Об утверждении Методических указаний расчета ставок платы за лесные пользования на участках государственного лесного фонда

Приказ и.о. Министра сельского хозяйства Республики Казахстан от 13 сентября 2018 года № 383

В соответствии с подпунктом 17) пункта 1 статьи 13 Лесного кодекса Республики Казахстан от 8 июля 2003 года ПРИКАЗЫВАЮ:

1. Утвердить прилагаемые Методические указания расчета ставок платы за лесные пользования на участках государственного лесного фонда.

2. Признать утратившим силу приказ исполняющего обязанности Министра сельского хозяйства Республики Казахстан от 12 июня 2009 года № 344 «Об утверждении Правил и Методических указаний для расчета ставок платы за лесные пользования в государственном лесном фонде и в особо охраняемых природных территориях» (зарегистрирован в Реестре государственной регистрации нормативных правовых актов Республики Казахстан № 5719, опубликован 24 июля 2009 года в газете «Юридическая газета» № 111 (1708).

3. Комитету лесного хозяйства и животного мира Министерства сельского хозяйства Республики Казахстан в установленном законодательством порядке обеспечить:

1) государственную регистрацию настоящего приказа в Министерстве юстиции Республики Казахстан;

2) в течение десяти календарных дней со дня государственной регистрации настоящего приказа направление его копии на казахском и русском языках в Республиканское государственное предприятие на праве хозяйственного ведения «Республиканский центр правовой информации» для официального опубликования и включения в Эталонный контрольный банк нормативных правовых актов Республики Казахстан;

3) в течение десяти календарных дней после государственной регистрации настоящего приказа направление его копии на официальное опубликование в периодические печатные издания;

4) размещение настоящего приказа на интернет-ресурсе Министерства сельского хозяйства Республики Казахстан после его официального опубликования;

5) в течение десяти рабочих дней после государственной регистрации настоящего приказа представление в Департамент юридической службы Министерства сельского хозяйства Республики Казахстан сведений об исполнении мероприятий, предусмотренных подпунктами 1), 2), 3) и 4) настоящего приказа.

4. Контроль за исполнением настоящего приказа возложить на курирующего вице-министра сельского хозяйства Республики Казахстан.

5. Настоящий приказ вводится в действие по истечении десяти календарных дней после дня его первого официального опубликования.

Исполняющий обязанности Министра
сельского хозяйства Республики Казахстан

 

А. Евниев

 

Утверждены
приказом исполняющего обязанности
Министра сельского хозяйства
Республики Казахстан
от 13 сентября 2018 года № 383

Методические указания расчета ставок платы за лесные пользования на участках государственного лесного фонда

Глава 1. Общие положения

1. Настоящие Методические указания расчета ставок платы за лесные пользования на участках государственного лесного фонда (далее - Методические указания) разработаны в соответствии с подпунктом 17) пункта 1 статьи 13 Лесного кодекса Республики Казахстан от 8 июля 2003 года и предназначены для определения расчета ставок платы за лесные пользования на участках государственного лесного фонда.

2. Основной целью Методических указаний является разработка механизмов единого подхода к расчету ставок платы за лесные пользования на всей территории Республики Казахстан.

3. В Методических указаниях используются следующие основные понятия:

1) изымаемые лесные ресурсы - виды лесных ресурсов, добываемые или собираемые в лесу с последующим их вывозом в целях потребления;

2) не изымаемые лесные ресурсы - участки лесного фонда и виды полезных свойств леса, которые свойственны растущему лесу и физически не могут быть отторгнуты от природы леса;

3) второстепенные древесные ресурсы - кора, ветви, пни, корни, листья, почки деревьев и кустарников;

4) лесной фонд Республики Казахстан - все леса, находящиеся на территории Республики Казахстан, а также земли лесного фонда, не покрытые лесной растительностью, но предназначенные для нужд лесного хозяйства;

5) краткосрочное лесопользование - права и целенаправленные действия физических и юридических лиц по удовлетворению потребностей в определенных видах лесных ресурсов и полезностей леса, предоставленные и осуществляемые в срок от одного года до десяти лет;

6) плата за лесные пользования - сумма, взимаемая за заготовку древесины, живицы, древесных соков и второстепенных древесных ресурсов, за побочные лесные пользования, использование участков государственного лесного фонда для нужд охотничьего хозяйства, научно-исследовательских, оздоровительных, рекреационных, историко-культурных, туристских и спортивных целей;

7) пользование лесным фондом - установленное законодательными актами Республики Казахстан право физических и юридических лиц на лесопользование, а также на использование земель, вод и общераспространенных полезных ископаемых на территории лесного фонда в хозяйственных и иных целях;

8) ставки платы за лесные пользования - система цен и оценок на лесные ресурсы и полезных свойств леса, установленные в расчете на единицу используемого их объема или площади лесных угодий на основе настоящих Методических указаний;

9) лесопользователь - физическое и юридическое лицо, которому предоставлено право временного лесопользования в порядке, установленном лесным законодательством Республики Казахстан;

10) лесные ресурсы - запасы древесины, живицы и древесных соков, второстепенных древесных ресурсов, дикорастущих плодов, орехов, грибов, ягод, лекарственных растений и технического сырья, иных продуктов растительного и животного происхождения, находящихся, накапливаемых и добываемых в лесном фонде;

11) полезные свойства леса - экологические и социально значимые функции, характерные для него в растущем состоянии (выделение кислорода, поглощение углекислого газа, предохранение почв от водной и ветровой эрозии, перевод поверхностного стока вод во внутрипочвенный, бальнеологические и климаторегулирующие свойства);

12) древесный сок - жидкое вещество, выделяющееся при повреждении лиственных деревьев;

13) долгосрочное лесопользование - права и целенаправленные действия физических и юридических лиц по удовлетворению потребностей в определенных видах лесных ресурсов и полезностей леса, предоставленные и осуществляемые в срок от 10 до 49 лет;

14) живица - смолистое вещество, выделяющееся при повреждении хвойных деревьев.

4. Сумма оплаты за выписанный объем указывается в разрешительных документах на лесопользование в лесорубочном и лесном билетах.

5. Лесные пользования на участках государственного лесного фонда осуществляются в соответствии с требованиями лесного законодательства.

6. Ставки платы за лесные пользования, за исключением ставок платы за древесину, отпускаемую на корню, определяются на основании расчета местного исполнительного органа области (города республиканского значения, столицы) составленных в соответствии с пунктом 1 статьи 587 Кодекса Республики Казахстан «О налогах и других обязательных платежах в бюджет» (Налоговый кодекс) от 25 декабря 2017 года.

7. Ставки платы за лесные пользования рассчитываются в размере месячного расчетного показателя за единицу используемого вида ресурса.

Ставки платы за отдельные виды лесных пользований, с целью удлинения сроков их применения могут увязываться со ставками платы за древесину, отпускаемую на корню и базовыми налоговыми ставками на земли сельскохозяйственного значения, и определяться в долях или в процентном отношении от их размера, а также от размера месячного расчетного показателя.

8. К видам второстепенных древесных ресурсов, относящихся к лекарственному и техническому сырью применяются ставки платы за заготовку лекарственных растений и технического сырья в порядке побочного лесного пользования.

9. Плата за размещение ульев и пасек на участках государственного лесного фонда в пределах одной области производится один раз в сезон медосбора, а при перемещении их с территории одного государственного лесовладельца другому, делается отметка в оригинале лесного билета, выписанного первым государственным лесовладельцем.

10. При долгосрочном лесопользовании участками государственного лесного фонда для выращивания посадочного материала древесных и кустарниковых пород и плантационных насаждений специального назначения устанавливаются нулевые ставки платы.

Глава 2. Методика расчета ставок платы за лесные пользования

11. Методика расчета ставок платы, изложенная в настоящих Методических указаниях, распространяется на следующие виды лесных пользований:

1) заготовка живицы и древесных соков;

2) заготовка второстепенных древесных ресурсов;

3) побочные лесные пользования;

4) пользование участками государственного лесного фонда для нужд охотничьего хозяйства, научно-исследовательских, оздоровительных, рекреационных, историко-культурных, туристских и спортивных целей.

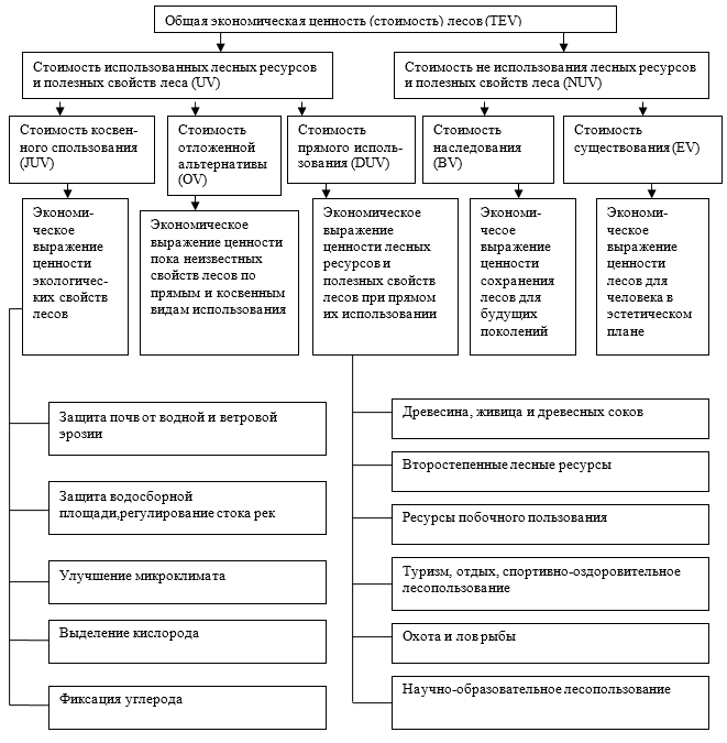
12. Общая экономическая ценность (стоимость) лесов принципиально отличается от моноплановой оценки лесов на основе стволовой древесины и предполагает повышение реального вклада лесов и лесного хозяйства в экономику государства путем определения стоимости разнообразных видов лесных ресурсов и многосторонних полезных функций лесов и вовлечения их в хозяйственный оборот.

13. Общая экономическая оценка (стоимость) лесов (TEV) определяется как сумма стоимостей всех используемых (UV) и неиспользуемых (NUV) ресурсов и полезных свойств лесов, указанных в схеме формирования и базовых компонентах общей экономической оценки лесов, согласно приложению 1 к настоящим Методическим указаниям, и определяется по формуле:

TЕV = UV + NUV (1)

14. Используемая стоимость (UV) включает в себя стоимость прямого использования лесов (DUV), косвенного их использования (JUV) и отложенной альтернативы (OV) и определяется по формуле:

UV = DUV + JUV + OV (2)

15. Виды лесных пользований, перечисленные в пункте 11 настоящих Методических указаний, в совокупности образуют стоимость прямого использования лесных ресурсов (DUV), за исключением стоимости древесины.

16. При разработке ставок платы за лесные пользования, по видам лесных пользовании учитываются специфические различия между изымаемыми и не изымаемыми лесными ресурсами, согласно приложению 2 к настоящим Методическим указаниям.

17. Ставки платы за лесопользование дифференцируются в зависимости от распределении видов лесных пользований по срокам (продолжительности), согласно приложению 3 к настоящим Методическим указаниям.

18. К долгосрочным видам лесопользования (от 10 до 49 лет) относятся:

1) заготовка живицы и древесных соков;

2) заготовка второстепенных древесных ресурсов;

3) сенокошение и пастьба скота;

4) пользование участками государственного лесного фонда для нужд охотничьего хозяйства, научно-исследовательских, оздоровительных, рекреационных, историко-культурных, туристских и спортивных целей, выращивания посадочного материала древесных и кустарниковых пород и плантационных насаждений специального назначения.

19. К краткосрочным видам лесопользования (от одного года до десяти лет) относятся:

1) заготовка второстепенных древесных ресурсов;

2) побочные лесные пользования, связанные с заготовкой или сбором плодов, орехов, грибов, ягод, других пищевых продуктов леса, лекарственных растений, технического сырья, мха, лесной подстилки и опавших листьев, камыша;

3) побочные лесные пользования, основанные на использовании участков лесного фонда для сенокошения, пастьбы скота, мараловодства, звероводства, размещения ульев и пасек, огородничества, бахчеводства, садоводства и выращивания иных сельскохозяйственных культур;

4) пользование участками государственного лесного фонда для научно-исследовательских, оздоровительных, рекреационных, историко-культурных туристских и спортивных целей.

20. Измерение размеров лесных пользований, в зависимости от их вида и специфических особенностей, осуществляется:

по площади (в гектарах);

по объему (в складочных кубических метрах);

по весу (в килограммах, центнерах и тоннах);

по количеству (в штуках);

в свежем (сырорастущем) состоянии.

21. Ставки платы за лесные пользования дифференцируются в зависимости от качества лесных ресурсов (урожайность, продуктивность), а также по коэффициентам, учитывающим потребительскую ценность, удаленность от транспортных путей и мест сбыта.

22. Ставки платы за лесные пользования по методу рыночных цен устанавливаются путем определения разницы между рыночными ценами и затратами на заготовку и транспортировку единицы их объема применительно к видам лесных ресурсов, по которым трудно подсчитать затраты на их воспроизводство (живица, древесные соки, грибы, ягоды и другие).

23. Для установления ставок платы за лесные пользования по тем видам лесных ресурсов, которые пока не вышли на рынок и не имеют рыночной цены, используются экспертные оценки специалистов.

24. Ставки платы за второстепенные древесные ресурсы и побочные лесные пользования устанавливаются по методу затрат на воспроизводство лесных ресурсов в расчете на единицу их объема или площади, а при отсутствии затрат на их воспроизводство, ставки платы устанавливаются с учетом удельных затрат на все лесное хозяйство конкретной области в соответствии с данными, учитываемыми по показателям, согласно приложению 4 к настоящим Методическим указаниям или по нескольким направлениям его деятельности, включая затраты местного бюджета.

25. Суммы затрат на лесное хозяйство, нужные для расчета ставок платы за лесные пользования, устанавливаются на основе сводных планов лесохозяйственных мероприятий по охране, защите, воспроизводству лесов и лесоразведению областей и спецификаций бюджетных программ по последнему отчетному году в соответствии с показателями, согласно приложению 4 к настоящим Методическим указаниям.

26. Затраты, которые на уровне областей регистрируются периодически или фиксируются лишь на республиканском уровне (лесоустройство, авиационная охрана лесов, приобретение основных средств и другие), определяются по отчетам уполномоченного органа в области лесного хозяйства (далее - уполномоченный орган) за последний отчетный год.

27. Затраты на воспроизводство лесов по основным их разделам в соответствии с показателями, согласно приложению 4 к настоящим Методическим указаниям, позволяют получить удельные их размеры в двух вариантах: в расчете на 1 гектар общей площади государственного лесного фонда в соответствии с данными графы 4 и на 1 гектар покрытых лесом земель государственного лесного фонда в соответствии с данными графы 5, которые в дальнейшем в зависимости от их отношения к конкретным видам лесных пользований будут применяться при определении ставок платы за них.

Глава 3. Расчет ставок платы за заготовку живицы и древесных соков

28. Ставки платы за заготовку живицы и за заготовку древесных соков рассчитываются в соответствии со схемой установления ставок платы за заготовку живицы и древесных соков, согласно приложению 5 к настоящим Методическим указаниям, и устанавливаются раздельно в расчете на каждый гектар леса, предоставленный в долгосрочное лесопользование, и на каждый центнер живицы и древесных соков, получаемый при подсочке деревьев.

29. Ставки платы за заготовку живицы по площади рассчитываются на 1 год на основе ежегодной суммы удельных затрат на 1 гектар покрытых лесом земель согласно данных графы 5 приложения 4 к настоящим Методическим указаниям на все лесное хозяйство, так как подсочке подвергаются спелые и перестойные насаждения хвойных пород, которые при подсочке должны возместить определенную часть затрат на их выращивание.

30. Ставки платы за заготовку древесных соков по площади рассчитываются на 1 год на основе половины ежегодной суммы удельных затрат на 1 гектар покрытых лесом земель в соответствии с данными графы 5 приложения 4 к настоящим Методическим указаниям на все лесное хозяйство, так как подсочке подвергаются березовые насаждения, возраст спелости которых в 2 раза меньше, чем у хвойных.

31. Ставки платы за заготовку живицы и древесных соков по площади предназначаются для определения размера платы за лесные ресурсы, предоставляемые в долгосрочное лесопользование.

32. Ставки платы за каждый центнер добытой живицы и древесных соков рассчитываются по разнице между рыночными ценами на них и затратами на их заготовку, хранение, транспортировку и реализацию.

33. В случаях, когда фактические ставки платы за заготовку одного центнера живицы и древесных соков, установленные по разнице между рыночными ценами и затратами на их заготовку, хранение, транспортировку и реализацию, окажутся менее 25% и 40% соответствующих рыночных цен, то вместо них применяются ставки платы, рассчитанные на уровне 25% и 40 % их рыночных цен соответственно.

Глава 4. Расчет ставок платы за заготовку второстепенных древесных ресурсов

34. Ставки платы за заготовку второстепенных древесных ресурсов устанавливаются только в расчете на единицу веса для каждого их вида: коры, ветвей, пней, корней, листьев, почек в соответствии со схемой установления ставок платы за заготовку второстепенных древесных пород, указанных в приложении 6.

35. Ставки платы за заготовку второстепенных древесных ресурсов, в зависимости от их вида, определяются по ставкам платы за древесину, отпускаемую на корню, за 1 плотный кубометр дровяной древесины соответствующей породы, в соответствии с пунктом 2 статьи 587 Налогового кодекса по процентам, указанным в таблице 1 приложения 9 к настоящим Методическим указаниям.

36. К ставкам платы за заготовку второстепенных древесных ресурсов, установленным согласно пункта 34 настоящих Методических указаний, применяются повышающие и понижающие коэффициенты, установленные пунктом 3 статьи 587 Налогового кодекса.

Глава 5. Расчет ставок платы за побочные лесные пользования

37. Ставки платы за побочные лесные пользования на участках государственного лесного фонда устанавливаются в соответствии со схемой установления ставок платы за побочные лесные пользования на участках государственного лесного фонда, согласно приложению 7 к настоящим Методическим указаниям.

38. Все разнообразие побочных лесных пользований с изъятием лесных ресурсов, в целях сокращения существующего многообразия цен, классифицируется по группам, согласно таблицы 2 приложению 9 к настоящим Методическим указаниям.

39. Ставки платы за лесные пользования, указанные в таблице 2 приложения 9, определяются в соответствии со схемой установления ставок платы за побочные лесные пользования на участках государственного лесного фонда, согласно приложения 7 к настоящим Методическим указаниям, и устанавливаются по разнице между рыночными ценами и суммой затрат на их заготовку, обработку, транспортировку и реализацию.

40. Рыночные цены за лесные ресурсы, указанные в таблице 2 приложения 9 к настоящим Методическим указаниям, определяются по месту осуществления лесных пользований в сезон их массового сбора и заготовок.

41. Уровень ставок платы за отдельные виды побочных лесных пользований зависит от фактической трудоемкости лесопользования, но не может быть менее 40 % рыночной цены для всех видов орехов, плодов и ягод, а также менее 30 % рыночной цены для отдельных частей лекарственных растений и технического сырья, за исключением почек и корней, которые вместе с остальными видами ресурсов (мхи, лесная подстилка, опавшие листья, камыш) имеют 20 % порог.

42. Если на местах отдельные виды ресурсов побочных лесных пользований еще не имеют устоявшейся рыночной цены, то ставки платы за них устанавливаются, либо по ставкам платы, используемым в соседних регионах со сходными условиями, либо путем экспертных оценок специалистов.

43. В соответствии с пунктом 1 статьи 10 Земельного кодекса Республики Казахстан от 20 июня 2003 года ставки платы за пользование земельными участками устанавливаются не ниже размеров ставок земельного налога.

44. Ставки платы за лесные побочные пользования в виде размещения ульев и пасек устанавливаются по сумме ежегодных удельных затрат на проведение лесоустроительных работ, наземной и авиационной охраны лесов, административно-управленческих и контрольно-инспекционных функций в расчете на 1 гектар государственного лесного фонда согласно приложению 4 к настоящим Методическим указаниям и в соответствии со схемой установления ставок платы за побочные лесные пользования на участках государственного лесного фонда, согласно приложению 7 к настоящим Методическим указаниям.

45. Для определения конкретных размеров ставок платы за сенокосные угодья сумма ежегодных удельных затрат на 1 гектар государственного лесного фонда, определяемых согласно пункта 44 настоящих Методических указаний, дифференцируются по трем группам их качественного состояния: хорошее - коэффициент 1,2 (К=1,2), удовлетворительное - коэффициент 0,9 (К=0,9) и плохое - коэффициент 0,7 (К=0,7).

46. Ежегодная сумма удельных затрат на содержание 1 гектара пастбищных угодий устанавливается на уровне ставки платы за сенокосы неудовлетворительного качества.

47. Расчет ставки платы за пастьбу одной головы сельскохозяйственных животных осуществляется через норму площади, установленную для выпаса крупного рогатого скота, путем ее умножения на возможную сумму оплаты за использование 1 гектара пастбищных угодий, определенную согласно пункту 46 настоящих Методических указаний.

Ставки платы за пастьбу 1 головы скота по остальным группам животных устанавливаются по процентным соотношениям, указанным в таблице 3 приложения 9.

48. Ставки платы за размещение одного улья на участках государственного лесного фонда определяются на уровне суммы удельных затрат, устанавливаемых согласно пункта 44 настоящих Методических указаний.

49. Ставки платы за пользование участками государственного лесного фонда для звероводства и мараловодства определяются по сумме удельных затрат на проведение лесоустроительных работ, наземной и авиационной охраны, административно-управленческих и контрольно-инспекционных функций на 1 гектар покрытых лесом земель государственного лесного фонда, согласно данных графы 5 приложения 4 и приложения 7 к настоящим Методическим указаниям с учетом нормативной плотности содержания зверей и маралов на единице площади.

50. Ставки платы за побочные пользования в виде сенокошения, пастьбы скота и за использование участков лесного фонда для огородничества, бахчеводства, садоводства и выращивания иных сельскохозяйственных культур, для нужд охотничьего хозяйства устанавливаются на уровне земельных налогов, определенных налоговым законодательством.

Глава 6. Расчет ставок платы за пользование участками государственного лесного фонда для нужд охотничьего хозяйства, в научно-исследовательских, оздоровительных, рекреационных, историко-культурных, туристских, и спортивных целях

51. Пользование участками государственного лесного фонда для нужд охотничьего хозяйства, в научно-исследовательских, оздоровительных, рекреационных, историко-культурных, туристских и спортивных целях осуществляются в порядке краткосрочного и долгосрочного лесопользования, в соответствии с распределением видов лесных пользований по срокам, согласно приложению 3 к настоящим Методическим указаниям, а также схемы установления ставок платы за пользованиями участками государственного лесного фонда согласно приложению 8 к настоящим Методическим указаниям.

52. Из числа видов лесных пользований, указанных в пункте 50 настоящих Методических указаний, пользование участками лесного фонда для нужд охотничьего хозяйства осуществляется только в порядке долгосрочного лесопользования, а все остальные - как в порядке краткосрочного, так и в порядке долгосрочного лесопользования.

53. Ставки платы при краткосрочном лесопользовании устанавливаются в тенге за каждый день пребывания, а при долгосрочном - в расчете за 1 гектар используемой площади.

54. Ставки платы за краткосрочное пользование участками государственного лесного фонда в научно-исследовательских, оздоровительных, рекреационных, историко-культурных, туристских и спортивных целях устанавливаются в размере 0,1 месячного расчетного показателя в расчете за каждый день пребывания.

55. Ставки платы за долгосрочное лесопользование участками государственного лесного фонда в научно-исследовательских и оздоровительных целях устанавливаются в размере половины ежегодной суммы удельных затрат на лесоустройство, наземную и авиационную охрану лесов, административно-управленческие и контрольно-инспекционные функции в расчете на 1 гектар государственного лесного фонда согласно данных графы 4 приложения 4 к настоящим Методическим указаниям.

56. Ставки платы за долгосрочное лесопользование участками государственного лесного фонда в историко-культурных, рекреационных, туристских и спортивных целях устанавливаются на уровне ежегодной суммы удельных затрат на лесоустройство, наземную и авиационную охрану лесов, административно-управленческие и контрольно-инспекционные функции в расчете на 1 гектар государственного лесного фонда, согласно данных графы 5 приложения 4 и приложения 8 к настоящим Методическим указаниям.

Приложение 1

к Методическим указаниям
расчета ставок платы за лесные пользования
на участках государственного лесного фонда

 

Схема формирования и базовые компоненты общей экономической оценки лесов

Приложение 2

к Методическим указаниям
расчета ставок платы за лесные пользования
на участках государственного лесного фонда

 

 

Приложение 3

к Методическим указаниям
расчета ставок платы за лесные пользования
на участках государственного лесного фонда

 

Приложение 4

к Методическим указаниям
расчета ставок платы за лесные пользования
на участках государственного лесного фонда

 

Состав и сумма затрат на охрану, защиту,
воспроизводство лесов и лесоразведение
по ____________________ области за _______ год

 

№ п/п

Наименование показателей

Всего, тысяч тенге

Удельные затраты на 1 га, тенге

общей площади ГЛФ

покрытых лесом земель ГЛФ

1

2

3

4

5

1.

Лесоустройство

     

2.

Проектно-изыскательские и селекционно-семеноводческие работы

     

3.

Выращивание сеянцев и саженцев

     

4.

Создание лесных культур и содействие естественному возобновлению

     

5.

Создание лесных насаждений на неудобных землях

     

6.

Уход за лесными культурами

     

7.

Рубки ухода и выборочные санитарные рубки

     

8.

Лесозащитные работы

     

9.

Наземная охрана лесов, включая содержание ПХС, временных пожарных сторожей, связь

     

10.

Авиационная охрана лесов

     

11.

Повышение продуктивности лесов, улучшение земельных угодий и благоустройство территорий

     

12.

Развитие материально-технической базы (приобретение, строительство, ремонт и другие.)

     

13.

Реализация инновационных и иных проектов, включая международные проекты

     

14.

Подготовка, повышение квалификации и переподготовка кадров

     

15.

Административно-управленческая деятельность

     

16.

Контрольно-инспекционная деятельность

     

17.

Организация лесных пользований (отвод участков)

     

18.

Общая сумма расходов на лесное хозяйство (со строки 1 по 17 строку)

     

19.

Общая сумма затрат на лесоустройство, проектно-изыскательские и селекционно-семеноводческие работы, наземную и авиационную охрану лесов, административно-управленческую и контрольно-инспекционную деятельность (1 строка + 2 строка + 9 строка + 10 строка + 15 строка + 16 строка)

     
 

Примечание:
ГЛФ - государственный лесной фонд;
ПХС - пажарно-химическая станция.

Приложение 5

к Методическим указаниям
расчета ставок платы за лесные пользования
на участках государственного лесного фонда

 

Схема установления ставок платы за заготовку живицы и древесных соков

 

Приложение 6

к Методическим указаниям
расчета ставок платы за лесные пользования
на участках государственного лесного фонда

 

Схема установления ставок платы за заготовку второстепенных древесных ресурсов

 

Приложение 7

к Методическим указаниям
расчета ставок платы за лесные пользования
на участках государственного лесного фонда

 

Схема установления ставок платы за побочные лесные пользования на участках ГЛФ

 

Приложение 8

к Методическим указаниям
расчета ставок платы за лесные пользования
на участках государственного лесного фонда

 

Схема установления ставок платы за пользование участками государственного лесного фонда для нужд охотничьего хозяйства, научно-исследовательских, оздоровительных, рекреационных, историко-культурных, туристских и спортивных целей

Приложение 9

к Методическим указаниям
расчета ставок платы за лесные пользования
на участках государственного лесного фонда

Таблица 1

Виды второстепенных древесных ресурсов

Кора, тонн

Ветви, тонн

Пни, тонн

Корни тонн

Листья, тонн

Почки, килограмм

Процент от ставки платы за 1 плотный м3 дровяной древесины соответствующей породы

10 %

20 %

5 %

30 %

15 %

10 %

 

 

 

Таблица 2

Виды лесных пользований и ресурсов

Орехи

Плоды

Лекарственные растения и техническое сырье

грецкий

кедровый

другие виды орехов

семечковые

косточковые

травы

цветки

листья

стебли и побеги

почки

плоды и ягоды

корни

Минимальные ставки платы, в % от рыночных цен

40

40

40

40

40

30

30

30

30

20

30

20

виды лесных пользований и ресурсов

грибы

ягоды

другие пищевые продукты

мхи

лесная подстилка и опавшие листья

камыш

чий и другие виды ресурсов

Минимальные ставки платы, в % от рыночных цен

30

40

40

20

20

20

20

 

 

Таблица 3

Группы животных

Крупный скот

Мелкий скот

верблюд

КРС

лошадь

молодняк крупного скота

осел

коза

овца

Соотношение ставок, %

100

80

80

40

40

70

20