О внесении изменения в совместный приказ Министра финансов Республики Казахстан от 30 декабря 2016 года № 706 и Министра национальной экономики Республики Казахстан от 30 декабря 2016 года № 540 «Об утверждении Методики по оценке эффективности достижения целей»

Совместный приказ Министра национальной экономики Республики Казахстан от 16 января 2019 года № 7 и Министра финансов Республики Казахстан от 16 января 2019 года № 22

ПРИКАЗЫВАЕМ:

1. Внести в совместный приказ Министра финансов Республики Казахстан от 30 декабря 2016 года № 706 и Министра национальной экономики Республики Казахстан от 30 декабря 2016 года № 540 «Об утверждении Методики по оценке эффективности достижения целей» (зарегистрирован в Реестре государственной регистрации нормативных правовых актов за № 14781, опубликован 2 марта 2017 года в Эталонном контрольном банке нормативных правовых актов Республики Казахстан) следующее изменение:

Методику по оценке эффективности достижения целей, утвержденную указанным совместным приказом изложить в редакции согласно приложению к настоящему совместному приказу.

2. Департаменту развития системы государственного управления в установленном законодательством Республики Казахстан порядке обеспечить:

1) государственную регистрацию настоящего совместного приказа в Министерстве юстиции Республики Казахстан;

2) в течение десяти календарных дней со дня государственной регистрации настоящего совместного приказа направление его на казахском и русском языках в Республиканское государственное предприятие на праве хозяйственного ведения «Республиканский центр правовой информации» для официального опубликования и включения в Эталонный контрольный банк нормативных правовых актов Республики Казахстан;

3) размещение настоящего совместного приказа на интернет-ресурсе Министерства национальной экономики Республики Казахстан;

4) в течение десяти рабочих дней после государственной регистрации настоящего совместного приказа представление в Департамент юридической службы Министерства национальной экономики Республики Казахстан сведений об исполнении мероприятий, предусмотренных подпунктами 1), 2) и 3) настоящего пункта.

3. Контроль за исполнением настоящего совместного приказа возложить на курирующего вице-министра национальной экономики Республики Казахстан и курирующего вице-министра финансов Республики Казахстан.

4. Настоящий совместный приказ вводится в действие по истечении десяти календарных дней после дня его первого официального опубликования.

Министр финансов
Республики Казахстан
А. Смаилов

Министр национальной экономики
Республики Казахстан
Т. Сулейменов

 

Приложение
к совместному приказу
Министра финансов
Республики Казахстан
от 16 января 2019 года № 22 и
Министра национальной экономики
Республики Казахстан
от 16 января 2019 года № 7

Утверждена
совместным приказом
Министра финансов
Республики Казахстан
от 30 декабря 2016 года № 706 и
инистра национальной экономики
Республики Казахстан
от 30 декабря 2016 года № 540

Методика по оценке эффективности достижения целей

Глава 1. Общие положения

1. Настоящая Методика по оценке эффективности достижения целей (далее - Методика) разработана в целях реализации Системы ежегодной оценки эффективности деятельности центральных государственных и местных исполнительных органов областей, городов республиканского значения и столицы, утвержденной Указом Президента Республики Казахстан от 19 марта 2010 года № 954 (далее - Система оценки).

2. В настоящей Методике используются следующие определения:

1) корректировка плановых значений индикатора -снижение плановых значений целевых индикаторов стратегического плана;

2) динамика фактического исполнения целевого индикатора - отсутствие ухудшения фактического исполнения целевых индикаторов стратегического плана по сравнению с фактом прошлого периода, за исключением случаев невыполнения мероприятий и обязательств, обусловленных независящими от деятельности государственного органа факторами;

3) перевыполнение индикатора - перевыполнение фактического значения индикатора от планового на 25% и более;

4) эффективность исполнения бюджетной программы - достижение поставленных целей с наименьшими издержками, определяется соизмерением (отношением) результатов с затратами;

5) прямой результат - количественная характеристика объема выполняемых государственных функций, полномочий и оказываемых государственных услуг в пределах предусмотренных бюджетных средств, достижение которых полностью зависит от деятельности организации, осуществляющей данные функции, полномочия или оказывающей услуги;

6) конечный результат - показатель бюджетной программы, количественно измеряющий достижение цели стратегического плана, программы развития территории и (или) бюджетной программы, обусловленный достижением прямых результатов деятельности государственного органа.

3. Методика предназначена для определения эффективности мер, принимаемых государственными органами по развитию курируемой отрасли/сфер/региона, а также по использованию бюджетных средств.

4. Оценка эффективности достижения целей (далее - оценка эффективности) осуществляется согласно Графику проведения ежегодной оценки эффективности деятельности государственных органов (далее - График оценки), утверждаемому Администрацией Президента Республики Казахстан.

5. Оценка эффективности осуществляется следующими государственными органами (далее - уполномоченные на оценку государственные органы):

Администрацией Президента Республики Казахстан - оценка эффективности центральных государственных органов, непосредственно подчиненных и подотчетных Президенту Республики Казахстан;

Канцелярией Премьер-Министра Республики Казахстан - оценка эффективности уполномоченных органов по государственному планированию и исполнению бюджета;

Министерством финансов Республики Казахстан (далее - уполномоченный орган по исполнению бюджета) - оценка эффективности местных исполнительных органов по достижению показателей бюджетных программ, а также перепроверка отчетных данных центральных государственных органов по реализации бюджетных программ;

Министерством национальной экономики Республики Казахстан (далее - уполномоченный орган по государственному планированию) - оценка эффективности центральных государственных органов по достижению целей стратегических планов и показателей бюджетных программ, в том числе и оценка эффективности местных исполнительных органов по достижению целей программ развития территорий.

Для проведения оценки эффективности местных исполнительных органов по достижению показателей бюджетных программ, а также для перепроверки отчетных данных центральных государственных органов по реализации бюджетных программ в уполномоченном органе по исполнению бюджета создается рабочая группа (далее - Рабочая группа по исполнению бюджета), являющаяся подгруппой Комиссии по ежегодной оценке. Состав Рабочей группы утверждается приказом уполномоченного органа по исполнению бюджета или приказом ведомства уполномоченного органа по исполнению бюджета.

Глава 2. Источники информации для оценки эффективности достижения целей

6. Оцениваемые государственные органы ежегодно в сроки, установленные Графиком оценки, представляют в уполномоченные на оценку государственные органы отчетную информацию на электронных и бумажных носителях по итогам отчетного (календарного) года:

1) информацию о взаимосвязи целей, целевых индикаторов с бюджетными программами центрального государственного органа по форме, согласно приложению 1 к Методике;

2) информацию о достижении прямых результатов оцениваемых бюджетных программ развития (местные исполнительные органы) по форме, согласно приложению 2 к Методике;

3) пояснительную записку (местные исполнительные органы).

В пояснительной записке о достижении прямых результатов оцениваемых бюджетных программ развития местными исполнительными органами указывается сводная информация о полученных средствах по целевым трансфертам развития и достигнутых результатах в рамках каждой государственной программы (план и факт: построено, отремонтировано объектов образования, здравоохранения, социального значения, квадратных метров жилья, дорог, тепло-, водо-, газо-, электроснабжения).

7. Органы государственного аудита и финансового контроля представляют в уполномоченные органы по исполнению бюджета информацию о результатах государственного аудита и исполнении предписаний и постановлений органов государственного аудита и финансового контроля, по форме согласно приложению 3 к Методике.

Оценка эффективности деятельности государственных органов по достижению целей осуществляется на основании, представленной отчетной информации, а также размещенных согласно Графику оценки на их официальных интернет - ресурсах:

1) стратегических планов центральных государственных органов;

2) программ развития территорий местных исполнительных органов;

3) отчетов о реализации стратегических планов;

4) отчетов о реализации программ развития территорий, на основании базового перечня показателей для местных исполнительных органов;

5) статистического отчета уполномоченного органа по исполнению бюджета об исполнении бюджета оцениваемых центральных государственных и местных исполнительных органов;

6) статистических и ведомственных данных;

7) международных рейтингов;

8) других источников (при наличии).

Глава 3. Перепроверка данных, содержащихся в отчетной информации оцениваемых государственных органов

8. Уполномоченные на оценку государственные органы проводят перепроверку данных, содержащихся в отчетной информации оцениваемых государственных органов на предмет их достоверности.

9. Достоверность данных обеспечивается оцениваемыми государственными органами и подтверждается статистическими и ведомственными данными, международными показателями конкурентоспособности, а также данными отраслевых центральных государственных органов.

10. В соответствии с пунктом 41 Системы оценки уполномоченными на оценку государственными органами осуществляется перепроверка данных, содержащихся в отчетной информации оцениваемых государственных органов (далее - перепроверка). При этом отчетная информация оцениваемых государственных органов, подлежащих перепроверке определяется согласно пункту 42 Системы оценки.

11. Перепроверка проводится на предмет определения достоверности представленной информации по реализации стратегических планов/программ развития территорий и бюджетных программ.

12. Процедура перепроверки состоит из сбора и анализа подтверждающих документов (ведомственные отчеты, акты выполненных работ и оказанных услуг, протокола, письма), а также с выходом в оцениваемые государственные органы. По итогам перепроверки данных, содержащихся в отчетной информации, составляется акт сверки по форме, согласно приложению 4 к Методике (далее - Акт сверки).

13. В рамках перепроверки уполномоченные на оценку государственные органы получают электронные копии подтверждающих документов, за исключением документов, имеющих гриф секретности, а также пометку «Для служебного пользования».

14. Уполномоченный орган по исполнению бюджета ежегодно по результатам перепроверки показателей достижения результатов бюджетных программ центральных государственных органов в срок до 10 апреля предоставляет Акт сверки в уполномоченный орган по государственному планированию.

Глава 4. Процедура определения своевременности, полноты и достоверности отчетной информации

15. Оцениваемый государственный орган обеспечивает своевременное предоставление полной и достоверной отчетной информации в соответствии с Графиком оценки.

16. В случае представления оцениваемым государственным органом в уполномоченные на оценку государственные органы несвоевременной, недостоверной отчетной информации из итоговой оценки оцениваемого государственного органа по данному блоку вычитаются штрафные баллы.

17. Несвоевременной признается отчетная информация, представленная/размещенная после срока, предусмотренного Графиком оценки.

За представление/размещение оцениваемым государственным органом несвоевременной отчетной информации производится вычитание 1,5 (полтора) штрафных балла.

18. За представление/размещение оцениваемым государственным органом неполной отчетной информации производится вычитание 2 (двух) штрафных баллов.

Неполной признается отчетная информация, в которой отсутствуют элементы (приложения, разделы, таблицы), предусмотренные установленными требованиями к структуре отчетной информации.

19. За представление/размещение оцениваемым государственным органом недостоверной отчетной информации производится вычитание 0,2 штрафных балла за каждый зафиксированный факт. Недостоверной признается отчетная информация, в ходе перепроверки которой выявлены несоответствующие действительности факты.

За предоставление недостоверной информации производится вычет не более 2 (двух) баллов.

За представление/размещение повторной, с учетом Акта сверки предыдущего отчетного года, недостоверной отчетной информации оцениваемого государственного органа производится вычитание 0,5 штрафных баллов за каждый зафиксированный факт.

Общая сумма вычитаемых штрафных баллов не превышает 6,5 балла.

Факты предоставления недостоверной информации фиксируются в акте сверки по итогам перепроверки данных.

20. В случае отсутствия методики расчета по целевому индикатору, производится вычитание 0,5 штрафных балла за каждый зафиксированный факт.

21. В случае, если по целевому индикатору программы развития территорий местного исполнительного органа отмечается перевыполнение фактического показателя от планового значения, то производится вычитание 0,2 штрафных балла за каждый зафиксированный факт перевыполнения плановых значений.

Не учитываются штрафные баллы по перевыполнению показателей Базового перечня: снижение материнской смертности (количество случаев на 100 тыс. родившихся живыми), снижение младенческой смертности (количество случаев на 1 тыс. родившихся живыми), снижение смертности от злокачественных новообразований (количество случаев на 100 тыс. населения), снижение числа погибших в дорожно-транспортных происшествиях на 100 пострадавших, средняя площадь одного лесного пожара на территории государственного лесного фонда находящегося в ведении местных исполнительных органов.

22. В случае, если по показателям прямых и конечных результатов бюджетных программ отмечается перевыполнение фактических значений от плановых более, чем на 5%, то производится вычитание 0,2 штрафных балла за каждый зафиксированный факт перевыполнения плановых значений.

23. Информация о вычетах отражается в Заключении в разделе «Вычет баллов» центрального государственного органа/местного исполнительного органа.

Глава 5. Оценка эффективности достижения целей стратегического плана центральных государственных органов

24. Оценка эффективности осуществляется посредством определения уровня достижения целей стратегического плана государственного органа и эффективности исполнения бюджетных программ.

25. Оценка эффективности центральных государственных органов осуществляется по следующим критериям:

1) достижение целей стратегического плана;

2) эффективность исполнения бюджетных программ в достижении цели стратегического плана;

3) взаимосвязь цели стратегического плана с бюджетными программами.

26. Заключение о результатах оценки достижения целей центрального государственного органа, формируется по форме, согласно приложению 6 к Методике.

 

Параграф 1. Оценка по критерию «Аi»«Достижение целей стратегического плана»

27. Оценка эффективности осуществляется посредством определения уровня достижения целей стратегического плана государственного органа.

28. Оценка по критерию «Аi» «Достижение цели стратегического плана» рассчитывается по следующей формуле:

http://zan.gov.kz/api/documents/docimages/I128760_1/179.jpg

где:

hj - коэффициент достижения каждого целевого индикатора, предусмотренного в достижении соответствующей цели стратегического плана;

m - количество целевых индикаторов, предусмотренных для достижения соответствующей цели стратегического плана.

В случае, если характер динамики целевого индикатора положительный, коэффициент достижения каждого целевого индикатора, предусмотренного в достижении соответствующей цели стратегического плана, рассчитывается путем соотношения фактического исполнения к плановому значению.

В случае если характер динамики целевого индикатора отрицательный, коэффициент достижения каждого целевого индикатора предусмотренного в достижении соответствующей цели стратегического плана, рассчитывается путем соотношения планового значения к фактическому исполнению.

При этом:

если hj ≥ 1, то hj = 1,

если hj1, то hj = соотношение факта к плановому значению/ соотношения планового значения к фактическому исполнению;

если hj ˂ 0, то hj = 0.

Целевой индикатор, не имеющий планового значения на отчетный период, в расчет коэффициента достижения цели стратегического плана не принимается.

Не допускается снижение плановых значений целевых индикаторов и показателей результатов на соответствующий финансовый год, за исключением случаев невыполнения мероприятий и обязательств, обусловленных независящими от деятельности государственного органа факторами (поручений Правительства, последствий чрезвычайных ситуаций).

В случае, если единица измерения целевого индикатора является время (час: минута), то при расчете достижения индикатора учитывается единый формат единицы измерения (часы или минуты).

В случае отсутствия официальных статистических данных на момент проведения оценки, в расчет принимаются данные за последние 9 (девять) месяцев и более. При невозможности представления данных за последние 9 (девять) месяцев и более, целевой индикатор в расчет коэффициента достижения цели стратегического плана не принимается.

При расчете коэффициента достижения целей стратегического плана учитывается наличие фактов перевыполнения индикатора, корректировок плановых значений индикатора в сторону снижения, отсутствие положительной динамики факта по сравнению с фактом прошлого года.

В случае наличия указанных фактов результат достижения целевого индикатора hj умножается на коэффициент 0,9 (за исключением случаев корректировок плановых значений индикатора в сторону снижения и/или их недостижения (невыполнения мероприятий и обязательств), обусловленных независящими от деятельности государственного органа факторами (поручений Правительства, последствий чрезвычайных ситуаций).

 

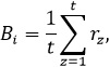
Параграф 2. Оценка по критерию «Bi»«Эффективность исполнения бюджетных программ в достижении цели стратегического плана»

29. По критерию Вi оценивается эффективность реализации намеченных результатов бюджетных программ, предусмотренных для достижения стратегической цели.

30. Расчет критерия Вi «Эффективность исполнения бюджетных программ в достижении цели стратегического плана» осуществляется по следующей формуле:

http://zan.gov.kz/api/documents/docimages/I128760_1/201.jpg

где:

rz - коэффициент эффективности исполнения каждой бюджетной программы в достижении цели;

t - количество бюджетных программ в достижении цели.

Коэффициент эффективности исполнения каждой бюджетной программы в достижении цели (rz) рассчитывается путем деления среднеарифметического значения коэффициентов достижения показателей прямых и конечных результатов на коэффициент освоения бюджетных средств бюджетной программы.

В случае перевыполнения показателей достижения прямых и конечных результатов, учитывается по показателю значение, не превышающее 100%.

По бюджетным программам, по которым освоение средств составило 90% и меньше, а достижение результатов выше, коэффициент эффективности исполнения будет составлять 0,9.

Например, по программе средства освоены на 84,5%, а результаты достигнуты на 100%, коэффициент эффективности исполнения бюджетной программы составит 1,2 (100/84,5).

Другой пример: средства освоены на 63%, результаты достигнуты на 75%, коэффициент эффективности исполнения бюджетной программы составит 1,2 (75/63).

В этих случаях к таким программам применяется коэффициент эффективности исполнения 0,9.

Оценке подлежат все бюджетные программы (за исключением субвенций), участвующие в достижении целей и целевых индикаторов стратегического плана государственного органа.

По трансфертам и распределяемым бюджетным программам у администратора бюджетных программ, направляющего трансферты и распределяющего распределяемые бюджетные программы оцениваются показатели конечных результатов.

У администраторов бюджетных программ, получающих средства за счет распределяемых бюджетных программ оцениваются показатели прямых результатов.

 

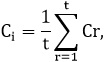
Параграф 3. Оценка по критерию «Сi» «Взаимосвязь цели стратегического плана с бюджетными программами»

31. По критерию «Сi» оценивается степень взаимосвязи цели стратегического плана с показателями реализуемых бюджетных программ.

32. Коэффициент взаимосвязи цели стратегического плана с бюджетными программами определяется экспертным путем, при анализе каждой бюджетной программы на взаимосвязь и соответствие.

Например, если по бюджетной программе 2 из 10 показателей не характеризуют достижение цели и целевых индикаторов, то коэффициент взаимосвязи необходимо рассчитать отношением 8/10. В данном случае коэффициент взаимосвязи будет равен 0,8.

Коэффициент взаимосвязи каждой цели рассчитывается среднеарифметическим значением взаимосвязи всех участвующих в ее достижении бюджетных программ.

http://zan.gov.kz/api/documents/docimages/I128760_1/222.jpg

где:

Сi - коэффициент взаимосвязь цели стратегического плана с бюджетными программами;

Сr - коэффициент взаимосвязи бюджетной программы в достижении цели;

t - количество бюджетных программ в достижении цели.

 

Параграф 4. Итоговый расчет достижения цели стратегического плана и эффективности исполнения бюджетных программ центральных государственных органов

33. Формула расчета достижения цели стратегического плана и показателей бюджетных программ в достижении цели:

Ri = ( Ai + Bi ) / 2 x Ci,

где:

Ai - коэффициент достижения цели стратегического плана;

Bi - коэффициент эффективности исполнения бюджетных программ в достижении целей стратегического плана;

Ci - коэффициент взаимосвязи цели стратегического плана с бюджетными программами.

34. Коэффициент оценки эффективности достижения целей и показателей бюджетных программ центральных государственных органов формируется с учетом математического округления до двух знаков после запятой.

 

Параграф 5. Общая оценка по «Достижению цели» центральных государственных органов

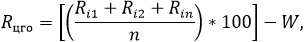
35. Общая оценка эффективности по «Достижению цели» центральных государственных органов определяется по следующей формуле:

http://zan.gov.kz/api/documents/docimages/I128760_1/242.jpg

где:

RЦГО - итоговая оценка эффективности достижения целей и показателей бюджетных программ центрального государственного органа;

Ri - коэффициент достижения цели стратегического плана и показателей бюджетных программ в достижении цели;

n - количество целей стратегического плана;

W - штрафные баллы.

36. Итоговый балл оценки эффективности достижения целей и показателей бюджетных программ центральных государственных органов формируется с учетом математического округления до двух знаков после запятой.

37. В соответствии с полученным результатом оценки определяется степень эффективности деятельности государственного органа по достижению целей.

Высокая степень эффективности государственного органа соответствует показателю оценки от 90 до 100 баллов, средняя степень - от 70 до 89,99 балла, низкая степень - от 50 до 69,99 балла. Неэффективной признается деятельность государственного органа, набравшего по результатам оценки менее 50 баллов.

Глава 6. Оценка эффективности достижения целей стратегического плана Национального Банка Республики Казахстан

38. Оценка эффективности Национального Банка Республики Казахстан (далее - НБРК) осуществляется по критерию достижение целей стратегического плана.

39. Оценка эффективности целей стратегического плана НБРК рассчитывается по следующей формуле:

 

RНБРК = ( Ai * 100 ) - W,

 

где:

Ai- коэффициент достижения цели стратегического плана;

W - штрафные баллы.

Глава 7. Оценка эффективности достижения целей программы развития территории и показателей бюджетных программ развития местных исполнительных органов

40. Оценка эффективности осуществляется посредством определения уровня достижения целей программы развития территории и эффективности исполнения бюджетных программ развития.

41. Оценка эффективности местных исполнительных органов осуществляется по следующим критериям:

1) достижение целей программы развития территории;

2) отсутствие нарушений бюджетного и иного законодательства по итогам проверок бюджетных программ развития органами государственного аудита и финансового контроля за оцениваемый период;

3) достижение прямых результатов бюджетных программ развития;

4) эффективность исполнения бюджетной программы развития.

Оценка эффективности деятельности местных исполнительных органов по критерию «Достижение целей программы развития территории» осуществляется уполномоченным органом по государственному планированию.

Оценка эффективности по критериям «Отсутствие нарушений бюджетного и иного законодательства по итогам проверок программ развития органами государственного аудита и финансового контроля за оцениваемый период», «Достижение прямых результатов бюджетной программы развития» и «Эффективность исполнения бюджетной программы развития» осуществляется уполномоченным органом по исполнению бюджета.

Уполномоченный орган по исполнению бюджета формирует заключения по критериям «Отсутствие нарушений бюджетного и иного законодательства по итогам проверок программ развития органами государственного аудита и финансового контроля за оцениваемый период», «Достижение прямых результатов бюджетной программы развития» и «Эффективность исполнения бюджетной программы развития» и направляет в уполномоченный орган по государственному планированию.

42. Заключения о результатах оценки эффективности деятельности местных исполнительных органов формируются по форме, согласно приложению 7 к Методике.

43. В соответствии с полученным результатом оценки определяется степень эффективности деятельности оцениваемого государственного органа.

Высокая степень эффективности деятельности оцениваемого государственного органа соответствует показателю оценки от 90 до 100 баллов, средняя степень - от 70 до 89,99 баллов, низкая степень - от 50 до 69,99 баллов. Неэффективной признается деятельность оцениваемого государственного органа, набравшего по результатам оценки менее 50 баллов.

 

Параграф 1. Оценка по критерию «D» «Достижение целей программы развития территории»

44. Расчет критерия «Достижение целей программы развития территории» осуществляется на основании соответствующего раздела программы развития территории по следующей формуле:

http://zan.gov.kz/api/documents/docimages/I128760_1/289.jpg

где:

D - коэффициент достижения целей программы развития территории;

h- коэффициент достижения каждого целевого индикатора, предусмотренного в достижение соответствующей цели;

m - общее количество целевых индикаторов, предусмотренных в достижении соответствующей цели.

Коэффициент достижения каждого целевого индикатора, предусмотренного в достижение соответствующей цели, рассчитывается путем соотношения фактического исполнения к плановому значению.

При этом:

если hj ≥ 1, то hj = 1,

если hj < 1, то hj = соотношение факта к плановому значению;

если hj ˂ 0, то hj = 0.

45. При расчете коэффициента достижения целей программы развития территории учитывается следующее:

целевой индикатор, не имеющий планового значения на отчетный период, в расчет коэффициента достижения цели не принимается;

в случае отсутствия официальных статистических данных на момент проведения оценки, в расчет принимаются данные за последние 9 (девять) месяцев и более. При невозможности представления данных за последние 9 (девять) месяцев и более, целевой индикатор в расчет коэффициента достижения цели не принимается.

 

Параграф 2. Оценка по критерию «L» «Отсутствие нарушений бюджетного и иного законодательства по итогам проверок программ развития органов государственного аудита и финансового контроля за оцениваемый период»

46. При проведении оценки по критерию «Отсутствие нарушений бюджетного и иного законодательства по итогам проверок программ развития органами государственного аудита и финансового контроля за оцениваемый период» указываются:

орган государственного аудита и финансового контроля, которым проведены проверки;

количество проверок, охвативших отчетный период;

общий объем бюджетных средств государственного органа и его подведомственных учреждений, охваченных аудитом;

выявленные нарушения бюджетного и иного законодательства за отчетный период, в том числе:

финансовые нарушения;

нарушения процедурного характера;

нарушение законодательства бухгалтерского учета и финансовой отчетности;

нарушения законодательства о государственных закупках, за исключением нарушений, выявленных камеральным контролем, и сумм нарушений, которые организаторами конкурсов обжалованы в судебном порядке.

Источником информации являются материалы аудита соответствующих органов государственного аудита и финансового контроля, проведенных на предмет соответствия деятельности объекта аудита, требованиям бюджетного и иного законодательства Республики Казахстан, достоверности, обоснованности и своевременности составления и представления финансовой отчетности и эффективности достижения государственными органами прямых результатов в ходе реализации бюджетных программ, а также судебные решения на документы принятые по результатам государственного аудита органов государственного аудита и финансового контроля.

47. Балл по критерию выставляется согласно приложению 5 к Методике (далее - приложение 5) и определяется в виде среднего балла в разрезе администраторов бюджетных программ развития.

 

Параграф 3. Оценка по критерию «Z» «Достижение прямых результатов бюджетной программы развития»

48. Балл по критерию «Достижение прямых результатов бюджетной программы развития» определяется по двум показателям: «Достижение прямых результатов бюджетной программы развития» и «Качество планирования показателей результативности бюджетных программ».

Показателями прямого результата являются показатели, отражающие количественную характеристику объема выполняемых государственных функций, полномочий и оказываемых государственных услуг в пределах предусмотренных бюджетных средств по данной бюджетной программе.

В показателях прямого результата по бюджетным программам развития указывается поименный перечень бюджетных инвестиций. При этом, в случае реализации объектов продолжительного характера указывается объем выполняемых работ и услуг на текущий финансовый год, а в случае их завершения указываются наименования инвестиционных проектов, завершенных в текущем финансовом году. Объем выполняемых работ и услуг определяется в натуральном выражении.

Балл достижения прямого результата по одной бюджетной программе определяется путем соотношения фактически достигнутых количественных показателей каждого мероприятия с плановыми, путем сравнения фактически достигнутых мероприятий с прямыми получателями бюджетных средств.

По бюджетным программам, предусматривающим увеличение уставного капитала, оценка достижения результатов осуществляется по указанным в финансово-экономическом обосновании мероприятиям, реализация которых предусмотрена в оцениваемом финансовом году.

В случае, если показатели прямых результатов по бюджетным программам предусматривают мероприятия вместо количественных характеристик, не позволяющие оценить достижение прямого результата, то данная бюджетная программа оценивается как результат некачественного планирования.

Среднее значение всех показателей прямых результатов в рамках одного инвестиционного проекта выводится с учетом результатов всех показателей, в том числе показателей недостигнутых администратором бюджетных программ в силу объективных, независящих от администратора бюджетных программ причин (обстоятельства непреодолимой силы), далее выводится среднее значение по всем инвестиционным проектам в рамках одной бюджетной программы.

Балл за достижение показателей прямого результата в рамках одной бюджетной программы определяется в соответствии со значениями, указанными в приложении 5 к Методике.

Далее определяется средний балл показателей прямых результатов всех бюджетных программ развития администратора местного исполнительного органа области, города республиканского значения, столицы.

Балл по критерию определяется в виде среднего балла показателей прямых результатов по всем администраторам местных бюджетных программ развития.

Максимальный балл не превышает значений указанных в приложении 5 к Методике.

В случае перевыполнения показателей данного критерия, учитывается по показателю значение 100%.

В рамках реализации бюджетных программ развития для аналитической информации представляются данные о сдаче (вводе) запланированных объектов в установленные сроки (план и факт) и перечень не введенных в эксплуатацию объектов в отчетный период с указанием причин задержки ввода.

Оценка по показателю «Качество планирования показателей результативности бюджетных программ» осуществляется путем анализа показателей результативности бюджетных программ, утвержденных администраторами бюджетных программ.

В случае наличия во всех бюджетных программах государственного органа показателей результативности, являющихся количественно измеримыми и подлежащими к оценке, а также соответствующих целям и задачам администратора бюджетных программ и документам системы государственного планирования, то присваивается максимальный балл.

В случае отсутствия в бюджетной программе прямого и (или) конечного результатов, наличия мероприятий вместо количественных характеристик, не позволяющих оценить достижение прямого результата, дублирование прямых результатов с конечными результатами, дублирование показателей бюджетной программы с показателями другой бюджетной программы, неизмеримых значений, занижение плановых значений, несоответствие показателей прямых результатов целям и задачам администратора бюджетных программ и документам системы государственного планирования, а также завышение нормативных сроков строительства (реконструкции) объектов, то присваивается 0 баллов.

Далее определяется средний балл по всем бюджетным программам, оцениваемым по данному показателю, по которым присваивается соответствующий балл.

Источниками информации являются утвержденные бюджетные программы и отчеты по их реализации, а также документы, подтверждающие фактическое значение достижения прямых показателей за отчетный период, в том числе акты выполненных работ, акты о приемки объектов, накладные, акты приема передачи, заключения государственных экспертиз при разработке проектно-сметной документации.

 

Параграф 4. Оценка по критерию «G» «Эффективность исполнения бюджетной программы развития»

49. Оценка по критерию «Эффективность исполнения бюджетной программы развития» осуществляется путем деления процента достижения прямого результата бюджетной программы на процент фактического освоения выделенных средств на соответствующий финансовый год.

50. Эффективность исполнения бюджетной программы определяется следующим образом:

Эф б/п = % ПР/% ОС * 100 %,

где:

Эф б/п - эффективность исполнения бюджетной программы;

% ПР - процент достижения прямого результата;

% ОС - процент освоения бюджетных средств.

Балл эффективности исполнения бюджетной программы определяется в соответствии со значениями, указанными в приложении 5.

В случае достижения прямых результатов бюджетной программы менее 90,1 %, то эффективность исполнения бюджетной программы равна «0 баллов».

По администратору бюджетной программы определяется средний балл эффективности по всем бюджетным программам путем суммирования баллов по каждой бюджетной программе и деления полученной суммы на общее количество бюджетных программ.

Далее по местному исполнительному органу оценка определяется в виде среднего балла критерия эффективности исполнения бюджетной программы развития по всем администраторам местных бюджетных программ.

 

Параграф 5. Итоговая оценка местных исполнительных органов по «Достижению целей программ развития территорий»

51. Оценка эффективности местных исполнительных органов осуществляется по следующей формуле:

RМИО = ( 0,5 x D ) + ( L + Z + G ) - W,

где:

RМИО - итоговая оценка эффективности достижения целей и показателей бюджетных программ местного исполнительного органа;

D - достижение целей программы развития территории;

L - отсутствие нарушений бюджетного и иного законодательства по итогам проверок бюджетных программ развития органами государственного аудита и финансового контроля за оцениваемый период;

- достижение прямых результатов бюджетной программы развития;

- эффективность исполнения бюджетной программы развития;

W - штрафные баллы.

Глава 8. Процедура обжалования результатов оценки

52. Со дня получения Заключения оцениваемый государственный орган в случае несогласия с результатами оценки в течение пяти рабочих дней может направить в уполномоченные на оценку государственные органы свои возражения. По истечении установленного срока возражения оцениваемых государственных органов не принимаются.

53. Обжалование результатов оценки аргументируются и обосновываются с представлением подтверждающих документов. Возражения без подтверждающих документов и обоснований, а также противоречащие положениям нормативных правовых актов в сфере государственного планирования и правил разработки стратегических планов/программ развития территории, бюджетных программ не рассматриваются.

54. В случае отсутствия возражений к результатам оценки оцениваемый государственный орган в течение пяти рабочих дней предоставляет в уполномоченные на оценку государственные органы соответствующее уведомление.

55. Для проведения процедуры обжалования в уполномоченных на оценку государственных органах формируется специальная комиссия, в состав которой не входят сотрудники, участвовавшие в оценке эффективности государственных органов, представивших возражения.

Количество и состав специальной комиссии определяются уполномоченными на оценку государственными органами самостоятельно, но не менее 5 (пять) человек.

56. В течение пяти рабочих дней со дня получения возражений от оцениваемых государственных органов с подтверждающими документами, уполномоченными на оценку государственными органами формируются и вносятся на рассмотрение специальной комиссии Таблицы разногласий по результатам оценки эффективности деятельности государственных органов по форме согласно приложению 8 к Методике (далее - Таблица разногласий).

57. Специальная комиссия проводит заседания по рассмотрению возражений и определению объективности результатов оценки, на которые приглашаются представители оцениваемых государственных органов, направивших возражения, представители заинтересованных отраслевых центральных государственных органов, а также сотрудники, участвовавшие в оценке государственных органов.

58. По результатам заседаний специальной комиссии Таблицы разногласий дорабатываются, подписываются председателем специальной комиссии и доводятся до сведения оцениваемого государственного органа.

В случае принятия возражений уполномоченный орган по исполнению бюджета направляет скорректированные заключения о результатах оценки эффективности достижения показателей бюджетных программ в местные исполнительные органы и уполномоченный орган по государственному планированию.

59. Оцениваемые государственные органы могут обжаловать итоги оценки в Администрации Президента Республики Казахстан в течение пяти рабочих дней после процедуры обжалования согласно 62 пункту Системы оценки.

Глава 9. Порядок проведения оценки реорганизованных и упраздненных государственных органов

60. В случае реорганизации или упразднения государственного органа в первом полугодии оцениваемого года оценка данного государственного органа осуществляется в рамках оценки государственного органа-правопреемника в соответствии с Методикой.

61. В случае реорганизации или упразднения государственного органа во втором полугодии оцениваемого года оценка его деятельности не осуществляется, а результаты анализа деятельности данного государственного органа учитываются при разработке рекомендаций и предложений, данных по итогам оценки государственному органу-правопреемнику.

 

Приложение 1
к Методике по оценке эффективности
достижения целей

Форма

 

Информация о взаимосвязи целей, целевых индикаторов с бюджетными программами центрального государственного органа

1. Достижение целей, целевых индикаторов и показателей бюджетных программ и подпрограмм

Наименование цели, целевых индикаторов, бюджетных программ, подпрограмм, показателей конечных и прямых результатов

Единицы измерения

Расходы

Достижение прямых результатов

Достижение конечных результатов

Ср.значение достижения результатов ППР и ПКР

Примечание причины недостижения показателей бюджетных программ

план

факт

%

план

факт

%

План

Факт

%

1

2

3

4

5

6

7

8

9

10

11

12

13

Стратегическое направление 1.

Цель 1.1.*

 

Тыс. тенге

х

х

х

х

х

х

х

х

х

х

 

ЦИ**

 

%

х

х

х

х

х

х

х

х

х

х

 

БП

 

Тыс. тенге

х

х

х

х

х

х

х

х

х

х

 

ПКР

 

%

           

х

х

х

   

п/п 100

 

Тыс. тенге

х

х

х

х

х

х

         

ППР

 

Ед.

     

х

х

х

         

ЦИ

 

%

х

х

х

х

х

х

         

п/п 102

 

Тыс. тенге

х

х

х

х

х

х

         

ППР

 

Ед.

     

х

х

х

         

ППР

 

Ед.

     

х

х

х

         

Стратегическое направление n.

Цель n.

                         

                         
 

a.* По данной строке заполняются плановые и фактические значения по цели

b.** По данной строке заполняются плановые и фактические значения по целевому индикатору

c.«Х» - обозначает графы, необходимые для заполнения.

 

Приложение 2
к Методике по оценке эффективности
достижения целей

Форма

 

Информация о достижении прямых результатов оцениваемых бюджетных программ

__________________________________________________________________

(наименование местного исполнительного органа)

_________________

(отчетный период)

 

Код и наименование администратора бюджетных программ: _________

Бюджетная программа __________________________________________

Описание: _____________________________________________________

Наименование

Единицы измерения

Показатели бюджетной программы, запланированные за отчетный финансовый год

Фактическое выполнение показателей

Отклонение

% выполнения показателей (графу 4/графу 3*100 %)

Сроки реализации проекта

Причины недостижения результатов и неисполнения средств бюджетной программы/подтверждение достижения результата (номер и дата, наименование документа)

1

2

3

4

5

6

 

7

Показатель прямого результата, в том числе в разрезе:

             

бюджетных инвестиционных проектов

             

мероприятий

             
 

Аким области, города

республиканского значения, столицы __________ _______________________

(подпись)      (расшифровка подписи)

 

Приложение 3
к Методике по оценке эффективности
достижения целей

Форма

 

Информация о результатах государственного аудита и исполнении предписаний и постановлений органов государственного аудита и финансового контроля за ______ год

п/п

Наименование АБП

Наименование бюджетной программы

Период проверки

Объем охваченных государственным аудитом средств

в том числе за оцениваемый период

объем выявленных нарушений за оцениваемый период

возмещено в сумме

восстановлено в сумме

всего

в том числе:

Финансовые нарушения

Нарушения процедурного характера

Нарушение законодательства о бухгалтерском учете и финансовой отчетности

Нарушения Законодательства о государственных закупках

1

2

3

4

5

6

7

8

9

10

11

12

13

 

Руководитель органа государственного аудита и финансового контроля

_____________ ______________

(подпись)       (расшифровка)

 

Приложение 4
к Методике по оценке эффективности
достижения целей

Форма

 

Акт сверки по итогам перепроверки данных, содержащихся в отчетной информации

(наименование центрального государственного органа/местного исполнительного органа)

(отчетный период)

Наименование

Вычитаемые баллы

1

Представление/размещение неполной информации

 

2

Представление/размещение недостоверной информации

 

3

Несвоевременность отчетной информации

 

4

Отсутствие отчетной информации

 

5

Отсутствие методик расчета целевых индикаторов (для центральных государственных органов)

 

6

Перевыполнение фактического показателя от планового значения более чем на 25 % (для местных исполнительных органов)

 

Всего:

 
 

1. Согласно Графику оценки срок представления/размещения оцениваемым государственным органом отчетной информации:

«___» ___________ 201___ года.

1) Фактическая дата представления/размещения отчетной информации:

«___» ___________ 201___ года.

2) Отсутствует отчетная информация оцениваемого государственного органа.

Вычет составляет: __ балла.

2. Представлена/размещена неполная информация, в которой отсутствуют элементы (приложения, разделы, таблицы, значения показателей и другие), предусмотренные установленными требованиями к структуре отчетной информации:

1)

2)

Вычет составляет: __ балла.

3. Представлена/размещена недостоверная информация. В ходе перепроверки выявлены следующие несоответствия действительности фактов:

Наименование целевого индикатора

План отчетного периода

Факт отчетного периода

Факт отчетного периода по итогам перепроверки

Вычет баллов

Примечание

1

           

           
 

Вычет составляет: ______ балла.

Итоговый вычет: ______ балла.

Представитель уполномоченного

на оценку государственного

органа, должность _________ _____________ __________________________

(дата)         (подпись)            (расшифровка подписи)

Представитель оцениваемого

государственного органа,

должность _________ _____________ __________________________

(дата)            (подпись)          (расшифровка подписи)

 

Приложение 5
к Методике по оценке эффективности
достижения целей

 

Баллы критериев и показателей

№ п/п

Наименование критерия/показателя

Балл

1.

Отсутствие нарушений бюджетного и иного законодательства по итогам проверок бюджетных программ развития органами государственного аудита и финансового контроля - 10 баллов

 

Отсутствие нарушений

10

 

Непроведение органами государственного аудита и финансового контроля проверок за отчетный период

5

 

Наличие нарушений от общего объема бюджетных средств, охваченных аудитом (за исключением не эффективных расходов) в соответствии с Классификатором нарушений, выявляемых на объектах государственного аудита и финансового контроля

 

до 5%

6

 

5,1 - 9,9%

3

 

10,0 - 14,9%

1

 

более 15%

0

2.

Достижение прямых результатов бюджетной программы развития - 20 баллов

2.1

Достижение прямых результатов бюджетной программы развития

18

 

100%

18

 

99,9 - 99,3%

17

 

99,2 - 98,6%

16

 

98,5 - 97,9%

15

 

97,8 - 97,2%

14

 

97,1 - 96,5%

13

 

96,4 - 95,8%

12

 

95,7 - 95,1%

11

 

95,0 - 94,4%

10

 

94,3 - 93,7%

9

 

93,6 - 93,0%

8

 

92,9 - 92,3%

6

 

92,2- 91,6%

4

 

91,5 - 90,9%

2

 

90,8 - 90,2%

1

 

90,1% и менее

0

2.2

Качество планирования показателей результативности бюджетных программ

2

 

Наличие в бюджетной программе показателей результативности, являющихся количественно измеримыми, соответствующих целям и задачам государственного органа и подлежащих к оценке и документам системы государственного планирования

2

 

Отсутствие одного из показателей результативности в бюджетной программе, наличие мероприятий вместо количественных характеристик, не позволяющих оценить достижение прямого результата, дублирование прямых результатов с конечными результатами, дублирование показателей бюджетной программы с показателями другой бюджетной программы, несоответствие показателей прямых результатов целям и задачам администратора бюджетных программ документам системы государственного планирования

0

3.

Эффективность исполнения бюджетной программы развития - 20 баллов

 

100%

20

 

99,9 - 99,3%

19

 

99,2 - 98,6%

18

 

98,5 - 97,9%

17

 

97,8 - 97,2%

16

 

97,1 - 96,5%

15

 

96,4 - 95,8%

14

 

95,7 - 95,1%

13

 

95,0 - 94,4%

12

 

94,3 - 93,7%

11

 

93,6 - 93,0%

10

 

92,9 - 92,3%

8

 

92,2- 91,6%

6

 

91,5 - 90,9%

4

 

90,8 - 90,2%

2

 

90,1% и менее

0

 

 

Приложение 6
к Методике по оценке эффективности
достижения целей

Форма

 

Заключение о результатах оценки эффективности достижения целей

__________________________________________________________________

(наименование центрального государственного органа)

_________________

(отчетный период)

Критерии оценки

Коэффициент

Баллы

1

Достижение целей стратегического плана

   

2

Эффективность исполнения бюджетных программ в достижении цели стратегического плана

   

3

Взаимосвязь цели стратегического плана с бюджетными программами

   

4

Вычет баллов

   
 

Общая оценка

   
 

Анализ эффективности достижения целей:

_______________________________________________________________________

Вычет баллов

_______________________________________________________________________

Выводы и рекомендации по улучшению деятельности центрального государственного органа:

_______________________________________________________________________

Руководитель государственного

органа/структурного подразделения

Администрации Президента/Канцелярии

Премьер-Министра Республики Казахстан _________ ________________________

(подпись)    (расшифровка подписи)

Руководитель соответствующего

структурного подразделения

уполномоченного на оценку

государственного органа                              _________ ________________________

(подпись)     (расшифровка подписи)

«____»______________ 20 ___ г

 

Приложение 7
к Методике по оценке эффективности
достижения целей

Форма

 

Заключение о результатах оценки эффективности достижения целей

________________________________________________________________

(наименование местного исполнительного органа)

 

_________________

(отчетный период)

Критерии оценки

Коэффициент/ фактическое исполнение

Баллы

1

Достижение целей программы развития территории*

   

2

Отсутствие нарушений бюджетного и иного законодательства по итогам проверок программ развития органами государственного аудита и финансового контроля за оцениваемый период

   

3

Достижение прямых результатов бюджетной программы программ развития

   

4

Эффективность исполнения бюджетной программы развития

   

5

Вычет баллов

   
 

Общая оценка

   
 

Анализ эффективности достижения целей программы развития территории:

_______________________________________________________________________

Отсутствие нарушений бюджетного и иного законодательства по итогам проверок программ развития органами государственного аудита и

финансового контроля за оцениваемый период:

_______________________________________________________________________

Достижение прямых результатов бюджетной программы развития:

_______________________________________________________________________

Эффективность исполнения бюджетной программы развития:

_______________________________________________________________________

Выводы и рекомендации по улучшению деятельности местного исполнительного органа:

_______________________________________________________________________

 

Руководитель государственного органа __________ _____________________

(подпись)     (расшифровка подписи)

Руководитель соответствующего

структурного подразделения

уполномоченного на оценку

государственного органа                          __________ _____________________

(подпись)     (расшифровка подписи)

«____»______________ 20 __ г.

*данные критерии оценки заполняются уполномоченным органом по государственному планированию

 

Приложение 8
к Методике по оценке эффективности
достижения целей

Форма

 

Таблица разногласий по результатам оценки эффективности деятельности государственных органов

_____________________________________________________________________________

(наименование центрального государственного органа/местного исполнительного органа)

по блоку «Достижение целей»

Заключение уполномоченного на оценку государственного органа

Возражение оцениваемого государственного органа

Решение по итогам обжалования (принято/отклонено)

Примечание (обоснование принятия/отклонения возражения)

1

2

3

4

5

1

       

2

       

       
 

Выводы:

по критерию 1: ________________________________________________;

по критерию 2: ________________________________________________;

Общий балл с учетом итогов обжалования составил ________________.

Председатель комиссии,

должность                                              ________ ___________ _______________________

(дата)     (подпись)       (расшифровка подписи)

С итогами обжалования ознакомлен:

представитель оцениваемого

государственного органа, должность ________ ___________ _______________________

(дата)     (подпись)       (расшифровка подписи)

Методика по оценке эффективности достижения целей
Глава 1. Общие положения
Глава 2. Источники информации для оценки эффективности достижения целей
Глава 3. Перепроверка данных, содержащихся в отчетной информации оцениваемых государственных органов
Глава 4. Процедура определения своевременности, полноты и достоверности отчетной информации
Глава 5. Оценка эффективности достижения целей стратегического плана центральных государственных органов
Глава 6. Оценка эффективности достижения целей стратегического плана Национального Банка Республики Казахстан
Глава 7. Оценка эффективности достижения целей программы развития территории и показателей бюджетных программ развития местных исполнительных органов
Глава 8. Процедура обжалования результатов оценки
Глава 9. Порядок проведения оценки реорганизованных и упраздненных государственных органов