О внесении изменения в приказ исполняющего обязанности Министра национальной экономики Республики Казахстан от 30 марта 2015 года № 282 «Об утверждении правил установления пороговых значений розничных цен на социально значимые продовольственные товары и размера предельно допустимых розничных цен на них»

Приказ и.о. Министра национальной экономики Республики Казахстан от 1 августа 2018 года № 4

ПРИКАЗЫВАЮ:

1. Внести в приказ исполняющего обязанности Министра национальной экономики Республики Казахстан от 30 марта 2015 года № 282 «Об утверждении правил установления пороговых значений розничных цен на социально значимые продовольственные товары и размера предельно допустимых розничных цен на них» (зарегистрирован в Реестре государственной регистрации нормативных правовых актов за № 11245, опубликован 29 сентября 2015 года в информационно-правовой системе «Әділет») следующее изменение:

Правила установления пороговых значений розничных цен на социально значимые продовольственные товары и размера предельно допустимых розничных цен на них, утвержденные указанным приказом, изложить в редакции согласно приложению к настоящему приказу.

2. Департаменту регулирования торговой деятельности Министерства национальной экономики Республики Казахстан обеспечить в установленном законодательством порядке:

1) государственную регистрацию настоящего приказа в Министерстве юстиции Республики Казахстан;

2) в течение десяти календарных дней со дня государственной регистрации настоящего приказа направление его копии на казахском и русском языках в Республиканское государственное предприятие на праве хозяйственного ведения «Республиканский центр правовой информации» для официального опубликования и включения в Эталонный контрольный банк нормативных правовых актов Республики Казахстан;

3) размещение настоящего приказа на интернет-ресурсе Министерства национальной экономики Республики Казахстан и на интранет-портале государственных органов;

4) в течение десяти рабочих дней после государственной регистрации настоящего приказа в Министерстве юстиции Республики Казахстан представление в Юридический департамент Министерства национальной экономики Республики Казахстан сведений об исполнении мероприятий, предусмотренных подпунктами 1), 2) и 3) настоящего пункта.

3. Контроль за исполнением настоящего приказа возложить на курирующего вице-министра национальной экономики Республики Казахстан.

4. Настоящий приказ вводится в действие по истечении десяти календарных дней после дня его первого официального опубликования.

 

Исполняющий обязанности

Министра национальной

экономики Республики Казахстан

Р. Даленов

 

«СОГЛАСОВАН»

Исполняющий обязанности

Министра сельского хозяйства

Республики Казахстан

А. Евниев

21 июля 2018 год

«СОГЛАСОВАН»

Исполняющий обязанности

Министра финансов

Республики Казахстан

Б. Шолпанкулов

30 июля 2018 год

Приложение

к приказу исполняющего обязанности

Министра национальной экономики

Республики Казахстан

от 1 августа 2018 года № 4

 

Утверждены

приказом исполняющего обязанности

Министра национальной экономики

Республики Казахстан

от 30 марта 2015 года № 282

Правила установления пороговых значений розничных цен на социально значимые продовольственные товары и размера предельно допустимых розничных цен на них

Глава 1. Общие положения

 1. Настоящие Правила разработаны в соответствии с подпунктом 15) статьи 7 Закона Республики Казахстан от 12 апреля 2004 года «О регулировании торговой деятельности» (далее - Закон) и определяют порядок установления пороговых значений розничных цен на социально значимые продовольственные товары и размера предельно допустимых розничных цен на них.

2. На территории области, города республиканского значения, столицы устанавливается пороговое значение розничных цен на социально значимые продовольственные товары по перечню, утвержденному постановлением Правительства, согласно подпункту 6) статьи 5 Закона Республики Казахстан от 8 июля 2005 года «О государственном регулировании развития агропромышленного комплекса и сельских территорий».

3. Пороговое значение розничных цен на социально значимые продовольственные товары определяется по каждому отдельному социально значимому продовольственному товару, на территории города областного и республиканского значения, столицы для каждого квартала.

 

Глава 2. Порядок установления пороговых значений розничных цен на социально значимые продовольственные товары

 

4. Для расчета порогового значения розничных цен на социально значимые продовольственные товары используется официальная статистическая информация, формируемая органами государственной статистики согласно Плану статистических работ.

Источником информации являются опубликованные официальные данные по уровню и изменению цен на социально значимые продовольственные товары.

Расчет пороговых значений розничных цен на социально значимые продовольственные товары осуществляется по следующей формуле:

pi=pbase * rav,i,

где:

pi - пороговое значение розничных цен на социально значимые продовольственные товары за i-ый квартал, в тенге;

pbase - базовая розничная цена по товару, в тенге;

rav,i - среднее изменение индекса цен по товару за i-ый квартал последних трех лет, в процентах;

i - порядковый номер квартала.

Базовой розничной ценой по товару является розничная цена социально значимых продовольственных товаров в столице, городах республиканского и областного значения на 20 ноября текущего года.

Среднее изменение индекса цен по товару за кварталы последних трех лет рассчитывается по следующей формуле:

 

 

где:

rn,i - индекс цен по товару за i-ый квартал n-го года, в процентах;

rn-1,i - индекс цен по товару за i-ый квартал n-1 года, в процентах;

rn-2,i - индекс цен по товару за i-ый квартал n-2 года, в процентах;

n - год, предшествующий году, на который производится установление пороговых значений розничных цен.

При этом пороговые значения розничных цен на социально значимые продовольственные товары на четвертый квартал предстоящего года устанавливаются с учетом индекса цен по товару за четвертый квартал двух предшествующих лет и за октябрь n-го года и корректируются на основании вышеуказанной формулы, после опубликования органами государственной статистики данных за четвертый квартал n-го года.

5. Местные исполнительные органы областей, города республиканского значения и столицы (далее - местные исполнительные органы), проводят на основании данных органов государственной статистики сравнительный анализ текущих розничных цен с пороговыми значениями на социально значимые продовольственные товары и ежеквартально к 5 числу месяца, следующего за отчетным периодом, представляют в уполномоченный орган в области регулирования торговой деятельности (далее - уполномоченный орган).

6. Местные исполнительные органы вносят в уполномоченный орган:

1) ежегодно до 5 декабря текущего года предложения по утверждению пороговых значений розничных цен на социально значимые продовольственные товары на кварталы предстоящего года;

2) ежегодно до 20 февраля текущего года скорректированные предложения по утверждению пороговых значений розничных цен на социально значимые продовольственные товары на четвертый квартал текущего года.

В целях определения пороговых значений розничных цен на социально значимые продовольственные товары уполномоченный орган в течение десяти рабочих дней проводит макроэкономический анализ со дня предоставления предложений местных исполнительных органов.

7. После получения соответствующего решения уполномоченного органа по итогам макроэкономического анализа местные исполнительные органы утверждают пороговые значения розничных цен на социально значимые продовольственные товары до 31 января года, предшествующего установлению пороговых значений розничных цен на социально значимые продовольственные товары, и до 25 марта текущего года скорректированные данные на четвертый квартал текущего года.

Глава 3. Порядок определения размера предельно допустимых розничных цен на социально значимые продовольственные товары

 

 8. Местные исполнительные органы устанавливают размер предельно допустимых розничных цен на социально значимые продовольственные товары на территории области, города республиканского значения, столицы на срок не более чем девяносто календарных дней с возможностью его пересмотра не ранее чем через 15 календарных дней:

1) в случае превышения пороговых значений розничных цен на социально значимые продовольственные товары на 15%;

2) при одновременном росте розничных цен на 30% в течение 30 дней с превышением пороговых значений розничных цен на социально значимые продовольственные товары.

9. Источником информации являются еженедельные данные официальной статистики по уровню и изменению цен на социально значимые продовольственные товары.

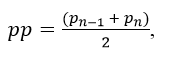
10. Размер предельно допустимых розничных цен на социально значимые продовольственные товары определяется по следующей формуле:

 

 

где:

pp - размер предельно допустимых розничных цен;

pn-1 - розничная цена на социально значимые продовольственные товары на неделю ранее;

pn - текущая розничная цена на социально значимые продовольственные товары.

11. Размер предельно допустимых розничных цен на социально значимые продовольственные товары утверждается решением акима области, города республиканского значения, столицы на основе рекомендации Комиссии по утверждению размера предельно допустимых розничных цен на социально значимые продовольственные товары (далее - Комиссия).

12. Состав Комиссии утверждается распоряжением акима области, города республиканского значения, столицы. Рабочим органом Комиссии является местный исполнительный орган.

Председателем Комиссии является заместитель акима области, города республиканского значения, столицы. Секретарь Комиссии не является ее членом и не имеет права голоса при принятии Комиссией рекомендаций. В состав Комиссии входят представители местных представительных и исполнительных органов, представители субъектов торговой деятельности. Число членов Комиссии является нечетным и составляет не менее 7 человек, включая председателя. Представители субъектов торговой деятельности составляют не менее 40 % от общего числа членов Комиссии.

Палаты предпринимателей областей, городов республиканского значения и столицы обеспечивают участие субъектов торговой деятельности в зависимости от характера рассматриваемого вопроса на заседании Комиссии.

13. При принятии рекомендаций Комиссией учитываются:

1) территориальная отдаленность региона от мест производства социально значимых продовольственных товаров;

2) покупательская способность и плотность населения;

3) условия и возможности хранения социально значимых продовольственных товаров в регионе;

4) экономическая целесообразность установления размера предельно допустимых розничных цен на социально значимые продовольственные товары.

14. В случаях, предусмотренных пунктом 8 настоящих Правил, Комиссия вносит рекомендацию акиму области, города республиканского значения, столицы в течение пяти рабочих дней.

15. На основании рекомендации Комиссии, аким области, города республиканского значения, столицы в течение трех рабочих дней принимает решение по утверждению размера предельно допустимых розничных цен на социально значимые продовольственные товары, реализуемые на территории соответствующего региона Республики Казахстан, с указанием наименований продовольственных товаров, размеров предельно допустимых розничных цен на такие товары и сроков, на которые вводятся предельно допустимые розничные цены.

16. Рабочий орган Комиссии после принятия решения в однодневный срок уведомляет уполномоченный орган и уполномоченный орган в области развития агропромышленного комплекса, а также в средствах массовой информации распространяет информацию об утверждении размера предельно допустимых розничных цен на социально значимые продовольственные товары в регионе.

17. Местными исполнительными органами осуществляется контроль над превышением субъектами торговой деятельности размера предельно допустимых розничных цен на социально значимые продовольственные товары в соответствии с подпунктом 7) статьи 8 Закона.

18. При утверждении размера предельно допустимых розничных цен на социально значимые продовольственные товары, местные исполнительные органы проводят мониторинг и анализ воздействия решения принятого в соответствии с подпунктом 2) части второй статьи 8 Закона, на ценообразование данных товаров.