Об утверждении Правил осуществления классификации активов и условных обязательств по предоставленным микрокредитам, отнесения активов по предоставленным микрокредитам к сомнительным и безнадежным, а также создания провизий (резервов) против них

Постановление Правления Национального Банка Республики Казахстан от 27 марта 2018 года № 62

В соответствии с Кодексом Республики Казахстан от 25 декабря 2017 года «О налогах и других обязательных платежах в бюджет» (Налоговый кодекс), законами Республики Казахстан от 19 марта 2010 года «О государственной статистике» и от 26 ноября 2012 года «О микрофинансовых организациях» Правление Национального Банка Республики Казахстан ПОСТАНОВЛЯЕТ:

1. Утвердить прилагаемые Правила осуществления классификации активов и условных обязательств по предоставленным микрокредитам, отнесения активов по предоставленным микрокредитам к сомнительным и безнадежным, а также создания провизий (резервов) против них.

2. Признать утратившим силу постановление Правления Национального Банка Республики Казахстан от 24 декабря 2012 года № 381 «Об утверждении Правил осуществления классификации активов и условных обязательств по предоставленным микрокредитам и создания провизий (резервов) против них» (зарегистрировано в Реестре государственной регистрации нормативных правовых актов под № 8305, опубликовано 5 июня 2013 года в газете «Казахстанская правда» № 190-191 (27464-27465).

3. Департаменту методологии финансового рынка (Абдрахманов Н.А.) в установленном законодательством Республики Казахстан порядке обеспечить:

1) совместно с Юридическим департаментом (Сарсенова Н.В.) государственную регистрацию настоящего постановления в Министерстве юстиции Республики Казахстан;

2) в течение десяти календарных дней со дня государственной регистрации настоящего постановления направление его копии в бумажном и электронном виде на казахском и русском языках в Республиканское государственное предприятие на праве хозяйственного ведения «Республиканский центр правовой информации» для официального опубликования и включения в Эталонный контрольный банк нормативных правовых актов Республики Казахстан;

3) размещение настоящего постановления на официальном интернет-ресурсе Национального Банка Республики Казахстан после его официального опубликования;

4) в течение десяти рабочих дней после государственной регистрации настоящего постановления представление в Юридический департамент сведений об исполнении мероприятий, предусмотренных подпунктами 2), 3) настоящего пункта и пунктом 4 настоящего постановления.

4. Управлению по защите прав потребителей финансовых услуг и внешних коммуникаций (Терентьев А.Л.) обеспечить в течение десяти календарных дней после государственной регистрации настоящего постановления направление его копии на официальное опубликование в периодические печатные издания.

5. Контроль за исполнением настоящего постановления возложить на заместителя Председателя Национального Банка Республики Казахстан Смолякова О.А.

6. Настоящее постановление вводится в действие по истечении десяти календарных дней после дня его первого официального опубликования.

Председатель Национального Банка

Д. Акишев

Утверждены
постановлением Правления
Национального Банка
Республики Казахстан
от 27 марта 2018 года № 62

Правила осуществления классификации активов и условных обязательств по предоставленным микрокредитам, отнесения активов по предоставленным микрокредитам к сомнительным и безнадежным, а также создания провизий (резервов) против них

Глава 1. Общие положения

1. Настоящие Правила осуществления классификации активов и условных обязательств по предоставленным микрокредитам, отнесения активов по предоставленным микрокредитам к сомнительным и безнадежным, а также создания провизий (резервов) против них (далее - Правила), разработаны в соответствии с Кодексом Республики Казахстан от 25 декабря 2017 года «О налогах и других обязательных платежах в бюджет» (Налоговый кодекс), Законом Республики Казахстан от 26 ноября 2012 года «О микрофинансовых организациях» и устанавливают порядок осуществления классификации активов и условных обязательств по предоставленным микрокредитам, отнесения активов по предоставленным микрокредитам к сомнительным и безнадежным, а также создания провизий (резервов) против них.

2. В Правилах используются следующие понятия:

1) недополучение денег - разница между денежными потоками, причитающимися микрофинансовой организации в соответствии с договором о предоставлении микрокредита и денежными потоками, которые микрофинансовая организация ожидает получить;

2) задолженность - сумма непогашенного заемщиком требования в виде основного долга, начисленного вознаграждения и (или) иных выплат в соответствии с условиями договора о предоставлении микрокредита;

3) однородные активы и условные обязательства по предоставленным микрокредитам - группа активов и условных обязательств по предоставленным микрокредитам со сходными характеристиками кредитного риска;

4) индивидуальные активы и условные обязательства по предоставленным микрокредитам - активы и условные обязательства по предоставленным микрокредитам, валовая балансовая стоимость которого на отчетную дату превышает 5 (пять) процентов от активов микрофинансовой организации, согласно данным финансовой отчетности или актив и условное обязательство по предоставленному микрокредиту, который представляет собой требование к взаимосвязанной стороне.

Допускается установление микрофинансовой организацией в дополнение к критериям, предусмотренным настоящим подпунктом, дополнительных критериев для отнесения актива и условного обязательства по предоставленному микрокредиту к индивидуальным.

Допускается определение микрофинансовой организацией иного соотношения валовой балансовой стоимости актива и условного обязательства по предоставленному микрокредиту к активам, но не менее 5 (пяти) процентов от активов;

5) кредитно-обесцененный актив по предоставленному микрокредиту - актив по предоставленному микрокредиту, по которому выявлены признаки обесценения, соответствующие критериям международного стандарта финансовой отчетности 9 «Финансовые инструменты» (далее - МСФО 9);

6) валовая балансовая стоимость актива и условного обязательства по предоставленному микрокредиту - амортизированная стоимость актива и условного обязательства по предоставленному микрокредиту до корректировки на величину оценочного резерва под убытки;

7) реклассификация актива и условного обязательства по предоставленному микрокредиту - классификация ранее классифицированного актива и условного обязательства по предоставленному микрокредиту с соответствующим доформированием и (или) расформированием провизий (резервов) против него;

8) реструктуризация актива и условного обязательства по предоставленному микрокредиту - любое изменение порядка и условий договора о предоставлении микрокредита, в соответствии с любым из нижеперечисленных случаев:

изменение графика платежей по активу и условному обязательству по предоставленному микрокредиту, в том числе последующее предоставление либо продление льготного периода по платежам по активу и условному обязательству по предоставленному микрокредиту для погашения основного долга и (или) вознаграждения, последующее продление срока актива и условного обязательства по предоставленному микрокредиту, отсрочка одного или более платежа по активу и условному обязательству по предоставленному микрокредиту, списание или прощение части основного долга и (или) вознаграждения по активу и условному обязательству по предоставленному микрокредиту, капитализация просроченных платежей по вознаграждению, изменение (конвертация) валюты актива и условного обязательства по предоставленному микрокредиту с одной валюты на другую с капитализацией просроченной задолженности по вознаграждению;

предоставление нового актива и условного обязательства по предоставленному микрокредиту для оплаты просроченной задолженности по активу и условному обязательству по предоставленному микрокредиту в микрофинансовой организации, в том числе в других микрофинансовых организациях;

увеличение кредитного лимита в случае наличия просроченной задолженности по активу и условному обязательству по предоставленному микрокредиту;

снижение ставки вознаграждения по активу и условному обязательству по предоставленному микрокредиту;

снижение задолженности по активу и условному обязательству по предоставленному микрокредиту в результате погашения суммы задолженности за счет передаваемого микрофинансовой организации залогового имущества заемщика;

9) амортизированная стоимость актива и условного обязательства по предоставленному микрокредиту - сумма по которой оценивается актив и условное обязательство по предоставленному микрокредиту при первоначальном признании, минус платежи в счет основной суммы долга, плюс (минус) величина накопленной амортизации дисконта (премии), рассчитанная с использованием метода эффективной процентной ставки и скорректированная с учетом оценочного резерва под убытки;

10) приобретенный или созданный кредитно-обесцененный актив по предоставленному микрокредиту - приобретенный или созданный актив по предоставленному микрокредиту, по которому имелось подтверждение об обесценении на момент первоначального признания;

11) дефолт - наличие просроченного (просроченных) платежа (платежей) сроком более 90 (девяноста) календарных дней либо наличие одной или более из следующих ситуаций:

приостановление начисления вознаграждения по активу и условному обязательству по предоставленному микрокредиту в связи с ухудшением финансового состояния заемщика;

списание части и (или) всей суммы задолженности заемщика, которое вызвано значительным увеличением кредитного риска с даты предоставления актива и условного обязательства по предоставленному микрокредиту;

уступка прав требований по активу и условному обязательству по предоставленному микрокредиту с дисконтом;

реструктуризация актива и условного обязательства по предоставленному микрокредиту в связи с ухудшением финансового состояния заемщика;

подача иска о признании заемщика банкротом в соответствии с законодательством Республики Казахстан о реабилитации и банкротстве;

обращение заемщика в суд с заявлением о признании его банкротом в соответствии с законодательством Республики Казахстан о реабилитации и банкротстве;

ситуации, предусмотренные Методикой расчета провизий (резервов), утвержденной исполнительным органом микрофинансовой организации (далее - Методика).

Под ухудшением финансового состояния заемщика понимается возникновение одного или нескольких из следующих случаев:

заемщик имеет просроченные обязательства перед микрофинансовой организацией сроком 30 (тридцать) календарных дней и более;

у заемщика отсутствуют просроченные обязательства и у микрофинансовой организации имеется обоснованная и подтверждаемая информация о том, что заемщик допустит нарушение сроков оплаты по своим обязательствам без предоставления ему льготных условий по активу и условному обязательству по предоставленному микрокредиту;

на основе оценки фактических показателей финансового состояния заемщика микрофинансовая организация прогнозирует, что денежные потоки заемщика будут недостаточны для покрытия договорных обязательств перед микрофинансовой организацией (включая основной долг и вознаграждение);

микрофинансовая организация оценила наличие ухудшения финансового состояния заемщика в соответствии с внутренней рейтинговой моделью, разрабатываемой микрофинансовой организацией и являющейся приложением к Методике;

12) кредитный скоринг - оценка кредитоспособности заемщика, основанная на качественных и количественных характеристиках;

13) стоимость обеспечения - стоимость залогового обеспечения на текущий момент, определяемая от рыночной (справедливой) стоимости с учетом возможности ее реализации (продажи);

14) заемщик - физическое или юридическое лицо, заключившее с микрофинансовой организацией договор о предоставлении микрокредита;

15) обоснованная и подтверждаемая информация - информация, которая является обоснованно доступной по состоянию на отчетную дату без чрезмерных затрат или усилий, включая информацию о прошлых событиях за период не менее 5 (пяти) лет, текущих качественных и количественных показателях и прогнозах будущих экономических качественных и количественных показателей. При отсутствии информации за период не менее 5 (пяти) лет, обоснованно доступной по состоянию на отчетную дату, допускается использование микрофинансовой организацией информации за более короткий период при условии последующего накопления информации о прошлых событиях за период не менее 5 (пяти) лет. По индивидуальным микрокредитам и условным обязательствам допускается построение прогнозных потоков на основании мониторинга финансового состояния заемщика за последние 3 (три) года либо менее в случае осуществления микрофинансовой организацией операционной деятельности менее 3 (трех) лет;

16) провизии (резервы) - оценочный резерв под ожидаемые и имеющиеся кредитные убытки по активам по предоставленным микрокредитам, учитываемым по амортизированной стоимости актива по предоставленному микрокредиту и по справедливой стоимости через прочий совокупный доход, а также оценочное обязательство в отношении ожидаемых кредитных убытков по условным обязательствам по предоставленным микрокредитам;

17) уполномоченный орган - территориальный филиал Национального Банка Республики Казахстан по месту нахождения микрофинансовой организации;

18) условные обязательства по предоставленным микрокредитам - обязательства по предоставленным микрокредитам, наличие которых будет подтверждено только наступлением или не наступлением одного или нескольких будущих событий, в наступлении которых нет уверенности и которые не полностью находятся под контролем микрофинансовой организации.

Глава 2. Порядок классификации активов и условных обязательств по предоставленным микрокредитам и их отнесения к сомнительным и безнадежным

3. Классификация активов и условных обязательств по предоставленным микрокредитам осуществляется микрофинансовой организацией в соответствии с Правилами в зависимости от размера сформированных провизий (резервов).

4. Для целей определения размера провизий (резервов) активы и условные обязательства по предоставленным микрокредитам оцениваются на индивидуальной и однородной основе.

5. Классификация (реклассификация) активов и условных обязательств по предоставленным микрокредитам и формирование провизий (резервов) против них осуществляется на основании следующих условий:

1) соответствие фактических действий по классификации активов, условных обязательств по предоставленным микрокредитам и формированию провизий (резервов) требованиям Правил и внутренних документов микрофинансовой организации;

2) комплексный и объективный анализ всей информации, относящейся к сфере классификации активов, условных обязательств по предоставленным микрокредитам и формирования провизий (резервов) против них;

3) своевременность классификации (реклассификации) активов и условных обязательств по предоставленным микрокредитам и (или) формирования (регулирования) провизий (резервов), достоверность отражения изменений размера провизий (резервов) в учете и отчетности.

6. В целях классификации активы и условные обязательства по предоставленным микрокредитам подразделяются на стандартные и классифицированные.

7. Актив по предоставленному микрокредиту не относящийся к классифицированному, является стандартным.

8. Условное обязательство по предоставленному микрокредиту, не относящееся к классифицированному, является стандартным.

9. Классифицированные активы и условные обязательства по предоставленным микрокредитам подразделяются на следующие категории в зависимости от размера сформированных провизий (резервов):

1) сомнительные:

сомнительные 1 категории - более 0,01 (ноль целых одной сотой) процента и менее или равно 5 (пяти) процентам провизий (резервов) от валовой балансовой стоимости актива или условного обязательства по предоставленному микрокредиту;

сомнительные 2 категории - более 5,01 (пяти целых одной сотой) процента и менее или равно 10 (десяти) процентам провизий (резервов) от валовой балансовой стоимости актива или условного обязательства по предоставленному микрокредиту;

сомнительные 3 категории - более 10,01 (десяти целых одной сотой) процента и менее или равно 20 (двадцати) процентам провизий (резервов) от валовой балансовой стоимости актива или условного обязательства по предоставленному микрокредиту;

сомнительные 4 категории - более 20,01 (двадцати целых одной сотой) процента и менее или равно 25 (двадцати пяти) процентам провизий (резервов) от валовой балансовой стоимости актива или условного обязательства по предоставленному микрокредиту;

сомнительные 5 категории - более 25,01 (двадцати пяти целых одной сотой) процента и менее или равно 50 (пятидесяти) процентам провизий (резервов) от валовой балансовой стоимости актива или условного обязательства по предоставленному микрокредиту;

2) безнадежные - более 50,01 (пятидесяти целых одной сотой) процента провизий (резервов) от валовой балансовой стоимости актива или условного обязательства по предоставленному микрокредиту.

10. Микрофинансовая организация представляет в уполномоченный орган с соблюдением требований пункта 11 Правил следующие отчеты (далее - отчетность):

1) отчет о классификации активов по микрокредитам, предоставленным юридическим лицам (за исключением включенных в портфель однородных активов по предоставленным микрокредитам), по форме согласно приложению 1 к Правилам;

2) отчет о классификации активов по микрокредитам, предоставленным физическим лицам (за исключением включенных в портфель однородных активов по предоставленным микрокредитам), по форме согласно приложению 2 к Правилам;

3) отчет о классификации однородных активов по микрокредитам, предоставленным юридическим лицам, по форме согласно приложению 3 к Правилам;

4) отчет о классификации однородных активов по микрокредитам, предоставленным физическим лицам, по форме согласно приложению 4 к Правилам;

5) отчет о классификации условных обязательств по предоставленным микрокредитам по форме согласно приложению 5 к Правилам.

11. Микрофинансовая организация ежеквартально не позднее 20 (двадцатого) числа месяца, следующего за отчетным кварталом, представляет в уполномоченный орган отчетность в электронном формате.

Данные в отчетности указываются в национальной валюте Республики Казахстан - тенге.

Отчетность на бумажном носителе по состоянию на отчетную дату подписывается первым руководителем, главным бухгалтером или лицами, уполномоченными ими на подписание отчетности, и исполнителем, и хранится у микрофинансовой организации.

Идентичность данных отчетности микрофинансовой организации, представляемых в электронном формате, данным на бумажном носителе, возлагается на первого руководителя, главного бухгалтера и лиц, уполномоченных ими на подписание отчетности, и исполнителя.

Глава 3. Порядок создания провизий (резервов) в соответствии с международными стандартами финансовой отчетности

12. Провизии (резервы) создаются в соответствии с требованиями МСФО 9 и законодательства Республики Казахстан о бухгалтерском учете и финансовой отчетности.

13. Порядок создания провизий (резервов) определяется в соответствии с Правилами на основании Методики.

14. Активы и условные обязательства по предоставленным микрокредитам классифицируются на однородные и индивидуальные.

По индивидуальным активам по предоставленным микрокредитам провизии (резервы) рассчитываются отдельно по каждому индивидуальному активу.

По индивидуальным активам по предоставленным микрокредитам, по которым отсутствуют признаки обесценения в соответствии с Методикой, осуществляется группировка по схожим характеристикам кредитного риска, установленным в Методике, и провизии (резервы) рассчитываются в соответствии с порядком, установленным Методикой.

Однородные активы, условные обязательства по предоставленным микрокредитам группируются на основе общих характеристик кредитного риска, а также провизии (резервы) рассчитываются по каждой отдельной группе активов и условных обязательств по предоставленным микрокредитам.

Условия и признаки, на основании которых осуществляется группировка активов, условных обязательств по предоставленным микрокредитам в однородные группы, раскрываются в Методике.

К критериям однородности активов и условных обязательств по предоставленным микрокредитам относятся, но не ограничиваясь этим, вид заемщика, технология микрокредитования, целевое назначение, вид обеспечения, географическое местоположение заемщика, срок актива и условного обязательства по предоставленному микрокредиту, а также признаки по программам микрокредитования, определенные Методикой.

15. В зависимости от изменения кредитного риска и наличия признаков обесценения по активам по предоставленным микрокредитам провизии (резервы) формируются:

1) в сумме, равной ожидаемым кредитным убыткам за 12 (двенадцать) месяцев в соответствии с пунктом 17 Правил;

2) в сумме, равной ожидаемым кредитным убыткам за весь срок по микрокредитам в соответствии с пунктом 18 Правил;

3) в сумме, равной имеющимся кредитным убыткам в соответствии с пунктом 23 Правил.

16. При первоначальном признании актива, условного обязательства по предоставленному микрокредиту на дату оценки (но не реже одного раза в квартал) определяется риск наступления дефолта на протяжении ожидаемого срока действия актива, условного обязательства по предоставленному микрокредиту на индивидуальной основе и на групповой основе, по активам, условным обязательствам по предоставленным микрокредитам, классифицированным как однородные.

17. Если по состоянию на отчетную дату отсутствует значительное увеличение кредитного риска по активу, условному обязательству по предоставленному микрокредиту с даты первоначального признания, микрофинансовая организация оценивает размер провизий (резервов) по данному активу, условному обязательству по предоставленному микрокредиту в сумме, равной ожидаемым кредитным убыткам за 12 (двенадцать) месяцев начиная с отчетной даты.

18. По состоянию на отчетную дату микрофинансовая организация оценивает размер провизий (резервов) по активу, условному обязательству по предоставленному микрокредиту в сумме, равной ожидаемым кредитным убыткам за весь срок, если кредитный риск по данному активу, условному обязательству по предоставленному микрокредиту значительно увеличился с даты первоначального признания.

19. Увеличение кредитного риска определяется следующим образом:

1) оценивается изменение риска наступления дефолта на протяжении ожидаемого срока действия актива по предоставленному микрокредиту путем сравнения риска наступления дефолта по активу по предоставленному микрокредиту на отчетную дату с риском наступления дефолта на дату первоначального признания;

2) анализируется обоснованная и подтверждаемая информация, доступная без чрезмерных затрат и усилий, которая указывает на значительное увеличение кредитного риска с момента первоначального признания.

Значительным увеличением кредитного риска является наступление одного или нескольких нижеперечисленных случаев:

значительные изменения внешних рыночных показателей кредитного риска для определенного актива по предоставленному микрокредиту или аналогичных активов по предоставленным микрокредитам с таким же ожидаемым сроком действия;

фактическое или ожидаемое (на основании обоснованной и подтверждаемой информации) снижение внутреннего или внешнего кредитного рейтинга заемщика, либо уменьшение рейтинга заемщика по кредитному скорингу, используемого для анализа кредитного риска для внутренних целей;

значительные изменения стоимости обеспечения по обязательству или качества гарантий или механизмов, предоставляющих экономический стимул для заемщика осуществлять плановые платежи, предусмотренные договором, которые, как ожидается, уменьшат экономический стимул для заемщика осуществлять плановые платежи, предусмотренные договором, или иным образом повлияют на вероятность наступления дефолта;

наличие просроченных платежей сроком 30 (тридцать) календарных дней и более;

признаки значительного увеличения кредитного риска, предусмотренные в Методике.

Значительность увеличения кредитного риска устанавливается Методикой, с учетом требований Правил.

20. Ожидаемые кредитные убытки по активам по предоставленным микрокредитам являются взвешенными с учетом вероятности оценки кредитных убытков, то есть приведенной стоимости всех ожидаемых недополучений денег за весь ожидаемый срок действия актива по предоставленному микрокредиту. Ожидаемые кредитные убытки по активу по предоставленному микрокредиту рассчитываются микрофинансовыми организациями по формуле расчета ожидаемых кредитных убытков согласно приложению 6 к Правилам и оцениваются способом, который отражает:

1) непредвзятую и взвешенную с учетом вероятности сумму, определенную путем оценки диапазона возможных результатов;

2) временную стоимость денег;

3) обоснованную и подтверждаемую информацию о прошлых событиях, текущих качественных и количественных показателях и прогнозах будущих экономических качественных и количественных показателей, включая прогнозную макроэкономическую информацию, доступную на отчетную дату без чрезмерных затрат или усилий.

В случае обоснованного изменения формулы расчета ожидаемых кредитных убытков микрофинансовая организация изменяет и (или) дополняет указанную формулу и рассчитывает ожидаемые кредитные убытки по измененной и (или) дополненной формуле расчета ожидаемых кредитных убытков.

21. Кредитный убыток по активу по предоставленному микрокредиту (активам по предоставленным микрокредитам) представляет собой приведенную стоимость разницы между предусмотренными договором денежными потоками, которые причитаются микрофинансовой организации и денежными потоками, которые микрофинансовая организация ожидает получить.

22. Ожидаемые кредитные убытки за 12 (двенадцать) месяцев рассчитываются по формуле расчета ожидаемых кредитных убытков за 12 (двенадцать) месяцев согласно приложению 7 к Правилам и являются частью ожидаемых кредитных убытков за весь срок, рассматриваются в виде недополучения денег при наступлении дефолта в течение 12 (двенадцати) месяцев после отчетной даты (либо в течение более короткого периода, если ожидаемый срок действия актива по предоставленному микрокредиту составляет менее 12 (двенадцати) месяцев) и взвешиваются с учетом вероятности наступления такого дефолта.

В случае обоснованного изменения формулы расчета ожидаемых кредитных убытков за 12 (двенадцать) месяцев микрофинансовая организация изменяет и (или) дополняет указанную формулу и рассчитывает ожидаемые кредитные убытки за 12 (двенадцать) месяцев по измененной и (или) дополненной формуле расчета ожидаемых кредитных убытков за 12 (двенадцать) месяцев.

23. Имеющийся кредитный убыток по индивидуальным кредитно-обесцененным активам по предоставленным микрокредитам по состоянию на отчетную дату, который не является приобретенным или созданным кредитно-обесцененным активом по предоставленному микрокредиту, оценивается как разница между валовой балансовой стоимостью актива по предоставленному микрокредиту и приведенной стоимостью расчетных будущих денежных потоков, дисконтированных с использованием первоначальной эффективной процентной ставки по активу по предоставленному микрокредиту.

Приведенная стоимость будущих денежных потоков определяется по формуле приведенной стоимости будущих денежных потоков согласно приложению 8 к Правилам.

24. Кредитно-обесцененный актив по предоставленному микрокредиту переходит в категорию активов по предоставленным микрокредитам, имеющих признаки значительного увеличения кредитного риска, при условии погашения заемщиком задолженности, которое приводит к снижению валовой балансовой стоимости актива по предоставленному микрокредиту на дату формирования провизий (резервов) до уровня, равного или ниже суммы задолженности на момент перехода актива по предоставленному микрокредиту в категорию кредитно-обесцененных активов по предоставленным микрокредитам и при отсутствии на дату оценки событий, являющихся объективными подтверждениями обесценения на основе признаков обесценения актива по предоставленному микрокредиту, установленных Методикой.

Актив по предоставленному микрокредиту, имеющий признаки значительного увеличения кредитного риска, переходит в категорию активов по предоставленным микрокредитам, провизии (резервы) по которым формируются в сумме, равной ожидаемым кредитным убыткам за 12 (двенадцать) месяцев в соответствии с пунктом 17 Правил, при условии погашения заемщиком задолженности, которое приводит к снижению валовой балансовой стоимости актива по предоставленному микрокредиту на дату формирования провизий (резервов) до уровня, равного или ниже суммы задолженности на момент перехода актива по предоставленному микрокредиту в категорию активов по предоставленным микрокредитам, имеющих признаки значительного увеличения кредитного риска и отсутствия на дату формирования провизий (резервов) значительного увеличения кредитного риска.

25. По индивидуальному активу по предоставленному микрокредиту оценивается наличие одного или нескольких следующих событий, являющихся объективными подтверждениями обесценения:

1) наличие обоснованной и подтверждаемой информации о значительных финансовых затруднениях заемщика;

2) наличие просроченной задолженности по основному долгу и (или) вознаграждению сроком свыше 60 (шестидесяти) календарных дней;

3) реструктуризация актива по предоставленному микрокредиту в связи с финансовыми затруднениями один и более раз за последние 12 (двенадцать) месяцев;

4) наличие у микрофинансовой организации обоснованной и подтверждаемой информации о форс-мажорных обстоятельствах, которые нанесли заемщику существенный материальный ущерб, определяемый согласно Методике, и (или) не позволяют ему продолжать свою деятельность, включая информацию об отсутствии трудовой деятельности или предпринимательской деятельности заемщика;

5) обоснованная и подтверждаемая информация о вероятности банкротства, реорганизации заемщика на основании обоснованной и подтверждаемой информации и (или) вовлеченности в судебные разбирательства заемщика, которые могут ухудшить его финансовое состояние;

6) смерть заемщика;

7) события, указанные в Методике.

26. При расчете ожидаемых кредитных убытков микрофинансовая организация учитывает подтверждаемую информацию по реализации залогового имущества за период не менее 2 (двух) лет. При отсутствии подтверждаемой информации о реализации залогового имущества для расчета ожидаемых убытков микрофинансовая организация применяет следующие коэффициенты ликвидности к стоимости обеспечения, используемых в расчете ожидаемых убытков:

1) обеспечение в виде жилой и (или) коммерческой недвижимости, в том числе земельные участки - 0,7;

2) обеспечение в виде транспортных средств - 0,5;

3) обеспечение в виде оборудования, товарно материальных ценностей, продукции готовой к реализации - 0,4;

4) обеспечение в виде гарантий физических и (или) юридических лиц, за исключением гарантий, выданных банком второго уровня либо юридическим лицом, имеющим рейтинг не ниже суверенного рейтинга Республики Казахстан агентства Standard & Poor's или рейтинг аналогичного уровня одного из других рейтинговых агентств, либо субъектом квазигосударственного сектора - 0;

5) обеспечение в виде имущества, в том числе в виде денег, поступающего в будущем - 0;

6) обеспечение в виде высоколиквидных ценных бумаг - 0,95;

7) обеспечение в виде гарантий, выданных банком второго уровня; юридическим лицом, имеющим рейтинг не ниже суверенного рейтинга Республики Казахстан агентства Standard & Poor's или рейтинг аналогичного уровня одного из других рейтинговых агентств; субъектом квазигосударственного сектора - 1;

8) обеспечение в виде денег - 1.

По иным видам обеспечения, не указанным в части первой настоящего пункта, по которым отсутствует подтверждаемая информация по реализации залогового имущества за период не менее 2 (двух) лет, при расчете ожидаемых убытков микрофинансовой организацией применяются коэффициенты ликвидности к стоимости обеспечения, предусмотренные Методикой, но не более 0,7. По видам обеспечения, не предусмотренным в Методике, применяется коэффициент ликвидности равный нулю.

27. Ожидаемые кредитные убытки по условным обязательствам по предоставленным микрокредитам представляют собой ожидаемые выплаты, возмещающие держателю условного обязательства кредитные убытки, которые он несет, за вычетом сумм, которые микрофинансовая организация ожидает получить от держателя условного обязательства по предоставленному микрокредиту, должника либо любой другой стороны. Данный пункт применим в отношении условных обязательств по предоставленным микрокредитам заемщиков, оцениваемых на индивидуальной основе.

28. По приобретенным или созданным кредитно-обесцененным активам по предоставленным микрокредитам на отчетную дату микрофинансовая организация признает в качестве оценочного резерва под убытки только накопленные с даты первоначального признания изменения ожидаемых кредитных убытков за весь срок.

Активы по предоставленным микрокредитам, срок которых составляет более 3 (трех) лет и по которым погашение более 50 (пятидесяти) процентов основного долга и более 50 (пятидесяти) процентов вознаграждения осуществляется в последний год актива по предоставленному микрокредиту, относятся к приобретенным или созданным кредитно-обесцененным активам по предоставленным микрокредитам. Указанные активы по предоставленным микрокредитам в целях Правил признаются в качестве активов по предоставленным микрокредитам, предоставленного в пользу взаимосвязанных сторон либо третьим лицам по обязательствам взаимосвязанных сторон.

29. По результатам определения суммы провизий (резервов) по активам по предоставленным микрокредитам не реже 1 (одного) раза в год на конец налогового периода, установленного налоговым законодательством Республики Казахстан, микрофинансовой организацией заполняется и хранится регистр по размерам провизий (резервов) согласно приложению 9 к Правилам.

Регистр по размерам провизий (резервов) заполняется микрофинансовой организацией и по запросу государственных органов представляется на бумажном и электронном носителях.

30. Рассчитанный на отчетную дату размер провизий (резервов), созданных в соответствии с настоящей главой, отражается микрофинансовой организацией в системе бухгалтерского учета и финансовой отчетности микрофинансовой организации не позднее последнего рабочего дня каждого квартала.

31. Совокупный размер провизий (резервов), создаваемых в соответствии с Правилами, отнесенных к категории кредитно-обесцененных активов по предоставленным микрокредитам, имеющих значительное увеличение кредитного риска, при первоначальном переходе на МСФО 9 превышает или равняется совокупному уровню провизий (резервов) по этим же активам по предоставленным микрокредитам в соответствии с международным стандартом финансовой отчетности 39 «Финансовые инструменты: признание и измерение».

Глава 4. Порядок создания провизий (резервов) в соответствии с международными стандартами финансовой отчетности для малого и среднего бизнеса и (или) иных микрофинансовых организаций, составляющих отчетность в соответствии с национальным стандартом финансовой отчетности

32. Провизии (резервы) создаются в соответствии с требованиями законодательства Республики Казахстан о бухгалтерском учете и финансовой отчетности и международных стандартов финансовой отчетности для малого и среднего бизнеса.

33. Порядок создания провизий (резервов) в соответствии с международными стандартами финансовой отчетности для малого и среднего бизнеса и (или) в соответствии с национальным стандартом финансовой отчетности, определяется Правилами на основании Методики.

34. По активам по предоставленным микрокредитам провизии (резервы) создаются в следующем порядке:

1) активы по предоставленным микрокредитам классифицируются на однородные и индивидуальные;

2) проводится оценка обесценения индивидуальных активов по предоставленным микрокредитам;

3) по индивидуальным активам по предоставленным микрокредитам, по которым выявлены признаки обесценения, установленные Методикой:

определяются прогнозы будущих денежных потоков. При наличии обеспечения по активу по предоставленному микрокредиту, стоимость такого обеспечения увеличивает прогноз будущих денежных потоков;

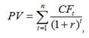
рассчитывается дисконтированная стоимость будущих денежных потоков по следующей формуле:

 

где:

PV - приведенная стоимость будущих денежных потоков;

CF - прогноз будущих денежных потоков;

r - эффективная ставка процента;

t, n - количество лет, в течение которых предполагаются денежные потоки по активу по предоставленному микрокредиту;

определяется размер провизий (резервов) как разница между балансовой стоимостью актива по предоставленному микрокредита, сложившейся на начало дня, в котором осуществляется расчет провизий (резервов), и дисконтированной стоимостью будущих денежных потоков;

эффективная ставка процента рассчитывается путем применения метода подстановки или автоматизированной функции Microsoft Office Excel «ВСД» (внутренняя ставка доходности) или других аналогичных автоматизированных функций;

4) по индивидуальным активам по предоставленным микрокредитам, по которым отсутствуют признаки обесценения в соответствии с Методикой, и однородным активам по предоставленным микрокредитам:

осуществляется группировка по схожим характеристикам кредитного риска, установленным в Методике. При классификации однородных активов по предоставленным микрокредитам не принимается в качестве схожей характеристики кредитного риска то обстоятельство, что активы по предоставленным микрокредитам возникли по требованиям к одному и тому же клиенту;

рассчитываются провизии (резервы) в соответствии с порядком, установленным Методикой.

35. По условным обязательствам по предоставленным микрокредитам провизии (резервы) создаются по каждому условному обязательству в следующем порядке:

1) определяется вероятность исполнения условного обязательства в соответствии с международным стандартом финансовой отчетности 37 «Резервы, условные обязательства и активы» (далее - МСФО 37);

2) рассчитываются предполагаемые затраты для урегулирования существующего обязательства в соответствии с МСФО 37;

3) рассчитывается справедливая стоимость условного обязательства в соответствии с международным стандартом финансовой отчетности для малого и среднего бизнеса;

4) определяется размер провизии (резерва) как наибольшее значение из суммы предполагаемых затрат, рассчитанной в соответствие с МСФО 37, и размера справедливой стоимости, рассчитанной в соответствии с международным стандартом финансовой отчетности для малого и среднего бизнеса.

36. По результатам определения суммы провизий (резерва) по индивидуальным активам и условным обязательствам по предоставленным микрокредитам не реже 1 (одного) раза в год на конец налогового периода, установленного налоговым законодательством Республики Казахстан по корпоративному подоходному налогу, заполняются следующие регистры:

информация по размерам провизий (резервов) по форме согласно таблице 1 приложения 10 к Правилам;

расчет дисконтированной стоимости будущих денежных потоков по форме согласно таблице 2 приложению 10 к Правилам;

данные по индивидуальному активу и условному обязательству по предоставленному микрокредиту, по которому созданы провизии (резервы) в связи с его обесценением, по форме согласно таблице 3 приложения 10 к Правилам.

В течение налогового периода регистры заполняются, хранятся и по запросу государственных органов представляются на бумажном и электронном носителях.

37. Рассчитанный на отчетную дату размер провизий (резервов), созданных в соответствии с настоящей главой, отражается микрофинансовой организацией в системе бухгалтерского учета и финансовой отчетности микрофинансовой организации не позднее последнего рабочего дня каждого квартала.
Глава 5. Требования к методике создания провизий (резервов)

38. Микрофинансовая организация разрабатывает и утверждает Методику в соответствии с Правилами в течение 1 (одного) месяца со дня введения в действие Правил.

Микрофинансовая организация, прошедшая учетную регистрацию после введения в действие Правил, разрабатывает и утверждает Методику в течение 1 (одного) месяца со дня включения уполномоченным органом микрофинансовой организации в реестр микрофинансовых организаций.

39. Методика содержит:

1) перечень структурных подразделений микрофинансовой организации, участвующих в процессе определения размера провизий (резервов) с описанием их функциональных обязанностей, а также бизнес-процессов взаимодействия структурных подразделений микрофинансовой организации;

2) конкретный перечень признаков обесценения активов и условных обязательств по предоставленным микрокредитам, в том числе определяющий существенность материального ущерба, нанесенного заемщику вследствие форс-мажорных обстоятельств;

3) устанавливаемые микрофинансовой организацией критерии отнесения активов, условных обязательств по предоставленным микрокредитам к индивидуальным активам, условным обязательствам по предоставленным микрокредитам и подробное описание порядка их определения и установления расчета;

4) критерии группировки активов, условных обязательств по предоставленным микрокредитам по общим характеристикам кредитного риска;

5) детальный порядок определения размера провизий (резервов) по однородным и индивидуальным активам, условным обязательствам по предоставленным микрокредитам, как с обеспечением, так и без обеспечения, раскрывающий, в том числе подробный порядок расчета вероятности дефолта, в котором определена значительность дисконта при продаже актива и условного обязательства по предоставленному микрокредиту, уровня потерь в случае дефолта, требований, подверженных риску дефолта, фактора дисконтирования, приведенной стоимости будущих денежных потоков, прогноза будущих денежных потоков, коэффициентов ликвидности к стоимости обеспечения и других составляющих формул, участвующих в расчете ожидаемых и (или) имеющихся кредитных убытков;

6) периодичность расчета размера провизий (резервов);

7) критерии определения значительного увеличения кредитного риска при его увеличении и (или) уменьшении и оценки вероятности банкротства и реорганизации заемщика;

8) определение дефолта и порядок определения (расчета) риска наступления дефолта;

9) порядок осуществления анализа диапазона возможных сценариев ожидаемых кредитных убытков;

10) порядок определения периода, на протяжении которого оцениваются ожидаемые кредитные убытки;

11) конкретное определение значительных финансовых затруднений заемщика и порядок их установления (расчета);

12) используемые при оценке кредитных убытков источники статистической и макроэкономической информации;

13) порядок сбора статистической информации, используемой при расчете провизий (резервов).

40. Внесение изменений и (или) дополнений в Методику осуществляется по одному или нескольким следующим основаниям:

1) изменение перечня структурных подразделений микрофинансовой организации, участвующих в процессе определения размера провизий (резервов) и их функциональных обязанностей, указанного в Методике;

2) несоответствие утвержденной Методики международным стандартам финансовой отчетности и требованиям законодательства Республики Казахстан о бухгалтерском учете и финансовой отчетности;

3) результаты теста на соответствие провизий (резервов), рассчитанных согласно требованиям Методики, фактическим суммам убытков;

4) изменение источника (невозможность получения в будущем) статистических и макроэкономических данных, делающее невозможным применение их в будущем;

5) изменение группировки активов, условных обязательств по предоставленным микрокредитам по схожим характеристикам кредитного риска в связи с изменением стратегии микрофинансовой организации;

6) повышение точности расчетов провизий (резервов) и улучшение порядка определения их размера, в том числе их автоматизация.

Приложение 1

к Правилам осуществления
классификации активов и условных
обязательств по предоставленным
микрокредитам, отнесения
активов по предоставленным
микрокредитам к сомнительным
и безнадежным, а также создания
провизий (резервов) против них

 

Форма, предназначенная для сбора административных данных

Отчет о классификации активов по микрокредитам, предоставленным юридическим лицам (за исключением включенных в портфель однородных активов по предоставленным микрокредитам)

Отчетный период: на «__» ____________20__года

 

Индекс: T1
Периодичность: ежеквартальная
Представляет: микрофинансовая организация
Куда представляется форма: территориальный филиал Национального Банка Республики Казахстан
Срок представления: ежеквартально, не позднее 20 (двадцатого) числа месяца, следующего за отчетным кварталом

 

Форма

__________________________________________________________

(наименование микрофинансовой организации)

 

(в тысячах тенге)

Группа активов по предоставленным микрокредитам согласно классификации

Всего сумма основного долга

Сумма начисленного вознаграждения

Дисконт (премия)

Неустойка (штраф, пени) за несвоевременное погашение

Размер провизий (в процентах)

Всего сумма фактически созданных провизий

Стоимость обеспечения

 

1

2

3

4

5

6

7

1.Стандартные

 

 

   

0

   

2.Сомнительные

             

сомнительные 1 категории

 

 

   

0,01-5

   

сомнительные 2 категории

 

 

   

5,01-10

   

сомнительные 3 категории

 

 

   

10,01-20

   

сомнительные 4 категории

 

 

   

20,01-25

   

сомнительные 5 категории

 

 

   

25,01-50

   

3.Безнадежные

 

 

   

50,01-100

   

Всего (1+2+3)

             
 

Первый руководитель или лицо, уполномоченное на подписание отчета

________________________________________                   ____________

(фамилия, имя, отчество (при его наличии)                        (подпись)

Главный бухгалтер или лицо, уполномоченное на подписание отчета

________________________________________                   ____________

(фамилия, имя, отчество (при его наличии)                        (подпись)

Исполнитель ___________________________                     ____________

(должность, фамилия, имя, отчество (при его наличии)        (подпись)

Телефон: ______________

Дата подписания отчета «___» __________ 20___ года

Примечание: пояснение по заполнению формы, предназначенной для сбора административных данных, приведено в приложении к настоящей форме

 

Приложение
к форме отчета о классификации
активов по микрокредитам,
предоставленным юридическим лицам
(за исключением включенных
в портфель однородных активов по
предоставленным микрокредитам)

 

Пояснение по заполнению формы, предназначенной для сбора административных данных

Отчет о классификации активов по микрокредитам, предоставленным юридическим лицам (за исключением включенных в портфель однородных активов по предоставленным микрокредитам)

Глава 1. Общие положения

1. Настоящее пояснение определяет единые требования по заполнению формы, предназначенной для сбора административных данных «Отчет о классификации активов по микрокредитам, предоставленным юридическим лицам (за исключением включенных в портфель однородных активов по предоставленным микрокредитам)» (далее - Форма).

2. Форма разработана в соответствии c частью второй пункта 6 статьи 250 Кодекса Республики Казахстан от 25 декабря 2017 года «О налогах и других обязательных платежах в бюджет»,  подпунктом 69) части второй статьи 15 Закона Республики Казахстан от 30 марта 1995 года «О Национальном Банке Республики Казахстан» и подпунктом 5) статьи 27 Закона Республики Казахстан от 26 ноября 2012 года «О микрофинансовых организациях».

3. Форма заполняется ежеквартально микрофинансовой организацией по состоянию на конец отчетного периода. Данные в Форме указываются в тысячах тенге. Сумма менее 500 (пятисот) тенге округляется до 0 (нуля), а сумма, равная 500 (пятистам) тенге и выше, округляется до 1000 (тысячи) тенге.

4. Форму подписывают первый руководитель, главный бухгалтер или лица, уполномоченные ими на подписание отчета, и исполнитель.

 

Глава 2. Пояснение по заполнению Формы

5. Отнесение к группе активов по предоставленным микрокредитам согласно классификации определяется в зависимости от валовой балансовой стоимости актива по предоставленному микрокредиту.

6. Графы 1, 2, 3, 4, 6 и 7 заполняются последовательно.

7. В группе активов по предоставленным микрокредитам сомнительные 1, 2, 3, 4 и 5 категории суммируются.

8. В строке «Всего» подводятся итоги граф 1, 2, 3, 4, 6 и 7 по стандартным, сомнительным и безнадежным активам по предоставленным микрокредитам.

9. В графе 2 учитывается сумма начисленного, но не погашенного (не полученного) вознаграждения.

Приложение 2

к Правилам осуществления
классификации активов и условных
обязательств по предоставленным
микрокредитам, отнесения активов
по предоставленным микрокредитам
к сомнительным и безнадежным,
а также создания провизий
(резервов) против них

 

Форма, предназначенная для сбора административных данных

Отчет о классификации активов по микрокредитам, предоставленным физическим лицам (за исключением включенных в портфель однородных активов по предоставленным микрокредитам)

Отчетный период: на «__» ____________20__года

 

Индекс: T2
Периодичность: ежеквартальная
Представляет: микрофинансовая организация
Куда представляется форма: территориальный филиал Национального Банка Республики Казахстан
Срок представления: ежеквартально, не позднее 20 (двадцатого) числа месяца, следующего за отчетным кварталом

 

Форма

__________________________________________________________

(наименование микрофинансовой организации)

 

(в тысячах тенге)

Группа активов по предоставленным микрокредитам согласно классификации

Всего сумма основного долга

Сумма начисленного вознаграждения

Дисконт (премия)

Неустойка (штраф, пени) за несвоевременное погашение

Размер провизий (в процентах)

Всего сумма фактически созданных провизий

Стоимость обеспечения

 

1

2

3

4

5

6

7

1.Стандартные

 

 

   

0

   

2.Сомнительные

             

сомнительные 1 категории

 

 

   

0,01-5

   

сомнительные 2 категории

 

 

   

5,01-10

   

сомнительные 3 категории

 

 

   

10,01-20

   

сомнительные 4 категории

 

 

   

20,01-25

   

сомнительные 5 категории

 

 

   

25,01-50

   

3.Безнадежные

 

 

   

50,01-100

   

Всего (1+2+3)

             
 

Первый руководитель или лицо, уполномоченное на подписание отчета

________________________________________                   ____________

(фамилия, имя, отчество (при его наличии)                        (подпись)

Главный бухгалтер или лицо, уполномоченное на подписание отчета

________________________________________                   ____________

(фамилия, имя, отчество (при его наличии)                        (подпись)

Исполнитель ___________________________                     ____________

(должность, фамилия, имя, отчество (при его наличии)        (подпись)

 

Телефон: ______________

Дата подписания отчета «___» __________ 20___ года

Примечание: пояснение по заполнению формы, предназначенной для сбора административных данных, приведено в приложении к настоящей форме

 

Приложение
к форме отчета о классификации
активов по микрокредитам,
предоставленным физическим лицам
(за исключением включенных
в портфель однородных
активов по предоставленным
микрокредитам)

 

Пояснение по заполнению формы, предназначенной для сбора административных данных

Отчет о классификации активов по микрокредитам, предоставленным физическим лицам (за исключением включенных в портфель однородных активов по предоставленным микрокредитам)

Глава 1. Общие положения

1. Настоящее пояснение определяет единые требования по заполнению формы, предназначенной для сбора административных данных «Отчет о классификации активов по микрокредитам, предоставленным физическим лицам (за исключением включенных в портфель однородных активов по предоставленным микрокредитам)» (далее - Форма).

2. Форма разработана в соответствии c частью второй пункта 6 статьи 250 Кодекса Республики Казахстан от 25 декабря 2017 года «О налогах и других обязательных платежах в бюджет», подпунктом 69) части второй статьи 15 Закона Республики Казахстан от 30 марта 1995 года «О Национальном Банке Республики Казахстан» и подпунктом 5) статьи 27 Закона Республики Казахстан от 26 ноября 2012 года «О микрофинансовых организациях».

3. Форма заполняется ежеквартально микрофинансовой организацией по состоянию на конец отчетного периода. Данные в Форме указываются в тысячах тенге. Сумма менее 500 (пятисот) тенге округляется до 0 (нуля), а сумма, равная 500 (пятистам) тенге и выше, округляется до 1000 (тысячи) тенге.

4. Форму подписывают первый руководитель, главный бухгалтер или лица, уполномоченные ими на подписание отчета, и исполнитель.

 

Глава 2. Пояснение по заполнению Формы

5. Отнесение к группе активов по предоставленным микрокредитам согласно классификации определяется в зависимости от уровня созданных провизий к совокупной задолженности перед микрофинансовой организацией.

6. Графы 1, 2, 3, 4, 6 и 7 заполняются последовательно.

7. В группе активов по предоставленным микрокредитам сомнительные 1, 2, 3, 4 и 5 категории суммируются.

8. В строке «Всего» подводятся итоги граф 1, 2, 3, 4, 6 и 7 по стандартным, сомнительным и безнадежным активам по предоставленным микрокредитам.

9. В графе 2 учитывается сумма начисленного, но не погашенного (не полученного) вознаграждения.

Приложение 3

к Правилам осуществления
классификации активов и
условных обязательств по
предоставленным микрокредитам,
отнесения активов по предоставленным
микрокредитам к сомнительным и
безнадежным, а также создания
провизий (резервов) против них

 

Форма, предназначенная для сбора административных данных

Отчет о классификации однородных активов по микрокредитам, предоставленным юридическим лицам

Отчетный период: на «__» ____________20__года

Индекс: T4
Периодичность: ежеквартальная
Представляет: микрофинансовая организация
Куда представляется форма: территориальный филиал Национального Банка Республики Казахстан
Срок представления: ежеквартально, не позднее 20 (двадцатого) числа месяца, следующего за отчетным кварталом

 

Форма

__________________________________________________________

(наименование микрофинансовой организации)

 

(в тысячах тенге)

Группа активов по предоставленным микрокредитам согласно классификации

Всего сумма основного долга

Сумма начисленного вознаграждения

Дисконт (премия)

Неустойка (штраф, пени) за несвоевременное погашение

Размер провизий (в процентах)

Всего сумма фактически созданных провизий

Стоимость обеспечения

 

1

2

3

4

5

6

7

1. Стандартные

 

 

   

0

   

2. Сомнительные

             

сомнительные 1 категории

 

 

   

0,01-5

   

сомнительные 2 категории

 

 

   

5,01-10

   

сомнительные 3 категории

 

 

   

10,01-20

   

сомнительные 4 категории

 

 

   

20,01-25

   

сомнительные 5 категории

 

 

   

25,01-50

   

3. Безнадежные

 

 

   

50,01-100

   

Всего (1+2+3)

             
 

Первый руководитель или лицо, уполномоченное на подписание отчета

________________________________________                   ____________

(фамилия, имя, отчество (при его наличии)                        (подпись)

Главный бухгалтер или лицо, уполномоченное на подписание отчета

________________________________________                   ____________

(фамилия, имя, отчество (при его наличии)                        (подпись)

Исполнитель ___________________________                     ____________

(должность, фамилия, имя, отчество (при его наличии)        (подпись)

 

Телефон: ______________

Дата подписания отчета «___» __________ 20___ года

Примечание: пояснение по заполнению формы, предназначенной для сбора административных данных, приведено в приложении к настоящей форме

 

Приложение
к форме отчета о классификации
однородных активов по микрокредитам,
предоставленным юридическим лицам

 

Пояснение по заполнению формы, предназначенной для сбора административных данных

Отчет о классификации однородных активов по микрокредитам, предоставленным юридическим лицам

Глава 1. Общие положения

1. Настоящее пояснение определяет единые требования по заполнению формы, предназначенной для сбора административных данных «Отчет о классификации однородных активов по микрокредитам, предоставленным юридическим лицам» (далее - Форма).

2. Форма разработана в соответствии c частью второй пункта 6 статьи 250 Кодекса Республики Казахстан от 25 декабря 2017 года «О налогах и других обязательных платежах в бюджет», подпунктом 69) части второй статьи 15 Закона Республики Казахстан от 30 марта 1995 года «О Национальном Банке Республики Казахстан» и подпунктом 5) статьи 27 Закона Республики Казахстан от 26 ноября 2012 года «О микрофинансовых организациях».

3. Форма заполняется ежеквартально микрофинансовой организацией по состоянию на конец отчетного периода. Данные в Форме указываются в тысячах тенге. Сумма менее 500 (пятисот) тенге округляется до 0 (нуля), а сумма, равная 500 (пятистам) тенге и выше, округляется до 1000 (тысячи) тенге.

4. Форму подписывают первый руководитель, главный бухгалтер или лица, уполномоченные ими на подписание отчета, и исполнитель.

 

Глава 2. Пояснение по заполнению Формы

5. Отнесение к группе активов по предоставленным микрокредитам согласно классификации определяется в зависимости от уровня созданных провизий к совокупной задолженности перед микрофинансовой организацией.

6. Графы 1, 2, 3, 4, 6 и 7 заполняются последовательно.

7. В группе активов по предоставленным микрокредитам сомнительные 1, 2, 3, 4 и 5 категории суммируются.

8. В строке «Всего» подводятся итоги граф 1, 2, 3, 4, 6 и 7 по стандартным, сомнительным и безнадежным активам по предоставленным микрокредитам.

9. В графе 2 учитывается сумма начисленного, но не погашенного (не полученного) вознаграждения.

Приложение 4

к Правилам осуществления
классификации активов и
условных обязательств по
предоставленным микрокредитам,
отнесения активов по
предоставленным микрокредитам
к сомнительным и безнадежным,
а также создания провизий
(резервов) против них

 

Форма, предназначенная для сбора административных данных

Отчет о классификации однородных активов по микрокредитам, предоставленным физическим лицам

Отчетный период: «__» ____________20__года

 

Индекс: T5
Периодичность: ежеквартальная
Представляет: микрофинансовая организация
Куда представляется форма: территориальный филиал Национального Банка Республики Казахстан
Срок представления: ежеквартально, не позднее 20 (двадцатого) числа месяца, следующего за отчетным кварталом

 

Форма

__________________________________________________________

(наименование микрофинансовой организации)

 

(в тысячах тенге)

Группа активов по предоставленным микрокредитам согласно классификации

Всего сумма основного долга

Сумма начисленного вознаграждения

Дисконт (премия)

Неустойка (штраф, пени) за несвоевременное погашение

Размер провизий (в процентах)

Всего сумма фактически созданных провизий

Стоимость обеспечения

 

1

2

3

4

5

6

7

1. Стандартные

 

 

   

0

   

2. Сомнительные

             

сомнительные 1 категории

 

 

   

0,01-5

   

сомнительные 2 категории

 

 

   

5,01-10

   

сомнительные 3 категории

 

 

   

10,01-20

   

сомнительные 4 категории

 

 

   

20,01-25

   

сомнительные 5 категории

 

 

   

25,01-50

   

3. Безнадежные

 

 

   

50,01-100

   

Всего (1+2+3)

             

 

Первый руководитель или лицо, уполномоченное на подписание отчета

________________________________________                   ____________

(фамилия, имя, отчество (при его наличии)                        (подпись)

Главный бухгалтер или лицо, уполномоченное на подписание отчета

________________________________________                   ____________

(фамилия, имя, отчество (при его наличии)                        (подпись)

Исполнитель ___________________________                     ____________

(должность, фамилия, имя, отчество (при его наличии)        (подпись)

Телефон: ______________

Дата подписания отчета «___» __________ 20___ года

Примечание: пояснение по заполнению формы, предназначенной для сбора административных данных, приведено в приложении к настоящей форме

 

Приложение
к форме отчета о классификации
однородных активов по микрокредитам,
предоставленным физическим лицам

 

Пояснение по заполнению формы, предназначенной для сбора административных данных

Отчет о классификации однородных активов по микрокредитам, предоставленным физическим лицам

Глава 1. Общие положения

1. Настоящее пояснение определяет единые требования по заполнению формы, предназначенной для сбора административных данных «Отчет о классификации однородных активов по микрокредитам, предоставленным физическим лицам» (далее - Форма).

2. Форма разработана в соответствии c частью второй пункта 6 статьи 250 Кодекса Республики Казахстан от 25 декабря 2017 года «О налогах и других обязательных платежах в бюджет», подпунктом 69) части второй статьи 15 Закона Республики Казахстан от 30 марта 1995 года «О Национальном Банке Республики Казахстан» и подпунктом 5) статьи 27 Закона Республики Казахстан от 26 ноября 2012 года «О микрофинансовых организациях».

3. Форма заполняется ежеквартально микрофинансовой организацией по состоянию на конец отчетного периода. Данные в Форме указываются в тысячах тенге. Сумма менее 500 (пятисот) тенге округляется до 0 (нуля), а сумма, равная 500 (пятистам) тенге и выше, округляется до 1000 (тысячи) тенге.

4. Форму подписывают первый руководитель, главный бухгалтер или лица, уполномоченные ими на подписание отчета, и исполнитель.

 

Глава 2. Пояснение по заполнению Формы

5. Отнесение к группе активов по предоставленным микрокредитам согласно классификации определяется в зависимости от уровня созданных провизий к совокупной задолженности перед микрофинансовой организацией.

6. Графы 1, 2, 3, 4, 6 и 7 заполняются последовательно.

7. В группе активов по предоставленным микрокредитам сомнительные 1, 2, 3, 4 и 5 категории суммируются.

8. В строке «Всего» подводятся итоги граф 1, 2, 3, 4, 6 и 7 по стандартным, сомнительным и безнадежным активам по предоставленным микрокредитам.

9. В графе 2 учитывается сумма начисленного, но не погашенного (не полученного) вознаграждения.

Приложение 5

к Правилам осуществления
классификации активов и условных
обязательств по предоставленным
микрокредитам, отнесения активов
по предоставленным микрокредитам
к сомнительным и безнадежным,
а также создания провизий
(резервов) против них

 

Форма, предназначенная для сбора административных данных

Отчет о классификации условных обязательств по предоставленным микрокредитам

Отчетный период: на «__» ____________20__года

 

Индекс: T3
Периодичность: ежеквартальная
Представляет: микрофинансовая организация
Куда представляется форма: территориальный филиал Национального Банка Республики Казахстан
Срок представления: ежеквартально, не позднее 20 (двадцатого) числа месяца, следующего за отчетным кварталом

 

Форма

__________________________________________________________

(наименование микрофинансовой организации)

 

(в тысячах тенге)

Группа условных обязательств по предоставленным микрокредитам согласно классификации

Всего сумма условных обязательств по предоставленным микрокредитам

Размер провизий (в процентах)

Всего сумма фактически созданных провизий

 

1

2

3

1.Стандартные

 

0

 

2.Сомнительные

     

1) сомнительные 1 категории

 

0,01-5

 

2) сомнительные 2 категории

 

5,01-10

 

3) сомнительные 3 категории

 

10,01-20

 

4) сомнительные 4 категории

 

20,01-25

 

5) сомнительные 5 категории

 

25,01-50

 

3.Безнадежные

 

50,01-100

 

Всего (1+2+3)

     
 

Первый руководитель или лицо, уполномоченное на подписание отчета

________________________________________                   ____________

(фамилия, имя, отчество (при его наличии)                        (подпись)

Главный бухгалтер или лицо, уполномоченное на подписание отчета

________________________________________                   ____________

(фамилия, имя, отчество (при его наличии)                        (подпись)

Исполнитель ___________________________                     ____________

(должность, фамилия, имя, отчество (при его наличии)        (подпись)

Телефон: ______________

Дата подписания отчета «___» __________ 20___ года

Примечание: пояснение по заполнению формы, предназначенной для сбора административных данных, приведено в приложении к настоящей форме

 

 

Приложение
к форме отчета о классификации
условных обязательств
по предоставленным микрокредитам

 

Пояснение по заполнению формы, предназначенной для сбора административных данных

Отчет о классификации условных обязательств по предоставленным микрокредитам

Глава 1. Общие положения

1. Настоящее Пояснение определяет единые требования по заполнению формы, предназначенной для сбора административных данных «Отчет о классификации условных обязательств по предоставленным микрокредитам » (далее - Форма).

2. Форма разработана в соответствии с подпунктом 69) части второй статьи 15 Закона Республики Казахстан от 30 марта 1995 года «О Национальном Банке Республики Казахстан» и подпунктом 5) статьи 27 Закона Республики Казахстан от 26 ноября 2012 года «О микрофинансовых организациях».

3. Форма заполняется ежеквартально микрофинансовой организацией по состоянию на конец отчетного периода. Данные в Форме указываются в тысячах тенге. Сумма менее 500 (пятисот) тенге округляется до 0 (нуля), а сумма, равная 500 (пятистам) тенге и выше, округляется до 1000 (тысячи) тенге.

4. Форму подписывают первый руководитель, главный бухгалтер или лица, уполномоченные ими на подписание отчета, и исполнитель.

 

Глава 2. Пояснение по заполнению Формы

5. Отнесение к группе условных обязательств по предоставленным микрокредитам согласно классификации определяется в зависимости от уровня созданных провизий к совокупной задолженности перед микрофинансовой организацией.

6. Графы 1 и 3 заполняются последовательно.

7. В группе микрокредитов сомнительные 1, 2, 3, 4 и 5 категории суммируются.

8. В строке «Всего» подводятся итоги граф 1 и 3 по стандартным, сомнительным и безнадежным условным обязательствам по предоставленным микрокредитам.

Приложение 6

к Правилам осуществления
классификации активов и условных
обязательств по предоставленным
микрокредитам, отнесения активов
по предоставленным микрокредитам
к сомнительным и безнадежным,
а также создания провизий
(резервов) против них

 

 

Формула расчета ожидаемых кредитных убытков

 

ECL = PD*LGDt*EADt*Dt, где:
PD - вероятность дефолта на весь срок жизни актива по предоставленному микрокредиту (в процентах);
LGDt - уровень потерь в случае дефолта (в процентах);
EADt - требования, подверженные риску дефолта;
Dt - фактор дисконтирования;
t - период, в течение которого предполагаются денежные потоки по активу по предоставленному микрокредиту

 

 
Приложение 7

к Правилам осуществления
классификации активов и условных
обязательств по предоставленным
микрокредитам, отнесения активов
по предоставленным микрокредитам
к сомнительным и безнадежным,
а также создания провизий
(резервов) против них

 

Формула расчета ожидаемых кредитных убытков за 12 (двенадцать) месяцев

 

ECL = PD12*LGDt*EADt*Dt, где:
PD12- вероятность дефолта в течение последующих 12 месяцев от отчетной даты (в процентах);
LGDt - уровень потерь в случае дефолта (в процентах);
EADt - требования, подверженные риску дефолта;
Dt - фактор дисконтирования;
t - период, в течение которого предполагаются денежные потоки по активу по предоставленному микрокредиту.

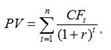
Приложение 8

к Правилам осуществления
классификации активов и условных
обязательств по предоставленным
микрокредитам, отнесения активов
по предоставленным микрокредитам
к сомнительным и безнадежным,
а также создания провизий
(резервов) против них

где:

PV - приведенная стоимость будущих денежных потоков;

СF - прогноз будущих денежных потоков;

r - эффективная ставка процента;

t, n - количество лет, в течение которых предполагаются денежные потоки по активу по предоставленному микрокредиту.

Приложение 9

к Правилам осуществления
классификации активов и условных
обязательств по предоставленным
микрокредитам, отнесения активов
по предоставленным микрокредитам
к сомнительным и безнадежным,
а также создания провизий
(резервов) против них

 

Регистр по размерам провизий (резервов)

Наименование заемщика

№ договора о предоставлении микрокредита

Идентификационный номер договора о предоставлении микрокредита в информационной системе учета*

Признак однородности

(1-индивидуальный,

2-однородный)

Признак сегментации портфеля по схожим характеристикам кредитного риска

1

2

3

4

5

 

продолжение таблицы:

Задолженность на начало года

Сумма провизий на начало года

Уменьшение размера права требования, в том числе:

Увеличение размера права требования, в том числе:

Задолженность на конец года

в результате исполнения должником требований

по прочим основаниям

в результате выдачи микрокредита, начисления вознаграждения, неустойки (штрафа, пени)

по иным основаниям

6

7

8

9

10

11

12

 

продолжение таблицы:

Дисконт (Премия)

Сумма провизий на конец года

Стоимость обеспечения на конец года

Доходы от снижения провизий за период

13

14

15

16

17

 
Приложение 10

к Правилам осуществления
классификации активов и условных
обязательств по предоставленным
микрокредитам, отнесения активов
по предоставленным микрокредитам
к сомнительным и безнадежным,
а также создания провизий
(резервов) против них

Форма

 

Таблица 1. Информация по размерам провизий (резервов)

Показатели

Информация

1

Отчетная дата

 

2

Номер и дата договора о предоставлении микрокредита

 

2

Наименование заемщика

 

3

Дата начала действия договора о предоставлении микрокредита

 

4

Дата окончания срока действия договора о предоставлении микрокредита

 

5

Валюта договора

 

6

Сумма актива по предоставленному микрокредиту, указанная в договоре о предоставлении микрокредита (в тенге)

 

 

__________________________________________________________________________________

Должность, фамилия, имя, отчество (при его наличии), подпись лица, ответственного

за представление информации

__________________________________________________________________________________

Должность, фамилия, имя, отчество (при его наличии), подпись непосредственного

руководителя лица, ответственного за представление информации

 

Таблица 2. Расчет дисконтированной стоимости будущих денежных потоков

Предполагаемая дата поступления денежных потоков

Погашение основного долга

Погашение процентных доходов

Итого

Предполагаемая стоимость к получению от реализации обеспечения

Приведенная стоимость

1

2

3

4

5

6

7

1

 

 

 

 

 

 

2

 

 

 

 

 

 

 

 

 

 

 

 

tn

 

 

 

 

 

 

 

__________________________________________________________________________________

Должность, фамилия, имя, отчество (при его наличии), подпись лица, ответственного

за представление информации

__________________________________________________________________________________

Должность, фамилия, имя, отчество (при его наличии), подпись непосредственного

руководителя лица, ответственного за представление информации

 

 

Таблица 3. Данные по индивидуальному активу и условному обязательству по предоставленному микрокредиту, по которому созданы провизии (резервы) в связи с его обесценением

№ п/п

Дата

Балансовая стоимость

Остаток основного долга

Остаток задолженности начисленных процентов

Размер сформированных провизий (резервов)

Прочие процентный доход*

Итого

1

2

3

4

5

6

7

1

Дата первоначального создания провизии (резерва) в связи с обесценением (t0)

 

 

 

 

 

2

Дата пересмотра размера провизий (резервов) (t1)

 

 

 

 

 

3

Дата пересмотра размера провизий (резервов) (t2)

 

 

 

 

 

………

 

 

 

 

 

n

Дата пересмотра размера провизий (резервов) (tn)

 

 

 

 

 

 

продолжение таблицы:

Будущие денежные поступления (выплаты), не связанные с реализацией обеспечения

Стоимость залога и другого обеспечения, определенная в соответствие с Методикой расчета залогового обеспечения, с учетом корректировки

Предполагаемый срок реализации обеспечения

Эффективная ставка процента

Дисконтированная стоимость будущих денежных поступлений (выплат)

8

9

10

11

12

  

 

 

 

 

  

 

 

 

 

 

продолжение таблицы:

Размер провизий (резервов), необходимых для формирования (расформирования)

Информация об изменениях в условиях договора о предоставлении микрокредита

13

14

  

 

 

___________________________________________________________________________________

Должность, фамилия, имя, отчество (при его наличии), подпись лица, ответственного

за представление информации

___________________________________________________________________________________

Должность, фамилия, имя, отчество (при его наличии), подпись непосредственного

руководителя лица, ответственного за представление информации

 

Примечание:

* указывается неамортизированная часть премии (дисконта)

Правила осуществления классификации активов и условных обязательств по предоставленным микрокредитам, отнесения активов по предоставленным микрокредитам к сомнительным и безнадежным, а также создания провизий (резервов) против них
Глава 1. Общие положения
Глава 2. Порядок классификации активов и условных обязательств по предоставленным микрокредитам и их отнесения к сомнительным и безнадежным
Глава 3. Порядок создания провизий (резервов) в соответствии с международными стандартами финансовой отчетности
Глава 4. Порядок создания провизий (резервов) в соответствии с международными стандартами финансовой отчетности для малого и среднего бизнеса и (или) иных микрофинансовых организаций, составляющих отчетность в соответствии с национальным стандартом финансовой отчетности
Глава 5. Требования к методике создания провизий (резервов)
Приложение 1
Приложение 2
Приложение 3
Приложение 4
Приложение 5
Приложение 6
Приложение 7
Приложение 8
Приложение 9
Приложение 10