недолговечных материалов, не имеющие фундамента, подлежащие последующей разборке и переносу, переоборудованные, приспособленные для временного использования из построек, сооружений и помещений другого назначения.
В графе 1 раздела 2 указывается количество отдельно стоящих построек и сооружений. Если здания примыкают друг к другу и имеют общую стену, но каждое представляет собой самостоятельное конструктивное целое, их считают отдельными постройками.
В графе 2 раздела 2 отражается общая площадь построек и сооружений в растениеводстве в квадратных метрах.
В графе 3 раздела 2 указывается общая вместимость построек и сооружений в тоннах единовременного хранения. Вместимость построек и сооружений, предназначенных для хранения сельскохозяйственной продукции, рассчитывается путем умножения полезного объема хранилища склада или сооружения на средний вес одного кубического метра продукции.
В графе 4 раздела 2 отражается общая стоимость построек и сооружений по балансовой стоимости за вычетом амортизационных отчислений.
В графах 5 - 8 раздела 2 из общих данных выделяются данные по капитальным постройкам и сооружениям.
В разделе 2 по строке 122.916000 «Зерносеменохранилища (включая зернофуражные)» отражаются общие данные по зерноскладам для хранения продовольственного зерна, зернофуражным хранилищам, семенохранилищам, и постройкам для смешанного хранения продовольственного, семенного и фуражного зерна. Из данной строки отдельно по строке 122.916001 выделяются данные по зерноскладам, предназначенным для хранения продовольственного зерна, по строке 122.916002 - данные по хранилищам, предназначенным для хранения семенного зерна, по строке 122.916003 - данные по хранилищам фуражного зерна.
По строке 122.915100 «Овощекартофелехранилища» отражаются общие данные по овощехранилищам, картофелехранилищам, а также постройкам для смешанного хранения овощей и картофеля. Из этой строки отдельно по строке 122.915101 выделяются данные по складам для хранения только овощей, по строке 122.915102 - только по хранилищам картофеля.
По строке 122.915300 «Фруктохранилища (включая плодово-ягодные хранилища)» отражаются общие данные по хранилищам семечковых и косточковых плодов, ягод, орехоплодных и цитрусовых культур, винограда. Из этой строки отдельно по строке 122.915301 показываются данные по хранилищам семечковых и косточковых плодов и ягод.
5. В разделе 3 отражается информация о капитальных, временных и приспособленных помещениях для содержания скота, находившиеся на балансе предприятия на конец отчетного года, включая родильные отделения, откормочные площадки круглогодичного действия, кроме выгульных дворов при животноводческих постройках, летних лагерей и помещений на отгонных пастбищах.
В графе 1 раздела 3 указывается количество отдельно стоящих построек и сооружений в животноводстве. Если здания примыкают друг к другу и имеют общую стену, но каждое представляет собой самостоятельное конструктивное целое, их считают отдельными постройками. По коду 122.912000 «Птицефабрики» в данной графе указывается количество отдельно стоящих построек и сооружений.
В графе 2 раздела 3 отражается общая площадь построек и сооружений в животноводстве в квадратных метрах.
В графе 3 раздела 3 указывается общая вместимость построек и сооружений, рассчитанная в количестве ското- или птицемест, исходя из зоотехнических норм содержания отдельных видов сельскохозяйственных животных. При определении общей вместимости по отдельным строкам раздела 3 учитываются данные по всем помещениям, числящимся на балансе хозяйства: капитальным, временным и приспособленным, включая скотоместа в родильных отделениях, животноводческих комплексах, откормочных площадках круглогодового действия, кроме выгульных дворов при животноводческих постройках, летних лагерей и помещений на отгонных пастбищах с сезонным характером производства. По коду 122.912000 «Птицефабрики» количество птицемест приводится в соответствии с проектной документацией.
В графе 4 раздела 3 отражается общая стоимость построек и сооружений по балансовой стоимости за вычетом амортизационных отчислений.
В графах с 5 по 8 раздела 3 из общих данных выделяются данные по капитальным постройкам и сооружениям.
По коду 122.914008 «Помещения для содержания прочих видов скота» отражаются данные по постройкам для содержания пушных зверей, в том числе кроликов, пчелиных семей, оленей и прочих видов сельскохозяйственных животных.
6. В разделе 4 отражается информация о капитальных, временных и приспособленных помещениях для ремонта и техобслуживания сельскохозяйственной техники и данные о прочих сельскохозяйственных постройках, не учтенных в разделах 2 и 3.
Данные по графам раздела 4 заполняются по аналогии с соответствующими графами разделов 2 и 3.
По коду 122.919099 «Прочие постройки» раздела 4 отражаются данные о сооружениях для силоса и сенажа, включая башни и траншеи; всех типах навозохранилищ наземного типа, полузаглубленных емкостях для хранения навоза в очистных сооружениях и других хранилищах, независимо от физического состояния навоза (жидкий, полужидкий, твердый); сенохранилищах (складах и навесах для сена); постройках и сооружениях, предназначенных для сушки зерна; яйцескладах; помещениях для хранения кормов для сельскохозяйственных животных; других постройках для хранения готовой сельскохозяйственной продукции, не указанных в разделах 2 и 3; о прочих постройках и сооружениях, используемых при производстве сельскохозяйственной продукции.
7. Представление данной статистической формы осуществляется на бумажном носителе или в электронном виде. Заполнение статистической формы в электронном виде осуществляется посредством информационной системы «Сбор данных в on-line режиме», размещенного на интернет-ресурсе Комитета по статистике Министерства национальной экономики Республики Казахстан (www.stat.gov.kz).
8. При отсутствии у респондента деятельности в отчетный период, респондент не позднее даты окончания срока отчетного периода предоставить вместо статистической формы уведомление об отсутствии деятельности с указанием причин отсутствия деятельности и срока, в течение которого данная деятельность не будет осуществляться согласно приложению 1 к Правилам представления респондентами первичных статистических данных, утвержденных приказом Председателя Агентства Республики Казахстан по статистике от 9 июля 2010 года № 173, зарегистрированным в Реестре государственной регистрации нормативных правовых актов под № 6459.
9. Примечание: Х - данная позиция не подлежит заполнению.
10. Арифметико-логический контроль:
1) Разделы 2 и 3.
графа 1 ≥ графе 5, для каждой строки;
графа 2 ≥ графе 6, для каждой строки;
графа 3 ≥ графе 7, для каждой строки;
графа 4 ≥ графе 8, для каждой строки;
если графа 1 заполнена, то графы 2, 3 и 4 тоже заполняются;
если графа 5 заполнена, то графы 6, 7 и 8 тоже заполняются;
если графа 5 > 0, то графа 1 > 0, для каждой строки;
если графа 6 > 0, то графа 2 > 0, для каждой строки;
если графа 7 > 0, то графа 3 > 0, для каждой строки, кроме неактивных;
если графа 8 > 0, то графа 4 > 0, для каждой строки.
2) Раздел 2. «О наличии построек и сооружений в растениеводстве на конец отчетного года»:
строка 122.916000 ≥ ∑строк 122.916001, 122.916002, 122.916003;
строка 122.915100 ≥ ∑строк 122.915101, 122.915102;
строка 122.915300 ≥ строке 122.915301.
3) Раздел 4. « О наличии ремонтных мастерских, стационарных пунктов техобслуживания сельхозтехники, а также прочих сельскохозяйственых построек на конец отчетного года»:
графа 1 ≥ графе 4, для каждой строки;
графа 2 ≥ графе 5, для каждой строки;
графа 3 ≥ графе 6, для каждой строки;
если графа 1 заполнена, то графы 2 и 3 тоже заполняются;
если графа 4 заполнена, то графы 5 и 6 тоже заполняются;
если графа 4 > 0, то графа 1 > 0, для каждой строки;
если графа 5 > 0, то графа 2 > 0, для каждой строки;
если графа 6 > 0, то графа 3 > 0, для каждой строки.
Приложение 9
|
|
Мемлекеттік статистика органдары құпиялылығына кепілдік береді Конфиденциальность гарантируется органами государственной статистики |
к приказу Председателя Комитета по статистике Министерства национальной экономики Республики Казахстан от 24 декабря 2018 года № 12 Қазақстан Республикасы Ұлттық экономика министрлігі Статистика комитеті төрағасының 2018 жылғы 24 желтоқсандағы № 12 бұйрығына 9-қосымша |
||||||||||||||||||||||||||
|
Жалпымемлекеттік статистикалық байқаудың статистикалық нысаны Статистическая форма общегосударственного статистического наблюдения |
Приложение 34 к приказу Председателя Комитета по статистике Министерства национальной экономики Республики Казахстан от 20 ноября 2017 года № 180 |
|||||||||||||||||||||||||||
|
Аумақтық статистика органына ұсынылады Представляется территориальному органу статистики |
|
|||||||||||||||||||||||||||
|
Статистикалық нысан www.stat.gov.kz интернет-ресурсына орналастырылған Статистическая форма размещена на интернет-ресурсе www.stat.gov.kz |
||||||||||||||||||||||||||||
|
Мемлекеттік статистиканың тиісті органдарына анық емес бастапқы статистикалық деректерді ұсыну және бастапқы статистикалық деректерді белгіленген мерзімде ұсынбау «Әкімшілік құқық бұзушылық туралы» Қазақстан Республикасы Кодексінің 497-бабында көзделген әкімшілік құқық бұзушылықтар болып табылады Представление недостоверных и непредставление первичных статистических данных в соответствующие органы государственной статистики в установленный срок являются административными правонарушениями, предусмотренными статьей 497 Кодекса Республики Казахстан «Об административных правонарушениях» |
||||||||||||||||||||||||||||
|
Статистикалық нысан коды 141103135 Код статистической формы 141103135 |
Ауыл шаруашылығы кооперативінің қызметі туралы |
|||||||||||||||||||||||||||
|
1-СПК |
О деятельности сельскохозяйственного кооператива |
|||||||||||||||||||||||||||
|
Тоқсандық Квартальная |
Есепті кезең Отчетный период |
|
тоқсан квартал |
|
жыл год |
|||||||||||||||||||||||
|
Ауыл шаруашылығы кооперативтері ұсынады Представляют сельскохозяйственные кооперативы |
||||||||||||||||||||||||||||
|
Тапсыру мерзімі - есепті кезеңнен кейінгі айдың 28-күніне (қоса алғанда) дейін Срок представления - до 28 числа (включительно) после отчетного периода |
||||||||||||||||||||||||||||
|
БСН коды код БИН |
|
|||||||||||||||||||||||||||
|
1. Қызмет жүзеге асырылатын нақты жерді көрсетіңіз (облыс, қала, аудан) Укажите фактическое место осуществления деятельности (область, город, район) Аумақ коды Әкімшілік-аумақтық объектілер жіктеуішіне сәйкес (бұдан әрi - ӘАОЖ)1 (статистикалық нысанды қағаз жеткізгіште тапсыру кезінде статистика органының қызметкері толтырады) Код территории согласно Классификатору административно-территориальных объектов (далее - КАТО)1 (заполняется работником органа статистики при сдаче статистической формы на бумажном носителе) |
|
2. Ауыл шаруашылығы кооперативі мүшелерінің саны туралы мәліметтерді көрсетіңіз
Укажите сведения о количестве членов сельскохозяйственного кооператива
|
Жол коды Код строки |
Ауыл шаруашылығы кооперативі мүшелерінің типтері Типы членов сельскохозяйственного кооператива |
Ауыл шаруашылығы кооперативі мүшелерінің саны, бірлікпен Количество членов сельскохозяйственного кооператива, в единицах |
|
А |
Б |
1 |
|
1 |
Заңды тұлғалар Юридические лица |
|
|
2 |
соның ішінде: в том числе: мемлекеттік кәсіпорындар государственные предприятия |
|
|
3 |
шаруашылық серіктестіктері хозяйственные товарищества |
|
|
4 |
акционерлік қоғамдар акционерные общества |
|
|
5 |
басқа да ұйымдық-құқықтық нысандар другие организационно-правовые формы |
|
|
6 |
Дара кәсіпкерлер және шаруа немесе фермер қожалықтары Индивидуальные предприниматели и крестьянские или фермерские хозяйства |
|
|
7 |
Үй шаруашылықтары Домашние хозяйства |
Ескертпе:
Примечание:
1ӘАОЖ Қазақстан Республикасы Ұлттық экономика министрлігі Статистика комитетінің ресми сайтында орналасқан (www.stat.gov.kz >> Жіктеуіштер>> Статистикалық жіктеулер >> Әкімшілік-аумақтық объектілер жіктеуіші)
1КАТО размещен на официальном сайте Комитета по статистике Министерства национальной экономики Республики Казахстан (www.stat.gov.kz >> Классификаторы >> Статистические классификации >> Классификатор административно-территориальных объектов
3. Ауыл шаруашылығы кооперативі қызметкерлерінің санын көрсетіңіз, адам
Укажите численность работников сельскохозяйственного кооператива, человек
|
Жол коды Код строки |
Көрсеткіш атауы Наименование показателя |
Есепті кезеңге За отчетный период |
|
А |
Б |
1 |
|
1 |
Ауыл шаруашылығы кооперативі қызметкерлерінің саны Численность работников сельскохозяйственного кооператива |
|
|
2 |
соның ішіңде: в том числе: ауыл шаруашылығы кооперативі қызметкерлерінің тізімдік саны списочная численность работников сельскохозяйственного кооператива |
|
|
3 |
қоса атқару бойынша (басқа ұйымдардан) жұмысқа қабылданған ауыл шаруашылығы кооперативі қызметкерлерінің саны численность работников сельскохозяйственного кооператива, принятых на работу по совместительству (из других организаций) |
|
|
4 |
Жұмыстарды азаматтық-құқықтық сипаттағы шарттар бойынша орындайтын ауыл шаруашылығы кооперативі қызметкерлерінің саны Численность работников сельскохозяйственного кооператива, выполняющих работы по договорам гражданско-правового характера |
4. Ауыл шаруашылығы кооперативінің өнім өндіруі туралы мәліметтерді көрсетіңіз
Укажите сведения о производстве продукции сельскохозяйственным кооперативом
|
Өнім түрінің атауы2 Наименование вида продукции2 |
Өнім түрінің коды2 Код вида продукции2 |
Өлшем бірлігі2 Единица измерения2 |
Өнім өндіру Производство продукции |
|
|
заттай мәнде в натуральном выражении |
құндық мәнде, мың теңгемен в стоимостном выражении, в тысячах тенге |
|||
|
А |
Б |
В |
1 |
2 |
|
|
||||
|
|
||||
|
|
||||
|
|
||||
|
|
||||
|
|
||||
|
|
||||
|
|
||||
|
|
||||
|
|
||||
|
|
||||
|
|
||||
|
|
||||
|
|
||||
|
|
||||
|
|
||||
|
|
||||
|
|
||||
|
|
||||
|
|
||||
|
|
||||
|
|
||||
|
|
||||
|
|
||||
Ескертпе:
Примечание:
2 Мұнда - өнім түрінің атауын, кодын және өлшем бірлігін осы статистикалық нысанға «Өнім түрлерінің тізбесі» 1-қосымшасына сәйкес респондент толтырады
2 Здесь - наименование, код вида продукции и единица измерения заполняются респондентом в соответствии с «Перечнем видов продукции», приведенные в приложении 1 к настоящей статистической форме
5. Ауыл шаруашылығы кооперативі көрсеткен қызметтер көлемі туралы мәліметтерді көрсетіңіз
Укажите сведения об объеме оказанных услуг сельскохозяйственным кооперативом
|
Көрсетілетін қызмет түрінің атауы3 Наименование вида услуг3 |
Көрсетілетін қызмет түрінің коды3 Код вида услуг3 |
Көрсетілген қызметтер көлемі, мың теңгемен Объем оказанных услуг, в тысячах тенге |
|
А |
Б |
1 |
|
|
||
|
|
||
|
|
||
|
|
||
|
|
||
|
|
||
|
|
||
|
|
||
|
|
||
|
|
||
|
|
||
|
|
||
|
|
||
|
|
||
|
|
||
|
|
||
|
|
||
|
|
||
|
|
||
|
|
||
|
|
Ескертпе:
Примечание:
3 Мұнда - көрсетілетін қызмет түрінің атауы мен кодын осы статистикалық нысанға «Көрсетілетін қызмет түрлерінің тізбесі» 2-қосымшасына сәйкес респондент толтырады
3 Здесь - наименование и код вида услуг заполняется респондентом в соответствии с «Перечнем видов услуг» приведенные в приложении 2 к настоящей статистической форме
6. Ауыл шаруашылығы кооперативінің ауыл шаруашылығы өнімдерін дайындауы, сатып алуы және өткізуі туралы мәліметтерді көрсетіңіз
Укажите сведения о заготовке, закупе и реализации сельскохозяйственной продукции сельскохозяйственным кооперативом
|
Өнім түрінің атауы4 Наименование вида продукции4 |
Өнім түрінің коды4 Код вида продукции4 |
Өлшем бірлігі4 Единица измерения4 |
Ауыл шаруашылығы өнімдерін сатып алу Закуп сельскохозяйственной продукции |
Ауыл шаруашылығы өнімдерін өткізу Реализация сельскохозяйственной продукции |
Заттай мәнде ауыл шаруашылығы өнімдерін дайындау Заготовка сельскохозяйственной продукции в натуральном выражении |
||
|
заттай мәнде в натуральном выражении |
құндық мәнде, мың теңгемен в стоимостном выражении, в тысячах тенге |
заттай мәнде в натуральном выражении |
құндық мәнде, мың теңгемен в стоимостном выражении, в тысячах тенге |
||||
|
А |
Б |
В |
1 |
2 |
3 |
4 |
5 |
|
|
|||||||
|
|
|||||||
|
|
|||||||
|
|
|||||||
|
|
|||||||
|
|
|||||||
|
|
|||||||
|
|
|||||||
|
|
|||||||
|
|
|||||||
|
|
|||||||
|
|
|||||||
|
|
|||||||
|
|
|||||||
|
|
|||||||
Ескертпе:
Примечание:
4 Мұнда - өнім түрінің атауын, кодын және өлшем бірлігін осы статистикалық нысанға «Ауыл шаруашылығы өнімдері түрлерінің тізбесі» 3-қосымшасына сәйкес респондент толтырады
4 Здесь - наименование, код вида продукции и единица измерения заполняются респондентом в соответствии с «Перечнем видов сельскохозяйственной продукции» приведенные приложении 3 к настоящей статистической форме
7. Ауыл шаруашылығы кооперативіндегі ауыл шаруашылығы техникаларының нақты бары туралы ақпаратты көрсетіңіз, тоқсан соңына, дана
Укажите информацию о наличии сельскохозяйственной техники в сельскохозяйственном кооперативе, на конец квартала, штук
|
Ауыл шаруашылығы техникаларының атауы Наименование сельскохозяйственной техники |
Қолда бары Наличие |
|
А |
1 |
|
Ара үлгісіндегі тырмалар Бороны пилообразные |
|
|
Астық жинайтын комбайндар Комбайны зерноуборочные |
|
|
Ауыл және орман шаруашылығына арналған өзге де тракторлар Тракторы для сельского и лесного хозяйства прочие |
|
|
Ауылшаруашылық тракторларына орнатуға арналған ұнтақ бүріккіштер мен шашқыштар Распылители и разбрасыватели порошка, предназначенные для установки на тракторах сельскохозяйственных |
|
|
Басқа топтамаларға енгізілмеген шалғылар, тракторға құрастырылған шалғыларды қоса Косилки, включая косилки, смонтированные на тракторе, не включенные в другие группировки |
|
|
Бүйірлі тырмалар Грабли боковые |
|
|
Делегейлі тырмалар Бороны дисковые |
|
|
Дестелерді айналдырғыштар, пішен аударыстырғыштар Оборачиватели валков, сеноворошилки |
|
|
Жануарларға жем дайындауға арналған машиналар Машины для приготовления кормов для животных |
|
|
Жүгері жинайтын машиналар, жеміс түптерін жұлуға арналған машиналар, собық тазартқыштар және өзге де өнім жинайтын машиналар Машины для уборки кукурузы, машины для отрыва плодоножек, початкоочистители и машины уборочные прочие |
|
|
Жүк автомобильдері Автомобили грузовые |
|
|
Зығыр жинайтын машиналар Машины для уборки льна |
|
|
Картоп қазғыштар және картоп жинағыш машиналар Картофелекопатели и машины картофелеуборочные |
|
|
Қатарлап дестелегіштер Жатки рядковые |
|
|
Қопсытқыштар мен культиваторлар Рыхлители и культиваторы |
|
|
Қызылша, пәлек кескіш машиналар және қызылша жинау машиналары Машины свекловичные ботворезные и машины свеклоуборочные |
|
|
Мақта жинайтын машиналар Машины для уборки хлопка |
|
|
Минералды немесе химиялық тыңайтқыштарды шашқыштар Разбрасыватели удобрений минеральных или химических |
|
|
Органикалық тыңайтқыштарды шашқыштар (көң шашқыштар) Разбрасыватели удобрений органических (навозоразбрасыватели) |
|
|
Өзге де тырмалар, отауыштар және кетпендер Бороны, пропалыватели и мотыги прочие |
|
|
Ротоваторлар (топырақтық фрезасы бар механикаландырылған культиваторлар) Ротоваторы (культиваторы механизированные с фрезами почвенными) |
|
|
Сабан немесе шөпке арналған пішен тайлаушылар Пресс-подборщики для соломы или сена |
|
|
Сауу машиналары Машины доильные |
|
|
Сепкіштер Сеялки |
|
|
Соқалар Плуги |
|
|
Суаруға арналған құралдар Приспособления для полива |
|
|
Сүрлем жинайтын және жүзім жинайтын комбайндар, ағаштар мен бұталардан жемістер мен жидектерді жинауға арналған машиналар Комбайны силосоуборочные и виноградоуборочные, машины для сбора плодов и ягод с деревьев и кустарников |
|
|
Тамыр жемістерін және түйін жемістерін жинайтын өзге де машиналар Машины по уборке корнеплодов и клубнеплодов прочие |
|
|
Трактор тіркемелері Прицепы тракторные |
|
|
Тұқымдарды, дәнді немесе құрғақ бұршақты дақылдарды тазалауға, сұрыптауға немесе калибрлеуге арналған машиналар Машины для очистки, сортировки или калибровки семян, зерна или культур бобовых сухих |
|
Атауы Наименование __________________________ _______________________________________ |
Мекенжайы Адрес______________________________ ___________________________________ |
|||
|
Телефоны Телефон ______________________________ |
Электрондық пошта мекенжайы (респонденттің) Адрес электронной почты (респондента ___________________________ |
|||
|
Алғашқы статистикалық деректерді таратуға келісеміз5 Согласны на распространение первичных статистических данных5 |
|
Алғашқы статистикалық деректерді таратуға келіспейміз5 Не согласны на распространение первичных статистических данных5 |
|
|
|
Орындаушы Исполнитель |
________________________________________ тегі, аты және әкесінің аты (бар болған жағдайда) фамилия, имя и отчество (при его наличии) |
_____________ телефоны телефон |
|
|
Бас бухгалтер Главный бухгалтер |
________________________________________ тегі, аты және әкесінің аты (бар болған жағдайда) амилия, имя и отчество (при его наличии) |
_____________ қолы подпись |
|
|
Басшы немесе оның міндетін атқарушы тұлға Руководитель или лицо, исполняющего его обязанности |
________________________________________ тегі, аты және әкесінің аты (бар болған жағдайда) фамилия, имя и отчество (при его наличии) |
____________ қолы подпись |
|
|
|
|||
Ескертпе:
Примечание:
5 Аталған тармақ «Мемлекеттік статистика туралы» Қазақстан Республикасының 2010 жылғы 19 наурыздағы Заңының 8-бабы 5-тармағына сәйкес толтырылады
5 Данный пункт заполняется согласно пункту 5 статьи 8 Закона Республики Казахстан от 19 марта 2010 года «О государственной статистике»
Приложение 1
к статистической форме
«О деятельности
сельскохозяйственного кооператива»
(код 141103135 индекс 1-СПК,
периодичность квартальная)
Перечень видов продукции
|
Код видов продукции |
Наименование видов продукции |
Единица измерения |
|
01.11.1 |
Пшеница |
тонна |
|
01.11.2 |
Кукуруза (маис) |
тонна |
|
01.11.31 |
Ячмень |
тонна |
|
01.11.32 |
Рожь |
тонна |
|
01.11.33 |
Овес |
тонна |
|
01.11.41 |
Сорго (джугара) |
тонна |
|
01.11.42 |
Просо |
тонна |
|
01.11.49 |
Культуры зерновые прочие |
тонна |
|
01.11.5 |
Солома и шелуха зерновых культур |
тонна |
|
01.11.6 |
Овощи бобовые зеленые (свежие) |
тонна |
|
01.11.7 |
Овощи бобовые сушеные |
тонна |
|
01.11.81 |
Бобы соевые |
тонна |
|
01.11.82 |
Орехи земляные, нелущеные |
тонна |
|
01.11.83 |
Орехи земляные, лущеные |
тонна |
|
01.11.84 |
Семена хлопка |
тонна |
|
01.11.91 |
Семена льна |
тонна |
|
01.11.92 |
Семена горчицы |
тонна |
|
01.11.93 |
Семена рапса и сурепки |
тонна |
|
01.11.94 |
Семена кунжута |
тонна |
|
01.11.95 |
Семена подсолнечника |
тонна |
|
01.11.99 |
Семена масличные прочие, не включенные в другие группировки |
тонна |
|
01.12.1 |
Рис, необрушенный |
тонна |
|
01.13.11 |
Спаржа |
тонна |
|
01.13.12 |
Капуста |
тонна |
|
01.13.13 |
Капуста цветная и брокколи |
тонна |
|
01.13.14 |
Салат |
тонна |
|
01.13.15 |
Цикорий |
тонна |
|
01.13.16 |
Шпинат |
тонна |
|
01.13.17 |
Артишоки |
тонна |
|
01.13.19 |
Овощи листовые или черенковые прочие |
тонна |
|
01.13.2 |
Культуры бахчевые |
тонна |
|
01.13.31 |
Чили и перцы, зеленые (только рода capsicum) |
тонна |
|
01.13.32 |
Огурцы и корнишоны |
тонна |
|
01.13.33 |
Баклажаны |
тонна |
|
01.13.34 |
Помидоры |
тонна |
|
01.13.39 |
Культуры плодово-овощные прочие, не включенные в другие группировки |
тонна |
|
01.13.41 |
Морковь и турнепс |
тонна |
|
01.13.42 |
Чеснок |
тонна |
|
01.13.43 |
Лук |
тонна |
|
01.13.44 |
Лук-порей и овощи луковичные прочие |
тонна |
|
01.13.49 |
Корнеплоды, клубни или луковицы (без высокого содержания крахмала или инулина) прочие |
тонна |
|
01.13.51 |
Картофель |
тонна |
|
01.13.52 |
Картофель сладкий |
тонна |
|
01.13.53 |
Маниок |
тонна |
|
01.13.59 |
Корнеплоды и клубни столовые с высоким содержанием крахмала или инулина прочие |
тонна |
|
01.13.7 |
Свекла сахарная и семена свеклы сахарной |
тонна |
|
01.13.8 |
Грибы и трюфели |
тонна |
|
01.13.9 |
Овощи, свежие, не включенные в другие группировки |
тонна |
|
01.15.1 |
Табак необработанный |
тонна |
|
01.16.11 |
Хлопок, очищенный или не очищенный от семян |
тонна |
|
01.16.12 |
Джут, кенаф и волокна лубяные текстильные прочие, необработанные или подвергнутые мочке, кроме льна, конопли обыкновенной и рами |
тонна |
|
01.16.19 |
Лен, конопля обыкновенная и волокна текстильные необработанные, не включенные в другие группировки |
тонна |
|
01.19.1 |
Культуры кормовые |
тонна |
|
01.19.21 |
Цветы и цветочные бутоны, срезанные |
тысяча штук |
|
01.21.1 |
Виноград свежий |
тонна |
|
01.23.1 |
Фрукты цитрусовые |
тонна |
|
01.24 |
Плоды семечковые и косточковые |
тонна |
|
01.25.1 |
Ягоды и плоды прочие |
тонна |
|
01.25.2 |
Семена плодов |
тонна |
|
01.25.3 |
Орехи (кроме орехов съедобных диких, орехов земляных и орехов кокосовых) |
тонна |
|
01.25.9 |
Плоды плодовых и ягодных культур прочих, не включенные в другие группировки |
тонна |
|
01.28.1 |
Специи, необработанные |
тонна |
|
01.28.2 |
Шишки хмеля |
тонна |
|
01.28.3 |
Растения, используемые, в основном, в парфюмерии, фармации или в качестве инсектицидов, фунгицидов и для аналогичных целей |
тонна |
|
01.29.3 |
Материалы растительные, используемые прежде всего для плетения, набивки, окрашивания или дубления |
тонна |
|
01.30.1 |
Материалы растительные; растения живые; луковицы, клубни и корни; отводки и черенки; грибницы |
тысяча штук |
|
01.41.1 |
Скот крупный рогатый молочного стада, живой |
тонна |
|
01.41.2 |
Молоко сырое скота крупного рогатого молочного стада |
тонна |
|
01.42.1 |
Скот крупный рогатый прочий и буйволы, живые |
тонна |
|
01.42.2 |
Сперма скота крупного рогатого и буйволов |
доза |
|
01.43.1 |
Лошади и животные семейства лошадиных прочие, живые |
тонна |
|
01.44.1 |
Верблюды и веблюдовые, живые |
тонна |
|
01.45.1 |
Овцы и козы, живые |
тонна |
|
01.45.2 |
Молоко сырое овечье и козье |
тонна |
|
01.45.3 |
Шерсть стриженная с овец и коз, немытая (включая промытую руном) |
тонна |
|
01.46.1 |
Свиньи, живые |
тонна |
|
01.47.1 |
Домашняя птица, живая |
тонна |
|
01.47.21 |
Яйца куриные в скорлупе, свежие |
тысяча штук |
|
01.47.22 |
Яйца домашней птицы прочей в скорлупе, свежие |
тысяча штук |
|
01.49.1 |
Животные прочие, выращиваемые на ферме, живые |
тонна |
|
01.49.21 |
Мед натуральный |
тонна |
|
01.49.22 |
Молоко сырое, не включенное в другие группировки |
тонна |
|
01.49.28 |
Продукты непищевые животного происхождения, не включенные в другие группировки |
тонна |
|
01.49.31 |
Сырье пушно-меховое (шкурки невыделанные), кроме шкурок ягнят |
штука |
|
01.49.32 |
Шкурки ягнят смушковых |
штука |
|
01.49.39 |
Шкурки животных прочие (сырые или консервированные, но без дальнейшей обработки), не включенные в другие группировки |
штука |
|
03.00.1 |
Рыба живая |
тонна |
|
03.00.2 |
Рыба свежая или охлажденная |
тонна |
|
03.00.3 |
Ракообразные, не мороженые |
тонна |
|
03.00.4 |
Моллюски и водные беспозвоночные, живые, свежие или охлажденные |
тонна |
|
10.11.1 |
Мясо скота крупного рогатого, свиней, овец, коз, лошадей и животных семейства лошадиных, свежее или охлажденное |
тонна |
|
10.11.2 |
Субпродукты пищевые скота крупного рогатого, свиней, овец, коз, лошадей и животных семейства лошадиных, свежие или охлажденные |
тонна |
|
10.11.3 |
Мясо и субпродукты пищевые мороженые; мясо и субпродукты пищевые прочие |
тонна |
|
10.11.4 |
Шерсть щипаная и шкуры и кожи сырые скота крупного рогатого или животных семейства лошадиных, овец и коз |
тонна |
|
10.11.5 |
Жиры скота крупного рогатого, овец, коз, свиней |
тонна |
|
10.12.1 |
Мясо птицы домашней свежее или охлажденное |
тонна |
|
10.12.2 |
Мясо птицы домашней, мороженое |
тонна |
|
10.12.3 |
Жир птицы домашней |
тонна |
|
10.12.4 |
Субпродукты пищевые птицы домашней |
тонна |
|
10.12.5 |
Перья, пух и шкурки птиц с перьями |
тонна |
|
10.13.1 |
Продукты готовые и консервированные из мяса, субпродуктов мясных или крови животных |
тонна |
|
10.20.1 |
Рыба, свежая, охлажденная или мороженая |
тонна |
|
10.20.2 |
Рыба, приготовленная или консервированная другим способом; икра и ее заменители |
тонна |
|
10.20.3 |
Ракообразные, моллюски и водные беспозвоночные прочие, мороженные, приготовленные или консервированные |
тонна |
|
10.20.4 |
Мука, порошок и гранулы непищевые, продукты прочие из рыбы, ракообразных, моллюсков или водных беспозвоночных прочих, не включенные в другие группировки |
тонна |
|
10.31.1 |
Картофель переработанный и консервированный |
тонна |
|
10.32.1 |
Соки фруктовые и овощные |
тысяча литров |
|
10.39.1 |
Овощи переработанные и консервированные, кроме картофеля |
тонна |
|
10.39.2 |
Плоды и орехи переработанные и консервированные |
тонна |
|
10.39.3 |
Сырье овощное и отходы овощные, остатки овощные и продукты побочные |
тонна |
|
10.41.1 |
Масла и жиры животные, их фракции, нерафинированные (неочищенные) |
тонна |
|
10.41.2 |
Масло растительное нерафинированное |
тонна |
|
10.41.3 |
Пух хлопковый (линт) |
тонна |
|
10.41.4 |
Жмых и отходы твердые жиров и масел растительных прочих; мука и порошок из семян или плодов культур масличных |
тонна |
|
10.41.5 |
Масло рафинированное, кроме отходов |
тонна |
|
10.41.6 |
Жиры и масла животные и растительные и их фракции гидрогенизированные и эстерифицированные, но без дальнейшей обработки |
тонна |
|
10.41.7 |
Воск растительный, кроме триглицеридов; дегра; отходы от переработки веществ, содержащих жиры или воск животный и растительный |
тонна |
|
10.42.1 |
Маргарин и жиры пищевые аналогичные |
тонна |
|
10.51.1 |
Молоко обработанное жидкое и сливки |
тонна |
|
10.51.2 |
Молоко в твердой форме |
тонна |
|
10.51.3 |
Масло сливочное и спреды (пасты) молочные |
тонна |
|
10.51.4 |
Сыр и творог |
тонна |
|
10.51.5 |
Продукты молочные прочие |
тонна |
|
10.52.1 |
Мороженое и пищевой лед прочий |
тонна |
|
10.61.1 |
Рис полуобрушенный или полностью обрушенный или очищенный или расколотый |
тонна |
|
10.61.2 |
Мука из культур зерновых и растительная; смеси из них тонкого помола |
тонна |
|
10.61.3 |
Крупа, мука грубого помола, гранулы и продукты из культур зерновых прочие |
тонна |
|
10.61.4 |
Отруби, высевки, отходы от обработки культур зерновых прочие |
тонна |
|
10.62.1 |
Крахмалы и крахмалопродукты; сахар и сиропы сахарные, не включенные в другие группировки |
тонна |
|
10.62.2 |
Отходы производства крахмала и аналогичные отходы |
тонна |
|
10.81.1 |
Сахар-сырец или сахар рафинированный тростниковый или свекловичный; патока (меласса) |
тонна |
|
10.81.2 |
Жом свекловичный, багасса (жом тростника сахарного), отходы производства сахарного прочие |
тонна |
|
10.84.2 |
Специи, обработанные |
килограмм |
|
10.85.1. |
Продукты пищевые готовые и блюда |
килограмм |
|
10.89.12 |
Яйца без скорлупы и желтки яичные, свежие или консервированные; яйца в скорлупе, консервированные или варенные; белок яичный |
тонна |
|
10.91.1 |
Корма готовые для животных сельскохозяйственных, кроме муки и гранул из люцерны |
тонна |
|
10.91.2 |
Мука и гранулы из люцерны |
тонна |
|
11.02.1 |
Вино виноградное натуральное; сусло виноградное |
тысяча литров |
|
11.03.1 |
Напитки ферментированные (сидр яблочный, сидр грушевый, напиток медовый); напитки смешанные, содержащие алкоголь |
тысяча литров |
|
11.04.1 |
Вермут и вина виноградные натуральные ароматизированные прочие |
тысяча литров |
|
11.05.1 |
Пиво, кроме осадков и отходов пивоварения |
тысяча литров |
|
11.06.1 |
Солод |
тонна |
|
12.00.1 |
Изделия табачные, кроме отходов |
миллион штук |
|
12.00.2 |
Отходы табака |
тонна |
|
13.10.1 |
Жир шерстный (включая ланолин) |
тонна |
|
13.10.2 |
Волокна текстильные натуральные, подготовленные для прядения |
тонна |
|
13.10.91 |
Шерсть или тонкий или грубый волос животных разволокненные |
тонна |
|
13.10.92 |
Отходы хлопка прочие; отходы разволокненные |
тонна |
|
15.11.1 |
Шкуры меховые, дубленые или выделанные |
тысяча дециметров квадратных |
|
15.11.2 |
Замша (включая замшу композиционную); кожа лаковая и лаковая ламинированная; кожа металлизированная |
тысяча дециметров квадратных |
|
15.11.4 |
Кожа из шкур овечьих, козьих или свиных без волосяного покрова |
тысяча дециметров квадратных |
|
15.11.5 |
Кожа животных прочих; кожа композиционная с основой из кожи натуральной |
тысяча дециметров квадратных |
Приложение 2
к статистической форме
«О деятельности
сельскохозяйственного кооператива»
(код 141103135 индекс 1-СПК,
периодичность квартальная)
Перечень видов услуг
|
Код видов услуг |
Наименование видов услуг |
|
01.61.1 |
Услуги вспомогательные в области выращивания культур сельскохозяйственных |
|
01.62.1 |
Услуги вспомогательные по разведению животных |
|
01.63.1 |
Услуги сельскохозяйственные после сбора урожая |
|
01.64.1 |
Услуги по обработке и подготовке семян для размножения |
|
10.11.9 |
Услуги субподрядные в области производства мяса переработанного и консервированного |
|
10.12.9 |
Услуги субподрядные в области производства мяса домашней птицы переработанного и консервированного |
|
10.13.9 |
Услуги по обработке тепловой и прочим способам переработки продуктов мясных; услуги субподрядные в области производства продуктов из мяса и мяса птицы |
|
10.20.9 |
Услуги по копчению и прочим способам консервирования и переработки рыбных продуктов; услуги субподрядные в области производства рыбы, ракообразных и моллюсков переработанных и консервированных |
|
10.31.9 |
Услуги по тепловой обработке и прочим способам переработки картофеля и продуктов из него (включая услуги по очистке); услуги субподрядные в области производства картофеля переработанного и консервированного |
|
10.32.9 |
Услуги в области производства соков фруктовых и овощных |
|
10.39.9 |
Услуги по тепловой обработке и другим способам переработки овощей, грибов и фруктов (включая услуги по очистке); услуги субподрядные в области производства фруктов, овощей и грибов прочих переработанных и консервированных |
|
10.41.9 |
Услуги в области производства масел и жиров животных и растительных |
|
10.42.9 |
Услуги в области производства маргарина и жиров пищевых аналогичных |
|
10.51.9 |
Услуги в области производства продуктов молочных и сыров |
|
10.52.9 |
Услуги в области производства мороженого |
|
10.61.9 |
Услуги в области производства продуктов мукомольной промышленности |
|
10.62.9 |
Услуги в области производства крахмала и крахмалопродуктов |
|
10.84.9 |
Услуги в области производства приправ и пряностей |
|
10.91.9 |
Услуги в области производства кормов готовых для животных сельскохозяйственных |
|
10.92.9 |
Услуги в области производства кормов готовых для животных домашних |
|
11.02.9 |
Услуги в области производства вина натурального |
|
11.03.9 |
Услуги в области производства сидра и вин плодово-ягодных прочих |
|
11.05.9 |
Услуги в области производства пива |
|
11.06.9 |
Услуги в области производства солода |
|
13.10.93 |
Услуги по обработке волокон текстильных натуральных |
|
33.12.21 |
Услуги по ремонту и техническому обслуживанию машин для сельского и лесного хозяйства (кроме тракторов) |
|
33.20.31 |
Услуги по установке машин и оборудования для сельского хозяйства |
|
46.11.1 |
Услуги по торговле оптовой, предоставляемые за вознаграждение или на договорной основе, сырьем сельскохозяйственным, животными живыми, сырьем текстильным и полуфабрикатами |
|
46.21.1 |
Услуги по торговле оптовой, кроме предоставляемых за вознаграждение или на договорной основе, зерном, семенами и кормами для животных |
|
46.21.2 |
Услуги по торговле оптовой, кроме предоставляемых за вознаграждение или на договорной основе, табаком необработанным |
|
46.22.1 |
Услуги по торговле оптовой, кроме предоставляемых за вознаграждение или на договорной основе, цветами и растениями |
|
46.23.1 |
Услуги по торговле оптовой, кроме предоставляемых за вознаграждение или на договорной основе, животными живыми |
|
46.24.1 |
Услуги по торговле оптовой, кроме предоставляемых за вознаграждение или на договорной основе, шкурами, кожей и выделанной кожей |
|
46.31.11 |
Услуги по торговле оптовой, кроме предоставляемых за вознаграждение или на договорной основе, фруктами и овощами свежими |
|
46.32.11 |
Услуги по торговле оптовой, кроме предоставляемых за вознаграждение или на договорной основе, мясом, включая птицу домашнюю |
|
46.33.12 |
Услуги по торговле оптовой, кроме предоставляемых за вознаграждение или на договорной основе, яйцами |
|
46.38.10 |
Услуги по торговле оптовой, кроме предоставляемых за вознаграждение или на договорной основе, рыбой, ракообразными и моллюсками |
|
46.61.1 |
Услуги по торговле оптовой, кроме предоставляемых за вознаграждение или на договорной основе, инвентарем, машинами, оборудованием для сельского хозяйства |
|
47.00.11 |
Услуги по торговле розничной фруктами и овощами свежими |
|
47.00.13 |
Услуги по торговле розничной мясом |
|
47.00.15 |
Услуги по торговле розничной рыбой, ракообразными и моллюсками |
|
47.00.18 |
Услуги по торговле розничной продуктами молочными |
|
47.00.19 |
Услуги по торговле розничной яйцами |
|
47.00.87 |
Услуги по торговле розничной сырьем сельскохозяйственным, не включенным в другие группировки |
|
49.41.1 |
Услуги автомобильного транспорта по грузовым перевозкам |
|
49.41.2 |
Услуги по аренде грузовых транспортных средств с водителем |
|
52.10.1 |
Услуги по хранению и складированию |
|
75.00.12 |
Услуги ветеринарные для домашнего скота |
|
77.12.1 |
Услуги по аренде автомобилей грузовых без водителей |
|
77.31.1 |
Услуги по аренде машин и оборудования сельскохозяйственных |
Приложение 3
к статистической форме
«О деятельности
сельскохозяйственного кооператива»
(код 141103135 индекс 1-СПК,
периодичность квартальная)
Перечень видов сельскохозяйственной продукции
|
Код видов продукции |
Наименование видов продукции |
Единица измерения |
|
01.11.1 |
Пшеница |
тонна |
|
01.11.2 |
Кукуруза (маис) |
тонна |
|
01.11.31 |
Ячмень |
тонна |
|
01.11.32 |
Рожь |
тонна |
|
01.11.33 |
Овес |
тонна |
|
01.11.41 |
Сорго (джугара) |
тонна |
|
01.11.42 |
Просо |
тонна |
|
01.11.49 |
Культуры зерновые прочие |
тонна |
|
01.11.5 |
Солома и шелуха зерновых культур |
тонна |
|
01.11.6 |
Овощи бобовые зеленые (свежие) |
тонна |
|
01.11.7 |
Овощи бобовые сушеные |
тонна |
|
01.11.81 |
Бобы соевые |
тонна |
|
01.11.82 |
Орехи земляные, нелущеные |
тонна |
|
01.11.83 |
Орехи земляные, лущеные |
тонна |
|
01.11.84 |
Семена хлопка |
тонна |
|
01.11.91 |
Семена льна |
тонна |
|
01.11.92 |
Семена горчицы |
тонна |
|
01.11.93 |
Семена рапса и сурепки |
тонна |
|
01.11.94 |
Семена кунжута |
тонна |
|
01.11.95 |
Семена подсолнечника |
тонна |
|
01.11.99 |
Семена масличные прочие, не включенные в другие группировки |
тонна |
|
01.12.1 |
Рис, необрушенный |
тонна |
|
01.13.11 |
Спаржа |
тонна |
|
01.13.12 |
Капуста |
тонна |
|
01.13.13 |
Капуста цветная и брокколи |
тонна |
|
01.13.14 |
Салат |
тонна |
|
01.13.15 |
Цикорий |
тонна |
|
01.13.16 |
Шпинат |
тонна |
|
01.13.17 |
Артишоки |
тонна |
|
01.13.19 |
Овощи листовые или черенковые прочие |
тонна |
|
01.13.2 |
Культуры бахчевые |
тонна |
|
01.13.31 |
Чили и перцы, зеленые (только рода capsicum) |
тонна |
|
01.13.32 |
Огурцы и корнишоны |
тонна |
|
01.13.33 |
Баклажаны |
тонна |
|
01.13.34 |
Помидоры |
тонна |
|
01.13.39 |
Культуры плодово-овощные прочие, не включенные в другие группировки |
тонна |
|
01.13.41 |
Морковь и турнепс |
тонна |
|
01.13.42 |
Чеснок |
тонна |
|
01.13.43 |
Лук |
тонна |
|
01.13.44 |
Лук-порей и овощи луковичные прочие |
тонна |
|
01.13.49 |
Корнеплоды, клубни или луковицы (без высокого содержания крахмала или инулина) прочие |
тонна |
|
01.13.51 |
Картофель |
тонна |
|
01.13.52 |
Картофель сладкий |
тонна |
|
01.13.53 |
Маниок |
тонна |
|
01.13.59 |
Корнеплоды и клубни столовые с высоким содержанием крахмала или инулина прочие |
тонна |
|
01.13.7 |
Свекла сахарная и семена свеклы сахарной |
тонна |
|
01.13.8 |
Грибы и трюфели |
тонна |
|
01.13.9 |
Овощи, свежие, не включенные в другие группировки |
тонна |
|
01.15.1 |
Табак необработанный |
тонна |
|
01.16.11 |
Хлопок, очищенный или не очищенный от семян |
тонна |
|
01.16.12 |
Джут, кенаф и волокна лубяные текстильные прочие, необработанные или подвергнутые мочке, кроме льна, конопли обыкновенной и рами |
тонна |
|
01.16.19 |
Лен, конопля обыкновенная и волокна текстильные необработанные, не включенные в другие группировки |
тонна |
|
01.19.1 |
Культуры кормовые |
тонна |
|
01.19.21 |
Цветы и цветочные бутоны, срезанные |
тысяча штук |
|
01.21.1 |
Виноград свежий |
тонна |
|
01.23.1 |
Фрукты цитрусовые |
тонна |
|
01.24 |
Плоды семечковые и косточковые |
тонна |
|
01.25.1 |
Ягоды и плоды прочие |
тонна |
|
01.25.2 |
Семена плодов |
тонна |
|
01.25.3 |
Орехи (кроме орехов съедобных диких, орехов земляных и орехов кокосовых) |
тонна |
|
01.25.9 |
Плоды плодовых и ягодных культур прочих, не включенные в другие группировки |
тонна |
|
01.28.1 |
Специи, необработанные |
тонна |
|
01.28.2 |
Шишки хмеля |
тонна |
|
01.28.3 |
Растения, используемые, в основном, в парфюмерии, фармации или в качестве инсектицидов, фунгицидов и для аналогичных целей |
тонна |
|
01.29.3 |
Материалы растительные, используемые прежде всего для плетения, набивки, окрашивания или дубления |
тонна |
|
01.30.1 |
Материалы растительные; растения живые; луковицы, клубни и корни; отводки и черенки; грибницы |
тысяча штук |
|
01.41.1 |
Скот крупный рогатый молочного стада, живой |
тонна |
|
01.41.2 |
Молоко сырое скота крупного рогатого молочного стада |
тонна |
|
01.42.1 |
Скот крупный рогатый прочий и буйволы, живые |
тонна |
|
01.42.2 |
Сперма скота крупного рогатого и буйволов |
доза |
|
01.43.1 |
Лошади и животные семейства лошадиных прочие, живые |
тонна |
|
01.44.1 |
Верблюды и веблюдовые, живые |
тонна |
|
01.45.1 |
Овцы и козы, живые |
тонна |
|
01.45.2 |
Молоко сырое овечье и козье |
тонна |
|
01.45.3 |
Шерсть стриженная с овец и коз, немытая (включая промытую руном) |
тонна |
|
01.46.1 |
Свиньи, живые |
тонна |
|
01.47.1 |
Домашняя птица, живая |
тонна |
|
01.47.21 |
Яйца куриные в скорлупе, свежие |
тысяча штук |
|
01.47.22 |
Яйца домашней птицы прочей в скорлупе, свежие |
тысяча штук |
|
01.49.1 |
Животные прочие, выращиваемые на ферме, живые |
тонна |
|
01.49.21 |
Мед натуральный |
тонна |
|
01.49.22 |
Молоко сырое, не включенное в другие группировки |
тонна |
|
01.49.28 |
Продукты непищевые животного происхождения, не включенные в другие группировки |
тонна |
|
01.49.31 |
Сырье пушно-меховое (шкурки невыделанные), кроме шкурок ягнят |
штука |
|
01.49.32 |
Шкурки ягнят смушковых |
штука |
|
01.49.39 |
Шкурки животных прочие (сырые или консервированные, но без дальнейшей обработки), не включенные в другие группировки |
штука |
|
03.00.1 |
Рыба живая |
тонна |
|
03.00.2 |
Рыба свежая или охлажденная |
тонна |
|
03.00.3 |
Ракообразные, немороженые |
тонна |
|
03.00.4 |
Моллюски и водные беспозвоночные, живые, свежие или охлажденные |
тонна |
|
10.85.1. |
Продукты пищевые готовые и блюда |
килограмм |
Приложение 10
к приказу Председателя
Комитета по статистике
Министерства национальной
экономики Республики Казахстан
от 24 декабря 2018 года №12
Приложение 35
к приказу Председателя
Комитета по статистике
Министерства национальной
экономики Республики Казахстан
от 20 ноября 2017 года № 180
Инструкция по заполнению статистической формы общегосударственного статистического наблюдения «О деятельности сельскохозяйственного кооператива» (код 141103135, индекс 1-СПК, периодичность квартальная)
1. Настоящая инструкция по заполнению статистической формы общегосударственного статистического наблюдения «О деятельности сельскохозяйственного кооператива» (код 141103135, индекс 1-СПК, периодичность квартальная) разработана в соответствии с подпунктом 8) статьи 12 Закона Республики Казахстан от 19 марта 2010 года «О государственной статистике» детализирует заполнение статистической формы общегосударственного статистического наблюдения «О деятельности сельскохозяйственного кооператива» (код 141103135, индекс 1-СПК, периодичность квартальная) (далее - статистическая форма).
2. В настоящей инструкции используются понятия в значениях, определенных в Законе Республики Казахстан от 29 октября 2015 года «О сельскохозяйственных кооперативах».
3. Если деятельность сельскохозяйственного кооператива осуществляется на территории нескольких районов и (или) областей, статистическая форма представляется с выделением информации по каждой территории на отдельных бланках, данные отражаются по месту осуществления деятельности.
4. В разделе 1 указывается место фактического осуществления деятельности сельскохозяйственного кооператива (область, город, район), независимо от места регистрации.
5. В разделе 2 указывается информация о членах сельскохозяйственного кооператива. В графе 1 указывается количество членов по типам и организационно-правовой форме.
6. В разделе 3 указывается численность работников сельскохозяйственного кооператива. В строке 2 учитываются все работники, числящиеся в списках организации в отчетном периоде, выполняющие работу по определенной специальности, квалификации или должности с исполнением актов работодателя, в том числе лица, занятые на общественных началах. В строке 3 указывается численность работников, выполняющих работу в свободное от основной работы время. В строке 4 указывается численность лиц, выполняющих работы по договорам гражданско-правового характера, принятые по договору только на время выполнения определенного, конкретного объема работ (разовых, специальных хозяйственных), осуществляемых без подчинения внутреннему трудовому распорядку организации.
7. В разделе 4 указываются сведения о производстве продукции непосредственно произведенной сельскохозяйственным кооперативом полученной от сельскохзяйственных животных, состоящие на балансе сельскохозяйственного кооператива и произведенной на производствнных мощностях, принадлежащих сельскохозяйственным кооперативам. Вид продукции заполняется в соответствии с приложением 1 к статистической форме. В графе 1 приводятся сведения о производстве продукции в натуральном выражении (скот и птица на убой показывается в убойном весе), в графе 2 - в стоимостном выражении в тысячах тенге.
8. В разделе 5 указываются данные об объеме оказанных услуг сельскохозяйственным кооперативом по видам, в соответствии с приложением 2 к статистической форме.
9. В разделе 6 указываются данные о заготовке, закупе и реализации сельскохозяйственной продукции сельскохозяйственным кооперативом по видам, в соответствии с приложением 3 к статистической форме. В графах 1 и 3 приводятся сведения о закупе и реализации сельскохозяйственной продукции в натуральном выражении (скот и птица на убой показывается в убойном весе), в графах 2 и 4 - в стоимостном выражении в тысячах тенге. В графе 5 приводятся сведения о заготовке сельскохозяйственной продукции в натуральном выражении (прием сельскохозяйственной продукции у членов кооператива, хранение и укомплектация для ее последующей передачи перерабатывающим предприятиям).
Стоимость закупа продукции отражается с учетом транспортных, торгово-сбытовых, посреднических и других расходов.
10. В разделе 7 указываются данные о наличии сельскохозяйственной техники, находящейся на балансе сельскохозяйственного кооператива, на конец квартала.
11. Представление данной статистической формы осуществляется на бумажном носителе или в электронном виде. Заполнение статистической формы в электронном виде осуществляется посредством использования информационной системы «Сбор данных в оn-line режиме», размещенного на интернет-ресурсе Комитета по статистике Министерства национальной экономики Республики Казахстан (www.stat.gov.kz).
12. Арифметико-логический контроль.
1) Раздел 2:
строка 1 по графе 1 = Σ строк 2, 3, 4, 5 по графе 1.
3) Раздел 3:
строка 1 по графе 1 = Σ строк 2, 3 по графе 1.
4) Раздел 4:
если графа 1 заполнена, то графа 2 должна быть заполнена по всем строкам;
если графа 2 заполнена, то графа 1 должна быть заполнена по всем строкам.
5) Раздел 6:
если графа 1 заполнена, то графа 2 должна быть заполнена по всем строкам;
если графа 2 заполнена, то графа 1 должна быть заполнена по всем строкам;
если графа 3 заполнена, то графа 4 должна быть заполнена по всем строкам;
если графа 4 заполнена, то графа 3 должна быть заполнена по всем строкам.